产业集聚、产业多样化与城市经济韧性关系研究

陈奕玮1,吴维库2

(1.东南大学 经济管理学院,江苏 南京 211189;2.清华大学 经济管理学院,北京 100084)

摘 要:2008年金融危机对全球多个国家经济发展造成巨大冲击,我国许多沿海外向型城市面临国外订单需求不足、行业内人才流失以及厂房闲置等问题,体现出城市经济韧性能力的重要性。针对不同城市在面对外部冲击时表现出的城市经济韧性能力差异,重点研究产业集聚、产业多样化与城市经济韧性之间的关系,并将产业多样化划分为产业相关多样化和产业无关多样化,运用基准回归和稳健性检验分析两种划分对城市经济韧性的影响。结果表明,产业集聚与城市经济韧性之间呈U型关系,产业相关多样化与城市经济韧性之间呈倒U型关系,产业无关多样化与城市经济韧性呈倒U型关系。最后从破除区域间分权壁垒角度提出政策建议。

关键词:产业集聚;产业多样化;相关多样化;无关多样化;城市经济韧性

Research and Analysis on Industrial Agglomeration, Industrial Diversification and Urban Economic Resilience

Chen Yiwei1,Wu Weiku2

(1.School of Economics & Management,Southeast University,Nanjing 211189,China; 2. School of Economics and Management, Tsinghua University, Beijing 100084,China)

AbstractThe financial crisis of the United States in 2008 has caused a huge impact on the economic development of many countries in the world. Many coastal export-oriented cities in China are facing the problems of insufficient demand for foreign orders, brain drain in the industry and idle factories, which reflects the importance of urban economic resilience. In view of the differences of urban economic resilience in different cities in the face of external shocks, this paper focuses on the relationship between industrial agglomeration, industrial diversification and urban economic resilience, and divides industrial diversification into industry related diversification and industry independent diversification. It uses benchmark regression and robustness test to analyze the impact of these two classifications on urban economic resilience Finally, it comes to the conclusion that there is a positive U-shaped relationship between industrial agglomeration and urban economic resilience, a positive U-shaped relationship between industrial related diversification and urban economic resilience, and an inverted U-shaped relationship between industrial unrelated diversification and urban economic resilience. Finally, this paper puts forward policy suggestions from the perspective of breaking down the decentralization barriers between regions.

Key Words:Industrial Agglomeration; Industrial Diversification; Related Diversification; Unrelated Diversification; Urban Economic Resilience

收稿日期:2020-12-07

修回日期:2021-03-23

基金项目:国家社会科学基金重大项目 (17ZDA051);国家自然科学基金群体创新项目(71421061,71121001)

作者简介:陈奕玮(1990—),男,河北邯郸人,东南大学经济管理学院博士研究生,研究方向为产业集聚、城市经济韧性;吴维库(1961—),男,黑龙江佳木斯人,博士,清华大学经济管理学院教授、博士生导师,研究方向为战略管理与领导力。本文通讯作者:吴维库。

DOI10.6049/kjjbydc.2020120164

开放科学(资源服务)标识码(OSID):

中图分类号:F292

文献标识码:A

文章编号:1001-7348(2021)18-0064-10

0 引言

提升城市经济韧性是城市经济学家长期关注的话题,在当今世界经济发展频繁波动的情况下,城市经济韧性(Economic Resilience)水平关乎其应对经济危机、缓解外部冲击的能力。因此,城市经济韧性与经济学其它领域之间的关联性以及如何提高城市经济韧性水平,成为经济学领域的前沿话题。研究经济韧性的核心目标是为了弄清为什么有些城市在受到外部冲击时,能够通过学习改变原有发展路径并且恢复得比以前更好,而有些城市却陷入困境。

产业集聚的正外部性效应是提高城市经济韧性、促进城市经济增长的重要内在动力。产业集聚使企业间在地理位置上邻近,从而降低企业间的信息不确定性,提高企业间知识与信息溢出的可能性。上述因素都会促进产业创新和结构升级,并降低企业寻租成本。产业集聚按照行业间的关联性,可以划分为产业专业化集聚和产业多样化集聚。产业专业化集聚又称MAR集聚,通常是指相同或相近产业之间通过集聚效应提高产业创新水平,从而提高城市经济韧性水平;产业多样化集聚又称Jacobs集聚,主要是指不同业务范围的经营主体之间由于地理位置上的邻近,加速行业之间融合的可能性,从而提高产业转型或升级的可能。对产业多样化进行细分,又可分为产业相关多样化集聚和产业无关多样化集聚。

本文主要分析产业专业化集聚和产业多样化集聚对城市经济韧性的总效应,研究不同类型产业集聚对城市经济韧性的作用机制,进一步发现这些作用机制存在的内部机理,进而对产业集聚和城市经济韧性形成新的认识。

1 文献综述

1.1 产业集聚的含义

产业集聚这一词汇最早起源于阿尔弗雷德·韦伯的工业区位论理论,后来演化成为经济学领域的其它分支。 阿尔弗雷德·韦伯[1]认为,造成各地区行业布局产生较大差异的最主要原因是运费,而影响一个地区产业集聚能力的最大因素是规模经济;王坤和张书云[2]、张建华和欧阳轶雯[3]认为,产业集聚区是某些关联行业为追求效率最大化而产生的空间聚集行为;Poter[4]认为,相关企业之间因竞争或合作关系,在地理位置上相互靠近而形成产业集聚,产业集聚更加强调关联产业在地理位置上的相近性;Bergman&Feser[5]认为,产业集聚的目的是企业为追求更大市场份额和市场利润;樊秀峰[6]认为,产业集聚是关联企业为谋求合作,联合发展形成的一种扎堆现象,是产业发展过程中的一种新型模式;董敏等[7]认为,产业聚集不仅发生在互补品之间,相同产品的集聚也可以带动整个行业资源投资的吸引效应;包锦阔[8]对产业集聚的含义和分类研究比较详细,其认为产业集聚是指同一产业在同一地区高度集中的过程,也是人力资源和产业资本不断汇集的过程。早在1890年,马歇尔即就产业集聚这一现象提出了两个重要含义:内部经济和外部经济。此后,产业集聚理论发展出很多流派,包括马克思韦伯的区位集聚论、熊彼特的创新产业集聚论、胡佛的产业集聚最佳规模理论以及波特的钻石模型等。关于产业集聚的分类,孙洛平和孙海琳[9]提出产业集聚主要有两种模式:指向性集聚和经济联系集聚。其中,指向性集聚主要是指某些地区拥有大量原材料资源、便利的交通以及廉价劳动力,这些地理位置优势能够吸引大量关联产业集聚;经济联系集聚的意义在于加强企业之间经济业务往来,为企业经营营造更加良好的外部环境。

本文重点探讨相关多样化集聚和无关多样化集聚。通常情况下,相关多样化集聚会带来经济关联和知识关联,经济关联和知识关联是产业关联的两种形式,可以促进产业链上的专业分工和知识共享。经济关联带来的知识关联效应和技术溢出效应可以促进企业增值重组的高阶演进。知识分工涉及的知识学习、积累和创造过程,其层次要高于技能分工。经济关联在调节过程中主要受到市场规模、交易效率和资源配置的影响。知识关联主要与政策机制、区域间交流以及城市间的共享功能有关。

产业相关多样化能够促进产业内的创新,短期内有利于经济快速增长;从长期看,产业无关多样化有利于不同产业之间的突破性创新,短期内更多地发挥经济稳定器作用。目前关于城市产业多样化的研究较多,但鲜有文献从产业关联度视角分析产业多样化对城市经济韧性的影响。Tavassoli&Carbonara[10]认为,产业相关多样化有助于促进城市科研创新,而产业无关多样化对区域创新的影响并不显著;Castaldi[11]认为,产业相关多样化能够快速提高本地科研创新总量,而无关多样化能够增加产业创新突破机会;Aarstad[12]通过对挪威企业数据进行分析发现,短期内相关多样化正向驱动企业创新,而产业无关多样化却不利于企业生产效率提升;苏红键和赵坚[13]基于中国省级工业面板数据发现,各省产业相关多样化水平显著提升,而产业无关多样化水平却显著下降;孙晓华和柴玲玲[14]认为,产业无关多样化发展虽然不像产业相关多样化一样在短期内有利于经济增长,但对防范外部冲击具有稳定性作用。由此可见,国内外学者关于产业相关多样化、产业无关多样化对城市经济影响的观点是一致的。

1.2 产业集聚测度

关于产业集聚的测度,学者们提出了很多方法,根据陈建军和陈怀锦[15]的梳理,大致可以分为3类。第一类是传统测度指标,主要包括区位熵指数、赫芬达尔指数和空间基尼系数3种。其中,有学者采用区位熵指数测度产业集聚,如寇冬雪[16]以区位熵衡量产业集聚,使不同区域间规模的差异性得以消除,从而真实反映出社会资源的空间地理分布情况;Haggett[17]也采用区位熵对产业集聚进行测度,指标值越大,则代表产业集聚度越高。赫芬达尔指数(HHI)又称赫希曼指数,是研究产业集聚程度的一种综合指标,有学者采用赫芬达尔指数测度产业集聚,如卫志民[18]采用某一产业收入占总收入或总资产的百分比衡量产业集聚度,即用该产业市场份额计算行业离散度,HHI指数越大,则产业集聚度越高,市场垄断程度也就越高。因此,HHI不仅可以反映某行业集聚程度,更能够反映地区行业结构。克鲁格曼早在1991年就提出采用空间基尼系数测度产业集聚程度,空间基尼系数值越大,则产业集聚程度越高,越接近0,则产业空间分布越均匀。第二类产业集聚测度方法主要以EG指数和MS指数为代表。该类测度方法的显著特征是从区位选择理论视角分析企业行为,并且控制行业规模和市场集中度,以满足行业之间的可比性。如Maurel & Sedillot[19]对EG指数法进行修正,并充分考虑企业选址因素,创建MS指数,对产业集聚进行测度。第三类是从距离角度测度产业集聚。从现有文献看,从距离角度测度产业集聚的研究较少。奥弗曼(2005)采用概率密度方法,创新性地测度英国制造业集聚情况,但由于计算过程复杂和数据获取困难,实用性受到较大限制;Marcon & Puech[20-21]将林业经济学中的方法应用到城市经济学中,并提出用M指数算法测度产业集聚,M指数越大,则代表产业集聚度越高。

1.3 城市经济韧性的含义

Economic resilience在经济学中被翻译成韧性最为贴切,韧性可理解为迅速恢复。从物理学角度看,韧性代表弹性或回跳。从工程学角度看,韧性是指某一系统在没有完全损坏的情况下,受到外部冲击后的恢复能力。Holling[22]首次将韧性的概念引入生态学领域,现已广泛运用于各行各业。从经济学角度看,韧性是指一个经济体受到自然灾害或某些外部冲击后的自我恢复能力。Comfort[23]最早将韧性的概念引入经济学领域,其认为经济韧性是在外部冲击发生以后,才开始在一座城市或者一个产业集聚区内起作用,城市经济韧性的作用并不是要达到某一效果,而是系统的自我修复与更新能力,这种修复轨迹是非线性的;Paton&Johnston[24]认为,城市经济韧性是指一个经济系统受到外部冲击后的恢复能力,其能够利用周边自然环境和社会资源应对外来冲击带来的挑战和需求变化,本质上是系统的重组能力;Mileti[25]认为,城市经济韧性起源于某种制度的内在驱动或是公共决策者决策产生的刺激;Tierney(1997)强调,城市经济韧性是产业集聚区或社区集体的行为响应;佩塔克[26]指出,城市经济韧性是一个经济系统的系统性能表现。

1.4 城市经济韧性测度

近年来,国内外学者开始认识到城市经济韧性的重要性,也取得了丰硕成果。除理论框架有所创新外,城市经济韧性测算及影响因素也受到极大关注。研究城市经济韧性问题首先要解决如何对城市经济韧性进行测度,现有城市经济韧性测度方法主要归纳为以下3种:首先是建立指标体系,如Briguglio[27]通过构建一系列指标体系测度城市经济韧性;Mclnroy&Longlands(2010)、Index[28]延续这种思想,并采用多种指标对城市经济韧性进行评估。本文稳健性检验采用该方法,主要选取产业集聚程度、经济增长水平、贫富差距、城市产业结构优化度和城市经济敏感度等指标对城市经济韧性水平进行测度[29]。其次是通过比较城市真实经济产出变化与预期产出变化,对城市经济韧性进行测度[30]。最后是选取当地就业、失业或GDP增长率代表城市经济韧性水平。如Martin[31]以人口就业结构反映英国各地区城市经济韧性水平;Davies[32]、Brakman等[33]采用城市失业率和GDP增长率反映2008年次贷危机后欧洲各国经济韧性水平变化情况。

回顾国内外城市经济韧性测度研究进展,虽然理论体系还不完善,但在解释不同城市经济韧性差异方面作出了有益探索。

2 机制讨论

行业间无论是经济关联还是技术关联,产业相关多样化都会为关联产业带来更多冲击渠道,提高受冲击的影响概率,从而直接或间接影响城市经济韧性水平。参考贺灿飞和陈韬[34]的研究,本文用公式(1)~(7)说明产业相关多样化与外部风险冲击的关联性。

(1)

式(1)中,Un,t表示城市n的市场效用水平,a表示某一产业种类,I表示城市n所有产业种类,q(a)表示产业a的市场占有份额,w(a)为外部冲击参数,σ为对某一产业的替代弹性。假设城市c所有行业的边际成本为t年城市c的产业j与城市n的贸易成交量公式表达为:

(2)

式(2)中,yn,t表示在t年城市n的支出水平,Pn,t表示价格指数。本文假设城市n的产业j受到外部风险冲击的预期参数为ϖc,j,n,t,其会受到上一年度该指标的影响。原因可以归纳为以下两点:首先,从知识与技术关联角度看,当某一产业受到外部风险冲击时,冲击会沿着外部关联产业进行传导和放大,从而影响关联产业发展。当外部冲击风险影响较大时,可能会引起所在国家甚至全球宏观经济波动。其次,从市场信息披露角度看,信息溢出对城市产业集聚的影响显著,从而影响企业生产规模。同时,市场信息溢出还可以通过了解市场需求进而影响企业生产成本和生产决策,则产业j预期需求参数表达式为:

ϖc,j,n,t=(ωc,j,n,to)aΠi∈Ωc,j,t-1(ωc,i,n,t-1ϖjc,j,n,t)(1-a)βi,j,t-1(0<(1-a)βi,j,t-1<a<1)

(3)

式(3)中,ωc,j,n,to代表城市c中产业j受到外部风险冲击的参数,Ωc,j,t-1代表在t-1年城市c中与产业j关联度较高的所有行业集合,ωc,i,n,t-1代表在t-1年城市c中与产业j相关的产业i受到外部风险冲击的参数,ϖjc,j,n,t代表在t年城市c中与产业j相关的产业i受到预期外部风险冲击的参数;βi,j,t-1表示在t-1年产业i对产业j的影响系数,产业i与产业j之间的关联度越高,影响系数的绝对值就越大;a为常数项。根据产业j的相关产业it-1年的表现,得到在t-1年产业i对在t年产业j的外部冲击直接影响效应和间接影响效应分别为:

(4)

(5)

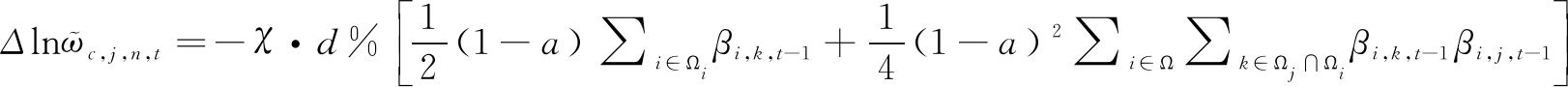
式(4)、(5)中,DIE为直接影响效应,IIE为间接影响效应。本文假设在t-1年城市c中产业j的所有相关产业,对产业j的影响系数没有发生变化,如果本地除产业j外的所有其它产业外部风险冲击参数在t-1年以χ的概率下降d% ,那么在t年城市c中产业j的预期外部风险冲击变化比率为:

(6)

式(6)表明,产业j受到其它产业冲击的力度大小主要取决于关联产业直接和间接影响力的大小。由于βi,j,t-1βi,k,t-1的系数符号与ij两个产业的关联程度呈现正相关,因而城市c中产业j关联产业越多,关联度就越高,城市受到的直接和间接外部冲击效应就越强。因此,城市c中产业j的外部风险冲击Δlnϖc,j,n,t可以看作上一期产业相关多样化水平的减函数。那么,在t年城市c中产业j的市场需求份额增长值可以表示为:

ratec,j,t=Δlnϖc,j,t+Δlnyt+(σ-1)Δlnpt+(σ-1)Δlnkc,t

(7)

式(7)中,Δlnϖc,j,t表示城市c中产业j的预期外部冲击参数变化率,Δlnyt+(σ-1)Δlnpt 表示在t年城市c受到的外部冲击,(σ-1)Δlnkc,t表示在t年城市c承受的供给侧风险。由式(7)可知,产业j的相关产业越多,关联度越高,则在t年城市c中产业j越容易受到其它产业市场需求的冲击。因此,Δlnϖc,j,t与产业相关多样化呈负相关,与市场需求份额增长率呈正相关,其余3项自变量与市场需求份额增长率均呈负相关。产业相关多样化产品在市场中近似完全竞争市场,由于同一城市的生产成本、贸易成本相同,相关产品在同一城市中的价格呈现正相关波动[34]

通过上述理论分析可知,相较于产业专业化,产业多样化发展更能够给地区经济发展带来活力,多样化的产业集聚比单一产业更能有效促进城市经济快速发展。产业多样化能够弱化外部冲击给城市经济发展带来的波动影响,从而形成快速恢复系统的能力,因此产业多样化也被视为影响城市经济韧性的重要因素。这一结论已被国内外学者广泛论证。Martin&Sunley[35]认为,产业专业化集聚效应和产业多样化集聚效应是影响城市经济韧性的关键因素;Kemeny&Storper[36]认为,产业专业化最大的作用就是促进区域经济快速增长,提高生产效率;贺灿飞和陈韬[34]以出口韧性为例,证明产业专业化水平较高的地区受到外部冲击的影响更大;Petrakos&Psycharis[37]认为,产业结构多样化有助于分散外部风险,应对外部冲击。中国是目前世界上唯一一个拥有联合国所有产业分类目录的国家,拥有完善的多样化产业结构,这也是中国在面对外部冲击时能表现出良好城市经济韧性的原因。产业集聚多样化促进城市经济韧性水平提升的理论机制如下:

(1)产业多样化可以降低系统不稳定性风险,缓解外部风险带来的冲击。如果一个地区过度依靠某一行业,那么当该行业遇到外部冲击时产生的波动会很强烈。由于不同产业类型、贸易导向、产业密集度和市场环境带来的风险不同,因此产业集聚多样化能够降低外部风险给系统带来的脆弱性[38]。Evans & Karecha(2014)以德国为例,认为慕尼黑能够从外部冲击中走出并成为欧洲最发达的城市之一,与其多样化的产业结构密切相关;Martin等(2016)通过分析英国应对以往40年的经济危机发现,不同地区抵抗外部风险存在较大异质性的主要原因在于产业结构不同;Brown & Greenbaum(2017)通过美国俄亥俄州的案例研究,证明产业多样化有助于城市经济韧性能力提升。

(2)由于产业集聚多样化能够促进行业之间的技术溢出和知识交流,因此能够帮助系统抵御外部风险冲击。首先,地区经济结构过于单一不仅会导致国家经济来源单一,而且当特定部门受到外部冲击后,经济波动会较大,企业难以退出。因此,产业结构多样化集聚不仅可以分担外部风险,还可以促进区域经济结构调整和产业升级。产业结构多样化的区域会聚集一大批相关多样化、无关多样化企业,当某一行业受到外部冲击后,劳动力可以根据市场和自身需求进行跨行业流动,从而为本地区保留高素质人力资本,为城市经济结构升级提供人才“蓄水池”。其次,产业结构多样化的地区能够通过技术溢出带动当地创新。Marshall(1920)指出,技术溢出效应主要集中在行业内部,换言之,产业多样化集聚产生的技术交流能够促进产业结构优化升级;Jacobs(1969)认为,关联产业之间更便于技术交流,产业相关多样化有助于促进城市经济韧性的健康发展;波特(1990)认为,关联企业之间的竞争能够促进行业发展,且比单一区域垄断模式更能促进技术溢出,从而有助于促进城市经济韧性提升。以上3种观点在城市经济学中被认为是三大动态外部性效应,而三大动态外部性理论在发展过程中也与技术溢出效应理论紧密结合。动态外部性强调产业集聚对城市经济韧性的影响作用,因此产业相关多样化带来的技术溢出效应能够促进城市经济韧性水平稳步提升。最后,产业集聚多样化能够让企业获得多样化市场需求、以低成本获得配套供应链,从而提高生产效率,带动整个区域市场结构升级。

3 实证研究设计

3.1 计量模型设定

为进一步证明产业集聚、产业相关多样化、产业无关多样化与城市经济韧性之间的关联性,本文选择科研创新水平、经济开放程度、经济发展水平和财政投资作为控制变量,进行影响因素分析。其中,FDI占GDP比重表征城市对外开放程度,比重越大,则代表城市越容易受到外部冲击影响;城市专利申请数反映城市科研创新水平,科研创新水平越高,代表城市提高生产能力的潜力越大;固定资产投资占GDP比重反映城市经济发展稳健程度。

RESit=β0+β1PDit+β2VARit+β3RVit+β4UVit+it+εit

(8)

式(8)中,RES代表城市经济韧性水平,i代表城市,t代表年份,β代表符号,PD代表城市规模,VAR代表产业多样化水平,RV代表相关多样化水平,UV代表无关多样化水平,χ代表控制变量,ε代表残差项。

3.2 变量设置

(1)被解释变量:城市经济韧性。城市经济韧性主要反映城市经济体系在面对外部冲击时,缓冲外部不利影响的能力及恢复适应新环境的能力。本文主要借鉴Martin等(2016)的方法,通过比较城市真实经济产出变化与预期产出变化,对城市经济韧性进行测度。当城市抵抗能力或恢复能力大于0时,则代表城市面对外部冲击的经济韧性能力高于全国平均水平,小于0则表示低于全国平均水平。此外,本文还参考齐昕等[29]的方法,采用产业集聚度、城市GDP增长率、城乡可支配收入比、第三产业收入占GDP比重、FDI占GDP比重等指标,对城市经济韧性测度结果进行稳健性检验。

(2)关键解释变量I:产业集聚。产业集聚主要是相关企业之间因竞争或合作关系,在地理位置上相互靠近而形成的,是产业发展过程中的一种新型模式。产业聚集不仅发生在互补品之间,生产相同产品的企业集聚也可以带动整个行业的资源投资效应。因此,产业集聚在城市发展演化过程中起着关键作用。本文采用城市人口规模表征城市集聚度,在稳健性检验中采用人口密度作为核心解释变量I的替代变量。

(3)关键解释变量Ⅱ:产业多样化水平。本文借鉴Duranton&Puga[39]的做法,以产业多样化指数(VAR)表征产业多样化水平,计算公式如下:

(9)

式(9)中,Var是熵指数,能够反映产业多样化水平,其取值范围在0~1之间,取值越大,产业多样化水平越高;取值越小,则产业多样化水平越低,产业专业化水平越高。n代表经济系统中行业数量,pi代表城市行业从业人员比重[39]

(4)关键解释变量Ⅲ:产业相关多样化水平。产业相关多样化主要是指经济与技术关联度较高的产业在某一区域内或周边分布。为进一步测度城市产业相关多样化指数,本文假设小行业i属于大行业Sk(k=1,2,3,4....,k)。城市大类部门占所有部门比重为Pk,城市小部门占全部产业比重为Pi, 得到:

Pk=∑iSkpi

(10)

产业相关多样化指数(RV)可以表示所有大类部门下小部门的熵指数,Hk表示大类部门内各小类部门的熵指数。

(11)

HK=∑iSK(Pi/Pk)ln(Pk/Pi)

(12)

本文参考Boschma[40]的测度方法,对产业相关多样化进行测度。首先计算产业j的显性比较优势,然后设定一个阈值,高于该标准值的产业纳入到集合中,进而计算所有集合中产业之间的多样化指数。产业j的比较优势计算如下:

(13)

其中,Qc.j.t代表在t年城市c中产业j的产品生产数量,Qc,t代表在t年城市c所有产业产品生产出数量,Qj.t代表在t年全国所有产业j的产品生产数量,Qt代表在t年全国所有产业产品生产数量。参考贺灿飞和陈韬[34]的做法,本文设定R值大于0.5时,产业j的市场份额具有比较优势,并纳入到集合中。

Φi,j,t=min{p(Rc,i,t>0.5|Rc,j,t>0.5),p(Rc,j,t>0.5|Rc,i,t>0.5)}

(14)

通过式(14)测算出城市cij两个产业的关联度,并以此为基础测算出所有产业与产业j的关联度,然后以中位数作为阈值,构成在t年城市c中与产业j相关的所有产业集合Ω,再按照式(15)、(16)测算出在t年城市c中与产业j相关的所有产业相关多样化指数。

xgdyc,j,t=-∑i∈Ωc,j,t(Zc,i,tln(Zc,i,t))

(15)

(16)

(5)关键解释变量Ⅳ:产业无关多样化水平。产业无关多样化(UV)可以表示为大类部门的熵指数。

(17)

本文依据《国民经济行业分类》将我国产业分成3个大类,相同大类下不同部门之间为相关产业,而不同大类下不同部门之间为不相关产业。借鉴产业相关多样化测算方法,首先计算产业j的显性比较优势,然后设定一个阈值,将低于该标准值的产业纳入到集合中,进而利用公式(18)计算所有集合中产业之间的多样化指数。参考贺灿飞和陈韬[34]的做法,本文设定R值小于0.5时,产业j的市场份额不具有比较优势,并纳入到集合中。

Φi,j,t=max{p(Rc,i,t<0.5|Rc,j,t<0.5),p(Rc,j,t<0.5|Rc,it<0.5)}

(18)

通过公式(18)测算出城市cij两个产业的不关联度,并以此测算出所有产业与产业j的不关联度,然后以中位数作为阈值,构成在t年城市c中与j产业相关的所有产业集合Ωc,j,t,然后再按照式(15)、(16)测算出在t年城市c中与产业j不相关产业的多样化指数。

(6)控制变量。为增加模型的拟合优度,需要选择控制变量。参考已有研究,本文选取科研创新水平、经济开放程度、经济发展水平和财政投资作为控制变量。

3.3 数据来源及预处理

本文数据来源于2004—2018年《中国城市统计年鉴》,测度指标包括城市实际GDP、就业人口、固定投资、外商直接投资、科技活动人员、科研机构数量、教育经费、专利授权数等,调研对象为中国内地264个地级市。

参考杜志威和李郇[41]的方法,本文将所有产业划分为16个行业,具体行业类别及划分见表1。

表1 行业类别及划分

行业类别具体行业第一产业农林牧副渔第二产业采掘业,制造业,电力、燃气及水生产和供应业,建筑业生产性服务业金融业,房地产业消费性服务业批发零售贸易和餐饮业第三产业流通性服务业交通运输、仓储及邮电通信业,信息传输、计算机服务和软件业社会性服务业地质勘察、水利管理业,社会服务业,卫生、体育和社会福利业,教育、文艺、广播和影视业,科研和综合技术服务业,机关和社会团体

3.4 描述性统计分析

由表2可知,城市经济韧性均值为-1.673,标准差为5.133,说明2008年金融危机后,各城市均受到不同程度冲击,相较于其它变量,城市经济韧性在全国分布整体较为平缓。城市人口均值为453万人,标准差为309.92,各城市人口分布差异较大。专利申请数均值为0.87,标准差为2.02,说明各城市产业创新能力差异较大。多样化指数均值为215.59,标准差为21.28,相较于其它变量,产业多样化整体较为平缓。无关多样化指数均值为-636.97,标准差为281.42。所有变量中,波动最大的是产业相关多样化指标,其均值为-6 147,标准差为20 951,说明各城市产业相关多样化水平存在较大差异。其它控制变量的特征描述与王世平和钱学峰[42]的研究基本保持一致。

表2 变量描述性统计分析结果

变量变量具体指标符号均值标准差最大值最小值因变量经济韧性经济韧性值RES-1.6735.13398.5-44.8自变量产业集聚城市人口PD435309.923375.215.7产业多样化多样化指数VAR215.5921.18277.25115.26相关多样化相关多样化指数RV-614720 95199.74-376 954无关多样化无关多样化指数UV-636.97281.42-293.13-2 654.1控制变量科研创新水平专利申请数INNOV0.812.0231.720.017经济开放程度FDI/GDPOPEN2.793.76736.460经济发展水平GDP总数GDP5 466 9736 770 96965 638 254313 506财政投资固定资产/财政支出FAI31.2212.47102.34.05

4 实证结果分析

4.1 基准回归

根据表3中相关系数分析可知,VIF值均小于5,表明所有回归模型均不存在多重共线性问题,可以采用OLS法对其参数进行估计。同时,采用Hausman检验对固定效应模型和随机效应模型进行筛选,当p<0.05时,选择固定效应模型,否则选择随机效应模型。

由表3可知,产业集聚对城市经济韧性的影响在1%水平下显著为正。说明人口规模较大的城市能够产生较强的就业效应,也具有较高的科研创新水平,这会对城市经济韧性产生正向影响;产业专业化水平较高的城市,由于经济结构较为单一,导致经济韧性水平较低。表3中模型(3)结果显示,产业相关多样化在1%水平下显著为负,产业无关多样化的回归结果不显著。在控制变量中,由模型(1)~(4)可知,科研创新水平对城市经济韧性具有显著正向影响。对外开放程度对城市经济韧性的影响也显著为正,表明我国港口城市具有开放性特征,抵御外部风险的能力较强。这与Briguglio等[43]的假设有所不同,主要原因在于,Briguglio等[43]研究的是对外开放程度高的小经济体,其国内市场有限,主要依靠进出口,而我国国内市场广阔,可以抵消外部金融危机带来的风险冲击。经济发展水平对城市经济韧性具有显著正向影响,而财政投资对城市经济韧性的影响显著为负,可能是由于地方经济发展与产业结构健康度、自然资源可持续发展、生态环境不均衡所致。在模型(5)中加入核心解释变量的二次项,结果显示,产业集聚与城市经济韧性之间呈U型关系。这说明当城市产业集聚程度在一定范围时,拥挤效应和高昂的生活成本大于产业集聚产生的正外部效应,产业集聚对城市经济韧性具有抑制作用;当超过临界点后,城市经济韧性水平随着城市产业集聚程度提高而提升。产业多样化、产业无关多样化与城市经济韧性之间的关系并非简单的线性关系,而是呈倒U型关系。也即,短期内,产业多样化、产业无关多样化对城市经济韧性具有正向影响,但从长期看,不利于城市经济韧性水平提升。产业相关多样化与城市经济韧性之间呈U型关系。说明短期内,产业相关多样化指数对城市经济韧性具有抑制作用,但从长期看,产业相关多样化可以促进行业之间的交流与学习,有助于关联产业之间的结构优化和创新,从而提高城市经济韧性能力。

表3 回归分析结果

变量模型(1)模型(2)模型(3)模型(4)模型(5)PD(产业集聚)0.001***(0.000)0.001***(0.000)0.001***(0.000)0.001***(0.000)0.003***(0.000)PD_sq-5.16***(0.000)VAR(产业多样化)5.75*(0.07)0.001(0.39)9.73(0.92)-0.009***(0.000)VAR_sq-1.20***(0.000)RV(相关多样化)-5.21***(0.000)-5.25***(0.000)-1.2***(0.000)RV_sq4.92**(0.0241)UV(无关多样化)2.972(0.599)0.000(0.240)UV_sq-6.50***(0.005)INNOV(科研创新水平)0.016***(0.003)0.016***(0.003)0.016**(0.004)0.002***(0.000)0.017***(0.002)OPEN(经济开放程度)0.31***(0.000)0.31***(0.000)0.32***(0.000)0.32***(0.000)0.31***(0.000)GDP(经济发展水平)4.73***(0.000)4.69***(0.000)4.58***(0.000)4.56***(0.000)4.27***(0.000)FAI(财政投资)-0.005*(0.06)-0.005*(0.05)-0.006**(0.039)-0.006**(0.039)-0.006**(0.05)常数项-2.886***(0.000)-2.89***(0.000)-3.08***(0.000)-2.96***(0.000)-1.502**(0.023)R20.600.620.620.610.66Observation4 2244 2244 2244 2244 224VIF11.041.131.231.21模型选择REFEFEFEFE

注:()内为p值;******分别表示在1%、5%、10%的水平下显著;下同

4.2 稳健性检验

4.2.1 分时间段检验

城市经济韧性能力应当包含面对外部冲击的抵抗能力和恢复能力。对于抵抗期和恢复期的划分,现有文献有多种划分方法。如李连刚等[44]基于中国GDP增长速度,将研究区间1992—2015年划分为1992—1999年、1999—2007和2007—2015年3个时间段,分别设定为外部风险抵抗期、恢复期和抵抗期;徐圆和张林玲[38]以2008—2016年为研究区间,并将2008—2010年指定为城市面对外部冲击的抵抗期,2010—2016为恢复期。本文在Martin & Sunley[35]基于英国就业数据划分的基础上,将2004—2007年定为金融危机发生之前、2008—2010年定为金融危机风险抵抗期、2011—2018年定为金融危机风险恢复期。产业多样化与城市经济韧性的回归结果如表4所示。

表4 产业结构多样化与城市经济韧性的回归结果(分时间段)

变量金融危机发生之前模型(1)模型(2)抵抗期模型(3)模型(4)恢复期模型(5)模型(6)PD(产业集聚)-8.38(0.840)0.001(0.260)0.001(0.220)0.001*(0.100)0.002***(0.000)0.003***(0.000)PD_sq-7.03(0.100)-4.66(0.260)-5.84***(0.000)VAR(产业多样化)-0.03***(0.000)0.06(0.220)-0.01***(0.000)-0.06(0.110)0.001(0.360)-0.002(0.550)VAR_sq-0.000 2*(0.070)0.000 1(0.220)-4.15(0.330)RV(相关多样化)-9.44***(0.01)-3.18***(0.00)-1.04(0.54)-3.09(0.45)3.57**(0.02)6.87**(0.04)RV_sq-6.71***(0.000)-4.73(0.50)2.32(0.33)UV(无关多样化)-0.001***(0.000)-3.18***(0.000)-0.000 4**(0.021)-0.001(0.121)-1.29(0.83)-7.00(0.74)UV_sq-2.001(0.37)-4.47(0.49)-2.00(0.489 5)INNOV(科研创新水平)0.05(0.53)0.006(0.51)0.002(0.14)0.018(0.11)0.016**(0.03)0.017**(0.03)OPEN(经济开放程度)0.129**(0.01)0.14***(0.01)-0.178***(0.00)-0.18***(0.00)0.32***(0.00)0.31***(0.00)GDP(经济发展水平)8.53***(0.00)8.25***(0.00)6.29(0.42)7.08(0.386)4.57***(0.00)4.19***(0.00)FAI(财政投资)-0.001(0.84)-0.001(0.85)-0.01***(0.01)-0.01***(0.008)-0.01(0.14)-0.01(0.17)常数项5.07***(0.00)-4.97(0.29)4.25***(0.000)7.59**(0.03)-4.74***(0.000)-4.56***(0.000)R20.610.620.610.600.630.63Observation1 3201 3205285282 3762 376VIF1.11.041.131.231.211.22模型选择REFEFEFEFERE

表4结果显示,2004—2007年(金融危机发生之前)和2008—2010年(抵抗期),我国产业集聚与城市经济韧性之间的关联性不显著。2010—2018年(恢复期),我国产业集聚与城市经济韧性之间呈现倒U型关系。也即,短期内,城市人口增长有助于城市经济韧性水平提升,但从长期看,大城市人口向中小城市转移更有利于大城市经济韧性水平提升。在金融危机发生之前,产业多样化与城市经济韧性之间呈现倒U型关系,在抵抗期,二者显著负相关,在恢复期,二者关系不显著。在经济危机发生之前,产业相关多样化与城市经济韧性之间呈现倒U型关系,在抵抗期,二者不相关,在恢复期,二者显著正相关。产业无关多样化与城市经济韧性之间在经济危机发生之前和抵抗期均呈现负相关,在恢复期呈线性无关。控制变量回归结果与表3中的基准回归结果基本一致。

从经济学角度分析,我国经济结构在全球金融危机前后发生了巨大变化。2010—2018年,制造业从业人数比重下降,服务业从业人数比重大幅上升,单纯的制造业、工业多样化指数显著小于服务业多样化指数,表明服务业对城市经济韧性的影响更大。当城市遭遇外部冲击时,产业多样化尤其是产业相关多样化有助于分散外部冲击给城市经济带来的影响。一方面,多样化程度提高能够缓解外部冲击带来的破产和失业压力;另一方面,产业相关多样化能够促进行业之间信息、技术的传播与交流,增加行业之间的互动,帮助行业在短时间内调整产业结构,以适应外部风险冲击,引导经济走向良性发展道路。

4.2.2 分城市规模检验

将我国地级市按照城市人口规模划分为大、中、小3个类型,按照《国务院关于调整城市规模划分标准的通知》对城市规模进行划分,城市常住人口在50万以下的为小城市、50~100万之间为中等城市,人口超过100万为大城市。估计结果如表5所示。

表5结果显示,产业集聚与城市经济韧性之间在大城市中呈现倒U型关系。说明大城市产业集聚程度在一定范围内提高,会对经济韧性起促进作用,当超过临界值后,产业集聚对城市经济韧性会起抑制作用。产业集聚对城市经济韧性的影响在中、小城市中不显著。产业多样化与城市经济韧性之间在大城市中呈现倒U型关系,在中、小城市中关系不显著。产业相关多样化与城市经济韧性之间在大城市中呈现U型关系。说明短期内,产业相关多样化不利于城市经济韧性发展,但从长远看,产业相关多样化带来行业间的正外部性效应,能够促进产业创新与结构升级,从而有利于城市经济韧性能力提高。产业相关多样化对城市经济韧性的影响在中、小城市中不显著。产业无关多样化与城市经济韧性之间在大城市中呈现倒U型关系,在中、小城市中显著为负。

表5 产业结构多样化与城市经济韧性的回归结果(分城市规模)

变量大城市模型(1)模型(2)中、小城市模型(3)模型(4)PD(产业集聚)0.0013***(0.000)0.002 44***(0.000)0.003 18(0.499 7)-0.013 2(0.364)PD_sq-5.00***(0.000 6)2.11(0.364)VAR(产业多样化)-0.000 1(0.910)-0.01***(0.000)-0.044(0.236)0.539(0.267)VAR_sq-1.31***(0.000)-0.002(0.195)RV(相关多样化)-5.34***(0.000)-1.25***(0.000)-2.41(0.339)-0.000 2(0.102)RV_sq5.238**(0.014)-9.27(0.253)UV(无关多样化)4.45(0.393)-4.21(0.797)-0.001**(0.049)-0.007**(0.023)UV_sq-4.64*(0.053)-5.35(0.12)R20.630.610.630.61Observation4 0964 096128128VIF1.11.151.231.17模型选择REFEFEFE

5 结论与建议

5.1 结论

本文以2004—2018年中国内地264个地级市面板数据为研究对象,讨论产业集聚、产业相关多样化、产业无关多样化与城市经济韧性之间的关联性,得到如下主要结论:首先,产业集聚与城市经济韧性之间呈现U型关系。在一定范围内,产业集聚对城市经济韧性起抑制作用,当超过临界点后,城市经济韧性水平会随产业集聚程度提高而提高。其次,产业多样化可以划分为产业相关多样化和产业无关多样化。本文研究表明,产业相关多样化与城市经济韧性之间呈现U型关系,即短期内,产业相关多样化不利于城市经济韧性发展,但从长远看,产业相关多样化有助于增强行业之间的正外部效应,从而促进经济韧性能力提高。产业无关多样化与城市经济韧性之间呈现倒U型关系,即短期内,当遇到大的外部冲击时,有助于分散风险,但从长远看,对提高城市经济韧性能力没有帮助。

5.2 建议

从城市发展角度看,如果一座城市的产业结构具有显著的相关多样化特征,那么其产业发展对外部信息的要求会较高。政府应该多元化畅通信息渠道,构建企业群之间的信息交流平台,引导和鼓励行业中介组织发展,从而为企业获取信息提供更多外部渠道。同时,完善的社会保障措施能够减轻外部冲击对城市就业和经济增长的负面影响。为积极应对外部冲击带来的挑战,政府需要分散产业相关多样化产生的风险,加速推进区域经济一体化进程,促进城市之间由竞争转向合作,充分发挥各地优势,形成区位分工。而区域之间的分权是区域一体化和城市经济韧性发展最大的壁垒,因此要降低空间演化阻力,使经济韧性水平较低的地区能够学习到相关产业领域技术,吸纳更多优秀人才流入本地区,从而实现中、西部地区城市或中、小城市经济韧性的长远发展。

参考文献:

[1] 阿尔弗雷德·韦伯.朱立新校.工业区位论[M].李刚剑,陈志人,张英保,译.北京:商务印书馆出版,2009.

[2] 王坤,张书云.中国对外贸易与经济增长关系的协整性分析[J].数量经济技术经济研究,2004,21(4):26-33.

[3] 张建华,欧阳轶雯.外商直接投资、技术外溢与经济增长:对广东数据的实证分析[J].经济学(季刊),2003,2(2):647-666.

[4] PORTER.Clusters and competition:new agendas for companies[M].Boston(MA):Harvard Business School,1998.

[5] BERGMAN E M,FESER E J.Industrial and regional clusters: concepts and comparative applications[M].Morgantown, WV: Regional Research Institute,1999.

[6] 樊秀峰,康晓琴.陕西省制造业产业集聚度测算及其影响因素实证分析[J].经济地理,2013,33(9):115-119,160.

[7] 董敏,倪卫红,胡汉辉.产业集聚与供应链联盟:两种创新战略的比较研究及发展趋势分析[J].现代经济探讨,2003,22(3):36-38.

[8] 包锦阔.产业集聚与分类[J].发展研究,2007,24(3):58-59.

[9] 孙洛平,孙海琳.产业集聚的交易费用模型[J].经济评论,2006,27(4):111-117.

[10] TAVASSOLI S,CARBONARA N.The role of knowledge variety and intensity for regional innovation[J].Small Business Economics,2014,43(2):493-509.

[11] CASTALDI C,FRENKEN K,LOS B.Related variety,unrelated variety and technological breakthroughs:an analysis of US state-level patenting[J].Regional Studies,2015,49(5):767-781.

[12] AARSTAD J,KVITASTEIN O A,JAKOBSEN S E.Related and unrelated variety as regional drivers of enterprise productivity and innovation:a multilevel study[J].Research Policy,2016,45(4):844-856.

[13] 苏红键,赵坚.相关多样化、不相关多样化与区域工业发展:基于中国省级工业面板数据[J].产业经济研究,2012,57(2):26-32.

[14] 孙晓华,柴玲玲.相关多样化、无关多样化与地区经济发展:基于中国282个地级市面板数据的实证研究[J].中国工业经济,2012,29(6):5-17.

[15] 陈建军,陈怀锦.集聚的测度方法评述:基于前沿文献的研究[J].西南民族大学学报(人文社科版),2017,38(4):134-142.

[16] 寇冬雪.产业专业化集聚、多样化集聚与环境污染:基于中国285个城市的实证分析[J].云南财经大学学报,2020,36(9):3-17.

[17] HAGGETT P.Locational analysisin human geography[M].London:Edward Arnold,1965.

[18] 卫志民.微观经济学[M].北京:高等教育出版社,2011.

[19] MAUREL F,SEDILLOT B.A measure of the geographic concentration in French manufacturing industries[J].Regional Science and Urban Economics,1999,29(5):575-604.

[20] MARCON E,PUECH F.Measures of the geographic concentration of industries:improving distance-based methods[J].Journal of Economic Geography,2010,10(5):745-762.

[21] MARCON E,PUECH F.A typology of distance-based measures of spatial concentration[J].Regional Science and Urban Economics,2017,62:56-67.

[22] HOLLING C S.Resilience and stability of ecological systems[J].Annual Review of Ecology and Systematics,1973,4(1):1-23.

[23] COMFORT L K.Risk and resilience:inter-organizational learning following the northridge earthquake of 17 January 1994[J].Journal of Contingencies and Crisis Management,1994,2(3):157-170.

[24] PATON D,JOHNSTON D.Disasters and communities:vulnerability,resilience and preparedness[J].Disaster Prevention and Management:an International Journal,2001,10(4):270-277.

[25] MILETIC S,ILICM,OTOVIC S,et al.Phase composition changes due to ammonium-sulphate:attack on Portland and Portland fly ash cements[J].Construction and Building Materials,1999,13(3):117-127.

[26] 佩塔克.自然灾害风险评价与减灾政策[M].向立云,等译.北京:地震出版社,1993.

[27] BRIGUGLIO L,CORDINA G,FARRUGIA N,et al.Conceptualising and measuring economic resilience[M]//Pacific Islands Regional Integration and Governance.Canberra:ANU Press,2005.

[28] INDEX C R.City resilience framework [J].The Rockefeller Foundation and ARUP,2014,3( 1) :45-58.

[29] 齐昕,张景帅,徐维祥.浙江省县域经济韧性发展评价研究[J].浙江社会科学,2019,35(5):40-46,156.

[30] 冯苑,聂长飞,张东.中国城市群经济韧性的测度与分析:基于经济韧性的shift-share分解[J].上海经济研究,2020,32(5):60-72.

[31] MARTIN R.Regional economic resilience,hysteresis and recessionary shocks[J].Journal of Economic Geography,2012,12(1):1-32.

[32] DAVIES S.Regional resilience in the 2008-2010 downturn:comparative evidence from European countries[J].Cambridge Journal of Regions,Economy and Society,2011,4(3):369-382.

[33] BRAKMAN S,GARRETSEN H,VAN MARREWIJK C.Regional resilience across Europe:on urbanisation and the initial impact of the Great Recession[J].Cambridge Journal of Regions,Economy and Society,2015,8(2):225-240.

[34] 贺灿飞,陈韬.外部需求冲击、相关多样化与出口韧性[J].中国工业经济,2019,35(7):61-80.

[35] MARTIN R,SUNLEY P.On the notion of regional economic resilience:conceptualization and explanation[J].Journal of Economic Geography,2015,15(1):1-42.

[36] KEMENY,STORPER.The sources of urban development:wages,housing,and amenity gaps across American cities[J].Journal of Regional Science,2012,52(1):85-108.

[37] PETRAKOS, G,PSYCHARIS Y.The spatial aspects of economic crisis in Greece[J].Economy and Society, 2016,9(1):137-152.

[38] 徐圆,张林玲.中国城市的经济韧性及由来:产业结构多样化视角[J].财贸经济,2019,40(7):110-126.

[39] DURANTON G,PUGA D.Diversity and specialisation in cities:why,where and when does it matter[J].Urban Studies,2000,37(3):533-555.

[40] BOSCHMA R.Towards an evolutionary perspective on regional resilience[J].Regional Studies,2015,49(5):733-751.

[41] 杜志威,李郇.珠三角快速城镇化地区发展的增长与收缩新现象[J].地理学报,2017,72(10):1800-1811.

[42] 王世平,钱学锋.中国城市出口:集聚效应还是排序效应[J].国际贸易问题,2016,42(8):16-27.

[43] BRIGUGLIO L,CORDINA G,FARRUGIA N,et al.Economic vulnerability and resilience:concepts and measurements[J].Oxford Development Studies,2009,37(3):229-247.

[44] 李连刚,张平宇,谭俊涛,等.韧性概念演变与区域经济韧性研究进展[J].人文地理,2019,34(2):1-7,151.

(责任编辑:陈 井)