段万春,李 美,许成磊
(昆明理工大学 管理与经济学院,云南 昆明 650093)
摘 要:团队簇创新和创业交互属性与领导的差异化嵌入授权行为关联紧密,而参与个体对彼此能力的互信是进行有效合作的前提。据此,关注能力互信氛围在团队绩效中的作用机理与外部情境能够有效解析异质型创业领导对团队簇个体绩效作用的相机变化效应。以创业型领导异质性、嵌入授权(结构、心理与认知授权)和能力互信氛围作为团队层次变量,将个体绩效作为个体层次变量,考察嵌入授权的跨层次中介以及能力互信氛围的调节作用。结果发现:内部比较优势导向异质性不直接影响成员个体绩效,而外部战略价值导向异质性则有助于促进个体绩效;嵌入授权在异质性与个体绩效间起中介作用;能力互信氛围在嵌入授权与个体绩效间起跨层次调节作用。根据研究结果,提出相关管理启示。
关键词:异质型创业领导;嵌入授权;团队簇个体绩效;能力互信氛围
收稿日期:2018-09-13
基金项目:国家自然科学基金项目(71563024;71603106);云南省应用基础研究计划青年项目(2017FD099);昆明理工大学引进人才科研启动基金项目(KKSY201508039);昆明理工大学人文社会科学研究培育项目(skpyyb201611);昆明理工大学硕博生科研项目预研计划(2018)
作者简介:段万春(1956-),男,昆明理工大学管理与经济学院教授、博士生导师,研究方向为组织行为;李美(1994-),女,江苏南通人,昆明理工大学管理与经济学院硕士研究生,研究方向为团队管理、创新管理;许成磊(1986-),男,河北唐山人,博士,昆明理工大学管理与经济学院副教授、硕士生导师,研究方向为创新创业、团队管理、信息融合、复杂系统决策等。本文通讯作者:许成磊。
![]()
DOI:10.6049/kjjbydc.2018040303
开放科学(资源服务)标识码(OSID):
中图分类号:F272.2
文献标识码:A
文章编号:1001-7348(2019)14-0141-10
Duan Wanchun,Li Mei,Xu Chenglei
(Science and Technology, Kunming University , Kunming 650093,China)
Abstract:The innovation and entrepreneurial interaction attributes of the team cluster are closely related to the differentiated embedded authorization behavior of their leaders.The mutual trust between the participating individuals is the premise of effective cooperation.According to this, the mechanism and externality of the ability and mutual trust atmosphere in team performance are concerned.Situation, can effectively analyze the camera change effect of heterogeneous entrepreneurial leadership on the individual performance of team clusters.Entrepreneurial leadership heterogeneity, embedded authorization (structural, psychological and cognitive empowerment) and mutual trustworthiness as team-level variables, individual performance as an individual-level variable to examine the regulatory role of embedded authorization cross-level intermediaries and mutual trustworthiness atmosphere .Empirical results show that: the internal comparative advantage-oriented heterogeneity does not directly affect the individual performance of individuals, while the external strategic value-oriented heterogeneity promotes individual performance; the embedded authorization plays an intermediary role between heterogeneity and individual performance; authorization and individual performance play a role of cross-level adjustment.In addition, based on the results of the study put forward the relevant management implications.
Key Words:Heterogenous Entrepreneurial Leadership; Embedded Authorization; Ability Mutual Trusting Atmosphere; Cluster Individual Performance
创业型领导即创造一个愿景,以号召、动员下属,并使其承诺对战略价值创造进行发现与探索的一种领导方式[1]。该概念强调创业型领导所具备的合作愿景表达、合作能力证实与战略价值催生三重特征,对响应创业的交换属性与机动属性需求具有重要前瞻价值。然而,面对日益动态和复杂的竞争环境,异质型创业领导行为模式对传统创业型领导理论提出了新挑战[2],兼具创业行为与创新行为属性的创业型领导逐渐分化为两种异质导向风格,即内部比较优势导向创业型领导与外部战略价值导向创业型领导。其中,前者重在“交换”范式下的多创业主体利益关系协调,而后者重在“内生”范式下的多创业主体创新资源整合。目前,创业型领导已成为领导行为领域研究的重要议题[3],考虑到其在战略型创业中的核心地位已经辐射至多样水平组织资源整合与绩效反馈研究[4],因此本研究聚焦异质型创业领导对个体绩效影响机制具有重要理论意义。
异质型创业领导行为已逐渐成为创业行为与领导行为研究的重点交叉领域,现有成果虽然包括创业领导异质性两种类型对个体绩效的影响,但主要集中在探究异质性对绩效影响的直接效应上[5],针对异质性对个体绩效影响的内部运作机理及外部环境因素缺乏关注。在领导行为对团队簇参与个体绩效影响过程中,嵌入授权被认为是尤为重要的中介因素[6]。对此,国内外部分学者已从个体层面对创业型领导授权影响作用机制进行了相关探讨,但大多数研究成果仍然侧重于领导授权对工作满意度、工作行为表现及团队绩效和组织承诺等的影响[7],对多团队合作(团队簇)中的团队整体绩效通过异质型创业领导嵌入授权影响团队个体绩效的研究较少,现有研究尚不能有效刻画复杂动态竞争环境中嵌入授权差异对团队簇个体绩效的涌现机制。此外,现有研究对于领导方式差异化导致的团队簇能力互信氛围这一内生变量也未能有效呈现。已有案例研究表明[8],当个体具有较强的自我效能感与精益绩效导向,且普遍具有高个体绩效的团队簇在缺少应对能力互信氛围时,将导致个体具有较低合作意愿与超强创业绩效表现[9]。鉴于此,考虑到反映不同嵌入授权的创业领导行为能够刻画成管理策略与环境导向、角色认同及有效性传递、自我效能与绩效控制等核心议题,本研究聚焦异质型创业领导在能力互信氛围调节作用下,通过嵌入授权对个体绩效产生的影响,对于理解创新与创业交互过程中的机会识别、优势搜寻与团队簇个体绩效提升机制具有重要理论意义和实践价值。
团队簇(多团队局部及整体)的共同创业行为具有复杂网络视域下多主体协同创新特征[10],由于创业主要关注当期机遇、强调策略性互惠,而创新主要关注远期愿景、强调战略性布局,因此团队簇的异质型创业领导行为具有更复杂的嵌入授权影响。针对异质型创业领导嵌入授权的可能影响,本研究假设主要基于以下议题:①关注与领导策略及环境导向相关的嵌入结构授权。王辉等[11]认为,结构授权是领导赋予成员完成工作的控制权与自主性,以此提高成员专业技能与知识贮备,认为在情境紧急程度低、任务互依性高、任务/环境不确定程度高和团队专业能力强情况下,结构授权能够更好地促进团队簇个体绩效;②关注与角色认同、有效性传递相关的嵌入心理授权。Chiang[12]等学者关注个体角色认同及责任感,认为心理授权是个体对自身扮演角色需要承担责任和对群体产生相关作用的内在认知,强调个体熟知自身角色目标及影响力,并将心理授权分为工作意义胜任力、自我选择和影响力4个维度;③关注与“自我效能—绩效控制”相关的认知授权。 Walumbwa[13]等学者从行为视角出发,将认知授权定义为最大效度开发自身潜能达到提升自身工作绩效的过程,对个体形成内在动机与激发工作行为投入过程进行了相关研究。上述3个核心议题研究进展表明,嵌入结构授权、嵌入心理授权和嵌入认知授权3类异质型创业领导授权方式是关系到团队簇能力互信氛围及异质型创业领导与个体绩效涌现的关键变量。基于此,本研究重点关注异质性创业领导所具有的嵌入授权领导行为,从结构授权、心理授权和认知授权3个维度,分别解析异质型创业领导差异化授权所具有的中介作用,并在能力互信氛围影响下分析团队簇个体绩效之于创业领导异质性的层次变化效应。
在当前社会化创业与价值共享交互开放治理格局下,面对越来越复杂的开放式创业环境,创业型领导面对动荡的合作格局与残缺的内部治理架构,经常集聚压力、焦虑和不安全感[14]。因此,注重“内生”范式下的多创业主体创新资源整合的外部战略价值导向异质性创业领导,在实施领导行为、作出领导决策时更能在外部战略提供的合作框架下实现资源共享、合作协同、个体主观绩效与客观绩效双维度融合等多维共生增长目标,有利于团队簇个体绩效提升。例如,Renko等[15]指出,外部战略价值导向异质型领导战略性目标导向明确,侧重于领导行为对创业外部效应的获取与内化,有利于凝聚创新精神,实现内外部联合,能够有效解决当前不确定大环境下个体绩效不稳定性难题,以及团队簇参与个体实现、提升与稳定自身绩效。Yanney[16]认为,外部战略价值导向异质型领导特有的培育创新能力、重视机会价值能力、保护对现行商业模式产生威胁的创新能力、质疑主流逻辑思维能力、重新审视看似简单问题以及融合创业和战略管理等创业思维框架能够对高度不确定的经营环境作出积极响应,及时识别新创业机会,从而对领导方式进行持续创新与变革,以解决社会化创业过程中的难题。注重交换范式下多创业主体利益关系协调的内部比较优势导向异质性创业领导因更注重利益协调与资源交换,容易忽略领导行为实施的双向性、不确定性与主观性影响,忽视对个体的心理与人文关怀,降低个体忠诚度与满意度,导致凝聚力不足,因此绩效水平难以维持与提升。例如,Jorda等[17]研究发现,领导决策效率与内聚力两个维度此消彼长,并对团队簇个体绩效具有重要影响。领导决策效率直接与团队成员满意度及忠诚度、团队个体间相互学习及自身能力提升密切相关。李绍龙等[18]指出,内部比较优势创业型领导在创业型组织模式、渐进式创业理念指引下,通过利用式创新提高组织内部资源使用效率并致力于改善或扩大现有市场、产品和服务,从而提升团队簇个体绩效,但是高度资源导向容易使此类创业领导将目光聚焦于资源调配,忽视团队簇中关键因素——人的作用,进而导致团队簇个体产生心理落差,团队认同感降低造成领导效能不足、个体绩效低下。由此,本研究提出如下线性假设:
H1a:内部比较优势导向异质型与团队簇个体绩效负相关;
H2a;外部战略价值导向异质型与团队簇个体绩效正相关。
部分学者研究成果表明,创业领导异质性与团队簇个体绩效间具有非线性关系,且此非线性关系在细分异质性之后仍然存在。胡望斌等[19]研究得出,创业型领导的功能观异质性(类似内部比较优势导向异质性)与团队簇个体绩效呈倒U型关系,社会观异质性(类似外部战略价值导向异质性)与团队簇个体绩效也呈倒U型关系。此外,非线性关系研究较线性关系研究更加全面深入。从系统动力学原理出发,倒U型等非线性关系的存在表明,优劣势因素同时隐藏于创业领导异质性之中,且因素间以倍数方式作用于系统行为。例如,Renko[20]等发现,创业领导异质性在提高创业外部效应获取与内化、集结创新精神的同时减小了个体间紧密度、降低了个体对团队簇的向心力,且阶段、环境不同均会导致创业效应、创新精神对紧密度、向心力的不同作用。因此,“正向、负向或倒U型”3种关系均可能出现在创业领导异质性与个体绩效之间。除此以外,因为线性趋势存在于非线性关系中,学者研究方法差异也有可能导致不同结论。基于此,本研究提出如下非线性假设:
H1b:内部比较优势导向异质型与团队簇个体绩效呈倒U型关系;
H2b:外部战略价值导向异质型与团队簇个体绩效呈倒U型关系。
授权概念最初来源于参与式管理理论和成员卷入理论。近年来,由于团队外部环境和内部条件变化,领导嵌入授权日益受到理论界和实务界的重视[21,22]。从组织外部环境看,日益复杂的创新创业环境使得领导者在应对复杂与动态挑战时越来越力不从心(Gao,2011)。因此,利用授权增强组织灵活性、提高组织效率成为有效管理措施之一(Arnold,2000)。从团队内部角度看,快速变化的新经济网络化时代下个体关于自主性工作的标准逐渐提高,而相关研究成果也揭示了工作自主性提升有助于个体感知自身拥有的权力,增加个体内在动机,从而达到个体绩效提升的目的[23、24]。对于创业型领导而言,嵌入授权是一种全方位、多层次管理方式,有利于团队簇实现参与个体绩效最大化。本研究借鉴相关学者[25,26,27]研究成果,将异质型创业领导嵌入授权归为以下3个不同维度,进一步研究其对团队簇个体绩效的影响:①嵌入结构授权,关注与领导策略及环境导向相关的行为授权;②嵌入心理授权,关注与角色认同及有效性传递相关的行为授权;③嵌入认知授权,关注与自我效能及绩效控制相关的行为授权。
不管是内部比较优势导向异质性创业领导还是外部战略价值导向异质性创业领导,都无法忽视多样化、多层次及多策略的嵌入授权管理模式。嵌入授权管理方式有利于个体管理自身目标、提升自身技能、增强自信心以及强化内在动机。具体而言:①结构授权。异质型创业领导通过嵌入结构授权在工作环境中增加个体信息与资源获取途径、对部分有能力的成员实施放权,提高成员在工作开展过程中的创业自主性[25];②心理授权。异质型创业领导通过嵌入心理授权让成员个体感知到自我效能、自我工作影响力、工作意义及工作自主性,从而增强成员内在工作动机[26];③认知授权。异质型创业领导通过嵌入认知授权赋予成员内部人身份感知进而促进其组织公民行为,从而增强其凝聚力与认同感[27]。整体而言,由于创业型领导异质性会导致领导本身采取不同嵌入授权方式,对于团队簇内外环境的关注、成员个体角色有效性、自我效能与绩效控制往往都是不同的,这会带来差异化的嵌入授权管理效果。
嵌入授权对团队簇个体绩效的影响,主要体现在异质型创业领导通过授予团队簇个体完成工作权力、向个体委派任务、增强成员自我效能感、增加内在任务动机以支持成员个体工作、肯定成员个体价值,进而促使个体实现并提升自身绩效信心,从而实现提升团队簇个体绩效的目的[28]。具体而言:①结构授权。异质型创业领导授予个体完成工作必要的知识、信息与权力,个体在此过程中实现自身知识、技能与能力提升以及组织承诺提升,因此有利于团队簇个体绩效提升;②心理授权。异质性创业领导通过让个体感知到自身工作价值与工作意义,增强个体信心,最大程度上释放个体潜能,保障创新氛围,因此对团队簇个体绩效提升具有促进作用;③认知授权。团队簇中获得认知授权的个体拥有较高的团队认同感,对于自身身份角色有明确清晰的界定与了解,对完成团队既定个体绩效具有使命感与责任感,因此是完成与提升个体绩效的重要保证。总体而言,异质型创业领导通过对团队簇个体的嵌入授权,一方面能够提高成员自我控制感,提升其对工作环境的适应性和接受性,增强工作动机,释放个体潜能以提高自身绩效;另一方面,异质型创业领导通过嵌入授权管理模式,能够最小化管理层级障碍,加快团队簇反应速度,增强个体灵活性与工作效率,进而提升个体绩效。因此,嵌入授权在创业型领导异质性与团队簇个体绩效间极有可能具有中介作用。由于授权行为多存在于组织内部[23],故其中介作用在内部比较优势导向异质性创业领导与个体绩效之间的影响作用较大,对外部战略价值导向异质性创业领导与个体绩效虽然也有间接影响,但这种影响并不强烈。笔者查阅大量文献后发现,现有研究并未对创业领导异质性风格与个体绩效影响关系区分3种授权进行探讨。因此,本研究对内部比较优势导向异质性创业型领导在不同授权行为下产生的个体绩效影响进行强弱分析。由此,本研究提出以下假设:
H3:嵌入授权(结构授权、心理授权和认知授权)在外部战略价值导向异质性与团队簇个体绩效关系中具有跨层次中介作用。
H4a:嵌入结构授权在内部比较优势导向异质性与团队簇个体绩效关系中具有中等跨层次中介作用;
H4b:嵌入心理授权在内部比较优势导向异质性与团队簇个体绩效关系中具有强跨层次中介作用;
H4c:嵌入认知授权在内部比较优势导向异质性与团队簇个体绩效关系中具有弱跨层次中介作用。
团队簇个体间能力互信是合作顺利进行的前提,个体间只有精诚合作,才能共同提升绩效,因此能力互信是个体绩效提升的关键[29、30]。团队簇社会化创新创业主体由精英“小众”转变为泛社区“大众”,多样化团队内个体和多元化团队间合作主体具有灵活的成员关系,通过资源优势、合作情景和能力高低等形成协作信任关系,从而实现绩效提升(Rankhumise, 2011)。目前,学者研究大多集中在能力互信自我意愿与采取的相应措施等方面[31],而对于能力互信氛围功能作用的研究却比较罕见。要使能力互信行为在良好环境下进行,能力互信氛围起着至关重要的作用,其氛围好坏直接影响互信双方合作效果。能力互信与团队簇氛围两者结合能产生能力互信氛围概念,其往往被理解为团队簇内能力互信被团队簇内个体感知的程度,主要表现为以能力互信为纽带的团队簇内个体间关系[32]。
异质型创业领导通过对团队簇个体嵌入结构、心理与认知授权,赋予个体完成工作所需资源、技能及控制权,肯定个体工作价值与自我效能,给团队簇参与个体带来有利于绩效提升的个体—领导间信任。然而,“个体—个体”间信任是由团队簇参与个体掌握并建立的,团队簇参与个体间信任通常都会提升个体绩效,而团队簇能力互信氛围往往影响团队簇参与个体间的信任[32]。团队簇能力互信氛围主要分为两种:①资源观导向的内生信任氛围强调依据工作胜任力、诚信度及责任感等理性成分总结的信任条件,是对被信任方能力和可靠性的认知判断,此类信任直接影响个体间合作意愿强弱程度。信任程度越高,个体间达成前期合作的可能性越大;②价值创造导向外延信任氛围,强调依据相互间感情与关系强弱总结的情感信任。产生于被信任方的关心和关注水平,信任程度越高,对关系依赖程度也越大,个体间达成合作的可能性也就越高。Brahm[33]认为,团队个体间只有在相互信任基础上的合作才是有效合作,异质型创业领导拥有的嵌入结构、心理与认知授权管理优势才会在团队簇个体绩效提升过程中被充分发挥与利用。进而可以判定能力互信氛围在异质性创业领导嵌入授权(结构授权、心理授权和认知授权)和团队簇个体绩效中起调节作用,其进一步会影响中介路径。总体而言,能力互信氛围越浓厚,内在管理机制——嵌入授权产生的效用也越大。相反,能力互信氛围越薄弱,创业领导异质性通过嵌入授权对团队簇个体绩效产生的影响越小,嵌入授权的中介作用也越小。因此,本研究提出以下假设:
H5:能力互信氛围负向调节内部比较优势导向异质型、嵌入授权(结构授权、心理授权和认知授权)对团队簇个体绩效的影响。
H6:能力互信氛围正向调节外部战略价值导向异质型、嵌入授权(结构授权、心理授权和认知授权)对团队簇个体绩效的影响。
本研究引入创业领导嵌入授权这一中介变量,目的是反映创业领导异质性拥有的嵌入授权管理方法所具有的优势。创业领导异质性对团队簇个体绩效的影响是错综复杂的[34],绝非仅有嵌入授权这条单一路径。经验管理、沟通与向心力等异质性创业领导所具有的能力行为都会对团队簇个体绩效产生影响,同时团队簇能力互信氛围也会调节这些中介变量。Berson等学者(2010)也指出,创业领导异质性会使团队簇拥有不同领导风格以及丰富的管理经验优势,并且能够减少异质性伴随的工作方式冲突、降低工作目标偏差。鉴于此,本研究针对创业领导异质性对团队簇个体绩效总效应中团队簇能力互信氛围是否充当调节变量进行分析。
本研究采取多地分层随机方式收集数据。首先,通过文献回顾和对云南省各大众创空间内创业团队进行个人调研访谈,结合上海、杭州、常州、苏州多地众创空间总结报告,确定变量概念和维度;其次,参考已有成熟量表并完善本研究问卷题项,选择性加入与本研究目标相关的关键词;再次,于2016年7-12月进行两次小型访谈会,以检验题项内容的适用性和合理性,第一次访谈邀请来自云南、杭州、常州的11位创业者填写问卷,对难以理解和稍具歧义的题项进行修改,第二次访谈采取专家访谈形式,讨论研究修改后的问卷是否能够达到研究目的,对题项稍作调整;最后,2017年2-4月,对云南、杭州、常州和苏州样本团队进行问卷预测,问卷填写对象为团队中合伙参与人员。根据147份有效问卷对各变量测量题项进行细致分析,删除在分析中信度和效度未达标的题项,最终形成本研究调查问卷。测项统一用Likert5级量表,其中“1~5”表示从完全不符合到完全符合。
从2017年7-9月,数据收集时间历时3个月。样本抽样方式为分层随机抽样,从备案的云南省众创空间中提取31家建设情况,调研获取上海12家、杭州8家、常州7家及苏州11家众创空间,调查对象涵盖消防业、制造业、IT业及房地产业等行业。本研究共调查5个地区69个众创空间322个团队,共发放问卷630份,回收有效问卷460份,有效问卷回收率为73.02%。其中,有2个众创空间成立时间不到3个月,而由其服务的18个众创团队尚未正式开展工作,为保证研究可靠性,删除这18个团队的52份问卷,因此最终收集67个众创空间408份问卷。其中,接近一半的团队簇(众创空间)规模在24人以下,规模最大的为47人,最小的为12人。样本基本情况见表1。
表1 调查样本统计特征(N=408)

(1)异质型创业领导。根据众创团队簇创业领导关注的创新创业合作范式差异性,本研究将异质型创业领导分为内部比较优势导向创业型领导和外部战略价值导向创业型领导,并且根据Gupta等[1]、Covin & Slevin(2001)以及Ensley等(2002)的研究,内部比较优势导向创业型领导包括4个题项,分别为:LI1我认为领导者非常注重内部资源交换;LI2我认为领导者重视利益协调;LI3我认为领导者忽视个体心理感受;LI4我认为领导者会引导鼓励成员相互信任、合作。参考Gupta等[1]和Carter等[35]的研究,外部战略价值导向创业型领导包括4个题项,分别为:LE1我认为领导者重视创新创业机会;LE2我认为领导者会培育个体创新能力以提升绩效;LE3我认为领导者具有远景概念化能力以应对环境不确定性;LE4我认为领导者会构建挑战来鼓励成员积极应对现状。
(2)嵌入授权。本研究从众创团队簇异质型创业领导对个体不同领导方式划分嵌入授权不同类型。结构授权参考Seibert等(2004)的量表,结合众创团队簇异质性创业领导特征,包括4个题项:AS1我的领导帮助我了解怎样将个人目标与公司目标结合起来;AS2我的领导为我提供完成工作所需信息与途径;AS3我的领导赋予我完成工作的自主权;AS4我的领导使我的能力和知识都有了大幅提升。心理授权参考李超平等(2006)的量表,包括4个题项:AP1我的工作对我个人和团队而言很有意义且很有价值;AP2我很肯定自己的能力,可以完成我的工作;AP3我对本部门工作有很大的影响力;AP4我有很大的自主权决定怎样完成我的工作。认知授权参考韦慧民等[27]的研究内容,成员嵌入认知授权关键维度与因素包括4个题项:AC1我非常明确自己在团队中的身份;AC2我对团队有强烈的认同感;AC3我有自信有能力完成我的工作;AC4我对于完成自己的工作有着强烈的责任感与使命感。
(3)能力互信氛围。参考Ko[29]、Wildman等[31]的研究成果,本研究将能力互信氛围划分为资源观导向的内生信任氛围和价值观导向的外延信任氛围两个维度。资源观导向内生信任氛围包括:TI1我根据对方工作胜任力决定是否和他合作;TI2我根据对方诚信度决定是否和他合作;TI3我根据对方责任感决定是否和他合作。价值观导向的外延信任氛围包括:TE1我根据对方和我关系的亲疏决定是否和他合作;TE2我更愿意与自己在人际关系中投入更多感情的成员合作;TE3由我个人原因致使工作进展困难时,我可以依靠我的团队成员顺利完成工作。
(4)团队簇个体绩效。参考Lovelace(1996)、Romjin & Albaladejo(2006)的研究,团队簇个体绩效包括4个主要题项:PI1在团队中,我的工作能达到预期目标;PI2在团队中,我会积极解决工作中出现的问题;PI3我会积极接受富有挑战性的工作;PI4我的工作质量保持很高的水准。
问卷信度分析结果见表2,8个研究潜变量Cronbach's α 值均大于0.7,且均在0.824~0.923之间,反映了较好的数据内部一致性,该调查问卷信度较高。因子分析法用于检验本研究聚合效度。由表2可以看出,7个变量的KMO值均大于0.7,且因子载荷都大于0.5,反映出该问卷聚合效度显著。
表2 信度与效度分析结果(N=408)

各变量均值、标准差及相关系数以及各变量间相关分析结果见表3。
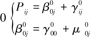
(1)构建零模型,见式(1),计算组内、组间方差。
模型![]()
(1)
式(1)中,P表示个体绩效,从零模型分析结果(见表4)可知,团队簇成员个体绩效组间方差τ00为0.776,组内方差δ2为1.178。跨级相关系数ICC1=0.397,表明有39.7%的个体绩效总变异是由团队水平变异解释的。ICC2=0.943,符合JAMES[36]研究得出的检测标准,因此可当作因变量展开跨层次分析。
表4 零模型分析结果

(2)构建模型1,见式(2),进行创业型领导异质性对团队簇个体创新绩效的跨层次直接效应检验。
模型
(2)
表3 各变量均值、标准差与变量间相关系数(N=417)

注:***、**、*分别表示P<0.01、P<0.05、P<0.1,下同
式(2)中,E表示外部战略价值导向异质性,I表示内部比较优势导向异质性,T表示团队规模。从分析结果中可以得出如下结论:内部比较优势导向异质性与个体绩效呈负相关关系但并不显著
外部战略价值导向异质性与个体绩效呈正相关关系且显著
内部比较优势导向异质性平方与个体绩效呈显著负相关关系
外部战略价值导向异质性平方与个体绩效呈负相关关系但并不显著
因此假设H1a不成立,假设H1b、H2a成立,假设H2b不成立,具体结果见表5。图1和图2反映了创业型领导异质性与团队簇个体创新绩效的关系。从中可见,内部比较优势导向异质性对团队簇个体绩效总效应主要呈倒U型关系,并具有负相关趋势;外部战略价值导向异质性对个体绩效总效应具有一定的倒U型趋势并且正相关。
本研究运用Baron等[37]提出的三步法对中介变量进行检验。由于近期学者研究中对于“自变量与因变量关系显著是三步法前提条件之一”这一假设产生了不同意见,并且方杰等学者(2012)建议不将自变量与因变量显著关系当作中介效应检验的前提条件,因此为

图1 内部比较优势导向异质性与个体绩效关系

图2 外部战略价值导向异质性与个体绩效关系
表5 多层次线性模型分析法

保证本研究具有较高的统计效力,根据RMediation方法[38]对中介效应进行估计。
(1)建立模型2,见式(3),对自变量与中间变量间关系进行检验。
模型
(3)
式(3)中,S为结构授权,P为心理授权,C为认知授权。模型分析结果表明,考虑控制变量团队规模时,内部比较优势导向异质性与结构授权
心理授权
和认知授权
均显著正相关,外部战略价值导向异质性与结构授权
心理授权
和认知授权
均显著正相关。
(2)建立模型3,见式(4),对中介变量于因变量的跨层次直接效应进行检验。
模型
由模型3可知,结构授权
心理授权
和认知授权
均显著正相关于各自的个体绩效。
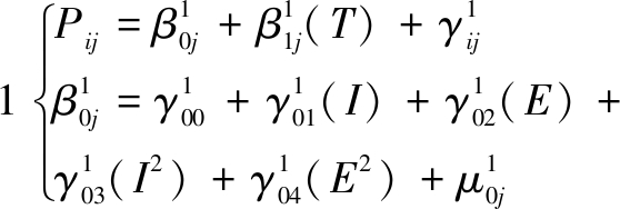
(3)建立模型4,见式(5),对跨层次中介效应进行检验。
模型
(5)
模型1较之于模型4,嵌入授权担当中介变量时,外部战略价值导向异质性对个体绩效的直接影响为
内部比较优势导向异质性对个体绩效的直接影响为
这反映出创业型领导异质性中去除嵌入授权优势外,内部比较优势导向异质性更加负作用于个体绩效,外部战略价值导向异质性对个体绩效的正向影响也变小。
与模型1相比,外部战略价值导向异质性和个体绩效的直接关系在加入中介变量后
并没有比忽略中介变量时更加显著,反而有所降低。根据BARON等所提方法,这反映出嵌入授权在外部战略价值导向与个体绩效间存在部分中介调节功能:外部战略价值导向异质性增加并丰富了嵌入授权,从而提高了团队簇个体绩效,所以外部战略价值导向异质性有利于提高个体绩效。由此,假设H3成立。
与模型1相比,内部比较优势导向异质性与个体绩效的直接关系在加入中介变量后,从之前不显著关系
变为显著负相关。内部比较优势导向异质性显著正相关于嵌入授权
且嵌入授权与创新绩效也显著正相关
这表明在内部比较优势导向异质性与个体绩效中间,嵌入授权起着中介调节效应,且其调节效应强弱排名为:
故假设H4a、H4b、H4c成立。
当调节变量为能力互信氛围时,对能力互信氛围的调节效应进行检验,构建模型5,见式(6)。
模型
(6)
式(6)中,A表示能力互信氛围。模型5结果反映,能力互信氛围对结构授权
心理授权
和认知授权
与个体绩效间关系起到调节效应。
以上分析表明,嵌入授权在异质性与个体绩效间起中介作用,而在嵌入授权与团队簇个体绩效中起到调节作用的则是能力互信氛围。因此,本研究认为能力互信氛围强弱程度决定了嵌入授权中介调节作用大小。因此,构建模型6,对被调节的中介效应进行检验,见式(7)。
模型6
(7)
能力互信氛围进入模型6后,结构授权
心理授权
和认知授权
的调节作用依然十分显著,能力互信氛围作为中介变量的中介效应
也仍然明显,具体分析结果见表5。由此,假设H5和H6成立。
(1)创业型领导异质性对个体绩效具有影响作用。不同于文献[17]与文献[18]并未明确内部比较优势导向异质性对于个体绩效的积极作用,本研究借助线性与非线性关系研究得出与以往专家不一致的结论。根据线性关系假设,团队簇个体绩效并未直接受内部比较优势导向异质性的影响,可见对个体绩效产生作用的并不只是内部比较优势导向异质性;根据非线性关系假设,内部比较优势导向异质性于个体绩效总的作用效应呈U型关系,说明在团队簇管理中,较弱的内部比较优势导向异质性更为合适。与文献[15]、文献[16]观点一致,本研究认为外部战略价值导向异质性有利于个体绩效提升。本研究加入线性关系原理研究得出对于外部战略价值导向异质性影响个体绩效更具针对性的结论:外部战略价值导向对团队簇个体绩效总效应表现出较明显的线性增强作用,不仅扩大了资源共享范围和深度,而且通过外部合作增量促进了团队个体绩效提升。这是因为,外部战略价值创业型领导具有及时有效响应不确定性创业环境、概念化创新创业前景与认知创新创业模式3种能力来吸收环境不确定性,并能够在角色重构与交换基础上做出与之相匹配的“内外兼修”型策略,从而有利于团队簇个体绩效提升。
(2)嵌入授权在创业型领导异质性与个体绩效间具有中介作用。不同于文献[23]、文献[24]与文献[25]仅分析领导授权对个体绩效的作用,本研究区分了不同嵌入授权在内部比较优势导向与外部战略价值导向两类异质性领导风格下对个体绩效的不同影响作用。异质型创业领导有不同的领导方式,具有多样化授权模式,包括结构授权、心理授权和认知授权。异质型创业领导通过授予团队簇个体完成工作的权力、互动、空间、情绪感知,提高个体实现并提高自身绩效信心,从而达到提升团队簇个体绩效的目的。在加入中介变量后,内部比较优势导向异质性同时包括个体绩效优劣势。其中一个重要优势就是增加了成员个体对工作掌控的自主性进而促进个体绩效提升,除此以外,内部比较优势导向异质性劣势(负面影响个体绩效)更加明显。
(3)能力互信氛围具有调节作用。本研究与文献[27]、文献[28]观点一致,认为能力互信意愿与行为能够有效提高团队簇个体绩效。然而,本研究从整体组织氛围视角出发,研究得出能力互信氛围是能力互信行为产生的必要环境且其强弱程度显著影响基于能力互信行为的合作效果。只有在团队簇个体之间能力互信前提下,个体之间才会精诚合作,才能在求同存异的基础上共同提升绩效。具体来说,团队簇个体依据工作胜任力、诚信度及责任感等理性成分以及相互间感情与关系强弱总结等感性成分决定是否信任对方进而展开更好的合作以提升绩效。在相互信任情况下,嵌入授权的作用得到充分发挥,嵌入授权这一管理模式也能够更好地为异质型创业运用,进而嵌入授权行为与团队簇个体绩效关系就越显著。
(1)关注创新创业交互属性与嵌入授权行为交互管理特点,有效应对差异化情景下嵌入授权不同侧重点所关联的双创属性交互需要。①关注团队簇创业短期维持生存发展需要,重点嵌入结构授权以响应团队簇的创业属性,通过实施更多结构授权赋予成员导向性显著的工作自主权、信息资源可获得渠道和自我效能提升,促使初创组织灵活调节创业策略、资源配置导向及内部成员流动结构,积极响应外部环境变化,最终提升个体和团队绩效;②关注团队簇创新环境不确定性与合作关系管理特点,重点嵌入心理授权响应团队簇创新属性,通过心理授权肯定团队簇个体工作动机、增强个体间心理依赖、拓展非正式组织影响,进而积极转变团队簇个体存在的与探索、尝试和冒险等内在情绪相关的负面效应,使团队簇个体乐于创新、敢于创新、勤于创新,最终达成超出预期的个体和团队绩效;③关注团队簇发展转型中面临的创新与创业理念、路径与方法冲突,重点嵌入认知授权以响应团队簇创新创业交互属性与选择策略,通过充分暴露与反馈合作偏差或问题,开创内外部成员身份感知、角色重构与组织公民行为偏好调整新格局,在团队簇实现兼容并包核心协作理念认知原则的基础上,形成有利于组织竞争力转换和个体自我实现的组织价值认同感感,最终创造出具有“反脆弱”优势的个体与团队绩效关系。
(2)明确异质型领导类型与能力互信氛围作用导向差异,理顺异质型创业领导对个体绩效相机变化特征及其匹配于能力互信氛围的调节办法。共享经济与众创背景下,由于个体绩效高低不再仅与个人专业能力相关,而是更多取决于个体层面自我管理能力、冒险精神与团队归属感。因此,团队簇异质型创业领导类型与能力互信氛围匹配关系对于增强个体绩效及其感知能力至关重要。一方面,匹配于外部战略价值导向的异质型创业领导,应注重团队簇内部个体工作胜任力、责任感的内生信任氛围与外部创新资源整合、外部创新主体协同合作动机互动,弥补其对于内部创业资源关注的不足,在满足资源观导向内生信任氛围对个体信任基础、可靠性等取舍偏好的基础上,最终塑造开放式创新导向下个体绩效富集与团队绩效传递的良性互动氛围。另一方面,匹配于内部比较优势导向的异质型创业领导,应关注团队簇内部个体资源交换与利益协调的外延信任管理特质,通过引导和归化由情感强弱、关系紧密程度自发形成的外延价值信任氛围,使团队簇参与各方均能接受“核心人才不等于专业能力强成员”的思维方式,在不断增强个人绩效目标、过程与有效性关联(基于近似于英特尔首创的“目标与关键成果法方法”)的基础上,最终打造出近似于无边界组织的有益于培育价值创造导向外延信任氛围的“个体-团队”绩效良性互动氛围。
对比相关研究成果,本研究存在以下局限:①采用便利抽样方法收集众创团队簇数据,理论稳健性与普遍性受到一定程度影响,同时研究过程考虑到成本和便捷因素,仅采用横截面数据,需谨慎推断其因果关系,以尽量避免出现逻辑问题,后续研究需增加样本收集数量、完善相关量表内容;②由于现有研究缺少对创业领导异质性风格与个体绩效影响关系区分3种授权的研究,因此本研究对内部比较优势导向异质性创业型领导在不同授权行为下产生的个体绩效影响进行不同程度研究,而碍于篇幅原因未对3种不同授权影响外部战略价值导向异质性创业型领导与个体绩效作用关系展开讨论,后续研究可对外部战略价值导向异质性创业型领导在不同授权行为下产生的个体绩效影响展开面向不同强弱程度的深入研究;③研究模型还不够完善,变量对于异质性与个体绩效关系影响机制考虑存在片面性,实际研究中异质性与个体绩效间关系也可能受合作策略价值观、冲突结构等变量的影响,后续研究应引入其它中介变量与调节变量探讨异质性对个体绩效的影响过程与作用机理,从而开展进一步研究。
参考文献:
[1] GUPTA V, MACMILLAN I C, SURIE G.Entrepreneurial leadership: developing and measuring a cross-cultural construct[J].Journal of Business Venturing, 2004, 19(2): 241-260.
[2] DIONNE S D, GUPTA A, SOTAK K L, et al.A 25-year perspective on levels of analysis in leadership research[J].The Leadership Quarterly, 2014, 25(1): 6-35.
[3] RUVIO A,ROSENBLATT Z,HERTZ-LAZAROWITZ R.Entrepreneurial leadership vision in nonprofit vs.for-profit organizations[J].The Leadership Quarterly, 2010, 21(1): 144-158.
[4] ZAHRA S A, COVIN J G.Business strategy, technology policy and firm performance[J].Strategic Management Journal, 2010, 14(6): 451-478.
[5] KHAN S, ASGHAR M, ZAHEER A.Influence of leadership style on employee job satisfaction and firm financial performance: a study of banking sector in islamabad, Pakistan[J].Actual Problems of Economics, 2014, 155(5):374-384.
[6] SUN L Y, ZHANG Z, QI J, et al.Empowerment and creativity: a cross-level investigation[J].Leadership Quarterly, 2012, 23(1):55-65.
[7] RN C A W.Authentic leadership, performance, and job satisfaction: the mediating role of empowerment[J].Journal of Advanced Nursing, 2013, 69(4):947-59.
[8] NEU W A.Social cues of (un)trustworthy team members[J].Journal of Marketing Education, 2015, 37(1):36-53.
[9] FINK M, KESSLER A.Cooperation, trust and performance-empirical results from three countries[J].British Journal of Management, 2010, 21(2):469-483.
[10] 许成磊, 王鼎, 段万春.创业团队簇协同复杂性及关键界面识别[J].科技进步与对策, 2017, 34(5): 148-155.
[11] 王辉, 武朝艳, 张燕,等.领导授权赋能行为的维度确认与测量[J].心理学报, 2008, 40(12):1297-1305.
[12] CHIANG C F, HSIEH T S.The impacts of perceived organizational support and psychological empowerment on job performance: the mediating effects of organizational citizenship behavior[J].International Journal of Hospitality Management, 2012, 31(1):180-190.
[13] WALUMBWA F O, HARTNELL C A, OKE A.Servant leadership, procedural justice climate, service climate, employee attitudes, and organizational citizenship behavior: a cross-level investigation[J].Journal of Applied Psychology, 2010, 95(3):517-29.
[14] KANSIKAS J, LAAKKONEN A, SARPO V, et al.Entrepreneurial leadership and familiness as resources for strategic entrepreneurship[J].International Journal of Entrepreneurial Behavior & Research, 2012, 18(2):141-158.
[15] RENKO M, KROECK K G, BULLOUGH A.Expectancy theory and nascent entrepreneurship[J].Small Business Economics, 2012, 39(3): 667-684.
[16] YANNEY J P.Business strategy and leadership style: impact on organizational performance in the manufacturing sector of ghana[J].American Journal of Industrial & Business Management, 2014, 4(12):767-775.
[17] JORDAN L, THATCHENKERY T.Leadership decision-making strategies using appreciative inquiry: a case study[J].International Journal of Globalisation & Small Business, 2011, 4(2):178-190.
[18] 李绍龙, 龙立荣, 朱思.领导差异化授权对团队绩效的影响及其作用机制研究[J].管理学报, 2017, 14(7): 1006-1014.
[19] 胡望斌, 张玉利, 杨俊.同质性还是异质性:创业导向对技术创业团队与新企业绩效关系的调节作用研究[J].管理世界, 2014(6):92-109.
[20] RENKO M, TARABISHY A E, CARSRUD A L, et al.Understanding and measuring entrepreneurial leadership style[J].Journal of Small Business Management, 2015, 53(1):54-74.
[21] DIJKE M V, CREMER D D, MAYER D M, et al.When does procedural fairness promote organizational citizenship behavior? integrating empowering leadership types in relational justice models[J].Organizational Behavior & Human Decision Processes, 2012, 117(2):235-248.
[22] 李绍龙, 龙立荣, 朱思.领导差异化授权对团队绩效的影响及其作用机制研究[J].管理学报, 2017, 14(7):1006-1014.
[23] ANDERS DYSVIK, BARD KUVAAS.Intrinsic motivation as a moderator on the relationship between perceived job autonomy and work performance[J].European Journal of Work & Organizational Psychology, 2011, 20(3):367-387.
[24] 张好雨, 王辉, 郭理,等.领导权力分享、组织自尊和员工工作表现:内部人身份感知的调节作用[J].经济科学, 2016(2):118-128.
[25] 巩振兴, 张剑.组织的结构授权与心理授权[J].理论与改革, 2015(2):29-32.
[26] CHIANG C F, HSIEH T S.The impacts of perceived organizational support and psychological empowerment on job performance: the mediating effects of organizational citizenship behavior[J].International Journal of Hospitality Management, 2012, 31(1):180-190.
[27] 韦慧民, 龙立荣.认知与情感信任、权力距离感和制度控制对领导授权行为的影响研究[J].管理工程学报, 2011, 25(1):10-17.
[28] 林晓敏, 林琳, 王永丽,等.授权型领导与团队绩效: 交互记忆系统的中介作用[J].管理评论, 2014, 26(1):78-87.
[29] KO D G.The mediating role of knowledge transfer and the effects of client-consultant mutual trust on the performance of enterprise implementation projects[J].Information & Management, 2014, 51(5):541-550.
[30] 苏涛, 陈春花, 崔小雨,等.信任之下,其效何如——来自Meta分析的证据[J].南开管理评论, 2017, 20(4):179-192.
[31] WILDMAN J L, SHUFFLER M L, LAZZARA E H, et al.Trust development in swift starting action teams: a multilevel framework[J].Group & Organization Management An International Journal, 2012, 37(2):137-170.
[32] BRAHM T, KUNZE F.The role of trust climate in virtual teams[J].Journal of Managerial Psychology, 2012, 27(6):595-614.
[33] BALLIET D, VAN LANGE P A M.Trust, conflict, and cooperation: a meta-analysis.[J].Psychological Bulletin, 2015, 139(5):1090-1112.
[34] MORHART F M, HERZOG W, TOMCZAK T.Turning employees into brand champions: leadership style makes a difference[J].Gfk Marketing Intelligence Review, 2011, 3(2):34-43.
[35] CARTER S M, GREER C R.Strategic leadership: values, styles, and organizational performance[J].Journal of Leadership & Organizational Studies, 2013, 20(4):375-393.
[36] JAMES L R.Aggregation bias in estimates of perceptual agreement[J].Journal of Applied Psychology, 1982, 67(2):219-229.
[37] BARON R M,KENNY D A.The moderator-mediator variable distinction in social psychological research: conceptual, strategic, and statistical considerations[J].Journal of Personality and Social Psychology, 1986,51(6), 1173-1182.
[38] TOFIGHI D,MACKINNON D P.R mediation: an R package for mediation analysis confidence intervals[J].Behavior Research Methods, 2011, 43(3):692-700.
(责任编辑:王敬敏)