城市群功能分工、工业技术进步与工业污染
——来自长三角城市群的数据检验

吕康娟1,蔡大霞2

(1.上海大学 悉尼工商学院;2.上海大学 经济学院,上海 200444)

摘 要:2003年起,我国城市群由专业化分工快速转向功能分工,但优化城市群功能分工是否有利于改善环境污染问题?运用2003-2017年长三角城市群面板数据,采用仅包括自变量空间滞后的SLX模型,研究城市群功能分工与工业技术进步对工业污染排放强度的影响效应。结果发现:在城市群层面,功能分工与工业污染排放强度呈正“U”型关系;功能分工结构效应和工业技术进步均能够显著降低工业污染排放;在城市群内部,功能分工空间溢出效应和工业技术进步空间滞后效应均有利于邻近城市减轻环境污染;但城市群功能分工技术效应和技术溢出效应均未体现出预期减排效应,城市群内部各城市间功能分工与协作需进一步加强。

关键词:城市群;功能分工;技术进步;工业污染

Functional Division of Urban Agglomeration, Industrial Technology Progress and Pollution—— Evidence from Yangtze River Delta

Lv Kangjuan1, Cai Daxia2

(1.Sydney Institute of Language & Commerce Business School, Shanghai University;2.School of Economics,Shanghai University,Shanghai 200444,China)

AbstractSince 2003, urban agglomerations have rapidly shifted from specializing by sector to functional division in china, whether the optimization of functional division can help improving the environment ?In this paper, we examine the impact of functional division and industrial technological progress on the emission intensity of industrial pollution, using SLX model which only includes spatial lag of independent variables and a panel dataset of Yangtze river delta between 2003 and 2017.Empirical results show that: at the level of urban agglomeration, the relationship between functional division and the emission intensity of industrial pollution is u-shaped;both the enhancement of "structural effect" of functional division and industrial technological progress can significantly reduce the emission intensity of industrial pollution.Within urban agglomeration, both the "spatial spillover effect" of functional division and the "spatial lag effect" of industrial technology progress are conducive to the reduction of environmental pollution in neighboring cities.However, the "technology effect" and "technology spillover effect" of functional division have not effective effect on emission reduction, so the functional division and cooperation between cities within urban agglomeration should be further strengthened.

Key Words:Urban Agglomeration; Functional Division; Technology Progress;Industrial Pollution

DOI10.6049/kjjbydc.2019120937

开放科学(资源服务)标识码(OSID):

中图分类号:F290

文献标识码:A

文章编号:1001-7348(2020)14-0047-09

收稿日期:2020-04-12

基金项目:国家自然科学基金一般项目(71774108)

作者简介:吕康娟(1974-),女,江苏沛县人,博士,上海大学悉尼工商学院院长、博士生导师,研究方向为城市经济与资源环境经济;蔡大霞(1991-),女,河南安阳人,上海大学经济学院博士研究生,研究方向为区域经济与资源环境经济。本文通讯作者:蔡大霞。

0 引言

我国“12+9”城市群格局已基本形成,一系列顶层设计的推动使得城市群发展更加迅速,城市群已基本成为我国区域发展的主要空间形态和新型增长极,更是带动区域发展的重要模式。在城市群内部,经济活动、人口、资源要素等高度集聚、高度活跃,然而,群内生态退化、环境污染与经济发展“三高”同存,凸显着城市群特有的脆弱性和风险性,城市群生态环境问题受到重视,如《长江三角洲城市群规划》中提出要“从战略高度优化提升长三角城市群,构筑生态环境新支撑”。

从2003年起,在城市群层面出现了明显的功能分工形态,城市群发展特征由专业化分工转向以产业链分工为基础的功能分工[1,2]。在城市群内部,产业链中的生产制造和服务等环节出现明显的空间分异特征,中心城市和次中心城市主要承担生产性服务功能,而外围城市则主要承担生产制造功能。不同功能定位是城市群内部实现分工与联动的重要方式,也是城市群实现一体化高质量发展的重要助力。

进一步看,城市群功能分工不合理既是城市病和污染恶化的原因也是结果[3],优化城市功能、重构城市空间是治理城市病的有效途径[4]。因此,在发展实践中,城市群功能分工会对环境污染造成影响。再者,城市群内部不同功能定位和功能空间布局为技术溢出与知识溢出创造了有利条件,而技术进步影响环境已是共识。所以,在城市群内部层面,技术进步很可能是城市群功能分工影响环境的一种中介渠道。因此,鉴于现有研究较少关注城市群功能分工对环境的影响,本文以功能分工趋势凸显的城市群区域为考察对象,选定具有国家级战略地位且对我国城市群发展和区域经济走向起示范引领作用的长三角城市群为研究样本,从机制解析和实证检验双重视角,探究长三角城市群发展实践中功能分工对工业污染的影响效应和作用机制,同时兼论工业技术进步的中介效应,旨在为城市群实现功能升级与节能减排良性循环提供现实指导。

1 功能分工对环境污染的影响机制分析

1979年,Massey[5]提出空间分工包含产业分工和职能分工(功能分工)两种形式。20世纪末,部分国外学者开始关注都市圈内部产业链分工现象,标志着功能分工受到重视。功能分工重点刻画经济活动主体从事产业链中生产和服务等各环节的差异化。在城市群中,城市间的产业链分工现象即为城市群功能分工[6]。遵循经济发展由产业分工向功能分工转型的客观事实,诸多学者开始将研究视角转向功能分工,目前鲜少专门研究功能分工与环境污染关系的成果。鉴于功能分工是产业分工演进升级的新形态,而且,产业分工现象与环境污染密切相关,不同产业分工形式可通过集聚、扩散等方式和溢出效应、拥挤效应等途径对环境污染产生影响[7]

综上所述,本研究初步推断:城市群功能分工能够对城市群环境污染产生影响。结合有关城市群功能分工发展形态、经济效益及机制演化等的研究论述,进一步推断:城市群功能分工通过结构效应和技术效应对环境污染产生直接影响。而且,城市群内部可能存在环境冲突,内部各城市通过空间溢出效应和技术溢出效应等途径对邻近区域环境产生间接影响。

1.1 城市群功能分工与环境污染

就发展形态而言,产业分工走向功能分工已是常态。在城市层面,城市内部功能分工的直观表现形式是制造、交通等部门向次中心转移,高附加值部门在城市中心快速集聚,由此致使中心城市的高附加值化和功能专业化[8]。在城市群层面,城市群功能分工表现为生产性服务等“清洁环节”向中心城市集聚,生产制造等“污染环节”向周边城市迁移的“中心-外围”功能分工格局[9]。有关学者研究我国长三角、京津冀和珠三角等城市群分工形态后指出,2003年以后我国城市群功能分工态势逐渐显著(城市群间和群内城市间)[1,10],研究结论基本一致,皆证实在城市群内中心城市主要承担管理、研发、生产性服务等功能,外围城市则发展为生产、制造等功能区。在城市群功能分工动态演进中,伴随着资源要素的重新配置与分工协作[11],最终城市群内部形成功能协同化、升级化、高质化的功能结构。

综上所述,似乎存在如下逻辑:在城市群功能分工特有的空间结构作用下,功能分工水平与环境污染程度负相关。因为城市群功能分工水平越高,表示 “高端、清洁、高附加值”部门的集聚优势和高端锁定优势越突出,此类部门更倾向于依托技术、资本、知识等清洁要素,而非对环境威胁较大的物质资源。因此,需要进一步明确的是,在城市群功能分工特有的结构效应作用下,当前的功能分工是否有利于改善城市群整体环境污染状况。鉴于功能分工与地区差距、经济增长均呈非线性关系[12-14],研究功能分工与环境污染关系时,需同时检验两者间是否仅是简单的线性关系。因此,本文提出如下假设:

H1:城市群功能分工结构效应能够直接改善环境污染状况,但功能分工与环境污染呈非线性关系。

从功能分工动态演进过程看,城市群内部可能存在良性环境冲突和恶性环境冲突。大型区域发展冲突问题有加剧之势[15],在以产业链分工为基础的城市群功能分工演进中也可能存在环境冲突迹象。具体而言,这种冲突有3种发生途径:一是挤出效应,此效应可能致使城市群内部各城市间存在恶性环境冲突。国内几大城市群均呈现出“中心-外围”的功能分工格局,这种分工格局标志着生产、制造等生产活动从中心城市被置换、挤出,向外围区域疏散和迁移,而周边城市最有可能承接被挤出的污染活动。因此,中心城市功能分工水平提升产生的挤出效应会对周边城市环境产生不良影响;二是规模效应,通过规模效应强化,周边城市环境污染风险有加剧趋势。功能内部与功能间、研发与生产也存在共聚、互补现象[16,17],因此中心城市与外围城市经济部门可以共享辐射外部性及溢出效应(技术、规模、知识等)等发展福利,在累积循环作用下,促使更多生产制造部门向中心城市周边聚集,加剧周边城市环境污染风险;三是技术效应和技术溢出效应,此类效应可形成良性环境冲突。因此,在功能分工动态演进中,可能存在不确定性环境冲突。前两种冲突主要体现为功能分工的空间溢出效应。

目前,很少有文献涉及功能分工对环境污染的溢出效应,但研究经济集聚对污染排放空间溢出作用的成果颇丰。经济集聚现象,特别是服务业或制造业集聚是“中心-外围”功能分工格局的一种表现形式。如豆建民等[18]运用空间杜宾模型指出,经济集聚与污染排放空间依赖性显著,集聚间接效应和反馈效应占直接效应的比重高达52.4% 和40%;张可[19]从空间经济视角发现:集聚与污染排放强度呈倒“U”关系,重点强调集聚空间相关与地区交互效应。生产性服务业集聚也存在显著的空间外溢效应及外溢边界[20]。因此,城市群内部功能分工空间溢出效应对环境的影响作用不容忽视。由此,本文提出如下假设:

H2:在城市群内部,城市间可通过空间溢出效应,间接影响邻近城市的环境污染状况。

1.2 城市群功能分工、工业技术进步与环境污染

参阅有关功能分工机制演化的文献可知,技术进步促进功能分工已被学者达成共识。交通运输技术进步降低了远距离运输难度、运输时间和费用成本,使迁移出的生产制造部门可以赚取更多收益成本利差,信息技术进步降低了产业链条不同环节间的协调管理成本,促进了多样化功能的时空分异[21],技术进步助推功能分工深化。再者,城市群功能分工具有明显的技术和知识溢出效应,功能分工通过技术进步引起经济活动部门生产率分化与变动[22],影响生产制造活动,最终对环境产生正向或负向影响。因此,技术进步是功能分工影响环境污染的重要中介渠道。

从研究功能分工对要素生产率或产业效率的实证结果中可知,在城市群层面,城市群功能分工可直接促进城市群整体技术进步。在城市群内部,强化内部城市功能分工可提升本区域技术水平[23],最终功能分工通过直接影响本区域技术进步,进而影响生态环境,上述这种由于功能分工水平提升而带来的技术进步,简称为功能分工技术效应。

进一步,因城市群内部功能分工水平差异较大,中心与外围城市分工水平变化幅度不一[2]。在城市群内部,差异化功能分工通过影响邻近区域技术进步对邻近区域环境产生间接影响,即功能分工技术溢出效应能够影响邻近区域环境。黎文勇等[23]加入城市异质性后发现,与功能分工水平较高城市相比,功能分工对外围城市全要素生产率的促进作用更大;刘胜等[24]强调功能分工优化通过规模借用、功能借用、互动关联等传导机制引导周边制造生产部门成长与升级。因此,功能分工可强化产业链前后向的空间关联和互动,是外围生产、制造部门获取技术外溢效应的捷径,而技术外溢效应能够改善污染部门的作业方式和生产技术,缓解环境问题。但是,柴志贤等[25]研究四大城市群功能分工异同后指出,功能分工抑制工业效率,并将其归因于承担不同职能部门间匹配度和协同度不高,并进一步导致外围部门无法获取正向外溢效应,致使技术溢出对环境产生了负向冲击。因此,功能分工技术溢出效应对环境污染的影响尚存争议,有关功能分工与工业技术进步对环境污染的影响效应有待验证。

鉴于技术溢出对生产制造部门的影响更受关注,而生产制造活动对环境的潜在威胁更大。因此,本文重点考察工业技术进步对功能分工与环境污染的影响。据此,本文提出如下假设:

H3:工业技术进步有利于改善环境污染,工业技术进步也是城市群功能分工影响生态环境的中介渠道。

H4:城市群功能分工通过技术效应和技术溢出效应对环境污染产生影响,两种效应均能够强化功能分工对环境的影响作用。

综上所述,本研究聚焦于城市群功能分工,但侧重于从双重视角(城市群与城市群内部)对城市群功能分工与工业污染影响机理以及工业技术进步的多重逻辑关系进行尝试性探讨和验证。与本文思维相近的是尚永珍、黎文勇等的研究,因为其均是从城市群内部出发,在测算内部各城市功能分工水平的基础上,进行功能分工经济效益检验。但是,与本文不同的是,尚永珍和陈耀[26]重点关注城市群功能分工和产业专业化与经济增长的非线性关系;黎文勇等[23]则着重从城市异质性和城市群发展阶段等多重视角,探讨功能分工对全要素生产率的作用机制和现实影响。

2 空间计量模型设定

2.1 基准模型设定与拓展

(1)基准模型设定。当重点考察功能分工对工业污染的影响时,如不考虑研究变量可能产生的溢出效应,可设定一般化面板基准模型,如式(1)所示。

(1)

其中,OERit为工业污染指标,为城市群功能分工水平及其二次项,加入功能分工二次项,是为考察功能分工对因变量的非线性影响。techit为工业技术进步指数,Xit为控制变量集合。

为随个体与时间变动的扰动项,μi为个体异质性, υt为时间特定效应,αβργδ为解释变量待估系数或向量。

(2)考虑空间效应与交互项的模型拓展。鉴于部分学者证实工业污染具有显著空间自相关,需要在基准模型中加入可能存在的空间效应进行检验,并同步考察各自变量的溢出效应。同时,为便于验证工业技术进步的中介作用和上述理论假设,在基准模型中加入城市群功能分工与工业技术进步的交互项,最终将模型拓展,如式(2)所示。

OERit=α+β*functionit+ρ*functionit2+γ*techit+φ*functionit*techit+δ*Xit+θ*W*OERit+β'*W*functionit+ρ'*W*functionit2+γ'*W*techit+φ'*W*functionit*techit+δ'*W*Xit+εit+μi+υt

(2)

因为溢出效应在相邻区域表现最为显著,所以定义W为空间邻近权重矩阵。当ij相邻时wi j = 1,反之 wi j = 0。至于是否需要在计量模型中纳入因变量的空间滞后项,则需从经验数据特征出发,对模型施加不同约束并进行检验,最终选取最优计量模型。

2.2 城市群功能分工测度

城市群功能分工是本研究的核心变量,测度城市群功能分工最精确的方法是从产业链视角分解生产环节,因为城市群功能分工以产业链分工为微观基础。但考虑到产业链整个环节数据的不可获得性,且劳动者从事不同职业可以体现出功能分工的特点,本文以从事经济活动的行业部门作为量化城市差异化功能分工的基本依据。最终,参照现有研究成果中相关城市功能类别划分法,以《国民经济行业分类(GB/T 4754-2011)》、国家统计局印发的《生产性服务业统计分类》2019和2015版为基本标准,在保障研究样本数据统计一致且可获得的基础上,最终将城市群功能划分为两大类:生产功能、生产性服务功能,对应的经济行业门类见表1。

表1 城市功能划分与部门分类

功能划分对应行业门类(共10大门类)L1生产功能4大门类:采矿业;制造业;电力、热力、燃气及水生产和供应业;建筑业L2生产性服务功能6大门类:批发与零售业;金融业;租赁和商业服务业;信息传输、软件和信息技术服务业;科学研究、技术服务业;交通运输、仓储和邮政业

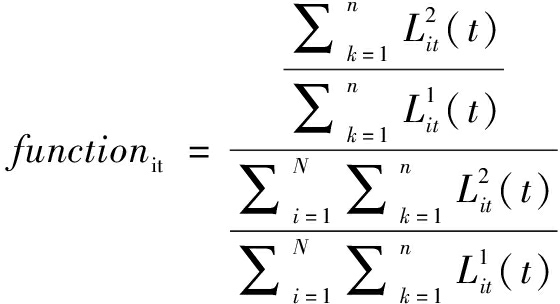
同时,借鉴Duranton & Puga[9]、赵勇[2]、黎文勇等[23]的方法,设定式(3)测度城市群内部各城市的功能分工水平。

(3)

式(3)中,functionit表示t时期城市群中i区域的功能分工位值,表示t时期城市i中生产性服务部门(L2)就业人口总数,L1表示生产部门,n为生产性服务部门(生产部门)涵盖的行业门类,i为城市群各城市编码,i=1,2…25。因此,表示t时期城市群内部所有城市生产性服务部门(L2)就业人口总数。functionit值越高,说明城市群内i城市功能分工程度越高;不同时段不同城市的functionit值差异越大,说明城市群内功能分工异质性越高。

2.3 其它变量计算与说明

(1)因变量(OER):工业废水和废气是最主要的工业污染形式,围绕环境污染开展的研究多以工业三废中的不同指标或污染指数作为工业污染的代理变量。但不同污染排放物属性不同,同类影响因子对不同污染物影响成效也不同[27],环境污染与某项指标的关系取决于样本选定的污染物形式[28]。因此,遵循以往学者对工业污染的测度方法,本文仅将工业废水排放强度作为工业污染的代理变量,其中工业废水排放强度(OER)=工业废水排放量/GDP。

(2)核心变量:工业技术进步(tech)由DEA-Malmquist指数法测算的工业技术进步指标相对值表示。其中,输入的产出指标为目标城市的第二产业GDP,投入指标为劳动力(第二产业就业总数)和资本存量(固定资产投资)。

(3)控制变量:参照相关理论推理和实证检验成果,选定如下变量:①贸易开放度(trade)。贸易开放致使产业活动自由化和活跃性增强,可能产生污染“马太效应”,也可通过贸易途径提高污染转移等可能性[29],进而影响工业污染排放。本文使用目标城市进出口总额与GDP比值表示贸易开放度,其中进出口额按对应年份平均汇率进行单位换算;②能源效率(effi)。能源效率能够直观反映能源投入、消耗和能源结构优化等现实情况,本文使用单位工业产值能源消费量衡量能源效率,即能源效率可表示为目标城市最终能源消费量与工业GDP的比值;③经济发展水平(lnrgdp)。以人均GDP的对数形式反映目标城市的经济水平;④环境规制程度(reg)。政府环境规制的高位压力与低位吸力会引发污染跨地转移效应和生态效率变动,也会直接影响辖区内企业部门排污治理行为[30]。参照吴伟平等[31]的做法,采用绩效型指标衡量环境规制程度,运用熵权法计算污水处理厂集中处理率与工业固废综合利用率2个指标的综合指数;⑤城市形态(lnurban)。城市形态承载着城市独立于人口与经济发展之外的一些特质,对环境污染的影响力度不可忽视。Mccarty[32]等研究发现,城市形态变量对空气质量的影响力度很大,是工业就业比例的5倍。鉴于数据可得性,本文选取城市建成区面积衡量城市形态。

2.4 数据来源

本研究样本选定为长三角城市群中25市2003-2017年数据集,舟山因其“孤岛”属性,将其从样本中剔除。因本文涉及国民经济行业分类中10个门类的从业人员数据,基于检验数据统一性和完整性考虑,且诸多研究表明2003年是长三角城市群专业化分工转变和功能分工凸显点[1,2],故选定2003年为研究样本起点。

3 实证结果分析

3.1 空间相关性检验

诸多学者指出工业污染数据具有显著的空间依赖性,因此,在正式进行实证统计前,本研究首先对因变量进行“是否存在空间相关性”的检验。度量空间相关性最常见的方法为莫兰指数(Moran'I指数), Moran'I指数可视为样本数据与其空间滞后的相关系数,其取值在-1~1之间,正值表示正自相关,否则反之。Moran'I指数检验原假设为:H0:COV(xi,xj)=0,∀ij,即原假设表示观察数据存在空间自相关[33]。然而,对本研究因变量进行Moran'I指数检验后发现:25个城市个体在15个时间点上的Moran'I指数P值分布和Z值分布中(见表2和图1),仅有1个P值(P小于0.05)和2个Z值(Z小于临界值1.65)通过95%置信度检验。因此,工业废水排放强度不存在显著空间相关,故在实证检验中无需考察内生交互效应[34],即模型(2)中θ=0。

表2 工业污染排放强度莫兰指数、P值与Z值

年份moran'IP值Z值2003-0.0490.947-0.0662004-0.0730.795-0.26020050.0200.6200.49620060.1850.0511.95020070.2280.0252.24120080.1560.1111.59320090.0640.3910.85820100.0970.2571.13420110.0450.4890.6932012-0.0150.8300.2142013-0.0880.702-0.3832014-0.1050.619-0.4972015-0.1090.593-0.5352016-0.0970.659-0.4412017-0.0120.8030.249

图1 工业污染排放强度P值与Z值分布

3.2 实证结果分析

首先,对模型进行Hausman检验,chi2(10)=26.25,P值为0.00,因此固定效应估计比随机效应估计更有效。其次,Moran'I初步检验显示研究样本不存在显著内生交互效应。而且,鉴于本文重点考察自变量的间接溢出效应,因此根据计量模型的嵌套性质,对包含外生交互效应和误差自相关的SDEM模型能否退化为仅包括外生交互效应的SLX模型进行LR检验,LR=-2(-1 284.71+1 284.791 6)≈5.84,LR统计值小于临界值,所以,SLX模型优于SDEM模型。Hausman检验和LR检验结果见表3。最后,本文采用SLX模型估计研究样本,此模型在空间溢出效应建模方面不仅灵活,而且更能精确刻画因变量和各自变量间的影响机制[35],比SDEM等复杂化模型更有优势[36]。本文采用Vega等[35]提出的估计方法对SLX模型进行实证估计。

表3 Hausman检验结果

变量检验统计量LR检验LR=5.84chi2(1).01=6.64Hausman检验chi2(10)=26.25Prob>chi2=0.00

3.2.1 城市群功能分工对环境污染的影响

为充分考察城市群功能分工对工业污染的影响效应,表4中第(1)列为未引入控制变量的回归结果。结果表明,功能分工变量一次项回归系数为负(-9.28),二次项回归系数为正,均比较显著。而且,功能分工空间溢出效应系数为负(-41.17),空间溢出效应(-41.17)远大于结构效应(-9.28)。

第(2)列加入控制变量(不包含交互项)后,城市群功能分工的一次项系数仍为负,其二次项系数仍为正。因此,城市群功能分工与工业污染排放强度呈正“U”型关系,且当前城市群功能分工水平位于“U”型曲线拐点左侧。也即,强化功能分工有利于降低城市群总体污染排放强度,但是,当功能分工水平跨越拐点值后,继续推进功能分工会对减排产生负效应,不利于污染排放强度降低。估计结果显示,空间溢出效应系数(-34.70)仍远大于结构效应系数(-11.40),功能分工空间溢出效应更强。因此,合理发挥功能分工空间溢出效应,是降低城市群内部邻近城市环境污染的有效途径。

进一步,由第(2)列回归结果计算得出“U”型曲线拐点值为1.965 5。对比城市群内各城市功能分工水平发现,只有上海市自2005年后始终处于拐点右侧,其次是南京功能分工水平较高。从2017年看,城市群内其它城市功能分工水平距离拐点值还很远,说明长三角城市群内大部分城市仍主要承担着生产制造功能。而且,长三角城市群总体功能水平较低(2017年功能分工均值为0.85),处于拐点左侧,且距离拐点还很远。因此,在当前阶段,提升城市群功能分工水平有利于降低污染排放强度,更能通过空间溢出效应大幅改善城市群内邻近城市污染状况。

由此,本文得出如下3点结论:①在城市群层面,功能分工与工业污染排放强度呈正“U”型关系。目前,长三角城市群处于“U”型曲线拐点左侧,功能分工结构效应可显著改善工业污染,即假设H1被验证;②在城市群内部存在显著空间溢出效应,内部城市功能分工水平上升时,也有利于改善邻近城市工业污染状况,此结论验证了假设H2;③功能分工空间溢出效应会显著强化两者的正“U”型关系,因为在“U”型曲线拐点左侧,城市群内某城市功能分工水平提升会同时降低本城市及邻近城市污染排放强度,进而显著增大功能分工对城市群的总体减排成效,否则反之。

3.2.2 引入交互项后功能分工对环境污染的影响

上述检验证实,功能分工与工业污染呈“U”型关系,但鉴于工业技术进步可能是功能分工影响环境污染的中介渠道,需进一步探讨控制交互效应后功能分工对工业污染的影响会出现哪些变化。因此,本研究在表4第(3)列中同时给出加入功能分工与技术进步交互项后的回归结果。结果显示,功能分工与工业污染的“U”型关系仍然成立,工业技术进步直接效应和间接效应显著为负,交互项系数为正,且均在5%水平上显著。说明工业技术进步有利于改善环境污染,也是功能分工影响环境的中介变量,假设H3被证实。

具体来看,交互项系数显著为正,交互项空间滞后系数也为正,但不显著,即实证结果说明如下两点:一是功能分工技术效应增强时,不仅不利于工业污染排放强度降低,反而还会导致工业污染排放强度上升;二是城市功能分工技术溢出效应未发挥有效的积极作用。而且,进一步看,当其它变量保持不变且不考虑溢出效应时,工业技术进步对功能分工与工业污染排放强度的偏效应影响为:∂OER/∂function=-26.92+21.35tech,工业技术进步影响系数为正,所以其对功能分工与环境污染的影响是分阶段性的,即在“U”型曲线的左侧,功能分工技术效应会抑制功能分工发挥减排作用;当功能分工的水平演变至“U”型曲线右侧时,技术效应会强化功能分工的污染作用。实证结果与假设H4不符,主要体现在:一是功能分工通过技术效应影响环境,但事实是,由功能分工水平上升带来的工业技术进步会导致污染排放强度上升并恶化环境;二是功能分工通过技术溢出效应影响环境的假设未通过显著性检验,且技术效应阻碍功能分工对环境的有利影响。可能原因在于,当前长三角城市群涉及地域范畴较广,功能分工水平较低,其定位合理性和协同度有待提升,阻碍了功能分工的技术(溢出)效应,导致中心城市未能全面发挥技术引领作用,外围城市也没有快速获取和吸收外溢技术。而且,如果功能分工技术(溢出)效应不具有绿色偏向,而致力于提高生产率,也会致使污染排放强度上升[37]。因此,未来研究仍需继续发展城市群功能分工协同联动机制,积极引导 技术(溢出)效应发挥减排作用。

从其它变量看,工业技术进步直接效应与溢出效应影响系数均为正,其溢出效应影响系数远大于直接影响系数,说明加快工业技术进步可快速降低本城市及邻近城市工业污染排放强度、缓解环境压力。在控制变量中,提高经济发展水平能够显著降低本地工业污染排放强度,但其溢出效应的减排作用不显著;能源效率提高不利于降低工业污染,主要原因可能是城市群整体能源效率相对较低,尚不足以对工业污染排放强度产生有效抑制作用[38];城市扩张和贸易开放度提高均不利于降低本地排放强度,但有利于降低邻近区域工业污染,但在统计上只有城市扩张溢出效应显著。可能原因在于:城市群内各城市贸易开放度差异较大,致使其尚未发挥有效作用;而城市扩张则缓解了邻近区域承接产业转移的压力;环境规制直接影响系数为负,溢出效应为正,且均不显著。

3.2.3 城市群分组估计与比较分析

鉴于安徽省地级市融入长三角城市群较晚,这些地级市与原长三角16市的协同发展和经济合作均处于初期阶段,且一些研究也提出并证实不同扩张阶段长三角城市群组整体发展水平和功能分工存在差异,而且不同阶段功能分工对生产率的异质性影响显著[23]。同理,在不同群组中城市功能分工及其它变量对环境的影响差异也可能显著。因此,本研究设置对照组,即将初始长三角城市群数组b组(将新纳入的9个地市剔除,共计15个地市)作为对比组,初始长三角城市群经济质量及功能分工水平均优于最新长三角城市群(a组),回归结果及组间系数差异检验见表4中第(4)~第(6)列。

表4 回归结果(总体回归与异质性城市群组回归)

自变量因变量:OERa组.最新长三角城市群组(1)(2)(3)组间系数差异检验(a组VSb组)(4)a组(5)b组P值(6)Mainfunction-9.28∗∗-11.40∗∗-26.92∗∗∗-26.92∗∗∗-35.54∗∗∗0.52(-1.92)(-2.10)(-2.82)(-2.90)(-4.03)(0.42)function22.93∗∗2.90∗3.11∗∗3.11∗3.71∗∗∗0.76(2.15)(1.88)(1.91)(1.84)(3.36)(0.09)tech-18.82∗∗-5.98-5.98-44.79∗∗∗0.09(2.02)(-0.40)(-0.33)(-3.43)(2.92)function∗tech21.35∗∗21.35∗∗27.80∗∗0.22(2.10)(2.42)(2.74)(0.64)trade5.746.14∗6.14∗∗-0.650.07(1.62)(1.7)(2.52)(-0.21)(3.36)effi1.542.362.366.86∗∗∗0.13(0.98)(1.47)(1.05)(3.43)(2.21)lnrgdp-14.72∗∗∗-15.64∗∗∗-15.64∗∗∗-16.03∗∗∗0.95(-3.55)(-3.77)(-3.41)(-3.51)(0.00)reg-1.57-0.30-0.309.35∗0.16(-0.36)(-0.07)(-0.06)(1.93)(1.95)lnurban0.330.900.90-1.270.62(0.09)(0.24)(0.29)(-0.41)(0.25)WXW∗function-41.17∗∗∗-34.70∗∗∗-40.01∗∗-40.01∗∗-12.060.07(-4.62)(-3.24)(-2.07)(-2.22)(-0.44)(3.38)W∗function29.64∗∗∗7.39∗∗5.375.371.560.34(3.62)(2.32)(1.63)(1.37)(0.18)(0.93)W∗tech-52.33∗∗∗-67.33∗∗-67.33∗∗-11.350.13(-2.85)(-2.02)(-2.47)(-0.46)(2.32)W∗(function∗tech)15.6515.6527.500.71(0.67)(0.81)(1.09)(0.14)W∗trade-12.47-10.91-10.91-11.470.96(-1.59)(-1.38)(-1.57)(-1.51)(0.00)W∗effi-2.13-1.12-1.1233.33∗∗∗0.00(-0.71)(-0.36)(-0.27)(6.02)(24.91)W∗lnrgdp-2.73-2.47-2.4710.750.20(-0.36)(-0.32)(-0.34)(1.40)(1.63)W∗reg1.512.702.700.160.04(0.17)(0.30)(0.31)(0.02)(0.85)W∗lnurban-18.30∗∗-17.65∗∗-17.65∗∗-2.760.14(-2.51)(-2.37)(-2.36)(1.09)(2.18)FE_rsqr20.68770.74680.7503

注:*p<0.1,**p<0.05,***p < 0.001.表中(1)~(3)列括号内为t值,(4)~(5)列括号内为z值,(6)列括号内为chi2(1)

(1)在a组和b组中,城市群功能分工一次项系数均为负,二次项系数均为正。因此,城市群功能分工与工业污染正“U”型关系仍然成立。

(2)变量组间系数差异检验结果显示:①功能分工结构效应对工业污染排放强度的组间影响有显著差异,P值分别为0.07,但其直接效应组间差异不显著。具体而言,在b组中功能分工结构效应影响系数变小且不再显著,即在初始长三角城市群组中,功能分工结构效应减排作用显著弱化,群内城市不再能搭上邻近功能分工程度较高城市的“减排便车”。也即,在当前阶段,虽然纳入更多地市的长三角城市群整体经济质量和功能分工水平较低,但群内功能分工水平较低城市可搭上“减排便车”,积极与邻近城市合作,实现共赢。但是,功能分工直接效应影响系数在a组和b组中均为正且显著,充分说明提升功能分工水平是实现减排的重要途径。这也从侧面揭示当前长三角城市群内功能分工水平较低城市可搭上“减排便车”,快速优化本区域环境,但随着城市群整体发展水平和功能分工水平提升,降低污染排放强度需从自身发展入手;②工业技术进步变量组间系数差异较为显著,P值为0.09。在b组中工业技术进步的减排效应大幅增大且显著,因此,城市群发展质量越高,越有利于工业技术进步发挥直接减排效应。但是,工业技术进步溢出效应组间差异不显著,在两组中均未呈现显著减排成效。所以,在当前城市群发展阶段,工业技术进步及其溢出效应对减排的影响有待强化。

(3)在控制变量方面,贸易开放度、能源效率溢出效应和环境规制溢出效应组间影响存在显著差异。具体对比看,在b组中贸易开放度直接影响系数由正变为负,说明城市群发展水平越高,越有利于贸易开放逐渐发挥减排作用。能源效率溢出效应变得十分显著,且系数为正,根本原因在于,在城市群中经济发展水平低的城市,能源效率在时序上增减变化不一。所以,提高低水平城市能源效率十分重要;环境规制溢出效应组间系数虽有显著差异,但均不显著。但需要强调的是,在b组中,其直接影响系数为正,与当前诸多研究结论相悖。从绩效型环境规制量化值数据看,数据序列波动性较大,因此不稳定的环境规制程度可能致使环境规制手段并未起到抑制工业污染的作用。因此,政府应持续加强污染治理力度,以发挥绩效型规制手段的减排作用。

4 结语

4.1 结论与建议

城市群功能分工与协作在一体化实践推进中备受重视之际,本研究紧扣长三角城市群面临挑战的生态环境问题,以城市群功能分工为出发点,从理论和实证两个方面双重实践解析功能分工对工业污染的影响机制。结果发现:①在城市群层面,功能分工与工业污染“U”型关系始终成立,目前长三角城市群仍处于拐点左侧。功能分工结构效应和工业技术进步均显著有利于降低工业污染排放强度。所以,在当前阶段,在城市群层面,城市群功能分工水平仍有较大提升空间,因此应致力于提升城市群总体功能分工水平,通过强化功能分工实现改善环境污染和城市群一体化、高质发展等多重发展目标。具体可通过加速技术进步强化城市群功能分工,降低污染排放强度,改善生态环境;②功能分工空间溢出效应和工业技术进步空间滞后效应虽然存在异质性,但通过对比可知,在当前阶段,城市群内城市环境污染变化更倾向于受到来自邻近城市功能分工演进和工业技术进步的间接影响。因此,从异质性结果出发可知,城市群内部功能分工水平较低城市更易搭上邻近城市的“减排便车”,因此功能分工水平处于弱势的城市应紧抓一体化发展政策红利,借力邻近区域特别是功能分工水平较高城市的功能分工和技术发展比较优势,积极凭借地域优势开展技术交流和产业协作,并通过提高自身学习和吸收能力,快速优化生产技术,以降低高污染性生产活动带来的环境威胁。另外,逐步升级产业结构、缩小功能分工发展差距,进而缓解本地污染问题、实现经济追赶。而且,城市群内功能分工水平较高城市,特别是上海、南京等城市,也需积极发挥引领示范作用,主动为周边城市提供技术支持和产业合作平台,创造更多产业链条间分工合作机会;③功能分工技术效应和技术溢出效应均未发挥预期减排作用。相反,功能分工技术效应有恶化环境的风险。从城市群长期发展看,功能分工技术(溢出)效应是城市群内部实现协同一体化发展的关键。因此,长三角城市群需要进一步优化功能定位、改善资源空间配置、避免经济活动部门结构趋同和恶性竞争,以便加强产业链前后向协作与互动,切实激发功能分工的技术(溢出)效应,特别是绿色技术(溢出)效应,使其成为生产、制造部门提升工业技术的强大助力,以便整体优化产业链全环节清洁生产技术,从污染源头弱化主要污染经济体(生产制造部门)对环境的威胁;④在政府政策方面,各地政府应积极提倡城市间经济合作,合理刺激地方贸易开放,为区域间互联互通创造条件,消除行政壁垒和合作障碍,推动功能分工水平各异的城市间进行更加紧密的空间分工协作与技术交流等,促进各城市间通过建立紧密的功能分工与协作机制,实现多方共赢。政府可重点激励功能分工水平低的城市进行生产技术升级和产业调整,使其快速提高能源效率和环境规制力度等,以迅速提升城市群整体发展水平。

4.2 不足与展望

本研究借助现有数据基础和实证方法量化城市群功能分工,在分析城市群功能分工对工业污染可能性影响机制的基础上,利用空间计量方法检验城市群功能分工对工业污染的影响,并同时从城市群一体化视角和城市群内部视角提供战略建议。但是,城市群功能分工的复杂特性及其与环境污染间的复杂影响机制,加大了本研究难度。因此,本研究在测度城市群功能分工和研究内容等方面仍存在一些不足,有待深入拓展研究。

本研究因数据可获性等限制,采用较为简化的城市群功能分工测度方法,并未完全以产业链上生产环节为参照对城市群功能分工进行分维度量化,因此未能从本质上体现城市群功能分工的多样性等现实特征。随着我国宏微观统计数据和实证方法的不断完善,未来可对城市群进行更精细化的功能分工测度和功能差异化定位,从而有利于全方位体现出差异化功能分工对经济环境等的作用机制。

在研究内容上,未来将继续深入探讨如何协调城市群内部城市间功能分工与一体化协作,以使其服务于生态环境建设。本研究虽已测度城市群内部各城市功能分工水平,但因篇幅限制,未能全面展开对内部各城市的探讨。然而,因城市群是多个城市的集合,内部各城市功能定位和分工必然呈现多样化,因此,未来仍需以城市群内部各城市为研究切入点和突破点,综合考虑各城市的功能分工、空间地理区位、经济环境发展现状等因素,着力于研究如何激发城市群内部各城市功能分工的污染减排作用,以及如何实现经济和生态环境的一体化发展。

参考文献:

[1] 张若雪.从产品分工走向功能分工:经济圈分工形式演变与长期增长[J].南方经济, 2009(9): 37-48.

[2] 赵勇,白永秀.中国城市群功能分工测度与分析[J].中国工业经济,2012(11): 18-30.

[3] 马燕坤.京津冀城市群城市功能分工研究[J].经济研究参考,2018(21): 26-44.

[4] 王哲,景朝阳.城市功能疏解与大城市病治理——中国区域经济50人论坛专题研讨会(第二期)综述[J].区域经济评论,2017(5): 139-141.

[5] MASSEY.In what sense a regional problem[J].Regional Studies,1979,13(2): 233-243.

[6] 马燕坤,张雪领.从国际产业分工到城市群城市功能分工的文献述评[J].区域经济评论,2018(6): 92-98.

[7] 王艳华,苗长虹,胡志强,等.专业化、多样性与中国省域工业污染排放的关系[J].自然资源学报,2019,34(3): 586-599.

[8] GASCHET F.The new intra-urban dynamics:suburbanisation and functional specialisation in French cities[J].Papers in Regional Science,2002,81(1): 63-81.

[9] DURANTON G,PUGA D.From sectoral to functional urban specialisation[J].Journal of Urban Economics,2005,57(2): 343-370.

[10] 齐讴歌,赵勇.城市群功能分工的时序演变与区域差异[J].财经科学,2014(7): 114-121.

[11] 刘胜.城市群空间功能分工带来了资源配置效率提升吗——基于中国城市面板数据经验研究[J].云南财经大学学报,2019,35(2): 12-21.

[12] 赵勇,魏后凯.政府干预、城市群空间功能分工与地区差距——兼论中国区域政策的有效性[J].管理世界,2015(8): 14-29+187.

[13] 岐亚光.功能分工视角下的大都市圈发展机理与实证[D].杭州:浙江大学,2016.

[14] 苏红键.空间分工理论与中国区域经济发展研究[D].北京:北京交通大学,2012.

[15] 魏后凯.大都市区新型产业分工与冲突管理——基于产业链分工的视角[J].中国工业经济,2007(2): 28-34.

[16] 朱彦刚,贺灿飞,刘作丽.跨国公司的功能区位选择与城市功能专业化研究[J].中国软科学,2010(11): 98-109.

[17] DEFEVER F.Functional fragmentation and the location of multinational firms in the enlarged Europe[J].Regional Science and Urban Economics,2006,36(5): 658-677.

[18] 豆建民,张可.空间依赖性、经济集聚与城市环境污染[J].经济管理,2015,37(10): 12-21.

[19] 张可.经济集聚的减排效应:基于空间经济学视角的解释[J].产业经济研究,2018(3): 64-76.

[20] 余泳泽,刘大勇,宣烨.生产性服务业集聚对制造业生产效率的外溢效应及其衰减边界——基于空间计量模型的实证分析[J].金融研究,2016(2): 23-36.

[21] 马燕坤.城市群功能空间分工形成的演化模型与实证分析[J].经济管理,2016,38(12): 31-46.

[22] 齐讴歌,赵勇,白永秀.城市群功能分工、技术进步差异与全要素生产率分化——基于中国城市群面板数据的实证分析[J].宁夏社会科学,2018(5): 84-95.

[23] 黎文勇,杨上广.城市群功能分工对全要素生产率的影响研究——基于长三角城市群的经验证据[J].经济问题探索,2019(5): 74-81.

[24] 刘胜,顾乃华,李文秀,等.城市群空间功能分工与制造企业成长——兼议城市群高质量发展的政策红利[J].产业经济研究,2019(3): 52-62.

[25] 柴志贤,何伟财.城市功能、专业化分工与产业效率[J].财经论丛,2016(11): 11-19.

[26] 尚永珍,陈耀.功能空间分工与城市群经济增长——基于京津冀和长三角城市群的对比分析[J].经济问题探索,2019(4): 77-83.

[27] 赵璟,李颖,党兴华.中国经济增长对环境污染的影响——基于三类污染物的省域数据空间面板分析[J].城市问题,2019(8): 13-23.

[28] BRAJER V,MEAD R W,XIAO F.Searching for an environmental Kuznets curve in China's air pollution[J].China Economic Review,2011,22(3): 383-397.

[29] 毛熙彦,贺灿飞.贸易开放条件下的区域分工与工业污染排放[J].地理研究,2018,37(7): 1406-1420.

[30] 沈坤荣,金刚,方娴.环境规制引起了污染就近转移吗[J].经济研究,2017,52(5): 44-59.

[31] 吴伟平,何乔.“倒逼”抑或“倒退”——环境规制减排效应的门槛特征与空间溢出[J].经济管理,2017,39(2): 20-34.

[32] MCCARTY J,KAZA N.Urban form and air quality in the United States[J].Landscape and Urban Planning,2015,139: 168-179.

[33] 陈强.高级计量经济学及Stata应用[M].第二版.北京: 高等教育出版社,2014:578-581.

[34] 虞义华.空间计量经济学理论及其在实践中的应用[M].北京:经济科学出版社,2015.

[35] VEGA S H,ELHORST J P.The SLX model[J].Journal of Regional Science,2015,55(3): 339-363.

[36] RUTTENAUER T.Spatial regression models: a systematic comparison of different model specifications using monte carlo experiments[J].Sociological Methods & Research,2019(8): 1-37.

[37] 邵帅,杨莉莉,黄涛.能源回弹效应的理论模型与中国经验[J].经济研究,2013(2): 97-110.

[38] 邵帅,张可,豆建民.经济集聚的节能减排效应:理论与中国经验[J].管理世界,2019,35(1): 36-60+226.

(责任编辑:王敬敏)