基于所有制性质的高技术企业创新能力差异及生成机理
——源自省级面板数据的实证研究

刘兰剑1,2,史 盼1,2

(1.长安大学 人文学院;2.陕西省公众科学素质与公共政策研究中心,陕西 西安 710064)

摘 要:构建基于改进突变级数法的评价模型,研究2009-2017年各省不同所有制高技术企业创新能力差异,采用ARCGIS软件进行可视化分析,运用全面FGLS回归模型探索不同所有制高技术企业创新能力差异生成机理。结果表明:①总体来看,内资企业与港澳台资和外资企业创新能力差距尚存;②省级层面不同所有制高技术企业创新能力呈现差异化状态,整体创新能力较强地区港澳台资和外资企业普遍强于内资企业,而其它地区则恰恰相反;③政府资助和引进高素质人才能够显著提升内资企业创新能力,加强产权保护、提高开放程度对内资、港澳台资和外资企业创新能力均具有积极作用。

关键词:所有制性质;高技术企业;创新能力;生成机理

Differences in Innovation Capabilities and Generating Mechanisms of Hi-tech Enterprises Based on Ownership——Empirical Research from Provincial Panel Data

Liu Lanjian1,2,Shi Pan1,2

(1.School of Humanities,Chang'an University; 2.Shanxi Provincial Public Science Literacy and Public Policy Research Center,Xi'an 710064,China)

AbstractBuilds an evaluation model based on the improved mutation series method to study the difference in innovation ability of different high-tech enterprises in different provinces from 2009 to 2017,and uses ARCGIS software for visual analysis.On this basis,comprehensive FGLS regression model is used to explore different high-tech enterprises of different ownership The generation mechanism of innovation ability difference.The results show: First,overall,there is still a gap in innovation capacity between Domestic-enterprises,Hong Kong-Macao-Taiwan and Foreign-enterprises.Secondly,the innovation capacity of high-tech enterprises with different ownerships at the provincial level is differentiated.Hong Kong-Macao-Taiwan and Foreign-enterprises in regions with stronger overall innovation capabilities are generally stronger than Domestic-enterprises,while other regions are the opposite.Third,government funding and the introduction of high-quality personnel can significantly enhance the innovation capabilities of Domestic-enterprises; strengthening property rights protection and increasing openness have played a positive role in the innovation capabilities of Domestic-enterprises,Hong Kong-Macao--Taiwan and foreign-enterprises.

Key Words:Ownership; High-tech Enterprises;Innovation Ability;Generation Mechanism

收稿日期:2020-04-28

基金项目:国家社会科学基金项目(19BJY072);中央高校基本科研业务费专项基金项目(300102110610,300102110655)

作者简介:刘兰剑(1974—),男,陕西淳化人,博士,长安大学人文学院、陕西省公众科学素质与公共政策研究中心教授、硕士生导师,研究方向为科技政策、科研管理与科技评价;史盼(1996-),女,陕西彬县人,长安大学人文学院、陕西省公众科学素质与公共政策研究中心硕士研究生,研究方向为科技政策、科技管理与科技评价。

DOI10.6049/kjjbydc.2020030437

开放科学(资源服务)标识码(OSID):

中图分类号:F276.44

文献标识码:A

文章编号:1001-7348(2020)23-0100-08

0 引言

随着经济全球化竞争的加剧,创新能力已成为国家竞争力的重要决定因素。高技术企业作为技术创新的主力军,是提高国家创新能力和区域经济发展质量的重要载体。在科睿唯安(Clarivate Analytics)公布的2018-2019年度全球创新百强企业与机构榜单中,中国大陆仅有3家企业上榜(比亚迪、小米和华为),而美国和日本则分别有33家和41家企业上榜[1]。由此可见,我国高技术企业技术水平和创新能力与发达国家领先企业相比仍有很大差距,尽快提升我国高技术企业创新能力已成为国家发展的关键问题之一。企业处于复杂多变的发展环境中,所有权结构[2]、自然禀赋、制度逻辑[3]等对企业创新能力影响较大,而当前大部分关于高技术企业创新能力的研究多从整体角度出发,较少考虑所有制因素与高技术企业创新能力的差异。因此,在当前我国经济体制转型、深化企业所有制改革背景下,揭示不同所有制性质高技术企业创新能力差异及生成机理具有重要意义。

1 文献综述

当前,基于所有制性质对企业创新表现和企业行为进行分析的文献较多,但所有制性质下企业创新差异如何,不同学者得出不同甚至截然相反的观点。一些学者认为,相比于内资非国有企业和外资企业而言,国有产权企业创新动力不足。例如,Lin等[4]基于中国2 400家企业的调研数据发现,国有产权占比较高企业在研发合作创新方面往往动力不足;Chen等[5]基于上市公司数据,研究得出私营企业往往更有竞争优势和创新效率、非国有企业创新效率明显高于国有控股企业的结论;吴延兵[6]研究表明,相对于民营企业和外资企业拥有的创新优势,国有企业缺乏竞争力。另一些学者认为,国有产权企业创新能力并不比其它类型企业弱。例如,李政等[7]基于我国制造业上市企业的实证研究发现,国有控股企业创新绩效明显高于民营企业;于潇宇等[8]认为,产权性质显著调节政府补贴绩效,激励国有企业研发投入,而对民营企业则产生挤出作用。此外,还有一些学者研究了内资、外资企业及混合所有制企业的创新差异。例如,刘小鲁[9]指出混合所有制企业大多分布在市场集中度相对更高的行业,比民营企业创新能力更强;唐宜红等[10]认为,外商直接投资(FDI)对非国有企业、出口导向型企业和资本密集型企业创新溢出效应更明显,区域市场开放程度越大,越有利于内资企业从外资企业中获取创新能力。

从内容看,当前研究高技术企业的文献大多关注高技术企业创新效率[11]、创新效率[12]、企业行为[13]、研发投入效应[14]、政府补贴效应[15]、创新能力评价[16]、产学研合作[17]等方面,而基于所有制视角进行高技术企业创新差异分析的研究不多。在这些为数不多的研究中,大多也仅对创新差异进行分析,较少探讨创新差异产生的原因[18]。从研究方法看,学者评价高技术企业创新能力采用了许多不同的评价方法,如因子分析法[15]、BP神经网络[19]、AHP[20]、DEA[9]、灰色关联度模型[21]、CL-TOPSIS[22]等。还有学者通过案例分析[8]、定性分析等方法进行研究。例如,吴晓波[23]以海康威视为例进行案例分析,认为中国高技术企业整体技术水平和创新能力与发达国家领先企业相比仍有很大差距,引进技术再创新是当前中国高技术企业赢得创新后发优势的重要途径。从研究层面看,研究主体大多为上市公司,或者是者针对某个地区、某个省份、某些城市,抑或是运用截面数据或短面板数据对全国各地区进行评价分析[7,24]。如肖海莲等[15]以广东省高技术企业为例进行异质性创新能力评价;苏屹等[25]基于灰靶理论对区域高技术企业技术创新能力进行实证分析。

区域经济学是由经济地理学逐步演化而来的,其强调以空间资源配置合理性为基础。同时,伴随着创新范式不断发展,逐步衍生出区域创新体系理论。王松等(2013)对区域创新体系理论溯源与框架进行梳理,认为区域创新体系是在一定区域范围内为实现创新发展目标,由政府、企业、科研机构等创新主体通过人才、资金、技术投入等,推动制度、科技、管理等创新,不断优化环境、创新产品、提升产业而形成的创新主体相互转换、相互作用、相互支撑的系统。其中,高技术企业作为区域创新主体,在区域创新体系中起着至关重要的作用。由于地理空间要素、区域经济发展不平衡等原因,高技术企业在区域层面表现出不同发展程度和创新现状。因此,分析企业在区域上的差异,有利于促进空间资源合理配置并推动区域创新体系发展。

综上所述,现有关于所有制经济、高技术企业、区域创新体系的文献研究成果颇丰,为本文奠定了一定的理论基础。但仍然有以下几个方面值得探讨:①现有文献在研究高技术企业创新差异时,研究对象大多是上市公司,研究范围过宽或过窄,且大多数研究内容集中在创新效率、影响效应等方面,鲜有基于所有制视角和较长时间跨度对我国各省级区域高技术企业创新能力差异分析的研究,难以准确刻画当前我国高技术企业创新能力格局;②现有研究所有制结构视角下企业创新差异的结论比较笼统、矛盾、模糊,这些文献仅将高技术企业技术创新活动作为一个没有区别的黑箱进行整体性差异分析,而没有进行更为细致的分类研究。如没有考虑所有制视角下省际间以及省域内部差异,导致政府在政策设计时难以对症下药,出现政策模糊性和资源错配问题;③以往基于所有制结构视角进行高技术企业创新差异分析的研究大多对现有创新能力差异进行简单分析,较少探讨创新差异产生的原因,难以揭示不同所有制高技术企业创新能力差异影响机制和运行机理。

综上所述,本文主要研究以下两个问题:首先,构建基于改进突变级数法的评价模型,选取2009-2017年我国省级面板数据评价高技术企业创新能力,对不同所有制高技术企业创新能力差异进行深入分析,并运用ARCGIS软件刻画我国当前高技术企业创新能力空间布局,为战略层面资源配置提供导航;其次,在评价结果的基础上构建全面的FGLS回归模型进行回归估计,分析不同性质高技术企业创新能力差异生成机理,为缩小不同所有制高技术企业创新能力差距、提升企业创新能力提供方向和思路。

2 不同所有制高技术企业创新能力差异分析

2.1 方法选取

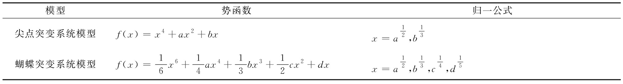
突变级数法由突变理论演化而来,是一种将评价对象划分为多个层次,结合分歧方程与模糊评判隶属函数,构建多维突变模糊隶属函数,继而推导出归一公式,逐层归纳计算评价目标得分的方法。叶莉等[26]、仵凤清等(2010)、李柏洲等(2012)研究证实突变级数法可有效评价产业、企业或区域创新能力,且计算量较少、主观性小,能够实现定性与定量相结合,保障研究的科学性和可靠性。同时,为保障指标相对重要程度的合理性,本文在参考吕开宇等[27]研究的基础上,选择主客观集成赋权法(熵值法—层次分析法)对突变级数法进行改进,以集成赋权法确定的权重为依据。另外,参考宋谦等(2017)的做法,运用主成分分析法改进突变级数法,综合考虑以上两种改进方法计算的权重系数,最终确定指标间的相对重要性程度。突变系统类型模型和归一公式见表1,表中f(x)表示系统一个状态变量的势函数,系数abcd表示该状态变量的控制变量。在确定评价结果时,若控制变量间的作用相互无法取代,则按照非互补性准则对相应的x值大中取其小;反之,则按互补性原则取均值。

表1 突变系统模型与归一公式

模型势函数归一公式尖点突变系统模型f(x)=x4+ax2+bxx=a12,b13蝴蝶突变系统模型f(x)=16x6+14ax4+13bx3+12cx2+dxx=a12,b13,c14,d15

2.2 指标选取与数据来源

本文借鉴杜丹丽等(2017)的研究,认为高技术企业创新能力主要体现在科技研发阶段和创新成果转化阶段。科技研发阶段主要体现为创新投入能力,人力、财力是基础研发投入指标,考虑到技术引进再创新仍是当前大多数地区高技术企业的技术创新模式,技术引进改造费用和新产品开发经费应作为重要的非研发投入指标。创新成果转化阶段主要体现为创新产出能力,专利申请和有效专利数是衡量创新产出的关键指标,且新产品收入和主营业务收入可反映创新产品带来的市场竞争优势及价值增值,故可作为创新产出指标。综上所述,本文构建不同所有制高技术企业创新能力评价指标体系(见表2)。研究数据来源于《中国高技术统计年鉴》、《中国科技统计年鉴》、《中国统计年鉴》、《中国火炬统计年鉴》等,借鉴陈元志等[28]的研究,将高技术企业分为内资、港澳台资与外资企业三大类,由于新疆、西藏、内蒙古等省份部分数据缺失严重,故样本量选取25个省份。

表2 不同所有制高技术企业创新能力评价指标体系

一级指标二级指标三级指标单位x1 R&D活动人员折合全时当量人年x2研发经费支出万元创新投入能力x3新产品开发经费万元x4技术引进与改造支出万元创新能力y1专利申请数件创新产出能力y2有效发明专利数件y3新产品销售收入万元y4主营业务收入万元

2.3 创新能力差异

因篇幅限制,本文选取2009-2017年均值数据进行分析,运用ARCGIS10.2软件进行数据可视化分析,并选用自然间断点分级法绘图。如图1~图4所示,其中图1为全国高技术企业创新能力布局图、图2为内资企业创新能力布局图、图3为港澳台资企业创新能力布局图、图4为外资企业创新能力布局图,具体分析如下:

由图1可知:总体来看,经济发达地区高技术企业创新能力普遍较强。广东、江浙等沿海省份高技术企业创新能力处于全国领先水平。参考程源和傅家骥(2002)的企业科技创新战略分类,这些地区高技术企业为领先型创新企业,注重自主研发,对研发要求较高。中部地区山西省高技术企业创新能力薄弱,说明发展山西省高技术企业是实现“中部崛起”的关键。广西、海南、贵州等地创新能力与其它地区差距显著,这些地区因地理位置等因素,优势或特色产业多集中在农业和旅游业,发展高技术企业的资源条件和产业基础较弱。

由图1~图4可知:①内资企业。广东、浙江等沿海省份和山东、四川等地创新能力明显强于其它地区,研发投入力度大、专利产出和新产品收入可观是激发其创新动力的重要原因。山西、海南等地高技术企业经费和人员投入比例严重不足,成为我国内资企业发展的“短板”地区;②港澳台资企业。广东、江苏、浙江、福建、上海、北京等地创新能力突出,这些地区自改革开放以来,港澳台资企业数量逐渐增多,产业结构逐步升级促进了前沿技术发展,为科技研发提供了源动力。港澳台资企业数量较少且多处于产业链低端,使得吉林、贵州等地创新基础落后;③外资企业。东部沿海省份外资创新优势显著,这些省份外资进入较早,市场环境和区位条件使其拥有先天优势,而广西、贵州等地外资企业研发机构较少,创新投入明显不足。

为明晰省域内不同所有制高技术企业创新能力现状,本文借鉴钱丽[11] 的研究,对省域内不同所有制高技术企业创新能力差异进行特征分类。如表3所示,分类标准为该地区该类高技术企业创新能力是否高于全国均值水平。

表3 不同所有制高技术企业创新能力差异特征分类

类型地区类型地区高内资高港澳台高外资(HHH)广东、上海、北京、江苏、浙江、福建、山东、天津高内资低港澳台低外资(HLL)辽宁、安徽、江西、四川、陕西低内资低港澳台低外资(LLL)山西、吉林、黑龙江、广西、海南、重庆、贵州、云南低内资高港澳台低外资(LHL)河北高内资高港澳台低外资(HHL)河南、湖北、湖南

由表3可知,省域内不同所有制高技术企业创新能力呈现差异化状态。“HHH”为创新能力“三高”型地区,3类高技术企业均具有较高水平,成为创新引领地区,其中广东、福建等地对外开放较早,在国外创新资源引导下,制造业居领先水平,创新优势明显;上海作为长三角核心城市,正在加快建设具有全球影响力的科技创新中心,拥有我国最大的外贸港口和工业基地,高技术企业呈集聚式发展。值得注意的是,“三高”型省份港澳台资和外资企业普遍强于内资企业,说明港澳台资和外资企业在我国高技术企业创新方面仍占主导地位,内资企业创新能力有待提升。“LLL”为创新能力“三低”型地区,多为工业欠发达省份,3类企业创新能力水平落后,且内资企业创新能力略高于其它企业,原因可能是外来投资吸引力弱,港澳台资和外资企业数量少。“HLL”地区发展极不均衡,除内资创新能力较强外,港澳台、外资企业均低于全国均值,这些地区多为内地省份,经济水平、知识存量都有待提升。因此,引入港澳台资和外资企业,有助于推动区域高技术企业整体发展。“HHL”地区仅外资创新能力较低,河南、湖北、湖南为中部省份,当前正大力推进“中部崛起战略”,积极引进外资,有望尽快破除地区高技术企业创新发展瓶颈。

3 不同所有制高技术企业创新能力差异生成机理分析

以上研究发现,不同地区内资、港澳台资和外资高技术企业创新能力存在很大差异,一些省份3类企业创新能力差距尤为显著,如陕西省内资企业创新能力处于中等偏上水平,但港澳台资和外资企业创新能力在全国却处于劣势地位。为全面提升我国高技术企业创新能力,本文对影响高技术企业创新能力的因素进行分析和检验,以厘清不同所有制高技术企业创新能力差异生成机理。

3.1 变量选取

企业创新能力起源于熊彼特的研究,熊彼特的创新理论认为,创新是指将一种新生产要素和生产条件的“新结合”引入生产体系,以实现对生产要素或生产条件的“新组合”,创新包括产品、技术、市场、资源配置、组织等。随后,新熊彼特主义者弗里曼提出政府应通过科技创新政策构建完整的创新生态链,最大限度地集聚国内外优质研发资源,推动持续创新。20世纪八九十年代兴起的国家创新体系研究强调应从更为广阔的社会文化背景开始研究不同企业技术创新行为差异,因为创新受到社会创新过程中各主体、环节、要素间相互作用的影响。基于此,本文认为企业创新能力是多要素综合作用的结果。当前,我国正处于经济转型时期,高技术企业创新发展面临市场、制度、环境及企业创新基础等多重压力[29],创新政策、创新环境、企业创新基础、创新人才、经济金融等因素成为影响高技术企业创新能力提升的关键[30]。因此,本文选取政府资助、创新氛围、企业规模、知识产权保护、人才素质、经济开放程度等自变量,并引入市场环境等控制变量对创新能力差异生成机理进行系统分析。

具体变量包括:①政府资助。通常有直接资助、税收优惠、金融扶持等形式。康志勇[31]研究发现,政府科技资助对企业新产品创新能力提升具有促进作用,但有一定的滞后性和持续性;李晓钟等(2019)认为,政府补贴对企业创新绩效的促进作用因企业性质不同而存在差异;②创新氛围。解学梅等(2014)认为,市场上R&D活动企业越多,越会引起竞争,倒逼企业创新。但也有学者认为,组织领地氛围作为约束组织成员行为的“软”要素会降低跨部门协调行为,进而不利于利用性技术创新的实现[32];③企业规模。Melitz等[33]的研究表明,企业技术创新与量正相关,企业规模越大,其技术创新能力越强。但不同性质企业规模能否真正促进创新能力提升尚有待检验;④知识产权保护。张杰等[34]认为,知识产权保护对研发绩效的调节作用在私营企业、外资企业及混合所有制企业中更为显著;⑤人才素质。具有较高素质的人才知识和技能水平高,是提升企业创新能力的重要动力。吴延兵、刘霞辉[35]利用民营企业调研数据发现,企业法人代表、企业总经理和企业员工人力资本水平越高,企业拥有独立研发机构的可能性越大;⑥开放程度。石大千等[36]认为,开放程度差异导致地区引进投资数量和质量都不同,对当地企业创新具有重要影响;⑦市场环境。企业所处的社会经济环境面临许多不可控因素,如政治法律、经济技术、社会文化、自然地理和竞争等。本文借鉴现有文献,以中国各省市市场化指数衡量地区市场环境[37];⑧固定资产占比。制造业中企业拥有较多机器设备,直接影响企业创新活动。表4为变量描述与数据来源。

表4 变量描述与数据来源

变量类型变量名称 变量含义及处理数据来源政府资助R&D内部经费中政府支出比重《高技术产业统计年鉴》、《中国科技统计年鉴》、《中国火炬统计年鉴》等创新氛围有R&D活动的企业数占高技术企业数的比重自变量企业规模员工人数/企业数知识产权保护技术市场成交额/ GDP《中国统计年鉴》人才素质大专以上人口/15岁以上人口《中国统计年鉴》开放程度进出口总额/GDP《中国统计年鉴》控制变量市场环境本文用樊纲、王小鲁等计算的市场化指数表示《中国各省份市场化指数报告》固定资产占比固定资产/总资产《高技术产业统计年鉴》、《中国科技统计年鉴》、《中国火炬统计年鉴》等因变量高技术企业创新能力本文2.3部分计算得出的创新能力值

3.2 模型设定

基于Hausman检验结果,拒绝随机效应模型原假设,故本文选择面板固定效应模型。参考以往文献的做法,对所有变量取自然对数以避免伪回归,模型设定如下:

lnCit=α0+α1lnGOVFit+α2lnINNAit+α3lnSCALEit+α4lnIPPRit+α5lnTQUAit+α6lnOPENit+εit

(1)

lnCit=α0+α1lnGOVFit+α2lnINNAit+α3lnSCALEit+α4lnIPPRit+α5lnTQUAit+α6lnOPENit+α7lnCONTROLit+εit

(2)

在式(1)和式(2)中,Cit表示2009-2017年25个省份内资、港澳台资、外资企业创新能力;GOVFitINNAitSCALEitIPPRitTQUAitOPENit分别代表自变量政府资助、创新氛围、企业规模、产权保护、人才素质、开放程度;CONTROLit为控制变量(包括市场环境和固定资产占比);i代表企业类型,t代表年份;α0为常数项,α1α7为待估系数,εit表示随机误差项。本文运用STATA14.0软件对数据进行分析。

3.3 相关性检验

(1)多重共线性检验。多元线性回归需考虑指标多重共线性问题,本文计算模型式(1)、式(2)所有解释变量的方差膨胀因子(VIF)以检验多重共线性问题。最终,计算得出所有变量的VIF值在1.77~2.34之间,最大值2.34远小于经验判断标准10,证明不存在多重共线性问题。

(2)异方差及相关性检验。考虑到数据收集和处理有限性等原因,模型构建不可能穷尽所有变量,有可能出现遗漏变量。因此,本文基于Hausman检验结果,选择固定效应模型进行初步回归以解决遗漏变量,缓解模型内生性问题。同时,为保证回归估计严谨性,进行异方差及相关性检验,结果如表5所示。

由表5可知:内资、港澳台资和外资企业模型(1)和模型(2)在经过沃尔德chi2检验、F检验、Friedman检验后均在不同程度显著性水平下拒绝原假设,表明扰动项存在异方差、自相关和组内同期相关。因此,本文选择全面可行广义最小二乘法估计(全面FGLS)。

3.4 实证结果分析

本文考虑加入控制变量和不加控制变量两种情况的全面FGLS,结果如表6所示。由表6可知,加入控制变量的模型(2)解释力明显优于模型(1),因此着重分析模型(2)的估计结果。

表5 异方差及相关性检验结果

检验类型内资企业(1)(2)港澳台资企业(1)(2)外资企业(1)(2)组间异方差(沃尔德chi2检验)Prob>chi2=0.005 0Prob>chi2=0.010 6Prob>chi2=0.001 6Prob>chi2=0.000 0Prob>chi2=0.000 0Prob>chi2=0.003 8组内自相关(沃尔德F检验)Prob>F=0.000 0Prob>F=0.000 0Prob>F=0.002 6Prob>F=0.001 1Prob>F=0.003 2Prob>F=0.000 0组间同期相关(Friedman检验)Pr= 0.004 5Pr= 0.000 0Pr= 0.018 8Pr= 0.034 7Pr=0.065 5Pr=0.007 8

表6 不同所有制高技术企业创新能力差异生成机理的全面FGLS估计结果

解释变量内资企业(1)(2)港澳台资企业(1)(2)外资企业(1)(2)govf0.076*1.066**-0.025***-0.024***-0.047-0.049*(1.040)(1.710)(-3.480)(-3.990)(-0.700)(-1.200)inna-0.058*-0.184**0.025***0.029**0.058***0.049***(-1.800)(-2.470)(2.560)(2.550)(4.050)(4.270)scale0.1380.3210.057***0.075***0.0150.089*(0.750)(1.670)(3.840)(6.340)(0.770)(1.420)ippr0.074*0.170**0.011*0.020**0.049***0.040***(1.130)(2.130)(1.240)(1.980)(3.760)(2.720)tqua0.051**0.491***0.1200.119**-0.005*0.098***(1.830)(2.930)(2.400)(2.770)(-0.140)(2.950)open0.0320.253**0.164***0.142***0.129***0.159***(0.370)(2.330)(3.750)(3.380)(3.690)(6.160)mar1.764***0.364***0.317***(3.250)(2.750)(3.410)pfa0.186***0.056**0.090*(3.120)(1.250)(1.320)_cons-0.771**-6.472***-1.061***-1.888***-1.089**-0.888***(-1.750)(-3.460)(-5.900)(-6.290)(-0.560)(-3.390)N225225225225225225

注:******分别表示1%、5%、10%的显著性水平

(1)政府资助与内资企业创新能力显著正相关,而对港澳台资和外资企业有显著负向影响。这与卢方元(宋谦等,2017)的结论相似,即政府财政补贴对我国高技术企业研发效率具有显著正向影响,内资企业多依赖政府支持,政府直接资助能有效提升企业技术合作和引进购买[38],降低研发风险。港澳台资和外资企业本身研发实力雄厚,在技术水平较高领域研发预算刚性强,受研发资助的激励效应弱[39]

(2)创新氛围在5%、5%、1%显著性水平下与内资企业显著负相关,与港澳台资和外资企业正相关。以往结论认为,有R&D活动的企业越多,企业技术竞争压力越大。相对内资企业来说,港澳台资和外资企业在进入大陆市场后生存意识较强,较高的技术竞争压力反而能够激发其创新动力,使用先进技术获取市场地位[40]。而对内资企业来说,在技术密度要求较高的行业,其技术研发优势略显不足,面临较强的技术竞争时,企业可能出现利润缩减等问题,从而抑制企业创新动力。

(3)企业规模对内资企业创新能力的影响并不显著,而对港澳台资和外资企业创新能力提升具有较为显著的影响。相对于内资企业来说,港澳台资和外资企业在研发基础、产品开发等方面具有一定优势,企业规模越大,新产品产值越高,企业创新能力越强。一些内资企业以引进吸收再创新为主要创新模式,在产品开发方面优势不足,长期生产大量同质化、中低端产品,依靠价格战获取市场份额,缺乏持续创新发展战略,使得企业规模的作用并不显著。

(4)知识产权保护在5%、5%、1%显著性水平下分别与内资、港澳台资和外资企业创新能力正相关。这与吴超鹏[41]的结论相似,即加大知识产权保护力度可提升企业创新能力。此外,知识产权保护对外商直接投资具有促进作用,知识产权保护水平提升能够为企业节能减排技术创新营造良好的外部环境,为环境友好型外资进入提供保障[42]

(5)人才素质在1%、5%、1%显著性水平下分别与内资、港澳台资和外资企业创新能力正相关。在知识经济时代,人才流动意味着知识与技术扩散,人力资源成为企业核心竞争力之一。这与李辉等[43]的研究结论相吻合,即人力资本与企业自主创新能力二者间存在正向关系。类似地,刘凤朝等[44]以电子制造业上市企业为研究对象,发现具有海外背景的高管人才能够显著促进企业专利申请量提升。

(6)开放程度在5%、1%、1%显著性水平下与内资、港澳台资和外资企业创新能力正相关。经济开放程度较高地区,港澳台资和外资企业聚集较多,技术溢出明显,有利于内资企业从外资中获取创新能力[10],也容易形成协同创新网络,促进区域内创新主体间知识与技术扩散[45]。此外,开放程度高的地区金融发展水平较高,对港澳台资和外资企业自主创新能力有显著影响[46]

以上分析说明,政府资助、创新氛围、企业规模、知识产权保护、开放程度分别对不同性质高技术企业创新能力产生了不同的影响,揭示了不同产权性质高技术企业创新能力差异生成机理。

4 结论与政策建议

4.1 结论与建议

本文对我国省级层面内资、港澳台、外资高技术企业创新能力进行可视化差异分析,运用回归模型分析3类高技术企业创新能力差异生成机理。得出如下结论:①总体来看,内资企业与港澳台资和外资企业创新能力差距尚存;②省级层面不同性质高技术企业创新能力呈差异化状态,整体创新能力较强地区港澳台资和外资企业普遍强于内资企业,而其它地区则恰恰相反;③政府资助和引进高素质人才能够显著提升内资企业创新能力,创新氛围能够激发外资企业创新动力,加强产权保护和提高开放程度对内资、港澳台资和外资企业创新能力均起到积极作用。基于此,本文提出以下政策建议:

(1)基于域内资源和所有制差异特征制定差异化企业创新政策。对创新基础薄弱地区,政府应引进高科技人才,加大政府资助力度和地区开放程度,建立高新技术产业孵化器,进行自主创新创业。同时,大力吸引外资和港澳台资企业,提高基础创新能力,通过专利许可、聘任外资专家担任企业技术与研发顾问等方式促进企业技术创新。对于具有创新潜力的中部地区而言,应积极引导高技术含量和价值链高端企业转移到该地区,促进科技人才回流和现有人才留下创业,塑造和改善地区企业创新环境,优化自身发展技术能级。

(2)合理配置研发资源,促进创新要素自由流动。对于不同类型企业发展不均衡地区,政府应制定合理的创新资源导向政策,平衡省域内不同类型企业研发经费和人员投入,重点支持创新能力较低企业,弥补高技术企业发展短板。构建知识信息交流平台,加快形成区域协同创新网络,加速信息流动和共享,促进企业间知识技术协同创新。此外,注重对内资企业高端技术人才的培养和吸收,改变当前主要依赖技术引进再消化吸收的“窘境”,提高企业自主创新能力,推动企业创新,带动地区经济增长。

(3)加强知识产权保护,培育技术交易市场环境。在提高知识产权保护意识的同时,加大知识产权执法力度,根据不同所有制企业差异特征,按照分类标准制定科学适度的知识产权保护制度,积极建立并完善由政府支持和引导的知识产权公共服务平台,进一步规范高技术企业技术交易市场。此外,充分发挥地区科教资源优势,鼓励高校与科研院所进行科研合作创新,积极申请发明专利,推动产学研合作平台快速运转,促进创新主体间合作交流,加强和消费者的互动,积极引导研究成果与市场需求相结合,提高科技成果转化率。

4.2 不足与展望

本文尚存在以下不足:①基于《高技术产业统计年鉴》中国有企业数据严重缺失等客观原因,本文将高技术企业按性质分为三大群组,对国有企业或国有控股企业的研究较少;②在生成机理部分仅对选取变量(自变量和控制变量)与因变量间关系进行分析,因数据处理等原因未作交互项回归。今后将针对这些问题作进一步研究,深入探讨不同所有制高技术企业创新能力。

参考文献:

[1] 科睿唯安官网[EB/OL].https://clarivate.com.cn/products/web-of-science/.

[2] 吴延兵.不同所有制企业技术创新能力考察[J].产业经济研究,2014(2):53-64.

[3] 杨洋,魏江,罗来军.谁在利用政府补贴进行创新——所有制和要素市场扭曲的联合调节效应[J].管理世界,2015(1):75-86+98+188.

[4] LIN C,LIN P,SONG F.Property rights protection and corporate R&D: evidence from China [J].Journal of Development,2010,93:49-62.

[5] CHEN V Z,LI J,SHAPIRO D M,et al.Ownership structure and innovation: an emerging market perspective[J].Asia Pacific Journal of Management,2014,31(1):1-24.

[6] 吴延兵.中国哪种所有制类型企业最具创新性[J].世界经济,2012,35(6):3-25+28-29+26-27.

[7] 李政,陆寅宏.国有企业真的缺乏创新能力吗——基于上市公司所有权性质与创新绩效的实证分析与比较[J].经济理论与经济管理,2014(2):27-38.

[8] 于潇宇,庄芹芹.政府补贴对中国高技术企业创新的影响——以信息技术产业上市公司为例[J].技术经济,2019,38(4):15-22.

[9] 刘小鲁.国企混合所有制改革怎么混[N].中国财经报,2015-11-10(007).

[10] 唐宜红,俞峰,李兵.外商直接投资对中国企业创新的影响——基于中国工业企业数据与企业专利数据的实证检验[J].武汉大学学报(哲学社会科学版),2019,72(1):104-120.

[11] 钱丽,王文平,肖仁桥.产权性质、技术差距与高技术企业创新效率[J].科技进步与对策,2019,36(12):105-114.

[12] 韩兵,苏屹,李彤,等.基于两阶段DEA的高技术企业技术创新绩效研究[J].科研管理,2018,39(3):11-19.

[13] 马玉琪,扈瑞鹏,赵彦云.企业性质、行业差异与高新技术企业退出研究[J].科学学研究,2018,36(9):1642-1649.

[14] 程虹,林丽梅.不同所有制企业技术创新投入效应差异性研究——来自中国企业-劳动力匹配调查[J].科技进步与对策,2018,35(6):77-83.

[15] 陈东,邢霂.政府补贴会提升企业的投资规模和质量吗——基于国有企业和民营企业对比的视角[J].山西财经大学学报,2019,41(8):84-99.

[16] 肖海莲,覃嘉敏.基于异质性的创新能力评价研究——以广东省高新技术企业为例[J].科技管理研究,2018,38(8):72-79.

[17] 封伟毅,张肃.产学研合作对高技术企业创新绩效的影响——基于中国2006~2015年数据的实证分析[J].工业技术经济,2017,36(7):150-155.

[18] 兰飞,田琳.产权异质视角下高新技术企业创新效率评价[J].会计之友,2014(11):46-48.

[19] XIAOFENG LI,JIUPING XU,MIN WU.The establishment of evaluation model of enterprise technological innovation ability basedon BP neural network method and it's application[J].Journal of Systems Science and Information,2005,3 (1) : 127-134.

[20] SONG J H,FENG S,WANG Y A.University innovation ability evaluzation based on ahp-topsis method[J].Applied Mechanics and Materials,2014,556-562:6653-6659.

[21] 张目,周宗放.高新技术企业自主创新能力的评价[J].统计与决策,2009(11):46-48.

[22] 符峰华,尹正江,唐纯武.基于CL-TOPSIS法的我国高技术企业技术创新能力评价研究[J].科学管理研究,2018,36(3):68-71.

[23] 吴晓波,张好雨.从二次创新到超越追赶:中国高技术企业创新能力的跃迁[J].社会科学战线,2018(10):85-90+2.

[24] 李思瑞,杨震宁.分红水平差异、股票交易活跃度与高技术企业创新——基于门限效应和调节效应的综合分析[J].研究与发展管理,2019,31(3):1-12.

[25] 苏屹,姜雪松.基于灰靶理论的区域高技术企业技术创新能力的实证分析[J].贵州社会科学,2015(2):119-126.

[26] 叶莉,王奥明,荣宇浩.基于突变级数的高技术产业自主创新能力评价及障碍诊断——以我国30省市区为例[J].工业技术经济,2018,37(1):93-102.

[27] 吕开宇,李春肖,张崇尚.基于主成分分析法和熵值法的地区农业保险发展水平分析——来自2008—2013年中国省级层面的数据[J].农业技术经济,2016(3):4-15.

[28] 陈元志,朱瑞博.不同所有制企业技术创新效率的比较研究——面向大中型工业企业和高新技术企业的实证分析[J].管理世界,2018,34(8):188-189.

[29] 罗豫,朱斌.区域产业技术引进消化吸收再创新能力比较研究[J].科技进步与对策,2012,29(7):47-53.

[30] 李柏洲,夏文飞.知识属性、技术创新能力与企业创新绩效关系的实证研究——基于环境动态性的调节效应[J].预测,2019,38(6):17-23.

[31] 康志勇.政府科技创新资助政策对企业产品创新影响研究——基于匹配模型的检验[J].研究与发展管理,2018,30(2):103-113.

[32] 范雪灵,陆露,刘军,等.创新互动框架下组织领地氛围对利用性技术创新的影响:一个被调节的中介模型[J].2020,34(2):40-49.

[33] MELITZ M J,TREFLER D.The gains fromtrade when firms matter[J].Journal of Economic Perspectives,2012,26(2):91-118.

[34] 张杰,芦哲.知识产权保护、研发投入与企业利润[J].中国人民大学学报,2012,26(5):88-98.

[35] 吴延兵,刘霞辉.人力资本与研发行为——基于民营企业调研数据的分析[J].经济学(季刊),2009,8(4):1567-1590.

[36] 石大千,杨咏文.FDI与企业创新:溢出还是挤出[J].世界经济研究,2018(9):120-134+137.

[37] 王小鲁,樊纲,余静文.中国分省份市场化指数报告(2016)[M].北京 :社会科学文献出版社,2016.

[38] 陈朝月,许治.政府研发资助不同方式对企业开放式创新的影响探究[J].管理学报,2018,15(11):1655-1662.

[39] 李平,王春晖.异质企业假定下政府研发资助效应的非线性检验[J].世界经济文汇,2011(2):103-120.

[40] 魏浩,连慧君,巫俊.中美贸易摩擦、美国进口冲击与中国企业创新[J].统计研究,2019,36(8):46-59.

[41] 吴超鹏,唐菂.知识产权保护执法力度、技术创新与企业绩效——来自中国上市公司的证据[J].经济研究,2016,51(11):125-139.

[42] 钟学思,徐静静,李洪涛.环境规制、知识产权保护与外商直接投资[J].财会月刊,2019(2):140-149.

[43] 李辉,苏勇,吕逸婧.高绩效人力资源实践、智力资本和企业自主创新能力的关系研究[J].软科学,2015,29(6):76-80+98.

[44] 刘凤朝,默佳鑫,马荣康.高管团队海外背景对企业创新绩效的影响研究[J].管理评论,2017,29(7):135-147.

[45] 张志华,王红月,杜万恒.战略性新兴产业协同创新网络影响企业创新绩效的实证研究[J].技术与创新管理,2019,40(2):151-157.

[46] 郑鸣,段梅,陈福生.我国金融发展与外资企业自主创新——基于偏最小二乘法的实证研究[J].软科学,2012,26(8):1-4+22.

(责任编辑:王敬敏)