作为体量庞大的工业大国,中国的快速发展需要大量能源投入,这种高投入、高消耗、高排放的工业模式使中国碳排放量快速上升,预计在2010-2040年中国的碳排放将占世界碳排放总量的一半[1]。为应对由碳排放引起的全球气候问题,中国提出“中国制造2025”战略,要求到2020年重点行业单位工业增加值能耗、物耗及污染物排放明显下降。由此可见,降低工业企业能耗与碳排放量迫在眉睫。
为达成战略目标,政府采取了多方举措,如开征环保税、开展排污权交易试点、制定环境空气质量标准与定期公布主要污染物排放超标企业名单等,然而效果有限[2],执行率有待提升[3]。在政府监管力度有限的情况下,媒体监督作为重要的补充机制,在曝光及抑制企业污染物违规排放方面发挥着巨大作用。
虽然政府与媒体可以作为有效的碳排放监督机构,但是最终决定碳排放行为的仍是企业。根据外部性理论,企业是以营利为主要目的的理性经济人,它会衡量碳减排成本与减排效益以决定碳排放量。工业企业绝大部分的碳排放量产生于生产阶段,碳排放减少途径主要通过缩减生产、购置节能设备与实施绿色技术创新3种方式,但缩减生产无异于因噎废食,而更替设备与开展研发创新需要耗费大量资金,难免面临融资约束问题,进而影响企业碳排放结果。
古语有云“巧妇难为无米之炊”,企业融资困难由来已久,融资机构大多是“晴天送伞雨天收伞”,即使企业有较好的绿色技术创新项目,也因捉襟见肘的资金困顿与层层审批的融资规定而无奈放弃,碳减排积极性受到打击。
因此,媒体压力能否抑制以及从多大程度上抑制碳排放?融资约束是否会挫伤企业减排积极性?其对企业碳排放的作用是否存在冲突?本文将针对这些悬而未决的问题进行深入探讨。另外,由于绿色技术创新是企业碳减排的重要手段,本文将以绿色发明专利作为代理变量,探讨其对媒体压力与融资约束两种机制的调节作用。
基于中国知网CNKI数据库对“企业碳排放”关键字进行检索发现,该方面研究自2008年始迅猛增长,从2008年的89篇增加到2016年的1 835篇,此后呈现下滑趋势,2019年只有792篇,其中,绝大多数为政策建议,基于企业微观层面的文献较稀缺,其主要原因是企业碳排放数据难以获取。为了量化企业碳排放量,不少学者作出了创新性尝试。如王帆等[4]使用问卷调研法,收集了浙江省32家高污染企业样本,采用层次分析法构建碳排放量指标,进而对企业碳排放程度进行衡量,因样本量有限,其结论具有一定地域限制;沈洪涛等[5]基于二氧化碳与大气污染物的同源性,以156家上市企业的排污费作为碳排放量衡量指标,然而许多企业并未披露排污费,因此可能存在样本选择偏差;周志方等[6]使用标普500强企业的碳排放量测度企业碳效率,但因存在制度形态、市场化水平与企业经营理念等国内外差异,其结论是否适用于中国仍需进一步探讨;还有学者基于企业社会责任报告(CSR)披露的碳排放量数据进行实证,但披露碳排放量的企业较少,且每年统计口径不一致,如中国平安的《企业社会责任报告》中2016年能源消耗统计范围比2015年增加了13个自有物业项目,可见运用CSR数据作为实证数据,其可信度偏低。
为进一步提高企业碳排放测度可信度,本文利用2018年《能源统计年鉴》中八类化石能源消耗数据求得各行业碳排放量,再以企业营业总成本与行业主营业务成本为权重求得每家企业的碳排放量,为度量企业碳排放量提供了新视角。
由于企业碳排放量数据不可得,媒体对企业碳排放量的影响文献欠缺,而现有文献主要从环境污染、环境信息披露与环保投资等角度探讨媒体压力的环境效应。
媒体的负面报道会影响消费者偏好,给企业带来市场压力,从而对企业运营发展形成约束,令企业规范自身行为且合法开展符合舆论规范的生产活动[7-8]。这种约束称为媒体压力,一般用媒体报道的负面倾向程度衡量。不少学者根据声誉理论,发现媒体可以通过曝光环境污染丑闻对企业造成舆论压力,从而降低企业污染物排放量。例如孔东民等[9]研究了投资者对环境污染事件的反应,发现股票市场会对由媒体曝光的污染丑闻产生显著反应,而对由政府首次披露的污染事件无明显反应,显示了媒体外部治理的重要性;Saha等[10]利用双重差分法对美国制造厂的有害物质进行实证分析,结果表明,受到媒体关注的工厂有毒物质释放量明显降低;Jia等[11]发现,曝光企业污染行为后,媒体的语气越尖锐,舆论压力就越大,公司停止污染的可能性也越大。
虽然媒体能够曝光企业的负面环保事件,但是最终还是需要政府部门的介入与处理[12],这是因为政府部门制定的环境治理法规条文具有一定震慑力,因此部分学者认为媒体可以促进政府加强环境规制监督。刘德智等[13]通过推导演化博弈理论,证明媒体可以辅助政府部门加大污染物监管力度。为躲避政府处罚,企业会对违规行为进行遮掩,在有限的政府资源下这些违规行为很难及时被发现,而媒体监督范围的广泛性与事件敏感度有助于聚焦污染物超标企业,使企业有所掣肘,从而降低企业污染物排放量[14]。
值得一提的是,自2008年国务院与环保部出台环境信息披露相关规定后,环境信息披露已成为环境治理的重要举措之一,能有效促使企业减排污染物[15]。媒体压力能够敦促企业披露环境信息 [7],降低投资者与债权人环境信息的搜寻成本,扩大企业负面新闻的曝光率,对企业排放污染物产生一定约束。媒体压力还有助于企业树立环保意识,敦促其采取绿色举措,如提高企业社会责任感[16]、加大环保投入[14,17]、实施绿色并购[18]与绿色技术创新[19],这一系列绿色行为皆对企业排放污染物有抑制作用,即促使企业碳减排。
从上述分析可以发现,以往文献多从污染物视角进行研究,鉴于二氧化碳与污染物的同源性[5],本文提出研究假设:
H1a:媒体压力会对企业碳排放产生抑制作用,即媒体压力越大,企业碳排放量越少。
实施绿色技术创新是企业进行碳减排最为有效的措施之一。绿色技术是指降低环境污染,减少原材料与能源使用的技术、工艺或产品的总称,可以用绿色专利衡量[20]。工业大类涵盖了石油开采、计算机信息技术与医药制造等行业特质差异较大的细分行业,因此采用专利数衡量具有普适性,其中,绿色发明专利指标在专利质量、认可度与节能效率方面高于绿色实用新型专利指标。因此,本文将进一步探讨绿色发明专利对媒体压力下碳减排的影响效应。较之无绿色发明专利的企业,当期有绿色发明专利授权的企业更易于缓解媒体压力,一旦媒体曝光出企业负面新闻,绿色发明专利可以成为其“遮羞布”,通过公布绿色发明专利授权情况,争取到公众尤其是环保型消费者好感,以挽回形象损失。再者,绿色发明专利授权是一个长期过程,企业成功获取发明专利授权预示着其在一定年限内拥有某成果专用权,具有比较优势与构建技术壁垒,同时向投资者与消费者传递出技术优势信号,表明其拥有高水平的研发技术与节能减排能力。在这种情况下,即便媒体曝光了企业当期污染物、能耗或碳排放量超标,企业也可辩解后续会利用绿色技术减少废弃物排放,从而削弱媒体压力对企业的负面影响。甚至有的企业会因势利导进行绿色工艺或绿色产品宣传,令政府部门放松警惕,同时,私下排放过量的污染物。
由此,提出研究假设:
H1b:绿色专利授权会削弱媒体压力对企业碳减排的促进作用。
在市场发展不完善、信息不对称的大环境下,许多企业或多或少地存在融资约束问题,由于工业企业的绿色创新标准较高,融资约束的影响更广。本文借鉴Fazzari提出的融资约束理论,将融资约束定义为因市场不完备(不对称信息、代理成本等)而导致企业外部融资时遭遇的限制。当企业融资约束较高时,会导致无法顺利开展绿色技术创新与进行环保投资,降低管理者节能减排积极性,进而影响企业碳减排。然而,现有研究尚未涉及融资约束对企业碳排放的影响,本文将从绿色技术创新与环保投资角度分析二者间的作用机制,以填补研究空白。
从绿色技术创新角度分析,技术创新是一项存在高外部性的研发活动,项目周期与融资期限长,且多为机密,在申请技术融资时不便于透露过多的细枝末节,导致投资方与融资方间信息不对称。银行等金融机构出于风险规避考虑,会对回收期长且风险高的项目慎之又慎,加之信息不对称增加了资金回收的不确定性,致使企业外部融资成本高于内部资本成本,进而面临融资约束[21]。由于难以获得外部资金来开展自主研发或进行技术引进[22],不利于企业开展节能减排等绿色技术创新与高污染模式转型,导致污染企业二氧化碳排放量居高不下。
从环保投资方面分析,根据MM理论,企业投资行为与融资决策无关,但我国资本市场发展起步较晚,规制制定尚不够完善,融资约束的存在影响了公司的投资决策。环保投资作为成本的一部分,不会直接贡献利润,且回收期长、短期收益低,因此面临高融资约束的企业缺乏动力进行长线投资[23-24]。再者,企业所有权与经营权分离,在高融资约束情形下,管理者作为被委托人更容易出现委托代理的道德风险问题,倾向于收益高的短期项目,而忽视企业长期利益。此外,高融资约束使得企业开发新产品举步维艰,同时,承受较大绩效压力,因此会趋向采用低廉生产方式,进而使企业碳排放量增加。
基于上述分析,提出研究假设:
H2a:企业面临的融资约束越大,碳排放量也越大。
根据上述分析,融资约束对企业碳排放的影响与企业绿色技术创新能力息息相关,而绿色发明专利作为衡量企业绿色技术创新能力的一个指标,对融资约束与碳排放关系有重大影响。企业在获得绿色发明专利授权之前,经历了持续高强度的绿色技术研发,消耗了大量人力物力,且我国资本市场尚不完善,部分企业无法通过发行债券或股票筹集到足额资金,致使企业需留存高额的现金流,以保证绿色技术创新正常进行[25]。股东与债权人一旦知悉绿色发明专利申请获批,会要求利用其改进生产工艺、节约能耗,并将其转化为产品投放市场,因此短期内不具有进行二次绿色技术创新与环保项目投资动机。此时若融资约束增大,管理者为防止资金链断裂,会对绿色发明专利成果进行宣传,增加销售费用支出,挤兑当期废弃物处理费用,使企业碳排放量增加。
基于上述分析,提出研究假设:
H2b:绿色专利授权会放大融资约束与企业碳排放间的正向关系。
降低融资约束与强化媒体压力作为两种重要机制,都可以起到缓解企业污染物排放的作用。其中,融资约束通过限制企业绿色技术创新投入与环保投入,给企业施加绩效压力,从而有助于企业降低碳排放。此外,媒体压力对企业碳排放行为具有监督作用,通过曝光企业污染物超排与环保违规行为,引起政府部门关注,督促其整改,从而对企业碳排放行为起到震慑作用。
媒体压力可以辅助行政机构监管违规污染行为,通过声誉机制达到约束作用,对企业施加监管压力,促使企业降低碳排放。因此,从该角度而言,媒体压力可以提高政府效率,规范企业经营行为,实现外部治理功能[12]。当媒体压力较大时,关于污染物排放行为的曝光率较高,企业违规成本增大,这种成本可分为直接成本(诉讼费用、绿色税收和处罚费等)与间接成本(公司和高管声誉损害等)两种 [26]。对于融资约束较高的企业,当运营资金捉襟见肘时,企业只能顾及眼前利益与生存难题,而无暇顾及社会责任,致使企业即使面临媒体压力,也难以降低碳排放。
由此看来,融资约束有可能削弱媒体压力对企业碳减排的作用,因此提出研究假设:
H3a:融资约束越高,媒体压力对企业碳排放的抑制作用越弱。
同时,媒体压力也会对融资约束与碳排放关系产生影响。声誉是企业的一种无形资产,当企业负面新闻缠身时,为维护自身形象与提升公众好感度,企业会主动履行社会责任[27],如慈善捐款、改善员工福利等。由于这些举措往往需要花费资金,因此会削弱企业环保投资力度,进而降低企业碳减排能力。再者,与媒体压力较大、声誉较差的企业相比,贷款机构更倾向于投资声誉良好的企业[28]。因此,伴随媒体压力增大,企业融资约束增大,过高的融资约束会导致企业无法进行环保投资,使得碳排放量无从降低。换言之,当媒体压力较大时,融资约束对企业环保投资与绿色技术创新的抑制作用增强,从而导致碳排放量上升。
由此,提出研究假设:
H3b:媒体压力越大,融资约束对企业碳排放的正向作用越强。
综上所述,本文构建理论模型,如图1所示。
图1 理论模型
对沪深上市企业样本数据进行筛选,规则如下:①依据1999年4月《中国上市公司分类指引》,选择工业企业为研究对象;②剔除ST、*ST样本;③剔除财务指标缺失且不能从企业年报、企业社会责任报告中获得的样本;④删除样本期间退市企业;⑤剔除B股数据。同时,对连续变量在1%与99%分位数上进行Winsorize缩尾处理,以剔除极限值。截止投稿日期前,2018年及以后各行业能源统计年鉴尚未公布,因此观测期为2011-2017年。
根据以上筛选规则,得到2012年行业分类下36个细分行业2 031个工业企业的9 757个样本数据,且均为非平衡面板数据。关于企业财务指标等变量数据,来源于WIND资讯端与国泰安CSMAR数据库,部分缺失数据通过手工翻阅企业年报与企业社会责任报告得到,各细分行业主营业务成本数据来自WIND数据库,用以计算二氧化碳排放量的各类能源数据来自2018年《中国能源统计年鉴》,各企业注册地所在省域的人均GDP数据来源于《中国统计年鉴》。
2.2.1 被解释变量
依据《2006年IPCC国家温室气体指南》中关于碳排放总量测算方法,定义碳排放量等于各能源消耗量乘以该能源碳排放系数。各能源消耗量以吨标准煤为单位,需通过2018年《中国能源统计年鉴》获取以万吨、亿立方米(天然气)等为单位的原始数据,再折算成为吨标准煤,各能源的折标煤系数分别为:煤炭为0.714 3kg标煤/kg、焦炭为0.971 4kg标煤/kg、原油和燃料油为1.428 6kg标煤/kg、汽油和煤油为1.471 4kg标煤/kg、柴油为1.457 1kg标煤/kg、天然气为13.300吨标煤/万立方米。能源碳排放系数是基于《2006年IPCC国家温室气体指南》,通过能源热值乘以碳氧化因子得到各能源碳排放系数。具体而言,各能源碳排放系数分别为:煤炭为0.755 9 t碳/t标准煤、汽油为0.553 8t碳/t标准煤、柴油为0.592 1 t碳/t标准煤、天然气为0.448 3 t碳/t标准煤、煤油为0.571 4 t碳/t标准煤、燃料油为0.618 5 t碳/t标准煤、原油为0.585 7 t碳/t标准煤、焦炭为0.885 0 t碳/t标准煤。
先利用统计年鉴中能源消耗数据求得细分行业碳排放量,随后以企业营业总成本占行业主营业务成本比例为权重,求得每个企业的碳排放量(鉴于企业营业总成本数据比营业成本与主营业务成本更全面,可比性更高,故采取营业总成本作为分子),对其取对数,用符号LNCE表示,公式如下:
所在行业碳排放量)
(1)
其中,LNCEit表示第i家企业第t年的二氧化碳排放量取自然对数,等于企业当年营业总成本占所在行业主营业务成本比值与行业碳排放量的乘积。
为验证方法合理性,用公式(1)计算得到的2009年工业企业污染排放数据库中的企业碳排放量,与运用该数据库中煤炭、燃料油的排放量求得的企业碳排放量进行皮尔森相关性检验与OLS回归,发现二者的皮尔森相关性检验系数为0.810,在1%的水平下显著,且以煤炭、燃料油排放量求得的企业碳排放量为被解释变量,以公式(1)得到的企业碳排放量为解释变量,对行业进行控制,在无其余控制变量下,二者拟合程度(R2)达到0.658 4,解释变量系数为正且P值为0,表示二者存在高度同质性与相关性,说明运用该计算方式所得企业碳排放量具有一定代表性。
2.2.2 解释变量
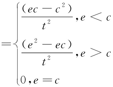
(1)媒体压力。借鉴黄珺与李云[29]的做法,选取中国上市公司财经新闻数据库CFND的报道数据,根据媒体报道的情绪倾向,分为正面媒体报道、中性媒体报道和负面媒体报道3种类型,相比以正面、中性与负面报道数量作为代理变量,综合考虑一个企业所有报道倾向新闻更能衡量其媒体压力,这是因为规模较大企业的曝光率高于小规模企业,其负面报道数量通常也更多,但并不能表示其媒体压力更大。因此,借鉴Clarkson等[30]的方法,用综合正负面媒体报道情绪的Janis-Fadner(JF)系数衡量媒体报道的倾向性,为方便理解,对该指数进行正向处理,即该指数越大,企业承受的媒体压力越大,媒体报道的定义如下:
Janis-Fadner系数
(2)
其中,e表示负面媒体报道数量,c表示正面媒体报道数量,t表示e和c的总和。另外,Janis-Fadner系数取值从-1~1;企业负面媒体报道越多,Janis-Fadner系数就越接近1,表示来自公众的压力越大;相反,企业正面媒体报道越多,Janis-Fadner系数就越接近-1且来自公众的压力就越小。本文先用媒体网络报道总数量构建的JF系数作为媒体压力(Media_1)的代理变量,再用媒体原创报道数量构建的JF系数(Media_2)进行稳健性检验。
(2)融资约束。现阶段学者们主要通过WW指数、KZ指数与SA指数衡量融资约束,由于WW指数与KZ指数具有较强内生性,本文参考Hadlock & Pierce[31]的研究成果,采用SA指数进行衡量,具体模型如下:
![]()
(3)
其中,Age为企业成立年限,Size是以百万元为单位的企业总资产取自然对数。另外,以SA指数中位数作为基准,若SA指数高于中位数,则SA取值为1,否则SA取值为0,生成变量SAindex,用于稳健性检验。
2.2.3 调节变量
关于绿色发明专利的衡量指标,本文借鉴齐绍洲等[20]的方法,根据世界知识产权组织提供的绿色专利清单中的绿色专利国际专利分类,手工对企业当年获得的发明专利情况进行评价,对该年度拥有绿色发明专利授权的样本取值1,否则取0。一般而言,绿色发明专利会有利于企业节能减排,降低企业碳排放量。
2.2.4 控制变量
借鉴相关研究,选取企业杠杆、盈利能力、企业年龄、监管层持股比例、股权集中度、人均GDP、年度虚拟变量和行业虚拟变量作为控制变量,具体定义如表1所示。由于SA指数与企业规模具有较高共线性(二者的皮尔森相关性为0.714),因此在作回归分析时不加入企业规模。
表1 变量定义
变量类型 变量名称 变量符号 变量计量被解释变量企业碳排放LNCE使用行业碳排放量数据,依据企业营业总成本占行业主营业务成本的权重加权平均后取对数所得解释变量媒体压力Media_1用媒体网络总报道数构建的JF系数Media_2用媒体网络原创报道数构建的JF系数融资约束SA参照Hadlock和Pierce(2010)的公式构建SAindex以SA指数中位数作为基准,若SA指数高于中位数,则SA取值为1,否则取值为0调节变量绿色发明专利Green该年度是否拥有绿色发明专利授权,是则取值1,否则取0控制变量企业杠杆Lev年末总负债/年末总资产盈利能力Roe净资产收益率人均GDPPGDP宏观经济指标,企业注册所在地省域的人均GDP取自然对数企业年龄Age所在年度与成立年度的差值取对数监管层持股比例Regulatory监管层持股数占总股数比例股权集中度CR1第一大股东持股比例年度虚拟变量Year共7年,设置6个哑变量行业虚拟变量Ind按证监会2012年分类标准,共36个细分行业,设置35个哑变量
设定以下计量模型检验假设,其中,模型(4)用以验证假设H1a与假设H2a,模型(5)、(6)与(7)用来验证假设H2a、H2b,模型(8)用以验证假设H3a与H3b。
LNCEit=α0+α1Media_1it+α2SAit+α3 ∑Controlit+∑Yeart + ∑Indit+εit
(4)
LNCEit=b0+b1Media_1it+b2SAit+b3Greenit+b4 ∑Controlit+∑Yeart + ∑Indit+εit
(5)
LNCEit=c0+c1Media_1it+c2SAit+c3Greenit+c4Media_1it×Greenit+ c5∑Controlit+ ∑Yeart+ ∑Indit+ εit
(6)
LNCEit=d0+d1Media_1it+d2SAit+d3Greenit+d4SAit×Greenit+ d5∑Controlit+ ∑Yeart+ ∑Indit+ εit
(7)
LNCEit=e0+e1Media_1it+e2SAit+e3Greenit+e4Media_1it×SAit+ e5∑Controlit+ ∑Yeart+ ∑Indit+εit
(8)
其中,∑Controlit表示控制变量,∑Yeart 与∑Indit分别表示年份及行业效应,εit表示随机误差项。对模型进行豪斯曼检验。结果表明,上述模型适用于固定效应模型,且为避免遗漏变量造成的内生性问题,采用控制个体、年份与行业的固定效应模型进行回归。此外,为修正异方差与自相关带来的偏误,采用xtscc命令进行回归。
从表2描述性统计结果可知,媒体压力Media_1的中位数与平均值分别为-0.123及-0.151,数值小于0,表示总体而言,企业受到的媒体压力偏弱,半数以上样本的正面新闻多于负面新闻;SA指数的中位数与均值相近,分别为-3.641与-3.614,较符合正态分布特征;绿色发明专利均值为0.112,表示大部分样本并不拥有绿色发明专利;企业碳排放均值为3.736,工业企业平均每年碳排放量高达41.93(=e3.736)万吨,且经对数化后标准差仍高达1.971,表示不同企业的碳排放量差距较大,具有鲜明的个体差异,显示了采用固定效应模型的合理性。另外,各控制变量的最大值与最小值差距在合理范围内,说明有效剔除极限值影响后,数据选取较合理。
表2 描述性统计结果
变量名称观测值最小值p25中位值p75最大值均值标准差LNCE12 245-10.2202.2513.4885.1279.0383.7361.971Media_114 722-1.000-0.288-0.1230.0210.125-0.1510.205SA14 541-4.474-3.804-3.641-3.483-0.684-3.6140.323Green14 9250.0000.0000.0000.0001.0000.1120.316Lev14 3480.0640.2430.3920.5510.8700.4030.193Roe14 263-0.4050.0280.0670.1100.2790.0660.081Regulatory14 6280.0000.0000.0010.1880.6420.1110.174Age14 4561.9462.5652.8332.9963.4342.7840.295CR114 2030.0020.0500.1640.3240.6210.2010.166PGDP14 5842.5234.6256.3988.56614.8606.7502.646
由表3看出,融资约束SA指数与企业碳排放显著正相关,初步验证假设H2a;媒体压力(Media_1)与企业碳排放的相关系数均为正,与假设H1相反,但系数并不显著;绿色发明专利系数显著为正,也与预期符号相反;由于皮尔森相关性检验尚未考虑其余控制变量,因此还需进行回归分析。此外,各变量间相关系数绝对值的最大值为0.503,且经方差膨胀因子检验,VIF最大值为2.01,远小于10,说明不存在多重共线性,即控制变量选取较为合理。
表3 皮尔森相关性检验结果
LNCEMedia_1SAGreenLevRoeRegulatoryAgeCR1PGDPLNCE1Media_1-0.0071SA0.449***-0.024***1Green0.114***-0.066***0.231***1Lev0.461***0.057***0.320***0.121***1Roe0.023**-0.209***0.067***0.018**-0.175***1Regulatory-0.299***-0.075***-0.130***-0.035***-0.314***0.106***1Age0.180***-0.006-0.462***-0.0090.138***-0.063***-0.228***1CR10.309***0.017**0.199***0.060***0.268***-0.057***-0.503***0.158***1PGDP-0.079***-0.105***-0.058***0.033***-0.124***0.068***0.133***0.090***-0.061***1
注:*、**、***分别表示在10%、5%与1%水平下显著。下同
为避免多重共线性,对所有交互项进行去中心化处理,并在回归前对表4中各模型进行检验:①运用F检验与最小二乘虚拟变量法LSDV进行个体固定效应检验;②用BP-LM法进行随机效应检验;③用豪斯曼检验固定效应模型适用性;④用修正的Wald法检验模型是否存在异方差。另外,虽然本文数据为短面板数据,为保证稳健性,避免伪回归,对模型进行自相关检验,用Wooldridge检验固定效应模型是否存在自相关。结果发现,表4中各模型均存在个体固定效应、异方差与自相关,且Hausman检验P值均小于0.05,说明应选用固定效应模型,表4为修正异方差与自相关后的固定效应模型回归结果。
从表4的模型6可以看出,媒体压力(Media_1)与企业碳排放系数在5%的水平下显著负相关,表明媒体压力越大,企业碳排放越少,证明假设H1a成立,然而其系数较小,仅为-0.095,说明媒体压力每增加1单位,企业碳排放减少9.5%,但媒体压力变动幅度有限,其取值范围为[-1,1],说明仅靠媒体压力不足以大规模削减企业碳排放量。另外,媒体压力与绿色发明专利的交互项系数(Media_1×Green)为正,且在5%的水平下显著,说明拥有绿色发明专利使得媒体压力的碳减排作用减弱,假设H1b得到验证。需要注意的是,其交互项系数为0.129,根据模型6中的回归系数,可求得企业碳排放对媒体压力的偏导为∂LNCE/∂Media_1=-0.095+0.129Green,当Green取1时,其偏导为正数,值为3.4%(=-0.095+0.129),表明对于该年度拥有绿色专利授权的企业,媒体压力不仅没有起到约束企业碳排放的作用,反而因增加了企业曝光度,无形中宣传了企业的绿色发明专利成果,有助于企业改善形象,降低了公众对丑闻的关注度,导致外部监督机制的效度减弱,削弱了企业碳减排动力。
表4 全样本回归结果
变量因变量:企业碳排放模型(4)模型(5)模型(6)模型(7)模型(8)Media_1-0.095**-0.095**-0.095**-0.094**-0.095**(-3.444)(-3.469)(-3.420)(-3.407)(-3.534)SA2.741***2.746***2.746***2.744***2.745***(85.463)(81.462)(81.584)(78.348)(79.082)Green-0.040**-0.032*-0.039*-0.040**(-2.651)(-1.968)(-2.186)(-2.639)Media_1×Green0.129**(2.505)SA×Green0.346**(3.052)Media_1×SA0.056(0.486)Lev0.737***0.738***0.740***0.740***0.738***(16.257)(16.635)(16.423)(16.612)(16.495)Roe0.423**0.424**0.426**0.426**0.424**(3.667)(3.675)(3.699)(3.665)(3.691)Regulatory-0.168***-0.167***-0.164***-0.164***-0.167***(-5.199)(-5.088)(-5.127)(-5.017)(-5.053)Age0.823***0.829***0.833***0.803***0.833***(5.742)(5.835)(5.790)(5.608)(5.794)CR1-0.045-0.046-0.048-0.047-0.046(-1.446)(-1.473)(-1.537)(-1.528)(-1.523)PGDP0.039***0.039***0.040***0.040***0.039***(4.980)(5.040)(5.126)(5.422)(5.158)Year&IndControlCons_9.793***9.796***9.785***9.848***9.784***(15.016)(14.964)(14.854)(14.789)(14.729)N9 7579 7579 7579 7579 757within R20.6460.6470.6470.6470.647F值120.2121.7116.4114.2121.7
注:小括号内为t值。下同
在融资约束(SA)方面,模型7中的系数为2.744,在1%的水平下显著正相关,说明企业融资约束越高,企业碳排放量越大,假设H2a得到验证。具体而言,融资约束每提高1单位,企业碳排放量增加274.4%,而融资约束p25(25%分位值)与p75(75%分位值)相差0.321(=3.804-3.483),从p5(5%分位值)至p95(95%分位值)相距0.971(=4.046-3.075),说明融资约束对企业碳减排的促进作用远大于媒体压力的碳减排作用。相反,若政府放宽融资渠道,企业融资约束降低,不仅有助于企业日常运营,而且对企业碳减排大有裨益。再者,融资约束与绿色发明专利的交互项系数(SA×Green)为0.346,在5%的水平下显著为正,即该年度拥有绿色发明专利授权的企业,融资约束对企业碳排放的正向影响将提升34.6%,表明绿色发明专利增强了融资约束对企业碳减排的促进作用,验证了假设H2b。
模型(8)中的交互项(Media_1×SA)系数为正,表明随着融资约束增大,媒体压力对企业碳减排的抑制作用减弱,与假设H3a一致,但并未通过显著性检验,表示融资约束的调节作用并不明显。其原因可能在于,当融资约束过高时,企业现金流高度紧张,企业会更留意污染物排放是否达标,因为一旦不达标会面临行政罚款,导致原本融资难的企业面临资金链断裂之危。此时,媒体压力越大,企业逃脱污染责罚的可能性越低,为避免因污染物排放过量引致罚款,企业减排动力增强,抵消了融资约束对媒体压力促进碳减排的削弱效应。
再者,模型(8)的交互项(Media_1×SA)为正,表明随着媒体压力增大,融资约束对企业碳减排的正向作用增强,符合假设H3b,但其系数并不显著,表明媒体压力对二者关系的作用未得到统计意义上的验证,即媒体压力增大时,融资约束对企业碳减排的促进作用未必增强。这是因为针对媒体的负面报道,企业管理者心生忌惮,纵使融资约束再高,为了挽回声誉,企业也会进行污染物减排等绿色行为,从而削弱融资约束对环保投入的抑制作用。
从控制变量来看,一方面,资产负债率(Lev)、盈利能力(Roe)、人均GDP(PGDP)、企业年龄(Age)与企业碳排放显著正相关,当企业高负债运营时,过高的利息成本会抑制企业绿色转型。企业往往根据上一年度盈利情况制定当年盈利目标,因此净资产收益率越高,企业面临的绩效压力越大,管理者越容易为经济效益而牺牲环境责任,致使企业碳排放增加。根据环境库兹涅茨曲线,经济增长往往伴随环境恶化,因此人均GDP与企业碳排放呈正相关。企业年限越长,其结构越僵化,绿色转型遇到的阻力越大,因此碳排放越高;另一方面,绿色发明专利(Green)、监管层持股比例(Regulatory)、股权集中度(CR1)与企业碳排放负相关,说明绿色技术创新对企业碳排放具有抑制作用。监管层持股比例越高,内部监督机制越完善,违规排放的可能性越低。第一大股东的股权越大,为了维护自身声誉以及长远发展,会倾向降低企业能耗,且股权越集中,其话语权越大,制定相关减排政策的效率越高。因此,股权集中度越高,企业碳排放越低。
为了进一步验证结论并深化研究,本文还将探讨媒体压力与融资约束影响碳减排的企业异质性。国有企业和民营企业在社会福利目标、资源依赖性等方面的差异,造成媒体压力与融资约束对企业碳排放的影响可能存在差异,因此将样本分为国企与非国企进行回归,结果如表5所示。
从表5可以看出,无论是国有企业还是非国有企业,媒体压力均对企业碳排放存在显著抑制作用,且融资约束与企业碳排放皆在1%的水平下显著正相关,假设H1a与H2a再次得到验证。
表5 媒体关注、融资约束对企业碳排放的异质性分析结果
变量国企模型(7)模型(8)模型(9)非国企模型(7)模型(8)模型(9)Media_1-0.132***-0.127***-0.128***-0.099**-0.100**-0.100**(-4.845)(-4.847)(-5.589)(-2.509)(-2.567)(-2.454)SA2.685***2.675***2.684***2.691***2.696***2.692***(60.118)(56.910)(63.199)(25.392)(24.536)(25.062)Green-0.044-0.040-0.048-0.010-0.026-0.022(-1.208)(-1.230)(-1.217)(-0.566)(-1.060)(-1.506)Media_1×Green0.1070.165***(1.480)(3.857)SA×Green0.345***0.318*(3.772)(2.409)Media_1×SA0.054-0.033(0.224)(-0.462)控制变量 ControlYear&Ind ControlCons_13.696***13.752***13.686***9.239***9.311***9.258***(23.861)(24.110)(28.471)(10.908)(10.779)(10.858)N3 2513 2513 2516 5066 5066 506within R20.5990.6000.5990.6820.6830.682F值87.4081.4164.30136.4136.4137.6
从绿色发明专利对媒体压力的调节作用看,在非国有企业中,绿色发明专利显著削弱了媒体压力的碳减排作用(b=0.165,P<0.01),而国有企业中,绿色发明专利对媒体压力的碳减排作用并无显著影响,其交互项(Media_1×Green)系数(b=0.107,P>0.1)并不足以抵消媒体压力对国有企业碳排放的抑制作用(b=-0.132,P<0.01),表明绿色发明专利的调节作用存在显著的产权异质性。不同于非国有企业,国有企业往往会面临较大的社会舆论和政府监督压力(王旭,褚旭,2019)[32],当面临重大丑闻时,绿色技术创新成果并不足以转移公众注意力,媒体依然可以有效发挥监督作用。
从绿色发明专利对融资约束的调节作用看,在国企与非国企中,绿色发明专利均显著增强了融资约束与企业碳排放之间的正向作用,再次验证假设H2b成立。
此外,国企与非国企中媒体压力和融资约束的交互项均不显著且符号相反,二者间的作用未得到验证,说明媒体压力与融资约束相互作用对工业企业碳排放的影响尚不明朗。
利用替换变量方式进行稳健性检验,替换解释变量媒体压力的衡量指标为Media_2,并将融资约束指标换为以SAindex表示,检验结果如表6所示,与上文结果基本一致,表示结论较为稳健。
表6 稳健性检验结果
变量全样本模型(7)模型(8)模型(9)国企模型(7)模型(8)模型(9)非国企模型(7)模型(8)模型(9)Media_2-0.087***-0.087***-0.087***-0.085***-0.083***-0.084***-0.110***-0.112***-0.112***(-4.241)(-4.179)(-4.138)(-4.537)(-4.394)(-4.537)(-5.192)(-5.308)(-5.248)SAindex0.285***0.286***0.285***0.341***0.341***0.339***0.243***0.245***0.244***(7.684)(7.706)(7.641)(7.141)(7.173)(7.229)(5.984)(6.050)(6.014)Green-0.016-0.026*-0.021-0.038-0.046-0.0420.013-0.0010.003(-1.290)(-2.221)(-1.901)(-1.203)(-1.303)(-1.192)(0.894)(-0.083)(0.270)Media_2×Green0.162*0.1450.233***(2.146)(1.159)(4.901)SAindex×Green0.043**0.0190.073**(3.643)(0.580)(2.907)Media_2×SAindex0.0710.120-0.012(1.732)(0.668)(-0.370)控制变量ControlYear&IndControlCons_-1.578*-1.550*-1.586*0.9820.9970.967-1.330*-1.288*-1.318*(-2.166)(-2.153)(-2.164)(1.604)(1.662)(1.594)(-2.178)(-2.147)(-2.168)N9 7569 7569 7563 2503 2503 2506 5066 5066 506within R20.5950.5950.5950.5320.5320.5320.6440.6440.644F值165.7162.0182.199.25106.4109.4197.2195.4196.2
在融资约束的内生性方面,其衡量指标SA指数采用的是两个外生指标,存在内生性的可能性较小,但为稳健起见,将被解释变量企业碳排放提前一期(LNCEi,t+1)作回归,结果如表7所示,其系数符号与显著度基本保持一致。
表7 内生性检验结果
变量因变量LNCEi,t+1模型(7)模型(8)因变量LNCEi,t模型(6)模型(8)Media_1-0.145**-0.145**-0.250***-0.247***(-3.278)(-3.098)(-6.447)(-6.224)SA2.438***2.463***2.746***2.747***(13.034)(12.254)(25.787)(25.696)Green-0.029**-0.024**-0.0195-0.031*(-2.595)(-2.924)(-1.165)(-1.899)Media_1×Green0.1851***(2.895)SA×Green0.226*(2.498)Media_1×SA0.1000.020(0.483)(0.078)控制变量ControlYear&IndControlConstant11.680***11.754***(16.089)(15.309)KP rk LM统计量1 393.966***607.461***KP Wald rk F统计量2 787.518483.882 {19.93}{19.93}Hansen J统计量0.6910.643 [0.406][0.423]观测值8 7808 4898 5948 594within/adj R20.4720.4710.5380.538F值30.25***107.2***187.8***190.2***
注:KP(Kleibergen-Paap) rk LM检验识别度,若拒绝零假设,则说明工具变量合理,KP Wald rk F用于检验弱识别,大于大括号中Stock-Yogo检验结果10%水平下的临界值,表示不存在弱工具变量;Hansen J统计量接受原假设,表示不存在过度识别
在媒体压力的内生性方面,运用和xtivreg2命令即两步GMM法对其进行回归,回归结果如表7所示。工具变量选取提前一期Media_1i,t+1与三期均值(即提前一期Media_1i,t+1、滞后一期Media_1i,t-1与当期Media_1i,t的算数平均值),它们与当期媒体压力相关,但与当期企业碳排放的相关性很小,为稳健起见,对工具变量进行检验,结果显示不存在弱工具变量、识别不足与过度识别问题,说明工具变量选取较为合理。在两步GMM法下,媒体压力Media_1系数显著为负、媒体压力与绿色发明专利交互项Media_1×Green的系数显著为正,而与融资约束交互项Media_1×SA的系数为正但不显著,说明在控制可能的内生性后,媒体压力对企业碳排放的抑制作用仍得到验证,绿色发明专利对媒体压力碳减排作用的削弱亦通过了显著性检验,结论与上文保持一致,表明结论较稳健。
随着新媒体与网络技术的普及,媒体监督俨然成为重要的非制度因素,在曝光企业超排违规行为方面有着不可忽视的作用,而融资约束作为企业无可避免的问题,其高低程度直接关系到企业运营生产策略的制定。学术界已经从宏观层面研究了碳排放影响因素,但鲜有文献从企业微观视角出发,考察媒体压力与融资约束对企业碳排放的影响。本文以2011-2017年沪深两市工业企业为研究对象,采用固定效应模型估计,实证分析了媒体压力与融资约束对工业企业碳排放的影响机理,并研究了绿色发明专利的调节效应,探讨了两种因素在国企与非国企之间是否存在差异化影响。实证研究发现:第一,媒体压力与工业企业碳排放存在显著的负相关关系,企业受到的媒体压力越大,碳排放越低;第二,融资约束与企业碳排放存在显著的正相关,企业面临的融资约束越高,其碳排放量越高,换言之,缓解融资约束能降低企业碳排放量;第三,绿色发明专利对媒体压力的碳减排效应存在负向调节作用,即绿色发明专利会削弱媒体压力的碳减排效应,但调节效应存在产权异质性,即绿色发明专利会削弱媒体压力对非国有企业的碳减排作用,而在国有企业中,绿色专利的调节作用并不明显;第四,无论是国有企业还是非国有企业,绿色发明专利均增强了融资约束对碳排放的抑制作用;第五,媒体压力与融资约束对企业碳排放并不存在显著的相互促进或抑制作用。
基于上述结论,本文提出3点政策建议:第一,作为重要的非正式制度因素,媒体可以在敦促公司降低碳排放中发挥重要作用,但基于媒体容易跟风,政府应鼓励真实全面的报道,对污蔑诽谤式新闻予以惩戒;第二,信贷机构在审查资金用途时,应加大企业绿色投资状况的审查,对绿色技术创新和环境保护项目予以利率优惠,鼓励企业改进生产设备与实施节能减排项目;第三,加大企业碳信息披露力度,鼓励企业公布详细的能源消耗状况,以便精准测算企业碳排放量,并统一测量口径,推进企业碳排放研究发展。
[1] WESSEH P K, LIN B.Optimal carbon taxes for China and implications for power generation, welfare, and the environment[J].Energy Policy,2018,118(8):1-8.
[2] WANG K L, YIN H C, CHEN Y W.The effect of environmental regulation on air quality:a study of new ambient air auality standards in China[J].Journal of Cleaner Production, 2019,215:268-279.
[3] ALLEN F, QIAN J, QIAN M J.Law, finance, and economic growth in China[J].Journal of Financial Economics,2004,77(1):57-116.
[4] 王帆,倪娟.企业碳排放影响因素研究——基于浙江企业的调研分析[J].商业经济与管理,2016,36(1):71-80.
[5] 沈洪涛,黄楠,刘浪.碳排放权交易的微观效果及机制研究[J].厦门大学学报(哲学社会科学版),2017,92(1):13-22.
[6] 周志方,董子琦,曾辉祥,等.企业碳效率差异及其影响因素分析——来自S&P500强的证据[J].管理评论,2019,31(3):27-38.
[7] 沈洪涛,冯杰.舆论监督、政府监管与企业环境信息披露[J].会计研究,2012,33(2):72-78,97.
[8] 杨道广,陈汉文,刘启亮.媒体压力与企业创新[J].经济研究,2017,52(8):125-139.
[9] 孔东民,徐茗丽,黄京.环境污染、媒体曝光与不同类型的投资者反应[J].华中科技大学学报(社会科学版),2013,27(2):82-89.
[10] SAHA S, MOHR D R.Media attention and the toxics release inventory[J].Ecological Economics,2013,93:284-291.
[11] JIA M, TONG L, VISWANATH P V, et al.Word power:the impact of negative media coverage on disciplining corporate pollution[J].Journal of Business Ethics,2016, 138(3):437-458.
[12] 李培功,沈艺峰.媒体的公司治理作用:中国的经验证据[J].经济研究,2010,56(4):14-27.
[13] 刘德智,杨琨.新闻媒体环保监督视角下环境污染治理演化博弈[J].中国环境管理,2019,11(5):127-134.
[14] 王云,李延喜,马壮,等.媒体关注、环境规制与企业环保投资[J].南开管理评论,2017,20(6):83-94.
[15] 胡宗义,李毅.环境信息披露的污染减排效应评估[J].统计研究,2020,37(4):59-74.
[16] 王波,吴倩,叶勇.媒体关注、市场化进程与企业社会责任履行——基于中国A股上市公司经验证据[J].现代经济探讨,2017,36(7):30-36.
[17] ZINGALES L.The corporate governance role of the media[J].Access and Download Statistics,2002, 63(3) :1093-1135.
[18] 潘爱玲,刘昕,邱金龙,等.媒体压力下的绿色并购能否促使重污染企业实现实质性转型[J].中国工业经济,2019,36(2):174-192.
[19] 顾正娣.环境规制对企业绿色技术创新影响研究[D].南京:东南大学,2016:26-29.
[20] 齐绍洲,林屾,崔静波.环境权益交易市场能否诱发绿色创新——基于我国上市公司绿色专利数据的证据[J].经济研究,2018,53(12):129-143.
[21] 何贤杰,肖土盛,陈信元.企业社会责任信息披露与公司融资约束[J].财经研究,2012,38(8):60-71,83.
[22] 葛涛,李金叶,马莉.环境规制、融资约束与中国企业出口绿色技术含量[J].现代财经(天津财经大学学报),2018,38(12):96-109.
[23] GUARIGLIA A, LIU P.To what extent do financing constraints affect Chinese firms′ innovation activities[J].International Review of Financial Analysis,2014, 36:223-240.
[24] ZHANG D Y, DU W C, ZHUGE L Q, et al.Do financial constraints curb firms′ efforts to control pollution? evidence from Chinese manufacturing firms[J].Journal of Cleaner Production,2019,215:1052-1058.
[25] 杨国忠,席雨婷.企业绿色技术创新活动的融资约束实证研究[J].工业技术经济,2019,38(11):70-76.
[26] 严若森,钱晶晶,祁浩.公司治理水平、媒体关注与企业税收激进[J].经济管理,2018,40(7):20-38.
[27] 贾兴平,刘益.外部环境、内部资源与企业社会责任[J].南开管理评论,2014, 17(6):13-18,52.
[28] 仲秋雁,石晓峰.媒体关注、产权性质与上市公司融资约束——基于Heckman两阶段模型的实证检验[J].商业经济与管理,2016,36(8):87-97.
[29] 黄珺,李云,段志鑫.媒体关注、产权性质与企业精准扶贫[J].华东经济管理,2020,34(6):112-120.
[30] CLARKSON P M, LI Y, RICHARDSON G D, et al.Revisiting the relation between environmental performance and environmental disclosure: an empirical analysis[J].Accounting Organizations and Society,2008,33(4-5):303-327.
[31] HADLOCK J C, PIERCE R J.New evidence on measuring financial constraints:moving beyond the KZ index[J].The Review of Financial Studies,2010,23(5):1909-1940.
[32] 王旭,褚旭.基于企业规模门槛效应的外部融资对绿色创新影响研究[J].系统工程理论与实践,2019,39(8):2027-2037.