和而不同:高管团队职能背景异质性对企业跨界技术并购绩效的影响

郄海拓1,綦 萌2,李晓意2,王宛秋2

(1.中国科学技术信息研究所,北京 100038; 2.北京工业大学 经济与管理学院,北京 100124)

摘 要:跨界技术并购能够为企业提供全新的创新思路,在技术融合与创新背景下,其优势易于发挥。在并购发生后,高管团队职能背景异质性在很大程度上作用于企业战略和创新决策,对企业发展具有至关重要的作用。因此,选取首次并购公告日在2007年1月1日到2016年12月31日间的73个跨界技术并购案例为样本,运用多元回归方法对高管团队职能背景异质性与企业跨界技术并购绩效的关系进行实证分析。结果显示,高管团队职能背景异质性对企业跨界技术并购绩效具有正向影响;市场化程度和可用冗余均正向调节上述作用。探索高管职能背景异质性对跨界技术并购绩效的作用机理,拓展信息决策理论应用情境,并为企业在跨界技术并购时进行高管团队配置和资源布局提供决策依据。

关键词:高管职能背景异质性;团队异质性;并购绩效;市场化程度;可用冗余

Harmony in Difference: Research on the Influence of Heterogeneity of Top Management Team Functional Background on the Enterprises Performance of Cross-border Technology Mergers & Acquisitions

Qie Haituo1,Qi Meng2,Li Xiaoyi2,Wang Wanqiu2

(1.Institute of Science and Technical Information of China, Beijing 100038,China; 2.Beijing University of Technology College of Economics and Management,Beijing 100124,China)

AbstractCross-border technology mergers and acquisitions could provide the enterprise with the new innovation ideas, so its advantages are easy to exploit under the background of technology integration and innovation.After mergers and acquisitions, the heterogeneity of top management team's (TMT's) functional background will play a vital role in the strategy and innovation decision of the enterprise to a great extent.So the study selects 73 cross-border technology mergers and acquisitions cases between January 1,2007 and December 31,2016 as research samples to conduct empirical research to research the relationships between the heterogeneity of TMT's functional background and the firms' performance of cross-border mergers and acquisitions based on multiple regression.The results show that the functional background heterogeneity of TMT has a positive effect on the performance of cross-border mergers and acquisitions firms.The degree of marketability and available redundancy both regulate this effect positively.This study explores the mechanism of heterogeneity of top management team's functional background affecting on cross-border technology mergers and acquisitions performance, and the conclusions expand the application situation of information decision theory.It also provides the decision basis for the allocation of executive team and resource layout in cross-border technology mergers and acquisitions.

Key Words:Heterogeneity of Top Management Team's Functional Background; Team Heterogeneity; Mergers and Acquisitions Performance; Marketability; Available Slack

收稿日期:2020-12-25

修回日期:2021-03-03

基金项目:国家自然科学基金青年项目(71802012);北京市教委人文社科项目(SM201910005012)

作者简介:郄海拓(1988—),女,北京人,博士,中国科学技术信息研究所助理研究员,研究方向为企业创新、区域创新、科技创新政策;綦萌(1989—),男,山东青岛人,博士,北京工业大学经济与管理学院副教授,研究方向为团队管理;李晓意(1996—),女,河北邯郸人,北京工业大学经济与管理学院硕士研究生,研究方向为技术并购;王宛秋(1971—),女,辽宁沈阳人,博士,北京工业大学经济与管理学院教授,研究方向为企业并购。本文通讯作者:綦萌。

DOI10.6049/kjjbydc.2020120717

开放科学(资源服务)标识码(OSID):

中图分类号:F271.4

文献标识码:A

文章编号:1001-7348(2021)21-0083-09

0 引言

技术创新发展和产业加速融合使产业边界日趋柔性化,资源融合与技术创新为企业带来新的增长点,激发企业创新活力。越来越多的企业通过跨界技术融合培育新的业务增长点。技术并购作为外部技术知识获取途径[1],在企业跨界行为中发挥重要作用。王宛秋等[2]提出跨界技术并购的定义,即以跨界技术或产品发展为动因,以跨越主并方自身技术或产品领域的企业为目标方的技术并购。一方面,跨界技术并购打破企业因重复利用原有知识而导致的核心刚性[3],拓展创新边界。另一方面,跨界技术并购给企业价值判断与资源整合决策带来挑战[2]。科技人才政策旨在促进人才高效利用,发挥人才在经济发展和科技、区域、企业创新中的重要作用。高管团队作为企业经营过程中拥有决策和控制权的高层经理群体[4],是企业创新活动的核心决策者[5]。高管团队制定企业发展战略和技术创新战略,对提升企业竞争力和企业业绩起决定性作用[6]。因此,充分发挥高管团队的积极作用不仅对企业意义重大,而且有利于区域和国家高效利用人才,助力经济发展。

1984年,Hamhrick等[7-9]提出的高层梯队理论为高管团队对企业决策的影响研究提供了支持。该理论以人的有限理性为前提,把高层管理者特征、战略选择、组织绩效纳入高阶理论研究模型,发现高管成员特质对于企业决策具有重要影响,是企业能否持续成长的关键[6,10]。高管团队的认知能力、感知能力和价值观等心理结构决定战略决策过程及战略绩效。管理者的有限理性,使其根据自身经验和价值观简化决策情景[11],从而影响管理决策和决策后果。然而,心理结构特征的隐蔽特性会加大上述影响因素测量难度。以往异质化研究通常采用人口统计特征(如年龄、性别等)进行衡量,但始终无法得出统一结论。在针对高管年龄的研究中,一种观点认为,由相同年龄管理者组成的高管团队,其凝聚力和稳定性更强[12];另一种观点认为,高年龄异质性兼具经验与创新思维优势,能够促进企业绩效提升[13]。此外,还有学者研究发现,高管团队年龄异质性与企业绩效之间存在非线性关系[14]。相比人口统计特征,心理结构特征(如职能背景、教育背景等)与员工工作行为的联系更为紧密,前者对后者具有更深远的影响。并购活动具有非程序化决策特征,依赖于高管职业经验积累,高管团队职能背景在并购活动中发挥关键作用。因此,本研究侧重于从职能背景层面探索高管团队在跨界技术并购中的表现。

跨界技术并购从决策到交易再到整合,是一个多职能协作过程,本质上是高管团队协作过程。高管团队结构特征影响协作效率[15],而异质性是高管团队的重要结构性特征[16]。现有研究发现,高管团队异质性对企业并购战略决策、海外并购绩效具有显著影响[17,18],但影响效果如何,现有研究尚未达成共识。信息决策理论(Information and Decision-Making Theory)认为,异质化程度越高,企业掌握的资源和信息就越多,从而带来更多的学习机会以提升企业绩效[19,20]。Collins等[21]和顾琴轩等[22]的研究提供了该理论在实践中的应用实例。社会类化理论(Social Categorization Theory)[23]认为,个体倾向根据属性差异进行归类,求同排异导致企业凝聚力和绩效降低[24]。此外,异质性认知差异会增加共识达成的难度和交流成本[25],阻碍资源共享与合作[26,27]。进一步地,相关学者认为,中国社会关系特征可能抑制异质性资源优势发挥[28],促使高管团队职能背景异质性产生社会类化过程,从而抑制优势互补的作用[8]。在跨界技术并购背景下,并购行为本身能为跨界创新提供更多思路和机会,而且中国自古以来就存在“和而不同,为而不争”的君子文化,有助于多种认知交流。因此,高管团队职能背景异质性很可能为企业跨界创新活动提供广泛视角,促进并购绩效提升。

高管团队异质性知识能否充分交流融合受企业外部市场环境与内部资源等边界条件的影响和限制。在外部市场环境方面,透明、正规化市场能够为高管团队带来广泛及时的资讯,促使高管团队发挥异质性信息和知识优势,从而提升企业绩效[29]。在内部资源条件方面,内部冗余会影响企业创新行为和绩效,是重要资源因素。一些学者认为,可用冗余能够支持产品开发[30],平滑持续性创新投入[31],稳定企业运营[32],缓解融资压力[33],从而有利于提升企业绩效。另一些学者认为,可用冗余会导致外部购买[34]、高管懈怠情绪[35]甚至谋求私利[36]等行为,最终损害企业绩效。上述边界条件如何影响高管职能背景异质性与跨界技术并购绩效的关系,需要进一步加以明确。

基于此,本研究以A股上市公司73个跨界技术并购事件为样本,对高管团队职能背景异质性与企业跨界技术并购绩效的关系进行实证检验,进一步探索市场化程度与可用冗余在两者间的作用机理。研究结论有利于高层梯队理论和信息决策理论在跨界技术并购领域的应用,为企业超常规决策中高管团队布局提供经验证据。

1 理论分析与研究假设

1.1 高管团队职能背景异质性对跨界技术并购绩效的作用

所谓高管职能背景,是指高管在不同行业、企业或同一企业不同职能部门的工作经历[37]。虽然信息决策理论与社会类化理论就高管团队异质性对企业绩效的作用持相反观点,但仍为高管团队职能背景异质性与企业跨界技术并购绩效关系研究奠定了理论基础。

信息决策理论认为,决策是一个信息流动和再生过程,信息在信息源和决策者之间流动,将知识传递给决策者,从而影响决策制定。拥有异质性背景的高管团队在资源、视角和知识方面存在优势,可以为组织发展提供多元化观点,既有助于提升企业市场判断力和多元化决策水平[38],又有助于化解企业面临的危机[6],从而提升企业绩效[39-40]。有学者认为,高管中的国际化背景占比与企业国际化融资倾向间存在正相关关系[41],进一步将高管团队异质性具体到职能背景领域。也有学者发现,企业高管团队职能背景对企业绩效和企业成长均有影响[42],如高管团队职能异质性与企业首次公开募股折价负相关[43],与企业绩效正相关[39]

社会类化理论认为,社会群体中的主体会对社会中的个体进行类别划分,根据归类结果,对自身所属群体予以社会认同及正面评价,并排斥或歧视其他群体。社会化过程会加深偏见、加剧冲突,进而降低团队凝聚力[44-45],损害企业创新和绩效。当团队差距过大时,易滋生个人主义,这对企业发展不利[46]。将异质性具体到高管团队职能背景上,国内外学者均提供了相关案例[47-48]。相关研究表明,高管团队职能背景异质性对企业具有双重影响,一方面有利于企业处理突发事件,另一方面则因差异而产生冲突[45]。在跨界技术并购背景下,信息决策理论更易发挥作用,这是由于打破异质性限制并充分发挥高管团队成员优势原本就是跨界技术并购的目标。中国历来有“和而不同,为而不争”的君子文化,《论语·子路第十三》中提到“君子和而不同”[49],《道德经》中讲到“(圣)人之道,为而不争”[50]。君子文化要求人们在独立判断的基础上,注重与周围人建立良好、融洽的关系,不能因观点相左就抵制他人。人们应为了团队目标努力合作、尽力而为,从而获得最优集体绩效。

跨界技术并购的成败往往取决于企业能否打破各种壁垒,发挥资源、知识融合优势。多样化高管背景能够为并购中的交易、整合等相关决策带来丰富和全面的信息,以及更广阔的认知视角。中国“和而不同,为而不争”的君子文化深入人心,为打破壁垒和积极合作提供了坚实的文化积淀。此外,跨界技术并购可以进一步提升高管职能背景异质性程度。主并企业往往有意识地通过营造包容合作的企业文化促进文化融合和组织协作,避免社会类化带来的负向影响,从而实现并购绩效提升。因此,本文推测,信息决策理论在高管团队对跨界技术并购绩效的影响过程中可能发挥主要作用,故提出以下假设:

H1:高管团队职能背景异质性对企业跨界技术并购绩效具有正向影响。

1.2 市场化程度影响高管团队异质性对并购绩效的作用

市场化进程体现市场发展完善程度,进程加快意味着制度环境正式化程度提高,运行规则透明具体,相较于政府,市场成为经济资源分配的决定力量[51]。在上述情境下,信息决策理论作用更易得到发挥。目前,我国各地区市场化进程差异显著[52],对高管团队决策具有重要影响。

张秋萍等[29]认为,处于高市场化进程地区的企业,高管团队特征差异对企业经营绩效等的影响大于低市场化进程地区,即市场化程度能够强化高管团队异质性对企业绩效的作用。这是由于高市场化环境带来更加透明化的信息,市场在资源配置过程中发挥决定性作用,导致企业面临更大的竞争压力,有利于高管异质性优势发挥,使其能够通过选择更积极的投资决策[53]提升企业绩效[10]。目前,现有研究验证了H1,即在高管团队异质性与并购绩效关系中,基于我国企业所处环境,信息决策理论的正向影响很可能超过社会类化理论的负向影响。基于此,本研究提出以下假设:

H2:市场化程度提升能够强化高管团队职能背景异质性对并购绩效的作用。

1.3 可用冗余影响高管团队异质性对并购绩效的作用

冗余是指组织中超出给定产出水平所需而另外留存在组织内部的资源。依据资源调用难度,冗余可划分为可用冗余、可恢复冗余以及潜在冗余3种类型[54-55]。现有研究较多关注其对创新活动与并购绩效的影响,研究结论存在不一致性。

支持企业保持可用冗余的学者认为,可用冗余在帮助企业抓住市场机遇、快速开展创新、缓解融资约束方面发挥重要作用。学者们认为,可用冗余可以避免因创新资源中断导致的新产品开发困难[30],通过平滑持续性创新投入[31]、提升创新孵化能力等方式提升企业绩效[56]。可用冗余易于配置,能够降低由环境冲击带来的不确定性,确保企业稳定运营[32]。另外,可用冗余能缓解融资压力,有助于研发活动顺利开展,进而创造额外利润[33]

反对企业保持可用冗余的学者则认为,可用冗余会增加外部技术购买等行为,导致企业创新能力发展缓慢[34],还可能出现高管谋求私利[36]、懈怠以及满足现状的行为与情绪,最终导致企业绩效下降[35]。另有学者认为,可用冗余对绩效的促进作用存在边界,超过界限将阻碍组织效率提升,如造成资源浪费,从而降低企业运转效率[57]

基于上述研究,跨界技术并购作为一种探索性很强的超常规创新行为,具有风险和不确定性特点。因此,需要充足的内部资源为企业创新和运营活动提供柔性支持。对于可能出现的损失,企业不仅需要客观估计,而且需要提供容错空间和再尝试的机会与资源,从而确保内部冗余的缓冲垫作用得以发挥。本研究认为,可用冗余水平为具有不同职能背景的高管团队异质性提供了宽松的资源空间,可确保其认知共享优势发挥,从而促进并购绩效提升。由此,本文提出以下假设:

H3:可用冗余能够强化高管团队职能背景异质性对并购绩效的作用。

本文研究假设模型构建如图1所示。

图1 研究理论假设

2 研究设计

2.1 样本选取与数据来源

根据前述跨界技术并购定义[2],在A股上市公司全部并购事件中筛选出以获取不同于企业现有技术或者行业领域创新资源为动机的并购事件,即跨界技术并购,在此基础上进行如下筛选:①首次公告日是在2007年1月1日(2007年起企业研发投入信息披露较为规范)到2016年12月31日(可获取的最新一期财报数据是截至2020年4月公布的2019年年报,为获取因变量所需的并购后第3年财务数据,本研究以2016年12月31日作为并购事件样本选取时间节点,以确保2016年跨界技术并购事件涉及企业的财务数据得以获取)间的跨界技术并购;②主并企业高管相关信息、财务信息披露完整;③剔除交易未完成的并购事件;④剔除被并企业在首次公告日前没有任何专利发明的并购事件。最终,得到73个有效跨界技术并购样本数据。

本研究所使用的高管数据、财务数据来源于国泰安数据库,并从公司年报或新浪财经、巨潮资讯等网站上进行手工整理和补充。市场化程度相关数据来自樊纲、王小鲁[58]的《中国市场化指数》。

2.2 变量定义与测量

(1)解释变量:高管职能背景异质性。借鉴Hambrick[7]的研究方法,将高管以往职能经历划分为管理型、技术型和公关型3种类型,然后采用Herfindah指数加以度量,如式(1)所示。

(1)

其中,i表示类别,n表示种类数量,Pi为第i类职能类型高管数量占团队总数的比重。H取值在0~1之间,数值越大代表异质性程度越高[59]

(2)被解释变量:跨界技术并购绩效。借鉴Buy[39]和徐志坚[43]的研究方法,采用并购后3年的托宾Q均值加以衡量,并购后3年均值能够缓解时滞效应。

(3)调节变量:市场化程度和可用冗余。相关研究指出,市场化程度通过一定方式对企业并购发挥作用。因此,借鉴樊纲、王小鲁等[58]的研究成果,以市场化指数表示市场化程度。

可用冗余资源的存在代表高管有更多机会开展跨界创新活动。本研究借鉴陈家淳等[60]对资产流动性的测度方法,使用流动资产/流动负债测算。

(4)控制变量。根据现有研究,选取相关控制变量,包括独董比例(Board)、市场集中度(HHI)、产权性质(Property)、企业团队规模(Scale)、技术多元化(TD)、研发强度(R&D)和企业年龄(Age)等。此外,引入行业和年度虚拟变量。

独立董事可以反映企业治理结构,能够为并购活动提供建议,本研究采用独立董事人数占高管总人数的比重衡量,即独董比例。市场集中度采用Herfindahl-Hirschman指数度量,越接近0,表示竞争越激烈,即参与竞争的企业数量较多且每家企业市场占有率较低;越接近10 000,表示垄断越严重,参与竞争的企业数量较少,或竞争各方占有率差距较大。依据最终控股股东性质,企业可以分为民营企业与国有企业,国有企业赋值为1,否则为0。企业规模采用高管团队人数衡量,高管团队人数越多,越能够为企业跨界创新活动带来异质性知识和多维度信息资源。技术多元化用来衡量并购前企业已有技术多元化水平,表明企业识别、理解新知识的能力,采用赫芬达尔指数的倒数衡量,其数值越大,表明企业技术多元化水平越高。研发强度能够体现企业研发能力强弱,研发强度越大,表明企业创新能力越强,采用研发投入占总资产的比例衡量。企业年龄采用截至跨界技术并购发生时企业上市年限衡量。详细变量情况如表1所示。

2.3 研究方法与模型

本文采用多元线性回归方法。首先,构建包括被解释变量与控制变量的基本模型,即模型(1),如式(2)所示。

TBQ=α0+α1·TD+α2·Board+α3·Age+α4·HHI+α5·Property+α6·R&D+α7·Scale+ε

(2)

然后,在模型1的基础上加入自变量构建模型(2),如式(3)所示。

TBQ=α0+α1·Profession+α2·Controls+ε

(3)

在模型(2)的基础上引入调节变量,即市场化程度和市场化程度与跨界技术并购后创新绩效的交互项,构建模型(3)如式(4)所示。

TBQ=α0+α1·Profession+α2·Market+α3·Profession·Market+α4·Controls+ε

(4)

在模型(2)的基础上引入调节变量,即可用冗余和可用冗余与跨界技术并购后创新绩效的交互项,构建模型(4)如式(5)所示。

TBQ=α0+α1·Profession+α2·Slack+α3·Profession·Slack+α4·Controls+ε

(5)

表1 变量汇总

变量类别变量名称变量符号变量定义变量选取时间被解释变量跨界技术并购绩效TBQ市场价值/(资产总额-无形资产净值)并购后3年的均值解释变量高管职能背景异质性Profession按高管最近一次职能背景划分为:管理型、技术型、公关型。Profession=1-ΣPi2,其中Pi2是指某类职能所占比例并购当年调节变量市场化程度Market王小鲁等:中国分省份市场化程度报告 并购最近年份可用冗余Slack流动资产/流动负债并购当年控制变量独董比例Board独立董事人数/高管总人数并购当年市场集中度HHIHHI=Σ(Xi/X)2 =ΣSi2;其中X表示市场的总规模,Xi表示第i个企业的规模,Si=Xi/X表示第i个企业市场占有率,n表示该产业内的行业数并购当年产权性质Property是否国企,是国企=1;否则=0并购当年团队规模Scale高管团队人数并购当年技术多元化TDTD =1/Σ(Pi/p)2,Pi表示企业拥有的第i种专利类别专利数并购当年研发强度R&D研发投入/总资产并购当年企业年龄Age观测年与企业上市年的差值并购当年

3 实证结果

3.1 描述性统计与相关性分析

表2为变量描述性统计结果。表中,各变量的VIF值均小于2,因而不存在多重共线性问题。

表3为变量间相关性分析结果,结果显示,高管职能背景异质性与跨界技术并购绩效呈正相关关系,初步验证了研究假设中的主效应。

表2 变量描述性统计结果

变量变量含义VIF样本数平均值标准差极小值极大值TBQ跨界技术并购绩效 732.7351.391.2437.284Profession高管职能背景异质性1.146730.5580.1150.120.75Market市场化程度1.246738.2991.4134.3710.46Slack可用冗余1.170732.9153.2260.50324.067Board独董比例1.350730.2030.0510.1110.417HHI市场集中度1.030730.0770.0850.0170.476Property产权性质1.473730.110.3150.0001.000Scale团队规模1.091732.7570.2022.3033.296TD技术多元化1.121730.3740.2320.0001.000R&D 研发强度1.303730.0230.0140.0020.066Age企业年龄1.397733.933.2930.00017.000

表3 相关性分析结果

变量名称TBQProfessionMarketSlackBoardHHIPropertyScaleTDR&DAgeTBQ(跨界技术并购绩效)1.000Profession(高管职能背景异质性)0.251*1.000Market(市场化程度)0.184-0.1041.000Slack(可用冗余)0.0580.044-0.0191.000Board(独董比例)0.007-0.1970.145-0.0871.000HHI(市场集中度)-0.1510.0490.116-0.052-0.0361.000Property(产权性质)-0.145-0.052-0.318**0.166-0.225-0.1211.000Scale(团队规模)-0.1630.143-0.1010.017-0.707**0.1840.321**1.000TD(技术多元化)-0.039-0.071-0.1650.1420.040-0.0900.1100.0001.000R&D(研发强度)0.2320.044-0.1490.306**-0.137-0.0760.337**0.1880.0281.000Age(企业年龄)-0.0750.0320.0880.241*0.139-0.0890.061-0.044-0.125-0.274*1.000

注:N=73(观测值),******分别表示1%水平下显著、5%水平下显著、10%水平下显著,下同

3.2 实证结果分析

实证结果如表4所示。从模型1结果可以看出,研发投入强度与并购绩效存在显著正相关关系,即加大研发投入强度能够提升并购绩效。在模型1的基础上,加入解释变量高管团队职能背景异质性构建模型2,结果显示,高管团队职能背景异质性与并购绩效存在显著正相关关系,H1得到验证。说明在跨界技术并购案例中,高管团队职能背景异质性越强,并购绩效越高,符合信息决策理论对高管团队异质性与并购绩效间关系的判断。可能原因是高管职能背景异质性越强,高管团队在视角、资源、知识和经验等方面越多元化,优势互补就越有利于客观理性决策,企业抵御风险和应对不确定性环境的能力得以提升,从而有利于并购绩效提升。

表4 多元回归结果

变量模型1模型2模型3模型4Board(独董比例)-0.162-0.139-0.131-0.151HHI(市场集中度)-0.117-0.113-0.156-0.061Property(产权性质)-0.221-0.166 -0.137-0.189Scale(团队规模)-0.239-0.289-0.251-0.324*TD(技术多元化)-0.018-0.0100.039-0.015R&D(研发强度)0.308**0.283**0.292**0.320**Age(企业年龄)0.020-0.009-0.011-0.005Profession(高管职能背景异质性)0.267**0.291**0.392***Market(市场化程度)-1.130*Slack(可用冗余)-2.744**Profession*Market1.371**Profession*Slack2.729**年份控制控制控制控制行业控制控制控制控制F值1.4771.967*2.495**2.184**R20.1540.2190.3160.288Adj R20.0500.1080.1890.156N73737373

模型3在模型2的基础上加入市场化程度以及高管团队职能异质性与市场化程度的交互项,结果显示,交互项与并购绩效呈正相关关系。说明市场化程度能够正向调节高管职能背景异质性与并购绩效间的正相关关系,H2得证。可能是因为市场化程度越高,高管团队职能背景异质性就越容易发挥优势作用,从多维角度对市场环境与企业现状进行分析和判断,进而作出最优决策。

模型4在模型2的基础上加入可用冗余以及高管团队职能异质性与可用冗余的交互项,结果显示,交互项与并购绩效间呈正相关关系,说明可用冗余正向调节高管职能背景异质性与并购绩效间的正相关关系,H3得证。可能原因是充足的可用冗余可以给不同职能背景的高管团队带来更多可用资源,有利于创新产品孵化并缓解融资压力,最终实现并购绩效提升。

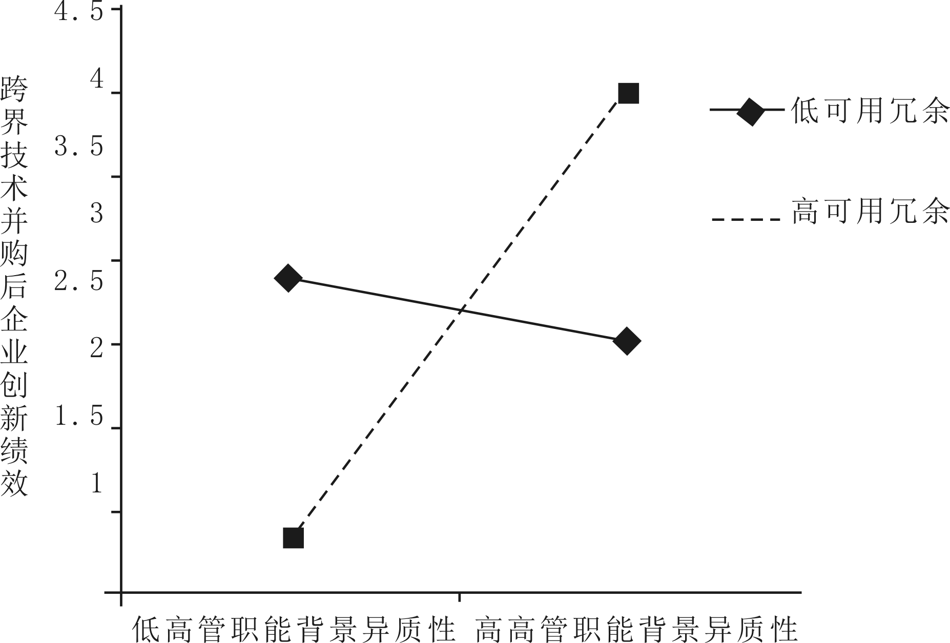
此外,本研究绘制调节效应图直观反映调节效应。由图2可知,当市场化程度高时(+SD),高管职能背景异质性对跨界技术并购后企业创新绩效的简单斜率为7.041(P=0.016);当市场化程度低时(-SD),高管职能背景异质性对创新绩效的简单斜率为1.195(P=0.589),支持H2。由图3可知,当可用冗余程度高时(+SD),高管职能背景异质性对跨界技术并购后企业创新绩效的简单斜率为11.682(P=0.011);当可用冗余程度低时(-SD),高管职能背景异质性对创新绩效的简单斜率为-1.526(P=0.617),支持H3

图2 市场化程度的调节效应

图3 可用冗余的调节效应

4 稳健性检验

为保证研究结果的稳健性,本文采用变量替换和安慰剂两种方法进行稳健性检验。首先,将因变量TBQ由并购后3年均值替换为并购当年和并购后一年均值,如表5所示,检验结果未发生实质性改变,表明研究结果具有较好的稳定性。其次,进行安慰剂检验。将自变量由职能背景异质性替换为高管职业生涯中的职能经历异质性,结果见表6,相关关系不显著,可以排除安慰剂效应,实证结果稳健。

5 结语

5.1 结论

(1)高管团队职能背景异质性对企业跨界技术并购绩效具有正向影响。根据信息决策理论,高管团队职能背景异质性有助于提升决策合理性,进而提升并购绩效。

表5 稳健性检验结果

变量模型1模型2模型3模型4Board(独董比例)-0.267-0.247-0.244-0.253HHI(市场集中度)-0.102-0.097-0.141-0.054Property(产权性质)-0.211-0.155-0.117-0.176Scale(团队规模)-0.333*-0.393**-0.359**-0.418**TD(技术多元化)-0.123-0.116-0.064-0.12R&D(研发强度)0.2340.2080.217*0.238*Age(企业年龄)0.1020.0730.069 0.076Profession(高管职能背景异质性)0.270**-1.252*-0.049Market(市场化程度)-1.098*Slack(可用冗余)-2.375*Profession*Market1.963**Profession*Slack2.399*年份控制控制控制控制行业控制控制控制控制F值1.840*2.348**3.000***2.344**R20.1840.2510.3570.303Adj R20.0840.144 0.2380.174N73737373

表6 安慰剂检验结果

变量模型1模型2模型3模型4Board(独董比例)-0.144-0.147-0.155-0.145HHI(市场集中度)-0.123-0.104-0.122-0.108Property(产权性质)-0.225-0.213-0.166-0.229Scale(团队规模)-0.213-0.242-0.214-0.235TD(技术多元化)-0.019-0.027-0.012-0.017R&D(研发强度)0.301**0.294**0.315**0.298**Age(企业年龄)0.0180.0270.0210.030Profession(高管职能经历异质性)1-0.094-0.616-0.040Market(市场化程度)-0.296Slack(可用冗余)0.341 Profession1*Market0.748Profession1*Slack-0.353年份控制控制控制控制行业控制控制控制控制F值1.4431.3171.3251.028R20.1510.1580.1970.16Adj R20.0460.0380.0480.004N73737373

(2)市场化程度越高越能强化高管团队职能背景异质性对并购绩效的作用。市场化程度高,市场在资源配置中占主导地位,市场自发调节能力更强。根据信息决策理论,不同职能背景的高管更易发挥自身特长,在团队决策中实现优势互补,理性决策进而提升并购绩效。

(3)可用冗余可以正向调节高管职能背景异质性与并购绩效间的正相关关系。可用冗余的易用性特征有助于加速决策落实,缓解各类约束,降低试错风险,提高企业创新包容度,打破创新边界,响应市场需求,抓住市场机遇,进而提升企业绩效。

5.2 理论贡献与实际意义

本研究的理论贡献主要体现为对信息决策理论跨界创新情境下的拓展和对边界条件的探索。

(1)立足中国情境,探索高管团队职能背景异质性对我国企业的作用机制,发现我国传统文化崇尚的“和而不同,为而不争”思想为跨界创新营造了包容合作的环境,使具有不同职能背景的高管能够在最大化并购绩效的集体目标下发挥异质性优势,从而丰富了中国背景下跨界创新中高管人才结构研究。

(2)基于跨界技术并购背景的独特性,通过整合高阶理论和信息决策理论,基于认知特征层次的高管团队这一微观视角,为企业跨界技术并购绩效作用机制研究提供了新的解释路径,拓展了其前因变量研究。

(3)以往在动荡性组织结构下,高阶理论和信息决策理论对于团队异质性的影响具有多强解释效力,但现有文献结论尚不统一。本研究在跨界技术并购背景下,将高阶理论和信息决策理论有机结合,以市场化程度和可用冗余作为调节变量,为解释高管团队异质性与并购绩效关系提供了新的视角和方向,拓展了“异质性-行为”的边界条件。

本研究的实践意义主要体现为对跨界技术并购中高管团队布局和资源配置方面的启示。第一,有跨界技术并购意向的企业,应有意识地提升高管团队职能背景异质性,发挥其对跨界创新和并购绩效的重要影响。例如,通过内部提拔和外部聘用等方式丰富高管团队职能背景,发挥异质性优势,最大化并购绩效。同时,在实践中通过文化建设、有效沟通机制构建等方式规避高管团队职能背景异质性带来的风险。第二,充分认识和利用市场化程度的作用。从政府角度看,积极完善市场化机制和制定多元化人才政策仍然是当前紧迫任务。对于企业而言,应依据各地市场发育程度合理布局并购活动,通过市场化机制推动区域子公司或分支机构实施跨界技术并购,使高管异质性优势在合适的环境下充分发挥积极作用。第三,跨界技术并购前,企业应预留合理的冗余资源,确保并购给企业带来新思路、新方法和新路径,同时有相应的资源空间捕捉这些创新机会,进而完成跨界创新。

5.3 不足与展望

受限于样本量,本文未就不同行业企业高管职能背景异质性对跨界技术并购绩效的影响进行分类研究,这使得本文实践价值受到一定的限制。随着上市公司跨界技术并购事件不断增加,未来有必要以不同行业企业为样本,深入分析特定样本下高管团队异质性对跨界融合创新的影响,从理论和实践上不断深化这一领域研究。

参考文献:

[1] 朱方伟,于淼.企业外部技术获取与知识转化[M].北京:科学出版社,2014:86,104.

[2] 王宛秋,张潇天.谁更易在跨界技术并购中获益[J].科学学研究,2019,37(5):898-908.

[3] ROPER S,HEWITT-DUNDAS N.Knowledge stocks,knowledge flows and innovation:evidence from matched patents and innovation panel data[J].Research Policy,2015,44(7):1327-1340.

[4] 鲁虹,李晓庆,邢亚楠.高管团队人力资本与企业成长性关系研究:基于创业板上市公司的实证研究[J].科技管理研究,2014,34(4):157-162.

[5] 孙慧,任鸽.高管团队垂直薪酬差距、国际化战略与企业创新绩效:组织惯性的调节作用[J].经济与管理评论,2020,36(2):44-55.

[6] 黄登仕,祝晓斐.高管团队任职背景与企业经营绩效的影响研究:基于民营企业上市公司经验数据[J].经济体制改革,2016(1):131-138.

[7] HAMBRICK D C,MASON P A.Upper echelons:the organization as a reflection of its top managers[J].Academy of Management Review,1984,9(2):193-206.

[8] 王雪莉,马琳,王艳丽.高管团队职能背景对企业绩效的影响:以中国信息技术行业上市公司为例[J].南开管理评论,2013,16(4):80-93.

[9] HAMBRICK D C,CHO T S,CHEN M J.The influence of top management team heterogeneity on firms' competitive moves[J].Administrative Science Quarterly,1996,41(4):659.

[10] 文彤,曾韵熹,王红建.高管团队异质性对中小旅游新创企业绩效的影响:基于新三板市场的实证研究[J].旅游学刊,2019,34(12):12-24.

[11] FINKELSTEIN S.HAMBRICK D C.Strategic leadership: top executives and their effects on organizations[M].Paul: South-Western Pub,1996.

[12] 张兆国,曹丹婷,张弛.高管团队稳定性会影响企业技术创新绩效吗:基于薪酬激励和社会关系的调节作用研究[J].会计研究,2018(12):48-55.

[13] 周晓惠,田蒙蒙,聂浩然.高管团队异质性、盈余管理与企业绩效[J].南京审计大学学报,2017,14(3):75-85.

[14] TIHANYI L,ELLSTRAND A E,DAILY C M,et al.Composition of the top management team and firm international diversification[J].Journal of Management,2000,26(6):1157-1177.

[15] TAJFEL H, TURNER J C.The social identity theory of intergroup behavior[J].Political Psychology,1986,13(3):276-293.

[16] 陈华东.高管团队人口特征视角下薪酬激励与公司真实业绩研究[D].武汉:华中科技大学,2016.

[17] QIAN C L,CAO Q,TAKEUCHI R.Top management team functional diversity and organizational innovation in China:The moderating effects of environment[J].Strategic Management Journal,2013,34(1):110-120.

[18] 王娜.高管团队异质性与海外并购绩效的关系研究 :基于技术获取型海外并购企业的考证[D].天津:天津财经大学,2019.

[19] SIMONS T,PELLED L H,SMITH K A.Making use of difference:diversity,debate,and decision comprehensiveness in top management teams[J].Academy of Management Journal,1999,42(6):662-673.

[20] 韩立丰,王重鸣,许智文.群体多样性研究的理论述评:基于群体断层理论的反思[J].心理科学进展,2010,18(2):374-384.

[21] COLLINS C J,SMITH K G.Knowledge exchange and combination:the role of human resource practices in the performance of high-technology firms[J].Academy of Management Journal,2006,49(3):544-560.

[22] 顾琴轩,傅一士,贺爱民.知识共享与组织绩效:知识驱动的人力资源管理实践作用研究[J].南开管理评论,2009,12(2):59-66.

[23] RICHARD O C,SHELOR R M.Linking top management team age heterogeneity to firm performance:juxtaposing two mid-range theories[J].The International Journal of Human Resource Management,2002,13(6):958-974.

[24] HOGG M A,REID S A.Social identity,self-categorization,and the communication of group norms[J].Communication Theory,2006,16(1):7-30.

[25] 张进华,袁振兴.高管团队特征与企业社会资本形成的关系研究[J].财会月刊,2011,32(1):34-38.

[26] 刘军,章凯,仲理峰.工作团队差序氛围的形成与影响:基于追踪数据的实证分析[J].管理世界,2009,25(8):92-101,188.

[27] SMITH K G,SMITH K A,OLIAN J D,et al.Top management team demography and process:the role of social integration and communication[J].Administrative Science Quarterly,1994,39(3):412.

[28] 杨国枢.中国人的心理与行为:本土化研究[M].北京:中国人民大学出版社,2004.

[29] 张秋萍,盛宇华,陈加伟.董事长—TMT垂直对差异与创新投资关系研究:市场化与产权性质的作用[J].科学学与科学技术管理,2018,39(10):138-156.

[30] SHAIKH I A,O'BRIEN J P,PETERS L.Inside directors and the underinvestment of financial slack towards R&D-intensity in high-technology firms[J].Journal of Business Research,2018(82):192-201.

[31] 李健,李婷婷,潘镇.组织冗余、产品市场竞争与创新可持续性[J].中国科技论坛,2016,32(1):88-92.

[32] VANACKER T,COLLEWAERT V,ZAHRA S A.Slack resources,firm performance,and the institutional context:evidence from privately held European firms[J].Strategic Management Journal,2017,38(6):1305-1326.

[33] LATHAM S F, BRAUN M R.The performance implication of financial slack during economic recession and recovery: observations from the software industry[J].Journal of Managerial issues, 2008, 20(1):30-50.

[34] 毕晓方,翟淑萍,姜宝强.政府补贴、财务冗余对高新技术企业双元创新的影响[J].会计研究,2017,38(1):46-52,95.

[35] RAFAILOV D.Financial slack and performance of Bulgarian firms[J].Journal of Finance and Bank Management,2017,5(2):1-13.

[36] HUGHES M,EGGERS F,KRAUS S,et al.The relevance of slack resource availability and networking effectiveness for entrepreneurial orientation[J].International Journal of Entrepreneurship and Small Business,2015,26(1):116-138.

[37] WALLER M J,HUBER G P,GLICK W H.Functional background as a determinant of executives' selective perception[J].Academy of Management Journal,1995,38(4):943-974.

[38] HENNEKE D,LÜTHJE C.Interdisciplinary heterogeneity as a catalyst for product innovativeness of entrepreneurial teams[J].Creativity and Innovation Management,2007,16(2):121-132.

[39] BUYL T,BOONE C,HENDRIKS W,et al.Top management team functional diversity and firm performance:the moderating role of CEO characteristics[J].Journal of Management Studies,2011,48(1):151-177.

[40] 刘升福,任静.高管团队异质性与企业战略绩效关系研究:以中小上市企业为例[J].财会通讯,2015,32(12):42-45.

[41] CARPENTER M A,FREDRICKSON J W.Top management teams,global strategic posture,and the moderating role of uncertainty[J].Academy of Management Journal,2001,44(3):533-545.

[42] MURRAY A I.Top management group heterogeneity and firm performance[J].Strategic Management Journal,1989,10(S1):125-141.

[43] 徐志坚,魏娟,夏伟.高层管理团队异质性对创业企业首次公开募股折价的影响[J].南京大学学报(哲学·人文科学·社会科学),2013,50(4):36-44,158.

[44] 邓新明,刘禹,龙贤义,等.高管团队职能异质性与企业绩效关系研究:基于管理者认知和团队冲突的中介分析[J].管理工程学报,2020,34(3):32-44.

[45] AUH S,MENGUC B.Balancing exploration and exploitation:The moderating role of competitive intensity[J].Journal of Business Research,2005,58(12):1652-1661.

[46] 王朝辉.高管团队异质性对企业绩效影响的实证研究[J].沈阳师范大学学报(社会科学版),2015,39(2):96-98.

[47] HALEBLIAN J,FINKELSTEIN S.Top management team size,CEO dominance,and firm performance:the moderating roles of environmental turbulence and discretion[J].Academy of Management Journal,1993,36(4):844-863.

[48] 姚冰湜,马琳,王雪莉,等.高管团队职能异质性对企业绩效的影响:CEO权力的调节作用[J].中国软科学,2015,30(2):117-126.

[49] 方明.论语 中国文化经典诵读系列[M].广州:广东大音音像出版社,2007.

[50] 老子.道德经[M].北京:作家出版社,2016.

[51] 宋立丰,祁大伟,宋远方.市场化程度、资本结构与政治关联独立董事比例:基于民营企业视角[J].财会月刊,2019,40(8):49-57.

[52] 樊纲,王小鲁,马光荣.中国市场化进程对经济增长的贡献[J].经济研究,2011,46(9):4-16.

[53] 戴魁早,刘友金.市场化进程对创新效率的影响及行业差异:基于中国高技术产业的实证检验[J].财经研究,2013,39(5):4-16.

[54] BOURGEOIS L J III.On the measurement of organizational slack[J].Academy of Management Review,1981,6(1):29-39.

[55] 朱芳芳,李海舰,邵剑兵.可用冗余和过度投资:基于高管股权激励的调节作用[J].软科学,2019,33(6):84-88,116.

[56] MELLAHI K,WILKINSON A.A study of the association between level of slack reduction following downsizing and innovation output[J].Journal of Management Studies,2010,47(3):483-508.

[57] HEROLD D M,JAYARAMAN N,NARAYANASWAMY C R.What is the relationship between organizational slack and innovation[J].Journal of Managerial Issues,2006,18(3):372-392.

[58] 王小鲁,樊纲,余静文.中国分省份市场化指数报告(2016)[M].北京:社会科学文献出版社,2017.

[59] WIERSEMA M F,BANTEL K A.Top management team demography and corporate strategic change[J].Academy of Management Journal,1992,35(1):91-121.

[60] 陈家淳,胡哲帅.战略性新兴产业上市企业资本结构影响因素实证研究:基于沪深上市公司数据[J].财会通讯,2015,32(15):21-24,79.

(责任编辑:张 悦)