Theoretically, based on the diversification, dynamics and decentralization characteristics of breakthrough technology knowledge elements, technology is decomposed into the form of knowledge element combination, and the evidence reasoning theory is applied to construct the technology matching rules. The technology knowledge element matching model is the context of breakthrough technology innovation is proposed, and the rules and methods of technology knowledge matching in the formation process of breakthrough technology innovation with dynamic attributes are given. It further expands the theory and method of the formation and development about breakthrough technology innovation. In practice, in combination with the urgent need to tackle the bottleneck technologies, this study has established the technology knowledge matching and convergence methods in the context of breakthrough technology innovation, provided reasonable and feasible guidance for the formation about breakthrough technology innovation, offer the theoretical and methodological tools for solving practical problems that are difficult to form breakthrough technological innovation.
Due to the complexity and uncertainty of breakthrough technology innovation and technological convergence, the matching relationship of technology knowledge elements is increasingly complex and uncertain. For this reason, based on the evidence reasoning theory, the trust function and likelihood function are introduced to fuse uncertain knowledge at different levels to measure the uncertainty flexibly. The technology refining is decomposed into the form of knowledge element combination, and the technology matching rules are determined according to the decisive factors for the formation of breakthrough technology innovation, i.e. technological novelty, difference and convergence, and then the technology knowledge element matching model is given. The graphene technology is taken as an example for the application analysis, so as to provide ideas and methods for technology matching research in the context of breakthrough technology innovation.
This paper proposes the matching rules and methods of technology knowledge elements in the context of breakthrough technology innovation. It explains the mechanism of technology matching and technology knowledge element matching in the context of breakthrough technology innovation from the micro and macro levels. On the one hand, the technology matchmaker obtains the technology provided by the technology provider through the technology matching rules and after the new technology is formed through technology convergence, it will continue to look for the other technology providers that can match it, forming a continuous benign development process; on the other hand, the novelty, difference and convergence of technology are the main factors that determine whether the technology knowledge elements can be integrated and achieve the breakthrough technology innovation, which provides a basis for the technology matching rules. Meanwhile by using the formula about transition degree of technological trajectory to represent the matching rules of technology knowledge elements, it is more conducive to finding the suitable technology knowledge elements from many sources of technology and knowledge for matching, and improving the effect of technology convergence and breakthrough technology innovation. It is proposed to build a technology knowledge element matching model in the context of breakthrough technology innovation, establish a multi-objective balanced technology matching model according to the timeliness, cost, innovation achievements and other factors, and then obtain the best matching scheme of technology knowledge elements, so as to improve the applicability of technology matching in the context of breakthrough technology innovation.
There are still some deficiencies in the technology matching method in this study. This paper only puts forward the matching scheme of technology in a certain period of time in technology matching. In practice, it is essential to consider the changes of technical requirements to be matched in different stages and the effect of matching schemes. In addition to considering the technology matching in a certain period of time, future research should also consider the changes of the technical requirements to be matched in different stages and the effect of the matching scheme in the technology matching scheme.
突破性技术创新被认为是引领技术与产业发展方向、助推企业和产业实现“跨越式追赶”的绝佳“机会窗口”[1],对于引领国家科技发展、促进经济增长发挥着巨大作用。大量突破性技术创新实践和理论研究表明,突破性技术创新的形成不仅强调知识创造[2],还取决于众多知识领域重组[3]。即更多突破性技术创新来源于跨领域技术融合[4],技术融合推动着突破性技术创新的涌现。技术融合是指通过互补或替换的方式将多个领域的现有技术联系起来[5],以实现对现有技术的突破[6]以及对新技术方向的开拓[7]。近年来,通过典型技术融合实现突破性技术创新的研究层出不穷,如生物芯片技术[8-9]、纳米技术、电子信息技术和生物技术[10]、印刷电子技术[11]、信息技术和电动汽车技术[12]、无人机技术[13]等均是通过技术融合实现突破性技术创新的典型例证。
然而,实现不同领域技术融合并非易事,现实中,通过技术融合实现突破性技术创新也存在不尽如人意的结果[14],而高效获取匹配技术才是实现技术融合的关键。早在1989年,Brownlie等[15]就对技术匹配进行了研究。随后,学者又先后开展了构建技术匹配的技术创新市场中介机制、知识管理模式[16]、知识库[17]和知识组织模式[18]等研究。针对具体匹配方法的研究目前以文本相似度匹配为主[19],但在本研究中,由于突破性技术创新的复杂性和不确定性,通过技术融合形成突破性技术创新难度更大、所需技术数量更多、技术涉及面更广、技术匹配关系更复杂。因此,传统文本相似度已经不能满足研究要求。通过技术融合实现突破性技术创新往往没有现成方案可供参考,充满动态性和不确定性,为解决这一问题,学术界提出证据推理理论,并引入信任函数和似然函数对不同级别的不确定性知识进行融合[20] ,以灵活度量不确定性。因此,本文针对技术匹配不确定性特点,借鉴证据推理理论,将技术分解为知识元组合形式,依据技术匹配规则,提出基于证据推理的技术知识元匹配方法,并以石墨烯技术为例进行应用分析,以期为突破性技术创新情境下的技术匹配研究提供新思路和新方法。
云计算、大数据时代,技术交易发展更加迅速和便捷,技术数量增长速度更快,为技术匹配提供了更多可能,但同时也存在技术信息匹配困难[21]、技术主体对接不畅等问题[22],尤其是突破性技术创新情境下的技术匹配难点更多。本文认为,通过技术融合实现突破性技术创新过程中的技术匹配主要包含以下要素:待匹配(待融合)技术、符合匹配规则的可供技术、技术匹配方、技术提供方和技术匹配规则等,这些要素相互联系、相互作用,共同构成技术匹配系统,如图1所示。
图1 突破性技术创新情境下技术匹配要素
Fig.1 Technology matching elements in the context of breakthrough technology innovation
由图1可知,为实现突破性技术创新,需要技术匹配方将获取的符合技术匹配规则的提供技术与现有待匹配技术进行交叉融合。需要注意的是,技术提供方提供的技术只有满足技术匹配方技术要求才能够通过技术融合生成新技术。在技术匹配过程中,技术匹配方和技术提供方作为技术匹配主体,是需要匹配技术和提供技术的宿主。技术传递方式、技术融合度、技术传递媒介、技术双方关系影响技术匹配效果。技术匹配方利用技术匹配规则获得技术提供方提供的技术,对其进行技术融合形成新技术,并继续寻找能与其它待匹配技术及新技术进行匹配的其他技术提供方,完成技术融合,实现技术创新。
技术融合强调不同领域技术的深度整合,而不是不同技术的简单叠加。因此,突破性技术创新情境下的技术匹配具有如下特征:
(1)技术匹配的动态连续性。突破性技术创新具有前沿性特征,通常要求实现融合的技术在时间序列上具有新颖性特征。同时,对技术的要求还随宏观形势变化而发展,具有动态性特征。通过技术融合实现突破性技术创新过程中,技术匹配方不断寻找能够满足自身技术诉求的提供技术,只有技术匹配方需要的技术和技术提供方提供的技术相匹配,才能完成技术融合,进而实现突破性技术创新,这个过程具有连续性特征。
(2)技术来源的广泛分散性。技术融合始于不同学科之间的交叉引用,并逐渐深入到多学科合作研究中[23],通过技术融合实现突破性技术创新通常不局限于相关领域技术,更需要与本领域内不相关技术实现跨领域交叉融合,导致寻求的技术范围广且分散在多个技术领域。同时,技术知识信息载体也十分多样,常集中于专利、期刊论文、学位论文、会议论文、图书、基金项目、行业报告、政策、舆情等。技术融合就是将分散在不同领域、不同组织以及不同形式的技术与现有待匹配技术进行融合,从而实现技术创新。
(3)技术主体的多元异质性。企业是驱动技术发展的主要力量,往往需要综合应用多项技术实现技术融合,既是主要技术匹配方,也是技术提供方,高校和科研院所则是技术的主要提供方。在技术匹配过程中,往往还会出现一些起中介作用的平台将技术双方联系起来,便于实现更优的技术匹配。
(4)技术匹配结果的不确定性。突破性技术创新是打破原有技术轨道的根本性创新[24],通过技术融合实现突破性技术创新具有较高难度。在技术融合过程中,由于不同知识元在技术组合中的地位和贡献不同,所以技术融合并非简单组合或重组,需要经过反复不断的探索和试验,对交叉技术进行融合,以达到相互兼容、协调和整合的目的。这种融合没有固定规律,结果也充满不确定性。如果技术要求得到满足,技术能够匹配,融合后形成的新技术具有突变性[25]并能够打破原有技术轨道,就是突破性技术;如果形成的新技术只是对现有技术、产品(服务)等进行改进,维持原有技术创新,就是渐进性技术;如果技术无法兼容、协调、整合,技术匹配就有可能失败。因此,技术匹配结果具有较强的不确定性。即便如此,仍然可以参考已有技术匹配成功案例,采取类似的组合方式和方法得到新技术匹配方案。
技术融合本质上源于知识融合,技术层面融合可用技术领域间活跃的知识流动表征(翟东升等,2015)。本文将技术融合过程中的技术知识定义为知识元,用不同知识元表征不同技术能力或技术知识领域(刘娜等,2018)。突破性技术创新实质上是技术知识来源中诸多知识元匹配融合后形成新技术,其能够打破原有技术轨道。本文借鉴Fleming &Strumsky[26]的组合性创新理论,认为知识元并非随意堆积,而是遵循一定的匹配规则。马荣康等(2020)研究发现,突破性技术创新的形成往往需要组合新颖的知识元素。除此之外,技术匹配规则还呈现其它特点,技术融合通常分为领域内技术融合和不同领域技术融合(翟东升等,2020)。其中,领域内技术融合是指通过技术组合对原有技术路径进行优化,并没有改变原有技术轨道;而不同领域技术融合更容易产生技术轨道跃迁,实现新技术突破,这些不同领域技术通常处于不同技术轨道,存在较大差别。因此,不同领域技术或差异性较大的技术融合更有利于促进突破性技术创新,进而实现新技术发展[27]。然而,如果技术融合度低,将很难冲破原有技术轨道形成突破性技术。只有高融合度的技术组合,才有可能实现技术轨道跃迁,并具备产生突破性技术的可能[28],这为技术匹配规则的确定提供了新依据。技术知识元匹配机理如图2所示。
图2 技术知识元匹配机理
Fig.2 Matching mechanism of technology knowledge elements
综上所述,通过技术融合实现突破性技术创新过程中的技术匹配涉及较多内容,包括知识元匹配、技术匹配、技术创新方案等,从微观层面到宏观层面,从单个知识元到多个知识元,从单一领域到多个领域,技术匹配呈现出不同特征。其中,获取的技术是否符合技术要求是决定技术能否匹配成功、技术能否有效融合、创新能否实现的关键。
当前,在技术融合、学科交叉背景下,技术结构层次和创新模式不断变化,导致通过技术融合实现技术创新尤其是突破性技术创新所需技术具有不确定性和未知性。这些技术往往分散在不同技术领域,技术匹配方可通过技术购买、许可、授权或(非)股权联盟的方式获取所需技术。技术匹配是从技术知识来源中搜寻待匹配技术,采用一定方法实现技术融合并生成新技术的创新过程。技术匹配首先要弄清楚待匹配技术、提供技术以及技术匹配规则。技术匹配是待匹配技术不断被满足,通过技术融合实现技术创新并生成新的待匹配技术的动态过程。
通过技术融合实现突破性技术创新对技术的要求在不同时期有不同的内容,与之相对应的技术知识来源分散在不同领域和不同组织中,技术融合要从不同技术知识来源中找到符合待匹配技术要求的可提供技术,以重新进行组合和创造。
假设有n个待匹配技术、m个可供的技术知识来源,待匹配技术知识元为P,可获取技术为G,它们均为技术知识来源中的技术要素。技术匹配规则E是根据实际情况确定的技术之间的匹配关系。技术匹配问题还要从横向和纵向两个维度考虑:横向是指在某一个时间点上所包含的待匹配技术的知识元;纵向是针对某个待匹配知识元在不同时间点上被满足的程度。
待匹配技术随着时间推移而发展,tk时刻待匹配技术可表示为:
![]()
(1)
其中,
为tk时刻第i个知识元,表示待匹配技术要素,每个知识元都有自己的结构,如式(2)所示。
![]()
(2)
其中,
表示第i个知识元第l个属性值,把技术融合某个时间段待匹配技术分解为多个知识元组合,可表示为:
![]()
(3)
其中,wi代表i个知识元在待匹配技术中的重要程度,![]()
根据技术匹配规则,将从技术知识来源中得到的可供技术与待匹配技术相对应,把tk时间可供技术记为
可供技术的知识元结构为
表示第j个可供知识元的第l个属性值。从技术知识来源中抽取的知识元通过一定组合方式满足技术要求,可供技术整体表示为:
![]()
(4)
其中,vj表示j个可供技术知识元在提供技术方案中所起的作用或贡献程度,
可供技术知识元通过不同组合得到不同技术。
在技术融合过程中,技术匹配方对技术要求具有动态性,分割点为获得新技术的时间,随着技术要求不断更新,当待匹配技术得到满足后,又会形成和激发下一轮新的技术需求,得到新的待匹配技术。同时,在技术融合过程中,并非待匹配技术的每个知识元都能得到良好匹配,待匹配技术只能在一定程度上得到满足,技术融合效果和新技术创新程度并不尽如人意,但追求新技术的意愿不会消亡。待匹配技术可表示为:待匹配技术=原待匹配技术未被满足的部分+新的待匹配技术,不同时间点待匹配技术关系式为:
P(tk+1)=P(tk)-G(tk)+NP(tk+1)
(5)
综上所述,待匹配技术随着技术融合的深入而不断发展,为更好地满足待匹配技术要求,本文把待匹配技术要求分解为若干个子要求,利用Dempster合成规则,获取技术匹配方案。在技术匹配过程中往往存在不匹配、不相容的技术,或者匹配规则不确定的情况,因此可从多源异构技术知识来源中提取证据。本文利用正交求和法综合证据,从而获得技术匹配方案。
通过技术融合实现的突破性技术创新匹配结果用集合Θ表示,集合中的要素是相互独立的有限元素,Θ被称为识别框架,是技术匹配的前提和根本。识别框架中的元素由“已经知道”或“想知道”的知识决定[29],待匹配技术和可供技术识别框架在t时刻分别表示为:Θp(t)={P1t,P2t,…,Pnt}、Θg(t)={G1t,G2t,…,Gnt},随着技术的不断匹配,识别框架也在不断发生改变。
技术匹配存在一定的随机性和结果不确定性,可供技术能够在多大程度上满足技术匹配要求是一个概率事件。利用一定规则获取技术知识来源中的技术,保证与待匹配技术形成证据,保证对待匹配技术有一定支持度,本文将所获技术对技术匹配效果的信任度称为匹配Mass函数。Mass函数是证据推理理论的基本函数,是在识别框架Θ基础上的基本可信度分配函数。m∶2Θ→[0,1],满足如下条件:

(6)
其中,2Θ表示Θ所有子集构成的集合,m(A)为A的基本信度指派,表示证据支持A的程度。相关学者把Mass函数定义为可供技术对待匹配技术要求的匹配度,涉及技术融合过程中技术差异度和技术融合度等因素[30]。在众多技术知识来源中,满足待匹配技术要求并实现技术融合以达到技术创新支持程度往往需要技术知识来源中的多个知识元。
若识别框架Θ={A1,A2,…,AN},m(A)为识别框架下的基本可信度分配函数,2Θ={∅,{A1},{A2},…,{AN},{A1,A2},…,{A1,A2,…,AN}}为识别框架下的幂集,m(A)>0,则称A为证据m的焦元。本文把从待匹配技术中提炼的知识元定义为待匹配技术焦元,这些焦元形成全部待匹配技术。可供技术的知识元同样具有识别框架和焦元,不同时期待匹配技术不同,可供技术的知识元也不同。
技术融合中待匹配技术和可供技术以知识元的形式存在,待匹配技术和可供技术的每个知识元都有自己的维度,待匹配技术和可供技术具体可表示为知识元矩阵。

(7)
其中,pfij表示第i个知识元出现在第j个技术知识来源中的次数。
技术融合中待匹配技术和可供技术存在技术结构差异,技术提供渠道众多,不同创新内容要求知识元有不同的匹配方法。技术创新尤其是突破性技术创新多通过众多技术领域重组产生,往往需要新颖程度高、技术差别大、技术融合强的技术进行交叉融合。本文参考刘玉梅等(2021)提出的技术轨道跃迁程度计算公式,具体如下:
Xij=A1(Ni+Nj)+A2Dij+A3Rij
(8)
该公式表示待匹配技术与可供技术之间的匹配规则。其中,Xij表示匹配程度;Ni表示第i项技术的新颖度,利用新颖度指标Sigma指数公式Ni=Sigma=(centrality+1)burstness计算。其中,centrality表示中介中心性值,burstness表示Burst指数的值;Dij表示第i项技术与第j项技术间的差异程度,利用技术距离公式
表示待匹配技术知识元与可供技术知识元之间的差异。其中,k代表融合技术所包含的技术类别,取值为1~n;qik表示在某时间段领域内i在第k类技术中的知识成果数量;qjk表示在某时间段领域内j在第k类技术中的知识成果数量;Rij表示第i项技术与第j项技术的融合度,利用关联规则公式
计算技术可融合度。其中,i、j 表示两个不同技术领域的知识成果数量;A1表示第i项技术和第j项技术新颖度的权重,A2表示第i项技术与第j项技术间差异度的权重,A3表示第i项技术与第j项技术间融合度的权重。A1、A2、A3可采用熵权法计算。在某一时刻,待匹配技术通过技术匹配规则与提供技术进行技术融合,为技术匹配方法提供支持。
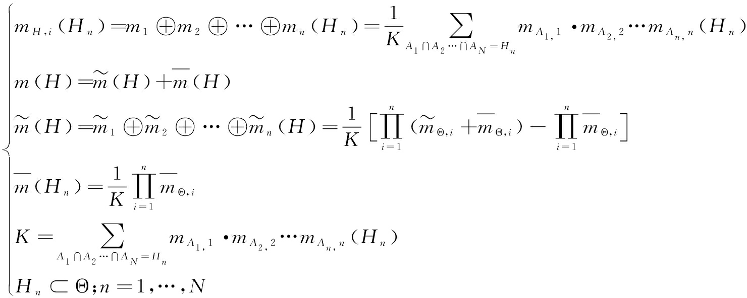
技术融合是不同领域技术在一定情景下生成新技术的过程。在技术融合过程中,由于匹配技术性质不同,可能会得到不同技术知识来源中的技术支持,并有可能存在多种匹配方法。首先,构造集函数,求出各证据的BPA值(Basic Probability Assignment);其次,当技术匹配过程存在矛盾和冲突证据时,需要对这些证据进行处理,基本步骤如下:
Step 1:根据前文提到的识别框架Θ和Mass函数,定义技术匹配得到证据信任的上下限:信度函数Bel(Belieffunction)和似真度函数Pl (Plausibility Function)分别为:

(10)
Step 2:定义证据理论融合规则:设m1,m2,…,mn为识别框架Θ上的n个基本可信度分配函数,正交和m1⊕m2⊕…⊕mn定义为:

(11)
其中,K为证据冲突因子,取决于
合成结果m(A)表明m1,m2,…,mn对应证据对A的支持程度。
Step 3:计算各知识元支持证据BPA值(Basic Probability Assignment)。集函数m1, …,mn∶2Θ→[0,1]满足如下条件:

(12)
其中,i=1,…,n;Hn⊂Θ;H=Θ;n=1,…,N。wi为知识元i的相对权重
分别表示焦元Hn(Hn⊂Θ)和H(H=Θ)的置信度值。
由相对权重wi引起;
代表分配给知识元i的评估信息未知的信任度。
Step 4:对知识元进行合成,计算合成之后的BPA值。

(13)
Step 5:将合成后的BPA值转换成置信度,如式(14)。

(14)
Step 6:根据转换的置信度确定技术匹配方案,运用匹配综合效用值衡量。另外,技术匹配方案效度用各知识元匹配的综合程度表示。

(15)
比较几个方案的效用值,以方案Fg和Fl为例,当umin(Fg)>umax(Fl)时,Fg优于Fl;当umin(Fg)=umin(Fl)且umax(Fg)=umax(Fl)时,认为Fg与Fl等价;其余情况则通过平均效用值确定方案优先级。当提供技术知识元对待匹配技术有多种组合方式时,通过对不同方案进行排序和比较,根据上式得出综合效用值,选取技术融合效果最好的组合形式为目前解决方案。
随着技术的不断匹配,待匹配技术要求逐渐被满足,新的待匹配技术不断涌现。通过技术融合实现突破性技术创新是一个概率事件,在-1~1之间。正值说明技术要求得到满足,通过技术融合产生突破性技术创新,并激发新一轮待匹配技术;负值说明技术要求没有得到满足,无法实现技术融合,技术创新过程失败。
由于技术获取方式和获取时间不同,因此通过技术融合实现突破性技术创新是一个需要考虑时效性、成本和创新成果的多方均衡过程。根据技术匹配特性,多目标均衡技术匹配模型如下:
其中,xij表示第i个待匹配技术和第j个技术来源中的知识元相匹配,xij为0时表示技术不匹配,xij为1时表示技术匹配;aij表示技术匹配程度,目标为总体匹配程度最大;bij表示技术匹配成本(搜索成本、组合成本和时间成本)。本文构建的模型是匹配程度最大、匹配成本最小的多目标模型,能够得到某时段最佳技术匹配方案。
为说明上述方法的有效性,以石墨烯技术为例设计算例。石墨烯从发现至今作为前沿技术领域受到社会各界广泛关注,在各技术领域表现出的技术交叉融合特征十分明显。以通过技术融合形成的石墨烯突破性技术作为证据研究技术匹配问题,识别框架是技术匹配的基础,待匹配技术识别框架是技术匹配的前提。在某一时期,待匹配技术知识元构成这个时期的技术识别框架(P1,P2,…,Pn),每个知识元又包括相应属性。
根据陈超美教授研发的CiteSpace软件得出Sigma指数排名靠前的石墨烯技术德温特手工代码,具体包括:A08—M10兼容性改良剂、L04—C11C半导体加工—电极、E11—A01循环—过程和装置、E05—U05C碳纳米(含石墨烯)薄膜/片、A08—S01表面活性剂[一般]、L03—E05B太阳能电池、E11—A02脱环(开环)—过程、装置、A11—A04聚合物制备的分开过程、B12—K04诊断与检测[一般]、U11—A14纳米结构材料。新颖度高的石墨烯技术通过技术融合实现突破性技术创新的几率更高。本文以半导体加工—电极、太阳能电池、纳米结构材料为例,将其视为待匹配技术。随着技术的不断融合与发展,在石墨烯领域待匹配技术还会发生转变,并出现新技术。待匹配技术识别框架可表示为: Θ={纳米结构材料,太阳能电池,半导体加工—电极},各知识元都有一些相应属性,可表示为(纳米结构材料(x1=grapheme-oxide,x2=carbon-nanotube),太阳能电池(x3=battery,x4=lithium,x5=cathode),半导体加工—电极(x6= layer,x7= electroode,x8=substrate))。假设待匹配技术知识元属性的权重为PW=((0.5,0.5),(0.3,0.4,0.3),(0.3,0.3,0.4)),提供技术来自不同的技术知识来源,表示为G=(G1(G11(0.2),G12(0.5),G13(0.3))、G2(G21(0.6),G22(0.4))、G3(G31(0.3),G32(0.2),G33(0.5))。由式(8)可得这些知识元与待匹配技术知识元之间的匹配度,模拟计算结果如表1所示。
表1 可供技术知识元与待匹配技术知识元之间的匹配度
Tab.1 Matching degree between provided technology knowledge elements and technology knowledge elements to be matched
待匹配技术知识元可提供技术来源P1x1 (0.5)x2 (0.5)P2x3 (0.3)x4 (0.4)x5 (0.3)P3x6 (0.3)x7 (0.3)x8 (0.4)G11(0.2)0.180.270.250.370.10.60.30.8G1G12(0.5)0.70.890.550.40.30.70.70.7G13(0.3)0.750.680.760.780.40.70.60.8G2G21(0.6)0.880.950.80.90.680.770.460.89G22(0.4)0.80.770.90.90.950.890.80.9G31(0.3)0.80.70.50.70.90.990.990.99G3G32(0.2)0.770.890.90.90.90.80.90.68G33(0.5)0.690.30.30.20.2111
对可供技术与待匹配技术知识元的匹配度进行排序,结果为:G21>G32>G12>G22>G31>G13>G33>G11,G21>G22>G32>G31>G13>G12>G11>G33,G33>G31>G22>G32>G21>G12>G13>G11,该值越大,表明技术融合越有利于促进突破性技术创新。将匹配效果划分为5个等级,取值分别为0,0.2,0.5,0.8,1,可表示为:H(H1(极差),H2(差),H3(一般),H4(好),H5(极好)),由式(7)~式(11)得到可供技术知识元的合成BPA,如表2所示。
表2 可供技术知识元的合成BPA Tab.2 Synthetic BPA of provided technology knowledge elements
待匹配技术知识元可提供技术来源P1x1 (0.5)x2 (0.5)P2x3 (0.3)x4 (0.4)x5 (0.3)P3x6 (0.3)x7 (0.3)x8 (0.4)G11(0.2)H1(0.6)H1(0.91)H1(0.89)H1(0.89)H1(0.91)H1(1)H1(1)H1(1)H2(0.4)H2(0.09)H2(0.11)H2(0.11)H2(0.09)G1G12(0.5)H2(0.84)H2(0.61)H1(0.89)H1(0.89)H1(0.89)H1(0.55)H2(1)H1(0.89)H3(0.16)H3(0.39)H2(0.11)H2(0.11)H2(0.11)H2(0.45)H2(0.11)G13(0.3)H2(0.65)H1(0.55)H3(1)H2(0.65)H1(0.89)H1(0.995)H1(0.995)H1(0.995)H3(0.25)H2(0.45)H3(0.25)H2(0.11)H2(0.005)H2(0.005)H2(0.005)G2G21(0.6)H4(0.7)H3(0.25)H3(0.35)H4(1)H4(1)H2(1)H1(0.89)H2(0.61)H5(0.3)H4(0.75)H4(0.65)H2(0.11)H3(0.39)G22(0.4)H2(1)H2(0.65)H3(0.17)H3(0.57)H4(0.5)H2(0.65)H2(0.65)H2(0.65)H3(0.25)H4(0.83)H4(0.43)H5(0.5)H3(0.25)H3(0.25)H3(0.25)G31(0.3)H2(1)H2(0.9)H2(0.87)H2(0.93)H3(0.33)H2(0.65)H2(0.35)H2(1)H3(0.1)H3(0.13)H3(0.07)H4(0.67)H3(0.25)H3(0.65)G3G32(0.2)H2(0.63)H3(0.33)H2(0.17)H3(0.67)H3(0.33)H2(0.9)H3(0.87)H1(0.55)H3(0.37)H4(0.67)H3(0.83)H4(0.33)H4(0.67)H3(0.1)H4(0.13)H2(0.45)G33(0.5)H2(0.9)H1(0.55)H2(1)H1(0.89)H2(0.61)H2(0.33)H3(0.33)H2(1)H3(0.1)H2(0.45)H2(0.11)H3(0.39)H3(0.67)H4(0.67)
根据公式(14),将其转化为各可供技术知识元对融合后待匹配技术知识元的置信度,结果如表3所示。
表3 融合后的置信度
Tab.3 Degree of confidence after convergence
P1P2P3G11(0.2)H1(0.755)H2(0.245)H1(0.896)H2(0.104)H1(1)G12(0.5)H2(0.725)H3(0.275)H1(0.89)H2(0.11)H1(0.521)H2(0.479)G13(0.3)H1(0.275)H2(0.55) H3(0.125)H1(0.267)H2(0.313) H3(0.4)H1(0.995)H2(0.005)G21(0.6)H3(0.125) H4(0.725) H5(0.15)H3(0.105) H4(0.895)H1(0.267)H2(0.577) H3(0.156)G22(0.4)H2(0.825) H3(0.125)H3(0.279) H4(0.571) H5(0.15)H2(0.65)H3(0.25)G31(0.3)H2(0.95) H3(0.05)H2(0.633)H3(0.166) H4(0.201)H2(0.7)H3(0.3)G32(0.2)H2(0.315)H3(0.35) H4(0.335)H2(0.051)H3(0.616) H4(0.333)H1(0.22)H2(0.45)H3(0.291) H4(0.039)G33(0.5)H1(0.275)H2(0.675) H3(0.05)H1(0.267)H2(0.577) H3(0.156)H2(0.499)H3(0.3) H4(0.201)
将各等级的效用值设置为U(H1)=0、U(H2)=0.1、U(H3)=0.5、U(H4)=U(H5)=1,由式(15)计算各可供技术知识元对待匹配技术知识元的效用,结果如表4所示。按照可供技术知识元对待匹配技术知识元的效用值进行综合排序,获取各可供技术知识元中效用值较大的知识元组合,由G21、G22、G32组成解决方案,结果如表5所示。
表4 各可供技术知识元对待匹配技术知识元的效用
Tab.4 Utility of the provided technology knowledge elements to the technology knowledge elements to be matched
P1P2P3G11(0.2)0.024 50.010 40G12(0.5)0.210.0110.047 9G13(0.3)0.117 50.231 30.000 5G21(0.6)0.937 50.947 50.135 7G22(0.4)0.1450.860 50.19G31(0.3)0.120.347 30.22G32(0.2)0.441 50.646 10.229 5G33(0.5)0.092 50.135 70.400 9
表5 主要可供技术知识元对待匹配技术知识元的效用
Tab.5 Utility of the principal provided technology knowledge elements to the technology knowledge elements to be matched
P1P2P3G21(0.6)0.937 50.947 50.135 7G22(0.4)0.1450.860 50.19G32(0.2)0.441 50.646 10.229 5
由表5可以看出,由证据推理得到的解决方案对待匹配技术具有一定支持度,但表现时好时坏,其中纳米结构材料和太阳能电池基本得到满足。实践中,随着纳米技术发展,纳米结构材料以高质量、性能优异等特征成为多学科交叉研究热点。相关文献表明,纳米结构材料与表面活性剂应用技术差异度大、融合性强,运用技术匹配规则得出的数值较高、匹配效果较好,纳米结构材料得到满足。因此,依据匹配规则进行技术融合的纳米结构材料与表面活性剂应用技术生成突破性技术的可能性更大。目前,利用表面活性剂辅助的水溶液方法成功合成多种形态的纳米结构材料[31],在表面活性剂的参与下,利用水热反应可以合成具有增强性能的光致发光银—聚咔唑核壳型复合物纳米结构材料[32],表明依据证据推理得到的解决方案对纳米结构材料具有一定支持度。太阳能电池技术与表面活性剂技术融合生成突破性技术的可能性也很大,相关研究利用表面活性剂包覆多金属氧簇复合物作为阴极界面层、三维表面活性剂—石墨烯复合阴极界面材料,并将其应用于太阳能电池中[33-34]。这表明,可供技术对太阳能电池技术也具有一定支持度。太阳能电池技术与纳米结构材料既作为待匹配技术又是可供技术,目前相关研究将纳米结构材料应用于新型太阳能电池研发,其能够大幅提升太阳能电池性能[35],因此这两种技术互为可供技术。然而,半导体加工—电极支持度较低,没有得到满足,未来还会继续存在。当新的待匹配技术或新的技术知识来源出现后,依然可以依据上述方法得到新匹配方案。方案的最终确定取决于技术匹配过程中涉及到的各种因素,参考式(16)可以得到某时段最佳技术匹配方案。
当前,随着技术融合与学科交叉不断推进,受突破性技术创新驱动,技术结构和创新模式发生改变,先前许多不相关技术逐渐变得相互交叉与关联,识别这些技术并进行良好的匹配不仅能够提高技术利用效率,还能够创造性地实现突破性技术创新。本文从微观和宏观两个层面解释突破性技术创新情境下技术和技术知识元匹配机理:一方面,技术匹配方通过技术匹配规则获得技术提供方提供的技术,对其进行技术融合后形成新技术,并继续寻找能与之相匹配的其他技术提供方,形成一个持续发展的良性循环;另一方面,技术新颖度、差异度和融合度是影响技术知识元实现突破性技术创新的关键因素,为技术匹配规则提供依据。在此基础上,本文将技术提炼分解为知识元组合形式,并提出技术匹配规则,根据提供技术知识来源的分散性、不完全性和不确定性特点,应用证据推理方法,对不同级别的不确定性技术知识进行融合,通过技术匹配规则找到技术匹配方法。迅速有效的技术匹配是进行技术融合进而实现突破性技术创新的有效途径,为国家科技创新管理和企业发展规划提供了方法和策略支持。
本文存在一些不足:仅提出技术匹配过程中某时段技术匹配方案,在实践中还要考虑不同阶段待匹配技术要求变化及匹配方案效果。通过技术融合实现突破性技术创新,待匹配技术变动要求可供技术也随之变动,待匹配技术既包括技术融合前已得到满足或部分满足的技术,也包括技术融合后形成的新技术,其依然会产生新技术匹配要求,待匹配技术结构随着技术的不断融合和创新而发生改变,因此技术匹配方案除考虑某一时段技术匹配外,还要考虑不同阶段待匹配技术要求变化和匹配方案效果,建立一个整体技术匹配方案最优策略,这也是本文后续需要重点探讨的内容。
[1] SRIVASTAVA M K,GNYAWAL D R. When do relational resources matter? leveraging portfolio technological resources for breakthrough innovation [J].IEEE Engineering Management Review, 2017, 45(2):83-96.
[2] MCDERMOTT C M, O'CONNOR G C. Managing radical innovation: an overview of emergent strategy issues [J]. Journal of Product Innovation Management, 2002, 19(6):424-438.
[3] SCHOENMAKERS W, DUYSTERS G. The technological origins of radical inventions [J]. Research Policy, 2010, 39(8):1051-1059.
[4] 周磊,杨威,王芮.技术融合视角下新兴技术识别研究[J].科技进步与对策,2018, 35(15): 57-62.
[5] LEI D T. Industry evolution and competence development: the imperatives of technological conergence [J]. International Journal of Technology Management, 2000, 19(7-8): 699-738.
[6] KODAMA F. Emerging patterns of innovation: sources of Japan's technological edge[J]. R&D Management,1996, 26(2): 179-181.
[7] BORES C, SAURINA C, TORRES R. Technological convergence: a strategic perspective[J].Technovation, 2003, 23(1): 1-13.
[8] NO H J,PARK Y. Trajectory patterns of technology fusion: trend analysis and taxonomical grouping in nanobiotechnology[J]. Technological Forecasting and Social Change,2010,77(1):63-75.
[9] 李丫丫,赵玉林.基于专利的技术融合分析方法及其应用[J].科学学研究,2016, 34(2): 203-211.
[10] KIM J,LEE S. Forecasting and identifying muti-technology convergence based on patent data: the case of IT and BT industries in 2020[J]. Scientometrics,2017,111(1):47-65.
[11] KIM E,CHO Y,KIM W. Dynamic patterns of technological convergence in printed electronic technologies: patent citation network[J]. Scientometrics,2014,98(2):975-998.
[12] 娄岩,杨培培,黄鲁成,等.基于专利的技术融合测度方法——以信息技术与电动汽车技术的融合为例[J].现代情报,2017, 37(8):142-153.
[13] 宋呈晓,苗红.基于专利的技术融合趋势的驱动因素研究[J].情报杂志,2017,36(12):98-105.
[14] 邵云飞,党雁,王思梦.跨界创新在突破性技术创新模糊前端的作用机制[J]. 科技进步与对策,2018,35(22):8-16.
[15] BROWNLIE D T, MACBETH D K. The strategic management of technology: integrating technology supply and demand perspectives [J]. European Management Journal, 1989, 7(1): 71-83.
[16] KLERKX L, LEEUWIS C. Matching demand and supply in the agricultural knowledge infrastructure: experiences with innovation intermediaries [J]. Food Policy, 2008, 33(3): 260-276.
[17] HUNG S H, LIN C H, HONG J S. Web mining for event-based commonsense knowledge using lexico-syntactic pattern matching and semantic role labeling[J]. Expert Systems with Applications, 2010, 37(1): 341-347.
[18] 张娴,胡正银,茹丽洁,等. 技术供需信息关联知识组织模式研究[J].图书情报工作,2016, 60(8): 118-125.
[19] 朱卫东,吴勇.证据推理理论、方法及其在决策评估中的应用[M].北京:科学出版社,2016:10.
[20] 李纲,余辉,梁镇涛,等.技术交易中供需匹配影响因素研究——基于TOE框架的组态分析[J]. 情报理论与实践,2022,45(2):85-93,120.
[21] 汤胤,欧治花,陈杏惠,等.兴趣社交网络中的供需匹配研究:以豆瓣网为例[J].管理工程学报,2015, 29(2): 41-50.
[22] 胡健,菅会芳,孙金花.基于模糊案例推理的浅隐性知识供需匹配研究[J].情报理论与实践,2016,39(4): 84-88.
[23] CURRAN C, BRORING S, LEKER J. Anticipating converging industries using publicly available data[J].Technological Forecasting &Social Change,2010,77(3):385-395.
[24] CHANDY RK,TELLIS GJ. Organizing for radical product innovation: the over-looked role of willingness to cannibalize[J].Journal of Marketing Research, 1998,35(4):474-487.
[25] 张金柱,张晓林.利用引用科学知识突变识别突破性创新[J].情报学报,2014,33(3):259-266.
[26] FLEMING L. Recombinant uncertainty in technological search[J].Management Science, 2001,47(1):117-132.
[27] BERGEK A, BERGGREN C, MAGNUSSON T, et al. Technological discontinuities and the challenge for incumbent firms:destruction, disruption or creative accumulation[J].Research Policy, 2013, 42:1210-1224.
[28] 娄岩, 杨嘉林,黄鲁成,等.基于专利共类的技术融合分析框架研究——以老年福祉技术与信息技术的融合为例[J].现代情报, 2019, 39(9): 41-53.
[29] 张全,樊治平,孟军.D-S理论在不确定性多属性决策中的应用[J].系统工程与电子技术,1999,21(11):7-10.
[30] 吕一搏,韦明,林歌歌.基于专利计量的技术融合研究:判定、现状与趋势——以物联网与人工智能领域为例[J].科学学与科学技术管理,2019,40(4):16-31.
[31] 周广军.表面活性剂辅助的纳米材料的控制合成和机理研究[D].济南:山东大学,2003.
[32] 卓玉江.利用表面活性剂辅助的溶液路线在金属基片上生长异质结构纳米材料及性能研究[D].长春:东北师范大学,2013.
[33] 张宏伟.表面活性剂包覆多金属氧簇复合物作为阴极界面层在反式聚合物太阳能电池中的应用及机理的研究[D].长春:吉林大学,2020.
[34] FEI PAN, SONG BAI, XIAN WEI. 3D surfactant-dispersed graphemes as cathode interfacial materials for organic solar cells [J]. Science China Materials, 2021, 64(2):277-287.
[35] 王康.基于微纳米结构增强有机聚合物薄膜太阳能电池光吸收的研究[D].厦门:华侨大学,2019.