长江经济带是我国综合实力最强、科技创新最快、战略价值最大的区域,人口集聚密度较高,有着天然地理位置优势。但随着工业化和城市化进程加快,自然资源约束加剧。2016年,习近平同志提出对长江经济带要共抓大保护、不搞大开发[1]。2016年《国家环境保护“十三五”科技发展规划纲要》明确指出,面向我国推进长江经济带战略,需要不断依靠科学技术发展,解决国家相关战略实施过程中的区域环境问题[2]。2018年4月,习近平同志在推动长江经济带发展的座谈会上再次强调把修复长江生态环境摆在压倒性位置,逐步解决长江生态环境透支问题。长江经济带环境保护效率与科技服务业发展效率水平如何?两者之间是否存在显著影响关系?如何通过提升科技服务业发展效率促进环境保护效率提高?探讨上述问题,对于进一步加强长江经济带生态保护,推动长江经济带建成我国科技环保先行示范带,从而加快我国经济高质量可持续发展具有一定的理论价值和现实意义。
学术界对长江经济带生态效率的研究主要聚焦于3个方面:第一是生态效率内涵界定。1990年,德国学者Schaltergger & Sturm[3]提出生态效率概念;1992年,世界可持续发展工商业委员会(WBCSD)[4]对其进行了扩展,即提升人们生活质量,提高资源利用率,减少资源使用量;1998年,经济发展合作组织(OECD)再次扩展了生态效率的定义[5],即投入与产出的比值,以更少的资源实现更大的价值产出。第二是生态效率评测。早期文献主要采用单指标法对生态效率进行测度,采用能源强度、碳排放强度等指标表征生态效率[3,6]。后来有学者构建系统性指标,综合度量经济、社会、环境等方面的发展程度[7-12]。随着生态效率研究的深入,多指标综合评价方法被运用于生态效率评价,主要包括因子分析法[13-15]、层次分析法[16-17]、数据包络分析法[18-19]等。第三是生态效率影响因素,包括金融深化、产业结构升级、外商直接投资、城市化率、技术创新等对生态效率的影响路径 [20-21]。
科技服务业研究主要围绕4个层面展开:一是科技服务业内涵。虽然国外文献中没有科技服务业这一概念,但学术界普遍认为,与之最接近的概念是经合组织(OECD)所定义的知识密集型服务业(KIBS)。1992年,中国国家科学技术委员会发布《关于加速发展科技咨询、科技信息和技术服务业意见》,首次提出科技服务业是科技咨询业、技术服务业、科技信息业的统称[22]。之后,科技服务业被归类至第三产业,其内涵不断丰富,虽然没有一个学界公认的定义,但其核心功能是在市场机制调节下向其它行业输出技术成果和研究服务[23-24]。二是科技服务业对经济发展的影响。从省际面板数据看,我国科技服务业与经济增长之间存在显著正相关关系,在考虑绿色经济效率时两者间关系依然成立[25-27]。Brenner等[28]认为,知识密集型服务业与区域经济增长之间存在长短期效应异质性。三是对科技服务业发展效率的评价。徐顽强等[29]基于波特钻石模型,运用因子分析法构建科技服务业评测指标体系;Freel[30]针对欧洲及北美不同国家知识密集型服务业进行案例分析;王颖等[31]运用TOPSIS法评价我国中部6省科技服务业发展水平;张鹏等[32]从规模实力、创新能力、服务能力、发展潜力4个维度,构建综合指标评价中国科技服务业发展水平。四是科技服务业对制造业的影响。齐芮和祁明[33]测算了科技服务业集聚水平对制造业的溢出效应;杨慧力等[34]研究发现,科技服务业集聚对制造业的中介效应大于人力资本水平的中介效应;张媛媛[35]通过计算投入产出表发现,高技术制造业发展的最大影响因素是科技服务业。
总体而言,学术界对于生态效率和科技服务业的研究成果较多,但缺乏两者关联研究。科技服务业作为提高生产效率、减轻环境负担、促进产业升级的重要产业,理论上应该对区域生态环境造成影响。此外,已有生态效率研究多将经济变量作为产出纳入生态效率评价体系,缺乏单纯对某个地区生态保护效率的评价。因此,笔者主要从以下两个方面对现有研究加以拓展:一方面,对生态保护效率进行定义,据此构建侧重反映生态保护效率的指标;另一方面,通过空间计量模型探究科技服务业细分行业对生态保护效率的影响,以期提出长江经济带生态保护效率提升路径。
2.1.1 基于超效率DEA模型的时间窗口模型
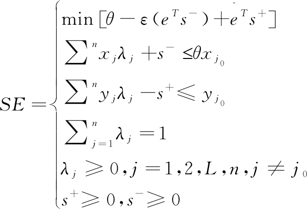
本文采用超效率DEA模型(Super-Efficient DEA)[36],具体计算公式为:

(1)
式(1)中,xj0和yj0分别表示DMUj0实际投入与产出值;决策单元DMU的综合技术超效率值在BC2模型下可表示为纯技术超效率值与规模超效率值的乘积。当θ<1时,则称DMU0为DEA无效;当θ≥1时,DMU0达到DEA有效并进行排序。
超效率DEA方法在面板数据处理时会因每年各决策单元格的前沿面不同,导致所计算的超效率值不具有年度可比性。针对面板数据,主要有Malmquist指数和DEA视窗分析法,但Heshmati[37]论证发现前者并不能准确评价面板数据,于是Wang等[38]使用DEA视窗分析方法。该方法既可用于比较不同决策单元在同一时期的效率,也可用于比较不同时期内的自身效率。DEA视窗分析最早由Charnes等[39]提出,研究表明,将窗口宽度设为3的分析效果最好。因此,本文窗口宽度为3,样本长度为8,每个决策单元相对应地建立6个窗口进行效率测算。每个决策单元的当年效率值就是对某个窗口上的所有效率值取均值。
2.1.2 空间计量模型
本文采用空间回归模型偏微分方法[40],解决因估计结果中的空间滞后项系数显著不为零导致的回归系数不能直接用于解释自变量空间溢出效应的问题。
y=αtn+ρWy+βX+θWX+ε
(2)
(In-ρW)y=αtn+βX+θWX+ε
(3)
![]()
(4)
(5)

(6)
[Sr(W)i1x1r+Sr(W)i2x2r+…+Sr(W)inxnr]t+
V(W)tnα+V(W)iε
(7)
![]()
(8)
![]()
(9)
其中,St(W)=V(W)(Inβt+Wθt),V(W)=(In-ρW)-1=In+ρW+ρ2+…,In是n阶单位矩阵、tn为N×1阶单位矩阵;xr为第r个解释变量,r=1,2,…,k,βr为解释变量xr的回归系数,θr为WX的第r个变量的回归系数。Sr(W)ij反映区域j的xr对区域i被解释变量的影响,又被称为间接效应,即解释变量对被解释变量的区域间溢出;Sr(W)ij反映区域i的xr对本区域被解释变量的影响,又被称为直接效应,即解释变量对被解释变量的区域内溢出。两者之和为总效应。
2.2.1 区域划分与城市选择
长江经济带包括江苏、浙江、安徽、江西、湖北、湖南、四川、云南、贵州9个省份和上海、重庆2个直辖市。因此,本文针对2010—2017年长江经济带11个省市数据展开研究。
2.2.2 数据来源及处理
目前,大多数文献集中于生态效率研究,并未讨论生态保护效率。因此,在共抓大保护、不搞大开发的要求下,有必要专门研究长江经济带生态保护效率。生态保护一般是指人类为解决环境问题,协调人类与环境的关系,保护人类生存环境,保障经济社会可持续发展而采取的各种行动的总称。据此,本文进一步提出生态保护效率定义,即大气、水、土壤、动植物等自然环境改善与所消耗的资本、人力投资之间的对比关系,该指标主要用于衡量在有限投入下对生态环境的最大保护程度。本文从矿山、水土、林业、城镇环境基础设施以及工业污染治理等方面选取相关投入与产出指标,见表1。相关数据来源于《中国城市统计年鉴》、《中国环境统计年鉴》和《中国统计年鉴》。
表1 生态保护效率投入与产出指标
投入单位产出单位矿山环境恢复治理投入资金万元本年矿山恢复面积hm2水土保持及生态项目本年完成投资万元本年新增水土流失治理面积khm2天然林业完成投资万元森林管护面积增加值hm2防护林业投资完成额万元当年造林面积hm2林业系统野生动植物保护投资完成额万元城市污水处理率%水利、环境和公共设施管理业就业人数万人无害化处理能力t/日城镇环境基础设施建设投资总额亿元工业烟(粉)尘排放量t工业污染治理投资总额万元一般工业固体废物综合利用率%工业废水排放量万t工业SO2排放量t
注:本文使用永续盘存法以折旧率9.6%推导出固定资本存量;以2009年为基期进行价格指数平减。用均值法补齐部分缺失数据,下同
基于国内研究,本文将科技服务业定义为:运用现代科学知识、技术与方法,提供科研创新、科技资本累积、科教宣传等专业化服务的知识密集型行业,具有人才智力密集、科技含量高、产业附加值大、辐射带动作用强的特点。本文依据《国家科技服务业统计分类(2018)》,在满足数据可得性条件下,重点研究科技服务业的3个细分行业,即科研技术服务业、科技资本服务业、科技宣传服务业。表2列出了本文对科技服务业的划分并解释了其合理性。表3列出了各科技服务业投入与产出变量。相关数据来源于历年《中国统计年鉴》、《中国城市统计年鉴》、《中国科技统计年鉴》和《中国创业风险投资发展报告》。
表2 科技服务业细分行业划分及合理性说明
国家统计局的划分本文的划分合理性说明科学研究与试验发展服务专业化技术服务科技推广及相关服务科研技术服务业历年《中国统计年鉴》中的“科学研究和技术服务业”包含了统计局对这3个细分行业的划分科技金融服务科技资本服务业统计局将“金融科技服务”细分为4个方面,本文重点选取“资本投资科技服务”,即风险投资对科技企业的服务。本文将使用历年《中国创业风险投资发展报告》中的数据科技普及和宣传教育服务科技宣传服务业中国科学技术协会是中国最重要的科技普及和宣传教育的机构,因此本文将使用历年《中国科技统计年鉴》中的中国科协数据
表3 三大细分科技服务业投入与产出变量
行业代码变量单位类型科研技术服务业T城镇单位就业人员数万人投入固定资产投资亿元行业增加值亿元产出科技资本服务业C风投机构数量个投入管理资本总额亿元投资强度万元/项产出科技宣传服务业P科普专职人员人投入科技馆数量个年度科普经费筹集额万元科普图书馆出版种产出科普专题活动次
2.2.3 空间权重矩阵设置
本文选择地理距离权重表征长江经济带生态保护效率的空间关联模式。根据地理学第一定律[41],事物间关联紧密程度与空间距离成正比。本文使用地理距离平方的倒数构造地理距离权重矩阵。假定 d 为城市间球面距离,那么地理距离权重矩阵(W1)的矩阵元素![]()
本文使用EMS1.3软件计算2010—2017年长江经济带11个省市生态保护效率及各细分科技服务业发展效率,结果见表4,表中E代表生态保护效率。
生态保护效率结果显示:湖北、四川、安徽、江西的综合技术超效率值在大多数年份没有达到1且存在年增长率正负更替的情况。由此可见,上述区域的生态保护效率长期处于非DEA有效状态且没有显著改善趋势。湖南、云南、贵州、重庆的综合技术超效率值在2015年前虽然小于1,但一直保持稳健增长态势,直到2015年达到DEA有效。上海、浙江和江苏的综合技术超效率值在大多数年份达到了DEA有效, 但年增长率正负更替,说明上述区域的生态保护效率并没有呈现显著增长趋势。
科研技术服务业结果显示:浙江、湖北、湖南的综合技术超效率值虽然始终小于1,但呈现出显著稳步上升态势。上海、四川的综合技术超效率值在大多数年份处于DEA有效。江苏、江西、重庆的综合技术超效率值只有少数年份突破了1且年增长速率正负交替,说明上述区域的科研技术服务业大部分时间处于非DEA有效状态且没有显著改善趋势。安徽、云南、贵州的综合技术超效率值始终处于DEA无效,同样未呈现出显著增长趋势。
科技资本服务业结果显示:江苏、浙江、江西、云南、贵州的综合技术超效率值仅在少数年份达到1且存在年增长率正负更替的情况。由此表明,上述区域科技资本服务业仅在少数年份达到了DEA有效状态,但没有显著改善趋势。上海、四川的综合技术超效率值直到2015年才突破1,达到DEA有效,2015年前呈现出稳定增长态势。安徽、湖北、湖南、重庆的综合技术超效率值虽在某些年份达到过DEA有效,但具有较显著下降趋势。
科技宣传服务业结果显示:浙江、安徽、云南、贵州的综合技术超效率值在大多数年份没有达到1且年增长率没有维持正值,表明上述区域的科技宣传服务业长期处于非DEA有效状态且没有显著改善趋势。上海、湖北在2013年前的综合技术超效率值大于1,从2014年起跌破1并逐年下降,说明上述区域的科技宣传服务业开始达到DEA有效,后转为无效。江苏、重庆、湖南、江西、四川的综合技术超效率值大多数年份达到了DEA有效,但年增长率正负更替,说明上述区域的生科技宣传服务业虽在大部分年份达到DEA有效,但没有显著增长趋势。
本文使用地里空间权重分别构建3种空间计量模型,如式(10)-(12)所示。分别进行固定效应和随机效应回归,选择较小的AIC值作为回归方式,较大的Log Likelihood与R2值则可以说明哪个模型的拟合优度最高。最后,检验空间杜宾模型能否转化为空间滞后模型与空间误差模型,如果原假设被显著拒绝,则选择空间杜宾模型。
空间滞后模型(SAR):y=α+ρWy+βX+ε
(10)
空间误差模型(SEM): y=α+βX+ε,ε=λWε+υ
(11)
空间杜宾模型(SDM): y=α+ρWy+βX+θWX+ε
(12)
模型中核心变量为生态保护效率(Y)、科研技术服务业(X1)、科技资本服务业(X2)和科技宣传服务业(X3)。借鉴已有经典文献[43-44],同时将各区域人均生产总值(X4)与对外开放因素(X5)作为控制变量。
表5为地理空间权重下3种空间计量模型估计结果,通过比较可以发现:空间杜宾模型的AIC值最小且其Log Likelihood值和R2最大,同时显著拒绝“空间杜宾模型可以转化为空间滞后模型”和“空间杜宾模型可以转化为空间误差模型”的原假设。由此得出,空间杜宾模型最优,再比较两种效应估计结果发现,固定效应模型最优。
表4 2010—2017年长江经济带11个省市生态保护效率及各细分科技服务业发展效率
省(市)20102011201220132014201520162017上海E0.8981.2661.2940.97931.0851.1841.1471.205T1.1920.9131.2071.1960.8980.9132.1961.639C0.6060.3940.4960.8160.7091.1201.4821.393P1.0881.1971.1771.0830.9250.8030.7720.732江苏E0.8580.7051.1270.9971.1491.1581.1551.738T0.7380.8891.1160.8290.8370.9931.0981.127C0.0590.0730.0810.0650.0850.1010.1140.098P1.2691.5480.3571.4170.8141.2841.5121.588浙江E0.7180.7900.9821.0830.9891.10761.1691.217T0.6020.4970.5180.6890.7920.8170.8860.913C0.1830.1710.2180.2960.2870.1930.1380.122P1.2451.3840.5930.4920.9100.9152.2871.916安徽E0.5270.6360.6810.6390.5250.7370.6140.718T0.3150.3980.3290.3850.3240.3380.4720.503C1.6071.4170.9210.7371.2080.8990.7930.668P1.0380.9830.0671.0740.7990.8161.2251.183江西E0.5480.6280.7180.5980.7060.7990.7350.696T0.7120.8940.6820.9171.2030.8270.7860.729C0.0790.1850.1160.1360.1070.0790.1040.117P1.1891.3131.2170.9861.1091.0841.0370.993湖北E0.7180.7060.7990.8120.7900.7550.8240.907T0.6580.6970.7970.7290.8250.9080.9820.996C0.9841.0390.9940.9180.9281.0580.8930.973P1.0931.1821.1731.0590.9820.8110.7900.808湖南E0.5950.6490.7860.8280.9691.0581.1161.197T0.6130.6730.7160.9850.8830.8950.9180.868C1.1381.1960.9830.9070.9220.9070.8840.827P1.1861.2681.1140.9571.0891.0880.9571.049重庆E0.8170.8740.8950.9840.9691.0581.1271.079T0.8380.8870.9691.1230.9120.8180.9330.986C0.8950.8720.9281.1990.9920.9350.9800.955P0.9541.0961.0821.1941.1991.2171.1881.134四川E0.6670.6940.6040.7890.7040.7970.7620.667T0.8931.2061.2850.9351.3170.8921.0741.131C0.8160.8270.8490.9250.9831.0501.1141.108P1.2941.2171.2261.1851.1341.1971.1471.113贵州E0.6270.6860.7490.8850.9931.1161.1531.177T0.3970.3750.3280.4360.4090.3930.4120.426C0.0420.0490.0370.0380.0310.0690.4990.486P0.7800.9840.8981.1860.9780.8750.9190.941云南E0.8160.8970.9170.9540.9821.0841.1771.218T0.4320.4840.4970.4130.4990.4180.3970.427C0.1360.0910.0880.1420.1170.0830.0680.094P0.9930.8861.0960.9820.9050.8720.9380.965
本文使用空间回归模型偏微分方法对空间溢出效应进行分解并加以解释,地理空间权重下SDM固定效应模型的空间溢出效应分解结果如表6所示。
表5 地理权重下3种空间计量模型估计结果
注:***、**、*分别代表在1%、5%、10%显著性水平上显著,下同
表6 地理空间权重下基于SDM固定效应模型的溢出效应分解结果
变量直接效应间接效应总效应X10.092***0.066*0.158***4.3771.7582.684X20.068*-0.021*0.0471.7081.7980.296X30.0040.0020.0060.5880.5151.194X40.007***-0.004***0.0037.973(-4.955)0.186X5-0.017***-0.016*-0.033***(-3.279)(-1.699)(-2.774)
注:括号内数值代表t值
(1)科研技术服务业溢出效应分解。该变量的直接效应系数、间接效应系数及总效应系数分别为0.092、0.066和0.158,3种效应均通过了10%的显著性水平检验。这一结果表明,科研技术服务业发展效率与生态保护效率整体上呈正相关关系,即科研技术服务业发展效率提高有助于生态保护效率提升,这种正向关系在某个区域内以及区域间均显著,意味着某个地区科研技术服务业发展效率提高对当地及其它区域的生态保护效率有促进作用。可能的经济学解释是:科研技术服务业效率提高会加快技术进步,新技术应用则有助于生产效率提高,或者制造出更环保的设备与产品,而技术具有溢出效应,其它地区可以享受到技术进步带来的环境改善。
(2)科研资本服务业溢出效应分解。该变量的直接效应系数、间接效应系数及总效应系数分别为0.068、-0.021和0.047,其中,直接效应与间接效应通过了10%显著性水平检验。这一结果表明,科研资本服务业发展效率与生态保护效率在区域内呈现正相关关系,在区域间则呈现负相关关系,即在一定区域内,科研资本服务业发展效率提高有助于该地区生态保护效率提升,但在某种程度上会抑制其它区域生态保护效率提升。可能的经济学解释是:在既定资本资源下,某个地区获得的科研资本越充足,一方面,可以促进当地高科技企业发展与产业结构优化;另一方面,由于资本有限性,其它地区获得的科研资本可能无法满足当地科研需求,从而在一定程度上抑制了相邻地区因科技进步带来的生态保护效率提高。
(3)科技宣传服务业溢出效应分解。该变量的直接效应系数、间接效应系数及总效应系数分别为0.004、0.002和0.006,3种效应均未通过10%的显著性水平检验。这一结果表明,科技宣传服务业发展效率与生态保护效率并不存在显著相关关系,即某地区科技宣传服务业发展效率提高并不会提升或降低当地或其它地区的生态保护效率。可能的原因是目前生态保护并不是我国科技宣传服务平台的核心内容。
(4)控制变量溢出效应分解。人均生产总值与对外开放程度是本文控制变量,其空间计量模型结果与其它文献类似,经济发展水平与生态保护效率之间存在“U”型关系[42],对外开放程度对本区域生态保护效率提升具有显著负向直接效应,即存在“污染天堂假说”[43]。
本文首先对生态保护效率进行定义,将科服务业细分为3个子行业,随后构建投入与产出指标体系并使用超效率与窗口分析,计算出2010—2017年长江经济带11个省市生态保护效率以及3个科技服务业发展效率。然后,通过选择合适的空间计量模型,重点探究3种科技服务业发展效率对生态保护效率的影响,研究结论表明:
(1)长江经济带各省市生态保护效率与科技服务发展效率具有显著差异性。由于经济与自然禀赋不同,导致长江经济带各省市生态保护效率与科技服务业发展效率不尽相同。生态保护效率较高的省市是上海、浙江、云南、贵州,而湖北、安徽、江西的生态保护效率在大部分年份均未达到有效。科研技术服务业发展效率较高的省市是上海、四川,而安徽、云南、贵州在大部分年份未达到有效。科技资本服务业发展效率较高的省市是上海、四川,而江苏、浙江、江西、云南、贵州在大部分年份未达到有效。 科技宣传服务业发展效率较高的省市是上海、湖北,而浙江、安徽、云南、贵州大部分年份未达到有效。综合来看,上海是生态保护和科技服务业发展协调最好的城市。
(2)科研技术服务业效率不仅对当地生态保护效率具有正向影响,而且对其它地区的生态保护效率具有正向溢出效应。 科研技术服务效率提升能极大地丰富科研成果[44],上述成果直接与生态保护相关,如流域减负修复关键技术、受污染土壤修复技术等。此外,很多研究成果通过作用于现代产业,使生产环节产生更少的污染排放或生产效率提高、原材料投入减少,从而突破资源环境约束,增强发展可持续性。科研成果增加不仅可以显著提升当地生态保护效率,而且随着产业链条跨区域延展(上官绪明,2018),可以促进其它地区生态保护效率提升。
(3)科技资本服务业效率对当地生态保护效率有正向影响,但对其它地区的生态保护效率有反向抑制效应。科技资本服务业效率提高会引起科技创新性企业与高科技人才集聚[45],从而加快科研成果转化。转化后的科研成果通过上述直接与间接方式影响生态保护效率。由于资本的有限性,科技资本在某个地区聚集必然意味着在其它地区减少,企业与人力资源也会随着资本流动而流动,从而在一定程度上对资本匮乏地区产生抑制作用。虽然新的科研成果会产生跨区域溢出效应,但由于人力与资本匮乏,该成果也可能面临无法迅速在其它区域使用的风险。
(4)科技宣传服务业没有对生态保护效率产生显著影响。科技宣传服务业主要面向公众开展科普教育活动,并没有直接对生态保护产生作用。相比科研技术服务业与科技资本服务业,该行业具有更广泛的大众参与性与连续性。很多环保类科研成果只有被更多人了解并用于实践,才能发挥作用,各种高科技环保类产品需要通过科技宣传被更多人知晓并使用。目前,虽然各省市科技宣传服务业并未对生态保护效率产生正向影响,但这是一个值得重视的平台。
(1)提高科研技术服务业发展效率,增强生态保护方面的科学研发以及科研成果环保效应。目前,我国在生态保护方面的科研已经取得了一定成绩,但在前瞻性与创新性方面需要进一步强化,需要注重环境风险防控与国际科技合作力度。在非生态保护类科研方面,应以环境可持续发展为前提,充分考虑研发成果对环境可能产生的积极与消极作用。
(2)健全市场机制,引导更多社会资本流入,增加科技资本总量,加强资本对科研的有效促进作用。目前,社会资本进入环保产业主要有两种方式:一种是联姻式,即金融资本与环保企业深度结合并推动行业发展;另一种是派生式,即环保企业涉足金融产业并形成产融结合集团。为了使环保企业更集中地发挥其在生态保护方面的比较优势,应鼓励联姻式发展,通过法律法规遏止企业以“环保”为名开展不相关的金融业务。此外,为了使已进入环保产业的资本被更多地用于研发,应完善科技成果市场转化机制,提高环保产业资本投入回报率。
(3)加强当地生态保护科技人才队伍建设,形成长江经济带生态保护科技联盟。科技资本集聚在一定程度上会抑制周边地区的生态保护效率提升,因此,有必要深化相关人才发展体制机制改革,激发环保科技人才创新创造创业活力,吸引环保人才。同时,尝试建立长江经济带生态保护科技联盟,构建技术成果信息公开机制以及科技管理信息系统,做好科技示范工作,为生态保护科技资源统筹管理和共享服务提供支撑,从而最大化地发挥科技服务业对生态保护效率的溢出效应。
(4)丰富推广平台,促使生态保护科技专题化。科技博物馆是科研成果普适性传播的关键平台,可考虑在博物馆内增设生态保护专题展区。同时,充分利用互联网与移动平台,基于大数据与虚拟现实技术,创造性地开展生态保护科技宣传工作。此外,加强生态保护科技专业化推广,如湖北环保局设置了“环保实用技术推广”专栏,旨在发布先进适用的环保实用技术。
受限于数据可得性,本文在《国家科技服务业统计分类(2018)》基础上选取的科技服务业细分行业具有一定的局限性,随着科技服务业统计数据不断完善,可以将更多科技服务业细分行业纳入框架。就研究对象而言,本文仅选取长江经济带的9个省份与2个城市,没有统一使用更微观的地市级数据,未来研究可以尝试涵盖长江经济带的39个城市,将更多城市作为决策单元构建生产前沿面。此外,在生态保护效率指标体系构建时,可以考虑根据环境属性将指标体系进一步分解为水、大气、土壤等方面,从而探究科技服务业细分行业发展效率对各属性生态保护效率的具体影响。
[1] 李干杰.坚持走生态优先、绿色发展之路 扎实推进长江经济带生态环境保护工作[J].环境保护,2016,44(11):7-13.
[2] 中华人民共和国国家发展和改革委员会.国家环境保护“十三五”科技发展规划纲要[EB/OL].http://huanbao.bjx.com.cn/news/20161121/790572-3.shtml,2016-11-21/2018-11-11.
[3] SCHALTEGGER S,BURRITT R.Contemporary environmenta accounting.issues,concepts and practice[M].London:Greenleaf publishing,2000.
[4] WBCSD.Eco-efficientcy: creating more value with less impact[R].Geneva,World Business Council for Sustainable Development,2000:5-36.
[5] MULLER K,STERM A.Standardized eco-efficiency indicators-report 1: concept paper[R].Basel,2001.
[6] H?H H,SCHOER K, SEIBEL S.Eco-efficiency indicators in German Environmental economic accounting [J].Statistical Journal of the United Nations Economic Commission for Europe,2002(19): 41-52.
[7] 戴铁军,陆钟武.钢铁企业生态效率分析[J].东北大学学报,2005(12):1168-1173.
[8] 邱寿丰.中国区域经济发展的生态效率研究[J].能源与环境,2008(4):8-10+15.
[9] 杨斌.2000—2006 年中国区域生态效率研究——基于 DEA 方法的实证分析[J].经济地理,2009(7):1197-1202.
[10] 付丽娜,陈晓红,冷智花.基于超效率 DEA 模型的城市群生态效率研究——以长株潭 “3+5”城市群为例[J].中国人口·资源与环境,2013(4):169-175.
[11] 汪克亮,孟祥瑞,杨宝臣,等.基于环境压力的长江经济带工业生态效率研究[J].资源科学,2015(7):1491-1501.
[12] 陈傲.中国区域生态效率评价及影响因素实证分析——以2000—2006 年省际数据为例[J].中国管理科学,2008(S1):566-570.
[13] 李惠娟,龙如银,兰新萍.资源型城市的生态效率评价[J].资源科学,2010(7): 1296-1300.
[14] 罗超平,田庆刚,陈静稚,等.县域农村金融生态系统评价与比较研究——基于重庆29 个区(县)的数据分析[J].农业现代化研究,2016(2): 298-303.
[15] 吴小庆,徐阳春,陆根法.农业生态效率评价——以盆栽水稻实验为例[J].生态学报,2009(5): 2481-2488.
[16] 蔡楠,杨扬,方建德,等.基于层次分析法的城市河流生态修复评估[J].长江流域资源与环境,2010(9): 1092-1098.
[17] 邓波,张学军,郭军华.基于三阶段 DEA 模型的区域生态效率研究[J].中国软科学, 2011 (1): 92-99.
[18] 洪开荣,陈诚,丰超,等.农业生态效率的时空差异及影响因素[J].华南农业大学学报(社会科学版), 2016 (2): 31-41.
[19] 李国平.产业转移与中国区域空间结构优化[M].北京:科学出版社,2016.
[20] 韩永辉,黄亮雄,王贤彬.产业结构优化升级改进生态效率了吗[J].数量经济技术经济研究,2016(4):40-59.
[21] 经济合作与发展组织.创新与知识密集型服务活动[M].北京:科学技术文献出版社,2006.
[22] 国家科学技术委员会.关于加速发展科技咨询、科技信息和技术服务业的意见[Z].国科发策字566号,1992-08-22.
[23] 王晶,谭清美,黄西川.科技服务业系统功能分析[J].科学学与科学技术管理,2006,27(6):37-40.
[24] 陆洋,韩顺平.科技服务业系统功能研究[J].技术经济与管理研究,2009(2):33-5.
[25] 李从欣,李国柱.科技服务业发展对绿色经济效率影响研究[J].科技管理研究,2018(11): 240-245.
[26] 冀鸿,柳烨.基于 VAR 模型的科技服务业发展与经济增长关系研究——以吉林省为例 [J].工业技术经济,2018,37(2):66-73.
[27] 赵冬梅,陈前前,吴士健.双创环境下发展科技服务业助推经济转型升级问题研究——以江苏科技服务业为例[J].科技进步与对策,2016,33(14):1-6.
[28] BRENNER T,CAPASSO M,DUSCHL M,et al.Causal relations between knowledge-intensive business services and regional employment growth[J].Regional Studies,2017(9):1-12.
[29] 徐顽强,孙正翠,周丽娟.基于主成分分析法的科技服务业集聚化发展影响因子研究[J].科技进步与对策,2016,33(1):59-63.
[30] FREEL M.Knowledge-intensive business services: geography and innovation[M].London:Routledge,2016.
[31] 王颖,蓝云飞,汪琳.基于TOPSIS方法的中部地区科技服务业发展水平评价[J].统计与决策,2019(11):53-56.
[32] 张鹏,梁咏琪,杨艳君.中国科技服务业发展水平评估及区域布局研究[J].科学学研究,2019(5):833-844.
[33] 齐芮,祁明.科技服务业集聚对工业效率提升的溢出效应研究——基于 2003—2015 年中国215个地级以上城市的经验证据[J].宏观质量研究,2018,6(1):86-94.
[34] 杨慧力,汪金月,李静.科技服务业促进制造业效率提升的路径[J].中国科技论坛,271(11):77-82.
[35] 张媛媛.我国科技服务业与制造业的产业关联分析[J].统计与决策,2018(5):135-138.
[36] ANDERSEN P,PETERSEN N C.A procedure for ranking efficient units in data envelopment analysis[J].Management Science,1993,39(10):1261-1264.
[37] OH D H,HESHMATI A.A sequential malmquist-luenberger productivity index: environmentally sensitive productivity growth considering the progressive nature of technology[J].Energy Economics,2010,32(6):1345-1355.
[38] WANG K,S W YU,W ZHANG.China's regional energy and environmental efficiency:a DEA window analysis based dynamic evaluation[EB/OL].http://dx.doi.org/10.1016/j.mcm.2011.11.067.
[39] CHARNES A,CLARK C T,COOPER WW,GOLANY B.A developmental study of data envelopment analysis in measuring the efficiency of maintenance units in the U.S.air forces[J].Annals of Operations Research,1983,2(1): 95-112.
[40] LESAGE J P,PACE R K.Introduction to spatial econometrics[M].Boca Raton: Taylor & Francis Group,2009: 34-48.
[41] TOBLER W R.A computer movie simulating urban growth in the detroit region [J].Economic geography,1970,46(2) : 234-240.
[42] 王兵,吴延瑞,颜鹏飞.中国区域环境效率与环境全要素生产率增长[J].经济研究,2010(5): 95-109.
[43] 刘华军,杨骞.资源环境约束下中国 TFP 增长的空间差异和影响因素 [J].管理科学,2014,27(5) : 133-144.
[44] 冯华,王智毓.我国科技服务业与经济增长关系的实证研究[J].软科学,2018,32(2):6-10.
[45] 吴继贵,叶阿忠,张月玲.资本积累的空间溢出效应研究[J].系统工程学报,2018(3):308-319.