党的十九届五中全会指出,坚持实施更大范围、更宽领域、更深层次对外开放,积极参与全球经济体系治理改革,开拓合作共赢新局面。作为新兴经济体,中国技术创新能力与发达国家相比仍存在一定差距,需要在深度融入全球市场过程中,充分利用全球价值链在各国之间延展细化的契机,快速提高产品生产能力和技术能力,以应对复杂的国际经济形势,推动制造业从低附加值生产迈向以高附加值生产为主的高质量发展阶段。然而,在全球分工深化过程中也应认清一个现实,价值链高端往往被发达国家企业控制,发展中国家参与者则在重重阻碍下被锁定在低附加值环节。与世界先进制造业强国相比,中国制造业在全球价值链分工体系中面临着大而不强、质量普遍不高、核心技术缺失等问题,同样也存在被发达国家掣肘于低端的风险[1]。
事实上,在产业高度模块化、全球分工深化以及新型国际分工布局下,一国制造业高质量发展与其扮演的国际分工角色密不可分,而国家间技术能力差异是导致各国分工地位不同的主要决定因素。因此,作为发展中国家,中国如何在全球分工深化背景下作出适宜的技术路径选择,通过合理分配创新资源,提升技术能力,加快关键核心技术攻关,从而推动经济和制造业发展由高速增长阶段转向高质量发展阶段,是一个亟待解决的重要议题。本文基于全球价值链嵌入视角,深入探究制造业实现高质量发展的技术路径选择,通过分析全球价值链嵌入对后发国家制造业高质量发展技术路径选择的影响及作用机理,结合要素禀赋条件和技术基础,提出当前世界经济新环境下制造业高质量发展的适宜技术路径选择依据,并在理论分析基础上,利用中国“入世”以来的制造业行业数据进行实证检验。本文为全面解读后发国家技术路径选择与经济赶超提供了一个新视角,同时也为新型国际分工与贸易背景下中国制造业实现高质量发展的适宜技术路径选择提供了经验依据和政策建议。
目前国内外围绕全球价值链嵌入对技术进步的影响展开了多角度研究,其中部分观点认为,参与全球价值链分工对技术创新具有正向影响,能够通过中间产品效应、行业竞争效应和大市场效应提升技术含量[2-6];也有一些研究持相反态度,认为由于技术吸收能力有限、对技术外溢的过度依赖以及发达国家的俘获政策,全球价值链嵌入对企业研发创新行为具有显著抑制作用[7-9,1];还有文献研究指出,GVC嵌入与技术进步之间呈非线性关系,技术溢出与低端锁定往往相伴而生,初步嵌入能够实现技术进步,但在进一步攀升过程中,存在技术锁定效应和分工固化风险 [10-15]。在进一步研究中,胡昭玲和李阳红[5]发现,企业面临的竞争程度、融资约束和技术吸收能力均会对全球价值链与技术进步之间的关系产生影响;王思语和郑乐凯[14]研究发现,全球价值链嵌入方式也会影响技术进步效应,前向嵌入能够促进出口技术复杂度提升,而后向嵌入的影响存在差异化表现;刘琳和盛斌[8]通过实证研究发现,参与全球价值链分工并没有提高中国制造业的国内技术复杂度,但是研发投入、良好的商业与制度环境会在全球价值链嵌入对国内技术复杂的偏效应中产生正向作用。
制造业高质量发展是新时代经济高质量发展的基础,借助技术创新,实现生产效率提升和价值链延伸是现阶段制造业高质量发展的主要内涵[16-18]。然而,后发国家在产业发展过程中面临着复杂的技术进步决策,既要在研发强度与模仿程度之间作选择,又要在技术引进与自主研发之间权衡[19]。目前关于后发国家技术路径选择与经济发展的研究结论存在一定分歧,一些学者认为,一国技术发展应与本国要素禀赋相适宜[20-22],由于后发国家创新资源相对稀缺,加大研发投入并不必然带来经济增长集约化水平提升[23-24],反而是采取以引进模仿为主的技术路径更为适宜,不需要承担自主研发的高额投入和高风险,就可以获得更多生产剩余积累[25]。对此,Cohen & Levinthal[26]、Mathews[27]等却提出相反观点,其认为技术生产具有很强的自我积累性和路径依赖特点,后发国家在技术引进过程中往往只关注当下的低成本和低风险,而忽略研发能力的培养和学习积累,最终形成路径依赖,导致与发达国家之间差距越来越大。尤其是当前经济增长方式已经由数量型向质量型转变,在新的发展阶段,企业自生能力不再取决于要素成本,而是由要素使用效率决定,需要通过加大研发投入提升技术水平和要素效率,实现低成本和产品差异化竞争优势[28]。路风[29]通过对中国汽车、飞机、电信等行业技术发展进行调查研究也发现,由于大量技术知识是缄默知识,只有通过自主研发才能形成产品开发和研发设计等创新能力,从而面对竞争环境与市场需求变化,赢得竞争优势,实现高质量发展。
此外,也有部分学者认为技术引进与自主研发之间是可以转化的,并非互相矛盾的关系。对此,学术界对技术进步路径及其转型的决定因素进行了研究,探讨技术路径转换的一般规律和避免技术陷阱的条件。如Currie等[30]、Arnold[31]通过建立南北内生增长模型指出,后发国家技术进步一般会经历技术模仿、改造创新和自主创新3个阶段,而技术路径之间的转换则取决于模仿的相对容易程度和人均知识资本存量;傅晓霞和吴利学[9]、欧阳峣等[32]、黄先海和宋学印[33]利用拓展的内生增长模型分析技术模式决定与转型的影响因素,发现随着技术差距、创新环境、技术吸收能力及自主研发效率等因素变化,经济增长方式逐步从模仿主导向创新驱动转换;余泳泽和张先轸[34]进一步讨论均衡状态下人力资本、经济发展水平和制度环境对后发国家技术路径选择的门槛效应,发现只有当一国经济发展水平、要素禀赋条件和制度环境达到一定程度后,自主研发才能有效促进全要素生产率提升。此外,还有研究从微观角度探究企业技术进步路径选择也得出类似结论,认为创新成本差异是影响企业技术选择的重要原因,当企业生产率水平逐渐接近前沿技术时,企业会从引进模仿转向自主创新从而实现技术升级 [35-36]。
纵观已有研究,后发国家的适宜技术路径选择多是根据创新经济体内在资源禀赋条件确定,以此实现从经济追赶向经济赶超转变,而对外部环境变化关注较少。随着国际分工和贸易新体系的形成与发展,一国面临的国际环境正在发生深刻变化,对后发国家技术选择也提出了新的要求和挑战,这一点在已有研究中却被忽略了。相较于已有研究,本文可能存在以下边际贡献:创新性地基于全球价值链嵌入视角,探究后发国家高质量发展的技术路径选择,通过分析全球价值链嵌入对后发国家技术路径选择的影响及作用机理,提出世界经济新环境下后发国家的适宜技术路径选择依据;进一步地,在理论分析基础上,利用世界投入产出表(WIOT)和中国制造业行业数据进行实证检验,为中国制造业在全球分工深化背景下实现高质量发展的适宜技术路径选择提供经验证据。
在全球价值链分工中,制造业高级化是高质量发展的重要体现。随着高质量发展国家战略的提出,制造业迫切需要从低附加值生产转向高附加值生产,实现价值链延伸,形成竞争优势。基于此,本文利用南北分析框架的基本范式,解析全球价值链嵌入背景下后发国家实现高质量发展的适宜技术路径选择内在机理。对于一个开放的后发国家,假设经济中由最终产品部门、中间产品部门和研发部门3个部门组成。其中,最终产品生产部门面临竞争性市场,在给定技术水平下,将中间投入品和土地资源转化为最终产品。最终产品生产函数为:
![]()
(1)
其中,Y表示最终产出,其价格单位化为1;A为中间投入品种类,刻画一国技术水平;x(i)表示第i种中间投入品数量;G为投入到最终生产中的土地,本文将其标准化为1;α、1-α分别表示土地和中间投入品的产出弹性。最终产品部门可以通过调整中间产品投入实现利润最大化。
Max(Y-PxX)
(2)
式中,Px为中间投入品价格。由此,可推导出最终产品部门对任一种类中间产品的反需求函数。
![]()
(3)
假定中间产品部门由具有垄断能力的厂商组成,通过从研发部门购买专利技术从事生产。在全球价值链分工中,掌握贸易利益分配格局的上游企业往往将核心技术知识以隐性形式输出,迫使下游企业难以学习和掌握核心技术,对引进的先进技术和设备也不能完全掌握,因此导致技术溢出和技术转移效果较为有限[14]。相较而言,企业在自主创新过程中形成的技术能力,如架构能力、设计开发能力、核心技术能力、标准制定能力等则是在价值链分工中占据高端位置的核心驱动力[37]。尤其对于技术要求高且复杂的产业,是否具备技术研发实力决定该产业的竞争力及其在全球价值链中的位置。因此,在全球价值链嵌入过程中,技术引进模仿往往体现在获利较少的加工制造环节,无法在价值链中掌握市场,甚至可能长期被锁定和固化在技术含量不高的价值链低端;而自主研发难度虽然大,却是最为关键的技术进步路径,也是后发国家打破技术壁垒,获得产业发展核心技术与竞争优势,实现高质量发展的唯一路径。正是由于低端锁定效应存在,不同技术路径下形成的技术专利对应的中间产品附加值具有较大差异。因此,本文将不同技术路径下的x(i)单位中间产品附加值分别设定为MI和MC[38],其中I代表自主研发,C表示引进模仿。具体形式为:
MI=τx(i)
(4)
MC=μx(i)
(5)
式中,τ>μ且分别表示自主研发与引进模仿对中间产品附加值的贡献强度系数。假设生产1单位中间产品的可变成本为1,中间产品部门采用不同技术路径的专利技术利润最大化公式分别为:
Max(PxMI-MI)
(6)
Max(PxMC-MC)
(7)
将式(3)代入中间产品部门利润最大化公式,经一阶求导可得任一种类中间产品的需求量。
![]()
(8)
此时,不同技术路径下的中间产品部门利润分别为:
![]()
(9)
![]()
(10)
假定研发部门是充分竞争的,利用人力资本和物质资本从事技术研发活动。后发国家在产业发展过程中得益于深度融入全球价值链分工体系,通过对国际先进技术的引进模仿,获得接触产业技术前沿的机会,能够了解产品基本原理及组成,并在加工制造环节通过“干中学”积累经验,实现技术水平提升及经济追赶。同时,还可以借助FDI的技术外溢和行业间溢出效应提高生产率,以较低成本和风险推动产业技术进步。全球价值链嵌入可为后发国家提供更多技术引进和模仿学习机会,节约资本和劳动力等创新资源,并且伴随着中间品的贸易往来实现生产技术和知识溢出,从而推动后发国家技术进步和产业升级。因此,参考已有研究,将技术进步的动态方程设定为:
![]()
(11)
其中,
分别表示自主研发、引进模仿的技术增量,KI、LI、KC、LC分别表示投入到自主创新和引进模仿中的资本和劳动力,A*为技术前沿国家的技术水平。引进模仿的技术增量与技术差距(A*-A)成正比,技术差距越大,可供模仿和引进的技术越多,技术溢出效应就越强。γ、ε分别是自主研发效率参数和引进模仿效率参数,δ、θ表示产出弹性。
全球价值链分工使后发国家制造企业面临更加激烈的市场竞争环境。面对国际市场的高要求和进口国的质量管制标准,后发国家研发部门只有通过加大自主研发投入,提高出口产品质量、推进产品设计多样化,才能在激烈的国际市场竞争中获得竞争优势和市场份额,从而规避价值链中技术水平相近的企业竞争[1],实现高质量发展。在开放的经济环境下,相较于技术引进模仿,自主研发是后发国家提升产品国际市场竞争力、获取垄断利润进而转向高质量发展的主要动力来源。由此,引入代表参与全球价值链分工的竞争效应T,表示对自主研发活动的激励作用。
由于研发部门的充分竞争性,技术价格Pn等于中间产品部门收益的贴现值。
![]()
(12)
![]()
(13)
其中,ρ为贴现率。由此,可以推导得出研发部门的利润最大化公式。
![]()
(14)
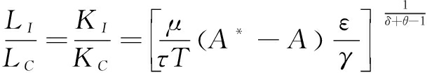
由于物质资本和人力资本在不同路径技术生产中的边际产出相等,因此研发部门对技术路径的最优决策方程为:
![]()
(15)
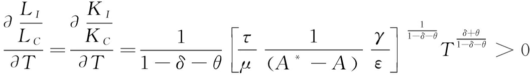
其中,δ+θ<1。公式(15)即为全球价值链嵌入背景下后发国家高质量发展的技术路径选择方程。进一步地,可以得出技术路径选择对技术溢出(A*-A)、低端锁定(τ/μ)和竞争效应(T)的偏导数。

(16)

(17)

(18)
从推导结果可以看出,全球价值链嵌入在为后发国家提供技术溢出机会的同时,通过低端锁定和竞争效应倒逼后发国家制造业在技术路径选择中加大自主研发投入,通过技术路径转换实现价值链攀升和高质量发展。然而,在全球价值链嵌入过程中,后发经济体实现高质量发展的技术路径选择还受到自身内在要素禀赋的制约。因此,参与全球价值链分工的后发经济体要在立足于内在要素禀赋的基础上,考虑技术溢出、低端锁定和竞争效应对研发资源分配的影响,从而选择适宜的技术进步路径,逐步提升技术能力、掌握核心技术,实现价值链分工地位攀升和高质量发展。
基于上述理论分析,本文首先构建基准模型,考察参与全球价值链分工对技术路径选择的影响。
rdlvit=β0+β1gvcit+φXit+εit
(19)
其中,i表示制造业各行业,t为年份;rdlvit代表i行业在t年的技术路径选择;gvcit表示全球价值链嵌入程度;Xit为影响技术路径选择的其它控制变量,包括技术能力、人力资本、资本深化水平、制度环境、外商直接投资水平;εit为随机误差项。
为进一步探究全球价值链分工背景下制造业高质量发展的适宜技术路径,本文以附加值率作为被解释变量进行回归,并在模型中引入技术路径选择与全球价值链嵌入的交互项(rdlvit·gvcit),考察价值链嵌入程度对适宜技术路径的影响。构建延伸模型如下:
varit=β0+β1rdlvit+β2gvcit+φXit+εit
(20)
varit=β0+β1rdlvit+β2rdlvit·gvcit+β3gvcit+φXit+εit
(21)
式中,varit为附加值率,表示全球价值链分工背景下的高质量发展水平。其它指标含义与式(19)相同。
全球价值链嵌入(gvcit)。全球价值链嵌入采用出口国内附加值占总出口的比值表示,具体数据借鉴马丹等[39]对出口国内附加值率的测算,并根据WIOD数据库中行业分类,对制造业其它行业数据指标进行匹配。
技术路径选择(rdlvit)。参考余泳泽和张先轸[34]的做法,技术路径选择采用R&D经费支出占总技术支出的比值表示,其中总技术支出以R&D经费支出、引进技术经费支出、消化吸收经费支出、购买境内技术经费支出和技术改造经费支出的总和衡量。该指标能够反映研发资源在自主创新与引进模仿之间的分配情况。图1展示了我国加入WTO以来制造业研发资源分配情况的变化趋势,可以看出,自主研发占总技术支出的比率(rdlv)在2010年实现从低于0.5到高于0.5的转变,这意味着我国制造业技术路径正逐渐从以引进模仿为主转向以自主研发为主。
附加值率(varit)。附加值率采用附加值与总投入之比衡量。该指标可以从总体上反映一国产业投入产出效益水平和经济增长质量,数据来源于中国投入产出表,缺失数据根据相邻年份补齐。
控制变量。本文控制变量包括技术能力、人力资本、资本深化水平、制度环境、外商直接投资水平。其中,技术能力(techit)采用发明专利数衡量,发明专利能够在一定程度上反映一国产业技术成果,因而可以代表技术水平;人力资本水平(labit)以行业科技人员数量作为代理变量;资本深化水平(capit)使用固定资产净值与行业从业人数的比值表示;制度环境(sysit)以经济自由度指数衡量;外商直接投资水平(fdiit)采用各行业外商资本值度量。
本文数据来源于《中国统计年鉴》《中国工业统计年鉴》《中国科技统计年鉴》以及世界投入产出表、中国投入产出表,由于目前世界投入产出表数据仅更新到2014年,因此本文选取2001—2014年中国制造业各行业对应数据指标。
在进行基准检验之前,本文首先对面板单位根进行平稳性检验,分别采用LLS检验和IPS检验方法,结果如表1所示。结果显示,所有变量均强烈拒绝面板单位根原假设,因此序列不存在单位根。
图1 中国制造业技术进步路径变化趋势
表1 各变量单位根检验结果
变量LLC值P平稳性IPS值P 平稳性gvc(全球价值链嵌入)-6.018 70.000 01%平稳-3.136 30.000 91%平稳rdlv(技术路径选择)-4.714 30.000 01%平稳-3.503 40.000 21%平稳var(附加值率)-5.043 60.000 01%平稳-2.174 00.014 95%平稳lnlab(人力资本水平)-7.036 20.000 01%平稳-2.963 10.001 51%平稳lncap(资本深化水平)-7.549 40.000 01%平稳-3.331 90.000 41%平稳lntech(技术能力)-5.268 60.000 01%平稳-5.369 20.000 01%平稳lnfdi(外商直接投资水平)-3.582 70.000 21%平稳-4.944 30.000 01%平稳lnsys(制度环境)-5.215 10.000 01%平稳-5.888 80.000 01%平稳
本文根据基准模型和拓展模型,考察全球价值链嵌入对制造业技术路径选择的影响,然后进一步验证全球价值链分工背景下制造业实现高质量发展的适宜技术进步路径。分别通过面板校正标准误PCSE和全面FGLS回归方法对模型进行检验,结果如表2所示。
表2中列(1)、(4)结果显示,在PCSE和全面FGLS回归中,参与全球价值链分工对技术路径选择的估计系数均在1%水平上显著为负。说明全球价值链嵌入会抑制制造企业自主研发投入,这可能与考察期内制造业自身要素禀赋不足有关,因而参与全球价值链分工的企业更倾向于在技术路径选择中以引进模仿为主。列(2)、(5)是进一步以技术路径选择为解释变量,考察全球价值链分工背景下制造业实现高质量发展适宜技术路径的回归结果。结果显示,在PCSE回归中,自主研发比率的估计系数为正但不显著,而在全面FGLS回归中,自主研发比率的系数显著为负。说明在考察期内,自主研发对制造业附加值率增长的作用并不明显,相比之下,引进模仿技术路径更有利于附加值率提升。该结果进一步印证了考察期内由于制造业要素禀赋有限、技术水平较低,在全球价值链嵌入中,引进模仿技术进步路径更加适宜。列(3)、(6)是引入技术路径选择与全球价值链嵌入交互项后的回归结果。不难看出,技术路径选择的估计系数符号方向基本不变,而交互项的估计系数显著为正。说明随着价值链嵌入程度加深,自主研发对我国制造业高质量发展的正向影响正逐渐显现。当嵌入位置较低时,引进模仿技术路径因其低成本优势,对利润积累影响更加显著,而在嵌入高端环节后,自主研发技术路径则更有利于附加值率提升。与已有研究相比,尽管结论均表明,在考察期内引进模仿技术路径更有利于生产效率提升,但考虑全球价值链嵌入后,本文研究发现,技术路径转换对高质量发展的积极作用正逐渐显现,随着嵌入程度加深,应及时调整技术路径,通过加大自主研发投入,实现价值链延伸和高质量发展。
表2 基准检验回归结果
变量(1)(2)(3)PCSErdlvvarvar(4)(5)(6)全面FGLSrdlvvarvarrdlv0.023 50.031 1-0.034 2***-0.029 1***(0.93)(1.28)(-12.12)(-9.87)gvc-1.121 1***-0.142 4-0.694 0***-0.463 8***-0.003 0-0.085 8***(-3.20)(-1.38)(-3.60)(-3.99)(-0.16)(-5.71)rdlv gvc1.805 8***0.339 4***(3.64)(7.64)cons7.478 5***-0.340 1-0.546 20.528 30.538 6***0.470 9***(2.98)(-0.36)(-0.59)(0.68)(9.92)(6.97)XYYYYYY样本量221221221221221221Wald-chi2409.07148.28164.69665.331 383.751 084.29
注:***、**和*分别表示1%、5%和10%的显著性水平,括号内为t统计值;下同
为保证上述结果的稳健性,本文采用缩尾处理、替换核心变量以及子样本回归的方式进行稳健性检验。其中,技术路径选择采用自主研发与引进模仿的比值作为替代变量;子样本选取2008年之后的数据,以排除金融危机的干扰。考虑到内生性估计偏误,本文进一步将全球价值链嵌入和技术路径选择滞后一期作为工具变量,通过两阶段最小二乘法进行回归,以缓解内生性问题。稳健性检验结果如表3、表4所示。
经过缩尾处理、替换核心变量以及子样本回归后,稳健性检验结果与基准结果一致。表3结果显示,参与全球价值链分工对技术路径选择的估计系数显著为负,并且在考察期内,提高自主研发投入比率并不会促进附加值率提升,但是随着全球价值链嵌入程度加深,技术路径转换对高质量发展的积极作用逐渐显现。表4一阶段F统计量回归结果表明,工具变量选取合适。进一步根据第二阶段检验结果可知,全球价值链嵌入、技术路径选择及二者交互项系数均保持较好的一致性。在考察期内,全球价值链嵌入对技术路径转换具有显著负向影响,并且加大自主研发投入对制造业附加值率提升的作用不显著,而随着嵌入程度加深,技术路径转换逐渐对高质量发展表现出正向影响。该结果也进一步佐证了本文研究结论。
表3 稳健性检验结果
变量(1)(2)缩尾处理rdlvvar(3)(4)替换核心变量rdlvvar(5)(6)子样本回归rdlvvarrdlv-0.026 4***-0.000 1-0.008 2(-10.05)(-0.24)(-0.46)gvc-0.605 3***-0.119 4***-1.133 7**-0.013 5-3.790 3***-0.132 6(-5.44)(-6.79)(-2.34)(-0.83)(-4.02)(-0.91)gvc rdlv0.418 0***0.038 7***0.546 1**(11.85)(2.90)(2.06)cons0.693 00.476 5***-4.534 20.548 0***1.532 10.202 2(0.69)(7.09)(-1.55)(7.95)(1.05)(1.30)XYYYYYY样本量221221221221102102Wald-chi2966.633 181.19100.077 707.3169.8062.08
根据基准检验结果,考察期内全球价值链嵌入会抑制制造业技术路径转化,并且适宜技术路径检验证明引进模仿技术路径更有利于附加值率提升。由理论分析可知,在全球价值链嵌入过程中,后发经济体高质量发展的技术路径选择还受到自身内在要素禀赋制约。因此,本文引入人力资本(labit)、经济发展水平(capit)和技术能力(techit)作为调节变量,检验全球价值链嵌入过程中,制造业内在要素禀赋对实现高质量发展适宜技术路径的调节作用。构建以下模型进行回归分析:
varit=β0+β1gvcit+β2rdlvit+β3rdlvit·Dit+β4Dit+φXit+εit
(22)
式中,Dit表示各调节变量,rdlvit·Dit代表技术路径选择与各调节变量的交互作用。调节效应的回归结果如表5所示,结果显示,技术路径选择与人力资本、经济发展水平、技术能力交互项的系数均为正,且在1%水平上显著。该结果表明,尽管考察期内自主研发投入对附加值率提升存在负向影响,但随着人力资本水平、经济发展水平和技术能力提升,技术路径转换对高质量发展的积极作用将会逐渐显现。
表4 内生性检验结果
变量(1)(2)第一阶段rdlvvar(3)(4)第二阶段rdlvvarrdlv_IV0.920 8***(30.35)rdlv0.014 0(0.51)gvc_IV0.831 6***(22.15)gvc-0.447 0*-1.439 6***-0.751 7*(-1.71)(-3.57)(-4.28)gvc rdlv_IV0.854 42.183 7***(1.13)(4.09)cons-0.304 10.416 36.755 7***0.428 9(-1.07)(0.39)(2.98)(0.627)F值119.90312.49XYYYY样本量204204204204R20.785 00.927 60.584 60.319 6
表5 调节效应回归结果
变量(1)(2)(3)labitcapittechitrdlv-0.093 2***-0.103 0***-0.079 2***(-6.88)(-10.66)(-17.43)rdlv lnlab0.005 7***(4.39)rdlv lncap0.010 1***(7.01)rdlv lntech0.007 6***(10.23)gvc0.000 90.005 70.003 1(0.05)(0.40)(0.23)cons0.568 8***0.566 3***0.567 0***(8.66)(8.65)(11.38)XYYY样本量221221221Wald-chi21 221.781 126.46 1 867.29
根据理论分析,全球价值链嵌入在为后发国家提供技术溢出机会的同时,通过低端锁定和竞争效应倒逼后发国家制造业在技术路径选择中加大自主研发投入,通过技术路径转化实现价值链攀升和高质量发展。本文通过引入中介变量(Mit),进一步考察参与全球价值链分工对技术路径选择的影响机制。构建中介效应模型如下:
Mit=β0+β1gvcit+φXit+εit
(23)
rdlvit=β0+β1gvcit+β2Mit+φXit+εit
(24)
本文分别选取技术溢出、低端锁定和竞争效应作为中介变量进行验证。其中,技术溢出效应(spiit)采用技术差距衡量,技术差距越大,溢出效果越显著,具体参照欧阳峣等[31]的做法,用中美人均GDP比值表示,该值越大,代表技术差距越小;借鉴诸竹君等[15]的做法,低端锁定效应(lelit)采用国内中间品投入与进口中间品投入的比值表示,该数值越高,表示不同技术路径的附加值差异越大;竞争效应(hhiit)采用赫芬达尔指数表征,市场集中度越高,赫芬达尔指数越大,为方便说明,本文取赫芬达尔指数的倒数作为代理变量。中介机制检验结果如表6所示。
表6列(1)结果显示,全球价值链嵌入对技术溢出的估计系数显著为正,表明随着全球价值链嵌入程度加深,技术差距逐渐缩小,溢出效果也随之逐渐减弱;列(2)中技术溢出对技术路径选择的系数同样显著为正,说明技术溢出对自主研发投入具有显著抑制作用,由于技术溢出的存在,参与全球价值链的制造企业更倾向于选择引进模仿技术路径。然而,随着全球价值链嵌入程度加深,技术路径也应随之调整。列(3)、(4)中全球价值链嵌入对低端锁定的回归系数显著为正,且低端锁定对技术路径选择的影响也显著为正,表明随着全球价值链嵌入程度加深,来自发达国家的低端锁定效应使不同路径获得的附加值存在显著差异,倒逼制造企业在技术路径选择中加大自主研发投入。列(5)、(6)是以竞争效应为中介变量的回归结果,不难发现,全球价值链嵌入对竞争效应的估计系数显著为正,全球价值链分工导致竞争加剧,并且竞争效应对技术路径选择的影响系数也显著为正,表明全球价值链通过竞争效应的正向中介作用推动制造业技术路径转换。综上可知,全球价值链嵌入虽然可为后发国家制造业提供技术溢出机会,但由于低端锁定和竞争效应的存在,也推动了后发国家制造业技术路径转换过程。
在全球价值链分工中,由于技术复杂度不同,高技术行业和低技术行业在技术路径选择中可能存在差异。因此,本文根据国家统计局《技术产业(制造业)分类》,将制造业分为高技术行业和低技术行业进行异质性检验,回归结果见表7。结果显示,参与全球价值链分工对低技术行业自主研发投入具有显著负向影响,而对高技术行业自主研发的回归系数显著为正;在考察期内,低技术行业自主研发比率对附加值率的估计系数显著为负,而高技术行业自主研发比率的系数为负,但不显著。该结果说明,在全球分工背景下,由于低水平技术容易被模仿和学习,因而相比于高投入、高风险的自主研发,引进模仿更有助于低技术行业附加值率提升;对于高技术行业而言,由于技术复杂度较高以及前沿技术国家对核心技术的封锁,技术引进模仿的溢出效应和技术转移效果较为有限。因此,尽管考察期内要素禀赋和技术能力不足,引进模仿技术路径对高技术行业附加值率提升的影响依然不显著。在全球价值链分工中,高技术行业应在技术路径选择中适当加大自主研发投入,从而提升附加值率,实现高质量发展。
表6 中介机制检验结果
变量(1)(2)spiit(3)(4)lelit(5)(6)hhiitgvc0.029 5***-0.564 9***0.142 4***-0.450 6***4.434 0**-0.129 8(6.57)(-9.33)(12.19)(-4.43)(2.15)(-1.15)spi3.544 3***(19.24)lel0.963 5***(10.98)hhi0.000 8**(2.20)cons0.811 5***-0.936 6-1.435 5***0.300 5-100.343 2***0.022 8(3.01)(-1.26)(-8.30)(0.47)(-13.72)(0.03)XYYYYYY样本量221221221221208208Wald-chi2293.831 412.511 610.08610.68749.70505.26
表7 异质性检验结果
变量(1)(2)低技术行业rdlvvar(3)(4)高技术行业rdlvvarrdlv-0.034 7***-0.138 5(-13.75)(-0.94)gvc-0.048 5***0.000 10.153 4***0.008 2(-5.41)(0.17)(4.83)(1.36)cons0.902 30.590 9***-5.723 5***0.354 3*(1.34)(9.28)(-4.04)(1.90)XYYYY样本量1561566565Wald-chi2619.19934.24427.69351.01
全球分工深化及新型国际分工布局对后发国家技术路径选择提出了新的要求和挑战。在此背景下,本文基于全球价值链嵌入视角,探讨后发国家高质量发展的技术路径选择,通过分析全球价值链嵌入对后发国家制造业技术路径选择的影响机理,研究提出参与全球价值链分工的后发国家实现高质量发展的技术路径选择依据,并通过匹配WIOT数据和中国制造业行业数据进行实证检验,考察全球价值链嵌入对技术路径选择的影响及作用机理,进一步明确全球价值链分工背景下我国制造业实现高质量发展的适宜技术进步路径。本文研究得出以下重要结论:首先,在考察期内,由于自身要素禀赋不足,参与全球价值链分工对制造业技术路径转化具有显著负向影响,并且相较于自主研发,引进模仿技术路径更有利于附加值率提升,而随着全球价值链嵌入程度加深,技术路径转换对高质量发展的积极作用正逐渐显现;其次,参与全球价值链分工在为后发国家制造业提供技术溢出机会的同时,通过低端锁定效应和竞争效应凸显出自主研发的重要性,并且随着内在要素禀赋升级,及时调整技术路径,提高自主研发投入比率是实现高质量发展的唯一路径;最后,异质性检验结果表明,全球价值链嵌入对低技术行业的技术路径转换具有显著负向影响,而对高技术行业的影响则显著为正,并且相较于低技术行业,引进模仿技术路径对高技术行业的附加值率提升效果并不显著。
在全球价值链分工背景下,后发国家虽然能够通过中间品贸易获得更多技术引进模仿机会,但仍需认识到自主研发的重要性,即在自身要素禀赋基础上,着眼于全球价值链中高附加值环节,通过及时调整技术路径,实现价值链攀升和高质量发展。基于本文研究结论,提出如下政策建议:首先,当前我国制造业应适度加大自主研发投入,通过将研发资源转向核心领域和关键配套技术领域,着力培养架构、研发设计、核心技术等主导产业竞争力和价值链分工地位的技术能力,以突破技术和价值链攀升瓶颈和短板;其次,鼓励制造业积极参与国际分工与合作,通过价值链嵌入,获得在全球范围内整合科技资源的机会,为制造业自主研发活动提供充足的创新人才、资金、技术等要素,从而逐步摆脱对外部核心技术的依赖,实现由模仿跟随和技术引进转向更多依靠自主创新;最后,针对行业特性和企业发展方向,合理分配研发资源,尤其要重视高技术行业和新兴前沿技术产业的自主创新建设,通过提升自主研发能力,推动制造业向价值链高端环节跃升,力争构建中国制造业在国际竞争中的新优势,为产业升级和高质量发展注入新的活力。
[1] 吕越, 陈帅, 盛斌.嵌入全球价值链会导致中国制造的“低端锁定”吗[J].管理世界, 2018, 34(8):11-29.
[2] CRISCUOLO C, LEAVER M.Offshore outsourcing and productivity[R].Presented at OECD Conference on Globalization of Production, 2005.
[3] AMITI M, WEI S.Services out-sourcing,productivity:evidence from the US[J].World Economy, 2009, 32(2):203-220.
[4] KEIKO I, EIICHI T, RYUHEI W.Offshore out-sourcing and productivity:evidence from Japanese firm-level data disaggregated by tasks[J].Review of International Economics, 2011, 19(3):555-567.
[5] 胡昭玲, 李红阳.嵌入全球价值链与制造业企业技术创新:基于2012年世界银行调查数据的研究[J].中南财经政法大学学报, 2016,59(5):127-135.
[6] 刘磊.全球价值链嵌入与中国制造业技术含量提升[J].科学学研究, 2018,37(10):1787-1798.
[7] SCHMITZ H.Local upgrading in global chains:recent findings[R].Paper to Be Presented at the DRUID Summer Conference, 2004.
[8] 刘琳, 盛斌.全球价值链和出口的国内技术复杂度:基于中国制造业行业数据的实证检验[J].国际贸易问题, 2017,43(3):3-13.
[9] SAMPATH P G, BERTHA V.Trade, global value chains and upgrading:what,when and how[J].European Journal of Development Research, 2018, 30(3):481-504.
[10] HUMPHREY J, SCHMITZ H.How does insertion in global value chains affect upgrading in industrial clusters[J].Regional Studies, 2002, 36(9):1017-1027.
[11] CATTANEO O, GEREFFI G, MIROUDOT S,et al.Joining, upgrading and being competitive in global value chains:a strategic framework[R].World Bank Policy Research Working Paper, 2013.
[12] 王玉燕, 林汉川, 吕臣.全球价值链嵌入的技术进步效应-来自中国工业面板数据的经验研究[J].中国工业经济, 2014,32(9):65-77.
[13] 宋宪萍, 贾芸菲.全球价值链的深度嵌入与技术进步关系的机理与测算[J].经济纵横, 2019,35(12):74-85.
[14] 王思语, 郑乐凯.全球价值链嵌入特征对出口技术复杂度差异化的影响[J].数量经济技术经济研究, 2019,36(5):65-82.
[15] 诸竹君, 黄先海, 王毅.外资进入与中国式创新双低困境破解[J].经济研究, 2020,55(5):99-115.
[16] 赵玉林, 谷军健.中美制造业发展质量的测度与比较研究[J].数量经济技术经济研究, 2018,35(12):116-133.
[17] 任保平, 李禹墨.新时代我国经济从高速增长转向高质量发展的动力转换[J].经济与管理评论, 2019,35(1):5-12.
[18] 陈旭升,李云峰.制造业技术创新动态能力与高质量发展:基于创新引领视角[J].科技进步与对策,2020,37(6):92-101.
[19] 傅晓霞, 吴利学.技术差距、创新路径与经济赶超:基于后发国家的内生技术进步模型[J].经济研究, 2013,48(6):19-32.
[20] BASU S, WEIL N D.Appropriate technology and growth[J].Quarterly Journal of Economics, 1998, 113(4):1025-1054.
[21] ACEMOGLU D, ZILIBOTTI F.Productivity differences[J].Quarterly Journal of Economics, 2001, 116(2):563-606.
[22] CASELLI F, COLEMAN J W.The world technology frontier[J].The American Economic Review, 2006, 96(3):499-522.
[23] BREZNITZ D, MURPHREE M.Run of the red queen: government, innovation globalization and economic growth in China[R].New Haven and London:Yale University Press, 2011.
[24] 唐未兵, 傅元海, 王展祥.技术创新、技术引进与经济增长方式转变[J].经济研究, 2014,49(7):31-41.
[25] 林毅夫, 张鹏飞.适宜技术、技术选择和发展中国家的经济增长[J].经济学(季刊), 2006,6(3):985-1006.
[26] COHEN W M, LEVINTHAL A D.Absorptive capability:a new perspective on learning and innovation[J].Administrative Science Quarterly, 1990, 35(1):128-152.
[27] MATHEWS J A.Latecomer strategies for catching-up:the case of renewable energies and the LED program[J].Innovation and Development, 2007, 21(1):34-42.
[28] 欧阳峣, 易先忠, 生延超.从大国经济增长阶段性看比较优势战略的适宜性[J].经济学家, 2012,34(8):80-90.
[29] 路风.走向自主创新[M].北京:中国人民大学出版社, 2019.
[30] CURRIE D, LEVIEN P, PEARLMAN J, et al.Phase of imitation and innovation in a north-south endogenous growth model[J].Oxford Economic Papers, 1999, 51(1):60-88.
[31] ARNOLD L G.Growth in stages[J].Structural Change and Economic Dynamics, 2003, 14(1):55-74.
[32] 欧阳峣, 易先忠, 生延超.技术差距、资源分配与后发国家经济增长方式转换[J].中国工业经济, 2012,30(6):18-30.
[33] 黄先海,宋学印.准前沿经济体的技术进步路径及动力转换:从“追赶导向”到“竞争导向”[J].中国社会科学,2017,38(6):60-79.
[34] 余泳泽, 张先轸.要素禀赋、适宜性创新模式选择与全要素生产率提升[J].管理世界, 2015,31(9):13-31.
[35] BENHABIBET J, PERLA J, TONETTI C.Catch-up and fall-back through innovation and imitation[J].Journal of Economic Growth, 2014, 19(1):1-35.
[36] 李思慧, 周天宇.企业技术选择:模仿创新还是自主创新[J].世界经济与政治论坛, 2018,38(1):142-158.
[37] 李晓华, 周维富, 邓洲,等.全球价值链背景下中国制造业转型升级策略研究[M].北京:社会科学文献出版社, 2019.
[38] 陶长琪, 彭永樟.从要素驱动到创新驱动:制度质量视角下的经济增长动力转化与路径选择[J].数量经济技术经济研究, 2018,35(7):3-21.
[39] 马丹, 何雅兴, 张婧怡.技术差距、中间产品内向化与出口国内增加值份额变动[J].中国工业经济, 2019,37(9):117-135.