创业团队行业经验异质性、治理模式与创业企业成长绩效关系研究

谷 盟1,张晓洁2,王栋晗1

(1.中国传媒大学 经济与管理学院,北京 100024;2.中国海洋大学 管理学院,山东 青岛 266100)

摘 要:构建创业团队行业经验异质性影响创业企业成长绩效的概念模型,将创业团队治理模式(契约治理和关系治理)作为中介变量、创业项目创新性作为调节变量,通过对206家中国创业企业的实证检验,结果发现:契约治理和关系治理均中介了行业经验异质性对创业企业成长绩效的积极作用;创业项目创新性削弱了契约治理对创业成长绩效的正向作用,却增强了关系治理对创业成长绩效的正向作用。该结论不仅在理论上丰富了创业团队异质性和团队治理模式研究,也对创业企业实践具有一定指导意义。

关键词:行业经验异质性;契约治理;关系治理;项目创新性;创业企业成长绩效

Research on Industrial Experience Heterogeneity of Entrepreneurial Team, Governance Mechanism and Venture Growth Performance

Gu Meng1, Zhang Xiaojie2, Wang Donghan1

(1. School of Economics and Management, Communication University of China, Beijing 100024,China;2.Management College, Ocean University of China, Qingdao 266100,China)

AbstractThis paper establishes a conceptual model of the influence of industrial experience heterogeneity on venture growth performance, with entrepreneurial team governance mechanism (contract governance and relational governance) as mediator and entrepreneurial project innovativeness as moderator. The empirical results from 206 Chinese start-ups show that both contract governance and relational governance may mediate the positive influence of industrial experience heterogeneity on venture growth performance. Entrepreneurial project innovativeness weakens the positive effects of contract governance on venture growth performance while strengthens the positive roles of relational governance on venture growth performance.

Key Words:Industrial Experience Heterogeneity; Contract Governance; Relational Governance; Project Innovativeness; Venture Growth Performance

收稿日期:2020-08-26

修回日期:2020-10-15

基金项目:国家自然科学基金项目(71772167);国家自然科学基金青年基金项目(72002209);青岛市哲学社会科学规划项目(QDSKL2001004)

作者简介:谷盟(1990—),女,山东济南人,博士,中国传媒大学经济与管理学院师资博士后,研究方向为创新、创业与战略管理;张晓洁(1987—),女,山东潍坊人,博士,中国海洋大学管理学院讲师,研究方向为虚拟团队与团队创造力;王栋晗(1973—),男,山东济宁人,博士,中国传媒大学经济与管理学院院长、教授、博士生导师,研究方向为创业与战略管理。

DOI10.6049/kjjbydc.2020070620

开放科学(资源服务)标识码(OSID):

中图分类号:F272.2

文献标识码:A

文章编号:1001-7348(2021)06-0011-09

0 引言

在“大众创业、万众创新”国家战略背景下,各界人士纷纷加入创业活动浪潮中,创业成为推动经济增长的重要动力。然而,由于资源限制、规模小、经验缺乏等“新进入缺陷”,创业企业通常面临着诸多成长困境[1]。如何推动创业企业成长,提高创业企业存活率成为重要的理论和实践问题。

创业团队作为创业企业的关键要素,其异质性对创业企业成长绩效有重要影响,且已获得学者高度关注。然而,现有研究对创业团队异质性与创业企业成长绩效关系的讨论仍然存在争议。一方面,基于资源基础观,部分学者认为异质性强的创业团队拥有更广泛的知识、经验等资源,可以提升战略决策水平和创新性,更好地应对资源束缚,进而提高创业企业成长绩效[2,3];另一方面,根据社会认同理论,也有部分学者发现,在高水平异质性创业团队内部更容易产生情感冲突,存在沟通不畅、合作困难等问题,从而对创业企业成长绩效产生负面影响[4]

产生争论的主要原因在于:首先,行业经验是创业团队重要的初始条件[5],其异质性体现了创业团队成员在相关行业熟悉生产流程和技术、了解顾客需求[5, 6]。对于创业企业而言,创业团队行业经验异质性是一种稀缺和有价值的资源,其在创业企业成长过程中发挥着关键作用[7]。然而,当前关于行业经验异质性与创业企业成长绩效关系的研究较少,在一定程度上弱化了现有研究结论的解释力度;其次,创业团队行业经验异质性可能并非直接影响创业企业成长绩效,其中间机理仍需探讨[8, 9]。面对异质性行业经验,创业团队可能会加强对差异的重视程度,采用正式、非正式制度区分和配置成员间权责利,即通过实施不同的创业团队治理模式解决成员间互动问题,以达到激励和冲突管理目的[10]。然而,现有研究仅强调领导力[11]、动态能力[12]、团队互动[13]及团队心理[14]等相关因素的内在作用,忽略了创业团队治理模式如何发挥作用;最后,创业团队治理模式能否有效发挥作用取决于创业项目新颖程度。Blatt[15]强调创业团队面临的挑战在于创业项目的新颖性。当创业项目新颖性较高时,创业团队对现状不熟悉、面临的不确定性较大,将会影响创业团队治理。因此,应进一步探讨创业项目创新性在团队治理过程中所发挥的调节作用。

鉴于此,本文引入团队治理理论,探讨创业团队行业经验异质性、创业团队治理模式与创业绩效间的关系,构建以创业团队治理模式为中介、以创业项目创新性为调节变量的行业经验异质性对创业绩效的影响模型。通过问卷调查收集206家创业企业样本数据,对研究假设进行检验。研究结论不仅对于阐释创业团队异质性与创业绩效间关系具有一定的理论意义,也有助于指导创业企业实践。

1 文献回顾与概念模型

1.1 创业团队行业经验异质性

在创业团队研究中,异质性通常被看作是影响创业企业绩效的关键因素。行业经验异质性作为一种稀缺的有价值的存量资源,反映了创业团队成员在相关行业内获得产品流程和技术及顾客需求等工作经验的差异性[5,6]。然而,以往关于创业团队行业经验异质性的研究较少,且多强调其与创业企业绩效/创新的关系。例如,部分学者强调创业团队成员的资源和功能性,认为高行业经验异质性团队拥有更广泛的技能和知识、认知资源及社会资源,能够带来多样化视角和观点,从而提升决策水平和绩效[16, 17];另一部分学者则强调创业团队成员的社会性,认为行业经验异质性反映成员间差异,高异质性团队由于缺乏信任、认同而极易出现分歧和冲突,进而导致整体绩效水平低下[18, 19]。以往研究多用创业企业财务绩效指标衡量创业企业绩效,而忽视了创业企业成长绩效的重要性。与创业企业财务绩效不同,创业企业成长绩效多关注企业未来发展潜力和成长性而非单纯地攫取利润[20]。对创业企业而言,其成长性比利润更能反映企业未来竞争优势[21, 22]。而且,有研究指出,行业经验异质性有助于促进产品/服务创新,从而提升企业创新绩效[5, 23]。上述两方面表明,行业经验异质性对创业企业成长绩效存在潜在影响。

而且,行业经验异质性与创业企业成长绩效间可能存在中介机制或边界条件[12]。例如,Díaz-Fernández等[24]指出,团队管理异质性(如行业经验)应与人口统计学特征(如性别)异质性构成组态才能产生高绩效;李利和陈进[25]基于科技型企业数据,发现风险投资在行业经验异质性与企业创新绩效间存在积极调节作用;刘刚、李超和吴彦俊[12]认为,产业经验异质性对新企业成长潜力的影响通过动态能力的作用实现。虽然学者从多种角度探讨创业团队行业经验异质性与创业企业成长绩效的中介机制和边界条件,但是现有研究尚未将团队治理理论融入创业团队及其异质性研究,也较少考虑创业项目本身的特点。

1.2 创业团队治理模式与创业项目创新性

基于团队治理理论,在信息不对称情况下,创业团队成员拥有的现金流权、控制权、剩余索取权与其贡献的资源和能力不一定匹配。而且,由于创业团队成员在知识、经验和行为方式方面存在差异,通常会出现机会主义行为或团队协调问题[26]。为解决这一问题,创业团队需要采用合适的团队治理模式,才能保持良好的利益关系和情感关系,并发挥团队成员间的协同优势,以避免内耗。

创业团队治理旨在通过建立合适的制度安排或契约使创业团队成员有效合作,进而形成良好的互动关系[26, 10]。鉴于制度安排或契约可分为正式制度和非正式制度两种,创业团队治理模式可分为正式治理模式(契约治理)和非正式治理模式(关系治理)两种。其中,契约治理通过正式制度安排(如契约、股权等)协调团队成员间的行为,而关系治理则通过非正式制度安排(如信任、沟通等)提高成员间的价值认同和社会关系。

目前,关于创业团队治理的研究仍处于起步阶段[27],且大多关注创业团队治理内涵及其对创业企业绩效的直接影响。如朱仁宏等[28]认为,契约治理包含股权、收益权和自主权配置3方面内容,并发现契约治理机制有助于提升新企业绩效;石书德等[26]从团队建设性争论角度探讨了创业团队关系治理对创业团队绩效的作用。然而,现有研究较少从实证角度探讨创业团队治理驱动因素[27]及其对创业企业成长绩效的影响,由此将导致创业企业无法根据自身状况选择合适的创业团队治理模式。鉴于行业经验异质性导致创业团队成员先验经验不均衡且在人力资本初始禀赋方面存在差异,此时创业企业一般会采用团队治理机制解决团队中可能存在的委托代理和激励相容问题,以促进团队沟通与合作。而且,行业经验异质性容易引发创业团队成员认知冲突、情感冲突等,因此需要通过恰当的治理机制实现成员间资源互补、能力协同。因此,探究创业团队治理中介机制既可以丰富创业团队治理驱动因素研究,又可以加深其与创业企业成长绩效关系的理解。

而且,当前学者关于在何种情境下创业团队治理更能发挥效用的认知也比较模糊[27, 29]。创业团队是依托创业项目聚集在一起的团队,创业项目创新性反映了创业项目涉及商业内容或服务或产品的新颖程度,是创业团队所处的重要情境。针对不同创新性创业项目时,不同类型创业团队治理可能发挥差异化效用。因此,只有将创业团队治理模式与创业项目特征相匹配,才能更好地实现创业企业成长。本文考虑到创业项目创新性在创业团队治理与创业企业成长绩效关系中的调节作用,并由此构建概念模型,如图1所示。

图1 概念模型

2 研究假设

2.1 创业团队行业经验异质性与创业企业成长绩效

行业经验是创业企业成长的重要资源。行业经验异质性越大,表明创业团队成员从事的与企业业务相关的其它行业越多[12],彼此间的知识结构和知识存量差异越大,拥有的认知能力和模式差异也越显著。此时,创业团队拥有多样化知识资源和行业经验,能够使创业团队更加全面而系统地分析行业态势和问题,有利于提高决策质量[23],进而保障创业企业成长。特别是在发展过程中,创业企业会遇到诸多非程序化问题,行业经验异质性高的团队更有优势应对非程序化问题[30]。因此,行业经验异质性正向影响创业企业成长绩效。

而且,与成熟企业不同,创业企业处在商业模式探索和实验阶段,需要通过不断寻找新商业机会实现企业快速成长。行业经验异质性高的团队更容易发现机会,其强大的认知能力、经验使创业团队在面临创业机会时能够准确作出判断和决策。机会识别和利用有利于激发创业企业发展潜力。同时,创业团队内部丰富的经验和技能够确保创业团队选择的创业机会被高效执行,并实现创业企业快速成长。据此,本文提出如下假设:

H1:行业经验异质性正向影响创业企业成长绩效。

2.2 创业团队契约治理与关系治理的中介作用

(1)行业经验异质性与创业团队治理模式。创业团队相关研究表明,以团队而非个人形式创业的主要原因在于利用创业团队成员资源、能力异质性能够产生互补和协同效应。然而,团队成员拥有的现金流权、控制权、剩余索取权与其贡献的资源和能力不一定匹配。因此,为避免团队潜在利益不一致,需要通过团队治理机制解决好由此产生的委托代理问题。创业团队成员行业经验异质性差异越大,其拥有的知识资源和行业经验越多,越需要依赖团队治理模式激励团队成员充分开发和整合创业资源,以有效利用团队人力资本。这是因为:一方面,行业经验异质性造成成员间因不同行业经验或知识而采取不同的分析视角,由此可能导致认知冲突。为使认知冲突控制在一定范围内,避免转化成不利于团队合作的情感冲突从而使团队人力资本受损,创业团队通过团队治理模式进行认知冲突管理;另一方面,行业经验异质性提升也会使团队成员被划分为“圈内人”和“圈外人”两种[31],由此导致团队内部情感冲突。此时,为增强团队成员信任感、提高融洽水平,避免因情感冲突而使人力资本受损,创业团队需要通过团队治理模式进行冲突管理。

为缓解行业经验异质性引发的认知冲突和情感冲突,创业团队既可以采用契约治理方式,即通过订立契约增强团队成员间的互动关系[10];也可以采用关系治理增强团队凝聚力,激励团队成员对拥有的创业资源加以开发与利用。据此,本文提出如下假设:

H2a:行业经验异质性正向影响创业团队契约治理;

H2b:行业经验异质性正向影响创业团队关系治理。

(2)创业团队治理模式与创业企业成长绩效。创业团队契约治理旨在通过签订正式契约,将创业团队成员在创业企业生产和发展过程中的规则加以明确,从而约束成员行为[32]。基于股东权益和公司治理机制,创业团队契约治理可划分为股份配置、收益权配置和自主权配置3个维度。

从股份配置角度看,股份配置越明确,团队成员的人力资本价值越能发挥最大化效用。此时,根据实际情况进行股权动态调整,有利于优化团队合作并使成员间目标趋于一致[33],进而提高新创企业绩效。从收益权配置角度看,通过合理配置薪酬、股权、期权等,收益权分配使创业团队成员对未来业绩产生一定期望[27],促使其以更长远的眼光看待问题,进而有利于创业企业成长。此外,自主权配置使团队成员发挥各自特长和优势, 在提高企业运作效率的同时,又能充分锻炼人才,提高创业团队成员能力,进而提升新创企业绩效。朱仁宏、李新春[32]和朱仁宏等[28]研究认为,创业团队契约治理(股权配置、收益权配置和自主权配置)有利于创业企业成长。据此,本文提出如下假设:

H3a:创业团队契约治理有利于提升创业企业成长绩效。

创业企业的“新进入缺陷”以及外部环境的动荡性使得正式契约治理并不总是适宜,此时需要创业企业通过非正式协调机制和控制机制,即关系治理来处理好创业过程中出现的各种问题并作出决策[29]。结合创业团队特点及关系治理的非正式性,创业团队关系治理可划分为沟通、基于认知的信任和基于情感的信任3个维度。类似地,本文也认为创业团队关系治理有利于创业企业成长。

首先,沟通有助于提高创业企业资源获取和利用能力。通过知识、信息分享和互动,创业团队成员能够对创业目标达成共识[34],在互动中发挥建设性作用,使各自的能力和技术得以互补,进而提高企业发现并实现创业机会的能力,从而提升创业企业成长绩效;其次,基于认知的信任能够增强创业创队成员间的沟通频率、亲密程度和相互依赖性,而这有利于隐性知识交流和获取,促进知识和信息转移,进而提高团队创造能力[35],打造企业创新优势,促进创业企业成长;再次,基于情感的信任有利于促进创业团队成员情感交流,使团队成员在创业过程中形成一种非正式关系和隐形契约,有利于减少创业过程中的情感冲突[36]。而情感冲突缓解可使团队成员更乐于表达自身想法和意见并共同制定决策, 提高创业团队成员间的凝聚力,从而促进创业企业长远发展。基于此,本文提出如下假设:

H3b:创业团队关系治理有利于提升创业企业成长绩效。

由于契约治理和关系治理均能够促进创业企业成长绩效,而行业经验异质性又分别与创业团队契约治理和关系治理、创业企业成长绩效正相关,因此可从理论上推导出,创业企业契约治理和关系治理在行业经验异质性与创业企业成长绩效影响关系中起中介作用。据此,本文提出如下假设:

H4a:创业团队契约治理在行业经验异质性与创业企业成长绩效间起中介作用;

H4b:创业团队关系治理在行业经验异质性与创业企业成长绩效间起中介作用。

2.3 创业项目创新性的调节作用

创业项目创新性越强,意味着创业机会开发越具有风险性,其结果就越不确定。然而,创业团队契约治理增强了创业团队成员对短期绩效的关注和渴望,并由此带来绩效压力。因此,创新性项目不确定性和风险性与契约治理评判标准不符。也即,在创新性较强的创业项目中,由契约治理产生的绩效压力促使创业团队对各个可行方案进行全面评估,进而选择风险较低的战略方案[37, 38]。这些方案虽然有助于企业短期盈利,但却不利于企业未来成长。因此,创业项目创新性削弱了契约治理对创业企业成长绩效的积极作用。

相反,创业项目创新性能够增强创业团队关系治理与创业企业成长绩效的积极作用。关系治理促进创业企业成长的主要原因在于在团队间形成良好的情感、沟通和信任机制。面对创新性强的创业项目,创业团队成员在形成和维持内部关系时所需投入的努力越多[15],越需要依赖团队成员的专业知识,通过沟通和协作完成任务。而且,创业项目创新性越强,创业团队氛围越紧张,不和谐因素也越多。此时,更需要通过良好的关系治理缓解因创业压力而产生的紧张氛围[29],进而提升创业企业成长绩效。谢洪涛[39]研究发现,在创新程度高的项目中,高水平的关系治理有利于取得高创新绩效,间接证明了创业项目创新性有助于增强关系治理与创业企业成长绩效间的关系。据此,本文提出如下假设:

H5a:创业项目创新性会削弱创业团队契约治理与创业企业成长绩效的关系;

H5b:创业项目创新性会增强创业团队关系治理与创业企业成长绩效的关系。

3 研究方法

3.1 样本来源与数据选取

本文数据收集分为小样本预调研和正式调研两部分,调研对象为创业团队核心成员(如创始人、董事长等),他们一般在创业初期加入公司、拥有公司股权,并直接参与公司战略决策,对其他创业团队成员基本情况、创业团队治理和公司整体运营情况足够了解,方便填写其他创业团队成员的基本信息并评价企业相关状况。本次调研持续时间为6个月,其中预测试后用两周时间修订问卷并开展正式调研。在预测试阶段,共发放100份问卷,回收87份问卷,主要通过现场或电话访谈形式收集问卷。结合访谈结果及填写情况对问卷题项和量表加以改进。在正式调研前,先根据国内知名投资机构推荐的创业企业名单提前联系被调研企业创业团队核心成员,征得对方同意后进行调研;其次,以现场调研为主要方式收集纸质问卷,对于临时出差或开会的调研对象采取电子邮件及问卷收集网站填写方式收集电子问卷,以保证数据效度和问卷回收率。本研究共发放360 份问卷,回收 305 份,其中有效问卷 206份,有效问卷回收率为57.22%。样本描述性统计特征如表1所示。

另外,为检验未回收(non-response)偏差,本文使用T检验比较已回收样本、未回收样本在企业年龄、企业规模和行业类型等变量间的差异。结果表明,样本未回收偏差不显著。

3.2 变量测量

本文选取国内外使用频率较高、较为成熟的量表,并在此基础上根据实际情况和预调研结果进行完善,以保证研究的有效性。

表1 样本企业描述性特征结果

特征类别频数频率(%)企业年龄1~3年10149.0294~5年4923.7866~8年5627.185企业规模1~10人3215.53411~50人13565.53451~100人2813.592100人以上115.340所在行业高新技术行业4220.388传统制造业4320.874服务业7938.350其它行业4220.388创业团队规模2人11153.8843人6732.5244人2110.1945人及以上73.398

(1)行业经验异质性。由于行业经验采用创业团队成员在创业企业相关行业内的工作年限衡量,属于连续变量,因此本文基于牛芳等[30]的测量方式,采用创业团队成员行业经验标准差系数测量行业经验异质性。

(2)创业团队治理模式。本文基于朱仁宏和李新春[32]的研究,从股权配置、收益权配置和自主权配置3个维度对创业团队契约治理进行测量。同时,借鉴韩炜、杨婉毓[40]以及赵婧、李朋波[29]的观点,从沟通和信任(基于认知的信任、基于情感的信任)两个方面对关系治理进行测量。契约治理和关系治理均采用Likert 5级量表。其中,1~5 分别表示非常不赞同、不太赞同、中立、比较赞同和非常赞同。结果发现,契约治理测量题项信度α=0.885,区别效度AVE=0.830;关系治理测量题项信度α=0.860,AVE=0.898。

(3)创业企业成长绩效。在Venkatramanh、Ramanujam[41]和肖鹏等[42]的基础上,调研问卷从销售额增长、净收益增长、市场份额增长3个方面测量创业企业成长绩效。该量表信度Cronbach's α系数为0.832,区别效度AVE为0.830。

(4)创业项目创新性。本文借鉴Amason等[43]的研究,将创业项目按创新性分为3类,并请被访问者对创业项目的创新性作出评价,以选出最恰当的选项。对其进行如下分类:①其提供的产品或服务与其它厂商以往提供的产品或服务基本相同;②其提供的是市场上现有产品或服务的升级/下一代产品或服务;③其提供的是全新的产品或服务,可能会改变现有行业现状或导致新行业出现。

(5)控制变量。为更精确地测度和分析模型各要素间的关系,本文依据文献研究、专家访谈及企业实地调研,设置创业企业、创业团队层面和所处行业层面6个控制变量,以提高研究结论的有效性。具体而言,企业规模和创业团队规模均采用对应人数的自然对数测量;行业则采用虚拟变量测量,是高新技术企业编码为1,否则编码为0;平均受教育程度用团队成员教育层次的均值测量;性别比例用女性在创业团队中所占比例测量。

3.3 信效度检验

首先,为检验测量指标的可靠性,本文根据Nunnally[44]的建议,采用Cronbach's α 系数对其进行检验。如表2所示,创业团队契约治理、创业团队关系治理、创业企业成长绩效变量的α值均大于0.7,说明量表具有较高的可靠性;其次,通过因子载荷(Loading值)和AVE值检验收敛效度。结果显示,各指标的因子载荷均大于0.7,AVE值均大于0.6,说明变量收敛效度较好。同时,为检验变量间的区别效度,将AVE开方值与相关系数进行比较。据表3可知,AVE的开方值(对角线上的数值)大于所在行及列的相关系数,说明变量间有较好的区别效度。

3.4 假设验证

本文利用SPSS21.0对所有变量进行描述统计分析,结果见表3。从中可见,除契约治理和关系治理的相关系数为0.661外,其它变量间的相关系数均小于0.6。因此,多重共线性对研究结果带来的影响较小。

本文采用多元回归中的逐步线性回归法对研究假设进行检验,结果见表4。首先,将控制变量加入模型1中,以控制其它因素对创业企业成长绩效的影响。在此基础上,将行业经验异质性加入模型2中,用以检验行业经验异质性对创业企业成长绩效的影响。模型2结果显示,行业经验异质性对创业企业成长绩效的回归系数为正且显著(β=0.632,p<0.05)。这说明,行业经验异质性与创业企业成长绩效正相关,因此假设H1得到验证。

为进一步检验创业团队契约治理和关系治理的中介作用,首先通过模型3a、模型4a检验行业经验异质性与契约治理和关系治理的关系。模型3a和模型4a结果显示,行业经验异质性与契约治理和关系治理均正相关(β1= 0.477,p<0.1;β2=0.528,p<0.05),因此H2a和H2b得到验证;其次,在模型2的基础上分别加入契约治理和关系治理,得到模型3b和模型4b,用以检验契约治理和关系治理与创业企业成长绩效的关系。由模型3b和模型4b结果可知,契约治理和关系治理对创业企业成长绩效的回归系数均显著为正(β1= 0.305,p<0.001;β2=0.113,p<0.1),因此契约治理和关系治理均能够促进创业企业成长绩效提升,H3a和H3b得到验证。通过对比模型2、模型3b和模型4b发现,分别加入契约治理和关系治理后,行业经验异质性的回归系数变小但仍然显著(β1= 0.632,p<0.05;β2= 0.477,p<0.1;β3=0.528,p<0.05),说明契约治理和关系治理存在部分中介效应。因此,假设H4a和假设H4b得到验证。

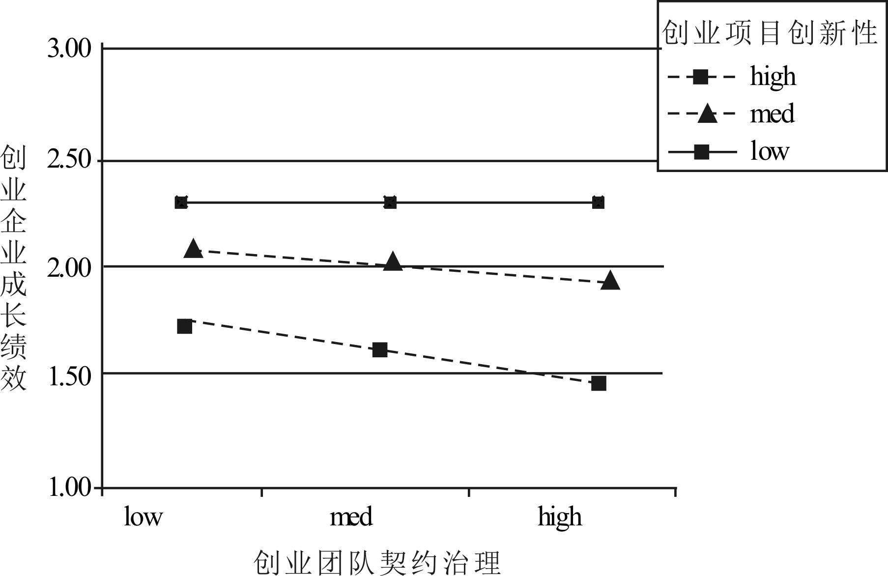
为验证创业项目创新性的调节作用,在模型5中加入调节变量,并构建其与契约治理和关系治理的交互项。为避免多重共线性的影响,本文对相关变量进行中心化处理。模型5结果表明,创业项目创新性与契约治理交互项的回归系数显著为负(β=-0.178,p<0.01),而创业项目创新性与关系治理交互项的回归系数显著为正(β=0.097,p<0.1)。因此,假设H5a和H5b得到支持。为更好地解释创业项目创新性的调节作用,按照Aiken & West[45]推荐的步骤绘制调节效应图,如图2和图3所示。从中可以发现,随着创业项目创新性不断提升,契约治理与创业企业成长绩效间关系变弱,而契约治理与创业企业成长绩效间关系变强。这说明,创业项目创新性削弱了契约治理对创业企业成长绩效的积极作用,但增强了关系治理对创业企业成长绩效的促进作用,进一步验证了假设H5a和H5b

表2 变量测量及信效度检验结果

变量维度题项因子载荷分量表信效度总量表信效度量表来源契约治理股权配置(GQ)GQ10.901Cronbach's Alpha=0.924AVE=0.817Cronbach's Alpha=0.885AVE=0.830朱仁宏和李新春(2014)GQ20.921GQ30.878GQ40.915收益权配置(SYQ)SYQ10.829Cronbach's Alpha=0.869AVE=0.658SYQ20.831SYQ30.824SYQ40.757SYQ50.813自主权配置(ZZQ)ZZQ10.847Cronbach's Alpha=0.851AVE=0.629ZZQ20.826ZZQ30.724ZZQ40.781ZZQ50.783关系治理沟通(GT)GT10.896Cronbach's Alpha=0.898AVE=0.739Cronbach'sAlpha=0.860AVE=0.898Early & Mosakowsk(2000)GT20.765GT30.896GT40.838GT50.896基于情感的信任(QG)QG10.812Cronbach's Alpha=0.901AVE=0.718Ng & Chua(2006)QG20.866QG30.835QG40.890QG50.831基于认知的信任(RZ)RZ10.892Cronbach's Alpha=0.909AVE=0.737RZ20.784RZ30.866RZ40.894RZ50.852创业企业成长绩效GP10.849Cronbach's Alpha=0.832AVE=0.749Venkatramanh & Ramanujam(1986)、 肖鹏等(2018)GP20.859GP30.888

表3 描述性统计分析结果

变量1234. 5678910111.企业规模12.行业(高新)0.02913.团队规模0.148*0.05014.创业经验0.183**-0.142*0.01415.平均受教育程度0.156*0.1340.1340.03716.性别比例-0.072-0.0940.007-0.0200.04717.行业经验异质性-0.199**-0.0400.197**-0.0190.0070.07318.契约治理0.0330.169*0.233***-0.0190.205**-0.0560.150*0.9119.关系治理-0.0480.151*0.219**-0.0850.175*0.0470.188**0.661***0.94810.创业项目创新性0.1030.071-0.0030.0290.156*-0.1250.0850.049-0.162*111.创业企业成长性0.243***-0.0570.0210.0280.0070.0480.1150.301**0.1240.139*0.865均值(Mean)3.3800.2040.9290.3233.1390.2250.1103.9704.1741.8933.429标准差(S.D)0.9080.4040.2840.3080.5560.2830.1820.6960.6670.5910.641

注:+表示在0.1水平下显著;*表示在0.05水平下显著;**表示在0.01水平下显著;***表示在0.001水平下显著。对角线粗体数字为AVE的开方;样本数为206,下同

表4 回归系数结果

变量成长绩效模型1模型2契约治理模型3a成长绩效模型3b关系治理模型4a成长绩效模型4b成长绩效模型5常数项2.936***2.867***2.837***2.001***3.307***2.427***2.301***企业规模0.181***0.211***0.0050.210***-0.0360.216***0.201***行业(高新)-0.067-0.0520.234*-0.1230.202+-0.079-0.106团队规模-0.026-0.1200.439*-0.2540.405*-0.174-0.238创业经验-0.047-0.052-0.018-0.046-0.137-0.034-0.097平均受教育程度-0.032-0.0360.206*-0.0980.172*-0.058-0.139+性别比例0.1450.125-0.1490.1700.0830.1140.183行业经验异质性0.632*0.477+0.486*0.528*0.561*0.504*契约治理0.305***0.233**关系治理0.133+0.039创业项目创新性0.060创业项目创新性×契约治理-0.179**创业项目创新性×关系治理0.097+R20.2590.3100.3480.4390.3430.3360. 498A.D R20.0390.0640.0900.1600.0870.0770. 202F-value2.377*3.003**3.971***5.872***3.778***3.134**5.316***

图2 创业项目创新性对契约治理的调节作用

图3 创业项目创新性对关系治理的调节作用

4 结语

4.1 研究结论

鉴于现有研究对创业团队异质性与创业企业成长绩效关系尚未形成一致结论,本研究深入探讨创业团队行业经验异质性如何通过创业团队治理模式影响创业企业成长绩效,并在此基础上分析创业项目创新性的调节作用。通过构建理论模型,本研究提出5组假设,并对206家创业企业样本进行实证检验,得出以下结论:

(1)创业团队行业经验异质性有助于提升创业企业成长绩效,该结论与基于资源基础观和信息处理理论的观点一致。这说明,创业团队行业经验是企业成长过程中所需的稀缺性资源,其异质性可带来丰富的资源、知识和经验,有利于企业应对成长过程中面临的不确定性和风险,使创业企业具备更大的能力存量、更优的机会发现能力和机会把握能力,进而促进创业企业成长。

(2)将创业团队治理划分为契约治理和关系治理,发现具有行业经验异质性的创业团队可通过引入契约治理和关系治理提升创业企业成长绩效,即契约治理和关系治理在行业经验异质性与创业成长绩效间起部分中介作用。这说明,行业经验异质性是影响创业治理的重要因素。行业经验异质性不仅促使创业团队从多种视角考虑问题,还能将创业企业发展过程中可能遇到的问题写入契约中,避免出现机会主义行为;同时,其还有助于增强成员间的依赖度和融洽度,有利于关系治理。而且,研究发现,契约治理和关系治理均能促进创业企业成长绩效提升,这与朱仁宏等的研究结果类似。一方面,契约治理避免了团队成员间的责权利纷争,使团队成员能够积极发挥特长,形成合力,由此推动企业成长;另一方面,基于团队沟通和信任而形成的关系治理则能有效缓解成员间情感冲突,保证创业活动顺利开展,从而提升创业企业成长绩效。契约治理和关系治理的中介作用揭示了创业团队行业异质性作用于创业企业成长绩效的中间机理,表明两者可对创业团队行业经验异质性引致的机会主义行为起到防御作用,有助于提高团队成员的协同共创能力,进而提升创业企业成长绩效。

(3)创业团队治理效果受到创业项目特征的影响,创业项目创新性越强,创业团队关系治理效果越好而契约治理效果越差。这说明,当创业项目创新性较强时,关系治理可使创业团队成员间更好地开展互动,共同应对由项目技术、项目环境等因素产生的不确定性,而契约治理则因可能更加关注风险规避而不利于创业企业成长。因此,为确保创业团队治理机制对创业企业成长绩效的作用效果,就不能忽视创业项目创新性在团队治理过程中的作用。

4.2 贡献

本文理论贡献主要体现在以下几个方面:

(1)从团队治理角度出发,将创业团队契约治理和关系治理纳入创业团队异质性与创业企业成长绩效关系研究框架,揭示行业经验异质性影响创业企业绩效的中间机理,有助于丰富团队异质性理论研究。虽然国内外学者已经探讨了创业团队异质性与创业企业成长绩效间的关系,但对两者关系缺乏一致性结论,对两者间中间机制的探讨较少。通过分析行业经验异质性、创业团队治理机制以及创业企业成长绩效间关系,证实创业团队契约治理和关系治理的中介效应,清晰阐释了创业团队行业经验异质性影响创业绩效的路径。

(2)通过分析创业项目创新性对不同类型创业团队治理模式与创业企业成长绩效关系的调节作用,识别出创业项目创新性的差异化调节作用。以往研究通常从外部环境特征和创业团队特征角度分析其在创业团队中的作用,而对创业项目特征在创业团队中作用的探讨较少。本文发现,创业项目创新性会削弱创新团队契约治理与创业成长绩效间的关系,但能增强创新团队关系治理与创业成长绩效的关系,这一结论进一步细化了创业团队治理机制研究,深化了对创业项目创新性的认识。

4.3 实践意义

本研究对创业企业管理实践有一定的指导作用。首先,创业企业要谋求长期发展和成长,在组建创业团队时可选择具有差异化知识和行业经验的成员;而对于行业经验同质性较强的创业企业而言,获取、吸收异质性知识和经验十分重要;其次,创业团队应加强团队治理。一方面,创业企业可根据创业团队成员特长、能力、表现,在股权、收益权和自主权等方面制定一套合理、明确的正式制度及规则,将创业团队成员与企业利益捆绑,最大程度上发挥创业团队成员的价值;另一方面,创业企业也应考虑到成员的情感需求,通过组织团建活动、搭建有效的互动平台等方式促进创业团队成员间互动和交流,进而建立一种友好的信任关系,促进团队任务协调和信息传递;最后,当创业项目创新性较强时,企业应采用关系治理实现更好的发展,同时根据本企业发展现状灵活选择契约治理和关系治理。

4.4 不足与展望

本研究仍存在以下不足:①仅采用行业经验异质性探索创业团队异质性与创业企业成长绩效的中间机理。现有研究通常将团队异质性划分为任务相关异质性和身份相关异质性两类,未来还应拓展创业团队异质性内容深度和广度,全面深入地探索团队构成对创业企业绩效的影响机制;②虽然本文从团队治理理论角度探讨创业团队治理的中介作用,但是创业团队异质性对创业企业成长绩效的影响机制往往比较复杂,未来需从更多理论视角或变量加以阐释;③外部环境特征和行业特征也可能影响创业团队异质性及创业团队治理,未来应对此内容加强分析。

参考文献:

[1] 张银普, 钱思, 胡平.基于角色清晰与团队认同的创业团队断裂带对创业绩效的影响研究[J].管理学报, 2020, 17(4): 562-571.

[2] 于晓宇, 张益铭, 陈颖颖, 等.创始成员离职率、高管团队异质性与创业企业成长[J].管理科学, 2020, 33(2): 3-16.

[3] COLOMBO M G, GRILLI L.Founders' human capital and the growth of new technology-based firms: a competence based view [J].Research Policy, 2005, 34(6): 795-816.

[4] 程江.创业团队异质性对创业绩效的影响研究综述[J].外国经济与管理, 2017, 39(10): 3-17.

[5] 杜海东.创业团队经验异质性对进入战略创新的影响:创业学习的调节作用[J].科学学与科学技术管理, 2014, 35(1): 132-139.

[6] JACKSON S E, BRETT J F, SESSA V I, et al.Some differences make a difference:individual dissimilarity and group heterogeneity as correlates of recruitment, promotions, and turnover[J].Journal of Applied Psychology, 1991, 76(5): 675-689.

[7] 彭学兵, 陈小波, 杨隽萍.创业团队异质性与新创企业成长绩效关系的实证研究: 团队整合的中介作用[J].人类工效学, 2014, 20(4): 12-16.

[8] KLOTZ A C, HMIELESKI K M, BRADLEY B H, et al.New venture teams: a review of the literature and roadmap for future research[J].Journal of Management, 2014, 40(1): 226-255.

[9] 周冬梅, 陈雪琳, 杨俊, 等.创业研究回顾与展望[J].管理世界, 2020, 36(1): 206-225,243.

[10] 朱仁宏, 王心纯, 王雅渲,等.创业团队契约治理与团队成员退出意愿:一个有中介的调节模型[J].研究与发展管理, 2019, 31(4): 103-113.

[11] ZHOU W.Shared leadership in teams: an empirical study of dispositional antecedents[C]// the Annual Meeting of Academy of Management.Briarcliff Manor, NY: Academy of Management, 2013.

[12] 刘刚, 李超, 吴彦俊.创业团队异质性与新企业绩效关系的路径:基于动态能力的视角[J].系统管理学报, 2017, 26(4): 655-662.

[13] 任峰, 张朋朋.创业团队异质性与团队互动、决策绩效的关系路径:一项多案例研究[J].中国人力资源开发, 2017,34(4): 111-121.

[14] WILLIAMS M.Being trusted: how team generational age diversity promotes and undermines trust in cross-boundary relationships[J].Journal of Organizational Behavior, 2016, 37 (3): 346-373.

[15] BLATT R.Tough love: how communal schemas and contracting practices build relational capital in entrepreneurial teams[J].Academy of Management Review, 2009, 34(3): 533-551.

[16] HMIELESKI K M, ENSLEY M D.A contextual examination of new venture performance:entrepreneur leadership behavior, top management team heterogeneity, and environmental dynamism[J].Journal of Organizational Behavior, 2007, 28 (7): 865-889.

[17] 胡望斌, 张玉利, 杨俊.同质性还是异质性:创业导向对技术创业团队与新企业绩效关系的调节作用研究[J].管理世界, 2014,30(6): 92-109,187-188.

[18] FOO M D.Teams developing business ideas: how member characteristics and conflict affect member-rated team effectiveness[J].Small Business Economics, 2011, 36(1): 33-46.

[19] UGHETTO E.Growth of born globals: the role of the entrepreneur's personal factors and venture capital[J].International Entrepreneurship and Management Journal, 2016, 12 (3): 839-857.

[20] 向婷婷.CEO双元背景对平台企业成长绩效影响的研究[D].成都:电子科技大学, 2020.

[21] ZOTT C, AMIT R.Business model design and the performance of entrepreneurial firms[J].Organization Science, 2007, 18 (2): 181-199.

[22] 郭海, 韩佳平.数字化情境下开放式创新对新创企业成长的影响:商业模式创新的中介作用[J].管理评论, 2019,31(6): 186-198.

[23] 丁奕文, 徐谡.科技型创业团队异质性对创新绩效影响的实证研究[J].电子科技大学学报(社科版), 2020, 22(2): 104-112.

[24] DAZ-FERNNDEZ M C, GONZLEZ- RODRGUEZ M R, SIMONETTI B.Top management team diversity and high performance: an integrative approach based on upper echelons and complexity theory[J].European Management Journal, 2020, 38(1): 157-168.

[25] 李利, 陈进.创业团队异质性对科技型企业创新绩效的影响[J].技术与创新管理, 2020, 41(1): 69-74,82.

[26] 石书德, 张帏, 高建.新企业创业团队的治理机制与团队绩效的关系[J].管理科学学报, 2016, 19(5): 14-27.

[27] 刘礼花.创业团队契约治理和关系治理研究述评[J].经济研究导刊, 2016,12(14): 157-160.

[28] 朱仁宏, 周琦, 伍兆祥.创业团队契约治理真能促进新创企业绩效吗——一个有调节的中介模型[J].南开管理评论, 2018, 21(5):30-40.

[29] 赵婧, 李朋波.创业团队关系治理研究述评与展望[J].中国人力资源开发, 2015,32(5): 33-41.

[30] 牛芳, 张玉利, 杨俊.创业团队异质性与新企业绩效:领导者乐观心理的调节作用[J].管理评论, 2011, 23(11):110-119.

[31] 杨俊, 田莉, 张玉利, 等.创新还是模仿: 创业团队经验异质性与冲突特征的角色[J].管理世界, 2010,26(3): 84-96.

[32] 朱仁宏, 李新春.创业团队契约治理与新创企业绩效关系研究[J].中山大学学报(社会科学版), 2014, 54(4): 199-208.

[33] 蔡聪.创业公司的动态股份分配机制[M].北京: 机械工业出版社, 2017.

[34] 邓丽芳, 丁喆.创业团队特质、互动对绩效的影响[J].北京师范大学学报(社会科学版), 2012,57(6): 13-20.

[35] 郑鸿, 徐勇.创业团队信任的维持机制及其对团队绩效的影响研究[J].南开管理评论, 2017, 20(5): 31-42.

[36] KINGSHOTT R P J.The impact of psychological contracts upon trust and commitment within supplier-buyer relationships: a social exchange view[J].Industrial Marketing Management, 2006,35(6): 724-739.

[37] JOSHI AW.When does customer orientation hinder (help) radical product innovation? the role of organizational rewards[J].Journal of Product Innovation Management, 2016, 33(4):435-454.

[38] GARDNER HK.Performance pressure as a double-edged sword: enhancing team motivation but undermining the use of team knowledge [J].Administrative Science Quarterly, 2012, 57(1):1-46.

[39] 谢洪涛.项目治理对重大建设项目技术创新绩效的影响——考虑项目创新度和复杂度的调节作用[J].技术经济, 2013, 32(9): 29-33.

[40] 韩炜, 杨婉毓.创业网络治理机制、网络结构与新企业绩效的作用关系研究[J].管理评论, 2015, 27(12): 67-81.

[41] VENKATRAMAN N, RAMANUJAM V.Measurementof business performance in strategy research: a comparison of approaches[J].Academy of Management Review, 1986 (11): 801-814.

[42] 肖鹏, 周杨心悦, 刘景东, 等.社会网络、关系质量与新创企业成长关系研究[J].科技进步与对策,2018,35(18):113-119.

[43] AMASON A C,SHRADER R C,TOMPSON G H.Newness and novelty:relating top management team composition to new venture performance[J].Journal of Business Venturing, 2006,21(1):125-148.

[44] NUNNALLY J.Psychometric theory[M].New York:McGraw-Hill,1978.

[45] AIKEN L S, WEST S G.Multiple regression:testing and interpreting interactions[M].Thousand Oaks, CA: Sage Publication, 1991.

(责任编辑:王敬敏)