根据第一条思路,考虑企业自身研发投入带来的产品成本变化。武器装备流程创新研发是一个渐进式过程,不存在阶段突破和跳跃升级。因此,从长期看,研发投入γ(*)与产品成本变化γc(*)的函数是连续可导的。研发投入和研发带来的产品单位成本变化均与研发强度和初始技术水平有关,即γ=γ(K,x),γcγ=γcγ(K,x),其中x代表研发强度,K为技术差异因子(K≥1)。按照AJ模型对研发投入规模不经济的描述,将技术差异因子引入模型中,并根据假设H2,给出企业研发投入函数γ(K,x)和研发带来的产品边际成本变化函数γcγ(x):
γcγ(xi)=xiσ-1
(1)
模型(1)中,xiσ用于反映研发投入随研发强度呈指数增长,xiσ-1用于反映产品边际成本随研发强度减少的程度,两者间的指数量级差别体现了规模不经济。σ表示武器装备研发技术难度,σ>1。技术难度σ体现了武器装备研发比一般研发活动更具有规模不经济效应,这种规模不经济程度与武器装备研发技术难度呈指数关系。模型还体现了民品企业研发效率优势,即K=1,军民企业不存在初始技术差异时,xiσ/σ表示民品企业在同样研发强度下,研发投入比军工企业少,但这种优势随着技术差异因子K的增大表现得越来越不明显。
根据第二条思路,考虑技术外溢带来的产品边际成本变化。因为军用成果转化率不足,军工企业部分研发成果被严格保护起来,但另一部分研发成果可能被民品企业学习;民品企业研发成果则全部可能被军工企业学习。因此,对于军工企业研发成果,部分通过军用技术成果转化产生了外部溢出,比例为φ,0≤φ<1;另一部分则由于军用成果未被转化,不产生外部溢出,比例为1-φ。同时,令市场环境下公共外溢程度为β,0≤β≤1,则军工企业与民品企业由于技术外溢带来的产品边际成本变化分别为:
(2)
其中,c1为技术外溢后军工企业产品的边际成本,c2为技术外溢后民品企业产品的边际成本。
综上所述,本研究构建出完整的军工企业与民品企业在军品市场的研发竞争模型:
(3)
其中,c0(x1)=c,c0(x2)=Kc,cγ(xi)=xiσ-1,γ1(x1)=x1σ,γ2(K,x2)=Kx2σ/σ 。
考虑目前我国军事工业两个现状:一是军工企业是国有军工集团公司旗下的成员单位,遍布军事工业各个领域,相对比较独立与封闭,与民品企业合作程度不高,军工企业与民品企业在研究上不存在合作;二是军事工业领域涵盖行业较多,技术外溢程度各异。例如,兵器行业是传统行业,其市场范围小,民品企业参与少,技术外溢程度较低;而电子行业则走在科技前沿,市场广,民品企业多,技术外溢程度较高。
因此,研究非合作情况下的博弈,并区别分析两种不同技术外溢市场环境下的均衡。
根据模型讨论博弈产生均衡的条件,博弈分为两个阶段:第一阶段,每个企业选择自身研究强度;第二阶段,每个企业选择产量参与竞争。两阶段博弈可通过逆推法求解。从模型古诺均衡一般解入手分析军工企业与民品企业产出分别为:
(4)
在计入研发投入成本后,利润分别为:
(5)
由式(3)可知,军工企业与民品企业成本函数分别为c1=c-cγ(x1)-βcγ(x2)和c2=Kc-cγ(x2)-βφcγ(x1),将其代入式(4)和式(5),得出军工企业和民品企业的最终均衡产出:
(6)
同时,得到各自的利润:
π1e=

(7)
从式(6)可以看出,军工企业与民品企业研发强度xi对产出qie存在两部分影响:一部分是自身研发强度带来的成本变化,另一部分是竞争对手研发强度带来的成本变化。由于技术溢出的存在,竞争性研发带来的成本变化一方面降低了对手成本,为对手产出产生了扩张效应;另一方面也降低了自身成本,扩张了自身产出,挤出对手市场份额,但这两种相互抵消力量的净影响是不确定的,这种不确定性反映在式(6)中研发强度xi的系数上。对于军工企业而言:
(σ-1)(2β-1)x2σ-2
(8)
由于σ>1、0≤β≤1、0≤φ<1,可以判定∂q1e/∂x1>0,即军工企业研发强度是自身均衡产量的增函数,表示军工企业研发强度越大,均衡产量越高;而∂q1e/∂x2的符号判定需依赖2β-1的大小,这个系数在外溢程度较大时,即β>0.5时为正;在外溢程度较小时,即β<0.5时为负。这意味着,当外溢程度较小时,民品企业研发强度是军工企业均衡产量的减函数,这时民品企业研发强度越大,越会挤出军工企业市场份额;当外溢程度较大时,民品企业研发强度是军工企业均衡产量的增函数,这种情况下,民品企业研发强度越大,反而越会增加军工企业市场份额。
同理,对民品企业进行分析:
(σ-1)(2βφ-1)x1σ-2
(9)
由于σ>1、0≤β≤1,可以判定∂q2e/∂x2>0,民品企业研发强度是自身均衡产量的增函数,民品企业研发强度越大,均衡产量越高;但对于∂q2e/∂x1的符号判定,则关系到系数2βφ-1,其中涉及技术外溢因子β和军工企业军用技术成果转化比例φ,这意味着军工企业研发强度对民品企业均衡产量影响的不确定性因素更加复杂。军工企业研发对民品企业均衡产量的影响受技术外溢程度与军用成果转化率的综合作用,即当βφ<0.5时,军工企业研发强度是民品企业均衡产量的减函数,这时军工企业加大研发强度会挤出民品企业市场份额;当βφ>0.5时,军工企业研发强度是民品企业均衡产量的增函数,军工企业加大研发强度会增加民品企业市场份额,见表1。
表1 不同技术溢出程度下研发竞争对市场份额的影响
技术溢出程度变化研发对市场份额的影响βL:β<0.5民品企业研发会挤出军工企业市场份额βH:β>0.5民品企业研发会增加军工企业市场份额βφL:βφ<0.5军工企业研发会挤出民品企业市场份额βφH:βφ>0.5军工企业研发会增加民品企业市场份额
同样的不确定性在式(7)的利润函数中也可以体现,不再具体分析。
由表1可知,市场可能出现的技术溢出包括4种情况:分别是(βH,βφH),(βH,βφL),(βL,βφH),(βL,βφL)。这4种情况并不都可以产生博弈均衡,具体分析如下:
(1)低技术外溢βL市场环境情况:一种是(βL,βφH),假如市场出现(βL,βφH)的情况,即需要同时满足β<0.5、βφ>0.5,可解出φ>1,这与模型中0≤φ<1的设定相矛盾,因此这种情况不存在;另一种是(βL,βφL)。假如市场出现(βL,βφL)的情况,即需要同时满足β<0.5、βφ<0.5,可解出0<φ<1,模型条件满足。再看博弈过程,军工企业和民品企业研发行为可同时减少对方的市场份额,因此博弈中会出现均衡点。
(2)高技术外溢βH市场环境情况:一种是(βH,βφL)。假如市场出现(βH,βφL)的情况,即需要同时满足β>0.5、βφ<0.5,可解出0<φ<1,模型条件满足。再看博弈过程,在这种市场环境下民品企业研发会增加军工企业市场份额,而军工企业研发会挤出民品企业市场份额,出现非对称情况,博弈中不会出现均衡点;另一种是(βH,βφH)。假如市场出现(βH,βφH)情况,需要同时满足β>0.5、βφ>0.5,这对φ有条件限制,只有当φ>1/2β时,才能满足模型条件。再看博弈过程,军工企业和民品企业研发行为能够同时增加对方市场份额。因此,当模型条件满足后,博弈会出现均衡点。
综上分析,给出模型产生博弈均衡的一个充分条件:
命题1:当β>0.5时,必须满足φ>1/2β的条件,军工企业和民品企业研发博弈竞争才能出现均衡。
在这一条件下,利用利润函数(7)对研发强度xi求偏导,并令偏导数等于0:
(10)
联合两个方程可以得出军工企业与民品企业研发强度的最优反应方程和曲线R1、R2。最优反应方程斜率存在两种可能,或正或负,由β和φ决定,得出的最优反应曲线也可能向上倾斜或者向下倾斜。再根据命题1的结论,得出市场可能出现的两种博弈均衡,如图1所示。
图1 不同市场环境下军工企业与民品企业研发强度最优反应曲线
以上虽然分析了军工企业与民品企业在有技术外溢市场发生研发竞争的基本条件,以及研发强度最优反应曲线均衡可能出现的情况,但并不能得出两种市场环境下具体的均衡水平。下一步,通过数值分析讨论技术差距和军用成果转化率对均衡点的影响。
2 技术差距对研发竞争的影响
通过数值模拟考察模型各主要变量对均衡状态的影响,进一步分析军工企业与民品企业在研发竞争中的行为策略。
数值在满足模型设定时对各参数假定的同时,还需满足命题1的充分条件,使均衡解成为定义域的有效解。在此基础上,首先固定一些参数,观察技术差异对研发强度、产量和利润等均衡结果的影响,再讨论其结果及政策分析。
对模型赋值,讨论高低不同技术溢出市场环境下,军工企业与民品企业技术差距对博弈均衡结果的影响。取A=200、B=1.5,军工企业生产的产品边际成本c=2,军用技术成果转化比例φ=0.4,武器装备研发技术难度σ=2,技术外溢程度因子取β=0.25和β=0.75,分别体现高低两种技术溢出市场环境。参数取值满足模型假定和命题1的条件,图2和图3给出了模拟结果。
2.1 技术差距对军工企业与民品企业间研发竞争的影响
在研发强度方面,从图2a和3a中可以看出,不管是低技术溢出市场环境还是高技术溢出市场环境,当K=1,即军工企业与民品企业不存在差距时,民品企业研发强度远远高于军工企业。这说明,在没有技术差异的情况下,民品企业研发意愿远比军工企业强。当出现技术差距时,民品企业研发强度出现较大幅度下降,特别是从K=1(没有技术差距)变化到K=2时,研发强度降幅高达近2/3,说明初始技术差异对具有研发效率优势的民品企业有较大冲击,极大程度上影响了民品企业研发意愿。随着技术差距的继续拉大,民品企业研发强度萎缩到一个很低范围,近乎退出了研发竞争。同时还可以发现,军工企业研发强度走势平稳,整体略有上升,但变化不大。特别是当出现较小的技术差距时,军工企业研发强度在低技术溢出市场环境和高技术溢出市场环境呈现不同的变化趋势,低技术溢出市场环境下迅速变大,而高技术溢出市场环境下迅速变小。这是由于,较小的技术差距下,民品企业凭借研发效率高的优势与军工企业积极竞争,军工企业不得不迅速改变研发策略予以应对。由于低技术溢出市场存在替代性竞争,军工企业在竞争中通过增大自身研发强度降低对方研发强度,因此军工企业会迅速提升强度。在高技术溢出市场环境下存在互补性竞争,军工企业在竞争中通过降低自身研发强度可以降低对方研发强度,因此军工企业会降低研发强度。当技术差距过大时,民品企业效率优势不再明显,研发竞争趋于一边倒。军工企业凭借较大的技术差距占据优势地位,不再考虑技术溢出的影响,通过维持少量研发强度就可以将民品企业挤出市场。
在产量和利润方面,从图2b和3b可以看出,技术差距的拉大,使得民品企业产量大幅下降,而军工企业产量没有出现大幅增长,整体变化不大。但从图2c和3c的利润变化可以看出,军工企业利润出现了大幅增长,说明军工企业技术差距越大,在产量不增的情况下获得了越多的利润,也即技术差距形成了市场垄断,给军工企业带来了超额利润。图2d和图3d显示了军工企业的市场份额优势。从中可见,技术差距越大,市场份额优势越大,市场结构越集中,越趋于垄断。但通过对比可以发现,高技术溢出市场环境下,在同样的初始技术差异下,军工企业市场份额优势小,说明高技术外溢为民品企业获得市场份额提供了帮助。
2.2 研发强度博弈均衡点移动变化
图2e和3e以及图2f和3f反映了研发强度博弈均衡点的移动变化。从中可以看出,博弈均衡点沿着趋势方向收敛,即均衡点移动变化呈现非均匀变化现象,反映出随着技术差距的增大,民品企业研发强度出现大幅变小,军工企业研发强度出现小幅增大。均衡点收敛表示民品企业研发强度逐渐趋近于零,说明技术差距削弱了民品企业研发意愿。当技术差距较小时,民品企业可通过良好激励机制带来的研发效率优势进行竞争;当技术差距过大时,这种优势变小甚至微不足道,民品企业研发意愿将变得非常小,甚至完全退出研发竞争。
博弈均衡点移动变化反映了军事工业生产对企业初始能力有较大要求,技术积累越多的企业,在竞争中越具有优势。军事工业一些大型武器装备初始边际成本较大,生产时的固定成本投入较多,很难通过研发提高生产效率来弥补,如果没有前期的技术支撑,企业将无利可图,最后会放弃研发,从而退出军品市场竞争。现实中,在一些小型武器装备研发和生产领域,对初级技术的要求不高,存在非常多的民品企业参与市场竞争,并占有一定的市场份额。但越往系统级大型武器装备发展,对初级技术的要求越高,大量民品企业不愿涉足,也很难出现长期生存的民品企业;而军工企业数量则变化不大,研发强度变化也不大,这与军工企业初始技术积累有关。当然,由于军工企业大多具有国资背景,很多技术积累靠国家支持获得,也是历史发展赋予其的先天市场竞争优势。
2.3 技术差距对社会总福利的影响
从图2g和3g中可以看出,社会研发总投入在军工企业与民品企业技术差距较小阶段变化剧烈,呈现一个迅速的缩减。随着技术差距继续增大,社会研发总投入开始缓慢回升。从图2h和3h看出,社会总产量一直在减少,同样在军工企业与民品企业技术差距较小阶段呈现剧烈变化。本研究用社会总产量与研发总投入的比值衡量社会总研发效率。如图2i和3i所示,在军工企业与民品企业技术差距较小阶段研发效率有所提高,达到顶峰后开始回落。因此,在军事工业研发竞争中,若民品企业研发效率高于军工企业,保持军民企业适度的技术差距,将有助于军事工业总研发效率提高。
图2j和3j显示了企业总利润变化,在军工企业与民品企业技术差距较小阶段,企业总利润减少;当技术差距增大到一定程度时,企业总利润开始回升。这表明,当技术差距不大时,军工企业与民品企业积极进行研发竞争,不断将企业利润用于研发投入,有助于提升社会研发总效率,但减少了企业总利润。当技术差距过大时,民品企业利润消失,军工企业开始垄断市场,研发投入将带来丰厚的回报,存在超额利润空间,这种情况下,社会总效率下降,以军工企业垄断利润为主的企业总利润增大。
2.4 不同技术外溢市场环境下的影响
对比两种市场环境下研发强度变化可以发现:军工企业若具有较大的技术优势,只要保持较为稳定的研发强度,则可凭借技术优势占据市场份额。若技术优势较小,则需要根据市场技术外溢程度决定研发行为。低技术外溢市场环境下,军工企业会选择增加研发强度进行竞争;高技术外溢市场环境下,则会选择降低研发强度进行竞争。对于民品企业,由于存在技术差距,不管高低技术外溢市场环境,只能选择降低研发强度进行竞争;若技术差距较小,民品企业降低研发强度,凭借 “少投入高效率”优势进行竞争;若技术差距较大,民品企业效率优势不再体现,则会退出研发竞争。
对比不同的技术外溢市场环境发现,在高技术外溢市场环境下,企业会降低自身研发强度,大量减少研发投入,通过技术外溢在研发上相互“搭便车”。这种情况在民品企业中表现得更加明显,随着技术差距的增大,由于民品企业研发强度越来越低,军工企业“搭便车”行为不明显,而民品企业从军工企业研发中“搭便车”的机会越来越多,因而会减少自身研发投入。因此,技术差距越大,民品企业在研发上“搭便车”的可能性越大。若技术差距过大,民品企业则会停止研发活动,完全依靠技术外溢获取利润,但利润很小,民品企业会选择退出市场。
3 军用成果转化率对研发竞争的影响
本研究讨论不同技术溢出市场环境下,军用成果转化率φ大小对研发竞争均衡结果的影响。参数设定如下:取A=200、B=1.5,武器装备初始边际成本c=2,武器装备研发技术难度σ=2,同样取技术外溢程度因子β=0.25和β=0.75。根据前文分析,军工企业与民品企业初始技术差异较小情况下,研发竞争效果较好,因此取技术差距系数K=2。为满足命题1的条件,当β=0.75时,φ的取值限定在[2/3,1],这样,参数取值满足模型假定和命题1的条件,图4和图5给出了模拟结果。
3.1 军用成果转化率对军工企业与民品企业间研发竞争的影响
图4a和5a显示了军民企业研发强度情况。从中可以看出,不论军用技术转化比例如何,军工企业研发强度一直高于民品企业。当军用技术成果转化比例为0时,民品企业研发强度最低,而军工企业研发强度最高,说明在军用技术绝对封闭情况下,民品企业虽然有研发效率优势,但仍然没有研发积极性,涉足军品市场意愿不高。随着军用技术成果转化比例的上升,军工企业研发强度逐渐降低,而民品企业研发强度开始提高。从变化幅度看,军工企业降低的研发强度幅度大于民品企业研发强度提高的幅度。
图4b和5b反映了军民企业产量情况。从中可以看出,凭借初始技术优势,军工企业产量始终高于民品企业。随着军用技术成果转化比例的上升,民品企业产量增加,而军工企业产量减少,说明军事技术越封闭,民品企业参与军品生产的意愿和产量越低。从变化幅度看,军工企业减少的产量幅度与民品企业产量增加幅度大致相当。均衡时的产量对比反映了市场份额占有情况。由图4d和5d可以看出,军工企业市场份额优势逐渐下降,当军用技术成果转化比例为1时,市场份额趋于相近,但军工企业仍然略有优势。
图4c和5c反映了军民企业利润情况。从中可以看出,在初始技术优势情况下,军工企业利润始终高于民品企业,但随着军用技术成果转化比例上升,军工企业利润逐渐下降,民品企业利润大幅上升,两者间的差距越来越小。
3.2 研发强度博弈均衡点移动变化
随着军用技术成果转化比例上升,军民企业研发强度博弈均衡点移动呈现均匀变化的现象,不存在大幅跳跃变化,如图4e、4f和5e、5f所示。均衡点移动变化显示,军用技术成果转化比例上升,会使军工企业和民品企业研发强度最终趋向于相当水平,同时使市场份额也趋于平衡,可以有效地改变原有市场格局。这客观证明了现有军用成果转化率机制为军工企业垄断市场提供了有利因素,去除这一“不对称”因素可以很好地提高民品企业市场份额,使其参与研发竞争的意愿更加强烈。
3.3 军用成果转化率对社会总福利的影响
从社会总福利角度看,图4g和4h以及图5g和5h数据反映了一个事实,即随着军用技术成果转化比例的上升,社会研发总投入减少,而社会总产量却总体平稳,略有增长。这说明,提高军用技术成果转化比例,将带来社会研发总效率大幅提升,如图4i和5i所示。同样研发投入更少,这得益于提高军用成果转化率,民品企业参与意愿提高,加上民品企业高效率研发带动了社会总研发效率提升,这回应了一些学者提出的开放竞争会造成军事工业供给不足的疑问。
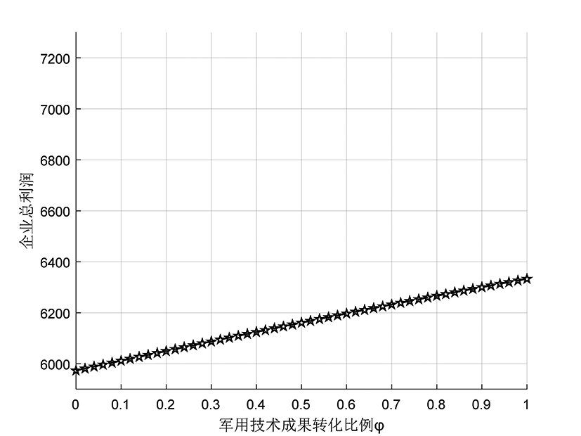
观察军民企业利润变化情况,从图4j和5j可以看出,利润总额随着军用技术成果转化比例增大呈上升趋势,说明提高军用技术成果转化比例,虽然使军工企业降低了利润,但民品企业高效研发带来的盈利不仅弥补了军工企业损失的利润,还带来了更多利润,使企业总利润上升。企业总利润上升说明军事工业不仅研发效率提高,企业总盈利能力也在提高,表明军事工业经济运行质量效益变好。
以上分析说明,提高军用成果转化率,将带来军事工业研发效率的帕累托改进。
3.4 不同技术外溢市场环境下的影响
对比两种市场环境下研发强度变化同样可以发现:在高技术外溢市场环境下,企业会降低自身研发强度,减少研发投入,通过技术外溢在研发上相互“搭便车”,这种情况在军工企业中表现得更加明显。随着军用技术成果转化率的增大,军工企业为减少军用技术成果转化给自己带来的负面影响,会降低自身研发强度,而民品企业在加大军用技术成果转化过程中是获利方,会积极提高研发强度占领更多市场份额。民品企业研发强度越来越大,军工企业“搭便车”效果更加明显,这会降低自身研发强度。因此,军用技术成果转化率越大,军工企业在研发上“搭便车”的程度越深。一般而言,军事工业高技术外溢市场环境存在于电子等行业,由于这些行业军用成果转化率较高,民品企业较为活跃,往往是民用电子发展领先于军用产品,军工企业研发投入较低。
社会总福利方面,在高技术外溢市场情况下,研发总投入、总产量和总利润变化趋势并无大的改变,但与低技术外溢市场环境下整体水平相比,高技术外溢市场环境下出现了一些变化。具体而言,研发总投入整体水平大幅下降,社会总产量水平大致相当,研发总效率大幅提升,企业总利润也大幅上升。这说明,在高技术外溢市场环境下,提高军用技术成果转化比例带来的社会总福利起点更高、变化更快,一方面民品企业可以在市场中获得军用技术成果转化收益;另一方面,军工企业可以在市场中获得民品企业研发高效率收益,双方存在相互“搭便车”行为。总体而言,在高技术外溢市场环境下,提高军用技术成果转化比例,会进一步带来军事工业研发效率的帕累托改进。
4 研究结论与政策建议
4.1 研究结论
本研究重点讨论了军工企业与民品企业技术差距、军用成果转化率对军事工业研发竞争的影响。首先,在AJ模型的基础上,扩展出军工企业与民品企业间研发竞争博弈模型,基于模型对研发竞争博弈均衡过程进行分析,并对模型进行数值模拟,研究技术差距和军用成果转化率对博弈均衡的影响,得出如下结论:
(1)技术差距和军用成果转化率都不同程度地影响民品企业研发意愿。技术差距大幅降低了民品企业研发意愿,但并没有显著提高军工企业研发意愿;军用成果转化率不足虽然降低了民品企业研发意愿,但一定程度上保护了军工企业研发意愿。
(2)较小的技术差距能够促进军工企业与民品企业研发竞争,提升社会研发总效率,且存在一个最优技术差距,保持最优技术差距可以使研发竞争带来的社会研发总效率最高。
(3)提高军用成果转化率能够促进军工企业与民品企业间的研发竞争,打破军工企业凭借技术优势获得的市场垄断地位,改变市场结构,使民品企业获得更多市场份额,并提升社会研发总效率。
(4)在航天、电子等高技术溢出行业中,军工企业与民品企业间可通过技术溢出在研发上更好地共享对方的技术成果,社会研发总效率相对兵器等低技术溢出行业有较大提升,研发效率的帕累托改进效果更明显。
4.2 政策建议
合理调整军工企业与民品企业间的技术差距,提高军用成果转化率,可以有效提升军事工业研发竞争效率,降低武器装备单位边际成本。对此,可以利用政府“有形的手”对上述两个“不对称”现象进行有效调节,促进研发竞争,提升研发效率。本研究建议:
(1)研究表明,军民企业间过大或过小的技术差距会降低社会研发总效率。因此,政府应把握好对军工企业的扶持力度,可根据军事工业涉及不同行业的发展现状,动态调节军工企业资产注入程度,以保持最优技术差距。对于军民融合发展比较成熟的行业领域,应保持对军工企业一定的支持,但不应过度扶持;对于尚无民品企业参与的行业领域,应减少对军工企业的扶持。同时,政府应开放国防实验室和试验场所等大型设施,缩小军民标准、计量等差异,规范竞争平台,使民品企业与军工企业公平竞争。
(2)政府应进一步促进军用技术成果转化,规范国防专利定密解密机制,加快军用技术成果转化,提高社会研发总效率。对于国防专利下存量的已过专利保护期的军用技术成果,政府可通过修订法律法规、加强督查力度和完善专利补偿机制等方式,督促军工企业对已经超过专利期的军用技术成果进行转化;对于增量的未过国防专利期的军用技术成果,应修改保密规定,对不涉及国家安全的军用技术进行强制解密。事实上,发达国家为提高军用成果转化率,每年都会组织专家解密不再需要保密的专利成果。例如,美国在该问题上采用的是“保密令”的形式,其国防专利保密时间为一年,一年后大都转为普通专利,在专利到期后自动解除保护。
(3)研究表明,相比于低技术溢出市场环境,高技术溢出市场环境下社会研发总效率更好。因此,政府应进一步完善军民协同创新机制,提高军事工业领域技术溢出率,将低技术溢出市场环境转变为高技术溢出市场环境,从而提高军事工业整体研发效率。军工企业与民品企业应该更多进行合作研发,科研人员通过共享研究成果相互借鉴与学习,推动军用和民用技术融合。政府应积极支持企业围绕军事战略需求,聚焦具有战略性、带动性、全局性的重大共性关键技术,组建军用技术创新联盟,有效开展研发合作。
参考文献:
[1] GANSLER J S. Democracy's arsenal:creating a twenty-first-century defense industry[M]. The MIT Press, 2011.
[2] BITZINGER R A. Civil-military integration and chinese military modernization[J]. Asia-Pacific Center for Security Studies,2004,3(9).
[3] TREBAT N M, MEDEIROS C A D.Military modernization in chinese technical progress and industrial innovation[J]. Review of Political Economy, 2014, 26(2):303-324.
[4] NALEBUFFB J, STIGLITZ J E. Information, competition, and markets[J]. American Economic Review, 1983, 73(2):278-283.
[5] BANIAK A, DUBINA I. Innovation analysis and game theory: a review[J]. Innovation, 2012, 14(2):178-191.
[6] COHEN W M, KLEPPER S.Firm size and the nature of innovation within industries: the case of process and product R&D[J]. Review of Economics & Statistics, 1996, 78(2):232-243.
[7] GAYLE P G. Market concentration and innovation: new empirical evidence on the schumpeterian hypothesis[J]. 2001.
[8] D'ASPREMONT C, JACQUEMIN A.Cooperative R&D in duopoly with spillovers[J]. American Economic Review, 1988, 78(5):1133-1137.
[9] DASGUPTA P, STIGLITZ J.Industrial structure and the nature of innovative activity[J]. Economic Journal, 1980, 90(358):266-293.
[10] LEAHY D, NEARY J P.International R&D rivalry and industrial strategy without government commitment[J]. Review of International Economics, 2010, 4(3):322-338.
[11] MATSUMURA T, MATSUSHIMA N, CATO S. Competitiveness and R&D competition revisited[J]. Economic Modelling, 2013, 31(31):541-547.
[12] CHANG M C, HO Y C. Comparing cournot and bertrand equilibria in an asymmetric duopoly with product R&D[J]. Journal of Economics, 2014, 113(2):133-174.
[13] SHIBATA T.Market structure and R&D investment spillovers[J]. Economic Modelling, 2014, 43:321-329.
[14] TESORIERE A.Competing R&D joint ventures in cournot oligopoly with spillovers[J]. Journal of Economics, 2015, 115(3):1-26.
[15] CHOI S C. Price competition in a channel structure with a common retailer[M]. INFORMS, 1991.
[16] CHOI J P.Cooperative R&D with product market competition[J]. International Journal of Industrial Organization, 2004, 11(4): 553-571.
[17] LIN, PING, ZHOU, et al. The effects of competition on the R&D portfolios of multiproduct firms[J]. International Journal of Industrial Organization, 2013, 31(1):83-91.
[18] FERSHTMAN C, MARKOVICH S.Patents, imitation and licensing in an asymmetric dynamic R&D race [J]. International Journal of Industrial Organization, 2010, 28(2):113-126.
[19] BISCHI G I, LAMANTIA F.A dynamic model of oligopoly with R&D externalities along networks. Part II[J]. Mathematics & Computers in Simulation, 2012, 84(84):66-82.
[20] DAWID H, KEOULA M Y, KOPEL M.Product innovation incentives by an incumbent firm: a dynamic analysis [J]. Journal of Economic Behavior & Organization, 2015, 117:411-438.
[21] 侯光明, 艾凤义. 基于混合溢出的双寡头横向R&D合作[J]. 管理工程学报, 2006, 20(4):94-97.
[22] 吴志军, 赵立昌. 合作创新还是自主创新?——一个扩展的AJ模型及其在中国互联网产业中的应用研究[J]. 经济管理, 2011(12):150-158.
[23] 郭长义, 安玉兴. 企业非合作R&D、溢出效应与竞争国际化分析[J]. 财经问题研究, 2012(6):17-20.
[24] 周贵川, 张黎明. 资源型企业间合作技术创新影响因素的博弈分析[J]. 管理世界, 2014(1):184-185.
[25] 游达明, 朱桂菊. 不同竞合模式下企业生态技术创新最优研发与补贴[J]. 中国工业经济, 2014(8):122-134.
[26] 张伟, 于良春. 混合寡头厂商的合作研发及反垄断控制研究[J]. 中国工业经济, 2014(5):44-56.
[27] 周默涵, 刘悦. 环境规制会妨碍企业竞争力吗?——基于异质性企业模型的一般均衡研究[J]. 世界经济, 2017: 150-167.