随着科技创新模式的转变和全球开放创新2.0浪潮的到来,众创空间作为一种新型创新创业平台在“大众创业,万众创新”新势态中应运而生,其主要是为小微新企业和个体创业企业提供低成本、便利化的开放创新合作服务。《中国众创空间白皮书2018》数据显示,目前我国已有5 739家众创空间,数量跃居全球第一,服务初创企业与团队超过41万个,在推动科技进步的同时带动了大量就业,帮助初创企业或创业团队成功获得投资670亿元。然而,众创空间在飞速发展的同时,也面临诸多问题,如大部分众创空间创业企业发展缓慢;众创空间为维持生存和运营,严重依赖政府提供的场地、政策和资金支持[1];运作效率和服务质量亟待提高。创业企业在成长初期,不仅需要众创空间为其提供管理、金融等方面的支持,还需要建立以知识共享与合作创新为核心的微观机制[2],因此知识网络与合作网络在近几年受到学者广泛关注。冯海红等[3]认为,网络式发展能够帮助高科技企业提高创新绩效,特别是对于中小创业企业来说,能降低其创新成本、缓解创业风险。构建高效的合作创新网络能够加速创业企业间合作,实现生产要素的自由流动和优化配置[1],提升众创空间服务效率和生存能力。如何帮助与引导创业企业进行合理有效的行为决策,从而推动合作创新网络健康发展与众创空间创新绩效提升,是当前众创空间亟待解决的问题。
因此,本研究基于知识网络与合作网络双网络结构视角,旨在解决以下几个关键问题:①探究众创空间合作创新网络关系与演化机理,构建双网络模型并进行解耦研究,为合作创新网络动态演化研究提供新视角;②比较创业企业合作网络结构变化对众创空间网络创新绩效的影响,为众创空间如何引导企业选择合作策略提供新思路;③探索众创空间运营机制对合作网络与知识网络结构及其交互关系的影响,为众创空间长期稳定发展提供新路径。
自我国“大众创业、万众创新”重大战略部署提出以来,众创空间已经成为大批创业者和创业企业的聚集地,呈现出蓬勃发展的生命力,并很快成为政府决策部门和学术界关注的焦点[4]。当前,大多数学者对众创空间进行了概念界定,并分析了其与传统孵化器的区别以及众创空间类型和盈利方式[5],抑或是运用案例分析对众创空间平台进行定位对其发展策略进行研究[6]。又或者,在创新生态系统方面,将众创空间概念纳入生态系统理论研究框架[7],认为众创空间是一种新型创业生态系统,其内部各要素间不断进行物质与信息交换[4],与自然生态系统二者间存在共性[1]。在众创空间合作创新网络演化方面,目前对其影响机制的探讨比较笼统,未能同时从企业个体特征和网络整体特征考虑合作创新网络发展作用机理[7]。本研究认为,现实创新网络通常都有复杂网络的结构特征,众创空间中创业企业的创新行为并非独立存在,其在合作创新中逐渐形成了复杂的合作创新网络。众创空间就是通过资源共享、政策实施推动企业间合作创新,从而加快创业企业成长速度、提升众创空间本身运营绩效的重要载体。因此,本研究从合作创新网络视角研究众创空间演化机制。
在合作创新网络中,每个创新主体包含两个不同的创新网络[8]:一个是由知识元素及其联结为边构建的知识网络[9];一个是以知识转移为动力、社会关系为基础构建的合作网络[10]。目前,学者对知识网络的研究主要集中在知识网络结构特性及其作用机理[11-13]、知识网络对企业创新能力与风险的影响上[8]。合作网络是基于社会关系层面的网络,现有研究较多关注合作网络关系结构对企业成长和绩效的影响[14],并运用社会网络分析法或动态演化模型对合作网络进行仿真研究[15-16]。梳理以往文献发现,以往学者倾向于将知识网络与合作网络合并进行研究,但近年来两种网络的解耦研究开始出现:一些学者认为知识网络与合作网络是解耦且不同构的,即创新主体在合作网络中所处位置与其拥有的知识元素在知识网络中的位置不完全匹配,应对其进行深度分析和鉴别[8,17]。Wang等[8]提出知识网络与合作网络因特征不同,应分别进行研究,其利用美国某著名微处理器制造商专利数据构建合作网络和知识网络发现,知识网络中心度与研究者探索式创新呈倒U型关系,而合作网络中心度对研究者创新效率存在负面影响;王彦博和任慧(2016)运用实证研究方法,对企业技术创新网络进行解耦研究,并构建两种网络互相嵌入模型,以我国某高新技术企业为研究对象,分析了两种网络不同结构特征对企业创新绩效的影响。不难发现,上述研究仍然是将知识网络与合作网络分别进行研究,虽然鉴别了两种网络的异质性和不同的结构特征,但未对其交互作用进行深入探讨。
在知识网络与合作网络交互作用方面,目前相关研究还较少,且未得出一致性结论。Xie[18]探讨了合作创新网络的4个结构特征,即网络规模、网络异质性、网络关系强度和中心性对企业知识转移绩效水平的影响,运用中国高科技企业数据样本,采用模糊集定性比较分析研究发现,网络规模、网络关系强度和中心性对知识转移绩效水平具有重要作用;Hayter等[19]基于创业知识溢出理论,从知识网络角度探索了以学术型创业者为研究对象的社会网络构成与演变情况,并对公共政策优化提出相关建议。国内外学者对于双网络解耦进行了初步探索,大多是基于知识网络角度研究合作网络的中介效应或对知识转移绩效的影响。但两个网络在演化过程中是否存在交互影响机制,以及这一机制对合作创新过程的动态影响并未涉及。
综上所述,众创空间作为中国特色创新实践过程中的产物,日益受到政府与学者重视。从研究层面看,当前研究大多是在宏观层面上对众创空间概念、经营模式与发展趋势进行阐释,或以微观企业为研究对象探索知识网络或社会网络演化与企业绩效的关系,但从合作创新网络视角将众创空间宏观层面运营机制与微观层面对企业行为管理策略相结合的探讨较少。在创新实践中,众创空间与其每一个在孵企业的决策息息相关,都有可能影响众创空间合作创新网络演化及合作创新绩效提升。另外,合作创新网络作为创业企业知识转移的重要渠道仍需进一步探索,知识网络与合作网络解耦研究也还不够深入。创业企业作为创新主体在知识网络中所处位置与其在合作网络中所处位置并不一定匹配,双网络结构比单一网络更能够有效描述众创空间不同创新主体间的联系。因此,本研究构建众创空间双网络模型,首先研究企业动态合作策略与众创空间运营机制对合作创新网络绩效的影响,然后分别讨论知识网络与合作网络结构的交互关系,最终为促进创业企业加速成长、提升众创空间运营效率提出相应策略建议。
单一知识网络或合作网络难以准确描述创业企业之间知识层面和社会层面的双重关系结构。在众创空间中,大部分创业企业都属于高新技术企业[10],因此每个企业作为创新主体都可能具备一个或者多个相关的知识点,这些知识点在企业实践中通常表现为其在设计或生产企业产品(如芯片、仪器等)或服务过程中所需要的各种专利、技术、工艺和论文等[20]。知识点在每个创新主体间的分配是不均匀的,知识点之间的多元化组合与多样化联结构成了知识网络[21],而每个创新主体拥有的知识点与知识量会随着主体创新行为的演变或主体间的知识共享或知识转移进行组合重构,最终形成知识网络动态演化。创业企业在进行创新活动时与其它企业开展的社会层面合作关系构成的网络化结构就是合作网络(王彦博等,2016)。创业企业在合作网络中所处的位置与其拥有的知识点在知识网络中所处的位置不同。并且,知识点在知识网络中的位置不是由某个企业单独决定的,而是创业企业在合作创新过程中共同努力的结果(王彦博等,2016)。因此,这两个网络既相互独立又互相关联。本文构建的众创空间双网络模型如图1所示。
图1 众创空间双网络模型架构
众创空间双网络模型涉及两种性质的节点和3个不同的网络,3个网络共同构成了双网络模型,即由知识节点与其联结关系构成的知识网络,由创业企业节点及其联结关系构成的合作网络,以及由创业企业节点与其拥有的知识节点构成的合作创新网络。众创空间中创业企业双网络模型用G表示。
G=(Gs,Gk,Qs~k)
(1)
其中,Gs=(S,Qs~s)表示创业企业间组成的合作网络,代表的是一种社会关系;Gk=(K,Qk~k)表示众创空间所有知识点组成的知识网络;S={S1,S2,…Sm}表示创业者集合,m代表众创空间中的创业企业个数;Ps~s表示创业企业间的合作联系,众创空间合作网络就是由这些企业合作关系构成的;K={K1,K2,…Kn}表示知识点的集合,其中n表示众创空间知识点的总个数;Qk~k表示知识点间的联系关系,众创空间创业企业间的知识网络可看作是由所有知识点及其关系组成;Qs~k表示合作网络与知识网络间的联系,表示某个知识点存在于哪些创业企业之中。这两种关系将两个不同性质的创新网络连接起来,最终形成了众创空间双网络结构。
创业企业合作网络关系和知识网络关系可分别用不同的邻接矩阵表示,而创业企业及其知识点分别是合作网络与知识网络中性质不同的节点,也即是一种多对多的关系。本研究假设每个创业企业可能具备一个或多个知识点,借鉴孙薇等(2013)对创新主体到知识元映射关系的表示,创业企业Si拥有的知识点表示为向量:
Si=[vi1,vi2,…,vin],(i=1,2,…,m)
(2)
式(2)中各个维度取值如下:
(3)
如式(3)所示,vij=0表示创业企业Si不拥有kj知识点;vij=x表示创业企业Si拥有kj知识点,x代表该知识点的知识量。
(1)知识网络构建机制。受知识点异质性与合作网络的影响,每个创业企业拥有的知识点在知识网络中的联结是不均匀的。徐敏等研究表明,大多数实际创新网络都具有无标度特性,具体表现为个别知识点联结数较高,在知识网络运行过程中发挥主导作用,而其它知识节点联结数则相对较少。所以,本研究假设初始知识网络存在无标度特性。众创空间创业企业知识网络初始联结机制按照BA无标度网络结构进行构建[22]。
(2)知识网络演化与众创空间培训机制。知识网络在初始联结机制的基础上,通过创业企业自身技术创新或与其它企业合作创新而不断演化。一方面,创业企业知识点随着企业合作创新的演进不断增加,知识点间的连接也随着合作关系的增加而不断演化;另一方面,每个知识点的知识量随着自主创新或接受知识转移而不断提升。另外,众创空间为创业企业服务,目的是培养更多更优秀的创业企业,所以会通过各种手段和渠道提升新进入企业知识水平,如通过培训、整合媒体资源和外部合作等方式。因此,本研究仿真实验对每个仿真周期(30次)所有节点知识水平进行评估,并对知识水平最低的10%的创业企业进行培训,等每个周期结束后,创业企业增加1个知识点,也即合作网络增加一条与知识网络的映射关系。
(3)合作网络机制构建。创业企业刚进入众创空间时,表现为合作网络中与其它节点连接较少,但随着创业企业的不断发展以及众创空间中合作机会的增多,其与其它创业企业的合作越来越多(吴文清等,2014)。根据Nooteboom等[23]的研究,相对较近的知识距离能够帮助企业提高协同合作交流效率、增加创新产出。因此,本研究假设创业企业偏好选择那些与自身拥有较小知识距离的企业进行合作。Dir表示创业企业Si和Sr之间的知识距离之和,具体为:
![]()
(4)
因此,创业企业Si和Sr连接的概率公式为:

(5)
(4)众创空间合作网络断链重连机制。由于创业企业发展以及众创空间中合作机会不断增加,企业会根据自身发展以及其它企业知识水平变化调整或改变合作关系,在网络变化中表现为节点间联系的改变或网络关系强度的演化[24]。根据本文分析,双网络中合作网络与知识网络既相互独立又有所关联,因此本研究中的合作关系也是随着知识网络演化而不断调整的。假设合作网络中节点以概率φ(0<φ<1)、按知识网络中企业知识水平高低进行边的断链重连。首先,以概率φ选中企业主体Si,取得与其存在合作关系的直接关系企业集合Ai;其次,在直接合作节点中,选择节点知识水平最小的节点,删除其它边,然后依据上文合作网络连接机制进行重连。
根据张晓黎等[7]的研究结论,当网络组织中约9%的企业调整关系时(即断链重连概率为0.09时),网络中企业的单一知识总量和组合知识总量达到最大值;也有学者在仿真研究中将合作关系强度设置为0.2和0.3[25]。该研究将合作关系强度设置为连续函数进行仿真,形成的三维图像较难直观地展示出合作关系强度对众创空间合作创新网络绩效的影响。因此,本研究将断链重连概率的初始值设置为0.05,每次增加0.01,根据多次仿真对比实验,最终发现当概率取值为0.09、0.2和0.3时,仿真结果最能体现合作关系调整对网络创新绩效与知识创新绩效的影响,因此在仿真结果部分着重分析与比较这3个概率取值。
在众创空间中,不同创业企业拥有的知识点数量不一致,每个知识点拥有的知识量也不同。通过知识转移与自主创新,创业企业能够获得新知识点或在原有知识量的基础上有所增益,从而提升其知识水平,获得更大的发展空间。
(1)知识转移。创业企业在众创空间中,会因为某一时间段的知识势差而产生知识扩散,也即创业企业Se对创业企业Si进行知识转移。假设当创业企业Si与创业企业Se进行知识扩散后,创业企业Si在t+1时期从创业企业Se处接收的知识点
为:
![]()
(6)
其中,αe表示企业Se对企业Si的知识转移意愿,不同创业企业的知识转移意愿相互独立并服从[0,α]均匀分布;βi表示企业Si的知识吸收能力,不同创业企业的知识吸收能力相互独立并服从[0,β]均匀分布。
(2)知识创新。众创空间内的创业企业作为一种自适应主体,能够不断在自身知识基础上进行自主创新,也即某个知识点知识量的增加[8]。现有文献通常将知识创新模型设为线性增长模型,即知识创新量与企业创新能力呈正比关系,因此本研究假设企业Si在t+1时期通过自主创新后拥有的知识点向量为:
![]()
(7)
该式中,
表示创业企业Si在t时期拥有的知识点向量;εi为创业者Si的知识创新能力,众创空间中不同创业企业的知识创新能力相互独立并服从[0,ε]均匀分布。
众创空间在服务新创企业过程中需要设定一定的流动机制[10],才能促进成长迅速的企业顺利毕业,并及时淘汰发展潜力不足的创业企业,引进更加优质的新创企业,进而提升其运作效率。研究表明,有效的毕业机制与淘汰机制是提高众创空间创业企业生存率的基本保障(徐敏等,2017)。因此,本研究假设新创企业离开众创空间存在两种可能:一种是达到毕业标准自动离开;另一种是符合淘汰条件而被迫淘汰。假设每个服务周期毕业或者淘汰一次,规定毕业条件为企业拥有的知识点数达到上限知识点的比例,同时每个知识点的知识量达到最高知识量的80%;淘汰条件为总体知识水平末位10%的企业。另外,只有建立规范的准入机制,才能筛选出符合众创空间发展目标且有市场潜力的企业进入众创空间进行孵化[26]。因此,本研究假设每个服务周期结束之后,新增加一部分创业企业进入众创空间,增加的企业数等于上一周期离开的企业数。新进企业按照初始条件随机分配知识点,初始知识点数按照初始参数随机分配,在下文通过设置不同参数设计众创空间新创企业准入机制;而初始知识量为所有企业在该知识点的平均值,具体参数设置见表1。
根据前文设定的规则,创业企业在双网络结构众创空间进行合作创新活动,包括知识转移、自主创新、知识培训和合作关系调整,通过这些活动改变自身知识结构进而提升整个网络创新绩效。本研究选择平均知识点数、平均知识水平和知识点普及率描述合作创新网络整体绩效,然后分别用合作网络知识网络密度和网络平均聚类系数两个指标度量两者交互作用的网络绩效。
创业企业在合作交流过程中能够不断获取自身不具备的知识点,也即增加知识点数[26]。每个企业拥有的知识点增加意味着该企业知识网络不断完善,知识点增速反映企业间知识转移效率。假设创业者Si的知识点数为qi,则众创空间网络中所有企业的平均知识点数为:
(8)
创业企业平均知识水平表现为所拥有的平均知识量,能够体现众创空间所有个体知识总量水平,也即创业网络知识水平。创业企业平均知识水平为:
![]()
(9)
创业企业是否自身具备知识点或者通过合作学习从其它企业获取更多知识点,也即某个知识点是否存在于多个创业企业中,而不是孤立地存在于很少的企业中,也可以衡量众创空间合作演化效率。因此,本文参考吴文清等(2014)的研究,用知识点在创业企业中存在的普及率判断知识点是否被广泛应用。本文假设知识点kj存在于z个创业者之中,则该知识点普及率为
因此网络中所有知识点平均普及率为:
![]()
(10)
网络密度是节点之间合作关系连接的程度,对网络中企业合作创新行为和效果有明显影响。假设网络节点间连接数为e,则网络密度d为:
![]()
(11)
聚集系数表示网络节点聚集程度,而平均聚类系数是所有节点聚类系数的平均数。设某节点的度为∂i,这∂i个节点间最多存在∂i(∂i-1)/2条边,假设这些节点间实际存在的边数为ei,那么该节点的聚类系数ci可表示为:
(12)
本研究用Matlab软件对模型进行仿真,分析当众创空间中创业企业合作网络断链重连概率φ分别为0.09、0.2和0.3时,双网络结构合作创新网络绩效及两个子网络绩效的变化情况。首先,知识网络与合作网络依据初始网络构建规则进行初始化,然后依次按照上文步骤与算法进行模拟仿真。假设整个网络知识点总数为n,企业进入众创空间时拥有的最高知识点数上限比例为μ1,毕业可拥有的最高知识点上限比例为μ2,也即进入众创空间时拥有的知识点数服从[1,μ1*n]区间均匀分布(取值为整数),在网络中拥有的知识点数服从[1,μ2*n]区间均匀分布(取值为整数)。假设新进入企业每个知识点的知识量服从[0,θ]区间均匀分布。相关参数设定见表1。
表1 参数赋值
参数名称 符号设置值仿真总次数T900每周期作用次数L30无标度网络平均度 K6知识转移意愿上限α0.1知识吸收能力上限β0.1知识创新能力上限ε0.01创业企业数量m30无标度网络起始节点数m03知识点总数n30初始最高知识点数上限比例μ10.1网络中最高知识点数上限比例μ20.6每个知识点知识量x(0,1)新进企业每个知识点知识量上限θ0.3断链重连概率ψ0.09,0.2,0.3
本研究将每周期仿真次数定为L=30,共运算30个周期,即仿真总次数为T=900。为降低仿真实验数据的波动性和误差,以同一组参数重复运算10次的平均值作为最终仿真结果。本文仿真通过Matlab2016b软件编程实现。
本研究涉及3种不同的网络:知识网络、合作网络和双网络结构合作创新网络。为更加直观地呈现出网络演化过程,用网络演化图的形式绘制出双网络结构下合作创新网络结构变化图。图2是仿真运行1个周期(30次)后合作创新网络的结构形态,图3是仿真运行30个周期(900次)后的结构形态。从中可见,知识网络位于双网络上方,知识节点平铺在知识网络中;而在合作网络中,企业节点则平铺在下方。两个网络中间的连线代表每个企业拥有的知识节点,反映出企业知识结构。从中可以看出,随着仿真周期的增加,众创空间合作创新网络不断演化为更加复杂的双网络结构。
结合图2~图3仿真结果看,这两个网络随着时间变化呈现出不同的演化形态,即两个网络是相对独立的;但当知识网络与合作网络演化为更复杂的拓扑结构时,网络间连线也呈现出更加复杂的变化,所以两个网络相互关联。也即,知识网络动态演化会对合作网络产生一定的影响,反之亦然。
图2 运行1个周期后的合作创新网络结构
图3 运行30个周期后的合作创新网络结构
(1)平均知识点数。平均知识点数代表企业知识转移效率和合作创新网络运营绩效,本文中的知识网络共包含n=30个知识点,而参数μ1=0.1,μ2=0.6,因此新进企业最高拥有μ1*n即3个知识点,众创空间内企业最高拥有μ2*n即18个知识点。从图4中可以看出,每个周期末当企业离开时,网络平均知识点数突然下降。这是因为拥有较多知识点的成熟企业离开,而新进企业拥有的知识点数较少,只能从知识点较多企业处获取新知识点,这一过程既体现了众创空间中创业企业不断流动的特点,也体现出其服务培育初创企业、保持创新活力的特征。
总体来看,合作创新网络中创业企业平均知识点数随演化不断提升,但不同断链重连概率下平均知识点数情况有所不同。当断链重连概率φ=0.2时,网络平均知识点增长速度最快,且始终高于或等于其它两条线。当断链重连概率φ=0.09时,网络平均知识点数始终发展最慢。当合作关系以概率φ=0.3进行调整时,网络知识点数前期增速略高于φ=0.2,但增速很快就有所下降,最终平均知识点数介于两者之间。可以看出,企业合作关系以过低或过高概率进行调整时,都会影响网络平均知识点数增长,也即存在相对合理区间。因此,企业应当适当调整其合作关系频率,从而加快知识点增长速度。
图4 平均知识点数变化情况
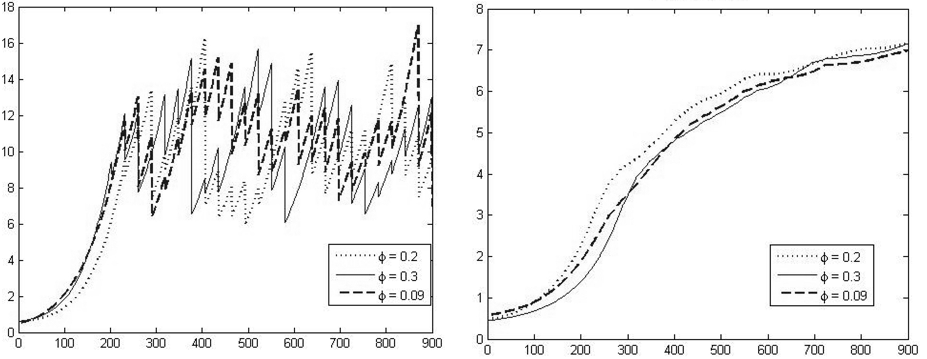
(2)平均知识水平。网络平均知识水平表现为创业企业拥有的平均知识量,不仅能够反映创业企业知识量增长情况,也能够比较合作网络关系变动情况下合作创新网络绩效变化情况。在本研究中,单个知识点的知识量x取值在(0,1)之间,新进企业知识量取值范围为(0,0.3),创业企业毕业时每个知识点达到的知识量上限值为0.8。图5左边绘制的是平均知识量变化趋势,即合作创新网络中创业企业合作关系在3种调整概率下网络平均知识水平变化情况。每个周期结束时网络平均知识水平均有所下降,这也体现出新进企业与网络中企业知识水平的差异,之后网络知识水平又有所回升,说明企业合作创新活动与众创空间培训活动效果明显。由于仿真后期3种概率的平均知识水平波动较大,因此本研究在图5右侧绘制平均知识水平的平均值(取值为初始时刻到当期时刻的平均值),以便于观察并得出结论。
总体来看,网络平均知识水平前期呈现迅速上升趋势,表现为创业企业不断汲取更多知识点与知识量,而在仿真中后期,知识水平上升速度明显减缓。断链重连概率对企业平均知识量的影响有一定区别。当φ=0.2时,网络平均知识水平增长速度较快并始终高于另外两种概率;当φ=0.3时前期增长速度较慢,而后期与φ=0.09时平均知识水平增长速度不相上下,说明断链重连概率φ=0.2时,网络平均知识量提升最快且水平最高。因此,从平均知识水平上升情况看,合作关系调整概率同样存在相对合理区间。当企业合作关系调整概率过高或过低时,无论是平均知识点数还是知识量都会受到影响。因此,企业应当根据自身知识水平和网络环境变化适当调整合作关系。
(3)知识点普及率。网络知识点普及率从知识点分布视角考察合作创新网络中知识点是否分布较为均匀,或存在较大差异。如果知识点分布较为均匀且普及率较高,则说明众创空间中创业企业普遍拥有较多的知识点,即成长效果较好,众创空间运营服务效率较高;如果知识点普及率较低,则说明众创空间中有很多创业企业拥有较少知识点,存在被淘汰的风险。本研究分别针对创业企业合作关系的3种断链重连概率比较网络知识点普及率变化情况。从图6可以看出,知识点普及率与网络平均知识点数变化趋势相似,因为通常来说,企业拥有的平均知识点数越多,说明网络中知识点普及效果越好。从知识点普及率变化情况看,同样是断链重连概率为φ=0.2时效果最好,知识点普及率增长速度较快;当断链重连概率为0.09时,知识点普及率均有所下降;当这一概率上升到0.3时,则呈现前期略高而后期低于φ=0.2时的状态。这一结果也与企业平均知识点数变化情况相一致。
综上所述,众创空间合作创新网络平均知识点数、平均知识水平及知识点普及率均随着合作创新发展而上升,说明企业间合作创新活动能够推动众创空间创新绩效提升,本研究构建的双网络结构合作创新网络演化机制较为客观地反映了其合作创新演进过程。另外,众创空间网络创新绩效发展变化关系到网络中每个创业企业的发展。因此,从网络创新绩效角度看,创业企业合作关系断链重连概率取值不能过高或过低,应根据网络环境与自身发展阶段进行调整,即在合作创新发展初期、中期与后期应采取差异化发展策略,持续推动企业稳定发展,从而提升网络创新绩效。
上文直观刻画了双网络结构众创空间合作创新网络演化过程,其中知识网络与合作网络结构变化存在一定的区别。本部分分别讨论知识网络与合作网络的网络密度、聚类系数随仿真步长的变化情况,以及合作网络结构与知识网络结构演化的交互影响。
图5 平均知识水平变化情况
图6 知识点普及率变化情况
在本研究构建的双网络结构中,知识网络与合作网络既相互独立又相互影响与牵制。一方面,合作网络构建基于知识距离,因此合作关系随着知识水平的变化而不断调整;另一方面,知识网络演化基于合作网络,企业间知识转移只有通过合作关系才能产生,因此合作网络结构影响知识网络结构变化。本研究将合作网络结构演化状态分别以3种断链重连概率表示,知识网络结构演化状态分别以3种新企业准入门槛准则表示。对两种网络的网络密度和聚类系数变化进行分析,可以比较双网络共同演化情境下两种网络结构分别会产生怎样的变化状态,以及知识网络与合作网络结构变化的交互关系,从而为众创空间管理者调整管理策略提供理论依据。
4.3.1 断链重连概率对知识网络的影响
(1)知识网络密度。知识网络密度表示知识点间相互连接的程度,知识网络密度越大,说明知识点间关联性越强。从图7可以看出,知识网络密度随着仿真步长的增加而不断上升,而3种断链重连概率下知识密度变化相差不大,均呈现稳定增长态势,但仍有一定的区别。在仿真前期,这一区别较为明显,合作关系以概率0.09进行调整时,知识网络密度增长最快;当概率为0.3时,增长速度最慢;而随着仿真步长的不断增加,断链重连概率为0.09时知识网络密度却呈现增速放缓状态,最终低于另外两种概率;当概率为0.2和0.3时,知识网络密度呈现取值不相上下的波动状态。这表明,在合作创新网络建构初期,较低的合作关系调整概率相对更优,即稳定关系更加占优;随着时间推移,适当提升企业合作关系调整频率能够使知识网络密度稳定增长,即寻优策略更佳。
图7 知识网络密度变化情况
(2)知识网络聚类系数。知识网络聚类系数能够反映知识点聚集程度,聚类系数越大,表明知识点聚集程度越高,知识点间的连接越不均匀,呈现出hub结构,即无标度网络特质。从图8可以看到,由于知识网络初始结构按照无标度网络构建,因此聚类系数较高。随着合作创新网络的不断演进,知识网络聚类系数呈现下降趋势,并在仿真后期达到稳态状态,此时知识点间的连接较为均匀,但依然存在一定的hub结构形态。断链重连概率对知识网络聚类系数在仿真初期影响较大,企业合作关系以0.09的概率进行调整时,知识网络聚类系数降低速度较慢;而以较大概率0.3进行调整时,聚类系数下降较快,但随后有所上升;3种概率下的知识网络聚类系数在后期都达到较为稳定的波动状态,呈现出不同断链重连概率下的稳态结构。这一结果表明,从知识网络聚类系数看,在网络构建初期,创业企业同样不适宜采取较频繁的合作关系调整策略;而随着网络的不断发展,企业可选择不同的合作伙伴进行合作,从而提升自身知识水平与知识量,并且不会对知识网络聚类系数产生较大影响。
综上所述,知识网络结构随着仿真步长不断演化,并呈现出差别性的演化形态:知识网络密度呈现稳定增长状态,而聚类系数则在前期呈现下降趋势,随后达到相对稳定的波动状态。合作网络结构变化对知识网络结构有一定的影响:3种断链重连概率下知识网络密度均呈现稳定增长状态,但调整合作关系仍然会对知识网络密度产生不同程度的影响,在仿真前期这一影响更为明显;断链重连概率在仿真前期对知识网络聚类系数影响较大,在仿真后期则影响较小。由于网络初期企业发展尚不成熟,容易受到多种因素的干扰,因此企业在网络初始阶段调整合作关系会对知识网络造成较大影响。因此,众创空间管理者应在初期对企业进行一定的管制,帮助创业企业建立相对稳定的合作关系;当企业发展较成熟时则可以放松管制,实现众创空间内企业间合作寻优,实现自身长期稳定发展。
图8 知识网络聚类系数变化情况
4.3.2 新企业准入门槛对合作网络的影响
(1)合作网络密度。合作网络密度表示合作网络中创业企业合作的紧密程度。合作网络密度增加,说明企业间合作更加频繁,更有利于企业间知识转移与合作创新网络发展。当每个仿真周期结束后,随着部分企业的毕业与淘汰,会有同等数量的创业企业被引入众创空间,引入门槛最高的知识点数为总知识点数的10%,也即3个知识点,知识量为所有企业该知识点知识量的平均值。图9分别呈现了当新引入企业知识点为总知识点数的3.3%(也即1个知识点)、6.7%(2个知识点)和10%(3个知识点)时企业合作网络密度演化情况。从中可见,当新进企业达到最高知识点门槛时,合作网络密度在仿真前期迅速升高,后期缓慢下降但始终高于另外两条线。这说明,新进的初创企业知识点数较多且有利于促进企业合作紧密程度在前期迅速增长,并始终保持较高状态。因此,较高的准入门槛对合作网络密度有较为明显的促进作用。
(2)合作网络聚类系数。合作网络聚类系数代表合作网络中企业的聚集情况,聚类系数越高,表明企业间合作关系越不均匀,如一些龙头企业拥有大量合作关系,而其它企业合作关系则相对较少。从图10可以看出,在3种新进企业准入门槛下,合作网络聚类系数均呈现下降趋势,在仿真后期达到较为平缓的形态,且3条线间的差距越来越小。当新引入企业知识点数较多(为总知识点数的10%)时,合作网络聚类系数前期相对比其它两条线稍高,同时趋势较为平缓,没有明显波动,后期则几乎与知识点为6.7%时重合。也即,新进入企业知识点较多时,企业间的合作关系呈现均匀趋势,并且变化较为平缓,说明有利于维持企业合作关系的均衡性与稳定性。因此,众创空间应适当提高其准入门槛,引进高质量、高水平、有潜力的初创企业并对其进行孵化,从而快速提升众创空间网络绩效。
图9 合作网络密度变化情况
图10 合作网络聚类系数变化情况
综上所述,合作网络结构随着仿真步长的不断演化呈现出差别性演化形态:合作网络密度总体呈增长趋势,而聚类系数则呈下降趋势,但后期两者都达到相对稳定的状态。知识网络结构演化对合作网络结构存在一定的影响,较高的新进企业准入门槛能够加深企业合作,同时使合作网络聚类系数下降趋势更加平缓,促进网络中企业间合作关系发展更加均衡与稳定。
本文仿真分析结果表明,在双网络结构合作创新网络中,知识网络和合作网络存在交互作用。众创空间管理者可利用这一交互作用对创业企业采取一定的措施,调整双网络结构下的合作创新网络结构。一方面,众创空间管理者应在网络构建初期对创业企业合作关系进行适当管理,帮助企业尽快达到稳定状态;另一方面,应提升新进企业准入门槛,尽量引入一些有一定知识基础的优秀创业企业,促进创业企业间合作关系稳定,从而为众创空间长期发展提供更好的保障。
本研究以众创空间为研究背景,从网络视角探索双网络结构合作创新网络演化机制,将知识网络与合作网络进行解耦,并依据众创空间创业企业现实情境,从宏观层面设计众创空间培训机制、准入机制、毕业与淘汰机制,从微观层面设置创业企业知识转移、自主创新行为及合作调整策略,从而模拟众创空间合作创新网络整体演化过程,并进一步研究知识网络与合作网络的交互关系。仿真结果显示,创业企业合作关系调整对合作创新网络绩效有一定的影响,断链重连概率存在一定的合理区间;知识网络与合作网络结构演化过程不同,企业合作关系调整在前期对知识网络结构影响较为明显,后期影响明显减弱;适当提升新进企业准入门槛能够帮助企业和众创空间长期稳定发展。
根据上述结论,本研究得出一些关于创业企业与众创空间的管理启示。
(1)从众创空间运营机制角度看,企业发展存在生命周期,有些企业随着时间推移成长蜕变,有些企业在发展中走向衰退,因此适当的流动机制能够激发创业企业潜能与众创空间内在活力。一方面,众创空间应设置毕业与淘汰准则,在新企业进入时就明确具体的毕业条件与退出规定,规范众创空间管理制度,提高有限的资源利用价值,识别真正有市场潜力的企业;另一方面,适当提升新进入企业准入门槛,加强对入孵企业的审查力度,使众创空间向专业化、聚焦化方向孵化和投资。因此,众创空间管理者应制定一些激励性政策与措施吸引更多更优秀的创业企业加入,从而提高众创空间运营效率,加速创业企业成长。
(2)从众创空间管理策略角度,创业企业合作关系变动概率存在一个较优区间,合作关系的调整既不是越频繁越好,也不应一成不变。尤其是处在合作创新初期的新创企业较为频繁地调整合作关系,将导致创新成本迅速上升,虽然知识点数量呈现突发式增长,但容易陷入“广而不深,多而不精”的状态,最终将影响合作创新效率,降低创业企业发展速度。当企业合作关系调整概率过低时,由于缺乏合作竞争机制将导致合作效率低下,同样不利于长期合作创新发展。因此,众创空间管理者应加强对创业企业合作关系的管控,减少企业合作关系过度调整带来的潜在问题,以免导致整个网络在初期形成无序状态。根据合作创新网络发展阶段应采取不同的管理策略,如提高对合作创新初期企业违信行为的惩罚,为合作关系僵化的创业企业提供更多合作机会,根据具体情况灵活进行管理,从而增强企业自主意识与活力,推动创业企业作出更加合理有效的行为决策,保障众创空间健康稳定发展。
从理论上看,本研究在一定程度上突破了以往对合作创新网络研究的限制:一是将知识网络与合作网络进行解耦,并依据合作创新中知识交换和自主创新全过程构建合作创新过程模型;二是从众创空间整体运营机制及创业企业行为管理策略两个层面探讨双网络结构下的合作创新网络演化机制,相较于单一层面对合作创新行为的刻画更加真实、准确;三是探索两种网络的交互影响作用和运行机理,从理论分析上比单纯的解耦假设更加合理。
本研究仍然存在一些不足:一是众创空间整体规模恒定假设,现实中虽然特定众创空间物理条件限制了入驻企业数量,但其数量在一定范围内仍然可变;二是仿真模型缺乏有效的数据支撑。在以后研究中,可结合实际案例或数据,将仿真与实证研究、案例分析相结合,使研究更具有实践性和时效性,更好地为众创空间和创业企业管理者提供理论指导及建议。
[1] 张玉利,白峰.基于耗散理论的众创空间演进与优化研究[J].科学学与科学技术管理,2017(1):22-29.
[2] 钟卫东,孙大海,施立华.企业孵化器的复杂性:分析与启示[J].科技进步与对策,2006,23(2):156-158.
[3] 冯海红,曲婉.社会网络与众创空间的创新创业——基于创业咖啡馆的案例研究[J].科研管理,2019,40(4):168-178.
[4] 贾天明,雷良海,王茂南.众创空间生态系统:内涵、特点、结构及运行机制[J].科技管理研究,2017(11):8-14.
[5] 贾天明,雷良海.众创空间的内涵、类型及盈利模式研究[J].当代经济管理,2017(6):13-18.
[6] 王节祥,田丰,盛亚.众创空间平台定位及其发展策略演进逻辑研究——以阿里百川为例[J].科技进步与对策,2016,33(11):1-6.
[7] 赵雷,柴国荣,宗胜亮.企业与创客空间创新合作网络发展演进研究[J].科学学研究,2017(2):302-309.
[8] WANG C,RODAN S,FRUIN M,et al.Knowledge networks,collaboration networks,and exploratory innovation[J].Academy of Management Journal,2014,57(2):484-514.
[9] 张晓黎.合作网络变动对知识网络的影响研究[J].软科学,2016(11):81-85.
[10] 张海红,吴文清.孵化器内创业者知识超网络涌现研究[J].管理学报,2017(5):695-703.
[11] RUSSELL J F.Making the most of where you are: geography,networks,and innovation in organizations[J].Academy of Management Journal,2014,1(57):193-222.
[12] PHELPS C C.A longitudinal study of the influence of alliance network structure and composition on firm exploratory innovation[J].Academy of Management Journal,2010(53):890-913.
[13] RODAN S.Structural holes and managerial performance:identifying the underlying mechanisms[J].Social Networks,2010,32(3):168-179.
[14] 孙笑明,崔文田,崔芳,等.当前合作网络结构对关键研发者创造力的影响[J].管理工程学报,2014(1):48-55.
[15] 林明,任浩.技术合作网络与个体行动者探索式创新行为的内在联系机理——以宁波江北仪器仪表集群技术合作网络为例[J].预测,2013(1):31-36.
[16] 钱燕云,项玮珉,李纪蜂.节点具有动态竞争力的企业技术合作网络三阶段演化机理仿真研究[J].科技进步与对策,2009,26(22):104-108.
[17] K O S V N.European alliance and knowledge networks[J].Technology Analysis & Strategic Management,2006,9(18):535-560.
[18] XIE X, FANG L, ZENG S.Collaborative innovation network and knowledge transfer performance: a fsQCA approach[J].Journal of Business Research,2016,69(11):5210-5215.
[19] HAYTER C S.Constraining entrepreneurial development: a knowledge-based view of social networks among academic entrepreneurs[J].Research Policy,2016,45(2):475-490.
[20] 阚双,郭伏,杨童舒.多组织知识学习超网络模型及其学习绩效研究——面向复杂产品产业集群[J].东北大学学报(社会科学版),2018(6):578-585.
[21] 庄彩云,陈国宏.产业集群知识网络多维嵌入性与创新绩效研究——基于企业双元学习能力的中介作用[J].华东经济管理,2017(12):53-59.
[22] BARABASI L,ALBERT R.Emergency scaling in random networks[J].Science,1999,5439(286):509-511.
[23] NOOTEBOOM B,HAVERBEKE W V,DUYSTERS G.Optimal cognitive distance and absorptive capacity[J].Research Policy,2007,36(7):1016-1034.
[24] TANG F C.Knowledge transfer in intra-organization networks[J].Systems Research and Behavioral Science,2011(28):270-282.
[25] 王文平,张兵.动态关系强度下知识网络知识流动的涌现特性[J].管理科学学报,2013(2):1-11.
[26] 冯锋,曹阳.众创空间创客团队的“ITEM”融合模式与循环迭代——基于青创迭代创空间案例研究[J].华南理工大学学报(社会科学版),2019,21(3):29-38.