高层次创新人才薪酬与企业盈利关系研究
——以科技型中小企业为例

刘 骏1,2,张 蕾1,陈 梅3,何琳珠3

(1.贵州财经大学 管理科学与工程学院;2.贵州财经大学 西部现代化研究中心,贵州 贵阳 550025;3.贵州省烟草科学研究院,贵州 贵阳 550002)

摘 要:科技型中小企业是我国技术创新的主力军,高层次创新人才更是科技型中小企业的宝贵资源,如何通过薪酬设计激发人才创新动力进而促进企业盈利显得尤为重要。基于不完全信息静态博弈理论,构建了科技型中小企业高层次创新人才薪酬与公司盈利均衡模型,采用非线性多元回归方法,利用111家科技型中小企业高层次创新人才薪酬、公司盈利以及其它相关数据,实证分析了高层次创新人才薪酬与企业盈利的关系。研究结果表明,高层次创新人才薪酬总额与科技型中小企业盈利同方向变动,随着高层次创新人才薪酬增加公司盈利能力也将提升;高层次创新人才与普通员工的薪酬差距对公司盈利的影响与企业成长性显著相关,企业成长性越高则薪酬差距对企业盈利的影响越小。

关键词:高层次创新人才;非线性多元回归;科技型中小企业;薪酬;企业盈利

Research on the Relationship between the Salary of High-level Innovative Talents and the Profits of Enterprises

Liu Jun1,2, Zhang Lei1, Chen Mei3, He Linzhu3

(1.School of Management Science and Engineering,Guizhou University of Finance and Economics; 2.Western Modernization Research Center,Guizhou University of Finance and Economics,Guiyang 550025, China; 3.Guizhou Institute of Tobacco Science, Guiyang 550002, China)

AbstractSmall and medium-sized technological enterprises are the main force of technological innovation in China, and high-level innovative talents are the "key few resources" of small and medium-sized technological enterprises.Based on the static game theory of incomplete information, this paper constructs the equilibrium model of high-level innovative talents' compensation and corporate profits in small and medium-sized technology-based enterprises.Using the nonlinear multiple regression method and using 111 high-level innovative talents' compensation, corporate profits and other relevant data of small and medium-sized technology-based enterprises, this paper empirically analyzes the relationship between high-level innovative talents' compensation and corporate profits.The results show that the total compensation of high-level innovative talents changes in the same direction as the profits of small and medium-sized technology-based enterprises, and the company's profitability will increase with the increase of high-level innovative talents' compensation; the effect of compensation gap between high-level innovative talents and ordinary employees on the company's profits is significantly related to the growth of the enterprise, and the higher the growth of the enterprise, the higher the compensation gap on the company's profits.The effect is smaller.

Key Words:High-level Innovative Talent; Nonlinear Multiple Regression; Small and Medium-sized Technological Enterprise; Salary; Corporate Profits

DOI10.6049/kjjbydc.Q201908786

开放科学(资源服务)标识码(OSID):

中图分类号:C96

文献标识码:A

文章编号:1001-7348(2020)14-0135-06

收稿日期:2019-12-02

基金项目:贵州省科技厅软科学计划项目(黔科合基础20161504号);贵州省烟草科学研究院科技项目(201903,201905)

作者简介:刘骏(1983-),男,贵州息烽人,博士,贵州财经大学管理科学与工程学院副教授,硕士研究生导师,贵州财经大学西部现代化研究中心研究员,研究方向为技术经济及管理;张蕾(1996-),女,贵州铜仁人,贵州财经大学管理科学与工程学院硕士研究生,研究方向为技术创新、项目管理;陈梅(1982-),女,贵州贵阳人,贵州省烟草科学研究院研究员,研究方向为技术创新;何琳珠(1982-),女,贵州贵阳人,贵州省烟草科学研究院研究员,研究方向为创新人才管理。

0 引言

党的十九大报告中提出要“加强对中小企业创新的支持,促进科技成果转化”。科技型中小企业作为我国科技创新的一支重要力量,对加快创新型国家建设具有巨大作用。随着创新体系的不断完善,高层次创新人才的引进与培育环境也不断优化,如今越来越多的高层次创新人才被引入科技型中小企业,这对激发人才创造力与创新活力、推动社会创新发展有着重要意义。

高层次创新人才是指那些富于独创性、具有较强创造能力,掌握自主知识产权核心技术或特殊创新技能,并能取得显著经济或社会效益的科技领军人才、青年科技人才等。高层次创新人才是能够支撑起一家科技型中小企业的关键少数派,其对公司盈利有着至关重要的作用。

目前国内关于高层次创新人才薪酬与企业盈利关系的研究不多,主要聚焦于科技创新人才薪酬与企业竞争力、科技研发投入与企业盈利能力关系等方面。张娴初和王大成[1]通过研究发现,薪酬是高新技术企业吸引科技创新人才的有力工具,制定一套科学合理的科技创新人才薪酬机制已成为高新技术企业提升竞争力的关键因素;张娴初和王迎春[2]从薪酬结构、水平、战略、付薪策略、方式等5个维度建立了科技创新人才与激励效应关系模型,并采用问卷调查法进行了实证分析,结果表明上述5个维度都与激励效应存在显著正向关系;杨俊青和陈虹[3]运用分层线性回归法以及多群组路径法,对来自257家企业的1 617份问卷调查数据进行分析,研究结果表明,现阶段我国企业激励员工创新和发展积极性主要依靠薪酬,而非职业机会或绩效认可,企业可以通过增加薪酬提升劳动生产率,进而提高企业盈利能力;吴利华和黄镜蓉[4]将科技创新人才薪酬计入科技研发投入,研究了科技研发投入与企业盈利的关系,并以沪深两市计算机、通信及其它电子设备制造业的217家上市公司为样本,利用区域市场化水平作为调节变量展开实证研究并得出以下结论:①研发投入与企业盈利能力显著正相关;②企业所在区域的市场化水平越高,研发投入对企业盈利能力的影响越显著。

国外关于科技型企业员工薪酬与企业盈利关系的研究较多。Mehran[5]首次将人力资源管理中的锦标赛理论(Tournament Theory)应用于高技术企业员工薪酬与公司利润的理论研究中,结果发现,与传统行业相比,高技术企业员工薪酬的阶梯式分布更明显,这有利于高技术企业获得创新优势和利润。随后,Holmstrom[6]利用德国576家高技术企业的问卷调查数据进行了实证分析,研究结论与Mehran的一致。Balafoutas、Kerschbamer & Sutter[7]应用心理契约理论研究了高技术企业研发人员与其它部门员工薪酬差距带来的影响,认为当薪酬差距较小时难以产生激励效果,阻碍了企业创新动力,对公司潜在盈利能力带来负面影响,所以应当扩大研发人员与非研发员工的薪酬差距。然而,Grund[8]不赞成这种论点,并应用项目团队管理理论和组织行为学理论研究了英国235家计算机公司的员工薪酬,结果发现工程师比普通员工的薪酬高,在薪酬相对差距小于3倍时,不会产生较大的不公平感并且有利于企业业绩提升,然而当企业薪酬差距扩大到一定程度时(通常是大于5倍时),员工的不公平感逐渐强烈,此时薪酬差距带来的负面效应远大于正面效应,特别是在企业需要团队相互协作时,薪酬差距过大会影响团队成员合作。对此,Martins[9]也持相同观点。Edmans & Gabaix[10]采用线性回归方法对2003-2017年美国硅谷76家高技术企业的盈利率进行追踪研究,结果表明,这些企业高级研发人员薪酬与公司盈利率增长有很强的正相关性。

通过上述文献综述可看出,国内对科技型中小企业高层次创新人才薪酬水平、薪酬差距以及企业盈利关系的研究尚处于起步阶段,国外相关文献虽然丰富,但对于薪酬差距带来的影响仍然争论不休,而且中西方价值观不同(西方主要强调个人价值,中国传统文化更加提倡集体价值与公平),导致国内研究观点与国外相差较大。此外,中国的科技型企业大多为中小型,处在成熟期的公司并不多,因此在分析高层次创新人才薪酬与公司盈利关系时,还应当考虑企业成长性与生命周期。鉴于此,本文基于2009年1-5月上市的111家科技型中小企业时间序列数据,深入探讨我国高层次创新人才薪酬与公司盈利关系,据此提出相应对策建议。

1 科技型中小企业高层次创新人才薪酬与公司盈利均衡模型

科技型中小企业由于自身规模和技术水平的限制,在引进高层次创新人才时往往存在信息不对称,因此不能准确评价候选人才能力,导致很难选择出能为企业带来盈利的高层次创新人才。本文将基于不完全信息静态博弈理论,通过建模来说明这一问题。

首先,假设某高层次创新人才具备的科技创新能力是私属信息,某科技型中小企业在准备引进该名人才时并不确切知晓,同时,企业也难以准确评估该名人才进入企业后能够实现盈利的程度,而该名人才对于企业渴求人才的程度(或者说需求程度)也是不完全知晓的。因此,高层次创新人才与科技型中小企业作为局中人,都是不完全了解对方信息的,那么可以采取“海萨尼转换”(Harsanyi transformation),即引入一个虚拟局中人,也就是自然人,自然人首先行动,选择局中人类型,被选择的局中人清楚自己的类型,其他局中人并不清楚这个局中人的类型,但知道各种类型的概率分布。在这种情况下,可以通过海萨尼转换,把不完全信息博弈转换成完全但不完美的信息博弈。不完美信息是指自然人作出了选择,但其他局中人并不知道其具体选择,仅知道各种选择的概率分布。在上述博弈中,局中人同时行动,每个局中人的最优战略都是基于自己的类型,其不可能准确知道其他局中人的实际选择,但能准确预测其他局中人是如何依赖自身类型选择的。此时局中人的决策目标就是在给定自身类型和他人类型的情况下,最大化自身期望效用,也就是说给定自身类型和他人类型的概率分布后,每个局中人的期望效用达到了最大化。

基于上述分析,可以假设某一科技型中小企业在引进人才时的盈利能力为θν(θ)表示企业盈利能力的概率分布函数,μ(θ)表示候选人才对自身为企业带来盈利的评价。由于高层次创新人才是一类特殊的稀缺人才,往往要求较高的薪酬P,企业如果接受,那么企业效用为πG=ν(θ)-P,高层次创新人才效用为πM=P-μ(θ);如果不接受,双方效用都为0。这里∂u/∂θ>0,并假定以下前提条件:

(1)ν(θ)>μ(θ),否则选择无意义。

(2)双方都是风险中性。

(3)对高层次创新人才进行选聘引进,是双方一次性静态博弈过程,即当人才成功引进时博弈完成,因此消除了企业与待选人才的多次博弈过程。

(4)θ在[A,B]上服从均匀分布,则概率密度函数表示企业评价高于或等于待选人才评价,且与学历、年龄、职称等信息相关,企业能观测到这些信息,这些信息属于公共信息。

(5)u(θ)=(1+ε)θε是分布在[-α,α]上的随机变量,其均值为0。ε表示高层次人才在科技创新能力方面的私属信息,与创新思维能力、个人品质、工作模式等因素有关,这些因素共同决定μ(θ)>θμ(θ)<θ

如果企业成功选聘了某一高层次创新人才,则企业效用πG=ν(θ)-P=-P,人才效用πM=P-μ(θ)=P-(1+ε)θ。那么人才是否引进的唯一条件是πM>0,即P>μ(θ)=(1+ε)θ

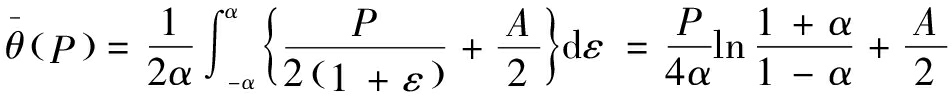
给定ε,高层次创新人才能为企业带来的盈利为:

(1)

由于企业无法掌握私属信息ε,因此必须对ε求期望,则供给函数(企业盈利与高层次创新人才薪酬的关系)为:

(2)

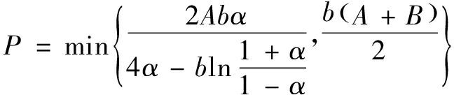
需求函数表示企业愿意向人才支付的薪酬与企业盈利间的关系,P=,则均衡薪酬与均衡盈利分别为:

(3)

(4)

受私属信息ε的影响,企业选择高层次人才的过程复杂化,增大了企业搜寻、甄选成本。

如当θ=(5/6)BP=B时,高层次人才不愿意到企业就职。此时ε>0.2,则(1+ε)θ>(1+0.2)×(5/6)B=B=P,即(1+ε)θ>pπM=p-μ(θ)=p-(1+ε)θ<0。

θ=(5/4)A,P=A时,高层次人才愿意到企业就职。此时ε<-0.2,则(1+ε)θ<(1-0.2)×(5/4)A=A=P,即(1+ε)θ<pπM>0。

2 高层次创新人才薪酬与企业盈利

在高层次创新人才薪酬与公司盈利形成均衡后,可以从高层次创新人才薪酬总额、高层次创新人才与普通员工薪酬差距两方面测度薪酬对企业盈利的影响。有研究认为,高层次创新人才薪酬总额与企业盈利、股价有着显著正向关系[11],但也有人持相反观点,认为过高的人才薪酬会造成企业内部普通员工的强烈不满,最终影响企业会计业绩[12]。基于上述争议,本文提出如下研究假设。

2.1 研究假设

2.1.1 高层次创新人才薪酬总额对企业盈利的影响

追逐利润或盈利最大化是科技型中小企业发展的主要目标之一。高层次创新人才薪酬的高低会影响其努力工作程度和创新投入时间,若薪酬激励水平过低,高层次创新人才会降低其创新动力,进而影响企业创新发展与盈利。Wu & Tu[13]、Fong[14]也持有相同观点,认为科技企业属于研发投资密集度比较高的行业,如果对高层次创新人才激励不足会直接导致企业盈利能力下降。因此,提出如下假设:

H1:高层次创新人才薪酬总额对科技型中小企业盈利有显著正向影响。

2.1.2 高层次创新人才与普通员工薪酬差距对企业盈利的影响

有学者提出高层次创新人才与普通员工间薪酬差距的扩大有利于激发普通员工创新热情,进而提高公司创新水平与盈利能力。该观点获得了很多学者的支持。如Kale等[15]研究认为高层次创新人才薪酬差距与会计绩效、企业价值存在正相关关系;Lee等[16]使用高层次创新人才与普通员工的薪酬离差率分析薪酬差距对企业盈利的影响,发现无论是采用托宾Q值还是股票市值衡量企业业绩,均表明两者间存在着显著负向关系。基于此争论,本文提出以下两个假设。

H2:高层次创新人才与普通员工薪酬差距对科技型中小企业盈利有显著正向影响;

H3:高层次创新人才与普通员工薪酬差距对科技型中小企业盈利有显著负向影响。

2.1.3 企业成长性的调节作用

科技型中小企业在进行高层次创新人才薪酬决策时往往会考虑企业生命周期的影响,通常当企业处于较高成长性阶段时,扩大薪酬差距会使企业业绩表现更佳[17]。以成长型、创新型为导向的科技型中小企业,在经营发展中需要扩大研发投入以使企业业绩获得快速持续提升。在该阶段,一方面,人力资本、组织绩效起决定性作用,企业更关注个人贡献,并利用高额薪酬作为吸引人才的筹码,因此适当扩大薪酬差距有助于激发全体员工工作动力;另一方面,在企业经营管理中,为了体现薪酬较高是合理的,高层次创新人才也会加强新知识与新技术学习,快速提高创新水平。随着企业走向成熟稳定,其经营范围更广,现金流充足,财务状况表现良好,拥有一定综合竞争力,这时企业更注重通过内部合作维持日常经营,此时高层次创新人才薪酬差距加大会造成企业内部不和谐。于是本文提出如下假设。

H4:企业成长性在薪酬差距与企业盈利关系中存在负向调节作用,即企业成长性越高,高层次创新人才与普通员工间薪酬差距对企业盈利的影响越小。

2.2 实证分析

2.2.1 样本选择与数据来源

本文选取2009年1月-5月上市的科技型中小企业中发布过人才引进方案的142家公司为样本,主要分布在电子通信及信息、节能环保、生物科技行业,并到6家企业进行了实地调研,对样本企业进行了筛选和处理:①由于研究对象为高层次创新人才薪酬,因此剔除人才、薪酬及其它重要数据严重缺失的样本;②剔除人才引进与薪酬计划未实施就终止的公司。研究数据来自国泰安数据库、锐思数据库及巨潮资讯网,经手工整理,最终得到样本数据111个。为了避免极端值的影响,使用Stata软件中的Winsor命令按1%水平进行处理。

2.2.2 变量定义与说明

(1)企业盈利能力。本文采用企业主营业务利润率衡量高层次创新人才进入企业后带来的盈利提升程度,这是因为该变量不仅能够反映企业盈利或利润最大化情况,并且可以减少人为操纵公司利润的可能性,因此可以更好地体现企业真实业绩。

(2)高层次创新人才薪酬。借鉴Faleye等[18]的研究成果,高层次创新人才薪酬采取上市公司公布的高层次人才引进年薪总额的平均值表示。此外,为了缓解内生性问题,对高层次创新人才薪酬总额水平采用上一年末数据作为解释变量。

(3)高层次创新人才与普通员工薪酬差距。由于不同区域、不同行业的薪酬差距不同,本文借鉴Lerner & Wulf[19]的研究,仅考虑同企业内部高层次创新人才与普通员工的薪酬差距,并采用同一企业高层次创新人才与普通员工平均薪酬的绝对差值衡量。

(4)控制变量。考虑到其它因素可能对高层次创新人才薪酬或企业盈利能力产生影响,本文参考相关研究[20],选取企业规模(LCS)、企业现金流状况(CFS)、企业财务杠杆(LEV)、所属行业性质(CIY)、企业所在区域(EMW)等作为控制变量。

具体变量定义如表1所示。

表1 变量定义与说明

变量名称 变量符号变量定义 被解释变量企业盈利能力P企业主营业务利润率解释变量高层次创新人才薪酬θ高层次人才引进年薪总额平均值高层次创新人才与普通员工薪酬差距G高层次人才引进年薪总额平均值-普通员工年薪总额平均值调节变量企业成长性CCM净资产收益率增长率控制变量企业规模LCS企业总资产取自然对数企业现金流状况CFS公司营业收入现金净含量企业财务杠杆LEV公司资产负债率,即负债总额/资产总额所属行业属性CIY按照证监会行业分类企业所在区域EMW设置虚拟变量,东、中、西部分别为3、2、1

2.2.3 非线性多元回归分析

设控制变量全集为Controls,为研究高层次创新人才薪酬对企业盈利的影响并验证假设H1,建立如下回归模型:

P=λ0+λ1·θ+λ2·Controls

(5)

为研究高层次创新人才与普通员工薪酬差距对企业盈利的影响,并对假设H2进行验证,建立如下回归模型:

P=β0+β1·G+β2·Controls

(6)

考虑到企业成长性的调节作用并验证假设H3,建立非线性多元回归模型如下:

P=γ0+γ1·θ·CCM+γ2·G·CCM+γ3·Controls

(7)

将公式(3)-(4)分别代入公式(5)-(7),并利用111家公司的样本数据,得到非线性多元回归结果如表2所示。

表2 回归分析结果

变量P回归(1)θ回归(2)G回归(3)P回归(4)回归(5)回归(6)回归(7)LCS0.0118∗∗∗0.0843∗∗0.984∗∗∗-0.0363∗∗-0.00308∗∗-0.0240∗∗-0.0635∗∗(5.62)(17.56)(87.82)(-2.35)(-2.24)(-2.03)(-2.51)CFS0.855∗∗∗1.541∗∗15.44∗∗∗-0.980∗∗∗-0.877∗∗∗-0.886∗∗∗-0.849∗∗∗(5.55)(11.47)(13.22)(-6.51)(-5.72)(-5.76)(-5.53)LEV2.30e-117.50e-11∗∗1.69e-09∗∗∗-2.49e-11-1.67e-11-1.45e-11-2.46e-11(0.43)(2.25)(3.94)(-0.48)(-0.32)(-0.27)(-0.46)CIY3.104∗∗∗0.825∗∗1.913∗∗∗3.166∗∗∗3.133∗∗∗2.985∗∗∗3.003∗∗∗(3.96)(1.62)(1.61)(4.04)(3.99)(3.81)(3.83)EMW1.159∗∗∗0.502∗∗0.674∗∗∗-1.210-1.185-1.105-1.124(0.99)(0.68)(0.38)(-1.03)(-1.01)(-0.94)(-0.96)Controls2.996∗∗∗0.162∗∗0.479∗∗∗-2.940∗∗∗-2.970∗∗∗-2.974∗∗∗-3.021∗∗∗(3.66)(0.31)(0.38)(-3.59)(-3.62)(-3.64)(-3.70)Ψ0.943∗∗∗0.651∗∗2.278∗∗∗-1.022∗-1.002∗-0.880∗-0.824∗(1.73)(1.94)(3.71)(-1.79)(-1.89)(-1.68)(-1.83)N111111111111111111111AdjR20.24050.65410.97680.21180.21300.25980.2575

注:表内括号中的数值是t值,*、**、***分别表示10%、5%、1%水平下的显著性

由表2可知,P、θ的回归系数在回归(1)、(2)中分别在1%、5%的水平下显著为正,说明高层次创新人才薪酬总额越高,科技型中小企业主营业务利润率越大,这与假设H1相符。从回归(2)和(3)中可以看出,高层次创新人才薪酬总额显著拉大了绝对薪酬差距。在回归(1)和(3)中,回归系数都在1%的置信水平上显著为正,表明高层次创新人才与普通员工薪酬差距对科技型中小企业盈利有显著正向影响,验证了假设H2并且拒绝假设H3

此外,进一步验证假设H4,即企业成长性在高层次创新人才薪酬与科技型中小企业盈利中的调节作用。从表3可以看出,回归(8)和(9)是企业成长性在薪酬总额与盈利能力关系中起调节作用的回归分析结果,回归(8)的结果显示,企业成长性对薪酬总额存在显著负向影响,回归(9)引入企业成长性与薪酬差距的交互项,发现相对薪酬差距,其对盈利能力的影响更显著,回归(9)的拟合优度大于回归(8)的拟合优度,并且交互项的回归系数显著为负,表明企业成长性在薪酬差距影响盈利能力的过程中起到负向调节作用。回归(10)和(11)反映了企业成长性在薪酬差距影响盈利能力中的调节作用,从结果来看,交互项的回归系数显著为负,表明企业成长性在薪酬差距与盈利能力间起到负向调节作用,因此假设H4得到证实。

表3 调节作用检验结果

变量CCM回归(8)回归(9)回归(10)回归(11)θ-0.983∗∗∗-0.987∗∗∗-0.881∗∗∗-0.883∗∗∗(-6.53)(-6.54)(-5.73)(-5.74)G-2.48e-11-2.40e-11-1.67e-11-1.57e-11(-0.48)(-0.46)(-0.32)(-0.30)LCS3.209∗∗∗3.199∗∗∗3.175∗∗∗3.169∗∗∗(4.07)(4.05)(4.02)(4.01)CFS-1.214-1.230-1.189-1.186(-1.03)(-1.04)(-1.01)(-1.01)LEV-2.951∗∗∗-2.953∗∗∗-2.980∗∗∗-2.977∗∗∗(-3.60)(-3.60)(-3.63)(-3.63)CIY-1.027∗-1.032∗-1.007∗-1.009∗(-1.55)(-1.56)(-1.50)(-1.51)EMW0.2440.2440.2510.250(0.84)(0.84)(0.86)(0.86)Ψ23.50∗∗∗23.55∗∗∗21.57∗∗∗21.65∗∗∗(6.33)(6.33)(5.70)(5.70)N111111111111AdjR20.25110.28840.26060.3197

2.2.4 稳健性检验

为了保证上述研究结果的可靠性并提高结论可信度,对重要变量重新选取新的衡量指标或数据进行稳健性检验,具体做法为:①考虑到高层次创新人才进入科技型中小企业后对盈利能力影响的滞后性,选取高层次创新人才进入企业后第二年会计期的企业主营业务利润率衡量;②重新选取科技型中小企业盈利能力衡量指标,采用总资产净利率(净利润/期末总资产)表示。在保持其它变量不变的条件下,检验结果显示本文研究结果是稳健的。

3 研究结论及启示

创新是引领发展的第一动力,而人才是创新的第一资源。科技型中小企业以科技人员为核心,依托一定数量的科技人员从事高新技术产品研发与销售,从而实现企业盈利与可持续发展。以往研究大多关注科技型中小企业创新人才薪酬体系,没有深入分析高层次创新人才薪酬能够为企业带来多少红利。本文以高层次创新人才薪酬为切入点,探讨了高层次创新人才薪酬对企业盈利的影响和薪酬差距对企业盈利的影响,并关注了企业成长性在薪酬差距与企业盈利关系中的调节作用。研究结果表明,高层次创新人才薪酬总额与科技型中小企业盈利同方向变动,随着高层次创新人才薪酬增加,企业盈利能力也将提升;高层次创新人才与普通员工薪酬差距对科技型中小企业盈利的影响与企业成长性显著相关,企业成长性越高则高层次创新人才与普通员工薪酬差距对企业盈利的影响越小,也就是说,成长期企业实施较大的薪酬差距更有利于企业盈利能力提升,但是成熟期的企业则相反。

基于上述结论,提出以下对策建议:

(1)对于成长期的科技型中小企业,应当以科技创新人才为核心,适当拉开高层次创新人才与普通员工的薪酬档次。科技型中小企业在为高层次创新人才制定合理薪资水平时,应以科技创新人才加盟后盈利程度提升作为重要考量之一,给予待选人才高于市场平均水平或竞争对手的薪酬,以增强企业外部竞争力和人才吸引力。只有这样,才能调动高层次创新人才以及普通员工的工作积极性和主动性,促进科技型中小企业发展目标的实现。

(2)对于成熟期的科技型中小企业,应当统筹全局,制定合理的薪酬分配体系,注意保持企业其他员工与科技创新人才薪酬水平的平衡,避免影响老员工或普通员工的创新热情和工作积极性。企业应在薪酬管理工作中坚持公平原则,促使员工自愿努力提高工作效率,形成良好、和谐的团队氛围。

(3)以高层次创新人才为中心,构建领先型薪酬战略。科技型中小企业中,高层次创新人才是企业的关键人力资源,他们拥有较高的人力资本存量,这意味着他们对自身进行了更大的投入,而且很多是专用性人力资本投资。因此,科技型中小企业有必要对科技创新人才采取领先型薪酬战略,支付给高层次创新人才较高水平的薪酬。一方面可以弥补高层次创新人才在获取自身人力资本存量时的投资成本;另一方面,企业只有设计出具有市场竞争力的薪酬,才能防止高层次创新人才流失,同时形成一种促进全体员工进行人力资本投资的学习机制,促进企业获得持续创新动力。

参考文献:

[1] 张娴初,王大成.我国高新技术企业科技创新人才薪酬激励的困境与对策[J].当代财经,2011(7):85-91.

[2] 张娴初,王迎春.科技创新人才薪酬体系与激励效应关系研究[J].科技进步与对策,2012,29(1):152-155.

[3] 杨俊青,陈虹.非国有企业薪酬激励能够实现劳动者、企业与社会的合作共赢吗——基于劳动生产率、盈利与吸纳劳动力视角的研究[J].南开管理评论,2017,20(4):165-178.

[4] 吴利华,黄镜蓉.研发投入、广告支出与企业盈利能力[J].华东经济管理,2018,32(3):141-147.

[5] EHRAN H.Technical talents compensation structure,ownership and firm performance[J].Jouranal of Financial Economies, 2005(38):163-184.

[6] HOLMSTROM B.Moral hazard and observability[J].Bell Journal of Economies, 2006(10): 74-91.

[7] BALAFOUTAS L,KERSCHBAMER R,SUTTER M.Distributional preferences and competitive behavior[J].Journal of Economic Behavior & Organization,2012,83(1):125-135.

[8] GRUND C.The dispersion of employees' wage increases and firm performance[J].ILR Review, 2018, 61(4): 485-501.

[9] MARTINS P S.Dispersion in wage premiums and firm performance[J].Economics Letters, 2018, 101(1): 63-65.

[10] EDMANS A,GABAIX X.Technical talents compensation:a modern primer[J].Journal of Economic Literature,2019,54(4):1232-1287.

[11] BERK J B,STANTON R,ZECHNER J.Human capital, bankruptcy,and capital structure[J].The Journal of Finance, 2010, 65(3):891-926.

[12] AVEY J B, AVOLIO B J, CROSSLEY C D,et al.Psychological ownership: theoretical extensions,measurement and relation to work outcomes[J].The International Journal of Industrial,Occupational and Organizational Psychology and Behavior, 2009, 30(2): 173-191.

[13] WU J,TU R.Stock option pay and R&D spending:a behavioral agency explanation[J].Journal of Business Research,2007,60(5):482-492.

[14] FONG E A.Relative underpayment and behaviour towards R&D spending[J].Journal of Management Studies,2010,47(6):1095-1122.

[15] KALE J R,REIS E,VENKATESWARAN A.Rank-order tournaments and incentive alignment:the effect on firm performance[J].The Journal of Finance,2009,64(3):1479-1512.

[16] LEE K W,LEV B,YEO G H H.Executive pay dispersion,corporate governance,and firm performance[J].Review of Quantitative Finance and Accounting,2008,30(3):315-338.

[17] LAZEAR E P,ROSEN S.Rank-order tournaments as optimum labor contracts[J].Journal of political Economy,1981,89(5):841-864.

[18] FALEYE O,REIS E,VENKATESWARAN A.The determinants and effects of employee pay ratios[J].Journal of Banking & Finance,2013,37(8):3258-3272.

[19] LERNER J,WULF J.Innovation and incentives:Evidence from corporate R&D[J].the Review of Economics and Statistics, 2007,89(4):634-644.

[20] BANKER R D,BU D,MEHTA M N.Pay gap and performance in China[J].Abacus, 2016,52(3):501-531.

(责任编辑:胡俊健)