人力资本结构高级化对科技创新绩效的影响

吕洪燕1,2,于翠华2,孙喜峰2,郭 亮3

(1.辽宁大学 经济学院,辽宁 沈阳 110036;2.齐齐哈尔大学 经济与管理学院,黑龙江 齐齐哈尔 161006;3.哈尔滨理工大学 经济与管理学院,黑龙江 哈尔滨 150080)

摘 要:科技创新是社会发展的动力,人力资本是创新的主体,人力资本由低层次向高层次演化的动态过程即人力资本结构高级化过程。人力资本结构高级化通过与技术结构升级匹配,营造和改善创新环境,并通过需求结构升级提升科技创新绩效。采用向量夹角衡量人力资本结构高级化水平,分析其对科技创新绩效的促进作用,并将其与人力资本存量对科技创新绩效的影响进行对比分析。回归结果显示,人力资本结构高级化能够显著提升科技创新绩效,相对于人力资本存量而言,人力资本结构高级化对科技创新绩效的作用更大。分区域研究中,东部和中部地区人力资本结构高级化对于科技创新绩效的作用高于全国平均水平,东北地区呈抑制作用。因此,在制定创新驱动人力资本政策时应考虑如何提高人力资本结构高级化水平,针对区域情况制定差异化人力资本政策。

关键词:人力资本;人力资本结构高级化;科技创新绩效;区域差异

Research on the Impact of Human Capital Structure Upgrading in Performance of Scientific and Technological Innovation

Lv Hongyan1,2,Yu Cuihua2,Sun Xifeng2,Guo Liang3

(1.School of Economics, Liaoning University, Shenyang 110036,China;2.School of Economics and Management, Qiqihaer University, Qiqihaer 161006, China;3.School of Economics and Management, Harbin University of Science and Technology, Harbin 150080, China)

Abstract:Scientific and technological innovation is the driving force of social development, while human capital is the subject of innovation. The dynamic process of human capital evolution from low level to high level is the process of human capital structure upgrading. The human capital structure upgrading improves the performance of scientific and technological innovation by matching with the upgrading of technology structure, creating and improving innovation environment and upgrading of demand structure. In this paper, we calculate the angle between two vectors to measure the level of human capital structure upgrading. on this basis we analyze the promoting effect of the human capital structure upgrading on the performance of scientific and technological innovation and compares it with the effect of human capital stock on the performance of scientific and technological innovation. Regression results show that human capital structure upgrading significantly promotes scientific and performance of technological innovation. Compared with the stock of human capital, human capital structure upgrading plays a greater role in performance of scientific and technological innovation. In the regional study, the effect of the human capital structure upgrading in the eastern and central regions on performance of scientific and technological innovation is higher than the national level, while the northeastern region shows a restraining effect. Therefore, when formulating innovation-driven human capital policy, we should consider how to improve the advanced level of human capital structure upgrading and formulate differentiated human capital policy according to regional conditions.

Key Words:Human Capital; Human Capital Structure Upgrading; Performance of Scientific and Technological Innovation; Regional Differences

收稿日期:2019-04-23

基金项目:黑龙江省省属高等学校基本科研业务费科研项目(135109609);中国博士后科学基金项目(2016M601439);黑龙江省哲学社会科学研究项目青年基金项目(16GLC03);黑龙江省博士后项目(LBH-Z15103)

作者简介:吕洪燕(1983-),女,黑龙江齐齐哈尔人,辽宁大学经济学院博士研究生,齐齐哈尔大学经济与管理学院讲师,研究方向为区域经济、技术创新与管理;于翠华(1964-),女,黑龙江齐齐哈尔人,齐齐哈尔大学经济与管理学院副教授,研究方向为区域经济;孙喜峰(1975-),男,黑龙江齐齐哈尔人,齐齐哈尔大学经济与管理学院讲师,研究方向为区域经济、酒店管理;郭亮(1982-),女,黑龙江哈尔滨人,博士,哈尔滨理工大学经济与管理学院副教授,研究方向为区域经济、创新管理。

DOI:10.6049/kjjbydc.2019020166

开放科学(资源服务)标识码(OSID):

中图分类号:F249.21

文献标识码:A

文章编号:1001-7348(2020)03-0133-09

0 引言

科技创新既是社会发展的动力,又是一个国家提升其综合竞争力的关键。党的十九大明确提出“科技创新是提高社会生产力和综合国力的战略支撑,必须摆在国家发展全局的核心位置”,强调要坚持走中国特色自主创新道路,实施创新驱动发展战略。创新是引领发展的第一动力,而人才是创新的根本,创新驱动的实质就是人才驱动。人力资本作为科技创新投入中最具能动性的核心要素,是科技创新的主体,在提高创新能力及创新水平方面起关键作用。科技创新体现在创新主体对现有技术水平的突破上,这与其知识结构以及发现和创造新技术的能力有关。研究表明,人力资本结构是科技创新的重要影响因素[1]。一个国家的科技创新绩效水平不仅与人力资本绝对数量有关,更取决于人力资本质量和结构。随着经济的不断发展和教育水平的不断提升,中国人力资本质量和结构也发生了巨大改变,其中就业人员中大专及以上学历受教育人口由2001年的5.6%上升到2016年的18.1%,就业人员中初中及以下受教育人口由2001年的81%下降到2016年的63.4%。就业人员中受教育程度不断提高、人力资本质量有所提升、人力资本结构也在不断发生变化,突出表现为人力资本由初级向高级转化,即人力资本结构高级化过程[2]。那么,人力资本结构高级化与科技创新绩效间是否具有一定联系?相对于人力资本存量而言,人力资本结构高级化对于科技创新绩效的影响,哪个贡献更大?这是本文研究的主要问题。

1 文献综述

从现有文献看,国内外学者对于人力资本与科技创新绩效关系的研究主要集中在两个方面:①人力资本结构度量。常用指标包括人力资本分布结构和人力资本内部结构两种。其中,人力资本分布结构一般用人力资本基尼系数表示。Doménech & Castelló[3]构建了代表人力资本结构不平等的基尼系数。人力资本结构基尼系数介于 0 ~ 1 之间,值越大,表明教育分布越不平衡;反之亦是。人力资本内部结构通常表示各层次人力资本所占比重。除此之外,还有一些学者采用教育方差[4]、层级人力资本[5]对人力资本结构进行测量。刘智勇等[2]构建了人力资本结构高级化指标,并分析了人力资本结构高级化与经济增长间的关系;②人力资本能否提升科技创新绩效及其作用机制。关于该方面的研究,学者们主要集中在人力资本存量对科技创新绩效影响的探讨上,多数学者认为人力资本投入对科技创新绩效有积极促进作用。人力资本是企业科技创新的主体,直接决定着企业技术路径的初始选择[6],人力资本投入过少及配置不合理是造成科技创新效率低下的主要原因[7]。喻汇[8]按照人力资本参与度不同,将科技创新分为物质资本驱动式科技创新、人力资本外延式科技创新、人力资本内涵式科技创新3类。人力资本在推动科技创新扩散中扮演着重要角色,包括企业家的决策作用、技术人员提供的技术支持以及销售人员与市场的沟通等[9]。另外一些学者从实证角度分析了人力资本与科技创新绩效间的非线性关系。如杨俊等[10]认为,外资与国内地区间购买技术的R&D溢出对本地科技创新绩效存在不同程度的人力资本门槛效应,在跨越门槛之后,高层次人力资本更适合吸收国外R&D溢出技术;高彩梅等[11]研究认为,人力资本对区域科技创新的影响分别表现出单门槛效应和双门槛效应,不同地区间科技创新能力差异明显,各地区只有跨越相应的人力资本水平和 FDI 门槛值,人力资本效应才能得到充分发挥进而促进区域科技创新能力提升。也有少数学者认为,人力资本对于科技创新绩效的影响作用并不显著。创业者人力资本虽然也促进了研发投入、产品创新和流程创新,但影响较小;不同类型企业员工人力资本对研发投入和产品创新均无影响作用,但企业工人和管理人员培训却对流程创新发挥了较小的促进作用[12]。对于人力资本提升科技创新绩效机制的研究,学者们得出了不同的研究结论。如郭吉涛等[13]认为,企业人力资本通过组织激励和科技创新两条路径对知识创新产生影响;梁双陆等[14]通过研究西部地区教育储备型人力资本对科技创新的影响发现,虽然西部地区教育储备型人力资本对科技创新具有显著影响,但更倾向于低水平科技创新。

综上所述,关于人力资本与科技创新绩效的研究中,多数学者对于人力资本变量都采取了人力资本存量指标,且多集中在人力资本存量对于科技创新绩效及经济增长的影响上,缺乏人力资本由初级向高级演变过程中对科技创新绩效影响的研究。科技创新需要创新主体具备更加完备的知识结构、善于发现与突破原有技术的能力,其与人力资本中的高级人力资本关系更为密切,在人力资本由初级向高级转化过程中能够改变人力资本结构和质量、提升科技创新能力,从而提升科技创新绩效。简单的人力资本存量无法体现人力资本由初级向高级的转化过程,也很难从根本上反映以人力资本质量及其结构演进为特征的人力资本结构变化与科技创新绩效间的联系。另外,基于中国地区人力资本现状,尤其东北地区作为老工业基地人才流失现象较为普遍,本文按照“四大板块”进行区域划分。本研究在构建人力资本结构高级化指标的基础上,分析人力资本结构动态变化过程,即人力资本由初级向高级演变过程中对科技创新绩效的影响,并将其与人力资本存量的贡献作对比,旨在为区域人力资本政策及创新政策的制定提供一定借鉴。

2 人力资本结构高级化对科技创新绩效提升机制

人力资本结构高级化是指随着教育环境的改善,人力资本受教育水平不断提升,人力资本结构相应发生规律性变化的过程,主要表现为低层次教育水平人力资本比重不断下降、高层次教育水平人力资本比重不断上升[2]。不同于以往学者所定义的“人力资本结构优化”[15]对于人力资本的静态描述,人力资本结构高级化是一个动态过程。人力资本结构高级化过程就是人力资本由初级向高级转变的过程,在这一过程中,初级人力资本比重不断下降、高级人力资本比重不断上升,这也是一个经济体随着经济发展及教育环境优化所体现出来的总体趋势。人力资本结构高级化对科技创新绩效的提升机制主要体现在以下3个方面:

2.1 通过与技术结构升级相匹配促进科技创新

科技创新的突出表现是技术结构升级。一个经济体最优的技术结构由其要素禀赋结构内生决定[16],而一国技术结构与其要素投入结构相匹配[17]。人力资本作为最重要的生产要素,其结构直接决定了经济系统的技术结构。人力资本质量决定了科技创新方向和水平。Goedhuys&Veugelers[18]和 Balsmeier&Czarnitzki[19]的研究表明,工人通过高等教育获得的知识对于企业引进新技术、新产品至关重要。由初级人力资本向高级人力资本演变的人力资本结构高级化直接改变了就业结构及技术结构,相应地高科技产业就业人员中高级人力资本比例随之上升。创新建立在科学道理发现的基础上,个体识别新知识的能力取决于其所积累的知识或技能(李后建等,2018),这也意味着人力资本结构高级化有助于促进行业创新行为,使得行业中突破性创新比例增加。同时,由于人力资本结构高级化提高了知识溢出效应,提高了团队间协调配合度和创新绩效,人力资本要素资源优化配置使得由人力资本主导的技术结构不断升级,即初级技术、原始技术逐渐被先进技术、尖端技术替代,因此人类资本结构高级化与技术结构升级相匹配,共同促进科技创新。

2.2 通过营造和改善创新环境推动科技创新

人力资本是创新的源泉,将人力资本转化为技术资源需要与之相匹配的环境和空间。人力资本结构高级化使得为科技创新提供更加优良的制度环境成为可能。人力资本不但是创新的主体,同时还是管理与制度的主导者。制度环境优化对技术创新具有显著推动作用[20]。人力资本结构高级化使得更多高级人力资本能够胜任管理职位。作为创新环境的缔造者,人力资本在由初级向高级演进过程中随着受教育水平的提高能够接触更多先进管理理念和创新机制,具备更加丰富的知识结构以及将理论应用于实践的技能。Claudia Capozza & Marialuisa Divella[21]认为,在制定创新决策时,高层次经理人更能够规避创新风险。同时,由于高层次人力资本作为科技创新的创造者身处其中,更能够结合创新现状制定有利于创新的制度,主导创新机制,发现管理与制度中存在的不足并加以修正,改善创新机制和创新环境,准确定位创新战略,并通过制定法律、金融等政策,完善知识产权保护体系等制度激励,调动创新动力,创造更加有利于科技创新的开放式创新氛围。因此,作为环境和制度的缔造者,人力资本结构高级化通过营造和改善创新环境推动科技创新。

2.3 通过需求结构升级引发科技创新

人力资本作为经济系统的参与者,既进行产品生产,又参与产品消费。高级人力资本基于受教育程度及个人知识结构和经验积累,更易于接受新事物,侧重于生活品质提升,会产生更加个性化、多样化需求,人力资本结构高级化伴随着消费需求结构升级。恩格尔定理显示,随着人均收入水平提升,消费者需求结构发生变化,满足基本生存需求的低层次商品消费比例下降、满足高层次需求的商品消费比例增加[22],而高层次需求增加会进一步引发科技创新。可见,人力资本作为商品需求者在由低级向高级转化过程中产生需求结构升级,即由低层次需求向高层次需求转变。这种需求结构升级使得科技创新向满足多样化、高级化需求方向发展,从而引发科技创新。因此,人力资本作为消费主体,人力资本结构高级化通过需求结构升级引发科技创新。

综上所述,人力资本作为投入要素,其结构禀赋决定了经济系统的技术结构,人力资本结构高级化与技术结构升级相匹配促进技术创新;制度环境优化对技术创新具有显著推动作用,人力资本结构高级化通过营造和改善创新环境推动科技创新;作为经济系统的消费者,人力资本结构高级化基于受教育背景及收入水平提升,由恩格尔效应使得其需求结构升级,即低层次商品需求比例减少,高层次商品需求比例增加,从而引发科技创新。基于以上分析,本文提出以下假说:

H1:随着受教育水平的逐步提高,人力资本结构高级化对于科技创新绩效具有促进作用。

H2:相对于人力资本存量而言,人力资本结构高级化对于科技创新绩效的促进作用更大。

3 变量、模型与数据

3.1 人力资本结构高级化度量

关于人力资本结构高级化(优化)的度量,多数学者主要采用人力资本内部结构占比表示。如在区分高技术专业的基础上,测算高技术专业人员占比作为人力资本结构衡量指标[23],或采用不同水平人力资本占人力资本总量的比重进行衡量[24],抑或采用高等教育人口占比作为人力资本结构优化指标[25]。以上研究对于高技术专业的定义具有一定的主观性,仅仅使用高级人力资本占比作为人力资本结构优化指标显然仅停留在对于人力资本结构的静态描述上,很难刻画人力资本结构高级化动态演变过程。

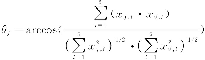
在人力资本结构高级化动态过程中,初级人力资本比重不断下降、高级人力资本比重不断上升,这一演进过程与产业结构高级化过程中第一产业比重不断下降、第二产业比重不断上升相类似。因此,为考察人力资本结构变动的全面性及避免定义高技术专业的主观性,同时考虑到人力资本结构是一个动态变化过程,本文借鉴刘智勇[2]和付凌辉[26]的方法,采用向量夹角计算人力资本结构高级化指标。将人力资本根据受教育程度划分为n个部分,每一部分占总体人力资本的比重作为空间向量的一个分量,从而构成一个n维向量,计算该向量与基准向量的夹角。向量夹角大小即为人力资本结构变化的大小。按照以上思路,首先构建人力资本空间向量,将人力资本结构按照受教育程度划分为5类,分别为:未上过学、小学、初中、高中(含高中、中等职业教育、高等职业教育)、大专及以上(含大学专科、大学本科、研究生)。其次,将每一类人力资本占人力资本总量的比重作为空间向量的一个分量,构建包含5类人力资本的五维人力资本空间向量。

选择基本单位向量组X1=(1,0,0,0,0),X2=(0,1,0,0,0),X3=(0,0,1,0,0),X4=(0,0,0,1,0),X5=(0,0,0,0,1)。计算人力资本空间向量X0与基准向量的夹角θj(j=1,…,5)。

(1)

式(1)中,xji表示基本单位向量组Xj(j=1,…,5)的第i个分量;x0,i表示向量X0的第i个分量。随后,确定夹角θj的权重,计算人力资本结构高级化指数:

(2)

其中,Hsa为人力资本结构高级化指数,Wjθj的权重。

3.2 模型与变量

基于以上分析,以科技创新绩效为被解释变量,本文构建以下计量模型:

模型一:

lnPatentit=β0+β1lnHsait+βlnX+uit

(3)

模型二:

(4)

模型一为基础模型,在控制其它变量的基础上,用以分析人力资本结构高级化对科技创新绩效的影响。模型二在模型一的基础上引入时间趋势项,对时间变量进行控制。其中,Hsa是人力资本结构高级化指标,X为其它影响科技创新的控制变量。

(1)被解释变量:科技创新绩效。衡量科技创新绩效的指标通常包括创新投入指标和创新产出指标两种。其中,创新投入指标主要从研发投入角度考察科技创新的科研投入量,通常以政府R&D支出为衡量指标;创新产出指标主要从创新产出角度考察,通常以各地区专利申请数、授权数或新产品销售收入衡量。新产品销售收入指标除创新因素外,还涉及营销及其它影响产品销售的外界因素。因此,本文借鉴Lee等[27]、芦峰等(2015)的做法,采用创新产出指标中的专利授权数衡量科技创新能力,用Patent1表示。

(2)核心解释变量。人力资本结构高级化指标按照上述度量方式计算,其中,对于θj的权重Wj的设定,参照刘智勇(2018)的做法,W1W2W3W4W5依次设定为5、4、3、2、1,用Hsa表示。

(3)控制变量。①人均GDP。经济增长为科技创新提供了经济支持及有利的宏观环境,在一定程度上促进了科技创新绩效提升。本文以各地区人均GDP作为科技创新绩效的控制变量[28],按照各地区人均GDP指数折算为2000年不变价,用rgdp表示;②科技创新投入。科技创新投入借鉴徐浩[29]的做法,以各地区研究与试验发展(R&D)人员全时当量衡量,将其作为影响科技创新绩效的控制变量,用RY表示;③产业结构优化。产业结构优化能够提升技术创新能力,低层次产业结构状态阻碍了技术创新能力的发挥[30]。本文以第三产业增加值与第二产业增加值的比重衡量产业结构优化程度,用Industry表示;④金融发展水平。金融发展为科技创新提供了金融支持,金融发展水平越高,地区科技创新能力越强。金融发展水平用各地区存贷款总额占GDP的比重衡量[29],用Fir表示。

本文采用中国除港澳台及西藏以外的30个省际面板数据,以上变量均来源于《中国统计年鉴》、《中国科技统计年鉴》、《中国人口和就业统计年鉴》以及各省统计年鉴等,对数据进行对数化处理。

4 实证检验结果

4.1 全国人力资本结构高级化水平分析

依据人力资本结构高级化度量方法,由式(1)、式(2)可以计算得到全国人力资本结构高级化指标,如图1所示。2001-2016年,全国人力资本结构高级化指数总体呈上升趋势,在2004年及2011年出现波峰。这是因为,随着2000年中国高校扩招政策的全面实施,2004年就业人员中大专以上受教育人口迅速增加,使得人力资本结构高级化指数上涨,但由于20世纪90年代初期计划生育政策的实施使得人力资本结构高级化指数出现短暂下滑,随后基本处于上升状态。可见,中国人力资本结构高级化指数不断上升。进一步分区域分析人力资本结构高级化水平。依据2015《政府工作报告》将全国分成四大板块的战略措施,本文将全国数据分成东部、中部、西部及东北4个分样本区域。按照四大板块计算中国东部、中部、西部及东北地区的人力资本结构高级化指标,如图1所示。从中可见,四大板块人力资本结构高级化指标整体呈上升趋势,变化趋势与全国一致。其中,2011年以前东北地区人力资本结构高级化指标始终处于全国领先水平。这是因为,东北地区作为中国最重要的工业基地在建国以后积累了丰富的高层次人力资本,人口素质相对较高。以辽宁省为例,在样本期内,辽宁省就业人口中大专及以上学历受教育人口比例连续多年仅低于北京、天津、上海,领先于全国其它地区。2011年以后排名虽然略有下降,但仍高于中国大部分省份,刘新建[31]的研究也体现了这一点。东北地区人力资本结构高级化指标虽然整体处于上升趋势,但与其它地区相比,上升幅度比较平缓。东部地区人力资本结构高级化指标高于全国平均水平,在2011年以前仅低于东北地区,2011年以后超过东北地区成为全国人力资本结构高级化水平最高的地区。东部地区经济发达,吸引了全国各地高级人才,人力资本结构高级化水平上升较快。中部地区人力资本结构高级化水平发展趋势与全国相当,略高于全国平均水平。西部地区人力资本结构高级化水平低于全国平均水平,整体来看也处于不断上升趋势。

图1 人力资本结构高级化水平

人力资本结构高级化水平呈现出人力资本由低层次向高层次转变的过程,那么,这一指标与人力资本存量是否存在联系?为进一步对比分析,需计算全国人力资本存量。对于人力资本存量的估算,本文采用平均受教育年限法,计算方法如下:

Hu=φ1*2+φ2*6+φ3*9+φ4*12+φ5*16

(5)

其中,Hu为平均受教育年限,φ1φ2φ3φ4φ5分别为就业人口中未上过学、小学、中学、高中(含高中、中等职业教育、高等职业教育)、大专及以上(含大学专科、大学本科、研究生)人口比重。

以平均受教育年限为标准的人力资本存量指标与人力资本结构高级化指标对比如图2所示。从中可见,人力资本高级化水平高于人力资本存量水平,二者均在2004年、2011年出现短暂小幅度提升并呈现波峰,随后平稳发展,整体发展趋势大体相同。可见,人力资本结构高级化指标与人力资本存量存在联系,但由于人力资本结构高级化指标更能体现人力资本由低层次向高层次转变过程中的动态变化联系,在这一动态过程中创新产出也势必相应发生变化,因此采用人力资本结构高级化指标衡量其对科技创新绩效的促进作用更符合结构经济学的思想。

图2 全国人力资本结构高级化水平与人力资本存量比较

4.2 人力资本结构高级化对科技创新绩效的影响

4.2.1 全样本回归

为分析人力资本结构高级化水平与科技创新绩效间的关系,本文基于全国数据进行面板回归分析。为检验变量间是否存在共线性问题,计算变量方差膨胀因子发现,VIF最大值为3.14,平均值为2.51,变量间排除多重共线性可能。对于模型一进行豪斯曼检验,结果如表1所示。检验结果显示,选择固定效应模型较为合理。因此,以下回归结果以固定效应模型进行分析。

表1 豪斯曼检验结果

变量(b)fe(B)re(b-B)DifferenceSqrt(diag(V_b-V_B))S.E.lnHsa6.383 7334.735 0081.648 7250.430 662 7lnrgdp1.303 031.097 7680.205 262 50 .037 696 6lnRY0.272 384 40.586 649 7-0.314 265 30 .040 704 7lnFir0.667 892 50.426 7790.241 113 60.062 316 7lnindustry0.276 254 20.237 2270.039 027 20.020 176 2cons-25.882 72-22.248 54-3.634 1831.103 92Chi2(5)=(b-B)'[(V_B-V_B)^(-1)(b-B)]=101.13Prob≻chi2=0.000 0

在模型一中以科技创新绩效为被解释变量、以人力资本结构高级化指标为解释变量进行面板数据回归,结果如表2第2列所示。从中可见,人力资本结构高级化对于科技创新绩效的影响显著为正,仅考虑人力资本高级化对于科技创新的影响时,其回归系数为39.22,显然当忽略其它影响科技创新绩效变量时回归系数偏高,且拟合优度较低。逐步加入其它控制变量,回归结果如表2第3~第6列所示。在逐步加入其它控制变量后,人力资本结构高级化对于科技创新绩效的回归系数有所下降,但不改变回归系数的显著性,拟合优度也进一步提高。以表2中最后一列数据为最终回归结果进行说明,人力资本结构高级化对科技创新绩效的回归系数为6.38,即人力资本结构高级化指标每提高1%,科技创新绩效提高6.38%。可见,人力资本结构高级化对于科技创新绩效的促进作用非常显著。科学是技术之源,科技创新意味着对已经存在的知识体系建立新观点并进行知识创造,这就要求创新者具备完备的科学知识结构以及发现并更新技术的能力。在人力资本结构高级化这一动态过程中,低教育层次人口比例不断减少、高教育层次人口比例不断增加,从根本上提高了人力资本知识储备,使之具备更加完善的知识结构及科技创新能力,因而能够极大程度上提升科技创新绩效。从控制变量回归结果看,人均GDP可以显著促进科技创新绩效提升,经济水平提高为科技创新提供了更加有利的条件。R&D人员全时当量作为创新投入为科技创新提供了人力资源,其回归系数为0.27。金融发展为科技创新绩效发挥了显著促进作用,金融发展指标可以协同其它因素更有效地发挥其对科技创新绩效的促进作用,这与罗嘉雯[32]的结论一致。金融发展为科技创新提供了稳定的资金支持,特别是一些民营企业借助金融市场提供的资金支持,成为创新市场上最具活力的部分。产业结构优化能够显著促进科技创新绩效提升。产业结构优化使得更多资金和技术集聚到高新技术产业领域,促进科技创新绩效提升。模型整体拟合效果较好,逐步加入控制变量后,人力资本结构高级化对于科技创新绩效的回归系数显著性不变,并且系数大小变化不大,拟合优度有所提高,假设H1得到验证。在控制时间变量后模型二回归结果如表2第7列所示。在考虑时间效应后,人力资本结构高级化对科技创新绩效仍然具有显著促进作用,其控制变量系数大小和显著性变化不大。

表2 人力资本结构高级化对科技创新绩效的影响

解释变量被解释变量lnPatent1模型一模型二lnHsa39.22***8.82***8.25***6.65***6.38***4.06**(38.48)(7.32)(7.05)(5.94)(5.76)(3.15)lnrgdp1.58***1.28***1.25***1.30***1.01***(29.10)(17.19)(17.85)(18.43)(5.24)lnRY0.34***0.27***0.27***0.25***(5.60)(4.63)(4.72)(4.31)lnFir0.92***0.67***0.51**(7.74)(4.90)(3.29)lnIndustry0.28***0.09(3.57)(0.87)cons-104.15***-32.08***-31.20***-26.37***-25.88***-16.09***(-35.5)(-10.62)(-10.66)(-9.35)(-9.28)(-3.81)时间变量—————控制R20.767 30.919 50.924 70.933 70.935 50.943 6F106.47229.4343.2250.5451.7840.14N480480480480480480

注:括号内为t值,***、**、*分别表示回归系数在1%、5%、10%水平下显著,下同

4.2.2 分样本回归

为进一步比较中国不同地区的情况,分区域考察人力资本结构高级化对于科技创新绩效的影响。以模型一对区域样本进行回归,结果如表3所示。从中可见,在中国四大板块中,东部和中部地区人力资本结构高级化对于科技创新绩效的影响最大,分别为8.49和8.94,高于全国平均水平。中部地区人力资本结构高级化对于科技创新绩效的回归系数最高,作为中国经济、文化与科技创新中心,教育水平较高,因为其拥有丰富的科技资源,人力资本结构高级化极大程度上促进了科技创新。东部沿海地区经济发达,吸引了大量高层次人才,集聚了对科技创新起决定性作用的人力资本和物质资本。同时,沿海地区独特的区位优势使得其金融发展和科研投资均为创新提供了较好的环境。而西部地区人力资本结构高级化对于科技创新绩效的影响低于全国平均水平,回归系数为2.95。这是因为,西部地区经济发展水平较低,对于吸引高层次人力资本的动力不足,同时由于教育水平相对落后,人力资本受教育程度较低,人力资本结构高级化进程缓慢,影响了其对科技创新绩效的促进作用。值得注意的是,虽然东北地区人力资本结构高级化处于全国领先水平,但其对于科技创新绩效的促进作用为负,回归系数为-6.40。科技创新绩效不但与人力资本结构相关,也与其所处环境的体制机制相关。东北地区作为中国老工业基地,国有企业比重较大,国有企业特有的机制与其它类型企业相比,缺乏创新活力,僵化的体制结构抑制了人力资本结构高级化的创新作用。

表3 分样本回归结果

变量被解释变量lnpatent1全国东部中部西部东北lnHsa6.38***8.49***8.94**2.95*-6.40(5.76)(4.11)(3.52)(1.83)(-1.16)lnrgdp1.30***1.26***1.16***1.81***1.56***(18.43)(7.34)(5.88)(13.83)(6.44)lnRD0.27***0.26*0.48*-0.36**-0.24(4.72)(2.45)(2.58)(-2.85)(-0.66)lnFir0.67***0.041.67***0.87***-0.24(4.90)(0.19)(5.21)(4.05)(-0.80)lnIndustry0.28***0.65***-0.100.30*0.57**cons(3.57)(3.86)(-0.57)(2.21)(3.58)-25.88***-30.97***-34.43***-14.90***14.59(-9.28)(-5.91)(-5.17)(-3.68)(0.94)R20.935 50.948 20.966 90.942 90.950 3F51.7846.2131.9748.238.38N4801609617648

4.3 人力资本存量对科技创新绩效影响的对比分析

人力资本是创新的源泉,人力资本结构高级化与人力资本存量对于科技创新绩效哪个作用更大?为解决这一问题,本文以平均受教育年份为标准衡量的人力资本存量代替人力资本结构高级化指标作为核心解释变量纳入模型,并对其它变量进行控制,回归结果如表4第2列所示。从中可见,人力资本存量对于科技创新绩效的回归系数为2.10,小于人力资本结构高级化对科技创新绩效的回归系数6.38,即平均受教育年限每提高1%,科技创新绩效提高2.10%。由此发现,平均受教育年限对于科技创新绩效的贡献小于人力资本结构高级化对于科技创新绩效的贡献。这在一定程度上说明,人力资本由低级向高级转化过程中带动了科技创新绩效提升,即从提升科技创新绩效角度看,提高人力资本结构高级化水平比提高人力资本存量贡献更大。进一步分区域研究,以人力资本存量为核心解释变量的分样本回归结果如表4第3~第6列所示。从中可见,东部地区和中部地区人力资本存量对于科技创新绩效的影响最大,均高于全国平均水平,西部地区人力资本存量对于科技创新绩效的影响小于全国平均水平,而东北地区回归系数依然为负,说明东北地区人力资本存量提高同样抑制了科技创新绩效提升。在控制时间变量的基础上,模型二的回归结果依然充分证实了人力资本存量对科技创新绩效具有显著促进作用,且作用程度小于人力资本结构高级化,假设H2得到验证。

由表3与表4结果对比分析发现,无论是全国样本还是分区域样本,人力资本存量对科技创新绩效的回归结果与人力资本结构高级化回归结果排序大体相同。相比之下,人力资本存量对科技创新绩效的回归系数均小于人力资本结构高级化的回归系数,即人力资本结构高级化对于科技创新绩效的影响大于人力资本存量对于科技创新绩效的影响,H2得到验证。显然,人力资本结构和质量对科技创新绩效起到了关键推动作用。

表4 人力资本存量对科技创新绩效的回归结果

解释变量被解释变量lnpatent1模型一模型二全国东部中部西部东北全国lnHs2.10***2.56***2.37**0.87*-2.791.34**(5.95)(3.78)(3.40)(1.75)(-1.56)(3.02)lnrgdp1.27***1.35***1.25***1.81***1.70***0.86***(17.47)(8.18)(6.75)(13.90)(6.16)(4.42)lnRD0.29***0.21*0.36*-0.36**-0.340.24***(5.10)(1.94)(1.94)(-2.82)(-0.92)(4.18)lnFir0.53***-0.081.59***0.79**-0.040.43**(3.75)(-0.34)(4.90)(3.53)(-0.13)(2.77)lnIndustry0.26**0.72***-0.280.28*0.54**0.09时间变量(3.39)(4.40)(-1.55)(2.05)(3.49)(0.88)—————控制cons-11.93***-12.46***-13.50***-8.36***1.83-5.91**(-27.11)(-12.53)(-13.95)(-11.60)(0.47)(-3.12)R20.935 80.947 30.966 60.942 80.951 60.943 5F51.2543.3731.8356.158.7737.49N4801609617648480

4.4 稳健性检验

为检验模型的稳健性,考察本文假设是否成立,借鉴温军等[33]和王永钦等[34]的做法,以专利申请数作为科技创新绩效指标,重新对模型一和模型二进行估计。专利申请数排除了专利批准环节的主观行为,用来衡量创新产出具有一定的合理性。以专利申请数量作为被解释变量,用lnpatent2表示。以人力资本结构高级化指标作为核心解释变量,逐步加入控制变量对模型进行回归,结果如表5所示。可以发现,人力资本结构高级化能够显著促进科技创新绩效;与人力资本存量相比,人力资本结构高级化对科技创新绩效的促进作用更大。在控制时间变量后,结论依然成立,H1和H2得到验证,模型稳健。

表5 以专利申请数为科技创新绩效指标的模型回归结果

解释变量被解释变量lnpatent2模型一模型二lnHsa38.84***6.43***6.11***4.49***4.32***3.42*(36.08)(5.15)(4.92)(3.75)(3.62)(2.39)lnHs1.83***1.57**(4.88)(3.21)lnrgdp1.68***1.52***1.49***1.52***1.45***1.25***1.09***(29.92)(19.15)(19.83)(19.90)(18.61)(5.86)(5.08)lnRD0.19**0.12*0.12*0.13*0.13*0.13*(2.94)(1.89)(1.92)(2.18)(2.04)(1.97)lnFir0.93***0.77***0.63***0.70***0.61***(7.33)(5.26)(4.20)(4.14)(3.53)lnIndustry0.17*0.15*-0.06-0.06(2.05)(1.85)(-0.57)(-0.51)cons-102.42-25.59***-25.10***-20.22***-19.91***-10.87***-14.90**-6.96**(-33.06)(-8.17)(-8.07)(-6.71)(-6.62)(-23.09)(-3.18)(-3.33)时间变量——————控制控制R20.743 50.914 50.916 10.925 10.925 80.927 50.931 30.932 1F91.92207.5234.6540.0640.3541.5529.4829.01N480480480480480480480480

5 结论与建议

人力资本是科技创新的源泉,作为科技创新投入中最具能动性的核心要素,其在提升科技创新绩效中起关键作用。与以往文献考察人力资本静态角度不同,本文基于人力资本结构高级化动态角度,在分析人力资本结构高级化促进科技创新绩效机制的基础上,采用空间向量夹角构建人力资本结构高级化指标,并基于2000-2016年中国内地30个省份面板数据计算该指标。结果显示,我国人力资本结构高级化水平总体呈上升趋势,与人力资本存量水平发展趋势相近。分区域研究中,东北地区和东部地区人力资本水平均高于全国平均水平,中部地区略高于全国平均水平,西部地区人力资本结构高级化水平最低。进一步考察人力资本结构高级化对科技创新绩效的影响作用发现,人力资本结构高级化显著促进了科技创新绩效提升。分“四大板块”进行分区域研究中,中部和东部地区高于全国平均水平,西部地区低于全国平均水平,东北地区显示回归结果为负,由于其产业结构和体制等原因,使得人力资本结构高级化抑制了科技创新绩效。通过与以受教育年限为指标的人力资本存量对科技创新绩效的作用对比,无论是全国还是分区域样本均显示人力资本结构高级化对科技创新绩效的促进作用更大,稳健性检验发现,上述结论仍然成立。结合本文结论,针对目前中国创新驱动战略下的人力资本政策提出以下建议:

(1)进一步扩大教育规模,提升教育质量。虽然我国教育整体规模有所扩大,高等教育扩张也给科技创新提供了人力资本基础,但区域间仍存在人力资本发展不平衡现象。以2016年为例,西部地区就业人口中初中及以下受教育人口占比为29.3%,比东部地区高出14.5个百分点。因此,应进一步扩大教育规模,放宽义务教育年限,提高高中及以上教育人口比例,以此带动人力资本结构高级化发展。从全国层面看,应以扩大教育规模为核心,加大高层次人才培养与引进力度,加强人才发展体制机制改革,从根本上为高层次人才引进创造良好的制度环境,为科技创新注入动力,进一步实现科教兴国战略。

(2)推进供给侧结构性改革,提高人力资本结构高级化水平,激发人力资本创新活力。《中国人力资本报告2016》显示,人力资本数量指数和质量指数在东部、中部及西部均呈增长态势,但东北地区呈下降走势。这进一步说明,东北地区人力资本现状不容乐观,本文回归结果也证实了东北地区虽然人力资本结构高级化指数较高,但其带来的创新动力不足。东北地区结构性和体制性问题使得老工业基地优势逐渐丧失。高层次教育人才集中在国有企业、机关等部门,缺乏创新激励机制,导致创新动力不足。因此,创新驱动下的东北地区首先应加快推进供给侧结构性改革,在实施人才激励政策的同时,加快产业结构升级,深化国有企业改革,加大对非公有制经济的支持和鼓励,进一步抓住东北振兴战略的契机,通过政策导向及市场机制创造有利于加快人力资本结构高级化的宏观环境,提升科技创新绩效。

参考文献:

[1] PARROTTA P,POZZOLI D,PYTLIKOVA M.The nexus between labor diversity and firm's innovation[J].Journal of Population Economics,2014,27( 2) : 303-364.

[2] 刘智勇, 李海峥, 胡永远, 等.人力资本结构高级化与经济增长——兼论东中西部地区差距的形成和缩小[J].经济研究,2018(3):50-63.

[3] DOMENECH A,CASTELL R.Human capital inequality and ecoonomic growth:some new evidence[J].The Economic Journal,2002,112(478):187-200.

[4] PARK, JUNGSOO. Dispersing of human capital and economic growth [J].Journal of Macroeconomics,2006,28(3):520-539.

[5] DISKILL R A, A W JOROWITZ,F M ENDEZ. Hierarchical human capital and economic growth: theory and evidence[J].Journal of Institutional and Theoretical Economics,2009( 4): 723-743.

[6] 蔡晓月.人力资本结构与经济增长关系研究综述[J].经济学动态,2004(6):89-91.

[7] 何红光, 宋林.人力资本配置对技术创新效率影响研究[J].技术经济与管理研究,2014(5):23-27.

[8] 喻汇.基于人力资本的科技创新路径以来的阶段性演进[J].学术交流,2011(2):82-85.

[9] 赵如, 邱成梅.科技创新扩散的人力资本因素分析[J].社会科学家,2011(5):59-67.

[10] 杨俊, 胡玮, 张宗益.国内外R&D溢出与科技创新:对人力资本门槛的检验[J].中国软科学,2009(4):31-41.

[11] 高彩梅, 朱先奇, 史彦虎.基于门槛模型的人力资本与区域科技创新研究[J]. 科技管理研究,2014(2):1-5.

[12] 王莉娜, 张国平.信息技术、人力资本和创业企业科技创新——基于中国微观企业的实证研究[J]. 科学学与科学技术管理,2018(4):111-122.

[13] 郭吉涛, 章仁俊, 秦善勇.刘民伟企业人力资本对知识创新影响的实证研究——组织激励和科技创新的中介作用[J]. 科技与经济,2012(6):81-85.

[14] 梁双陆,张利军.人力资本、科技创新与长期经济增长——基于中国西部地区的分析[J]. 技术经济与管理研究,2016(11):29-34.

[15] 孙萌, 台航.基础教育的财政投入与人力资本结构的优化[J].中国经济问题,2018(5):69-85.

[16] LIN,YIFU.New structural economics: a framework for rethinking development and policy[M].World Bank Publications.2012:89-92.

[17] ACEMOGLU, DARON, FABRIZIO ZILIBOTTI. Productivity differences[J].Quarterly Journal of Economics,2001(2):563-606.

[18] GOEDHUYS M,JANZ N,MOHNEN P. Knowledge-based productivity in low-tech industries: evidence from firms in developing countries[J]. Industrial and Corporate Change, 2013,(1): 1-23.

[19] BALSMEIER B, D CZARNITZKI. How important is industry-specific managerial experience for innovative firm performance[J].ZEW Discussion Papers, 2014(14):11.

[20] 徐浩, 冯涛.制度环境优化有助于推动技术创新吗——基于中国省际动态空间面板的经验分析[J].财经研究,2018(4):47-61.

[21] CLAUDIA CAPOZZA,MARIALUISA DIVELLA. Human capital and firms'innovation: evidence from emerging economies[J].Economics of Innovation and New Technology,2018(12):1-18.

[22] 杨天宇, 陈明玉.消费升级对产业迈向中高端的带动作用:理论逻辑和经验证据[J].经济学家,2018(11):48-54.

[23] 陶小龙, 杨先明, 胡君辰.人力资本结构优化与中国比较优势动态化[J].工业技术经济,2012(8):146-153.

[24] 王圣元, 陈万明,周蔓.供给侧改革中的人力资本结构优化研究[J].工业技术经济,2016(11):18-22.

[25] 孙萌,台航.基础教育的财政投入与人力资本结构的优化——基于CHIP数据和县级数据的考察[J].中国经济问题,2018(9):68-85.

[26] 付凌晖.中国产业结构高级化与经济增长关系的实证研究[J].统计研究,2010(8):79-81.

[27] LEE N,RODRIGUEZ-POSE A. Innovation and spatial inequality in Europe and USA[J].Journal of Economic Geography,2013,13(1):1-22.

[28] 徐晓舟, 阮珂.产业结构、金融发展与省域创新绩效[J].科研管理,2016(4):53-60.

[29] 徐浩.制度环境影响技术创新的典型机制:理论解读与空间检验[J].南开经济研究,2018(5):133-154.

[30] 林春.金融发展、技术创新与产业结构优化——基于中国省际面板数据实证分析[J].经济问题探索,2016(2):40-48.

[31] 刘新建, 房俊峰, 谢姝琳.我国四大板块人力资本差异分析——基于 26 个省区的截面数据[J].统计与决策,2008(20):87-89.

[32] 罗嘉雯, 陈浪南.金融发展影响科技创新的实证研究[J].中国科技论坛,2013(8):128-133.

[33] 温军, 冯根福.异质机构、企业性质与自主创新[J].经济研究,2012(3):53-64.

[34] 王永钦, 李蔚, 戴芸.僵尸企业如何影响了企业创新——来自中国工业企业的证据[J].经济研究,2018(11):99-114.

(责任编辑:王敬敏)