知识经济时代,企业难以仅凭内部知识创新活动形成核心竞争力,主导或加入创新网络,实现组织内外创新资源协同,成为企业的必然出路[1]。创新网络知识创新活动是一个复杂、动态的协同演化过程,由于节点间竞争与合作并存的共生关系,创新网络也具备生态系统特征。纵观相关文献,不少学者从协同学和共生理论视角分别对创新网络知识协同过程进行研究。
基于协同学视角,汪秀婷[2]对战略性新兴产业协同创新模型和路径进行研究,总结了网络的4种能力、网络生命周期阶段的动态演化方向与策略;基于三元知识建构范式理论,姜永常[3]运用协同学知识作了基本的理论阐述;胡恩华等[4]以群外环境与群内企业之间协同创新为主线,分析了两者适应机制与影响因素。
基于共生理论视角,相关研究主要是Lotka-Volterra模型在知识创新领域的应用。此模型起初用于模拟生物界种群捕食与被捕食的关系,后来有学者将Lotka-Volterra 模型广泛应用于知识管理与创新领域[5]:Nonaka等[6]从知识创新的实体、过程、技术基础以及组织基础等角度指出知识创新是通过科学研究,获得新的基础科学和技术科学的过程;龙跃[7]在Lotka-Volterra 模型的基础上,建立了知识创新扩散模型,分别探讨了竞争系数、扩散速度、初始状态等因素对扩散过程的影响;进一步地,张林刚等[8]借用Lotka-Volterra模型对具有相互影响关系的创新扩散问题进行深入分析,并总结了扩散过程中存在的3类模式,即竞争模式、互利共存模式和捕食模式;郭燕子等[9]利用技术创新网络间捕食关系为研究对象,以Lotka -Volterra 模型研究核心网络与辅助网络之间的交互作用,从而得出网络间知识创造模型。
为兼顾创新网络知识协同过程的协同学与生态学双重特性,本研究创新性地将这两种理论结合起来,以“协同-共生”融合视角,对创新网络节点间关系进行分析,并以共生理论的Lotka -Volterra 模型为基础,结合协同学视角下影响网络演化的主要序参量指标,构建创新网络节点在竞合过程中知识协同的Lotka-Volterra模型,提出“协同-共生”融合视角下研究创新网络知识协同问题的理论模型,并通过计算实验分析得出相关结论,以更全面系统地揭示创新网络知识协同的过程机制及演化机理。
生态系统中生物间共生关系是客观存在的,一般来说不会随时间推移而发生变化,但在经济学领域,企业间商业合作或竞争战略会随着客观环境、企业发展方向以及领导者决策等因素而发生改变。因此,企业间共生关系将随着节点间战略合作或竞争调整等情况而发生变化。因此,由生物共生理论中的5种共生关系[11],推演出5种创新网络节点间共生关系(见图1),并根据5种共生关系的基本特点及不同关系下的生物增长方式,推演节点间共生关系的基本特点并预想不同共生关系下节点增长方式。由于依托型、单方获利型、依赖型3类共生关系区别并不大,且都具有偏利或者互惠特点,可统称为互惠关系。因此,将创新网络节点间共生关系分为竞争关系、互惠关系和平等关系3种。
(1)竞争关系。处于竞争关系的节点间只存在负效应,不存在正效应,其最终竞争结果主要有以下3种:①两方达到竞争关系平衡状态,即两节点在网络中各自占据一定比例的知识资源,无节点退出竞争。一般在竞争初期,网络中某一方i(如研究机构)为形成核心知识竞争力,寻求顺应市场和自身发展的稀缺知识资源,另一方j(如盈利性企业)对同类知识资源的态度为主动竞争。最终,各节点均依靠自主研发提高核心技术竞争力,到达均衡状态时,各节点依靠自身竞争力,获得同等占比的稀缺知识资源;②一方胜出,一方退出,类似于生态学中的捕食关系,在网络中,普遍存在一些在竞争关系中处于劣势地位的节点,其在争夺稀缺知识资源的过程中被实力雄厚的节点截获,最终逐渐“消亡”,并退出技术创新网络;③两方互相消亡,一般出现在恶性竞争情况下,各节点“两败俱伤”,均退出创新网络。
图1 共生理论视角下创新网络中节点间关系预想
(2)互惠关系。处于互惠关系的两节点间只存在正效应,不存在负效应,其达到互惠关系平衡时的结果有以下几种:①一方衍生出另一方。在创新网络形成过程中,共生链上的某一节点或多个节点在知识创新产出时,可能衍生或孵化出新节点,衍生节点在知识创新产出时极大依赖原生节点,从而使一条或数条共生链上的节点间形成互利互惠的依赖性共生关系,这与生物寄生的方式较为相似;②一方获利,另一方无影响。类似于生态学中的偏利共生,这种情形出现时间较短,通常作为中间过渡形式;③一方获利较多,一方获利较少。生物学中的互惠关系是指种群双方合作但联系相对松散,彼此不存在相互依存关系。这种形式主要存在于创新网络发展较为稳定成熟的时期,节点数量基本稳定,很难有新的节点进入,已有节点也不会轻易退出,各节点间形成较为稳定的互惠合作关系。
(3)平等关系。在相对成熟且开放的创新网络中,各节点间通过知识资源的相互调配、补充及共享,实现网络知识创新产出的整体高效运行,节点退出或新节点加入对网络的有序运行也不会造成太大影响,各节点间既有竞争又有合作,形成平等的共生关系。
基于协同学理论,创新网络节点间理想协同状态是:在保持自身独立性的同时,通过知识共享或战略联盟等方式,建立互利共赢的多方合作关系,取得大于多技术简单融合的技术创新多赢结果,以期获得指数式知识增长效应[10]。根据创新网络节点类别是否相同,节点间链式关系可分为纵向、横向及横纵向耦合三种。
(1)纵向链式关系。当创新网络中只有一个上游节点和一个下游节点开展协同创新时,会形成一种直线型单一纵向共生链。此类结构下节点间依赖性很强,但若共生链中有一个节点创新失败,则会导致结构内其它节点的共生关系终结,结构稳定性比较差。但从共生主体角度看,虽然节点间依赖性较强,但节点相互信任与联系的程度较深,共生演化机制相对稳定。当纵向共生链中有多个上游节点和多个下游节点以及多个媒介性节点并存时,共生链中节点共生关系比较稳固,此时共生链的稳定性最高。
(2)横向链式关系。在创新网络不同共生链中,处于同一梯度的同性质节点间合作创新关系。这些同类别的节点从同一产业横向创新角度对不同共生链多链间创新行为进行耦合,从而为不同共生链协同创新提供可行的途径。在纵向共生链的基础上,横向共生链丰富和优化了节点联盟形式,使网络趋向协同化;使得共生链中各节点有效规避创新风险,促使网络中同性质节点“信任坦诚”地进行行业内信息共享、行业知识系统化,进而形成行业知识库。
(3)纵、横向耦合链式关系。创新网络中,更为常见的是横向与纵向相互耦合的链式关系。复杂的共生链使得处于共生关系中的节点关系更加稳定,同时网状结构也具备一定的开放性和较强的包容性,其结构不会因为少数新企业的加入而发生重大变动,因此,更有利于网络节点进行多方扩散式联盟合作。
(1)序参量影响因素。根据协同学原理,系统在临界点时,占支配位置的序参量最终迫使其它因素或状态服从它(们)的决定,并主导系统演化的最终结构[12]。影响两类序参量的因素分类如表1所示。
表1 网络序参量影响因素构成
组织能力协同系数知识共享能力系数网络研发能力和创新能力协同双方技术相关性和知识互补网络链鼓励创新协同环境协同双方地理位置邻近性网络中各企业协同经验协同双方高层互信程度网络组织结构形式协同双方非正式社会关系网络节点高层对网络知识协同重视程度协同成本分担机制和利益分配机制
(2)知识熵与知识共享能力系数。在热力学领域,熵是一种根据信息可靠性确定权重的方法,可用知识熵K套用熵值法度量节点间知识流动的畅通程度[13]。
网络中任意两节点i、j间知识熵K(ij)为:
K(ij)=-P1(ij)InP1(ij)
(1)
P1(ij)表示知识流在节点i和j之间流通的实现概率。
(2)
Lij指两个节点间知识流的长度,该值越大表明节点间互动越频繁。H1表示创新网络中所有知识流的长度总和,其与网络中节点个数及节点间联系路径有关。
由此可得,创新网络知识熵K为所有节点间知识熵的总和,即:
(3)
因此,创新网络中知识熵最大值为:
Kmax=InH1
(4)
创新网络中知识熵达到最大值,说明网络中知识种类复杂,且节点间联系方式较为杂乱。为衡量创新网络节点间共享和处理知识的能力大小,引入知识共享能力系数R1。
R1=1-K/Kmax
(5)
(3)结构熵与组织能力协同系数。创新网络中节点因合作创新项目而形成共生链,共生链组织能力影响网络结构及其处理知识流的能力。网络中任一节点i的结构熵[14]为:
C(i)=-P2(ij)InP2(ij)
(6)
P2(i)是指网络中任一微观结构i的形成概率;Ui表示该共生网络中微观结构组元的联系幅度,其数值越大,表示节点间利益关系越密切,合作形成共生网络的概率越大;H2指网络在宏观状态下对应的所有微观结构联系幅度的总数。
(7)
网络中所有节点结构熵之和为网络结构熵C。
![]()
(8)
创新网络结构熵的最大值为:
Cmax=lnH2
(9)
创新网络中结构熵达到最大值,说明网络中节点类型多样且节点间共生方式复杂。为衡量创新网络结构复杂程度及网络组织能力大小,引入组织能力协同系数R2。
R2=1-C/Cmax
(10)
(1)单个节点自然增长的Logistic模型。Logistic逻辑函数是皮埃尔·弗朗索瓦·韦吕勒在1844年研究人口增长的关系变化时,用于描述物种从起始、成长到消亡的发展变化的S形函数。假设创新网络中只存在一个节点“独享”有限的知识资源,则节点的知识产出水平遵循Logistic增长趋势:发展起始期,网络内可供节点研发前沿技术的知识资源十分充足,节点知识产出增长速度很快;到了一定阶段,增长速度达到最大值;之后由于自身因素的限制以及知识资源“供不应求”,速度逐渐减慢直至不再增长,该节点知识产出水平在极限处达到稳定状态。
将节点知识创新产出按照“获取网络有效知识资源-知识融合协同管理-转化为内部隐性知识-知识创新”的无限循环过程划分为单向时步,则节点1的知识创新产出水平x1以r1的自然增长速度随时步增长的函数关系为:
x1t+1=x1r1t(t) (t=0,1,2,3)
(11)
该节点随时步的知识产出增长Logistic模型[15]为:
(12)
O1表示节点在一个时步内利用网络中有限知识资源实现最大创新效率所能达到的最大知识产出水平;x1表示该节点在一个时步内达到的实际知识产出水平;r1表示节点在无金融市场因素、政府等外界环境干扰和行业内外其它节点影响的情况下,有效知识获取的自然增长率。
(2)两个节点协同竞合的Lotka-Volterra模型。两节点间共生关系类似于生物学中的种间竞争关系,因此,可采用一维Logistic模型增长方程的扩展模型,即Lotka-Volterra种间竞争模型,分析两个节点竞争合作过程中的知识创新产出增长情况[14]。考虑到节点间竞争合作的共生关系演化过程,以及信任机制和“贸易壁垒”的正负效应,构建两节点i、j的竞合基本模型。
(13)
在创新网络中,一方面,由于网络中有价值的知识资源有限,节点为占据有利的商业地位而“激烈争夺”知识资源,此时,节点j将为i带来负效应,αij表示第j个节点对第i个节点的负效应系数;另一方面,这些关系紧密的节点对于稀缺知识资源的供需方式也比较相似,彼此间可通过知识资源的相互补充,相互替代地完成创新网络整体创新产出,此时,节点j可为i的创新带来正向溢出效应,βij则表示节点j对i的正效应系数。
序参量和质参量是影响创新网络知识协同的主要参量,创新机制的有效运行有赖于两个指标的优化,节点间关系模型与主导参量如图2所示。
(1)知识熵与正效应系数。知识熵主要反映节点间知识交换流动的“主观意愿”,以便探讨节点间知识流动程度与正效应系数的关系。知识流在节点间流动时,实际上已发挥“纽带”作用,给两节点间竞合共生关系带来正向效应。知识流动畅通度越大,知识熵越小,正效应系数值越大。本文关于正效应系数和知识熵的具体数值关系仅作定性研究。构建知识熵与正效应系数的函数关系如下:
![]()
(14)
其中,gij指节点j对i的协同意愿指数,βij取值范围为[0,1],K(ij)取值范围为[0,+
),由指数函数曲线特征可知gij取值范围为(0,1)。当两节点间由于“贸易壁垒”不能进行知识共享时,知识在节点间流动阻碍非常大,节点间知识熵Kij趋向正无穷大,正效应系数βij=0;当两节点打破“贸易壁垒”,建立信任机制时,知识在两节点间流动基本无障碍,此时知识熵Kij=0,正效应系数βij=1。
(2)结构熵与负效应系数。结构熵主要反映节点间在 “主观意愿”一致后,能否克服“客观环境”相关因素,达到二者合作共生的理想协同状态,节点间结构熵值越大,说明节点间结构越复杂,负效应系数越大。创新网络知识协同演化的内在动因是网络中各相关节点围绕某一新兴技术开展竞合活动。从知识视角来看,知识是有限稀缺性资源,网络内竞争关系来源于同一类知识节点对相关利益的竞争,合作关系则来源于知识互补性节点通过知识转移共生研发新兴技术。两节点在网络结构中的位置关系是构成节点负效应的关键因素。
(15)
其中,eij指节点j对i的竞争指数, αij取值范围为[0,1],C(i)取值范围为[0,+
),由指数函数曲线特征可知竞争指数eij取值范围为(0,1)。两节点间结构熵为0,表示两节点在网络中的“地理位置”优越,产生合作的概率较大,负效应系数为0;两节点间结构熵趋向正无穷大,即使两节点想要进行知识资源共享的“主观意愿”十分强烈,但是由于“位置”结构上的阻碍,节点间竞合的负效应接近于最大值1。
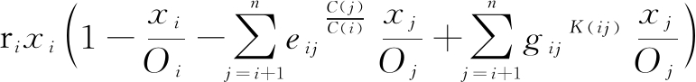
(3)节点间知识协同的一般过程模型构建。构建创新网络节点间知识协同的一般过程模型如下:
(i,j=1,2,3,…,n)
(16)
两节点间知识协同过程是所有知识协同过程的基本单元,故对两节点间协同过程进行如下分析:

(17)
当βij=0,αij≠0时,两节点知识协同过程中只存在负效应而不存在正效应,即节点j与节点i之间的共生关系是典型的竞争关系;同样地,当αij=0,βij≠0时,表示节点i和节点j之间只存在正效应不存在负效应,共生关系是典型的互惠关系;当αij=0,βij≠0时,节点间既存在正效应又存在负效应,节点间共生关系是平等的竞合关系。
各网络组织任意两个节点i、j间联系长度记为Lij,由于联系长度是没有方向的,所以,节点i到j的联系长度与节点j到i的联系长度相等,即Lij=Lji。记3个网络组织的节点联系长度矩阵分别为![]()
图2 “协同-共生”视角下创新网络知识协同关系模型参量关系
(1)知识熵相关指标初始化。单向共生链型网络组织和无中心点对等型网络组织是两种最常见且典型的网络结构,现实网络大都属于这两种结构或由其复合构成。为使研究结论更具普适性,选取这两种结构作为重点研究对象,分别测算其知识熵和结构熵,得出这两种结构的知识共享能力系数和组织能力协同系数值,进而分析两者与网络结构的关系。同时,为使两种网络结构下的实验结论具有可比性,均选取8节点模型作为具体实验对象(如图3所示)。
图3 共生网络的两种组织结构示例
其中,“①”表示网络中编号为“1”的节点,“-”代表横线连接的两个节点是直接联系的,为方便计算,假设在两种网络组织中,直接相连的节点间联系长度是网络所有节点两两间联系长度最短的。令各直接相连节点的联系长度为1,以单向共生链型网络组织为例,则有:L'12=L'13=L'14=L'35=L'36=L'57=L'58=1,间接相连的节点联系长度可根据直接相连节点计算。节点间联系长度越短,则节点间知识流动越顺畅,所以,在计算间接相连节点间联系长度时,应选择最短路径。例如:节点5到6的联系路径有两种(5→3→6和5→3→1→3→6),应选择最短路径计算节点5和6的联系长度,计算结果为L'56=L'35+L'36=1+1=2。
由于篇幅限制,详细计算结果不再一一列出,按照上述方法可得单向共生链型网络组织联系长度矩阵。
由以上矩阵可知单向共生链网络组织的所有节点间联系长度之和为:
同上,可得无中心点对等型网络组织的联系长度矩阵![]()
同上,有![]()
(2)结构熵相关指标初始化。共生网络由共生链组成,且至少存在两个相互联系的节点。因此,共生网络最微观的状态是两个节点。假定每个节点的微观结构个数为与之直接相连的节点个数,则两种网络组织在宏观状态下对应的所有微观结构联系幅度总数H2如表2所示。
(3)试验运行及结果分析。①两种网络组织的知识熵与知识共享能力系数。使用MATLAB软件运行相关实验程序,得到两类网络组织中两两节点间知识熵,如图4和图5所示。观察两类组织的知识熵三维图发现:无中心点型网络组织节点间知识熵最大值大于单向型,且无中心点型节点间知识熵数值图像更为紧凑。说明在节点数目相同、直接相关节点联系长度为1的情况下,单向型网络组织节点间知识熵整体上小于无中心点型网络组织。进而,可以算出两个网络组织的知识共享能力系数分别为:
显然,R'1>R''1。
运行结果1:创新网络中,节点“地位”越一致,知识流动越“无序”,即网络结构组织存在中心点的情况下,网络组织整体知识共享能力系数比网络组织无中心点的情况高。
②两种网络组织结构熵与组织能力协同系数。基于表3对两种网络组织各节点的微观结构赋值,可以通过公式(6)-(10)计算两种网络组织各节点结构熵和网络组织整体协同能力系数,结果如表3所示。
运行结果2:创新网络中,节点“地位”越一致,网络结构越“有序”,即网络结构组织无中心点的情况下,网络组织整体组织协同能力系数比网络组织存在中心点的情况高。
为验证式(17)中各变量对竞合关系中两节点各自实际知识创新水平及其实际知识创新水平之和的影响,根据公式中5个变量
采取控制变量法设置4组数值,具体如下:
(1)竞争指数与协同意愿指数变化对节点间知识协同的运行结果及分析。当节点间负效应系数大于正效应系数时,节点间竞合关系偏向于竞争;当节点间正效应系数大于负效应系数时,节点间竞合关系偏向于互惠关系。在创新网络中,大部分相互关联的节点间既存在竞争关系又存在互惠关系。为方便分析,可选取4组较为特殊的数值,探析竞争指数和协同意愿指数分别取不同值时,节点总产出水平变化情况。
令gij=0,eij变化,其它不变,运行结果如图6所示。
运行结果3:在协同意愿指数为0的情况下,两节点间竞争指数越接近,节点的知识产出水平越接近,达到竞争平衡的时间越早,网络总的实际知识产出水平越高;竞争指数对节点的实际知识产出水平具有显著负向影响。
令eij=0,gij变化,其它不变,运行结果如图7所示。
表2 两类网络组织各节点微观结构数量赋值
节点编号12345678H2=∑UiU'I3131311114U''i5443443330
图4 单向型共生链组织节点间知识熵
图5 无中心点型共生链组织节点间知识熵
表3 两种网络组织的结构熵与组织协同能力系数计算示例
节点编号U'iU''iP'2i P''2i K'2i K''2i U'iU''i1350.214 30.166 70.330 10.298 6352140.071 40.133 30.188 50.268 7143340.214 30.133 30.330 10.268 7344130.071 40.214 30.188 50.330 1135340.214 30.133 30.330 10.268 7346140.071 40.133 30.188 50.268 7147130.071 40.214 30.188 50.330 1138130.071 40.214 30.188 50.330 113H'2=∑U,i=14;H''2=∑U''i=30K'2=∑k'2i =1.935 8,K"2=∑k"2(i)=2.363 5K'2max=lnH'2=2.639 1,K"2max=lnH"2=3.401 2R'2=1-K'2/K'2max=0.267 6,R"2=1-K,,2/K"2max=0.305 1
图6 竞争指数对竞争关系节点稳定性的影响
运行结果4:在竞争指数为0的情况下,两节点协同意愿指数相差越大,节点总实际知识产出水平越低;对于协同意愿指数低的节点,指数降低对该节点的实际知识产出负效应较大,协同意愿指数较高的节点,指数增加对其造成的实际知识产出正效应较小。
令eij、gij≠0,eij变化,其它不变,运行结果如图8所示。令eij、gij≠0,eij变化,其它不变,运行结果如图9所示。
图7 协同意愿指数对互惠关系节点稳定性的影响
图8 竞争指数对平等共生节点稳定性的影响
图9 协同意愿对平等共生节点稳定性的影响
运行结果5:平等关系下,当节点正负效应完全抵消时,总知识产出水平达到最大的知识产出水平2 000;在
相等的情况下,节点正负向效应差值的绝对值对节点总的知识产出水平具有显著负向影响;对达到平等关系平衡的时间无显著影响。
(2)结构熵与知识熵变化对节点知识协同过程的运行结果及分析。根据正负效应指数取值情况,设置3组变量,探析结构熵和知识熵对节点知识产出水平的影响机制。
变化,其它不变,运行结果如图10所示。对比图6(a)和图10,可得运行结果6:当处于相互竞争关系的两节点结构熵值比越接近于1时,达到平衡状态的时间越早,达到平衡时两节点实际产出水平越接近,总知识创新产出水平越高,且结构熵对节点实际知识产出水平具有显著负向影响。
αij=αji=0,Kij变化,其它不变,运行结果如图11所示。对比图9(a)和图11,可得运行结果7:处于互惠关系的两节点间知识熵对总实际知识产出水平具有显著负向影响,知识熵对节点互惠关系达到稳定的时间无显著影响。
βij=βji≠0,Kij变化,其它不变,运行结果如图12所示。对比图8(a)和图12,结合理论和模型分析,可得运行结果8:平等共生关系的存在给创新网络带来超过单个节点简单叠加的效应。
图10 结构熵对相互竞争节点稳定性的影响
图11 知识熵对互惠共生节点稳定性的影响
(3)节点自然增长率变化对节点知识协同的运行结果及分析。
βij=βji=0,增长率ri变化,其它不变,运行结果如图13所示。对比图6(a)和图13,可得运行结果9:处于竞争关系的两节点自然增长率相差越大,越不利于竞争关系的稳定,增长率较大的节点平均知识产出水平较高,总的知识产出水平x与|r1-r2|呈反比。
αij=αji=0,增长率r变化,其它不变,运行结果如图14所示。对比图7(a)和图14,可得运行结果10:处于互惠关系节点的增长率差值|r1-r2|对共生关系达到平衡后的总实际知识产出水平无显著影响,对达到平衡的时间具有显著正向影响;节点增长率r对实际知识产出水平x具有显著正向影响。
图12 知识熵对平等共生节点稳定性的影响
图13 增长率对相互竞争节点稳定性的影响
αij=αji≠0,βij=βji≠0,增长率r变化,其它不变,运行结果如图15所示。对比图8(a)和图15,可得运行结果11:处于平等关系的两节点增长率差值的绝对值越大,节点达到平衡的时间越晚;对两节点达到平衡时的实际知识产出水平无显著影响,但增长率越大的节点平均知识产出水平越高。运行结果12:处于竞合关系的节点,正负效应对节点平衡后总知识产出水平的影响比两节点增长率差值的绝对值对总知识产出水平的影响更为显著。
图14 增长率对互惠共生节点稳定性的影响
图15 增长率对平等共生节点稳定性的影响
(4)节点理想知识产出水平变化对节点知识协同的运行结果及分析。
βij=βji=0,节点最大知识产出水平Oi变化,其它不变,运行结果如图16所示。对比图6(a)和图16,可得运行结果13:在竞争关系下,某节点最大知识产出水平对该节点实际知识产出水平具有显著正向影响,对具有竞争关系的其它节点实际知识产出水平无显著影响。
αij=αji=0,节点最大知识产出水平O变化,其它不变,运行结果如图17所示。对比图7(a)和图17,可得运行结果14:处于互惠关系下的节点最大知识产出水平对该节点知识产出水平的影响具有正向杠杆效应,而对互惠关系中其它节点的实际知识产出以及两节点互惠关系平衡的时步无明显影响。
图16 节点最大知识产出水平对相互竞争节点稳定性的影响
αij=αji≠0,βij=βji≠0,节点最大知识产出水平O变化,其它不变,运行结果如图18所示。对比图8(a)和图18,可得运行结果15:节点最大知识产出水平对该节点的实际知识产出水平具有显著正向影响,对于该节点有共生关系的其它节点实际产出水平无明显影响。
图17 节点最大知识产出对互惠共生节点稳定性的影响
图18 最大知识产出水平对平等共生节点稳定性的影响
本文基于创新网络节点间共生关系分类以及知识协同过程的熵变理论,以Lotka-Volterra模型为基础,构建了创新网络节点间知识协同的过程机制模型,并借助MATLAB平台对模型进行计算实验分析。结果表明:创新网络知识产出水平受节点自然增长率、节点间协同意愿指数、节点间竞争指数、节点知识熵、节点结构熵等5个因素的影响;在节点处于不同共生关系时,即使是同一影响因素,对最终知识创新产出水平的影响也不一致。然而,由于问题复杂性及部分变量的难以测量性,本文在模型构建过程中存在一些理论假设,且通过计算实验分析得出一些运行结果,尚缺乏进一步的实证或案例支撑。根据理论分析及试验运行结果,为进一步优化及提升创新网络节点间知识协同过程及效率,提出以下建议:
(1)探索区块链技术的互联网应用途径,为创新网络知识协同过程提供信任机制支撑。根据运行结果1和2,去中心化越高的网络组织知识共享能力系数越低,组织协同能力系数越高;根据运行结果6和7,结构熵和知识熵对节点知识创新产出水平具有显著负向影响;节点间结构熵比越接近1,节点达到共生关系稳定的用时越短,而知识熵对其并无显著影响。究其原因,在有中心主导的网络组织中,中心点起“知识中枢”的疏导作用,使得知识流动在各二级或三级等“低能级”的节点间畅通无阻;而在去中心点的网络组织中,各组成节点的“地位”一致,微观结构数量较多,节点间结构熵比约为1,各节点间关系稳定,各职能部门能够更高效地各司其职,积极发挥作用。如何最大可能地平衡技术创新网络中心化程度,降低节点间结构熵比和知识熵,进而取得最理想的知识共享能力系数和组织协同能力系数,是解决网络组织和节点分工问题的关键。区块链技术或许能为此问题提供关键技术支撑,有利于创新网络节点间信任机制加强和利益分配机制优化,创新网络可实现各节点知识创新资源的高效协同,逐步发展为具有生态体系的价值互联网。
(2)强化知识自动化机制,为节点间建立共生关系提供效率机制支撑。根据运行结果3、4、5和8,竞争指数对节点总知识创新产出水平具有显著负向影响,协同意愿指数则相反;在平等共生关系下,给创新网络带来单个节点简单叠加的效应。究其原因,当节点间只存在正向效应或者负向效应时,节点间只是简单的互惠关系或者竞争关系,这种共生关系极易因外在条件改变而打破;当节点间既存在互惠关系又存在竞争关系时,达到辩证统一的竞合关系及共同进退的共生关系,这种竞合共生关系更加符合创新网络实际发展规律。根据运行结果9、10、11、12,不同共生关系下,两节点增长率差值绝对值|r1-r2|的变化对节点总知识产出水平x的变化具有不同影响:竞争关系下,|r1-r2|对x具有显著负向影响,而在互惠关系和平等关系下,|r1-r2|对x无显著影响;3种共生关系下两节点的|r1-r2|对节点达到关系平衡的时间均具有显著正向影响,即节点间自然增长率差别越大,它们达到平衡所用时间越长。究其原因,当节点间只存在竞争关系时,增长率差别会加剧节点知识产出的负向影响;当节点间存在相互有利的正向影响时,这种正效应可抵消增长率差值带来的负向影响,使得节点总知识产出水平不受其影响,而平衡时则不受共生关系变化的影响,始终与|r1-r2|正相关,这是因为节点关系的平衡实际上与两节点知识产出能力相关,增长率低的节点知识产出能力稍弱,故节点达到平衡的时间有所延长。因此,为最大限度提升各节点知识创新产出水平,可进一步利用知识自动化的协助能力,以更好地弥补节点增长率低、节点自然增长率差异大、节点关系不稳定等带来的负效应,为创新网络的高效知识协同提供更加科学的效率机制依托。
[1] 杨坤,胡斌,吴莹.创新网络知识协同空间:概念、系统模型及研究展望[J].科技进步与对策,2016,33(15):126-132.
[2] 汪秀婷.战略性新兴产业协同创新网络模型及能力动态演化研究 [J].中国科技论坛,2012(11):51-57.
[3] 姜永常.知识构建成长与协同知识构建产生的科学理论阐释 [J].情报理论与实践,2016,39(1):32-37.
[4] 胡恩华,刘洪.基于协同创新的集群创新企业与群外环境关系研究 [J].科学管理研究,2007,25(3):23-26.
[5] 李凯,安实,王成亮,等.基于Lotka-Volterra生态模型的企业知识传播竞争机制研究[J].研究与发展管理,2018,30(3):75-84.
[6] NONAKA I.The knowledge-creating company[J].HarvardBusiness Review,1991,69 (9):95-104.
[7] 龙跃.Lotka-Volterra系统下知识创新扩散模型及仿真研究[J].情报理论与实践,2014,37(8):56-59.
[8] 张林刚,陈忠.基于Lotka-Volterra模型的创新扩散模式研究[J].科学学与科学技术管理,2009,30(6):73-76.
[9] 郭燕子,武忠.基于Lotka-Volterra模型的产业技术创新网络知识创造机理研究[J].情报杂志,2012,31(6):139-143.
[10] 吴金玉,胡斌,杨坤.技术创新网络的一个知识协同模型:共生理论与协同学的融合视角[J].科技管理研究,2019,39(4).
[11] 袁纯清.共生理论:兼并小型经济 [M].北京:经济科学出版社,1998.
[12] 张省.基于序参量的知识链知识协同机制研究 [J].情报理论与实践,2014,37(3):21-24.
[13] 张浩.企业战略协同机制的优化 [M].北京:经济科学出版社,2010.
[14] CHAN F W H,NG J J M,WONG B K Y.Shipping and logistics law[M].Hong Kong University Press,HKU,2002.
[15] G HAMEL.Competition for comoetence and interparter learning within international strategic alliances[J].Strategic Management Journal,1991,12:83-103.
[16] 杨坤.“S-A-C”视角下分布式创新及其知识共享的理论探析[J].科学学研究,2013,31(5):764-771.