政府支持对高层次人才创业意愿影响机制研究

向赛辉,孙永河

(昆明理工大学 管理与经济学院,云南 昆明 650093)

摘 要:促进国内国际双循环,实现“十四五”及2035年远景目标,支持高层次人才创业尤为重要。在创业过程中,创业意愿是影响政策效用的直接因素,这需深入研究不同群体的独特属性、心理弹性、创业网络规模等。基于心理弹性理论、创业网络规模理论、创业意愿理论,采用多元线性回归和结构方程等方法进行实证分析,讨论心理弹性对政府支持与高层次人才创业意愿间关系的中介作用,以及创业网络规模在该影响过程中的调节效应,探索政府支持影响高层次人才创业意愿的路径和作用边界。结果表明,政府支持对高层次人才创业意愿具有显著正向影响,心理弹性的3个维度均在政府支持对高层次人才创业意愿的影响中发挥部分中介作用,创业网络规模正向调节政府支持对高层次人才创业意愿的影响。

关键词:政府支持; 高层次人才; 创业意愿; 心理弹性; 创业网络规模

Mechanism Research on the Influence of Government Support on the Entrepreneurial Intentions of High-Level Talents

Xiang Saihui,Sun Yonghe

(Faculty of Management and Economics, Kunming University of Science and Technology, Kunming 650093,China)

AbstractIt is particularly important to promote the domestic and international dual circulation, realize the "14th five year plan" and the long-term goal of 2035, and support the entrepreneurship of high-level talents.In the specific process of entrepreneurship, entrepreneurial intention is a direct factor affecting the effectiveness of policy, which requires in-depth study of the unique attributes of different groups, psychological flexibility, entrepreneurial network size and other factors.Based on the theories of resilience, entrepreneurial network scale and entrepreneurial intention, multiple linear regression and structural equation are applied to empirical analysis, which discusses resilience′s mediating role in the influence of government support on high-level talents′ entrepreneurial intention and the moderating effect of entrepreneurial network scale in the process, and explores path and boundaries of such influence.The results show that government support is positively correlated with entrepreneurial intention.All the three dimensions of resilience play partial mediating roles in the influence of government support on high-Level talents′ entrepreneurial intention, while the entrepreneurial network scale positively regulates such influence.

Key Words:Government Support;High-level Talents;Entrepreneurial Intentions;Resilience;Entrepreneurial Network Scale

收稿日期:2021-01-27

修回日期:2021-03-15

基金项目:云南省哲学社会科学团队建设项目(2014cx05)

作者简介:向赛辉(1982-),男,湖南娄底人,昆明理工大学管理与经济学院博士研究生,研究方向为创新创业管理;孙永河(1978-),男,山西大同人,昆明理工大学管理与经济学院教授、博士生导师,研究方向为复杂系统管理决策。

DOI10.6049/kjjbydc.2021010677

开放科学(资源服务)标识码(OSID):

中图分类号:C969;F272.2

文献标识码:A

文章编号:1001-7348(2021)12-0130-07

0 引言

当前国际形势复杂多变,国内国际双循环发展格局加快形成,中国已成为全球创新创业的主要目的地。特别是党的十九届五中全会对创新创业工作提出具体要求,明确要求实施创新驱动发展战略,加快转变经济发展方式,激发人才创新创业活力。随着中国经济结构的调整,中国经济步入新常态发展阶段,创业面临新的挑战,如何强化创业意愿显得尤为重要。特别是高层次人才,已在某些方面取得一定成绩,鼓励他们创业,需要充分考虑政府支持政策对创业者创业意愿的影响。从实地调研访谈情况看,创业意愿是创业者是否具有强烈创业倾向的主观反映,是实施创业行为的先决条件,包含创业者的态度、能力以及相关特质等,可以较为准确地预测其创业行为。只有对创业可能性进行有效评估,创业者才会作出创业决策。

近年来,各地出台了“千人计划”“万人计划”“青年人才拔尖专项”等高层次人才引进政策,有效引导了创业方向、降低了创业成本,为突破关键技术、带动新兴学科和高新技术产业发展提供了重要保障[1]。然而,我国高层次人才创业意愿普遍不强,与其他创业者的自我雇佣型、生存型创业相比,其创业诉求是以挖掘商机、获取超额收益、服务社会发展等为主的高层次自我实现需求,面临预期收益与机会成本的心理弹性考验。只有当创业预期收益大于就业及其职业发展的机会成本时,高层次人才的创业意愿才会萌生。2020年11月,中国青年创业就业基金会、恒大研究院联合发布了《中国青年创业发展报告(2020)》,表明创业青年集中在22~32岁,在校大学生、农民及农民工是主力军,学历以本科和大专为主,这也从侧面说明高层次人才创业意愿不强。从具体实践来看,党委组织部门、人力资源与社会保障部门在促进高层次人才创业方面进行了很多有益探索,但在有效引导高层次人才创业意愿方面的作用仍然有限。因此,提升高层次人才创业意愿,既要关注政策本身适用性,也要关注创业者与政策的互动性,提高政策支持与创业者之间的匹配程度。

针对创业意愿较低的问题,以往仅有部分学者开展了金融抑制、行业垄断与创业意愿之间关系的实证研究[2],而且主要针对大学生、农民工、高学历人才等初次创业者,对具有一定基础的高层次人才创业意愿的研究甚少,主要停留在现状梳理及问题归纳阶段,尚未对政策与高层次人才创业意愿之间的影响关系形成系统研究成果。准确理解政府支持对高层次人才创业意愿的影响机制,对提高各地高层次人才引进政策的有效性具有重要意义,有利于激发高层次人才创新创业热情[3.4]。而以往研究主要从创业学习、创业教育角度,分析政策对创业意愿的影响,很少引入创业者自身心理弹性这一中介变量。心理弹性理论有助于分析创业者心理转化过程,强化创业政策转化效率,正向提升创业能力。

在中介变量心理弹性影响创业意愿的过程中,创业网络通过提供社会情境与创业问题导向等,使高层次创业者不断反思现有网络关系与自身资源禀赋、风险承担能力是否匹配,进而明确创业意愿。网络规模动态变化也是创业者差异化情绪取向的外在表现,强网络规模能激发创业者后续创业热情,且通过坚定创业信心等影响创业意愿。但在以往关于创业网络的研究中,主要分析其对创业绩效的影响,对创业意愿的关注很少。

鉴于此,本文借鉴创业者心理弹性中有关创业韧性、创业力量、创业乐观等维度的研究[5],以及创业网络规模相关研究,理解创业特质,分析其对创业意愿的影响。因此,本研究重点聚焦云南省高创园、省青年企业家协会、省青年联合会、青年创业省长奖获得者等高层次人才,致力于挖掘高层次创业者独特属性在政府支持与创业意愿之间的影响作用,并引入创业者心理弹性作为中介变量、创业网络规模作为调节变量,分析政府支持影响高层次人才创业意愿的路径和作用边界,为政府完善创业政策提供理论依据。

1 研究述评与假设

1.1 政府支持影响高层次人才创业意愿的主效应

人才的具体标准应根据具体环境及岗位设定,通常情况下,高层次人才是在特定领域具有一定影响、能引领该领域发展的创新型人才。为准确界定研究对象,本文将高层次创业人才界定为具有较高专业知识水平或技术能力、非凡创新意识、强烈社会责任感以及自主创业基础,能够在重点或新兴产业领域突破关键技术、实现产业化运营、创新商业模式等,达到国际或国内先进水平,为经济社会发展作出较大贡献的人才。而政府支持对高层次人才创业的影响机理,涉及政策适配性及针对性。具有效力的创业政策不仅要关注创业者个性,重视高层次创业人才创业诉求、能力等,还要思考如何营造氛围,激发内心创业意愿[6]。对于高层次人才创业,政府支持应关注其创业实践过程,因此,对于政府支持的测度应重点分析政策如何影响创业者创业行为选择。高层次人才通过充分评估,认为政策支持具有很好的促进作用,并形成强烈的创业意愿,才能具备创业的思想基础。通常情况下,将创业意愿定义为创业者集中精力、愿意付出行动并坚持奋斗的一种心理状态。创业精神、毅力、自信等对高层次人才创业特别重要,使得他们从政府支持的重要产业、投资动向、攻关难点等识别创业机会时更具理解优势。同时,有经验的创业者更容易识别由于政策及市场变化带来的创业风险,政府支持提供的商务合作、政府关系等社会资源能加深高层次创业人才对外部创业环境的理解。政府支持主要通过创业机会识别与创业风险感知两个维度,影响高层次人才对技术研发、战略合作等方面的创业意愿。首先,影响创业意愿的最主要因素是识别和利用机会的能力[7],教育培训、创业文化、金融支持等[8],可使创业者更加准确评估自身创业素质,不断明晰自身创业愿景。对于创业风险感知,低水平的创业风险可促进创业意愿,准确识别重大变化带来的市场风险,可保障创业机会的实现[9]。基于上述分析,提出以下假设:

H1:政府支持对高层次人才创业意愿具有正向影响。

1.2 创业者心理弹性对政府支持影响高层次人才创业意愿的中介效应

心理弹性的内容十分复杂,集合了一系列心理特质,很难通过单一指标进行测量。学者们经过几十年的相关研究,形成了一系列研究成果,重点关注从负向事件中逐渐恢复并积极适应逆境的过程,虽然尚未针对创业特别是高层次人才创业问题开展实证研究,但从静态角度分析了心理弹性的影响因子。通常情况下,高层次人才具有责任心强、善于学习、吃苦耐劳等品质,为创业成功奠定了良好基础。但也需要考虑社会支持所提供的保护性因素的影响,譬如创业环境、知识产权保护、金融支持等。只有在相对稳定的政府支持背景下,经历一定的创业挫折或压力后,才能客观、理性地评估预期收益及机会成本,激发并形成强烈的创业意愿。综合相关心理弹性量表[10],结合创业者失败恐惧、非理性预期、心理困境以及优秀人士心理弹性等研究情况,将高层次人才心理弹性界定为创业者经历创业挫折与压力,并从中恢复或积极应对的心理能力,将其划分为韧性、力量与乐观3个维度。首先,政府支持提升高层次人才创业韧性进而提高其创业意愿,更好的政策保障有助于创业者通过更长时间的创业过程形成更加丰富的创业经验,从而提升其韧性即抗压能力和耐挫能力,实证也表明韧性可以提高主动性,帮助创业者快速融入不确定的竞争环境中,提高其超越自我的能力。其次,政府支持提升高层次人才创业力量进而提高其创业意愿,政府支持的创业专业服务日益完善,有助于高层次创业者扭转对自身创业能力不自信的心态,在扭转不利局面过程中表现为愿意接受挑战,提高创业选择机率。再次,政府支持提升高层次人才创业乐观程度进而提高其创业意愿,政府支持所努力营造的创业文化、氛围和生态,推动社会形成包容创业者的乐观态度与积极理念,同时,乐观豁达的心态也是形成创业者首创精神、提高创业激情的重要前因。基于上述分析,提出以下假设:

H2a:创业者心理弹性中的心理韧性在政府支持促进高层次人才创业意愿的过程中具有中介作用;

H2b:创业者心理弹性中的心理力量在政府支持促进高层次人才创业意愿的过程中具有中介作用;

H2c:创业者心理弹性中的心理乐观在政府支持促进高层次人才创业意愿的过程中具有中介作用。

1.3 创业网络规模对政府支持影响高层次人才创业意愿的调节效应

创业网络是一种以创业者为中心的网络结构,包含一系列节点和联系,这些节点和联系代表与创业企业发生联系的不同市场主体及强度,其中,有直接联系的市场主体数量反映网络规模。创业者可从创业网络中获取资源、信息及社会支持等,在此过程中重点关注创业网络如何影响创业过程、创业过程如何拓展创业网络。实地调研走访发现,创业者与其他利益相关者的交流能够促进其对新机会的识别[11],有助于创业者获得有效沟通,并提供知识技巧补充等[12],带来更强的创业学习内隐动力[13]。较大的创业网络规模会减少新创企业信息不对称产生的预估偏差,增加创业网络成员间合作,有助于获取更多、更充分的资源与社会支持信息,有利于整合低成本资源,提高对企业柔性、组织与收益的感知。同时,创业者不断反思现有网络关系的局限性,根据创业需求拓展信息网络,激发后续创业热情[14,15]。综合以上分析,提出以下假设:

H3:创业网络规模在政府支持促进高层次人才创业意愿的过程中具有正向调节作用。

本研究构建假设模型,如图1所示。

图1 假设模型

2 研究设计

2.1 问卷设计

首先,借鉴相关文献资料,定义相关变量的概念,初步提出变量指标。同时,对云南省高创园、省青年企业家协会、省青年联合会、创业省长奖获得者、各地商会创业团队进行个人访谈,确立相关变量维度。其次,根据访谈过程中创业者表述的观点,调整与研究目的相关的重要测项。再次,2019年7-9月进行2次集中访谈,检验测项内容合理性,第一次访谈邀请云南省高创园、省青年企业家协会、省青年联合会、创业省长奖获得者中15位高层次创业人才填写问卷,对表述不准确或可能引起误解的测项进行修正,第二次访谈邀请5位专家进行探讨,讨论测项是否符合实际创业情况、能否达到研究目的,并微调相关表述及测项。最后,2019年10-11月对云南省高创园、省青年企业家协会、省青年联合会、创业省长奖获得者、各地商会创业团队进行问卷预测,问卷填写对象为符合高层次创业人才特质的团队负责人或主要合伙人、管理人员。根据105份有效问卷对各个测项进行项目分析、探索性因子分析,删除信度和效度不达标的测项,形成最终问卷。测项统一用Likert5级量表,其中,1-5表示从“完全不符合”到“完全符合”。

2.2 数据收集

2020年7-9月收集样本。调查了云南省各地445家高层次人才创业企业,共发放问卷445份,最终收回有效问卷370份。其中,40份问卷存在填写不规范、成立时间较短等问题,可靠性较低,最终得到有效问卷330份。样本主要分布在云南省高创园(昆明高新技术产业开发区)、省青年企业家协会、各地商会,其中,云南省高创园(昆明国家高新技术产业开发区)83家、青年企业家协会122家、各地商会125家,涉及多个行业或经营领域,具有一定代表性。

关于创业者受教育程度,硕士和博士研究生占比达69.7%,本次被调研对象在学历层次上符合高层次人才特征,进一步确保了调研对象准确性;从职务来看,参与调研的企业董事长、总经理和高层管理者人数占比分别为18.2%、30.9%和26.1%。样本基本情况如表1所示。

表1 样本基本情况描述(N=330)

项目分类样本/个占比/%项目分类样本/个占比/%创始人教育水平专科及以下329.7性别男22869.1大学本科6820.6女10230.9硕士研究生13641.2专业背景理工科19057.6博士研究生及以上9428.5经济管理类10230.9创始人年龄25岁及以下5917.9文史哲等社会学科288.526~35岁7623.0其它103.036~45岁13440.6职务董事长6018.246岁及以上6118.5总经理10230.9企业人数1~10人6218.8高层管理者8626.111~50人9629.1其它8224.851~100人10130.6>100人7121.5

2.3 变量测量

(1)自变量。根据调研访谈情况,综合以往文献中政策支持测量量表,概括政策支持量表为5个题项,分别为:当地政府制定实施了厂房、办公场所、税收减免等有益于企业运营的政策(GS1);当地政府提供所需的技术信息和其它技术支持(GS2);当地政府提供重要的市场信息(GS3);政府常为创业企业提供咨询、免费培训等帮助(GS4);政府常在融资/资金资助等方面帮助新企业成长(GS5)。

(2)因变量。参考以往创业者自我效能感量表,设计创业意愿的5题项量表[16],从兴趣、自由职业偏好、受限职业偏好及行为期望等维度进行测量。本文在相关研究的基础上,对相关题项进行整理,得出高层次人才创业意愿量表,包括以下5个题项:正式创业之前,有认真考虑过自己经营公司(EI1);创业之初,觉得如果有机会并且可以自由做决定,更愿意选择自主创业(EI2);考虑到现在的真实情况和各种限制(如资金等),仍然会选择自主创业(EI3);如果有新的创业想法,会着手行动(EI4);在未来5年内持续创业的可能性较大(EI5)。

(3)中介变量。借鉴整合相关研究,综合考虑高层次创业人才属性,根据本研究创业情境提炼相关表述,以此构建创业心理弹性量表。该量表包含3个维度:创业韧性、创业力量与乐观。其中,创业韧性包括3个题项:创业过程虽然困难,但相信通过努力能够实现自己的目标(ET1);认为自己是一个喜欢挑战的人(ET2);宁愿在解决创业问题时自己主导,也不让别人决定全局(ET3)。创业力量包括3个题项:当创业环境发生变化时,认为能适应(EP1);过去经历的磨练使自己变得更坚强了(EP2);不管在创业过程中遇到什么障碍,都会努力达到目标(EP3)。创业乐观包括3个题项:面对创业压力,相信会有亲近且安全的朋友或伙伴帮助自己(EO1);当创业面临挫折时,会试着去看事情好的一面(EO2);在创业过程中不管遇到多大阻力,相信自己都能处理好(EO3)。

(4)调节变量。创业网络规模的测量主要借鉴梁昌秀[17]、Watson[18]的社会网络量表,结合前期调研过程中了解的高层次人才创业网络相关主体,提炼出7类网络成员,用相互联系的数量反映创业网络规模。包括7个题项:亲戚朋友较多(NS1);金融机构经常联系较多(NS2);政府部门经常联系较多(NS3);大学等科研机构联系较多(NS4);顾客、供应商等联系较多(NS5);相关中介机构联系较多(NS6);其它企业或商业团体联系较多(NS7)。

(5)控制变量。结合创业意愿相关研究,本文认为创业意愿除受到政府支持与创业心理弹性的影响外,还可能受到市场环境、创业者自身职位、性别、年龄、学历以及企业创办年限等因素的影响。所以,为了明确政府支持与创业心理弹性对高层次人才创业意愿的影响机制,本文对以上因素进行控制,以减少干扰。

3 实证结果与分析

3.1 样本检验

(1)信度效度检验。使用SPSS 22.0和AMOS 21.0对样本进行信度以及组合、聚合、区分效度检验(根据通常标准,以0.8作为Cronbach′s α信度系数的临界值),结果见表2,变量各维度的Cronbach′s α系数均大于0.8,说明具有良好信度。因素负荷量最小为0.621,最大为0.937,且均在p<0.01的水平上显著,符合因素负荷量介于0.5~0.95之间的要求。组合信度(CR)均大于0.8,达到组合信度大于0.8的要求。平均变异量抽取值(AVE)均大于0.5,达到平均变异量抽取值大于0.5的要求,具有良好的聚合效度。此外,对政府支持、创业意愿、创业韧性、创业力量、创业乐观、创业网络规模6个变量进行验证性因子分析,反映模型拟合情况的指标包括相对卡方(χ2/)、RMSEA、CFI和IFI,其中,χ2/=1.875<3,CFI=0.963>0.9,IFI=0.963>0.9,RMSEA=0.052<0.08,TLI=0.958>0.9,各项指标符合要求,说明变量之间具有较好区分效度。

表2 关键变量信度与效度检验结果

变量测项α系数因素载荷值CRAVE政府支持 GS10.8730.9270.8770.595GS20.638GS30.621GS40.727GS50.891创业意愿 EI10.8710.8500.8770.591EI20.857EI30.818EI40.651EI50.637创业韧性 ET10.9020.9300.9050.760ET20.847ET30.835创业力量 EP10.9030.8960.9050.760EP20.885EP30.833创业乐观 EO10.9040.9220.9060.762EO20.835EO30.860创业网络规模NS10.9690.9370.9700.818NS20.906NS30.890NS40.885NS50.908NS60.890NS70.914

(2)共同方法偏差检验。由于所收集的样本数据均来自云南省高创园、青年企业家协会、各地商会中高层次创业者,在自我表述中可能存在相关性,有共同方法偏差的风险。因此,进行Harman单因素检验,采用主成分分析法对所有变量作探索性因子分析。结果表明,在未转轴时,第一个因子解释了26.940%的变异,小于40%的截止值,说明同源偏差不显著。

(3)相关性检验。表3给出了变量相关分析,政府支持与高层次人才创业意愿(β=0.447,p<0.01))存在显著相关关系,政府支持与心理弹性中的创业韧性(β=0.328,p<0.01)、创业力量(β=0.313,p<0.01)、创业乐观(β=0.323,p<0.01)之间均存在显著相关关系,创业韧性、创业力量及创业乐观与高层次创业意愿(β=0.338,p<0.01;β=0.380,p<0.01;β=0.299,p<0.01)都存在显著相关关系,初步验证了本文研究假设。

表3 变量描述性统计与相关系数

变量平均值标准差1234567891011121.行业竞争度 2.931.34812.职位 2.631.0310.09113.性别 1.320.467-0.068-0.00514.年龄 2.561.0610.0060.012-0.03815.学历层次 2.561.0690.0110.0520.012-0.01116.企业年限 2.531.0410.0740.081-0.079-0.012-0.05117.政府支持 3.840.663-0.0580.093-0.0970.0100.0290.07918.创业意愿 3.990.6980.0840.126*-0.0860.0660.157**0.118*0.447**19.创业韧性 3.360.7070.0160.0100.010-0.0160.0920.0610.328**0.338**110.创业力量 3.450.7090.0260.062-0.0330.018-0.0300.126*0.313**0.380**0.233**111.创业乐观 3.400.6960.0380.075-0.0500.0270.0520.0880.323**0.299**0.195**0.204**112.创业网络规模3.150.8570.023-0.090-0.0110.032-0.0860.0140.142*-0.0110.092-0.0310.094 1

注:*表示p<0.05,**表示p<0.01,下同

3.2 假设检验

使用SPSS 22.0和AMOS 21.0,采用层级回归分析和构建结构方程的方式验证假设H1、H2、H3

(1)主效应检验。主效应和调节效应分析结果如表4所示,模型1为控制变量企业行业竞争度、年限以及创业者性别、年龄、职位、学历层次对创业意愿的回归;模型2是在模型1的基础上增加自变量政府支持对高层次人才创业意愿的回归;模型3、4是在模型2的基础上依次增加调节变量创业网络规模以及创业网络规模和政府支持交互项的回归。模型1回归结果显示,创业者职位、学历与创业意愿显著正相关(β=0.042,p<0.05;β=0.103,p<0.01),创业者性别、年龄、行业竞争度以及企业年限对创业意愿不存在显著影响。模型2的回归结果表明,政府支持对高层次人才创业意愿具有显著正向作用(β=0.456,p<0.01),即政府支持力度越大,高层次人才的创业意愿越强,因而假设H1得到验证。

表4 主效应与调节效应回归结果

变量创业意愿模型1模型2模型3模型4常数项3.298**1.565**1.696**1.859**控制变量行业竞争度-0.108-0.046-0.045-0.023职位0.042*0.0400.0420.047性别0.0730.0520.0520.052年龄0.0310.0480.0500.057学历层次0.103**0.095**0.091**0.089**企业年限0.0700.0430.0380.029自变量政策支持0.456**0.466**0.515**调节变量创业网络规模-0.050-0.172**交互项政策支持×创业网络规模0.170**模型统计R20.0660.2480.2520.270Adj-R20.0480.2310.2330.248F3.687**14.712**13.087**12.714**

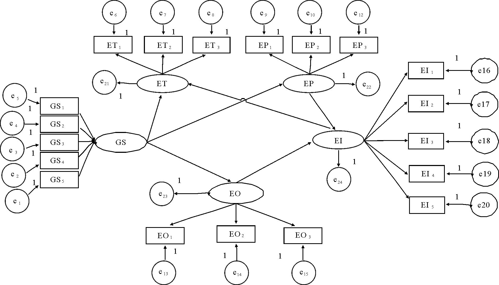
(2)中介效应检验。构建结构方程,采用bootstrap方法在95%置信水平下通过5 000次模拟进行检验,结构方程模型如图2所示,假设检验结果如表5所示。模型中,χ2/=2.615,RMSEA=0.047,CFI=0.941,IFI=0.941,NFI=0.908,所以,整体上模型具有较高适配度,与数据拟合情况较好。

表5 中介效应检验结果

变量关系BootstrapBias-Corrected 95%CILowerUpperPercentile 95%CILowerUpperMacKinnon PRODCLIN295%CILowerUpper政府支持→创业韧性→高层次人才创业意愿0.1320.4060.1320.4080.0150.110政府支持→创业力量→高层次人才创业意愿0.0280.128政府支持→创业乐观→高层次人才创业意愿0.0160.109

图2 模型路径

Bootstrap方法中Bias-Corrected、Percentile置信区间用于检验中介效应的总体间接影响,MacKinnon Prodclin2置信区间用于检验包含2个及以上中介因子的具体间接影响。中介效应检验结果见表5,从非标准化结果可以看出,在创业者心理弹性的3个维度对政府支持与高层次人才创业意愿关系的间接效应中,Bias-Corrected、Percentile及MacKinnon Prodclin2的置信区间均不包含0,结合政府支持对高层次人才创业意愿存在显著直接效应可知,创业韧性、创业力量和创业乐观均部分中介政府支持对高层次人才创业意愿的影响,由此,假设H2a、H2b和H2c得到验证。

(3)调节效应检验。如表4所示,模型3在模型2的基础上添加调节变量创业网络规模,添加该变量后,其对高层次人才创业意愿并没有显著影响。模型4的结果显示,在添加了政府支持和创业网络规模的交互项后,交互项的系数为0.170(p<0.05),说明创业网络规模在政府支持影响高层次人才创业意愿中起到正向调节作用,随着创业网络规模的扩大,政府支持影响高层次人才创业意愿的幅度提升(反之亦然)。为更清晰地描述创业网络规模对政府支持与高层次人才创业意愿间关系的调节方向及深层次影响,在数据中心化的基础上,绘制调节变量高分组和低分组情况下政府支持与高层次人才创业意愿间关系,如图3所示。政府支持与创业意愿的正向影响关系的斜率在创业网络规模水平比较高的情况下大于创业网络规模水平比较低的情形,说明高水平创业网络规模增强了政府支持对高层次人才创业意愿的影响。因此,假设H3得到验证。

图3 创业网络规模的调节作用

4 结论与展望

4.1 研究结论与意义

首先,政府支持在市场机会把握和风险感知两方面提升了高层次人才的创业意愿;其次,创业者心理弹性中的创业韧性、创业力量和创业乐观均在政府支持与高层次人才创业意愿的关系中发挥中介作用;最后,创业网络规模在政府支持与高层次人才创业意愿中起到正向调节作用,即在较高水平的创业网络规模下,政府支持对高层次人才创业意愿的作用更大。

理论贡献在于:①现有关于政府支持影响创业意愿的研究尚未针对高层次人才这一特定创业群体,本文关注高层次创业人才与一般创业者的特征差异,明晰高层次创业人才的定义内涵和特征维度,弥补了现有研究空白;②立足于政府支持与创业意愿的作用路径和作用机理探究,引入心理弹性作为中介变量,探讨针对高层次人才创业的政府支持如何影响其心理韧性、力量、乐观,进而影响创业意愿,完善了相关研究;③创业网络是高层次人才创业的重要载体,本文将其纳入研究框架,探讨创业网络规模在政策支持影响高层次人才创业意愿中的调节作用,探究了政府支持影响高层次人才创业意愿在创业网络层面上的作用边界,具有理论意义和现实价值。

对高层次人才创业的管理启示如下:首先,针对高层次人才创业意愿的差异化现状,政府作为宏观调控方,可以有针对性地帮助高层次人才激发创业意愿;其次,创业管理部门应该把握高层次创业者的心理状况,着重启发创业者在物质之外的精神层面追求,激发其创业意愿;最后,企业及其创业者应结合自身实际需求,极尽所能地扩张网络规模,更好地适配政府支持,政府创业管理部门也应积极构建高层次人才创业平台,为高层次人才拓展创业网络规模提供契机,为增强高层次人才创业意愿提供良好环境。

4.2 研究局限与展望

本文仍存在以下不足:首先,问卷样本来源于云南省高层次人才创业企业,与经济发达地区相比,有一定局限性,未来研究可扩大样本收集范围,增强研究结果代表性;其次,政府支持对创业意愿的影响具有一定时滞性,而且心理弹性和创业意愿的动态变化较大,因此,未来研究可以尝试采用动态跟踪调研方法,开展时序性研究,使研究结果更具说服力;再次,本文针对高层次创业人才概念和特征进行了简单梳理,未来研究可针对高层次人才这一特定研究对象系统梳理和归纳其创业行为,进而为高层次人才创业管理和研究提供更清晰、系统的理论基础;最后,未来研究可增加样本案例数量、扩大覆盖范围、丰富测量指标体系,从点到面达成更有说服力的普遍共识,形成协调政策以及创业者自身属性等各方面关系的通用机制。

参考文献:

[1] 贺翔.地方政府助力“海归”高层次人才的企业突破创业期瓶颈之对策研究——以宁波市为例[J].科研管理, 2018, 39(6): 30-36.

[2] 葛晶, 王满仓, 李勇.金融抑制、行业垄断与高学历创业[J].经济学动态, 2018,59(12):83-95.

[3] 汪涛, 肖潇, 聂春艳.如何通过政府营销推动地方创业活动——基于武汉市政府创业营销的案例研究[J].管理世界, 2017, 291(12):168-181.

[4] 张秀娥, 王超.创业承诺能促进连续创业意愿吗[J].科学学研究, 2020, 38(3): 84-93.

[5] LAYLA JAYNE B, BRIDGETTE S T, SARAH RACHAEL L.How entrepreneurial resilience generates resilient SMEs[J].International Journal of Entrepreneurial Behaviour & Research, 2018, 24(7): 1244-1263.

[6] FOGEL G.An analysis of entrepreneurial environment and enterprise development in hungary[J].Journal of Small Business Management, 2001, 39(1): 103-109.

[7] DOUGLAS E J, FITZSIMMONS J R.Intrapreneurial intentions versus entrepreneurial intentions: distinct constructs with different antecedents[J].Small Business Economics, 2013, 41(1): 115-132.

[8] RONG M A, HUANG Y C, SHENKAR O.Social networks and opportunity recognition: a cultural comparison between Taiwan,China and the United States[J].Strategic Management Journal, 2011, 32(11): 1183-1205.

[9] 杜晓君, 齐朝顺, 杨勃.政策风险与中国跨国企业海外市场进入模式选择[J].管理科学, 2017, 30(4): 111-123.

[10] 于肖楠, 张建新.自我韧性量表与Connor-Davidson韧性量表的应用比较[J].心理科学, 2007, 30(5): 1169-1171.

[11] BHAGAVATULA S, ELFRING T, TILBURG A V.How social and human capital influence opportunity recognition and resource mobilization in India's handloom industry[J].Journal of Business Venturing, 2010, 25(3): 245-260.

[12] MAN T W Y.Developing a behaviour-bentred model of entrepreneurial learning[J].Journal of Small Business and Enterprise Development, 2012, 19(3): 549-566.

[13] COPE J.Toward a dynamic learning perspective of entrepreneurship[J].Entrepreneurship: Theory and Practice, 2005, 29(4): 373-398.

[14] CORBETT A C.Experiential learning within the process of opportunity identification and exploitation[J].Entrepreneurship Theory and Practice, 2005, 29(4): 473-491.

[15] SMITH D A, LOHRKE F T.Entrepreneurial network development: trusting in the process[J].Journal of Business Research, 2008, 61(4): 315-322.

[16] JERAJ M, MARIE M.Relation between entrepreneurial curiosity and entrepreneurial self-efficacy: a multi-country empirical validation[J].Organizacija, 2013, 46(6): 264-273.

[17] 梁昌秀, 李敏.大学生社会网络与创业机会识别关系研究[J].创新与创业教育, 2020, 10(1): 72-76.

[18] WATSON J.Modeling the relationship between networking and firm performance[J].Journal of Business Venturing, 2007, 22(6): 852-874.

(责任编辑:万贤贤)