外引内联型科研团队创新能力纵向匹配研究

杨 锴1,2,周 岩2,3

(1.南京信息工程大学 商学院,江苏 南京 210044;2.东北大学 工商管理学院,辽宁 沈阳 110167;3.洛阳理工学院 经济与管理学院,河南 洛阳 471023)

摘 要:西湖大学等新型研究机构的兴起,引发新一轮科研人才抢夺战。既有关于科研团队的研究聚焦于成员优选,而对创新能力纵向匹配的关注明显不足。基于优势理论视角,针对外引内联型科研团队创新活动,采用扎根方法,提炼创新能力评估要素,并在个体优势识别方法基础上构建纵向匹配模型,通过案例应用验证了方法的合理性和优越性。具体而言,以科研人员优势为导向的纵向匹配模型,在识别外部科研人员个体特征基础上,兼顾了对个体比较和群体模式的考察,进而选拔出符合团队创新能力要求的成员,实现成员之间优势互补和创新协同目标,为解决成员创新优势模糊、成员协作差、创新水平低等问题提供了方法参考。最后,从提升创新能力、保持评价合理性、完善团队优势配置等方面提出管理建议。

关键词:外引内联;科研团队;创新能力;纵向匹配;个体优势识别

Longitudinal Matching of Advantage Alliance Type Scientific Research Team Innovation Capability

Yang Kai1,2,Zhou Yan2,3

(1.School of Business,Nanjing University of Information Science & Technology,Nanjing 210044,China; 2.School of Business Administration,Northeastern University,Shenyang 110167,China; 3.Economics and Management School,Luoyang Institute of Science and Technology,Luoyang 471023,China)

AbstractThe rise of new research institutions such as West Lake University has set off a new round of scientific research talents.Aiming at the clear lack of longitudinal matching in innovation capabilities,the current research has focused on member selections.Based on the perspective of advantage theory,this paper refines the innovation capability evaluation elements based on the advantage alliance type scientific research team's innovation activities,builds the longitudinal matching model based on the individual advantage identification method,and finally uses the case application method to verify the rationality and superiority.Specifically,the longitudinal matching model oriented by the advantages of scientific research personnel takes into account individual comparison and group pattern analysis on the basis of identifying the individual characteristics of external researchers.Then the paper selects members who meet the requirements of team innovation ability and achieves the complementary advantages between members.The goal of innovation and synergy is to provide reference to the problems of fuzzy innovation of members' innovation,poor cooperation of members,and weak level of innovation.According to the research conclusions,management revelation is given from the aspects of improving innovation ability,maintaining evaluation rationality,and perfecting team advantage configuration.

Key Words:Advantage Alliance; Scientific Research Team; Innovation Capability; Longitudinal Matching; Individual Advantage Identification

收稿日期:2019-03-18

基金项目:教育部人文社会科学研究青年基金项目(18YJC630270);南京信息工程大学人才启动经费资助项目(2019r099)

作者简介:杨锴(1989-),男,江苏新沂人,南京信息工程大学商学院讲师,东北大学工商管理学院博士研究生,研究方向为人力资源创新评价与管理;周岩(1978-),男,河南洛阳人,洛阳理工学院经济与管理学院副教授,东北大学工商管理学院博士研究生,研究方向为组织竞争战略、评价与决策。

DOI10.6049/kjjbydc.2019030461

开放科学(资源服务)标识码(OSID):

中图分类号:G311

文献标识码:A

文章编号:1001-7348(2020)11-0145-08

0 引言

长期以来,科研团队被看作是知识生产、创新动力、竞争优势的源头,如2018年发生的“科研人员成立西湖大学”事件引起各界持续关注,主要是因为科研人员均是社会精英,通过组建高水平科研团队,努力构建创新型大学,表现出高起点、少而精、创新能力强等特点。然而,大多数科研团队存在成员配置不合理、交流平台缺乏、外界合作机会较少、创新潜力不足等问题,导致具有创新性的研究成果缺乏,团队内成员特点“千篇一律”,具有创新潜力的领军人才流失严重,整体与国外科研水平存在一定差距。当前,高校虚拟科研团队[1]、虚拟科技创新团队[2]、外智引联型创新团队等不同类型的团队大量涌现,其中外智引联型创新团队采用人才软引进策略,在不改变成员组织关系的前提下,通过项目合作优化人才培养模式[3],以解决上述问题。外引内联作为“外部引进、内部联合”人才优势发挥的一种方式,是以科研目标为导向,以成员优势配合为基础组建起来的科研团队,如“2011计划”、国家自然科学基金委与西部地方联合基金中的科研团队,但这些团队在运行过程中显现出诸多不足,如短期和表面合作多、长期和深度融合少、注重科研成果而忽视研究过程等。究其原因,主要是团队成员创新能力未能得到有效匹配,个体优势没有得到充分发挥,导致团队优势缺失或优势冲突。换言之,面对新的科研难题,团队优势缺失是由于已有成员专业相近或能力类似而造成异质性不足;优势冲突是因聘任成员与已有成员之间关系矛盾或融合困难,导致优势难以匹配,进一步破坏团队科研氛围、阻碍成员向心力的形成。因此,如何有效识别并发挥成员个体优势,构建以目标和优势为导向的科研团队,成为外引内联型科研团队管理亟需解决的现实问题。

有关科研团队的研究聚焦于高校科研团队建设[4]、项目团队内知识转移[5]、团队创新能力绩效测评方式[6]等主题,虽然在科研团队发展规律、合作影响因素方面取得了一定进展,但有关科研团队创新能力匹配的研究较为鲜见,尤其缺乏以优势为导向的外引内联型科研团队创新能力纵向匹配研究,不利于认识团队管理规律,忽视了成员个体优势多样性对创新成果的影响。特别地,由于科研团队成员具有素质高、贡献大、流动性高、稀缺性强等特点,导致科研团队创新能力纵向匹配研究存在以下不足:首先,已有研究关注创新能力测量方法。冯海燕[7]采用PDCA方法与因果图形式测度高校科研团队创新能力水平;王晓蓬和许安琪[8]基于比较分析方法,指出高校科技创新团队创新能力体现在创新成果、合作行为、合作绩效等方面,但是多将成员看作是被动的个体,没有体现出如何在实际操作中充分挖掘、有效发挥成员潜在创新能力。其次,既有研究聚焦于如何开展有效合作。许治等(2015)从合作网络视角分析成员间的紧密关系,但通过构建小规模团队解决成员合作网络距离远这一问题的方式,缺少操作灵活性。对此,张忻和韩争胜[10]基于灰色理论和证据理论,构建了群体评价方法,但未从科研团队成员当事人立场对评价指标构建加以考量。此外,Huang等[10]构建了科研团队优势识别理论模型,贾明媚等[11]采用竞优评析方法识别高层次科技人才,段万春等[12]采用层次分析法挑选创新团队成员。不难发现,以上研究虽然关注科研团队创新能力评价和分析,但是均未从科研团队成员立场分析团队创新能力,对于如何有效匹配引进的人才更是鲜有涉及。

鉴于以上现实需要和理论缺口,本文从优势理论角度构建外引内联型科研团队创新能力评估指标体系和相应的纵向匹配方法,分析团队内部优势配置方式和机理,在识别个体特征的前提下,解决人才之间有效匹配的问题。一方面,构建匹配方法满足外引内联型科研团队实际操作需要,提升科研目标完成和团队优势发挥效率;另一方面,集合多种优势资源,针对科研团队创新能力弱的问题,营造“百花争艳、百家争鸣”的合作氛围。

1 外引内联型科研团队界定

根据优势理论,个体之间存在差异性、各具优点,而优势就是相对的“优”,如包括知识、能力、才干等[13]。因此,在识别个体优势背景下,外引内联型科研团队是指围绕科研任务,以团队成员优势合理配置为目标,对外引进人才、对内加强成员合作,在不改变引进成员原有组织关系的前提下,形成的一种科研合作方式。科研团队成员包含领军人物、核心成员、通用全才、单项专才等,而创新能力纵向匹配是为使团队获得完成目标所需的能力,在团队内对所有成员优势进行合理配置,以实现优势最大化的方法或手段[14]。由此可见,纵向匹配就是外部匹配,是指以科研任务为目标,从外部选任具有个体优势的成员,与已有团队成员进行优势匹配进而建立团队优势。与其它类型科研团队相比,该类型科研团队具有如下特点:

(1)灵活性。已有科研团队侧重规范化组织、系统管理体系、井井有条的运行方式,而外引内联型科研团队在原有成员基础上,引进高水平人才及其稀缺性专业资源,让外部人才和内部成员形成优势互补,而不改变引进人员已有的组织关系,进而弥补既有团队创新优势不足。因此,在处理方式上具有便捷性与可操作性,灵活度更高,更有利于资源合理流动和配置。

(2)开放性。过去科研团队崇尚“单枪匹马”式科学研究模式,随着信息技术、推广和进步,逐渐由封闭转为开放。外引内联构建了一种交流平台,通常以科研项目的方式促进内部与外部、高层与低层、能力强与能力一般的团队及成员进行学术交流,而不同学术背景、专业优势的主体发生思想碰撞,更容易产生新思想、新方法。

(3)创新性。以往科研团队关注创新成果数量、忽视科研创新过程。外引内联型科研团队注重团队成员创新,并对其创新目标实现过程进行辅导。例如,创新缺少方法论支撑,外引内联型科研团队通过引进学术界中的方法论,领军人才吸收其创新成果,将外部优势资源内化为团队创新能力。

(4)协作性。科研团队成员协作对于创新活动至关重要,在分工的基础上加强配合,有助于工作效率提升。外引内联打破了组织界限,围绕科研项目、针对研究问题,集中优势资源,融合不同研究领域、部门、层次的人员和技术,构建项目合作创新平台,共享创新研究方法,通过强化成员间工作关系,提升协作效率。

(5)整体性。科研团队具有系统性特征,面临的协调任务来自诸多方面。外引内联型科研团队不局限于单一项目、局部合作效果,而是从团队层面对有效资源(如人员、技术、方法、设备等)进行优化配置,进而提升整体创新实力,形成一个被成员内心认同、具有强大向心力、合作氛围浓厚的团队,以解决跨区域、跨主体之间创新能力不足的问题。

通过比较可以发现,外引内联型科研团队在解决团队成员协作弱、创新水平一般、人员忠诚度低等问题方面具有优势,而进一步识别外引内联型科研团队创新能力评估要素,有利于增加创新成果。

2 外引内联型科研团队创新能力评估指标体系

2.1 研究方法

已有研究缺少从科研团队视角构建创新能力评估指标,尤其缺乏对外引内联型科研团队的考察。在现实中,新型合作模式不断涌现,进一步明确创新能力关键影响要素尤为必要。因此,本文采用扎根方法,提炼出外引内联型科研团队创新能力评估指标,构建评价体系[15],主要基于以下考虑:

(1)虽然科研团队创新能力受到学术界持续关注,同时形成了一些共识性基础概念,但是外引内联型科研团队作为新型构念,当前对其缺乏充分认识。而扎根方法能够从原始数据中构建理论模型,而不是简单地解释现象,有利于解决理论基础弱而实践案例大量涌现的问题。

(2)尽管已有研究人员提出科研团队创新能力评价体系,偏重采用创新成果量化指标,但相比之下,理论界对外引内联型科研团队外部与内部、内部成员之间的创新能力缺乏清晰认识,存在研究不足和理论缺口。而扎根方法能够根据数据持续不断地产生新理论,有助于从成员视角确定外引内联型团队创新能力影响要素。

(3)扎根方法具有科学的操作流程,采用自下而上的方式对原始资料进行三级编码[16],更容易建立探索性研究框架,在没有任何假设的情况下客观进行总结和归纳,得到的结论更具普适性,适合研究本文外引内联型科研团队。

2.2 资料收集

遵循数据来源多样性原则,资料主要来源于文本档案资料整理和现场访谈调研。

(1)文本档案资料。首先,遵循便利性原则,对已有关于科研团队以及创新能力指标体系的文献进行梳理,按照主题逻辑分类整理和提炼;其次,围绕科研项目管理制度和规范,从绩效考核中寻找有关科研团队创新能力方面的要求;最后,搜集有关科研团队的新闻报道、媒体播报等,提炼出社会公众对创新能力的看法。

(2)现场访谈调研。访谈对象主要为自科基金、社科基金等项目组成员,分布于东部、中部和西部地区。具体而言,在历时近3个月时间内,采用访谈和整理同步进行的方式,获得录音56份、笔记62份,其它材料102份。汇总后,剔除重复和无效资料,共得到53份有效样本数据。其中,43份资料用于扎根编码,剩余10份材料用于饱和度检验,样本特征如表1所示。

表1 被访谈对象基本信息

基本信息项目人数占比(%)性别男2852.8女2547.225岁及以下815.1年龄25~35岁1324.536~45岁1834.046岁及以上1426.4项目负责人1324.5层级核心成员1834.0普通成员2241.5

2.3 概念模型

(1)开放性编码。通过贴标签对现象进行重新定义,提炼出新的概念和范畴。一方面,对零碎资料、复杂的社会现象进行标记,得到92个概念;另一方面,对概念进行聚拢和合并,形成36个范畴,结果如表2所示。

表2 开放性编码概念与副范畴

序号副范畴概念(频次)1科研工作任务指团队面对的日常创新工作要求,包括合作研究(4)、项目数(3)、课题数量(5)、横向与纵向课题经费(7)2工作分析指为了实现创新目标而对科研工作进行梳理,包括任务分解(5)、工作流程(6)、主要工作任务(3)3科研成果指经过科研创新之后的结果,包括发表论文(11)、计算模型(5)4科研文化环境指鼓励科技创新的制度文化标准,包括奖励制度(16)、成果量化标准(14)、引进人才制度(17)、人员晋升制度(9)5科研知识积累指为了完成项目任务对于基础知识的掌握,包括研究基础理论(7)、方法论知识(5)、软件操作技术(6)、研究记录(14)6稳定性指成员在团队中工作的时长,包括工作年限(8)、人员结构(6)7科研攻关难题指需要解决国家和社会的问题,包括基础规律探索(4)、科技人才的能力提升(9)、学科建设(12)、产业竞争力(7)8系统思考及判断指对创新活动的全盘梳理和分析,包括科技规划(5)、科技战略定位(8)、技术生产方式(3)

续表2 开放性编码概念与副范畴

序号副范畴概念(频次)9发展潜力指团队成员独自承担任务的能力,包括科研想法(4)、试验次数(3)、受社会的认可程度(8)10人才培养指对团队成员的能力和素质的提升,包括委培计划(9)11高水平团队建设指以成员能力为导向的团队构建,包括人员配置(7)、人才结构(6)、学历层次分布(10)、领军人物(15)12科研效率指单位时间内产出科研成果数量,包括人均项目(17)、人均科研经费(14)、人均论文数量(4)、论文级别(9)13创新文化氛围指支持创新的工作支持,包括成员合作(7)、成员鼓励(5)14协同创新能力指内外部共同进行创新,包括人员协同(3)、技术协同(4)15成员忠诚指成员对团队的依赖程度,包括工作态度(11)、个人价值观(5)16政策条件指国家鼓励科技创新的政策,包括国家文件(8)、学校文件(10)17技术转移能力指技术产业化能力,包括发明授权(12)、专利转让费(5)18研发成功率指研发新技术成功的概率,包括高被引成果(4)、申请专利(9)19多渠道成员指通过不同方式选拔优秀成员,包括队内筛选(8)、外界招聘(5)20多种创新能力集成指根据成员各具特色的优势进行团队的重新配置,包括个人特质(14)、个人学术资源(21)、合作精神(16)、优势能力(13)21团队优势指由个体优势组成的团队创新能力,包括科研敏感性(8)、团队分析能力(6)、团队技术判断技能(9)22人员投入指引入人员的类型,包括博士引入(15)、硕士引入(12)23国际学术交流指为了展现科研成果而对外交流,包括参加国际会议次数(19)24科研平台指科研的交流机制,包括周例会(12)、重大事项记录(16)25学术发展态势指团队紧跟学术发展动态,包括前沿进展(11)、研究主题(5)26学术创业指开辟新研究思路及方法的尝试,包括创新思路(5)、创新方法(7)、创新优势技术(8)、工程研究管理(4)27研究人员数量指对外收集科技情报的人员,包括高级职称人数(12)28技术创新指通过产学研进行的创新,包括先进设备(5)、工艺模型(7)29创新尝试机制指以科研基地为中心的试错机制,包括尝试方法(8)、科技服务经费(11)、经费预算(6)、资助情况(7)30经验总结指创新过程中文字总结,包括失败总结(11)、项目报告书(12)31多种科研项目指承接的科研项目子课题,包括国家级(5)、省级(7)、地市级(8)32承担风险能力指承受失败风险的责任,包括免责机制(11)、抗打击能力(4)33科研产出指经过创新活动之后的结果,包括科技进步奖(5)、科技发明奖(7)、其他类型的奖励(4)34评价机制指对科研活动及结果的评价,包括第三方评价(3)、团队主导(9)35内部建设能力指为有效开展科研创新活动的内部机制,包括内部成员提升(6)36研究论文指创新活动中总结的规律,包括科技报告(4)、政策支撑文件(5)

(2)主轴性编码。主轴性编码旨在归类与提炼副范畴,遵循“条件→互动→结果”的典型模式。其中,条件为发生情境,互动是处理策略。将36个副范畴划归为12个主范畴,结果如表3所示。

表3 主轴性编码结果

序号主范畴副范畴之间的关系1工作责任心科研工作任务→工作分析→科研成果2科研水平素质科研文化环境→科研知识积累→稳定性3逻辑思维及分析能力科研攻关难题→系统思考及判断→发展潜力4团队凝聚力人才培养→高水平团队建设→科研效率5沟通协调能力创新文化氛围→协同创新能力→成员忠诚6知识共享能力政策条件→技术转移能力→研发成功率7学习技能多渠道成员→多种创新能力集成→团队优势8开展科研活动能力人员投入→国际学术交流→科研平台9创新前瞻性学术发展态势→学术创业→研究人员数量10创新抗压能力技术创新→创新尝试机制→经验总结11科研奉献精神多种科研项目→承担风险能力→科研产出12科研效果评价机制→内部建设能力→研究论文

(3)选择性编码。选择性编码的目标是确定核心范畴,同时明确外引内联型科研团队创新能力评价的关键要素,结果如表4所示。

表4 选择性编码结果

序号核心范畴(编号)主范畴(编号)1创新潜质(y1)工作责任心(x11)、科研水平素质(x12)、逻辑思维及分析能力(x13)2基本特征(y2)团队凝聚力(x21)、沟通协调能力(x22)、知识共享能力(x23)3创新认知(y3)学习技能(x31)、开展科研活动能力(x32)、创新前瞻性(x33)4科研驱动(y4)创新抗压能力(x41)、科研奉献精神(x42)、科研效果(x43)

(4)理论饱和度检验。利用剩余10份样本数据检验数据之间编码的一致性[17]。在构念效度方面,基于多元证据,对档案资料和访谈资料进行三角验证,保留两类资料中均出现过的概念。同时,不断比较和编码,保证二者之间不断趋于收敛;在外部效度方面,保证多个数据样本之间的差异性,通过逻辑复制方式,寻找普适性概念;在信度方面,以问题为导向,收集数据并建立数据库,分类整理,确保对资料的充分使用,最后得出研究结论。以此确定外引内联型科研团队创新能力评估指标,为外引内联型科研团队创新能力评价、人员筛选、能力优势纵向匹配奠定基础。

3 外引内联型科研团队创新能力纵向匹配方法

3.1 个体特征识别

根据竞优思想中“指标权重体现价值主张,是一种优势的表现形式”的观点[18,19],在识别个体优势基础上,构建个体特征判别模型。即以被评价对象指标对应的权重值作为优势,以个体优势代表其创新能力特征,同时也体现出个体差异性。一方面,将外引内联型科研团队成员看作差异化个体,对其差异特征进行团队内部匹配[20];另一方面,通过个体对比和群体划分,探索成员最优组合方式。

假定外引内联型科研团队创新能力评价指标体系由n层构成,从底层到高层依次为第1层和第n层,存在m个科研团队成员。其中,第h层指标由l维向量X组成,第h+1层指标由k维向量组成,表达式为Y=(y1,y2,…,yk)Τ。第h+1层的yi由第h层的pi维向量xi=(xi1,xi2,…,xipi)Τ组成,为评价指标的目标值。根据理想点效用函数,站在团队成员j的立场,个体优势识别模型表达式为:

(1)

确定指标的评价值和目标值后,为使模型(1)结果最小,只有求得权重最优解才能使团队成员j最接近目标状态。根据拉格朗日乘子法,当时,表明团队成员j在此项指标上达到了目标值,权重为1,其它指标为0;当时,根据模型(2)进行求解。

(2)

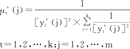
通过模型(2),得到m个团队成员在第h层上的最优解权重。将最优权重集合代入模型(1),得到对yi结果,有为了有效判别k维向量Y=(y1,y2,…,yk)Τ的个体优势,构建第h+1层个体优势识别模型采用同样的解法,m名团队成员在第h+1层上权重模型根据模型(3)求解。

(3)

3.2 基于个体特征的比较分析

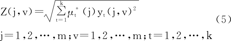
在层次指标结构下,采用距离公式进行比较分析。根据模型(1)和模型(2),基于最有利于第j个团队成员的视角,得到第h+1层对h层的m组最优权重集合,分别对m个团队成员的创新能力进行测评,获得第h+1对第h层指标的比较管理模型。对测评结果进行升序排列,即y(j,v)值越小越优,表达式为:

为了获得层次结构下的比较结果,根据模型(3)和模型(4),得到第h+2层对第h+1层指标的比较分析模型,同样采用升序排列,即Z(j,v)的值越小越优,表达式为:

3.3 群体模式分析

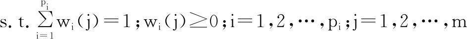
根据层次结构下个体特征判别计算模型,可以得到外引内联型科研团队成员的权重值,如果团队成员在某个指标上权重值大,表明其特征明显。针对群体模式问题,本文不仅确定了团队特征结构,而且也考虑群体是否存在近似的权重值,提炼出共性模式。因此,采用聚类方法对所有外引内联型科研团队成员个体权重进行数据处理[21]

具体操作为:①根据团队成员个体特征,将每个团队成员样本看作是一类,假定共有C类;②按照规则测量样本间的距离,距离最小则两个样本最接近,可以合并为一类,形成C-1类;③重复第二步,不断合并距离最近的样本,直到合成一类为止;④根据分类结果进行讨论与分析。对外引内联型科研团队成员创新能力个体特征聚类分析,兼顾个体特征和群体特征,能够获得类似特征的临时群体。

4 案例应用

以云南省某哲学社会科学科研合作项目为例,该项目围绕高校科研创新团队,聚焦于组织行为及复杂行为决策特点,旨在提高科研成果产出效率。项目团队现有成员11人,其中教授2名、副教授2名、博士生5名、硕士生2名。由于科研项目中遇到新的方法设计类科研难题,于是计划组建外引内联型科研团队,发布招聘信息后,从不同领域的申请者中筛选2名成员。之所以选择该应用场景,主要出于以下考虑:①由于西部地区经济发展滞后于中、东部地区,高校等科研机构科研实力薄弱、人才吸引能力不足,而“外部软引进、内部强联合”通过引进外部人才,可实现内外部成员创新能力优势互补;②团队中学生成员毕业势必造成研究间断、难以持续深入,团队成员稳定性较弱。通过与外部成员进行创新能力纵向匹配,可以有效缓解能力不足的现状,保障研究工作持续推进;③现有成员均来自相同高校,不可避免地存在专业、知识重叠的情况。从外部选拔合适的科研人员,增加了团队知识和技能的差异性,有助于形成优势互补。

4.1 数据收集

为了实现补充人员、优化配置的目标,项目组成立评价委员会,根据上文构建的外引内联型科研团队创新能力评估指标体系,对来自不同领域的8名科研人员(为下文表述方便,记为S1~S8)进行比较和分析,采用5点量表,原始评价数据如表5所示。

表5 科研人员S1~S8创新能力评价原始数据

指标S1S2S3S4S5S6S7S8x113.33.33.33.02.64.04.33.6x124.03.33.04.33.33.04.03.0x134.33.63.63.64.33.33.63.0x213.04.03.64.34.04.04.64.0x222.34.63.64.63.64.64.33.0x234.04.03.64.04.64.03.63.6x314.04.33.03.63.64.04.33.0x323.32.33.64.64.04.34.01.3x333.64.64.04.03.63.33.63.6x414.34.34.04.34.03.63.33.0x424.64.34.34.04.34.64.03.3x434.64.04.34.34.03.63.63.3

4.2 数据处理

由于都是同一量纲数据,同时指标的目标值为5,因此根据模型(1)和模型(2),对表5的原始数据进行计算,得到科研人员S1~S8在创新能力基层评价指标上的个体特征,如表6所示。

表6 基层指标上科研人员S1~S8创新能力个体特征

指标S1S2S3S4S5S6S7S8w110.1020.2880.3130.0890.0680.6270.5750.505w120.2950.2880.2260.7290.1350.1570.2820.247w130.6030.4240.4610.1820.7970.2170.1440.247w210.1800.1210.3330.2200.1290.1210.7100.568w220.0990.7580.3330.6730.0660.7580.2320.142w230.7210.1210.3330.1080.8050.1210.0580.290w310.5390.2420.1420.0660.2530.2950.5750.300w320.1860.0160.2900.8050.4950.6030.2820.088w330.2750.7420.5680.1290.2530.1020.1440.612w410.1400.4020.1970.4020.2470.0700.1860.265w420.4300.4020.4020.1970.5050.8600.5390.367w430.4300.1970.4020.4020.2470.0700.2750.367

根据模型(3),可以得到中层指标上科研人员S1~S8的创新能力个体特征,计算结果如表7所示。

表7 中层指标上科研人员S1~S8创新能力个体特征

指标S1S2S3S4S5S6S7S8μ10.1600.0520.1170.1120.1560.0780.2000.222μ20.0660.3590.1610.3730.4740.4020.4960.387μ30.0880.3670.1860.3110.1230.1650.2000.183μ40.6870.2210.5360.2040.2470.3550.1050.207

根据模型(4)和模型(5),计算第2层对第1层、第3层对第2层的比较值。为了便于成员筛选,采用升序排列,第3层对第2层的比较分析结果如表8所示。

表8 基于个体特征的比较排序

排序S1S2S3S4S5S6S7S81S4S4S4S4S4S4S7S42S1S7S6S7S7S6S4S73S2S6S5S6S6S7S6S64S5S5S7S5S2S5S5S55S6S2S2S2S5S2S2S26S3S3S3S3S3S3S3S37S7S1S1S1S1S1S1S18S8S8S8S8S8S8S8S8

为了得到该8人组成的群体模式,采用SPSS 21.0软件对表7进行聚类分析。其中,类间聚类使用离差平方和法,样本点间聚类使用平方欧式距离,由此提炼出3种群体模式,如表9所示。

表9 科研人员S1~S8在中层指标的群体模式分析结果

模式科研人员以及群体模式特征模式一科研人员(2个,占比25%):S1、S3群体创新能力特征:w*=(0.139,0.114,0.137,0.612)模式二科研人员(2个,占比25%):S2、S4群体创新能力特征:w*=(0.082,0.366,0.339,0.213)模式三科研人员(4个,占比50%):S5、S6、S7、S8群体创新能力特征:w*=(0.164,0.440,0.168,0.229)

4.3 结果分析

(1)由表6和表7可以看出,权重值越大,创新能力特征越明显。以科研人员S1为例,科研驱动(权重值为0.687,以下相同)>创新潜质(0.160)>创新认知(0.088)>基本特征(0.066)。其中,科研驱动方面,科研风险精神和科研效果最强,权重值均为0.430;在创新潜质方面,逻辑思维及分析能力最强,权重值为0.603;在创新认知方面,学习技能最强,权重值为0.539;在基本特征方面,知识共享能力最强,权重值为0.721,个体创新能力特征如图1所示,其他科研人员以此类推。可见,在层次指标结构下,科研人员创新能力特征具有层次特点,在纵向匹配中呈现为强项之中有弱项、弱项之中有强项,因而可在某个方面单独配置团队所需的创新能力优势人员。

(2)由表8可以看出,站在最有利于科研人员S1的角度进行自我评价和他评价,S1将S4排在第1位,将自己排在第2位;从最有利于科研人员S2的视角看,将S4放在第1位,而将自己放在第5位;其他科研人员以此类推。可见,在纵向匹配过程中,科研人员S4是公认的创新能力表现优秀者(排在第1位出现了7次),是8个人中的创新标杆;科研人员S8是创新能力表现差者,始终排在最后一位。

(3)由表9可以看出,由科研人员S1~S8暂时组成的群体可以划分为3个模式:模式一,以S1和S3为代表,群体创新能力优势体现在科研驱动方面;模式二,以S2和S4为代表,群体创新能力优势体现在基本特征方面;模式三,以S5、S6、S7、S8为代表,群体创新能力优势也体现在基本特征方面。可见,临时匹配的科研人员团队,其创新能力主要集中在科研驱动和基本特征方面。

图1 科研人员S1的个体特征结构

综合以上分析,根据合作人员选择要求可知,科研人员S4首先当选,其是公认的表现最优者。由于其来自模式二(模式二和模式三的强项相同),那么剩余的科研人员必须来自模式一。对比科研人员S1和S3,S3排在第6位、出现了8次,而S1排在第7位、出现了7次,科研人员S3入选。因此,科研人员S4和S3是首选合作对象,用于解决新方法设计的问题。此外,针对实际情况,也可以根据单项创新能力进行匹配,灵活建立组合。

5 结论与启示

针对外引内联型科研团队创新能力纵向匹配问题,本文以“创新潜质、基本特征、创新认知、科研驱动”为主要维度,构建评估指标体系,提出以优势为导向的外引内联型科研团队创新能力纵向匹配模型;在识别个体特征基础上进行比较分析和群体模式分析,实现“优势识别、能力配置、操作灵活”的目标;在判断已有优势基础上,解决了创新水平低、成员协作差、高端人才缺乏等问题,并得到如下管理启示:

(1)通过外部联合与内部学习提升创新能力。科研具有多目标、多主体、多任务等特点,需要多方配合才能完成。本文提出构建外引内联型科研团队的目的在于提升创新效率,利用创新平台整合内外部智力资源,鼓励多种学术论坛交流,推动学者之间、团队之间密切合作。具体而言,外引内联型科研团队在高校支持下,构建多主体参与的科研协同联盟,通过整合本地高校、科研机构创新资源,与外部科研院所进行合作。同时,扩大参与主体,如引入政府、企业、研发机构等主体,以创新能力提升为目标,促进科研成果转化,最大限度地发挥创新优势。

(2)以团队目标和成员视角确定评价标准。以往科研人员绩效考核多以成果为导向,不可避免地忽视了对研究过程的支持和辅导。本文采用扎根方法精炼出外引内联型科研团队创新能力评估指标体系,提倡尊重成员个体优势特点,在总目标不变的情况下兼顾个人学术能力,营造“人人为团队”的文化氛围,通过软文化打造硬实力。具体而言,依托已有考评体系,对团队成员成果进行分层次并实施动态奖励,兼顾“数量”和“质量”的考核。同时,设置学术红线,要求成员遵守学术道德。重视团队成员的个人认同感,引导成员发挥自身资源优势,营造“制度上吸引人、考核上激励人、情感上聚集人、文化上塑造人”的科研氛围。

(3)在识别个体特征的基础上,优化优势配置。过去优选成员采用“一刀切”的方式,无形中把具有单项突出优势而非全才的科研人员排除在外。本文构建纵向匹配模型,从个体到群体、从自评到他评,充分挖掘个体创新能力强项,通过优势配置留住人才,并在更广范围内联合高层次科研人才,达到“不为团队所有,但为团队所用”的效果。具体而言,利用区域及地方特色,吸引不同学科、不同领域的科研人员到高校讲学、兼职、开展项目合作。同时,在政府、高校支持下,争取外部资金扶持和简化科研审批手续,为外部高层次科研人员提供优质服务。此外,制定人才长久发展计划,注重内部成员创新能力培养。

本文还存在以下不足:在评估指标方面,扎根方法缺少大样本问卷调研数据支持,可能会对研究结论信度及效度造成影响;外引内联型科研团队管理影响因素具有多样性,如外部政策与内部激励机制、科研成员的创新行为等,而本文仅关注创新能力纵向匹配这一运行能力提升方式,从其它视角识别团队成员个体特征,探索相应的匹配方法,还有待后续研究深化。

参考文献:

[1] 王丽平,李忠华.半虚拟创新团队中虚拟性概念界定与量表开发[J].科技进步与对策,2017,34(3): 116-122.

[2] 周姗姗,徐坤,毕强.科研用户场景下的高校科研数据组织管理架构构建[J].图书情报工作,2017,61(18): 29-34.

[3] 段万春,曹勤伟,杜凤娇.外智引联型创新团队研究述评与发展动态分析[J].科技进步与对策,2016,33(10): 154-160.

[4] 蒋四华,黄群俊.地方高校创新型科研团队建设存在的问题及对策——以长江大学为例[J].长江大学学报(社科版),2015,38(11): 70-72.

[5] 居佳,任旭,郝生跃.基于文化演化视角的项目团队内知识转移仿真研究[J].情报杂志,2018,37(1): 169-178

[6] 严蔷薇.科研队伍创新能力的绩效考核模式研究[J].中国高校科技,2016(7): 43-45.

[7] 冯海燕.高校科研团队创新能力绩效考核管理研究[J].科研管理,2015,36(1): 54-62.

[8] 王晓蓬,许安琪.高校科技创新团队“定性”与“定量”评价及其优化措施[J].浙江理工大学学报(社会科学版),2018,40(3): 28-33.

[9] 张忻,韩争胜.高校科研团队持续创新能力评价方法设计[J].科技管理研究,2015,35(23): 182-186.

[10] HUANG S T,ZHAO X N,CHANG S,el al.Organizational construction of a new type of university scientific research team based on jingyou thought[J].Eurasia Journal of Mathematics,Science and Technology Education,2017,13(8): 5615-5627.

[11] 贾明媚,张兰霞,付竞瑶,等.基于竞优评析的高层次科技人才评价[J].科技进步与对策,2017,34(16): 120-125.

[12] 段万春,杜凤娇,李阳.外智引联型创新团队成员优选方法探索[J].科技进步与对策,2017,34(10): 118-123.

[13] DUBREUIL P,FOREST J,FRANÇOIS COURCY.From strengths use to work performance: the role of harmonious passion,subjective vitality,and concentration[J].Journal of Positive Psychology,2014,9(4): 335-349.

[14] FOREST J,GENEVIVE A MAGEAU,CREVIER-BRAUD L, et al.Harmonious passion as an explanation of the relation between signature strengths′ use and well-being at work: test of an intervention program[J].Human Relations,2012,65(9):1233-1252.

[15] GLASER B G,STRAUSS A L.The discovery of grounded theory: Strategies for qualitative research[M].New York: Aldine,1967.

[16] PANDIT N R.The creation of theory: a recent application of the grounded theory method[J].The Qualitative Report,1996,2(4): 1-20.

[17] YIN R K.Case study research: design and methods[M].Los Angeles: Sage Publications,2009.

[18] 赵希男,王奇,朱春红.一种基于目标界定的客观识别个性特征的方法[J].系统工程理论方法应用,2006,15(5): 459-466+474.

[19] 赵希男,刘炳东,许慧敏.竞优思想及其对人类进步的作用分析[J].科学技术与辩证法,2006,23(2): 32-35+110.

[20] 王晓蓬,许安琪.高校科技创新团队“定性”与“定量”评价及其优化措施[J].浙江理工大学学报(社会科学版),2018,40(3): 28-33.

[21] 何玉林,黄哲学.大规模数据集聚类算法的研究进展[J].深圳大学学报(理工版),2019,36(1): 4-17.

(责任编辑:林思睿)