美国发布太空对地观测战略,日本提出综合创新战略,法国宣布人工智能战略,欧盟即将出台空间量子技术发展战略,颠覆性技术创新潮流正席卷全球。近年来,我国越来越多的高新技术产业在国际竞争中实现了领跑与并跑。然而,2018年7月6日美国对中国实施的贸易战[1],让更多人清醒地意识到发展科技和尊重人才对实现中华民族伟大复兴的重要性。值得注意的是,美国对中国加征关税的领域并非传统中低端制造业,而是《中国制造2025》计划重点发展的航空航天、新能源汽车、新材料等高科技领域。当前,全球产业结构正在由“工业型经济”向“服务型经济”加速转型[2],现代服务业发展日新月异。作为科技强国建设的重要支撑产业,科学研究和技术服务业(以下简称“科技服务业”)已然成为中国高质量发展的重要科技创新引擎,是当今世界发展最快、最活跃的产业之一[3],需要大量资金支持其创新活动。小微企业融资难、融资贵等问题长期存在,虽然央行多次下调部分金融机构存款准备金率以助推实体经济发展,但是中小企业更迫切需要稳定可靠的融资平台实现价值流转。作为我国多层次资本市场的重要组成部分,新三板市场为众多科技型中小企业开辟了融资通道。然而,由于诸多限制,新三板市场在融资功能、基础制度、市场监管和投资者合法权益保护等方面均存在问题,乃至陷入发展瓶颈[4],“挂不起、卖不掉、融不到”成为新三板挂牌企业的难言之隐。2018年,新三板市场更是迎来了退市大潮,3—10月挂牌公司持续流失,累计负增长达738家。
近年来,不少学者聚焦于融资效率,探讨企业融资活动效能与效果。沈忱[5]通过测算101家新三板企业融资效率,提出合理规划投入产出、提高资金使用效率、扩充融资渠道等建议;王维等[6]测算1 087家信息技术企业融资效率后,提出优化企业管理、促进产业协同、统筹区域发展、加快转板研制等建议;袁卓苗等[7]测算76家中小微企业融资效率后,提出健全新三板市场机制、增强企业外部资金吸纳能力、建立关系型贷款等建议;何玉梅等[8]测算18家军民融合企业,提出提升科技创新能力、加强资金管理能力等建议。上述研究针对企业融资效率提出了不少建议,但受限于研究背景和观测样本,仍然存在以下不足:一方面,对人力资本投入关注较少,同时也缺乏针对新三板科技服务企业的深入研究;另一方面,往往忽略了企业财务风险分析。截至2018年10月31日,新三板挂牌公司数量为10 892家、总股本达6 395.65亿股(其中,流通3 549.40亿股),随着新三板市场的蓬勃发展,融资与管理问题亟待正视和解决。本研究在证监会明确2018年将不断深化新三板改革背景下[9],从细分行业、归属地区、所属分层、转让方式等多维视角,针对新三板科技服务企业融资效率和财务风险进行比较研究,旨在为深化新三板市场改革、促进科技服务企业可持续成长提供政策依据和决策参考。
科技服务业处于产业链上端,具有高端、高技术、高附加值等特点,对传统产业转型升级具有强大的引领、带动作用,是推动经济向中高端水平迈进不可或缺的一环。然而,科技服务企业自主创新能力薄弱、高端服务人才短缺现象依旧存在,融资问题更是在很大程度上制约着科技服务产业进步和行业发展。此外,受区位、制度和政策影响,不同行业、不同地区、不同资本市场发展情况也存在较大差异。
美国按照机构主体性质将科技服务企业分为官方、联盟协会、科技园、专业机构、大学5种类型[10],新加坡分为研究所、大学、科技园3种类型[11],日本分为政府、民间、咨询机构、科技园、技术市场5种类型[12]。韩鲁南等[13]综合比较联合国、欧洲、美洲、亚洲主要国家科技服务业划分标准并归纳了“国外科技服务业≈中国科技服务业+商务服务业-科技推广和应用服务业”的关系。然而,科技服务业概念和分类尚未在发达国家中形成共识(魏江等,2007)。我国政府十分重视科技服务业,1994年版国民经济行业分类标准中已经包含技术推广和科技交流服务业(N937)及工程设计业(N938),分别相当于2013年版M75大类和M748小类[14]。据证监会2012年修订的《上市公司行业分类指引》[15]和2018年二季度公布的上市公司行业分类结果,科技服务业包括研究和试验发展业(M73)、专业技术服务业(M74)、科技推广和应用服务业(M75)3个大类。
随着信息大数据、云经济技术迅猛发展,传统科技服务产业价值创造模式受到冲击[16],科技服务企业有必要追逐时代、转型升级。近年来,我国政府积极实施西部开发、东北振兴、中部崛起、东部率先、港澳台同内地紧密相连等国内发展战略,但是不平衡的地区经济发展水平制约了部分科技服务企业发展。据国家统计局统计[17],2015年,北京地区科学技术支出占地方一般公共预算支出的比例约为5%,是所有地区中投入最高的,而部分偏远地区数据不足其一半。科技服务企业既得不到有效融资,又得不到政府扶持,由此导致局部地区高新技术产业发展陷入恶性循环,不利于区域整体经济稳定增长。
推行分层制度有助于完善多层次资本市场体系[18],全国股权转让中心于2016年6月27日正式对挂牌公司实施分层管理[19],主要从盈利能力、成长性、市场认可程度3个维度进行考量,随后每年对创新层企业进行调整。据定期统计:2016年6月27日,创新层953家,占总挂牌数(7 652家)的12.45%;2017年5月31日,创新层1 393家,占总挂牌数(11 244家)的12.39%;2018年5月28日,创新层940家,占总挂牌数(11 315家)的8.31%。2018年比例有所下降,说明创新层标准提升起到了立竿见影的效果,体现了政府深化新三板市场改革的决心,但是创新层制度仍有待完善,需要优化新三板市场层次结构和融资环境。
股票转让可采取协议、做市、竞价或其它中国证监会批准的转让方式。其中,在2018年1月12日之后取消盘中协议转让交易,改为集合竞价交易,保留盘后和特定事项协议转让方式。做市商制度作为全球创业板市场主流交易制度,由美国纳斯达克(NASDAQ)市场于1971年创立[20],全国股转公司于2014年8月25日实施做市转让方式。做市商制度对股票流动性和证券价值具有正面影响,不应根据新三板市场整体换手率的波动就对做市商制度的作用加以否定[21]。但是,新三板流动性不足,做市商制度未能在促进流动性上充分发挥作用[22]。截至2018年10月31日,做市企业仅为1 130家,占总挂牌数(10 892家)的10.37%。
保持较高融资效率对于科技服务企业高质量发展至关重要,但是,盲目追求效率而忽视财务风险更加危险。在我国实施一带一路倡议、设立亚投行、加大高新技术扶持力度背景下,科技服务企业发展前景广阔。同时,在颠覆性技术创新潮流席卷全球、行业准入限制增多、复合型人才需求上升等新形势下,科技服务企业竞争亦日渐激烈。此外,由于科技服务企业普遍采用撇脂定价法,故其盈利能力和成长性具有较强的不确定性,易滋生财务风险,不利于可持续发展。那么,在新三板市场中,不同行业、不同地区、不同分层、不同转让方式是否对科技服务企业融资效率和财务风险产生影响?本文以问题为导向展开比较研究。
根据我国科技服务企业发展现状,采用三阶段DEA模型、Malmquist指数和F分数模型,分别从细分行业、归属地区、所属分层、转让方式等维度对新三板科技服务企业进行融资效率比较和财务风险评估,并针对新三板退市企业、新四板挂牌企业展开进一步研究。
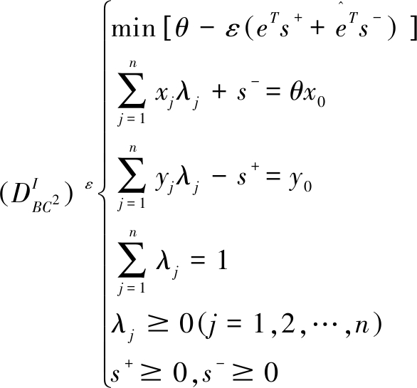
2.1.1 DEA模型
数据包络分析(DEA)是由Charnes&Cooper创建的一个囊括数学、运筹学、数理经济学、管理科学和计算机科学等学科的交叉领域[23],常用于投融资效率研究且近年来仍在不断演化发展[24-25]。本研究采用BC2[26]模型测算融资效率,该模型克服了C2R[27]模型不能单纯评价决策单元技术有效性的缺陷,考虑具有非阿基米德无穷小ε的输入DEA模型如式(1)。

(1)
设
为
的最优解,则有以下充要条件:若θ0<1,则DMU-j0不为弱DEA有效;若θ0=1且
则DMU-j0为DEA有效;若θ0=1且
则DMU-j0仅为弱DEA有效。其中,综合效率(Crste)可进一步细分为以下两种:①纯技术效率(Vrste),表示在既定投入条件下决策单元DMU所能获得的最大产出,受企业管理和技术等因素影响;②规模效率(Scale),反映企业实际规模与最优生产规模的差距。
2.1.2 Tobit模型
Tobit模型由Tobin[28]创立,是一种因变量受限的样本选择模型,一般形式如式(2)。
Yi=β0+βTXi+μi
(2)
式(2)中,Yi为被解释变量,Xi为解释变量,βT为估计的参数向量,μi为随机误差项。根据投入松弛量的拟合值调整初始投入项,可得调整形式如式(3)。
![]()
(3)
式(3)中,
为调整后的投入项,
为环境因素造成的最大影响,
为不同环境对投入产生的差异影响,通过扣除影响差异、剔除环境因素对融资效率的高估,控制所有DMU均处于同一环境,从而能够更加客观准确地测算效率。鉴于DEA模型计算的相对效率值域受限,剔除环境变量并调整投入值更能准确反映新三板企业融资效率[5]。本研究沿用Fried等[29]提出的三阶段DEA模型,在第二阶段构建Tobit模型对环境因素变量进行参数估计并调整投入变量。
2.1.3 Malmquist指数
Malmquist指数由Malmquist[30]创立,Caves等[31]将该指数应用于测算生产函数变化,Färe等[32]将该指数与DEA模型相结合,之后其广泛应用于测算效率。在距离函数
的基础上,则t+1期相对于t期的Malmquist指数
可表示为式(4)和式(5)。

(5)
式(4)中,全要素生产函数(TFPCH)是指总效率变化,技术效率指数(EFFCH)是指技术效率变化,技术进步率(TECHCH)是指生产技术变化或创新程度。式(5)中,注脚v代表变动规模报酬,注脚c代表固定规模报酬;在规模报酬可变的前提下,技术效率指数(EFFCH)根据BC2模型可进一步分解为纯技术效率指数(PECH)和规模效率指数(SECH)。上述数值大于1表示进步,小于1则表示退步。为弥补DEA方法难以实现纵向比较的缺陷,本研究沿用Malmquist指数分析法对2015—2017年融资效率变动值进行测算。
2.1.4 F分数模型
F分数模型由周首华等[33]创立,通过引入现金流量表指标弥补了Z分数模型[34]的不足,是一种基于多变量模式预测企业财务危机的分析方法,较适用于国内企业。此外,在新三板市场中,增发和股权质押行为都可能不同程度上降低挂牌企业运营效率并衍生财务风险[35]。因此,在测算融资效率的同时,还需要对科技服务企业财务风险加以评估。本研究参考相关文献,沿用式(6)。
![]()
(6)
式(6)中,
营运资本(期末)÷总资产
留存收益(期末)÷总资产
总负债
股东权益总市值(期末)÷总负债
总资产(平均)。
其中,“净利润”同原著中“税后纯益”;“折旧”数据来源于现金流量表补充资料;“利息”取非负值。
F分数的临界点为0.027 4,临界点上下0.077 5区域为需进一步分析的不确定区域。当F≤-0.050 1时,说明企业财务状况堪忧,已濒临破产边缘;当F值在0.027 4±0.077 5范围内,即当-0.050 1
提供技术和知识是科技服务企业的主要特征,人力资本和科学技术是科技服务企业的关键生产要素,促进企业人力资源充分发挥作用有利于加速科学服务企业转型升级,从而提供更好的科技服务。然而,人力资本投入和环境影响因素却是现有研究中较少涉及的。正确使用DEA模型和Malmquist指数必须选取符合行业特征的指标。为真实反映科技服务企业在新三板市场融资的效能与效果,本研究借鉴相关文献,在王维等[6]构建的企业融资效率评价体系的基础上,沿用职工薪酬反映企业直接人力投入水平。投入指标主要包括资产负债率、主营业务成本、财务费用、职工薪酬等内容;产出指标主要包括净资产收益率、总资产周转率、收入增长率、利润总额等内容。在环境因素方面,基于企业微观视角,分别从人、财、物3个方面设置员工总数、研发费用和资产总额,并增设经济水平反映宏观环境,最终得到科技服务企业融资效率评价指标体系,如表1所示。
表1 科技服务企业融资效率评价指标体系
指标指标名称指标含义投入指标资产负债率(X1)该指标是指企业总资产中通过举债筹资的比例,也可用于衡量企业在清算时保护债权人利益的程度主营业务成本(X2)该指标是指企业在主营业务相关生产经营过程中产生的实际投入财务费用(X3)该指标反映企业债权融资成本职工薪酬(X4)该指标反映企业除股份支付等间接方式之外的人力投入水平X4=支付给职工以及为职工支付的现金+应付职工薪酬期末()-应付职工薪酬期初()产出指标净资产收益率(Y1)该指标反映公司所有者权益投资回报率Y1=归属母公司股东净利润÷归属母公司股东的权益平均()×100%总资产周转率(Y2)该指标反映企业资本运作与资产管理效率Y2=营业总收入÷资产总额平均()×100%收入增长率(Y3)该指标反映企业盈利能力增长水平Y3=主营业务收入本期()-主营业务收入上期()[]÷主营业务收入上期()×100%利润总额(Y4)该指标反映企业扣除所得税前的经营业绩Y4=营业利润+营业外收入-营业外支出环境因素指标资产总额(Z1)该指标反映企业实际规模大小,是评价融资能力的重要指标之一研发费用(Z2)该指标是指企业进行研究与开发项目过程中发生的费用员工总数(Z3)该指标指企业当年期末员工数量经济水平(Z4)该指标是指企业所在省份当年地区人均生产总值
2.3.1 样本选取
本研究基于证监会公布的2018年二季度上市公司行业分类结果,在新三板市场选取代码为M的科技服务企业作为初始研究样本。其中,剔除2015—2017年存在非标准审计意见的上市公司;剔除数据缺失样本;针对财务指标存在极端值样本进行Winsorize双侧1%缩尾处理,最终得到248家公司,总计744个企业年度观测点。
2.3.2 数据处理
企业财务数据通过全国中小企业股份转让系统NEEQ网站和Wind数据库整理计算得到,宏观数据通过《中国统计年鉴》(2014-2017)和国家统计局STATS网站整理计算得到,个别缺漏数据通过人工在权威网站收集补全,使用软件主要为Excel、DEAP2.1和Stata14.1。考虑到原始数据中不可避免地存在负值与大数,本研究遵循相关文献标准化方法,按式(7)将原始数据Ai,t处理为
从而满足DEA模型的基本要求。
![]()
(7)
式(7)中,
除整数外,原始数据精确到6位小数,测算结果保留3位小数。
针对2015—2017年各项数据完整的248家新三板科技服务企业,先基于三阶段DEA模型测算其融资效率,随后基于F分数模型测算其财务风险,然后从多维视阈进行比较分析。此外,在稳健性检验中,通过缩短或延长观测窗口期替换样本重新开展实证研究,以此验证结果的可靠性程度。
3.1.1 第一阶段DEA
基于式(1)中的DEA模型测算融资效率,结果如表2和表4所示。从表2可以看出:2015—2017年融资效率呈先降后升趋势,主要得益于规模效率;2017年规模效率有效的企业高达93家,纯技术效率对综合效率存在制约作用,加强管理更有助于提升企业融资效率。从表4可以看出,2015年和2016年,大部分企业融资效率处于规模递增阶段;2017年,大部分企业融资效率处于规模递减阶段,说明企业规模对其融资效率的影响程度有所下降。
表2 新三板科技服务企业融资效率两个阶段对比结果(N=248)
Stage综合效率(Crste)2015年2016年2017年纯技术效率(Vrste)2015年2016年2017年规模效率(Scale)2015年2016年2017年1st0.846(31)0.838(24)0.885(40)0.903(51)0.885(47)0.893(50)0.937(31)0.946(27)0.990(93)3rd0.814(33)0.799(23)0.841(27)0.865(41)0.870(37)0.853(41)0.940(34)0.917(24)0.986(74)
注:括号内为达到规模有效的样本个数
3.1.2 第二阶段Tobit
引入表1中的环境因素指标,根据式(2)对第一阶段各投入变量的松弛量进行Tobit回归处理,结果如表3所示。从表3可以看出:各模型对应的LR chi2检验值均在0.05水平上显著,说明模型整体可行性良好;企业资产总额(Z1)与资产负债率(X1)、主营营业成本(X2)、财务费用(X3)的松弛量显著正相关,说明企业资产积累后将扩大负债水平、生产经营、资金运作等方面的投入冗余;研发费用(Z2)对各投入变量的松弛量均无显著影响,说明在提高资源利用率、节约经营成本等方面尚未充分发挥影响作用,可能与整体研发转化效率不高有关;企业员工总数(Z3)与资产负债率(X1)、主营营业成本(X2)、职工薪酬(X4)的松弛量显著正相关,说明随着企业员工规模扩大,人力资源管理难度相应上升,可能造成企业生产经营、治理成本上升;地区经济水平(Z4)与主营营业成本(X2)、财务费用(X3)的松弛量显著正相关,说明在经济发展水平较高地区,企业生产经营、财务运作压力较大,容易形成投入冗余,可能与更激烈的竞争环境有关。
表3 新三板科技服务企业投入松弛量的Tobit回归结果(N=248)
投入松弛量资产负债率(X1)主营营业成本(X2)财务费用(X3)职工薪酬(X4)资产总额(Z1)-0.260(0.297)0.303∗(0.100)0.434∗∗∗(0.003)0.039(0.823)研发费用(Z2)0.068(0.749)0.153(0.253)-0.064(0.616)0.037(0.660)员工总数(Z3)-0.364∗(0.055)0.279∗∗(0.023)-0.004(0.974)0.719∗∗∗(0.000)经济水平(Z4)-0.046(0.265)0.135∗(0.099)0.197∗∗(0.049)0.061(0.148)常数项0.028(0.558)-0.487∗∗∗(0.001)-0.351∗∗(0.023)-0.329∗∗∗(0.000)LR chi2(4)9.780∗∗(0.044)30.810∗∗∗(0.000)27.610∗∗∗(0.000)142.610∗∗∗(0.000)
注:***、**、*分别表示在0.01、0.05、0.1(双尾)水平上显著,第2至第9列括号内为p值
3.1.3 第三阶段DEA
根据式(3)剔除环境因素的影响,将投入变量进行调整后重新通过DEA模型测算融资效率,结果如表2、表4、表6所示。从表2和表4可以看出:第一阶段的主要结论在第三阶段并未发生本质改变,融资效率整体依旧呈现先降后升的“V”型发展趋势;调整后融资效率和有效DMU整体有所降低,说明环境因素对于企业实际融资效率具有遮掩效果,第三阶段的结果更为准确。总体来看:科技服务企业纯技术效率小幅下降,从2015年的0.865下降至2017年的0.853;规模效率长足进步,从2015年的0.940上升至2017年的0.986,助力综合效率震荡上升。
表4 新三板科技服务企业规模效率两个阶段对比结果(N=248)
Stage规模递增(irs)2015年2016年2017年规模不变(-)2015年2016年2017年规模递减(drs)2015年2016年2017年1st0.926(211)0.938(199)0.996(35)1.000(31)1.000(28)1.000(93)0.985(6)0.953(21)0.981(120)3rd0.930(208)0.905(211)0.993(45)1.000(34)1.000(24)1.000(82)0.960(6)0.974(13)0.974(121)
注:括号内为规模递增/不变/递减的样本个数,括号外为规模效率的平均值
3.1.4 动态变化Malmquist
为探究样本企业2015—2017年融资效率动态变化情况,基于两阶段融资效率测算结果进行Malmquist指数分析,结果如表5所示。
表5 新三板科技服务企业融资效率Malmquist指数测算结果(N=248)
PeriodEFFCHTECHCHPECHSECHTFPCH2015-2016年0.980(0.987)1.126(1.237)1.005(0.978)0.975(1.009)1.103(1.221)2016-2017年1.052(1.058)1.383(1.402)0.977(1.010)1.077(1.047)1.455(1.483)2015-2017年(AVG)1.015(1.022)1.248(1.317)0.991(0.994)1.024(1.028)1.267(1.346)
注:第2至第6列括号内为一阶段结果,括号外为三阶段结果,AVG取几何平均值
从表5可以看出:总体融资效率(TFPCH)年均增长26%~35%,2017年增幅比2016年更大,呈现加速增长趋势;技术进步率(EFFCH)先小于1后大于1,说明2016年技术退步而2017技术进步至2015年水平;技术效率指数(TECHCH)持续大于1,说明技术效率进步且正在加速增长,其中规模效率指数(SECH)增长作用强于纯技术效率指数(PECH)下降作用。虽然整体效率呈现逐年提升态势,但新三板科技服务企业仍有必要加强自身管理,提升纯技术效率指数。
3.1.5 F分数模型
基于式(6)中的F分数模型测算财务风险,结果如表7所示。248家样本企业的平均值为0.825,说明大多数企业财务状况较好,可以继续生存;同时,也存在一些企业结果不理想,属于“堪忧”类型。对于企业而言,融资只是其生存经营的一个方面,只有控制住财务风险才能确保可持续发展。总体来看,科技服务企业财务状况正在恶化,“堪忧”区间企业从2015年的17家增长至2017年的47家,平均F值从2015年的-1.674下跌至2017年的-1.923。
基于细分行业、归属地区、所属分层、转让方式等维度对样本企业进行分组。基于三阶段DEA模型的融资效率(第三阶段)对比结果如表6所示,基于F分数模型的财务风险对比结果如表7所示。
表6 基于三阶段DEA模型的新三板科技服务企业融资效率对比结果(N=248)
明细综合效率(Crste)2015年2016年2017年纯技术效率(Vrste)2015年2016年2017年规模效率(Scale)2015年2016年2017年研究和试验发展(29)0.850(4)0.817(3)0.896(3)0.904(5)0.914(5)0.909(5)0.939(4)0.894(3)0.986(8)专业技术服务(157)0.806(19)0.794(13)0.833(19)0.855(22)0.857(21)0.846(29)0.941(19)0.925(14)0.984(48)科技推广和应用服务(62)0.818(10)0.802(7)0.835(5)0.871(14)0.881(11)0.842(7)0.938(11)0.909(7)0.991(18)东北地区(7)0.737(1)0.688(0)0.773(1)0.780(1)0.781(0)0.779(1)0.943(1)0.879(0)0.991(2)华北地区(74)0.872(20)0.849(11)0.915(19)0.924(23)0.924(20)0.924(25)0.942(21)0.918(12)0.990(28)华东地区(96)0.813(7)0.803(8)0.844(5)0.867(10)0.877(12)0.856(8)0.937(7)0.916(8)0.986(30)华南地区(34)0.774(1)0.772(2)0.787(1)0.830(2)0.833(2)0.803(2)0.931(1)0.926(2)0.980(10)华中地区(16)0.756(2)0.703(0)0.737(0)0.799(2)0.779(0)0.743(1)0.943(2)0.905(0)0.992(2)西北地区(8)0.821(2)0.822(2)0.824(1)0.839(2)0.864(3)0.848(3)0.976(2)0.948(2)0.975(1)西南地区(13)0.714(0)0.710(0)0.707(0)0.750(1)0.770(0)0.727(1)0.949(0)0.920(0)0.976(1)创新层(31/36/27)0.863(5)0.836(6)0.798(4)0.894(7)0.870(6)0.816(4)0.964(5)0.959(6)0.977(12)基础层(217/212/221)0.808(28)0.793(17)0.846(23)0.861(34)0.870(31)0.857(37)0.937(29)0.910(18)0.987(62)协议转让(205/193/205)0.810(27)0.798(18)0.842(23)0.863(33)0.870(30)0.855(36)0.938(28)0.916(19)0.984(56)做市转让(43/55/43)0.833(6)0.801(5)0.836(4)0.877(8)0.868(7)0.840(5)0.949(6)0.923(5)0.994(18)合计(248)0.814(33)0.799(23)0.841(27)0.865(41)0.870(37)0.853(41)0.940(34)0.917(24)0.986(74)
注:第1列括号内为样本总个数,创新层、基础层、协议转让、做市转让企业每年浮动,表7同;第2至第10列括号内为达到规模有效的样本个数
表7 基于F分数模型的新三板科技服务企业财务风险对比结果(N=248)
明细生存(F>0.104 9)2015年2016年2017年不确定(-0.050 1
注:第1列括号内为样本总个数;第2至第10列括号内为分组样本个数,“-”表示该分组下无样本;限于篇幅,F值保留3位小数
3.2.1 基于细分行业的比较
按证监会行业分类对科技服务企业进行分组。从表6可以看出:研究和试验发展行业综合效率始终最高,主要体现为较高的纯技术效率,可能与研究和试验发展企业良好的科研氛围和严谨的管理理念有关。2015—2016年,规模有效是制约融资有效的主要因素,而2017年,纯技术有效成为制约融资有效的主要因素。除2016年专业技术服务业外,样本企业2015-2017年平均融资效率均在0.8以上,说明整体融资情况较为理想,行业分组未见明显趋势差异。从表7可以看出:在“生存”区间,研究和试验发展企业平均F值最高,但是差距正在逐渐缩小(0.897>0.582>0.217)。在“堪忧”区间,各组占比均在持续增长,2017年占比分别约为27.6%、14.6%、25.8%,研究和试验发展行业最高。因此,科技服务企业应转变观念,不仅要把企业做大做强,还要着力于优化资源配置,提升经营管理水平;研究和试验发展企业应更加重视财务风险,避免内部分化;服务行业技术研发水平、生产管理效率有待进一步提升。
3.2.2 基于归属地区的比较
按中国统计年鉴省份地区划分对样本企业进行分组。从表6可以看出:融资有效企业和纯技术有效企业主要集中在华北地区,其综合效率保持领先地位(0.915),其次是华东地区(0.844)和西北地区(0.824),这3个地区的综合效率平均值始终保持在0.8以上。在综合效率低于0.8的4个地区中,华南地区领先(0.787),一度落后的东北地区(0.737<0.756)逐渐超越了华中地区(0.773>0.737),西南地区垫底(0.707)且一直无融资有效企业。纯技术效率是综合效率的主要影响因素,2017年纯技术效率极差接近0.2。从表7可以看出:在“生存”区间,华中地区2015年F值(2.438)曾占较大优势,后持续下滑,华北地区2016年取而代之并且持续保持领先。在“生存”区间,东北地区F值保持下降趋势并且持续垫底(1.097>0.836>0.636)。在“堪忧”区间,华北地区情况不容乐观,区间企业越来越多,2017年F值(-2.857)垫底。在“堪忧”区间,西南地区和华中地区经历了大幅震荡,2016年F值(-2.638/-2.431)一度垫底,其余地区较为平稳。华南地区企业在“堪忧”区间占比最低,2017年约为3%。因此,应根据地区实际情况,认清差距短板,因地制宜地对中小微科技服务企业进行扶持,继续提高其融资效率水平和风险管理能力。中小微企业逐渐成熟壮大为未来融资效率整体提升奠定了基础,确实有必要培育新兴企业。
3.2.3 基于所属分层的比较
按全国中小企业股份转让系统公布的分层结果对样本企业进行分组。从表6可以看出:创新层企业融资效率连续3年持续下降,2017年(0.798)甚至低于相对有效的临界值0.8,被基础层(0.846)以较大优势反超,究其原因主要是纯技术效率低下。虽然规模效率平均值变化幅度不大,但规模有效企业数量呈上升趋势,说明越来越多的科技服务企业规模得以扩大。一方面,虽然创新层企业存在一定规模优势,但必须注重完善内控建设、减少投入冗余,从而提升融资效率;另一方面,基础层中确实存在一些规模较小但治理不错的企业,这些企业若能持续高效融资,将来也可能进入创新层。从表7可以看出:创新层除个别企业外,其F值均处于“生存”区间,而基础层企业则有一小部分处于“堪忧”区间,而且该部分比例逐年增长,2017年约为20%。无论是创新层还是基础层,其企业平均F值都呈下降趋势,而且基础层降幅更快。因此,创新层制度有待完善,使其选拔培育功能得以进一步施展,引导挂牌企业向更高盈利、更好成长、更被认可的方向发展。
3.2.4 基于转让方式的比较
按全国中小企业股份转让系统公布的转让方式对样本企业进行分组。从表6可以看出:协议转让企业与做市转让企业融资效率差距不大,融资有效企业占比都在逐年减少;协议转让企业纯技术效率略占优(0.855>0.840),做市转让企业规模效率略占优势(0.994>0.984)。从表7可以看出:做市转让企业各区间平均F值普遍高于协议转让企业;处于“生存”区间的做市转让企业平均F值下降较快,2017年较2015年下降约37%;处于“堪忧”区间的做市转让企业正在持续增长,2017年占比约为23%。因此,做市转让企业更需注重提升自身管理水平。随着新三板市场发展和做市商制度的逐步完善,做市商制度的价值发现功能将得到充分发挥,制度优势也将逐渐显现。
由于成长性指标涉及以前年度,为确保结论的稳健可靠,本研究进行以下检验:将观测窗口期调整为2016—2017年,最终得到368家公司,总计736个企业年度观测点;将观测窗口期调整为2014—2017年,最终得到76家公司,总计304个企业年度观测点。重新执行上述实证分析过程,结果与研究结论基本一致。
随着信息大数据、云经济技术的迅猛发展,传统科技服务产业价值创造运作模式已然受到冲击[16],因此科技服务企业应顺应时代、转型升级、加速成长。截至2018年10月31日,已有2 045家挂牌企业从新三板退市(含56家科技服务企业),其中包括92家挂牌企业从新三板转板到中小板、创业板上市,但暂无科技服务企业。
在上述56家已从新三板退市的科技服务企业中,剔除2015—2016年存在数据缺失以及退市不满3个月的样本,最终得到21家企业作为退市企业样本。随后,将退市企业逐次加入到先前248家挂牌企业样本中组成249家混合企业样本测算融资效率,并基于2015—2017年半年报、年报数据测算财务风险,结果如表8所示。
从表8可以看出:过高的财务风险不利于融资效率持续提升,匿名企业A—E的融资效率较低,并且与之相对应的财务状况均不理想;退市企业2015年平均融资效率与挂牌企业相当,2016年整体水平大幅领先。其中,霍普股份、千年设计、蓝科环保、中天引控、国研电力5家企业连续2年保持融资有效而且财务状况较好。
表8 新三板退市科技服务企业融资效率与财务风险结果(N=21)
序证券简称综合效率(Crste)2015年2016年纯技术效率(Vrste)2015年2016年规模效率(Scale)2015年2016年F值2015年2016年1信合节能(退市)1.000 0.981 1.000 1.000 1.000 0.981 1.749 0.273 2中持检测(退市)0.763 1.000 0.912 1.000 0.836 1.000 2.052 1.457 3匿名企业A0.638 0.313 0.750 0.671 0.851 0.466 2.074 -0.019∗4匿名企业B0.417 0.710 0.631 0.725 0.661 0.979 0.157 -0.758∗∗5霍普股份(退市)1.000 1.000 1.000 1.000 1.000 1.000 6.577 2.694 6奥杰股份(退市)0.880 0.999 0.887 1.000 0.992 0.999 0.829 1.237 7千年设计(退市)1.000 1.000 1.000 1.000 1.000 1.000 1.540 1.748 8浦公检测(退市)1.000 0.914 1.000 1.000 1.000 0.914 0.583 0.844 9匿名企业C0.363 0.837 0.657 1.000 0.552 0.837 -0.232∗∗-0.473∗∗10匿名企业D0.436 0.820 0.788 1.000 0.553 0.820 -0.763∗∗0.100∗11蓝科环保(退市)1.000 1.000 1.000 1.000 1.000 1.000 2.420 1.783 12成信股份(退市)0.617 0.592 0.661 0.637 0.935 0.929 0.641 0.802 13匿名企业E0.572 0.523 0.692 0.664 0.826 0.787 -0.333∗∗-0.582∗∗14万城节能(退市)0.725 0.924 0.810 1.000 0.894 0.924 0.447 1.094 15中天引控(退市)1.000 1.000 1.000 1.000 1.000 1.000 3.645 0.916 16华阳国际(退市)0.933 1.000 1.000 1.000 0.933 1.000 0.836 1.100 17优宁维(退市)0.908 1.000 1.000 1.000 0.908 1.000 0.675 1.046 18百诚医药(退市)1.000 0.836 1.000 1.000 1.000 0.836 0.971 0.458 19中远华丰(退市)1.000 0.875 1.000 0.948 1.000 0.923 1.521 3.029 20国研电力(退市)1.000 1.000 1.000 1.000 1.000 1.000 2.348 2.152 21赛盛技术(退市)0.858 1.000 0.880 1.000 0.975 1.000 0.281 0.918 平均值0.815 0.873 0.889 0.935 0.901 0.924 1.334 0.944
注: **、*分别表示财务状况堪忧、财务状况不确定;限于篇幅,F值保留3位小数;部分退市企业作匿名处理
此外,基于最后一期披露数据测算退市满3个月的40家企业财务风险,得到如下结果:6家企业财务状况为“堪忧”,平均F值为-0.852;6家企业财务状况为“不确定”,平均F值为0.032;剩余28家企业平均F值为0.997,但是持续保持在“生存”区间的仅为22家,占比55%,远远低于2017年基础层“生存”企业(占比79%)。这说明,部分新三板科技服务企业退市可能与财务风险失控有关,但并不完全是所有企业退市都由财务问题导致,大部分企业财务状况良好,可能正有转板上市打算。
截至2018年10月31日,已有27 941家企业在各区域股权交易中心挂牌,平均注册资本1 726万元,平均成立3 372天,平均挂牌865天。其中,共有2 336家科技服务企业,平均注册资本1 409万元,平均成立2 563天,平均挂牌563天。可以看出,在区域股权交易中心挂牌的科技服务企业多为年轻企业,而且,也有不少优质企业。与新三板持续退市相反,区域股权交易中心挂牌企业数量正在激增。随着我国实施京津冀一体化建设、环渤海大湾区建设、粤港澳大湾区建设、杭州湾大湾区建设进程的不断加快,越来越多的资本在区域集聚、融合,市场间资本流动更加频繁、活跃;同时,各区域股权交易中心与新三板市场间的良性互动有利于促进小微科技服务企业做大做强,走向更高平台,实现更快成长,谋求更好发展。
本研究基于三阶段DEA模型和Malmquist指数测算新三板科技服务企业融资效率,按细分行业、归属地区、所属分层、转让方式等进行分组比较,并针对退市企业和新四板企业进行进一步研究,结论如下:①研究和试验发展行业综合效率均最高,但其财务风险却正在扩大。制约企业融资有效性的主要因素不再是规模效率,而是纯技术效率;②华南地区科技服务企业融资效率适中而且财务风险控制较好,华北地区融资效率水平虽高但其企业财务风险存在良莠不齐的现象,两极分化尤为突出,西北地区整体水平优于东北地区和西南地区,但与华东地区、华南地区间仍有一定差距,还存在较大提升空间,华中地区没有发挥其四通八达的交通运输地理优势,整体表现不尽如人意;③创新层企业融资效率被基础层企业反超,但基础层财务风险退步趋势较明显;④做市转让企业规模效率略占优势、纯技术效率处于劣势,整体融资效率与协议转让企业差别不明显,做市转让企业整体财务风险退步趋势较明显;⑤企业资产总额、企业员工总数、地区发展水平都在不同程度上增加了企业投入冗余,科技服务企业研发投入并未对降低企业投入冗余产生显著影响;⑥融资效率与财务风险存在联动关系,但并不是所有企业退市都与融资效率或财务状况有关。结合上述结论,本研究提出以下建议:
(1)优化企业管理,严控财务风险。从企业角度看,一方面,提高企业管理水平比盲目扩大企业规模更有助于提升融资效率;另一方面,在行业财务状况整体退步趋势下,应提前做好风险规避和防范措施。对于采取做市方式的部分企业,做市转让操作难度较集合竞价和协议转让高,其不确定性和风险也水涨船高。因此,应该强化风险控制意识,积极配合券商持续督导,规范经营理性投资,将融之不易的宝贵资金更好地转化到技术进步与服务升级等方面,挖掘并对接前沿市场需求,从而实现高质量成长。此外,还应注重塑造鼓励创新的企业文化、营造良好的研发环境、保持必要的研发强度,敢于花大力气攻关核心技术、尖端技术,进而提升市场竞争力、增强民族品牌自信。从监管角度看,为使市场保持吐故纳新、动态平衡的合理状态,促进优胜劣汰机制的形成,推动新三板健康稳定发展,应进一步完善挂牌公司转板和退市制度。全国股转公司也应加强市场监控,及时处理突发情况,落实摘牌机制,保障投资者利益。融资不是“短跑”,而是一场“马拉松”,走得稳才能走得远。
(2)统筹区域发展,深化服务融合。从协同发展角度看,区域不平衡依旧存在,应继续坚持因地制宜、分类施策的工作原则,进一步落实西部开发、东北振兴、中部崛起、东部率先、港澳台同内地紧密相连等政策,促使区域经济稳定增长,避免地区不平衡致使局部产业发展陷入恶性循环,从而保障科技服务企业可持续发展。华东地区、华南地区应保持稳定的融资环境和风险控制能力,加强科技服务产业与上下游产业融合,形成科技创新合力;华北地区应重点关注风险型企业,避免两极分化现象继续扩大;华中地区应充分发挥其交通运输四通八达的地理位置优势,促进周边区域加强合作、协同共享、创新辐射,发挥集群规模化优势;西北地区、东北地区和西南地区在挂牌数量、企业规模、治理水平等方面均有较大进步空间,因此应把握机遇、吸引人才,迎难而上、突破改革。从产业联动角度看,科技服务企业与高新技术产业紧密相连,地方政府应给予必要政策扶持,积极营造科技服务创新生态,鼓励科技服务企业自主创新、做大做强,将服务更好地融合到全产业价值流中去,在与各产业交互联系中共创企业价值,从而促使其在科技创新浪潮中充分发挥推波助澜的正面作用。
(3)拓展新三板市场,探索创新分层。从市场培育角度看,一方面,部分基础层企业融资效率和财务状况超过了创新层企业平均水平,遇到了发展瓶颈;另一方面,部分基础层企业和做市企业财务风险值得警惕。新三板分层制度和做市商制度也确实起到了良好效果,应当继续坚定地推进,但确有必要在此基础上有所创新,从完善差异化制度安排转变为推进精细化分层:探索增设精选层,以能够与中小板、创业板对接的更高标准树立新三板市场企业标杆,增强投资者信心;完善创新层选拔条件,增加财务风险评估考量,缩短动态调整周期,采取严进宽出策略,同时兼顾各细分行业特性及国家政策需要;设立基础层底线,关注垫底企业,及时调研问题企业,严格审查退市企业;帮助新挂牌企业度过缓冲适应期。此外,从全国一盘棋角度看,应加强新三板市场与上海证券交易所、深圳证券交易所、香港证券交易所、台湾证券交易所、各区域股权转让中心等市场间的联系,努力实现中国证券交易市场大联结,促进市场与市场间资本融通,进一步满足市场多元化投融资需求,从而充分发挥新三板承上启下的过渡作用,为企业拓宽多元化融资渠道,优化营商环境,为投资者提供更好的风险保障和服务获得感。
[1] 本报评论员. 美国贸易盲动症注定引火烧身[N]. 人民日报,2018-07-08(003).
[2] 科技部. 《“十三五”现代服务业科技创新专项规划》解读[EB/OL]. (2017-05-16)[2018-07-09]. http://www.most.gov.cn/kjbgz/201705/t20170516_132783.htm.
[3] 张清正, 李国平. 中国科技服务业集聚发展及影响因素研究[J]. 中国软科学, 2015(7): 75-93.
[4] 齐杏发. 新三板的发展瓶颈与对策研究[J]. 管理世界, 2017(10): 180-181.
[5] 沈忱. 中小企业在新三板市场融资效率研究——基于三阶段DEA模型定向增发研究[J]. 审计与经济研究, 2017, 32(3): 78-86.
[6] 王维, 桂嘉伟, 乔朋华. 多维视阈下信息技术企业融资效率比较研究[J]. 科技进步与对策, 2017, 34(21): 141-146.
[7] 袁卓苗, 王聪, 周立群. 科技型中小微企业新三板市场融资效率研究——兼析破解科技型中小微企业融资成本高问题路径选择[J]. 价格理论与实践, 2018(1): 110-113.
[8] 何玉梅, 吴莎莎, 杨锐. 军民融合企业融资效率评价研究——来自四川军民融合上市企业的经验证据[J]. 科技进步与对策, 2018, 35(4): 146-152.
[9] 杜壮. 证监会明确2018年深化新三板改革[J]. 中国战略新兴产业, 2018(11): 66.
[10] HENDERSON J V. Marshall′s scale economics[J]. Journal of Urban Economics, 2003, 53(1): 1-28.
[11] WONG P K, SINGH A. The pattern of innovation in the knowledge-intensive business services sector of Singapore[J]. Singapore Management Review, 2004, 26(1): 21-44.
[12] HERSHBERG E, NABESHIMA K, YUSUF S. Opening the ivory tower to business: university-industry linkages and the development of knowledge-intensive clusters in Asian cities[J]. World Development, 2007, 35(6): 931-940.
[13] 韩鲁南, 关峻, 邢李志, 等. 国内外科技服务业行业统计分类对比研究[J]. 科技进步与对策, 2013, 30(9): 48-53.
[14] 桂嘉伟. 科技服务企业财务风险研究[D]. 齐齐哈尔: 齐齐哈尔大学, 2017.
[15] 中国证监会. 上市公司行业分类指引(2012年修订)[EB/OL]. (2013-10-16)[2018-07-05]. http://www.csrc.gov.cn/pub/newsite/flb/flfg/bmgf/zh/gfxwjtj/201310/t20131016_236281.html.
[16] 王丽平, 李菊香, 李琼. 科技服务业创新生态系统价值共创模式与协作机制研究[J]. 科技进步与对策, 2017, 34(6): 69-74.
[17] 国家统计局. 中国统计年鉴[EB/OL]. (2017-09-01)[2018-07-01]. http://www.stats.gov.cn/tjsj/ndsj/.
[18] 吴勇, 权威. 新三板市场困境摆脱及其交易机制改善[J]. 改革, 2017, 277(3): 150-159.
[19] 全国中小企业股份转让系统有限责任公司. 股转系统公告〔2016〕37号[EB/OL]. (2016-05-27)[2018-07-04]. http://www.neeq.com.cn/notice/2969.html.
[20] 周茂清, 尹中立. “新三板”市场的形成、功能及其发展趋势[J]. 当代经济管理, 2011, 33(2): 75-77.
[21] 陈辉, 顾乃康. 新三板做市商制度、股票流动性与证券价值[J]. 金融研究, 2017(4): 176-190.
[22] 何牧原, 张昀. 中国新三板市场的兴起、发展与前景展望[J]. 数量经济技术经济研究, 2017, 34(4): 74-91.
[23] GREGORIOU G, LUSK E, HALPERIN M. A two-staged benchmarked decision support system using DEA profiles of efficiency[J]. Information Systems and Operational Research, 2008, 46(3): 177-187.
[24] MOUTINHO V, MADALENO M, ROBAINA M. The economic and environmental efficiency assessment in EU cross-country: evidence from DEA and quantile regression approach[J]. Ecological Indicators, 2017, 78: 85-97.
[25] RAMANATHAN R, RAMANATHAN U, BENTLEY Y. The debate on flexibility of environmental regulations, innovation capabilities and financial performance - a novel use of DEA[J]. Omega-International Journal of Management Science, 2018, 75: 131-138.
[26] BANKER R D, CHARNES A, COOPER W W. Some models for estimating technical and scale inefficiencies in data envelopment analysis[J]. Management Science, 1984, 30(9): 1078-1092.
[27] CHARNES A, COOPER W W, RHODES E. Measuring the efficiency of decision making units[J]. European Journal of Operational Research, 1978, 2(6): 429-444.
[28] TOBIN J. Estimation of relationships for limited dependent variables[J]. Econometrica, 1958, 26(1): 24-36.
[29] FRIED H O, LOVELL C A K, SCHMIDT S S, et al. Accounting for environmental effects and statistical noise in data envelopment analysis[J]. Journal of Productivity Analysis, 2002, 17(1/2): 157-174.
[30] MALMQUIST S. Index numbers and indifference surfaces[J]. Trabajos De Estadistica, 1953, 4(2): 209-242.
[31] CAVES D W, CHRISTENSEN L R, DIEWERT W E. Multilateral comparisons of output, input, and productivity using superlative index numbers[J]. Economic Journal, 1982, 92(365): 73-86.
[32] F
RE R, GROSSKOPF S, NORRIS M. Productivity growth, technical progress, and efficiency change in industrialized countries: Reply[J]. American Economic Review, 1997, 87(5): 1040-1044.
[33] 周首华, 杨济华, 王平. 论财务危机的预警分析——F分数模式[J]. 会计研究, 1996(8): 8-11.
[34] ALTMAN E. Financial ratios, discriminant analysis and prediction of corporate bankruptcy[J]. The Journal of Finance, 1968, 23(4): 589-609.
[35] 李政, 吴非, 李华民. 新三板企业融资效率、衍生风险与制度校正[J]. 经济经纬, 2017, 34(5): 153-158.