The collaborative agglomeration between environmental protection industry(EPI) and manufacturing industry is a subdivision mode of industry heterogeneity. This paper named it eco-collaborative agglomeration according to its significant ecological closed-loop function and positive environmental externalities on the basis of comparing its cause, effect and correlation with general collaborative agglomeration. The eco-collaborative agglomeration index is measured based on location entropy, and the green economic effect and spatial spillover effect of eco-collaborative agglomeration are investigated using The Durbin model SDM, based on the short panel data from 2013 to 2019. Finally, the data were divided into coastal and inland groups, and the differences of the characteristics of the two groups are compared.
The results are presented as follows. The green economic efficiency is a comprehensive index to measure sustainable economic development essentially and has the obvious characteristics of path dependence. The level of the current green economy efficiency is greatly affected by the efficiency of the early stage, showing obvious positive feedback and dynamic accumulation effect in it's development process. The U-shaped feature is shown by the promoting effect of eco-collaborative agglomeration on green economic efficiency on a national scale, and there is significant spatial heterogeneity. The degree of eco-collaborative agglomeration is higher in coastal area, which has an effective promotion effect on the efficiency of green economy, while the degree is lower level in inland area, which shows an inhibition effect on the efficiency of green economy. The eco-collaborative agglomeration has a positive spatial spillover effect, and the eco-collaborative agglomeration in neighboring areas has a significant positive impact on the improvement of local green economic efficiency, however, the spillover effect in coastal areas is much greater than that in inland areas. The environmental regulation can promote the efficiency of green economy through ecological agglomeration. At present, the effect of environmental regulation in coastal areas shows postitive, while the effect in inland areas shows shading effect. In addition, the regulation spillover effect in coastal areas is significantly positive, while that in inland areas is significantly negative.
According to the conclusions, the corresponding policy suggestions are put forward as follows. It is necessary to form a linkage mechanism between ecological economic evaluation and regulation intensity adjustment, and to control the regulation level within a reasonable range based on the calculation of green economic efficiency index and other indicators according to local development situation. It is necessary to ensure the strong execution and level of regulations, and to promote the growth of EPI, which can expand the scale of terminal treatment of industrial pollution to improve the efficiency of the green economy. The governments in coastal area should further stabilize and gradually improve the level of environmental regulation to force the optimization of manufacturing structure and adoption of cleaner technology. The governments of inland areas should maintain a reasonable ecological regulatory bottom line to prevent "pollution paradise" phenomenon, meanwhile, the governments should start ecological index evaluation and multi-stage warning mechanism to adjust the regulation intensity according to the results of evaluation in time, in order to maintain the regional ecological environment quality. Only in this way can they get out of the trap of "sacrificing environment for economy". Finally, it is equally important to establish and improve the policy system of supporting EPI, to build a third-party network operation platform suitable for the development of EPI. It is very important to include regional ecological quality and social welfare evaluation indicators into the scope of inspection of local officials' achievements, and to formulate reasonable and appropriate development strategies in accordance with local conditions, so as to promote regional sustainable and high-quality coordinated development effectively. The conclusion can provide important reference for decision-making in how ecological agglomeration promotes regional green economy efficiency and high-quality development.
目前,产业集聚已成为工业化时代自然资源配置和产业空间组织的典型方式[1]。在东部沿海地区,制造业与生产性服务业已形成较大规模集聚,中西部也着力推进以工业园区为代表的产业集聚,以促进区域经济增长,集聚化发展已成为中国经济社会发展的重要引擎。现阶段,中国经济正由以结构性加速为特征的规模扩张阶段进入以结构性减速为特征的高质量发展阶段,污染物排放与产业集聚高度重叠导致的区域性生态问题日益突出,正面临产业结构性升级与生态环境改善的双重压力。因此,在经济发展与环境改善之间寻求平衡路径从而提升绿色经济效率成为未来一段时间关乎高质量发展的关键问题。在这种背景下,促进环保产业发展及其与制造业之间的协同集聚很可能成为这种平衡路径上的可行解,但环保产业与制造业之间的协同集聚是否存在绿色经济效应和空间溢出效应?如果存在,其机制和作用路径如何?目前回应这些问题的相关研究较少,因此存在进一步深入探讨的空间。
已有研究表明,生产性服务业与制造业协同集聚对产业结构[2-4]、制造业效率[5]、城市经济增长率[6]、能源效率[7]以及创新效应[4,8]具有显著影响和空间溢出效应[3,5,9],但存在显著的行业异质性和区域异质性[7,10];在考虑环境非期望产出的前提下,协同集聚对绿色经济效率的促进作用呈现倒U型[7,9,11]、U型[12-13]等特征,且可能存在门槛效应[4-5,11]并受多种因素影响。同时,集聚对污染影响的实证结论并不一致,部分研究认为协同集聚能够有效减少污染物排放[14],部分研究则证实污染与集聚存在正相关关系[15],也有研究提出协同集聚与污染之间存在较为复杂的非线性关系和行业异质性[13]。由此可见,协同集聚可能从产业结构、生产效率和污染排放等多重路径作用于绿色生产效率,作用机理较为复杂,其中较为一致的结论是集聚对绿色经济效率的影响存在显著的行业异质性特征[5,10,14]。部分研究者针对协同集聚行业异质性引起的区域生产效率[16]、绿色经济效率[11]变化进行分析,却鲜有考察环保产业与制造业协同集聚对区域绿色发展的影响。原因可能在于,环保产业作为新兴产业,2015年之后才表现出一定规模效应,2014年之前的产业分类并未明确划分,因而统计数据可得性较差。本文基于企业层面的微观数据,在细分集聚模式视角下考察环保产业和制造业协同集聚与一般协同集聚的异同,同时考察集聚的绿色经济效应及其溢出效应。
本文的边际贡献在于:首先,分析环保产业和一般制造业协同集聚与一般协同集聚的共性及差异,在此基础上,将其从产业协同集聚概念中提取出来并命名为生态化协同集聚;其次,结合环保产业与一般制造业耦合协同的特点,探讨生态化协同集聚对区域绿色经济效率的作用机理和空间溢出效应;最后,在研究方法上,采用杜宾模型(SDM)进行空间计量分析,并引入二次项分析集聚对效率的非线性影响,同时考虑到集聚空间分布的差异性,对比分析沿海和内陆地区集聚效应的异质性特征。
产业集聚作为重要经济发展模式,对区域经济、生态的影响越来越受到关注,学界对产业集聚的认识也从单一产业集聚逐步深化扩展到异质产业之间的协同集聚。Marshall[17]最早关注产业集聚现象,此后,Porter[18]、Krugman[19]分别对集聚进行定义,认为产业集聚是指工业企业大规模集中。Ellison&Glaeser[20]提出产业协同集聚(Collaborative agglomeration)概念,认为产业协同集聚是指存在水平关联或垂直关联的异质性产业在地理空间上的集中,其中,垂直关联是指产业链上下游产业之间的物质化联系和直接经济协同关系,水平关联是指产业链上邻近或同质产业间的非物质联系和非直接性经济协同,如显性与隐性知识溢出、共享要素市场等。可见,Ellison&Glaeser[20]定义的协同集聚强调参与产业之间直接的或潜在的协同关系,是指相关联产业之间的集聚现象,其内涵基本与多样化集聚一致,主要是指异质性相关联产业之间的集聚。目前,国内外产业协同集聚的实证研究主要集中在制造业与生产性服务业协同集聚方面[2-3,11,13]。本文研究对象一般制造业(制造业中除废弃资源综合利用业,水的生产和供应业,环保、社会公共服务及其它专用设备制造业外的其余所有行业)与环保产业协同集聚是制造业与生产性服务业协同集聚的特殊模式,是协同集聚异质性的表现。鉴于其外部性表现出的生态效应[12-14],且考虑到行文方便,本文先将其命名为生态化协同集聚(Ecological Co-agglomeration)再阐述理由,生态化协同集聚与一般协同集聚(制造业与生产性服务业的共聚形式)在以下3个方面存在显著差异:
(1)动因差异。制造业与生产性服务业的关系属于天然的分工合作关系,生产性服务业最初是制造业的一部分,是因社会分工深化从制造业分离出来的衍生产业,生产性服务业服务于制造业部门并受其自身可贸易性限制[21],二者之间存在紧密的协作共生关系。制造业与生产性服务业集聚动力来源于企业逐利的经济性动机,集聚有利于降低交易成本、共享劳动力等要素市场、促进知识流动与技术溢出等[17,19]。生态化协同集聚的动因是排污产业(企业)迫于环境规制等制度性压力,需要内化环境负外部性,因而寻求与环保产业合作,以规避规制处罚、节约成本。从这个意义看,一般协同集聚属于自发性集聚,主要受经济因素驱动,具有较强的自组织特征;生态化协同集聚是规制条件下产生的被动性集聚,对规制具有较高的敏感性,具有一定程度的他组织特征。
(2)效应差异。生态化协同集聚与协同集聚的溢出效应既有共性也有差异,这源于二者之间存在所属关系。一般协同集聚的溢出效应主要体现在MAR外部性、Jacobs外部性和Porter外部性共同作用形成的动态外部性上,技术、知识和人力资本在行业内共享与扩散,高度竞争的市场环境、邻近市场的便利性以及运输成本的下降,都能够从不同方面降低交易成本、提高要素可得性进而提升整体竞争优势[3]。生态化协同集聚是协同集聚的特殊形态,除具有以上溢出效应外,还具有较为显著的环境正外部性。原因在于,环保产业的末端处理功能能够降低工业污染物在环境中的浓度从而改善环境质量,提高生态经济效率,有利于产业生态化和绿色可持续发展。而一般协同集聚的生态效应较为复杂且尚未形成一致结论[14-15]。
(3)联结关系差异。一般协同集聚中的产业与其横向或纵向关联产业发生联系的场所为传统交易市场或要素市场,经过多年发展,相关市场结构和体制较为完善,因而联结较为顺畅,效率较高,易于形成稳定的长期合作关系网络。作为生态化协同集聚交易载体的第三方治理市场是新兴事物,各方面规则尚不完善,机制尚未理顺,且存在高度的政策敏感性,导致生态化协同集聚的联结阻力较大、效率不高且联结稳定性较差[22]。
综上所述,虽然环保产业具有生产性服务业的基本属性,与一般制造业构成的生态化协同集聚本质上属于协同集聚,但二者在集聚动因、关联方式、外部效应等方面存在显著差异。生态化协同集聚在功能上属于生态型合作关系,具有显著的生态效应,有助于实现产业生态化闭环,降低制造业环境负外部性。因此,生态化协同集聚被视为产业生态化的重要途径之一,有必要将其从协同集聚概念中提取出来,进一步考察其作用机理及溢出效应的特异性。
绿色经济是指不依赖于能源过度消耗、不会对环境产生恶性非可逆影响的可持续性经济活动。绿色经济效应是指现有经济状态向更为绿色经济状态转变的现象和过程。区域绿色经济效率是衡量特定时空范围内经济发展与环境质量最有效的综合指标[7-8],它能够将经济发展指标与污染物指标统一于同一评价框架内,考察环境约束条件下的经济增长效率,因而绿色经济效率能够较好地反映绿色经济效应的速率和质量。基于此,本文将绿色经济效率作为区域绿色经济效应的表征变量,着重分析生态化协同集聚对区域绿色经济效率的影响。由于生态化协同集聚是基于制造业与环保产业各自专业化聚集形成的衍生型集聚,因而兼具专业化集聚的MAR外部性和多样化集聚的Jacobs外部性,而协同集聚对产业生产效率和污染排放均存在较为复杂的影响[12],这就意味着生态化协同集聚可能通过多重路径对绿色经济效率产生影响。
表1 生态化协同集聚与协同集聚对比
Tab.1 Comparison between eco-collaborative agglomeration and collaborative agglomeration
集聚模式参与对象关联方式集聚效应集聚动因集聚模式专业化集聚同质性或邻近产业水平关联,间接性非物质关联规模效应,MAR外部性,知识溢出效应[17]技术溢出,邻近要素市场,规模效应[3]经济效益驱动的自组织聚集产业集聚协同集聚一般协同集聚一般指制造业与生产性服务业垂直关联,直接性经济关联Jacobs外部性,竞争优势,知识溢出效应[23]知识共享,有效竞争、协同效应,降低交易成本,竞争优势[20]生态化协同集聚环保产业与一般制造业基于第三方治理市场的交易关联MAR外部性,Jacobs外部性,生态效应知识共享,协同效应,市场邻近,规避规制处罚,承担社会责任生态效益驱动,具有部分它组织特征
生态化协同集聚对绿色经济效率的促进作用可能有3条实现路径。首先,环保产业专业化集聚通过空间地理邻近性降低企业技术交流和异质性社会资源获取难度,进而改善集聚企业间的信息不对称问题。这有利于集聚企业依赖知识溢出效应和专业化效应提高生产效率及中间产品获取,进而实现产业整体资源利用率和生产效率提高。同时,制造业专业化集聚通过专业化效应和学习效应提高产业清洁生产效率,进而促进地区整体绿色经济效率提高。其次,生态化协同集聚能够强化异质性产业间的横向和纵向联系,通过产业间的协同作用和耦合机制提高生产要素匹配规模与效率,从而实现区域生产效率与各行业生产率之间的循环因果效应[5],呈现出正反馈放大趋势。最后,生态化协同集聚的porter外部性主要通过价格竞争效应和产业化竞争效应影响区域经济效率。集聚带来的产业内部竞争加剧,必然导致行业内企业通过改善服务与产品质量扩大需求、求得生存,这会间接提高制造业对环保产业产品与服务的使用效益,降低制造业污染治理成本,提升制造业绿色经济效率。基于以上分析,提出如下假设:
H1:生态化协同集聚对绿色经济效率具有正向影响。
生态化协同集聚对绿色经济效率的影响路径是复杂的、多方面的,可能存在非线性关系,也可能存在一定滞后性和抑制作用。集聚具有渐进性和过程性特征,制造业集聚先于环保产业集聚而存在,环保产业在集聚过程初期可能面临第三方市场机制不完善、外部规制执行波动以及与制造业耦合不稳定等多方面不确定性因素的影响,导致集聚对绿色经济效率影响的异步性或波动性。集聚作为一种产业动态演化系统,其边际收益遵循收敛铁律,超过一定阈值则可能产生过度竞争、资源配置失衡等市场拥挤现象,也可能因公共基础设施与服务不完善而导致环境拥挤现象,最终导致市场秩序紊乱,降低生产效率。在拥挤效应出现后,由于企业定址后存在空间粘性、设备投入等沉没成本,导致集聚企业无法及时易址分散,造成短期内的拥挤效应。鉴于国内生态化协同集聚尚处于起步阶段,磨合效应可能较为显著,因而提出如下假设:
H2:生态化协同集聚对绿色经济效率的影响存在U型特征。
绿色经济效率由区域经济效率和环境效率共同决定,而经济水平和污染程度在一定时空范围内存在显著空间自相关和溢出效应[24],一个地区工业经济发达程度和环境污染程度对其周围区域存在影响[13,25]。因此,生态化协同集聚的空间溢出效应可以从经济效率与环境效率两条路径分别考察。近年来,我国通过大规模基础设施建设,大力发展基础信息通信[26]、公路铁路交通[27],推进市场一体化[25,28],有利于扩大交易范围、降低劳动力与信息获取成本、突破贸易壁垒,进而通过提升包含环保产业在内的生产性服务业和制造业生产效率及全要素生产率,促进本地生产效率提升。而本地生产效率提升会对周边地区人才、资本、知识等要素流动构成回波效应(backwash effect)和扩散效应(spreading effect)[25],进而对周边地区形成空间溢出效应。我国环境规制力度逐渐加大客观上促进了环保产业规模化增长,环保产业产出成为经济增长的有生动力。同时,环保产业作为产业生态化闭环的末端处理环节,能够直接降低本地区污染水平,基于污染物流动性和扩散性特征,本地区污染物浓度降低必然会缓解周边地区环境恶化,从而表现出环境溢出效应。基于以上分析,提出如下假设:
H3:生态化协同集聚具有正向空间溢出效应。
如图1所示,制造业与环保产业协同集聚对区域绿色经济效率的影响可能同时存在促进作用和抑制作用,而污染物的高流动性会导致生态效应溢出,且可能同时存在时空差异性,需要建立模型进一步深入分析。
图1 生态化协同集聚对区域绿色经济效率的影响机理
Fig.1 Mechanism of eco-collaborative agglomeration affecting green economic efficiency
空间计量模型能够结合空间地理因素与经济环境因素进行分析,克服OLS方法忽略样本空间相关性和异质性而造成误差的问题。相比于空间自回归模型(SAR)、空间误差模型(SEM)和空间自相关模型(SAC),杜宾模型(SDM)具有更优的无偏性[29]。空间计量模型基本形式如下:
![]()
(1)
其中,y为因变量,w为反映城市单元间空间相关性的空间权重矩阵,w·y为因变量的空间滞后项,γ为空间自相关回归系数,x为解释变量和控制变量,η为各解释变量对应的系数,w·x为解释变量和控制变量的空间滞后项,ρ为空间滞后系数,λ表示空间误差系数。
由于绿色经济效率提高本身是一个动态化过程,当期绿色经济效率既取决于当期因素,又受到前期因素影响。因此,本文引入被解释变量的时间滞后项,将其扩展为一个动态面板模型,从而在一定程度上克服模型内生性和遗漏变量问题对估计结果的影响。同时,引入解释变量的平方项,以考察生态化协同集聚对绿色经济效率的非线性影响。此外,环境规制是影响生态化协同集聚的重要外生因素,规制水平和执行程度对环保产业发展和生态化协同集聚具有显著影响作用[22,30]。因此,本文引入环境规制与生态化协同集聚的交乘项,进一步控制环境规制与生态化协同集聚的交互性影响。借鉴金刚等[30]、Elhorst[31]的研究成果,构建生态化协同集聚对绿色经济效率影响的基本模型。
![]()
(2)
式中,ecefit为区域绿色经济效率,ecoaggit为生态化协同集聚,regulationsit为环境规制水平;i表示观测样本,t表示年份,x表示控制变量;φi为地区固定效应,控制不随时间变化的空间特征;μt表示时间效应,控制不随空间变化的时间特征;εit为随机扰动项,λ为空间误差系数,w表示空间权重矩阵。
2.2.1 被解释变量
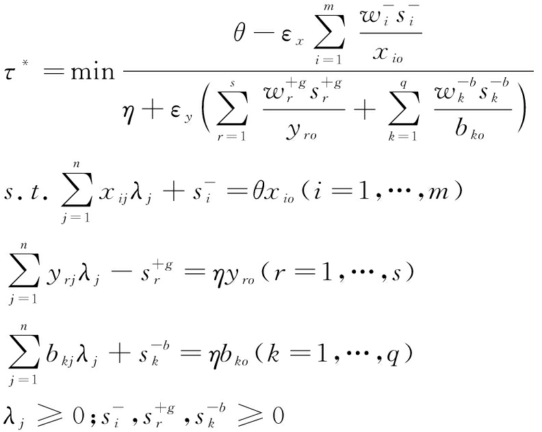
绿色经济效率(ecef)是评价区域绿色发展水平的主要指标之一[8,11],该指标强调在较少的资源消耗和污染物排放约束下实现经济增长。在区域产业生态化研究层面,绿色经济效率是一种包含非期望产出的投入产出效率,包括资本、能源、劳动力等要素投入,GDP等期望产出以及环境污染等非期望产出。Tone & Tsutsui[32]构建的Epsilon-based measure (EBM)模型能够实现径向比例与非径向松弛的相容性,本文借鉴Tone & Tsutsui[32]、林伯强[11]的方法,计算区域绿色经济效率指数。

(3)
其中,τ*∈[0,1]表示绿色经济效率;m、s、q分别表示投入要素、期望产出和非期望产出;xio、yro、bko分别表示第0个决策单元DMU的第i个投入、第r个期望产出、第k个非期望产出;
表示每个输入和输出的相对重要程度;
分别表示输入松弛、期望产出松弛和非期望产出松弛。λ为DMU的线性组合系数,εx,εy为EBM模型的参数,满足条件0≤εx,εy≤1。本研究期望产出是2013年不变价格下的区域人均GDP;非期望产出为废水、二氧化硫、氨氮和化学需氧量排放量,鉴于污染物排放的不可相加性和行业异质性,对其进行无量纲化处理;投入要素包括劳动力、资本和自然资源,劳动力投入以城市就业人数衡量,资源投入的理想衡量指标是能源消耗,考虑数据可得性,采用地区电能消耗量衡量,资本投入采用各省资本存量衡量,通过永续存盘法估算。本文数据来自国家统计局、《中国统计年鉴》及各省统计年鉴。所有价格型变量均为当年价格,为消除通货膨胀及价格波动的影响,以2013年为基期进行平减处理。
2.2.2 空间距离矩阵构建
构建空间权重矩阵是空间计量经济学分析的关键。常见的空间权重矩阵包括空间邻接权矩阵、反距离权矩阵、经济权重矩阵等[33]。根据标尺竞争理论,经济发展水平近似地区更容易出现发展同质化倾向。因此,本研究综合考虑区域间地理和经济因素,根据贸易重力模型的基本形式并结合已有研究结论[30,33],构建经济地理距离矩阵,具体计算形式如下:

(4)
其中,
为经济空间权重矩阵中的元素,当i=j时,主对角线上的元素取
分别为省份i与j之间的经济邻近矩阵;GDPit、GDPptit分别表示i省t年的国内生产总值和人均国内生产总值;DWij为省份 i与j之间的空间地理邻近程度,取值为两省会之间的距离,数据来源于国家基础地理信息系统地形数据库。为统一量纲并使空间滞后项具有加权平均解释,对经济邻近和地理距离权重矩阵先进行行标准化,然后再对经济距离权重矩阵进行行标准化处理。为保证模型统计推断的可靠性,后续采用地理距离权重矩阵DWij和经济距离矩阵
作为稳健性分析的权重矩阵。
2.2.3 核心解释变量
本文核心解释变量为生态化协同集聚指数(ecoagg)。协同集聚程度有多种测度方式,包括Ellison[20]构建的E-G指数、Duranton[34]构建的D-0指数以及陈国亮和陈建军[35]构建的γ指数。以上指数的计算均基于行业平均就业人数,存在一个前提假设,即目标产业的劳资比率差距不大,而这一前提在现实中很难满足,且国内环保产业就业人数等相关数据不易获取。因此,结合国内数据统计情况,考虑到企业产值是区域产业规模的微观体现,本文采用一般制造业与环保产业产值作为基础数据,计算二者的协同集聚度。本文借鉴杨仁发[36]的研究,计算制造业与环保产业构成的生态化协同集聚指数ecoagg。
式中,ecoaggit为一般制造业与环保产业协同集聚指数,其值越大,表示协同集聚水平越高;Maggit、Eaggit分别表示一般制造业与环保产业产值计算得到的区位熵。其中,环保产业包括废弃资源综合利用业,水的生产和供应业,环保、社会公共服务及其它专用设备制造业。以国泰安数据库中各省主营业务属于上述行业的企业当年产值加总作为区域产业总产值。采用以下方法估算当年企业产值的近似值:企业产值≈主营业务收入+当期存货净值-前期存货净值。为消除通货膨胀引起的误差,以2013年为基期进行平减。由于2013年之前的环保产业数据缺失过多,同时各种宏观数据统计截止于2019年,因此数据年份为2013—2019年。
2.2.4 控制变量
本文控制变量包括环境规制(regulations)、创新能力(innovation)、外商直接投资 (fdi)、劳动力密度 (Labor)和人均GDP(gdp_pc)。其中,环境规制是政府为将企业生产过程中对环境产生的负外部性内部化,实施的一系列法律和制度性措施,是目前各国应对环境污染的主要制度手段之一。根据波特假说,适当的环境规制能够激励企业绿色创新和污染治理活动,从而促进绿色经济效率提升。借鉴Chen[13]的方法,本文采用环境治理投资占GDP比重衡量环境规制,环境投资占比越高,表明环境规制力度越大。采用区域R&D人员全时当量(取自然对数)度量创新能力,数据来源于《中国科技统计年鉴》(2013—2019)。选取外商直接投资(FDI)占GDP比重反映区域FDI规模,并使用当期人民币对美元平均汇率进行折算。采用城镇单位就业人员总数与地区面积的比值衡量劳动力投入。采用人均GDP控制区域富裕程度。
2.2.5 数据统计描述
表2报告了主要变量的描述性统计结果。可以发现,生态化协同集聚指数(ecoagg)最大值为0.164 59,最小值为0,说明目前中国环保产业与一般制造业协同集聚程度总体较低,且区域之间差异较大。本研究数据来自《中国统计年鉴》《中国工业统计年鉴》《中国环境统计年鉴》以及国家统计局数据库、国泰安数据库。
表2 各变量描述性统计结果
Tab.2 Statistical description of variables
变量名称maxminmeanvariance生态化协同集聚度(ecoagg)(%)0.164 5900.017 6580.000 711环境规制(regulations)(%)4.596 9870.738 8662.360 7410.551 279劳动力密度(labor)(万人)7.587 4524.138 5216.139 480.610 463外国直接投资(fdi)(亿元)1.226 175-4.794 78-1.300 811.371 123创新能力(innovation)(人年)13.033 197.158 51410.652 911.775 373人均国民生产总值(gdp_pc)(万元)11.404 287.660 1429.812 6740.684 664
经检验,Moran's I指数在10%的显著性水平下拒绝不存在空间相关性的原假设,说明可以构建空间计量模型进行空间效应分析。Hausman统计量为14.08,P值为0.049 7,表明在5%的概率下显著拒绝个体效应与解释变量不相关的随机效应原假设,因而应采用固定效应模型进行分析。为提高估计结果的稳健性,本文构建基准回归估计固定效应空间杜宾模型,以SLM固定效应空间滞后模型作为对照组,为消除可能存在的异方差和序列相关影响,在估计过程中均使用稳健标准误。实证结果如表3所示。
表3 空间估计结果
Tab.3 Results of Spatial estimation
变量SAR(1)(2)(3)SDM(4)(5)(6)ecoagg-3.119 8***-3.774 3-5.116 7-1.978 7*-1.635 2-6.171 6*[-3.55][-1.49][-1.62][-1.95][-0.49][-1.67]ecoagg211.249 113.638 76.734 214.255 9[1.12][1.23][0.38][0.78]ecoagg×regulations0.708 2*2.357 8***[1.65][6.36]regulations-0.066 1***-0.047 2***-0.051 4***-0.115 6***-0.080 9***-0.109 1***[-6.68][-4.63][-4.02][-11.95][-8.38][-9.04]labor-0.895 9***-0.641 6***-0.6159***-2.318 9***-1.585 8***-1.853 4***[-13.01][-8.38][-7.62][-24.20][-7.82][-10.07]fdi0.024 1***0.016 4***0.015 5***0.043 9***0.030 2***0.031 6***[4.83][2.98][2.79][8.84][5.95][6.21]innovation-0.035 9-0.053 7*0.049 2-0.081 5***0.072 5**0.083 2***[-1.08][-1.76][1.60][-3.08][2.23][2.61]gdp_pc0.167 0**0.175 9**0.172 8**0.492 6***0.447 0***0.579 2***[2.13][2.12][2.28][7.56][3.79][5.15]L.ecef2.965 3***2.336 5***2.278 5***3.976 3***2.934 6***3.003 6***[47.09][22.30][20.67][87.52][21.31][20.70]W×ecoagg-0.141 54.901 24.856 4[-0.03][0.86][0.85]W×regulations-0.259 2***-0.173 1***-0.158 9***[-5.58][-3.74][-3.35]ρ0.566 9***0.593 5***0.603 4***0.498 1***0.555 0***0.533 0***[6.79][6.42][6.75][6.90][6.32][6.22]R20.6150.630 10.635 80.541 80.562 40.547 1log-likelihood50.992 5143.419 1151.042 3-117.921 662.978 258.455 7
注:[]表示t统计量,***、**、*分别表示1%、5%、10%的显著性水平,下同
表3结果显示,SDM模型的拟合优度较好。空间自回归系数ρ通过1%的显著性检验,表明绿色经济效率具有显著空间溢出效应,H3得到支持。区域绿色经济效率的时间滞后项(L.ecef)估计系数在1%的水平下显著为正(3.003 6),说明前期绿色经济效率对当期绿色经济效率具有正向作用,当期绿色经济效率水平受到前期效率的影响较大。绿色经济效率本质上属于度量经济可持续发展的综合性指标,具有路径依赖特征,在发展过程中会呈现出较为明显的正反馈和动态积累效应。本地生态化协同集聚度(ecoagg)的估计系数在10%的显著性水平下为负(-6.171 6),说明环保产业与一般制造业协同集聚程度尚未在全国范围内对绿色经济效率形成正向驱动,H1并未得到支持。其平方项系数(ecoagg2)和邻近区域集聚程度(W×ecoagg)均未通过显著性检验,因而无法进行有效的统计推断。鉴于生态化协同集聚对绿色经济效率的影响可能存在较为明显的时空异质性且容易被其它因素掩盖[30],导致总体回归结果不显著,因而有必要进一步分析不同区域和时段下生态化协同集聚对绿色经济效率的异质性影响。
控制变量中,环境规制的估计系数为-0.109 1且在1%的置信水平下显著,说明从全国范围看,环境规制对绿色经济效率具有负向影响,环境规制力度加大会抑制绿色经济效率提高。这可能是由于环境规制对企业的激励具有一定偏向性,短期内企业为应付高水平规制,更加倾向于加大治污投入,而不是选择开发清洁性生产技术,导致遵循成本效应大于创新补偿效应。同时,环保产业尚处于初期发展阶段,其净化能力尚不足以完全消化制造业排放。两方面共同作用下,制造业治污支出“事倍功半”,导致环境规制对绿色经济效率的促进作用不显著。
生态化协同集聚对绿色经济效率的作用会因指标选取和估计模型不同而存在差异,为检验前文回归结果的稳健性,本文将被解释变量替换为只含一种非期望产的全要素生产率(ecef2)(投入要素不变,非期望产出为二氧化硫排放量)。同时,考虑到空间矩阵对模型结果具有较为显著的影响,因而采用空间地理距离矩阵DW和经济距离矩阵TDW2考察回归结果的稳健性,结果如表4所示。
表4 稳健性检验结果
Tab.4 Results of robustness test
变量(1)(2)(3)ecef2TDW2(经济距离矩阵)DW(地理距离矩阵)ecoagg-77.821 3***-6.137 1*-5.988 3[-104.44][-1.67][-1.62]ecoagg2920.461 7***14.351 113.913 5[353.94][0.79][0.76]ecoagg×regula-tions13.050 4***2.338 6***2.288 3***[48.43][6.34][6.19]regulations-0.121 1***-0.108 2***-0.106 8***[-15.45][-9.00][-8.90]labor14.193 3***-1.830 9***-1.808 4***[115.10][-9.90][-9.73]fdi0.011 2***0.031 3***0.030 8***[2.87][6.15][6.06]innovation1.888 7***-0.081 6**-0.080 9**[76.19][-2.56][-2.54]gdp_pc0.850 6***0.572 6***0.565 3***[14.69][5.09][5.08]L.ecef1.984 6***2.986 6***2.957 4***[11.75][20.60][20.35]w×ecoagg742.948 5***4.957 64.700 7[331.53][0.86][0.82]w×regulations-0.209 4***-0.158 7***-0.158 8***[-8.62][-3.33][-3.34]ρ13.633 3***0.537 3***0.537 7***[97.56][6.31][6.26]R20.334 90.548 40.549 2
表4中列(1)为仅含一种非期望产出的全要素生产率回归结果,列(2)、(3)分别为采用经济距离矩阵TDW2和地理距离矩阵DW的估计结果。表4中生态化协同集聚指数(ecoagg)、绿色经济效率(ecef)的时间滞后项与空间滞后项、环境规制(regulations)等控制变量的估计系数符号与表3的估计结果基本一致,差异性仅表现在个别系数的显著性及数值大小上。因此,能够进一步说明生态化协同集聚对绿色经济效率的影响作用及空间溢出效应具有稳健性。
中国地域辽阔,沿海与内陆地区在地理、环境、资源等方面具有较大差异,加之近年来东西部地区经济发展速度逐渐拉开差距,导致沿海与内陆地区生态化协同集聚对绿色经济效率的影响可能存在异质性。基于此,本文将研究样本分为沿海地区和内陆地区两组(吉林、辽宁、天津、山东、江苏、上海、浙江、福建、广东、广西、海南11个省份为沿海地区,其余省份为内陆地区),在空间异质性前提下进一步分析生态化协同集聚对地区绿色经济效率的影响,并对比两种经济距离矩阵的回归结果,如表5所示。可以看出,两种空间权重矩阵下的回归结果系统性差异不大,说明回归结果具有稳健性。
表5结果显示,沿海地区生态化协同集聚(ecoagg)的估计系数在1%的水平下显著为正(795.672 3),内陆地区(-5.1287)则不显著;两类地区生态化协同集聚的二次项(ecoagg2)系数均为正,但沿海地区显著而内陆地区不显著。其经济含义是,沿海与内陆地区生态化协同集聚对绿色经济效率的影响均呈U型特征,H2得到支持。但二者的曲线形态和发展趋势有所不同,沿海地区已经进入U型曲线的右半支,表现为显著促进作用,随着集聚程度提高,效率也会同步提升,H1得到部分支持;内陆地区仍处于U型曲线的左半支,内陆地区U型曲线谷底值为0.128,说明生态化协同集聚度超过阈值,其对绿色经济效率的正向促进作用才能显现,而目前内陆地区所有省份的生态化协同集聚度均未能达到这一阈值,因而内陆地区生态化协同集聚对绿色经济效率表现出一定抑制作用。这反映出生态化协同集聚作为产业发展新模式所具有的动态特征和时变特征。其理论机理在于,生态化协同集聚中的环保产业是在环境规制压力下发展壮大起来的衍生产业,协同集聚之初,制造业规模远大于环保产业,带来的环境污染较为严重,生态化协同集聚过程中,两种产业系统需要不断试错调整,以建立广泛的网状联系和稳定的交易市场,因而早期会表现出较为突出的磨合效应和滞后效应,表现为生态化协同集聚对绿色经济效率的促进作用不明显甚至是抑制作用;从磨合期过渡进入稳定发展期后,环保产业规模和产能提升至较高水平,环境污染得以缓解,表现为区域绿色经济效率提升。因此,生态化协同集聚对绿色经济效率表现为先抑制后促进的U型特征。沿海地区显著而内陆地区不显著,则可能是因为,沿海地区凭借其人力、政策、区位等优质禀赋资源,已经进入区域发展的正反馈形态,在此基础上形成的生态化协同集聚能够依托其本身优势有效提高地区绿色经济效率;内陆地区在缺乏禀赋优势的前提下,经济增速一直落后于沿海地区,加之内陆地区自然生态的脆弱性导致环境承载能力较弱,使得其发展面临更多约束,因而尚未进入正反馈形态,生态化协同集聚在这一阶段难以对绿色经济效率产生促进作用。
表5 空间异质性估计结果
Tab.5 Results of spatial heterogeneity analysis
变量沿海TDW1矩阵TDW2矩阵内陆TDW1矩阵TDW2矩阵ecoagg795.672 3***781.153 5***-5.128 7-5.157 6[593.10][578.71][-1.28][-1.29]ecoagg23.1e+03***3.1e+03***20.420 620.606 9[664.17][662.60][1.44][1.45]ecoagg×regulations1.9e+02***1.9e+02***1.6890***1.7069***[319.08][317.58][5.06][5.12]regulations2.096 5***1.907 3***-0.105 8***-0.106 9***[171.07][155.30][-9.54][-9.68]labor83.885 6***78.582 7***-1.651 3***-1.669 9***[467.25][433.80][-10.67][-10.82]fdi0.074 4***0.126 8***0.039 9***0.040 5***[14.20][24.09][7.67][7.77]innovation2.115 8***2.006 3***0.014 00.016 4[64.02][60.98][0.52][0.61]gdp_pc64.162 5***62.782 6***0.546 0***0.553 2***[424.61][414.26][3.58][3.62]L.ecef43.306 2***36.972 8***3.365 7***3.396 0***[564.67][470.31][32.32][32.87]W×ecoagg1.2e+04***1.1e+04***22.050 2**22.629 4***[588.56][578.88][2.55][2.61]W×regulations6.245 6***5.569 5***-0.246 0***-0.250 5***[117.95][103.80][-6.36][-6.41]ρ35.979 1***34.946 9***0.500 9***0.495 5***[344.11][334.75][6.77][6.73]R20.110 40.123 70.548 80.546 9
两类地区邻近区域生态化协同集聚的估计系数ρ均显著大于0(均大于0.495 5),说明生态化协同集聚具有正向溢出效应,邻近区域的生态化协同集聚对于本地绿色经济效率提高具有显著正向影响,H3得到支持。环保产业在空间上集聚,能够促进环保产业规模效应显现,从而提高对制造业污染排放的处理净化能力,有助于降低本地污染和碳排放,而污染物具有空间流动性和溢出性,本地污染物浓度降低会对周边地区环境产生良性影响。同时,沿海地区的溢出效应远大于内陆地区,可能是因为沿海地区集聚程度较高,加之低海拔地区的降雨和季风气候有利于污染物扩散和稀释。
沿海地区环境规制对本地绿色经济效率的估计系数显著为正(2.096 5),内陆地区则显著为负(-0.105 8);生态化协同集聚与环境规制的交乘项显著为正。说明环境规制通过生态化协同集聚能够对绿色经济效率产生促进作用,其中沿海地区环境规制对绿色经济效率的影响表现为促进作用,而内陆地区则表现为抑制作用。机理如下:环保产业属于高政策敏感性产业,环境规制对环保产业和生态化协同集聚具有显著激励效果[22],因而能够借助环保产业的末端净化功能降低区域污染物浓度,进而从治污角度对绿色经济效率起促进作用,表现为二者交乘项显著为正。环境规制作用于绿色经济效率的路径包括制造业清洁型技术创新(减排)和环保产业规模扩大(治污)。沿海地区产业结构更为合理、生产技术更为先进,意味着在相同规制水平下,沿海地区制造企业基于前期雄厚的技术积累,可能更倾向于选择清洁型生产技术,以追求减排的长效性,同时,技术创新带来的收益能够抵消甚至超过规制带来的合规成本,因而沿海地区规制对绿色经济效率表现出正向促进作用。相对于沿海地区,内陆地区存在产业结构偏重且优化程度不高、资本劳动比率偏低以及生态脆弱性等不利因素,规制水平过高会抑制本地区对产业转移的承载能力,同时环保产业尚未形成规模效应,导致制造业治污成本高、效果差,因而内陆地区环境规制对绿色经济效率表现出抑制作用。创新能力(innovation)在沿海地区显著为正而在内陆地区不显著也能侧面说明该问题。
此外,沿海地区环境规制的溢出效应显著为正,而内陆地区显著为负。说明沿海地区形成了“以邻为伴”的发展模式,本地环境规制力度加大会对周边区域产生良性影响,带动周边地区效率提高;内陆地区处于“以邻为壑”的发展模式,本地环境规制力度加大会抑制周边区域效率提高。可能的机理在于:一方面,生态集聚的主要动因之一是环境规制等制度化因素的贯彻,而环境规制的制定和执行程度与区域生产率存在较为明显的双向因果关系,即生产率较高的地区对环境的要求相应也高,沿海富裕地区政府有可能内生性地选择更大的环境规制力度,导致沿海地区间的规制强度趋同,降低企业避规迁徙产生的空间替代效应,同时也促进环保产业规模扩大。另一方面,沿海地区持续优化产业结构会促进制造业资本劳动比率提高,一般非技术性劳动力支出在成本中的占比下降,且制造业与生产性服务业的规模效应和协同效应日趋显著,因而沿海地区集聚对企业产生的粘性较大,进一步增加了其向低规制地区迁移的机会成本,同时沿海地区规制水平提高更易于促使企业加强技术创新以及与环保产业的合作,而非向低规制水平地区迁移。因此,沿海地区规制的溢出效应为正。整体而言,内陆地区富裕程度不如沿海地区,部分地区仍存在GDP激励,因而内陆地区政府为吸引投资和产能转移,不得不默许排污执法的高弹性,提高本地规制水平则会导致污染企业外迁(企业为逃避规制而易址,产生空间自选择效应),迁入地区的绿色经济效率将会受到影响,规制“逐底竞争”和“污染天堂”现象由此产生,从而导致内陆地区形成“以邻为壑”的发展模式。
一般制造业与环保产业生态化协同集聚是产业协同集聚的一种特殊形式,是在以环境规制为代表的制度条件下产生的,旨在内化制造业造成的环境负外部性,从而形成闭合的产业生态系统。目前,国内环保产业正处于高速发展阶段,生态化协同集聚态势初步形成,尚待进一步分析生态化协同集聚对经济、生态产生的影响及机理。本研究将生态化协同集聚与绿色经济效率纳入同一分析框架,建立空间杜宾模型(SDM)研究集聚对绿色经济效率的影响及其空间溢出效应。结果表明,一般制造业与环保产业生态化协同集聚存在明显的空间相关性和空间溢出效应,生态化协同集聚对区域绿色经济效率的影响呈现U型特征,且存在明显的空间异质性;沿海地区生态化协同集聚对绿色经济效率具有显著促进作用,而内陆地区表现为抑制作用;环境规制对绿色经济效率的影响具有空间异质性,沿海地区波特效应显著,而内陆地区替代效应显著。
针对上述研究结论,本文提出政策建议如下:首先,规制政策对生态化协同集聚的影响至关重要,需要在生态经济评价与规制力度调整之间形成联动机制,在绿色经济效率指数测算的基础上,结合本地发展情况,控制规制水平在合理区间,保证规制的执行力度和水平,从而推动环保产业增长,提高工业污染末端处理规模和水平,达到提高绿色经济效率的目的。沿海地区应该进一步稳定并逐步提高环境规制水平,以规制倒逼制造业结构优化和技术清洁化,从而达到提高生产效率、降低污染排放的目的,但在提高规制水平过程中必须保持稳定性和连续性,避免操之过急带来的波动性影响;内陆地区应该保持合理的生态红线和规制底线,以防范“污染天堂”现象,同时建立生态指数评测与多级预警机制,实时监控区域生态环境质量并以此为依据调整规制力度,这样才能脱困于“以环境换经济”的窠臼。其次,建立健全环保产业扶植政策体系,既要规范环保行业企业的经营行为,又要明确界定相应环保产品的属性和功能,同时补充与完善环保产业发展过程中的法律纠纷程序,为环保产业健康发展提供制度保障。再次,加大投资力度,打造环保产业供需平台,在现有环保产品展销会、供需见面会等形式的基础上,充分利用数字信息、互联网技术,创新供需沟通机制,构建适应环保产业发展的第三方网络运营平台,营造公平、透明、良性的市场氛围,为环保产业快速发展营造有利空间。最后,区域发展绩效考核应突破GDP局限,向生态化和差异化方向倾斜,将区域生态质量和社会福利相关评价指标纳入考察范围,因地制宜地制定符合本地区现实情况且合理适度的发展策略,从而有效促进区域可持续、高质量、协调化发展。
[1] 齐亚伟.空间集聚、经济增长与环境污染之间的门槛效应分析[J].华东经济管理,2015,29(10):72-78.
[2] 韩峰,阳立高.生产性服务业集聚如何影响制造业结构升级:一个集聚经济与熊彼特内生增长理论的综合框架[J].管理世界,2020,36(2):72-94,219.
[3] 于斌斌.生产性服务业集聚如何促进产业结构升级:基于集聚外部性与城市规模约束的实证分析[J].经济社会体制比较,2019,35(2):30-43.
[4] 郝凤霞,王宇冰,楼永.区域服务化视角下产业协同集聚效应研究[J].科技进步与对策,2021,38(13):55-63.
[5] 于斌斌.生产性服务业集聚能提高制造业生产率吗:基于行业、地区和城市异质性视角的分析[J].南开经济研究,2017,33(2):112-132.
[6] YANG F F,YEH A G O,WANG J J.Regional effects of producer services on manufacturing productivity in China[J].Applied Geography,2018,97:263-274.
[7] 邵帅,张可,豆建民.经济集聚的节能减排效应:理论与中国经验[J].管理世界,2019,35(1):36-60,226.
[8] 金浩,刘肖.产业协同集聚、技术创新与经济增长:一个中介效应模型[J].科技进步与对策,2021,38(11):46-53.
[9] 何文举,张华峰,陈雄超,等.中国省域人口密度、产业集聚与碳排放的实证研究:基于集聚经济、拥挤效应及空间效应的视角[J].南开经济研究,2019,35(2):207-225.
[10] 陈钊,陈乔伊.中国企业能源利用效率:异质性、影响因素及政策含义[J].中国工业经济,2019,36(12):78-95.
[11] 林伯强,谭睿鹏.中国经济集聚与绿色经济效率[J].经济研究,2019,54(2):119-132.
[12] LIU Y B,YUAN H X, FENG Y D. Spatial spillover and threshold effects for emissions reduction of industrial agglomeration[J]. Appl.Stat.Manage, 2018,37(2):224-234.
[13] CHEN C F,SUN Y W,LAN Q X,et al.Impacts of industrial agglomeration on pollution and ecological efficiency:a spatial econometric analysis based on a big panel dataset of China's 259 cities[J].Journal of Cleaner Production,2020,258:120721.
[14] 胡求光,周宇飞.开发区产业集聚的环境效应:加剧污染还是促进治理[J].中国人口·资源与环境,2020,30(10):64-72.
[15] HONG Y,LYU X,CHEN Y,et al.Industrial agglomeration externalities,local governments' competition and environmental pollution:evidence from Chinese prefecture-level cities[J].Journal of Cleaner Production,2020,277:123455.
[16] 陈建军,刘月,邹苗苗.产业协同集聚下的城市生产效率增进:基于融合创新与发展动力转换背景[J].浙江大学学报(人文社会科学版),2016,46(3):150-163.
[17] MARSHALL A.Principles of economics[M].London:Palgrave Macmillan UK,2013.
[18] PORTER M E.The competitive advantage of nations[M].New York: Free Press,1990.
[19] KRUGMAN P.Increasing returns and economic geography[J].Journal of Political Economy,1991,99(3):483-499.
[20] ELLISON G,GLAESER E L.Geographic concentration in US manufacturing industries:a dartboard approach[J].Journal of Political Economy,1997,105(5):889-927.
[21] 谭洪波.生产者服务业与制造业的空间集聚:基于贸易成本的研究[J].世界经济,2015,38(3):171-192.
[22] 李晟婷,周晓唯,李娟伟.供给侧与需求侧产业政策效应的异质性与协同性:基于中国环保产业的系统动力学仿真分析[J].西部论坛,2020,30(4):24-36.
[23] JACOBS J.The economy of cities[M].New York: Random House,1969.
[24] 陈建军,刘月,陈怀锦.市场潜能、协同集聚与地区工资收入:来自中国151个城市的经验考察[J].南开学报(哲学社会科学版),2016,62(1):77-88.
[25] 孙博文,孙久文.长江经济带市场一体化的空间经济增长与非对称溢出效应[J].改革,2019,32(3):72-86.
[26] 安同良,杨晨.互联网重塑中国经济地理格局:微观机制与宏观效应[J].经济研究,2020,55(2):4-19.
[27] 唐红祥,王业斌,王旦,等.中国西部地区交通基础设施对制造业集聚影响研究[J].中国软科学,2018,33(8):137-147.
[28] SUN B W,LI H M,ZHAO Q Y.Logistics agglomeration and logistics productivity in the USA[J].The Annals of Regional Science,2018,61(2):273-293.
[29] UGARTE M D.Introduction to spatial econometrics[J].Journal of the Royal Statistical Society,Series A.Statistics in Society,2011,174(2):513-514.
[30] 金刚,沈坤荣.以邻为壑还是以邻为伴:环境规制执行互动与城市生产率增长[J].管理世界,2018,34(12):43-55.
[31] ELHORST J P.Specification and estimation of spatial panel data models[J].International Regional Science Review,2003,26(3):244-268.
[32] TONE K,TSUTSUI M.An epsilon-based measure of efficiency in DEA:a third pole of technical efficiency[J].European Journal of Operational Research,2010,207(3):1554-1563.
[33] GETIS A.Spatial weights matrices[J].Geographical Analysis,2009,41(4):404-410.
[34] DURANTON G,PUGA D.Micro-foundations of urban agglomeration economies[J].Handbook of Regional and Urban Economics,2004,4:2063-2117.
[35] 陈国亮,陈建军.产业关联、空间地理与二三产业共同集聚:来自中国212个城市的经验考察[J].管理世界,2012,28(4):82-100.
[36] 杨仁发.产业集聚与地区工资差距:基于我国269个城市的实证研究[J].管理世界,2013,29(8):41-52.