技术创新是高新技术企业的立足之本,也是影响其营业收入和长远发展的主要因素。我国高新技术产业开发区从以前的外延式规模扩张,逐步进入到以创新为主的内涵式“二次创业”发展阶段,取得了良好的经济效益。2016年,我国高新技术企业数量达到30 798家,主营业收入达到15.38万亿元,比上年同期增长10.8%,明显快于其它产业。但园区中各企业技术水平参差不齐,中小型高新技术企业28 938家,占全国高新技术企业总数的94%。企业提高技术水平和创新能力的途径主要有两种:一是通过投入研发经费和人员,采用自主创新方式提高企业知识存量和技术水平;二是通过知识溢出吸收其它企业创新知识。但是,对于大多数中小型高新技术企业而言,由于其资金少、研发人员缺乏,创新力量较为薄弱且创新成功率低下,难以完全通过自主创新实现对技术先进企业的技术追赶。与此同时,我国高新技术企业大部分位于高新技术产业开发区(或科技园区)等空间距离较为集中的区域,形成了一定规模的产业集群。相近或相同行业高新技术企业大量聚集,为企业间的技术和知识流动提供了便利,也为技术落后企业从高新技术企业集群中获取溢出知识,从而实现技术追赶创造了条件。本文中的技术落后企业是一个相对概念,是指在产业集群中知识存量和技术水平相对较低的企业。研究高新技术产业集群中知识溢出对技术追赶的影响,将为提高我国高新技术产业开发区整体技术水平提供科学指导和合理可行的政策建议。
最早关于技术追赶的研究主要以国家或区域为研究对象。19世纪60年代,Bronfenbrenner&Gerschenkron[1]研究了俄罗斯、德国、英国等国家在欧洲工业化过程中出现的落后国家实现技术追赶现象,提出后发优势学说。20世纪以后,由于亚洲经济体崛起,如日本、韩国、新加坡、中国,对后发国家或地区技术追赶研究转移到亚洲各新兴工业化国家[2]。Ohkawa&Rosovsky对国家之间的知识溢出和技术扩散进行了研究,提出社会能力概念,用以解释后发国家实现技术进步,缩小与先进国家之间技术差距的机制。也有学者从外商直接投资(FDI)、进口贸易、人力资本流动等角度,研究了国家之间实现技术追赶的途径[3-5]。
关于产业或企业层面的技术追赶研究,始于20世纪80年代。这一层面的研究主要以新兴工业国家或地区为背景,研究这些国家或地区的后发企业或产业如何克服其竞争劣势,实现技术追赶的问题[6]。一些学者认为,技术能力、学习能力,以及知识溢出、转移和扩散是后发企业实现技术追赶的重要影响因素[7]。产业集群的存在为企业之间知识、技术溢出或扩散提供了便利和基础,使得企业之间更加容易获得知识溢出。因此,从20世纪90年代开始,一些学者以产业集群为背景研究了知识溢出及其相关影响因素对企业技术创新和技术追赶的影响。
(1)产业集群中知识溢出对技术创新的影响。技术创新是技术落后企业实现追赶的重要途径,而知识溢出又在很大程度上影响企业与集群的创新积极性和创新能力,因此,知识溢出对技术创新的影响成为该领域的研究热点。Freeman提出,知识溢出效应有利于集群创新网络发展和集群经济增长,也能够促进集群创新产出,但由于知识或技术主要由知识源溢出或扩散到知识受体,而且知识溢出的获取成本较低,因此对于作为知识源的企业而言,过多的知识溢出反而会抑制技术先进企业技术创新积极性[8]。对于产业集群中技术相对落后的企业而言,知识溢出对提升其知识存量和技术创新水平有正向影响[9]。产业集群整体创新水平则有赖于技术落后企业的创新能力提高,知识溢出强度较低不利于企业的技术追赶,但过高的知识溢出强度也会抑制其技术创新水平提高[10,11]。学者们普遍认为,知识溢出会提高集群整体知识存量,能够降低企业创新成本和风险,激发集群创新活动,从而促进集群整体创新水平提升[12,13]。
(2)产业集群中知识溢出对技术追赶的影响。Krugman[14]认为,产业集群对技术进步和创新具有积极作用,知识溢出是集群经济优势的主要来源。产业集群为后发企业的技术追赶提供了便利条件和基础,知识溢出成为影响后发企业技术创新和技术追赶的主要因素之一[15]。技术差距是技术追赶和知识溢出产生的最根本原因,一些学者认为,技术差距越大,知识溢出或扩散效应越明显,落后企业的后发优势也越明显。但还有一些学者认为,技术差距并非越大越好,当技术差距过大时,由于落后企业难以消化或理解来自先进企业的知识或技术,使得技术追赶更加难以实现[16,17]。由于缄默知识的存在,如企业管理经验、操作技巧,以及一些难以用语言和文字表达的缄默知识或技术,使得空间地理距离成为制约企业间知识溢出和学习的重要因素,也使得知识溢出更容易在产业集聚程度较高的区域发生。在产业集群中,地理空间邻近使得集群中科研人员的流动、产品交易,以及合作创新更加容易,后发企业更加容易实现技术追赶。一些学者从知识受体的角度分别研究了技术差距、地理距离、吸收能力与知识溢出和技术追赶之间的关系。Cohen&Levinthal[18]研究了后发企业创新过程中,知识吸收和学习能力对后发企业技术追赶的影响;李燃等[19]从实证角度分析了我国企业家创业活动中地理距离和经济距离对创业知识溢出的影响。
综上可知,技术追赶研究主要侧重于新兴国家或地区企业实现技术追赶的影响因素、追赶途径,较少以产业集群为背景,研究后发企业技术追赶问题。产业集群中知识溢出对企业技术追赶影响的研究,缺乏知识溢出及其影响因素对技术创新以及技术落后企业技术追赶的系统分析。本文在研究知识溢出及其相关影响因素相关关系的基础上,结合我国高新技术产业开发区特点,修正了知识溢出模型,系统研究知识溢出及其影响因素与技术创新和技术追赶之间的关系。
从知识溢出相关文献和资料看,对知识溢出定量化模型的研究主要集中在新经济增长理论和新经济地理理论方面。大多数模型主要研究知识存量、知识溢出(或扩散)以及知识载体——人力资源对经济增长的影响,如Arrow的“干中学”模型、Romer的知识溢出模型、Locus的人力资源模型、Grossman的R&D模型。Verspagen&Cani⊇ls的知识溢出模型则从微观角度分析知识溢出的影响因素及其对技术追赶的影响。Bart Verspagen[20]将知识溢出分为潜在知识溢出和实际知识溢出,并认为知识源和知识受体之间的知识存量差距是知识溢出产生的根本原因,但知识存量差距与知识溢出之间并非是单纯的正相关或负相关关系。当知识存量差距较小时,知识溢出更容易发生,但在知识存量差距超过知识受体所能理解的程度时,知识溢出达到最大值,并随着知识存量差距增大,知识溢出反而减少,即知识存量差距影响下的知识溢出函数呈倒“U”形分布。也就是说,知识存量差距以及知识受体的学习能力决定了知识溢出的最大值,即潜在知识溢出,而实际知识溢出则是在各种外部因素影响下实际发生的知识溢出。由此,Verspagen[20]提出如下知识溢出模型:
(1)
其中,S为知识源和知识受体实际知识溢出,α(0≤α≤1)为潜在知识溢出系数,G为知识存量差距;δ为知识受体的学习能力。Cani⊇ls[16]在该模型的基础上,将知识存量差距和学习能力作为知识溢出的内生变量,并结合AK模型,引入空间距离以及技术追赶因素,对其进行修正,提出了知识溢出影响因素模型。
(2)
其中,
表示知识源和知识受体i和j之间的知识存量差距,Ki和Kj表示知识源和知识受体i和ji≠j的知识存量,Si为知识受体i接受的实际知识溢出,δi为知识受体i的学习能力;rij为知识源和知识受体i和j之间地理空间距离,且rij∈1,+
,ui为技术追赶系数。式(2)中,潜在知识溢出为
潜在知识溢出系数
即
(3)
在Verspagen&Cani⊇ls的知识溢出模型中,对于潜在知识溢出与知识存量差距、学习能力关系的分析也适用于产业集群中两个企业之间的潜在知识溢出。因此,本文不对潜在知识溢出
进行修正。但是,产业集群是一种特殊的经济体,两个企业之间实际知识溢出的外部影响因素则需要根据产业集群特点进行修正。
(1)对空间地理距离的修正。由于我国高新技术产业开发区或者科技园区的面积相对较小,企业密度非常高,企业之间的地理空间距离相对较近。在当前信息技术下,地理空间距离对知识溢出的影响可以忽略不计,因此不再纳入模型考虑。由于Cani⊇ls在其知识溢出影响因素模型中令 1≤rij<+
,因此,将空间地理距离rij的取值设定为最小值1。
(2)引入行业距离。虽然Teece等认为,知识专业性是影响知识受体吸收或学习知识溢出的主要影响因素之一,但是在国家或城市等区域宏观层面的知识溢出影响因素研究中,区域作为一个整体,可以接受或吸收来自另一个区域的各种知识。因此,以往内生增长理论或新经济地理理论很少考虑知识的行业特点。但是在企业微观层面,知识溢出不得不考虑知识的专业性,即不同行业的专业知识难以通用的问题。我国高新技术产业集群中往往包含不同行业的高新技术企业,如机械制造、生物制药、电子信息等。虽然同属于高新技术企业,有一些知识具有通用性,如管理经验等,但大多数专业知识难以被吸收并转化为经济价值。因此,企业之间行业距离成为企业获得知识溢出主要影响因素之一。由此,需要考虑企业之间的行业距离。设企业i和j之间的行业距离为dij,其中,企业i为知识受体。由于行业距离作为外部因素只会影响两个企业之间的实际知识溢出,即影响潜在知识溢出系数。因此,随着行业距离dij增加,潜在知识溢出系数αdij 将减少,当dij→+
即αdij→0;反之,当行业距离缩小,直到两个企业都属于同一行业时,dij=1,αdij=1,即两个企业间的知识溢出不再受行业距离的影响,即αdij∈0,1。
(3)引入企业间信任度。在高新技术产业集群中,由于企业相对集中,企业之间比较熟悉,而且大多数企业规模相对较小,生产能力和抗风险能力相对较弱,容易形成长期稳定的合作关系。这种合作关系很多是因为相互信任而得以延续,知识或技术也因为这种信任关系得以快速传播。这种现象在国内外产业集群中普遍存在,并且将极大地影响企业之间的知识溢出[21]。
设企业i和j之间的信任度为bij。同理,由于信任度是外部影响因素,不会影响潜在知识溢出,只对潜在知识溢出系数α产生影响。因此,无论信任度如何变化,也不会使得两个企业间的知识存量差距、知识受体学习能力发生变化。当信任度降低时,最坏的情况也只是双方不发生任何知识溢出,不会产生负值,即bij的最小值为0,且αbij=0;当信任度提升时,也只是使得实际知识溢出等于潜在知识溢出。因此,bij的最大值为1,且αbij=1,即bij∈0,1,即αbij∈0,1。
综合式(2)和(3)可知,产业集群中,潜在知识溢出系数α受两个企业之间行业距离dij和信任度bij的影响,且α与dij成反比,与bij成正比,即:
(4)
其中,λ和ε为常量。由于潜在知识溢出系数α∈0,1,因此,当bij=0或dij→+
,αdij,bij=0,则ε=0;当bij=1且dij=1时,αdij,bij=1,则λ=1。将ε=0,λ=1代入(4)式中可得:
(5)
结合式(3)和(5)可知,实际知识溢出为:
(6)
即:
(7)
知识溢出Si与两个企业之间的知识存量差距Gij的函数分布如图1所示。从图1可以看出,当知识存量差距为0时,Si不为0。这是因为当知识存量差距为0时,两个企业之间仍然有可能因为知识结构差异而产生知识溢出。纵轴左边知识溢出曲线与横轴之间的区域为企业i对企业j的知识溢出,纵轴右边则是企业j对i的知识溢出。
图1 产业集群知识溢出曲线
将式(7)扩展到产业集群中有N个企业的情况,则企业i获得的知识溢出为:
(8)
其中,Si为企业i接受的实际知识溢出,
表示企业i和j之间的知识存量差距,Ki、Kj表示企业i和ji≠j的知识存量,δi为企业i的学习能力,ui为技术追赶系数,dij为企业i和j之间的行业距离,且γij∈1,+
,bij为企业i和j之间的信任度。
由于知识具有差异性,技术落后企业不仅获得知识溢出,同时也会溢出知识给其它企业,技术先进企业同样如此。纯知识溢出是指企业获得知识溢出与溢出知识之间的差值。总体而言,技术落后企业获得的知识溢出要比其溢出的知识多,因此,其纯知识溢出主要表现为吸收知识溢出;技术先进企业溢出的知识比其获得的知识多,因此,其纯知识溢出表现为溢出知识。
企业知识存量增长主要来自于自主创新和获得知识溢出。设企业i为技术落后企业,企业j为技术先进企业,两企业的知识存量分别为Ki、Kj,Δt时间内的知识存量增量分别为ΔKi、ΔKj,自主创新知识增长分别为φi、φj,知识溢出分别为Si、Sj,则
(9)
(10)
由于
对其求导并结合式(9)、(10)可得:
(11)
由于企业i为技术落后企业,企业j为技术先进企业,则企业j的自主创新知识增长φj大于企业i的自主创新知识增长φi,即φj-φi>0。企业i为技术落后企业,其获得的知识溢出要大于企业j,则Si-Sj>0。本文只考虑两个企业的纯知识溢出,而且企业i为技术落后企业,由此可知,企业i和j的纯知识溢出与知识存量差距Gij之间的关系如图2所示。
当两个企业间的知识存量差距
即φj-φi=Si-Sj时,技术落后企业i所获得的纯知识溢出刚好弥补其在自主创新上的不足,两个企业间的知识存量差距不再扩大。
若φj-φi位于纯知识溢出曲线Si-Sj上方(如图2中φ1j-φ1i曲线所示位置),或相交于纯知识溢出曲线的顶点(由于φj-φi>0,不可能位于横轴下方),即φj-φi≥maxSi-Sj,说明企业i获得的纯知识溢出无法弥补其与技术先进企业j在自主创新知识增长上的差距,将无法实现技术追赶。这种情况往往发生在产业集群建立初期,由于部分技术先进企业的自主创新能力很强,而技术落后企业的技术创新水平较低,并且产业集群中也没有构建良好的人员流动、合作共享平台,知识溢出效应较弱。因此,技术落后企业与技术先进企业之间的差距较大,一些企业无法跟上产业集群的创新水平而被淘汰出局。这也从一方面解释了为什么高新技术企业园区建立初期,往往有大量中小企业退出或倒闭。
若φj-φi与纯知识溢出曲线Si-Sj相交于E1和E2两点,如图2所示。在E1点下方,由于Si-Sj<φj-φi,因此技术落后企业i获得的知识溢出无法弥补两个企业在自主创新知识增长上的差距,知识存量差距Gij继续增大,即Gij的取值将从原点移向Gl,纯知识溢出曲线将从原点向E1点移动。在E1和E2点之间,由于Si-Sj>φj-φi,技术落后企业获得的纯知识溢出超过了企业j相对于企业i在自主创新知识增长上的增量,因此知识存量差距Gij将逐渐缩小,即Gij的取值将从Gr移向Gl,纯知识溢出曲线将从E2移向E1,实现技术追赶。在E2点下方,由于Si-Sj<φj-φi,且由于两个企业间的知识存量差距过大,企业i无法完全理解和吸收来自企业j的知识溢出,因此Gij将继续增大,从Gr点持续往右移动,知识溢出曲线将从E2点往右下方移动,两个企业之间的知识溢出将会越来越小。综上可知,E1是稳定均衡点,E2为非稳定均衡点。由此可知,当知识存量差距0<Gij≤Gr,即两个企业间的知识存量差距在一定范围内时,这一范围由高新技术产业园区知识溢出强度以及企业之间创新能力差距决定,技术落后企业能实现对技术先进企业的追赶;当Gij>Gr时,由于知识存量差距过大,企业无法理解来自技术先进企业的知识溢出,从而被产业集群所淘汰。这一现象主要发生在高新技术产业园区或科技园区较为成熟的阶段,产业集聚或产业集群基本形成,并且具有利于人员流动、相互合作、信息共享的知识溢出环境,大部分企业能跟上整个集群的创新水平,但仍然有小部分企业因知识存量差距过大,无法吸收或消化集群创新知识而被淘汰。
在高新技术产业集群中营造良好的知识溢出环境是帮助大部分技术落后企业实现技术追赶的有效途径。但同时,提高技术落后企业的自主创新能力也是有效方式之一,反映到图2中则是φj-φi曲线下移到φ2j-φ2i所示位置。由图2可以看出,E1′和E2′差距变大,即技术落后企业可以在更大的知识存量差距范围内实现对技术先进企业的追赶。
(1)学习能力对技术追赶的影响。学习能力不仅是知识溢出的内在影响因素,而且是企业创新能力的影响因素之一。因此,学习能力不仅会影响纯知识溢出曲线Si-Sj的位置,而且会影响φj-φi曲线的位置。若企业i的学习能力增强,则企业创新能力将得到提升,即φj-φi曲线位置将下降。同时,由于学习能力增强,两个企业之间的知识溢出将增加,即纯知识溢出曲线同时向右和向上扩展,落后企业可以在更大的知识存量差距范围内实现技术追赶。
(2)行业距离对技术追赶的影响。由于行业距离的存在,在知识专业性和复杂性的影响下,相同知识存量差距下,随着行业距离加大,知识溢出将会减少,纯知识溢出曲线跨度将变窄,而且在较小的知识存量差距下,知识溢出将会达到极值,也就是说,极值将会变小;反之,纯知识溢出曲线跨度和极值都将变大。因此,在两个企业创新能力差距φj-φi不变的情况下,随着行业距离增大,落后企业实现技术追赶的知识存量差距范围将缩小;反之,落后企业将在更大的知识存量范围内实现技术追赶。
图2 两个企业间的纯知识溢出与知识存量差距的函数关系
(3)信任度对技术追赶的影响。信任度的变化对纯知识溢出的影响与行业距离类似,但方向相反。当企业间的信任度提升时,企业之间将通过合作、贸易、技术交流等方式实现知识溢出。因此,当信任度提升时,相同知识存量差距下,知识溢出将会增加,即纯知识溢出曲线跨度将增大,极值将增加;反之,纯知识溢出曲线跨度和极值都将变小。因此,在两个企业创新能力差距φj-φi不变的情况下,随着信任度提升,落后企业将在较大的知识存量差距范围内实现技术追赶;反之,落后企业实现技术追赶的知识存量差距将缩小。
中关村科技园区是1988年国务院批准的第一批国家级高新技术产业园区。2016年底,中关村科技园区工业总产值4.6万亿元,科技活动人员65.7万余人,企业19 869家。其中,国家级高新技术企业6 150余家。经过近30年发展,中关村科技园区已进入“二次创业”阶段,形成了以电子信息、新能源、生物制药、新材料和先进制造等为主的产业集群,在全国147家国家级高新技术产业开发区中综合发展指数排名前列。因此,本文选择中关村科技园区作为典型样本进行实证分析。数据来源于《中国高技术产业统计年鉴(2011-2017)》、中关村科技园区管委会官方网站资料和数据。
4.2.1 知识存量测算
由于知识存量测算难度很大,国际上至今没有得到广泛承认的方法。国内外一些机构主要通过构建指标体系的方法对国家、区域或组织的知识存量和创新能力进行测评,例如经济合作与发展组织的Science,Technology and Industry Scoreboard(STIS)、联合国教科文组织的Manual for Statistics on Scientific and Technological Activities(MSSTA)、瑞士洛桑国际管理开发研究院的World Competitiveness Yearbook(WCY)、欧盟与联合研究中心的European Innovation Scoreboard(EIS)等。
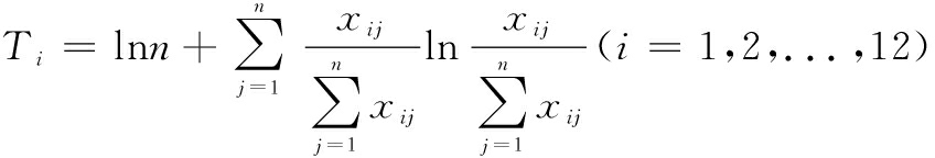
因此,本文根据OECD等机构对创新知识的测算方法,采用投入产出法对知识存量进行测度,即将指标分为创新投入指标、创新环境指标及创新产出指标。创新投入指标反映了企业创新活动强度,包括R&D投入、科技活动经费支出、新产品开发经费投入、技术改造经费支出等指标;创新环境指标主要反映人作为知识载体所拥有的知识存量,包括科技活动人员数量、科技活动人员全时当量、从业人员中级职称及以上人员数量、从业人员大学及以上人员数量;创新产出指标主要反映企业的知识或技术增量,包括技术开发收入、技术转让收入、专利授权数、发表科技论文数量、新产品产值等,如表1所示。
表1 知识存量测度指标体系
一级指标二级指标指标来源与出处*创新投入R&D投入STIS/WCY/EIS/MSSTA科技活动经费支出STIS/WCY/ EIS新产品开发经费支出EIS/ MSTI创新环境科技活动人员数量STIS/WCY/ EIS科技活动人员全时当量STIS/WCY/EIS/MSSTA从业人员中级及以上职称人员STIS/WCY/EIS从业人员大学及以上学历人员STIS/WCY/EIS创新产出技术开发收入STIS/EIS /MSSTA技术转让收入STIS/WCY/EIS/MSSTA专利授权数STIS/EIS/MSSTA发表科技论文STIS/WCY新产品产值WCY/EIS
注:*表格中的缩写分别表示:Science,Technology and Industry Scoreboard(STIS)、Manual for Statistics on Scientific and Technological Activities(MSSTA)、World Competitiveness Yearbook(WCY)、European Innovation Scoreboard(EIS)
为了降低权重设置的主观性,本文采用Theil熵指数计算指标权重。设系统中有n个样本,每个样本有12个指标(如表1所示),则系统特征矢量矩阵为:
(12)
其中,xij表示第j个样本的第i个指标特征值。引入Theil指数:
(13)
其中,
为n个样本的均值,则第i项指数的Theil指数为:
(14)
第i项指标权重为:
(15)
两个企业h、k之间的知识存量差距Ghk为:
(16)
由于无法获得单个企业数据,本文选择中关村科技园区的3个企业规模最大的主导行业:电子信息、先进制造、生物制药(以下简称三大行业)作为产业集群,分别测算三大行业中,规模以上企业(主营业收入在2 000万元及以上的企业)和规模以下企业(主营业收入在2 000万以下的企业)之间的平均知识存量差距。
首先,将2011-2016年中关村科技园区三大行业的各指标数据按年份整理成18*12的矩阵,无量纲化后代入式(12),并利用式(13)-(15)求出指标权重,如表2所示。
表2 中关村科技园区知识存量评价指标熵权
指标名称熵权R&D投入0.102 8 科技活动经费支出0.070 2 新产品开发经费支出0.058 0 科技活动人员数量0.079 5 科技活动人员全时当量0.103 9 从业人员中级及以上职称人员0.063 5 从业人员大学及以上学历人员0.053 0 技术开发收入0.110 8 技术转让收入0.060 0 专利授权数0.119 2 发表科技论文0.108 0 新产品产值0.071 1
4.2.2 学习能力、行业距离与信任度测算
根据“干中学”理论,企业学习能力可以通过知识学习转化能力体现。因此,用创新知识投入产出效益进行替代,即创新产出/(创新投入+创新产出),则学习能力可表示为:
(17)
由于同行业企业之间不存在行业距离,而不同行业之间虽然其专业知识无法共享,但大部分通用知识、管理经验等仍然可以被其它行业企业吸收和利用,行业距离产生的主要因素是企业专业技术。因此,用中关村科技园区非本行业的专利拥有数以及该行业企业数量进行核算。中关村科技园区包括电子信息、生物制药、新材料、先进制造、航空航天、农业技术、新能源、环境保护、海洋工程、核技术等10个行业。因此,企业i在集群中与其它企业的行业距离di为:
(18)
其中,nj为第j行业的企业数,zj为第j行业的专利授权数。ni和zi分别为企业i所在行业i的企业数量和专利拥有数。
企业之间信任度则用园区内企业之间商贸往来的密切程度进行核算,即园区内企业之间的贸易额占企业总贸易额的比重。技术追赶系数取决于企业追赶意愿,以及对技术跟踪和模仿的程度,其数据无法通过公开资料获得。其取值只对知识溢出曲线在横轴上的平移有影响,对后文分析没有影响,因而对三大行业技术追赶系数本文统一设定为0.5的中间数值。
4.3.1 知识溢出测算
将中关村科技园区三大行业相关数据代入式(12)-(18)并结合(8)式可得三大行业2011-2016年知识溢出强度,如表3所示。从表3可知,中关村科技园区三大行业知识溢出保持在一个较低的水平。电子信息行业的知识溢出明显高于其它两个行业,如图3所示。
表3 2011—2016年中关村科技园区三大行业知识溢出强度
行业201120122013201420152016电子信息业0.243 9 0.278 7 0.269 0 0.269 9 0.293 8 0.304 5 先进制造业0.146 4 0.115 8 0.116 6 0.162 4 0.154 6 0.201 0 生物制药业0.079 9 0.065 1 0.087 8 0.075 9 0.134 6 0.132 9
图3 2011—2016年中关村科技园区三大行业知识溢出
4.3.2 知识存量差距对技术追赶的影响结果
从图4可以看出,三大行业知识存量差距的变化趋势有较大不同。电子信息业是中关村科技园区规模最大的行业,该行业企业数占园区企业总数的58.6%,同时也是发展历史最长的行业,早已形成了集聚规模。从图3可以看出,该行业的知识溢出水平远高于其它行业,说明中关村科技园区的电子信息业发展已非常成熟,企业之间的知识存量差距总体呈锯齿状振荡分布,其均值为0.536 3。知识溢出强度也随知识存量差距变化呈振荡状态,反映出电子信息业知识存量差距处于较为合理的区间,知识存量差距在均衡点周边波动。
先进制造业也是中关村科技园区发展历史比较长的行业,但企业数量仅占园区企业总数的11.5%,企业规模和技术水平差距较大。从图4可以看出,该行业知识存量差距水平远高于其它两个行业,且有逐年增大趋势。这说明该行业知识存量差距过大,部分企业无法吸收和学习来自技术先进企业的溢出知识,与其差距越来越大,无法实现技术追赶。因此,先进制造业的知识存量差距不仅不会收敛,反而有增大趋势,而且其知识溢出强度一直处于较低水平。
生物制药业的知识存量差距走势与电子信息业较为类似,但该行业主要由于知识专业性更强,知识保护力度很大,知识溢出一直处于较低水平。
图4 三大行业知识存量差距及其变化趋势
4.3.3 知识溢出各影响因素对技术追赶的影响结果
(1)学习能力对技术追赶的影响。学习能力对企业技术追赶的影响是双重的,因此学习能力提升不仅会增强企业创新能力,也会增加企业之间的知识溢出。从图5可以看出,由于学习能力不同,三大行业规模以下企业技术收入差距非常显著。电子信息业规模以下企业技术收入增长趋势明显,对规模以上企业技术追赶明显,说明大多数规模以下企业能够通过较高的学习能力实现技术追赶,缩小与先进企业的差距。先进制造业规模以下企业技术收入水平低下,且呈轻微下降趋势,说明由于技术落后企业无法实现技术追赶而逐步被淘汰。生物制药业的情况与之类似,如图5所示。
图5 三大行业规模以下企业技术收入(亿元)
对比表4中关村科技园区三大行业的学习能力与图3中知识溢出可知,三大行业学习能力最强的为电子信息业,其次是先进制造业,第三为生物制药业。同时,三大行业的知识溢出强度排名也是如此,说明学习能力越强,其知识溢出强度越大。
表4 中关村科技园区三大行业的企业学习能力
201120122013201420152016电子信息业0.7540.7130.7340.7130.6530.723先进制造业0.5690.5260.6380.5260.5570.652生物制药业0.4640.3450.3760.4240.3470.344
(2)行业距离对技术追赶的影响。行业距离对技术追赶的影响主要在于技术落后企业获得来自相邻或非相关行业知识溢出的可能性。从表5可以看出,电子信息业的平均行业距离比其它两个行业都小,而其它两个行业的行业距离相对较大。电子信息业企业获得知识溢出的可能性比其它两个行业更大,因此电子信息业的知识溢出水平较高,该行业的落后企业更容易实现技术追赶,其知识存量差距水平总体在缩小。先进制造业和生物制药业则由于行业距离较大,难以从其它行业获得知识溢出,上述行业的落户企业实现技术追赶的可能性较小。
表5 2011—2016年三大行业在中关村科技园区的平均行业距离
行业201120122013201420152016电子信息业1.915 4 1.660 1 1.803 2 1.840 5 1.713 7 1.841 8 先进制造业3.038 3 3.403 7 3.338 3 3.556 2 3.518 3 3.470 6 生物制药业3.156 2 3.799 0 3.900 5 3.998 2 3.789 5 3.541 9
(3)信任度对技术追赶的影响。从表6可以看出,电子信息业的信任度略高于其它两个行业,贸易往来更加频繁,人员交往、合作等机会增多,企业之间的合作创新增多,如行业内专利共同申请数、论文发展共同署名情况也比其它企业多。这些都为技术落后企业进行技术跟随和追赶创造了条件。先进制造业和生物制药业的内部贸易往来以及合作交流明显少于电子信息业,成为行业内知识存量差距逐渐增大、知识溢出水平降低的原因之一。
表6 2010—2016年中关村科技园区三大行业企业信任度
行业201120122013201420152016电子信息业0.6030.6490.6520.6960.7540.772先进制造业0.4270.3890.4150.4560.4610.572生物制药业0.3450.3530.4860.4210.4360.381
本文通过构建高新技术产业集群知识溢出模型,分析学习能力、行业距离、信任度以及知识存量差距对知识溢出的影响。在此基础上,分析知识溢出和企业自主创新共同作用下,技术落后企业实现技术追赶的均衡条件和影响因素,得出以下结论:
(1)以Verspagen&Cani⊇ls的知识溢出模型为基础,结合高新技术产业集群特点,对模型中的地理距离进行修正,并通过数理分析方法,将行业距离、信任度引入模型,构建了高新技术产业集群知识溢出模型。
(2)企业知识存量水平提高主要依靠自主创新和吸收知识溢出两个途径。本文通过纯知识溢出均衡分析,探讨技术落后企业在自主创新能力和知识溢出双重影响下的技术追赶条件。结果发现,当技术落后企业所获得的纯知识溢出刚好弥补其在自主创新上的不足时,两个企业间的知识存量差距不再扩大;当技术落后企业所获得的知识溢出无法弥补其在自主创新能力上与技术先进企业的差距时,技术落后企业会因与技术先进企业的知识存量差距越来越大而无法实现技术追赶;当技术落后企业与技术先进企业的自主创新水平差距没有超过两个企业间的纯知识溢出极值时,两个企业间的知识存量差距将存在一个均衡点,即两个企业间的知识存量差距在一定范围内,两个企业间的知识存量差距将在均衡点附近波动,当超过这一范围时,技术落后企业无法理解来自技术先进企业的知识溢出,知识存量差距将越来越大,从而被产业集群所淘汰。
(3)企业学习能力对技术追赶的影响是双重的,不仅影响知识溢出,而且影响企业创新能力。随着技术落后企业学习能力提高,其实现技术追赶的知识存量差距越来越大。因此,提高学习能力是实现技术追赶最有效的方式。行业内企业更容易通过同行业或相近行业的知识溢出实现技术追赶,而由于信任度所产生的知识溢出效果是跨行业的,因此,可以通过提高信任度的方式实现跨行业技术追赶。
(1)合理促进集群知识溢出与共享。知识溢出是产业集群形成的主要原因之一,以知识密集、高新技术为特点的高新技术产业集群更是如此。但知识溢出强度并非越大越好,知识溢出强度太小,企业之间相互独立,无法产生创新簇群效益;知识溢出强度太大,企业将丧失创新积极性,集群总体创新水平将下降或停滞。因此,需要控制知识溢出强度,为集群企业进行知识、技术和信息共享创造良好的条件。对知识溢出强度小的企业集群,需要促进知识溢出。例如,人是知识和技术的载体,通过制定合理的人才流动政策,鼓励和促进人才在集群中流动;建立企业集群技术交流平台,为企业之间信息和技术交流创造条件;鼓励企业之间,尤其是中小企业以合作创新的方式共同创新、共享设备和技术等。对于知识溢出强度过大的企业集群,需要对其进行抑制,必须通过法律和强制手段加强知识产权保护,防止过多的知识溢出挫伤企业创新积极性。
(2)提高技术落后企业学习能力。学习能力对企业知识存量水平提高的作用是双重的。企业学习能力提高,不仅能增强自身自主创新能力,而且对其获取其它企业的知识溢出有较为显著的促进作用。因此,可以通过提高技术落后企业学习能力,更快地实现对技术先进企业的追赶。由于企业学习能力与企业知识存量水平密切相关,因此可以采取提高企业知识存量水平的措施。首先,通过鼓励高校和科研院所与企业进行合作,提高企业专业技术水平;其次,通过与技术先进企业进行技术合作或者引进技术,直接提高企业知识存量水平;最后,通过人才引进等方式提高企业创新能力等。
(3)缩小集群内行业距离,提高产业集群集聚水平。由于知识的专业性和复杂性,当行业距离过大时,将极大地影响集群中知识溢出和共享。因此,应有目的地缩短集群行业距离,提高我国高新技术产业开发区中产业集群的集聚度,为企业技术追赶提供便利的条件。同时,我国高新技术产业开发区应该应当结合当地资源禀赋、人才支撑,以及现有产业基础,选择2~3个重点培养行业及3~5个相关行业。根据这些重点和相关行业发展规划,从行业上下游纵向发展以及关联行业横向发展两个方面,引进和培育技术先进企业与龙头企业,提高企业集聚水平,最大限度地使企业之间能共享创新知识和技术。
(4)促进企业相互交流和合作,提高企业信任度。在产业集群中,相互信任是集群形成的重要特点,但随着高新技术产业开发区规模扩大,入驻企业数量增多,企业之间变得越来越陌生,难以产生良好的知识共享和技术簇群效应。首先,应当通过企业信息公开平台,提高企业经营和交易的透明度,增进相互了解;其次,利用信息技术构建企业信息沟通平台,特别是为企业领导者或管理层提供交流机会和合作平台;最后,通过公布企业违约违法信息,提高企业违约成本,最终达到提高企业信任度的目的。
[1] BRONFENBRENNER M,GERSCHENKRON A.Economic backwardness in historical perspective[J].Journal of Politics,1962,18(2):415-417.
[2] CHOI H.On Linsu Kim's imitation to innovation: the dynamics of Korea's technological learning[J].East Asian Science Technology & Society,2007,1(2):259-261.
[3] BRODA C M,WEINSTEIN D E.Globalization and the gains from variety[J].Quarterly Journal of Economics,2006,121(2):541-585.
[4] BREINLICH H,CRISCUOLO C.International trade in services: a portrait of importers and exporters[J].Journal of International Economics,2011,84(2):188-206.
[5] 李俊江,孟勐.技术前沿、技术追赶与经济赶超——从美国、日本两种典型后发增长模式谈起[J].华东经济管理,2017,31(1):5-12+2.
[6] HOBDAY M.Innovation in East Asia: the challenge to Japan[M].Cheltenham: Edward Elgar,1995.
[7] 徐雨森,徐娜娜,逯垚迪.“综合优势”后发企业快速国际化关键影响因素研究[J].科学学与科学技术管理,2014,35(6):128-136.
[8] HERVAS-OLIVER J L,LLEO M,CERVELLO R.The dynamics of cluster entrepreneurship: knowledge legacy from parents or agglomeration effects? the case of the castellon ceramic tile district[J].Research Policy,2017,46(1):73-92.
[9] MARYANN P F.The new economics of innovation,spillovers and agglomeration: a review of empirical studies [J].Economics of Innovation & New Technology,1999,8(1-2):5-25.
[10] RAMADANI V,ABAZI-ALILI H,DANA L P,et al.The impact of knowledge spillovers and innovation on firm-performance: findings from the Balkans countries [J].International Entrepreneurship & Management Journal,2016,13(1):1-27.
[11] LEIPONEN A,HELFAT C E.Innovation objectives,knowledge sources,and the benefits of breadth[J].Strategic Management Journal,2010,31(2):224-236.
[12] JOFRE-MONSENY J,MARíN-LóPEZ R,VILADECANS-MARSAL E.The mechanisms of agglomeration: evidence from the effect of inter-industry relations on the location of new firms[J].Journal of Urban Economics,2010,70(2):61-74.
[13] 白俊红,王钺,蒋伏心,等.研发要素流动、空间知识溢出与经济增长[J].经济研究,2017,52(7):109-123.
[14] KRUGMAN P.What's new about the new economic geography[J].Oxford Review of Economic Policy,1998,14(2):7-17.
[15] BRESCHI S,LISSONI F.Knowledge spillovers and local innovation systems: a critical survey[J].Social Science Electronic Publishing,2008,10(10):975-1005.
[16] CANIÉLS,M C J.Knowledge spillovers and economic growth: regional growth differentials across Europe [M].New York:E.Elgar,2000.
[17] 吴先明,胡博文.对外直接投资与后发企业技术追赶[J].科学学研究,2017,35(10):1546-1556.
[18] COHEN W M,LEVINTHAL D A.Innovation and learning: the two faces of R & D[J].Economic Journal,1989,99(397):569-596.
[19] 李燃,王立平,刘琴琴.地理距离与经济距离对创业知识溢出影响的实证分析[J].科技进步与对策,2012,29(10): 113-118.
[20] VERSPAGEN B.A new empirical approach to catching up or falling behind[J].Structural Change and Economic Dynamics,1991,2(2):359-380.
[21] 王缉慈.创新的空间——企业集群与区域经济发展[M].北京:北京大学出版社,2001:5.