宋 悦1,杨乃定1,2,张延禄1,冯丽娟1
(1.西北工业大学 管理学院 710072;2.西北工业大学 应急管理研究所,陕西 西安 710072)
摘 要:由于企业内外部环境不稳定和研发网络结构比较复杂,针对企业之间容易发生的相继失效问题进行研究。根据研发网络特点,引用加权无标度模型生成研发网络,从风险负荷视角出发,借鉴负载容量模型思想,从节点初始负荷、节点容量和失效节点负荷重分配3个方面构建研发网络相继失效模型,运用数值仿真方法揭示相关规律。结果发现,网络相继失效规模随着容许参数的增加而稳定不变,在达到某一临界值后便直线下降直至稳定,此时对应的临界值即为关键风险阈值;每个可调参数对应着唯一一个关键风险阈值,并随着可调参数的增大而减小;网络相继失效规模随着可调参数的增大而扩张,随着权重系数的增大而降低;平均度与相继失效规模不相关。
关键词:风险负荷;研发网络;负载容量;相继失效模型
随着全球化进程的加快和新经济时代的到来,企业仅仅依靠自身力量应对瞬息万变的市场环境和技术交叉融合需求远远不够,研发网络作为一种新型企业研发合作模式,成为企业提升核心竞争力的必然选择。然而,由于研发网络是开放式动态创新系统,其所处外部环境的不确定性和自身结构的复杂性使得潜在风险大大增加。研发网络中部分企业由于发生风险而停止运行,并通过企业间合作关系触发其它企业相继无法正常运行,最终可能导致整个网络崩溃。相继失效一旦发生,企业将遭受巨大的经济损失,对社会稳定也会造成一定的负面影响。在此背景下,对研发网络相继失效过程的内在规律和特征进行深入研究,对于提高企业抗风险能力具有重要意义。
目前,许多学者对于研发网络的研究大多集中在静态层面,如研发网络形成模式和动机[1,2]、研发网络创新绩效实证分析[3]等,而动态研究较少。基于此,本文对研发网络相继失效过程进行研究。国内外学者对复杂网络相继失效理论进行了广泛研究并提出了许多有价值的模型,如负载容量模型[4-7]、耦合映像格子模型[8]、沙堆模型[9]等。其中,负载容量模型首先定义网络中每个节点的初始负荷和容量,某个或部分节点由于某种扰动而失效,就会导致负荷按照一定策略在邻居节点上重新分配[10]。Motter等[11]最先通过定义容量与初始负荷的线性关系,提出ML模型。结果发现,在网络负荷分布不均匀情况下,移除负荷较高节点,将导致网络相继失效的发生。考虑到超负荷节点从网络中移除与网络实际情况不符,Crucitti等[12]同时考虑节点和边的动态行为,提出基于边上传输效率动态更新的CLM模型,得到与Motter等相似的结论。为使负荷重分配更符合实际情况,Wang等[13]在定义初始负荷时引入权重参数,并基于加权流局域重新分配原则,提出加权网络相继失效模型。随后,不少学者从不同方面对相继失效问题进行了研究。Zeng和Xiao[14]通过借鉴负载容量模型思想,对供应链网络相继失效传播问题进行了深入分析。Liu等[15]提出一个改进失效概率的相继失效模型,通过引入新参数探讨资源最佳分配策略,以达到降低复杂网络失效比例的目的。Zhang和Yang[16]采用负载容量模型思想,构建研发网络风险相继传播模型,探讨了灰色攻击方式下研发网络的鲁棒性。
研发网络中每个企业都有一定的抗风险能力,即安全阈值,同时也都存在着各种潜在风险,当风险损失超过企业的某个安全阈值时,该企业将由于风险而失效,从而被移出网络。那么,风险就会通过失效企业与其它企业间的合作关系触发潜在风险,从而产生相继失效。由此可见,研发网络作为由众多研发主体共同参与的复杂系统,其风险引发失效过程表现为一种相继失效过程[17]。此外,研发网络相继失效过程具有负载容量模型特性。因此,本研究从风险负荷视角出发,通过借鉴负载容量模型思想,提出一种基于风险负荷的研发网络相继失效模型,以此探讨研发网络相继失效过程的内在规律及其关键影响因素。本研究对于丰富风险管理理论具有一定理论价值,对于提高企业抗风险能力具有一定借鉴意义。
由于研发网络在形成和发展过程中,选择合作企业具有一定偏好性[18],因此,普遍认为研发网络具有无标度网络特征[19]。考虑到每个企业之间合作密度不同,对不同企业之间合作关系赋予一定权重,将更加符合实际情况。因此,本研究采用加权无标度网络模型[20](简称BBV模型)构建研发网络模型。
本研究将研发网络抽象为具有N个节点和E条边的无向加权图,节点表示研发企业,边表示成员企业之间的合作关系,记为G=(V,E);V={v1,v2,…vN}代表节点企业集合;E={e1,e2,…eM}代表边集合;其节点数和边数分别为N(G)和M(G);邻接矩阵表示为aij,当节点企业i与节点企业j存在合作关系时,aij=1;反之,aij=0。
在研发网络模型中,认为权重与节点度相关[20],赋权方式如下:wij=wji=(kikj)θ,θ(θ>0)代表权重系数,描述节点企业之间合作关系密切程度。ki和kj分别表示与节点企业i和j直接合作的企业个数。当θ=0时,权重都为1,加权网络随即退化为无权网络;当θ>0时,θ值越大则网络中边权重差异越大,即不同企业之间合作密切程度差异越大。
研发网络模型演化算法如下:
(1)初始设定:给定N0个节点,这些节点间任意连接或完全连接,其中每条边都赋予权值w0。
(2)增长:每隔一个时间间隔,网络都增加一个新节点v,节点v遵循择优连接原则,与网络中已经存在的节点相连,与节点i连接的概率为:
(1)
其中,
表示与节点i相连的所有边的权重之和,j表示与节点i相连接的节点企业,Γi表示节点i的邻居集合。
(3)边权值动态演化。每次新加入的边都赋予一个权值w0,为简单起见,认为新加入的边(n,i)只会引发局部连接节点i与其邻接节点j∈Γi边权值的重新调整,按照如下规则:
(2)
其中,δ(δ>0)为权重增量参数,该规则即每次新引入的一条边(n,i)给节点i带来额外Δwij的流量负担,而与之相连的边将按照自身权值wij大小分担一定流量[20]。
基于相关文献研究[21-22],本文将研发网络风险分为内部风险和外部风险两种。其中,内部风险包括知识产权风险(R1)、人力资源风险(R2)、收益分配风险(R3)和成员道德风险(R4);外部风险包括社会政治风险(R5)、市场变动风险(R6)和金融环境风险(R7)。研发网络相继失效可假定为一个微小的初始攻击触发,即成员企业遭受内部风险或外部风险袭击时,因企业没有足够时间或人力、物力、财力弥补风险损失,使得企业在整个研发网络中处于瘫痪状态,从而导致该企业与其它邻接企业的合作中断,在网络图上表现为该企业节点被移除。相继失效发生时,这一节点企业的负载将在邻近域内重新分配,随着超负荷节点的失效而不断传播,直至网络中各节点企业负载都在可控范围内。
根据风险定义,本研究采用研发网络风险值V的计算公式如下[23]:
V=W×P
(3)
其中,W表示风险发生后产生的损失,P表示风险发生概率。本研究将风险发生概率分为5个等级,分别是频繁(90%)、很可能(70%)、有时(50%)、较少(30%)、不可能(10%),将风险产生的损失值分为4个等级,分别是1、2、3、4。研发网络内部风险值和外部风险值大小如表1所示。
表1研发网络内部风险值和外部风险值

表示研发网络风险损失的平均值,计算公式如下:
(4)
其中,Pi表示风险Ri发生的概率,结合表1数据可得![]()
研发网络相继失效模型是基于负载容量模型思想构建的。因此,本文从定义节点初始负荷、节点容量、失效节点负荷重分配3个方面提出研发网络相继失效演化规则。
(1)研究人员通常采用节点度定义网络中节点i的初始负荷。本研究采用与节点企业i合作的企业个数定义研发网络中的初始负荷,即当t=0时,节点企业负荷表示如下:
(5)
其中,α为可调参数,控制着节点初始负荷强度;ki和km分别表示节点i和节点m的度,即与企业i和m直接合作的企业个数;Γi表示节点i的邻居节点的集合,即与企业i直接合作的企业集合。
(2)企业之间合作关系越密切,就越容易受到风险相继传播的影响。因此,被移除节点企业i的负荷将依据以下重分配原则分配到其邻居节点j上:
(6)
根据上述重分配原则,在t时刻,当节点企业i崩溃后,其邻居节点企业i收到的额外负荷如下:
(7)
那么,在t+1时刻,即节点企业i崩溃后,节点企业j的负荷表示如下:
Lj(t+1)=Lj(t)+∑i∈ΓjΔLji
(8)
(3)在研发网络中,每个节点企业处理风险的能力通常受企业投入成本的限制。因此,假设网络中节点企业容量正比于其初始负荷:
Ci=TLii=1,2,...,N
(9)
其中,T≥1是容许参数,表示节点企业为抵抗风险而投入的成本,T值越大,表示企业投入成本越多。
由于研发网络中每个成员企业风险损失承受能力都有一定限制,所以对于节点企业j来说,当Lj+ΔLji>Cj时,企业j将处于瘫痪状态,并导致风险进一步传播,从而触发其它企业产生危机,形成相继失效。
为更好地探讨研发网络相继失效问题,本文初始仅仅移除一个节点i,在整个网络相继失效过程结束后得出由节点i导致的失效节点总数,记为CFi(0≤CFi≤N-1)。为量化整个网络的鲁棒性,采用失效节点归一化指标,即:
(10)
(11)
其中,N表示研发网络节点企业总数,Si(t)表示失效节点企业个数。当CF=0时,表明研发网络连通性不变,所有企业之间的合作正常进行;而当CF=1时,表明整个网络崩溃,研发活动无法正常运行。
本研究通过对研发网络模型进行数值仿真,生成一个拥有1 000个节点企业的研发网络,即N=1 000。在此基础上,为更好地探讨研发网络相继失效规律和特征,本研究通过对研发网络相继失效模型进行数值仿真,考察不同因素对相继失效的影响。假定在<K>=4、α=1.2、θ=1.2的情况下,对不同关键参数与研发网络相继失效规模之间的关系进行仿真。
容许参数表示节点企业为抵抗风险而投入的成本,当T值增大时,意味着企业投入成本越多,抗风险能力越强。然而,在现实情况下,企业为盈利并不会一味地投入成本。为探讨容许参数对研发网络相继失效的影响,本研究对不同可调参数α值下相继失效规模指标CF与T容许参数之间的关系进行仿真。
从图1可以看出,在不同可调参数α值下,相继失效规模CF都是先随着容许参数值的增加略微下降或稳定不变,当达到某一临界值后再迅速下降,最终稳定在0.1左右,此时对应的临界值即为关键风险阈值T。另外,每个可调参数α值都对应着唯一一个关键风险阈值TC。这表明,企业投入成本越多,越能抵抗风险袭击,相继失效规模也越小,当投入成本超过关键风险阈值时,相继失效规模趋于稳定,不再发生变化。由此可见,关键风险阈值TC是影响研发网络相继失效的关键因素之一。因此,可通过调节TC而降低网络相继失效规模,进而达到减少企业风险损失的目的。

图1 不同值α下T与CF之间的关系
企业作为一个完整系统,其具有自我修复功能,并不会因为遇到风险就立即停止运作,而是会采取相应风险控制措施,对投入的人力、物力、财力等资源进行调配,从而降低甚至消除风险损失。企业投入资源就相当于付出成本,如果投入资源较少,企业无法及时弥补和控制风险损失,那么风险将继续在企业内部传播,从而造成更大的损失,最终使得企业无法正常运行,进而影响其与合作企业的共同研发活动,甚至导致整个研发网络崩溃。如果企业投入资源较多,及时弥补了风险损失,那么其就会继续正常运行,动态风险将暂时转化为静态风险。由于企业往往追求效益最大化,所以不能一味地为控制风险损失而投入过多资源,这样将由于资源分配不合理而影响企业正常运行。因此,企业投入资源控制风险的量应适度,要从自身实际情况出发,从而确保整个研发网络的可持续运行。
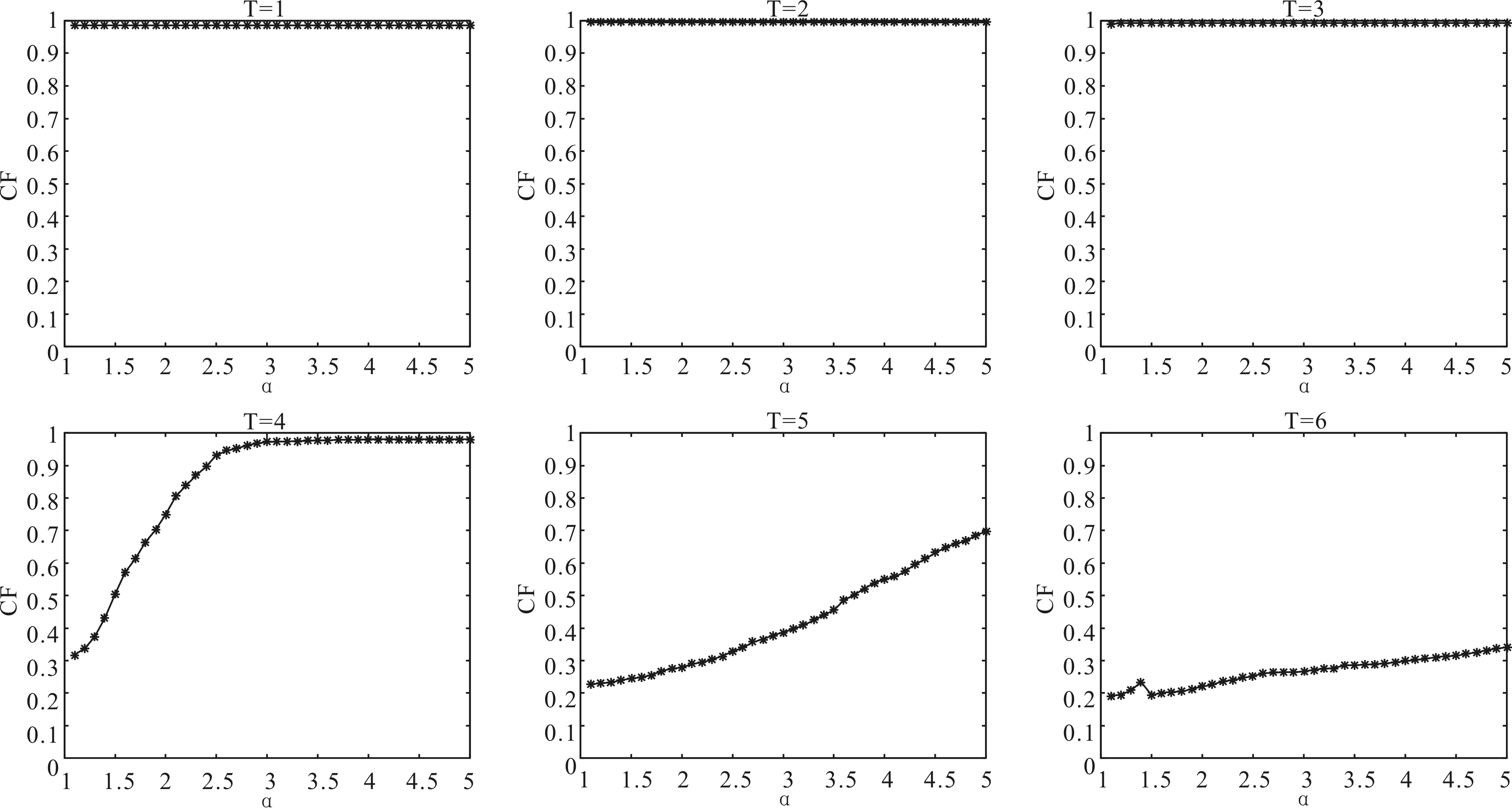
可调参数α控制着节点初始负荷分布平均程度,α值越小,意味着各节点初始负荷分布越均匀;反之,则表明各节点初始负荷分布差异性较大,那么初始负荷较大节点一旦发生失效将导致整个网络崩溃,致使研发活动无法正常运行。为探讨可调参数α对研发网络相继失效的影响,本研究对不同容许参数值下相继失效规模CF与α可调参数之间的关系进行仿真。
从图2可以看出,当T=1、T=2、T=3时,相继失效规模随着可调参数α的增加不会发生变化,表明当企业投入成本较少时,不管参数α值如何变化,相继失效都会发生并引起整个网络崩溃。当T=4、T=5、T=6时,相继失效规模CF随着可调参数α值的增加而增加,表明当企业投入成本较多时,参数α通过增加各节点企业的初始负荷使得相继失效规模也随之增加。由于研发网络中只有少数几个节点企业是核心企业,而大多数为非核心企业,所以面对风险袭击,网络结构表现得比较脆弱。因此,需要提高关键节点企业风险阈值,以减少其引发其它节点失效的概率。
鉴于每个可调参数α值都对应着唯一的关键风险阈值,于是本研究重点探讨参数α与关键风险阈值之间的关系。从图3可以看出,节点企业风险阈值随着可调参数α的增大而降低,这是因为当各节点企业之间的初始负荷具有较大差异时,意味着各节点企业之间的关键风险阈值差异也较大,一旦发生失效就容易导致整个网络崩溃。因此,提高研发网络抗风险能力,各节点企业之间初始负荷差异性不宜过大,该仿真结果再次验证了更为均匀的网络抵制相继失效的鲁棒性更强。
在研发网络中,因为核心企业规模较大,且拥有先进的研发技术和较高声望,所以企业抗风险能力较强。一旦这些企业未能控制风险损失而停止运作,那么给合作企业带来的风险损失将远远超过其抗风险能力,从而极易使风险在整个研发网络中传播,进而导致研发活动无法正常进行。因此,与研发网络中核心企业建立直接研发合作关系的企业,其规模、抗风险能力及研发能力不宜过小,不能与核心企业差距过大,否则当核心企业无法抵御风险而导致风险传播时,这些合作企业凭自身能力将无法弥补和控制风险损失,进而导致研发活动失败。

图2 不同T值下α与CF之间的关系

图3 参数α与TC之间的关系
复杂网络拓扑结构对网络物理行为有着重要影响,网络平均度<k>就是重要指标之一,平均度表明与节点企业合作企业的平均数量。为进一步分析平均度<k>对研发网络相继失效的影响,本研究在不同容许参数值的情况下,对平均度<k>与相继失效规模CF之间的关系进行仿真。
由图4可以看出,在不同容许参数值T下,随着平均度<k>的增大,研发网络相继失效规模基本未发生改变,不存在相关性。本研究认为,研发网络平均度<k>不断增加,关联节点企业与失效节点企业间合作关系增强,从而使得失效节点企业拥有更多机会触发周围邻居节点上的各类风险,即邻居节点越多,触发风险的机会就越大,从而导致邻居失效节点数量就越多,但同时也将为节点企业失效后的负载重分配转移提供更多转移选择,所传递的风险得到分散,与其相连的企业接受的风险袭击将减少,相继失效发生概率降低。因此,相继失效规模并不会随着网络平均度的增加而发生变化。
从图5可以看出,随着平均度<k>的增大,关键风险阈值未发生任何变化,表明两者不具有相关性,这与上述平均度<k>与相继失效规模CF之间关系的研究结果相一致。这说明,增加或减小企业之间的合作密度并不能增强研发网络抗风险能力。
企业建立的研发合作关系越多,当该企业发生风险时,受到影响的企业就越多,但同时每个合作企业面临的风险又会相对减少,所以对于整个研发网络的正常运行几乎没有影响。因此,在确保研发网络正常运行时,企业不用考虑建立合作关系的多少。
根据研发网络特征,采用加权无标度网络生成研发网络,那么权重系数θ将成为影响网络相继失效的关键因素之一。为分析权重系数θ对研发网络相继失效的影响,本研究在不同容许参数T值的情况下,对权重系数θ与相继失效规模CF之间的关系进行仿真。
权重系数θ控制着企业之间的合作程度,θ值越大表明企业之间的合作关系越紧密。反之,则表明合作关系不密切。在加权网络中,权重系数θ通过对节点度发挥作用,进而影响网络构建和相继失效过程。一方面,新企业在建立连接机会过程中,影响新旧企业间建立连接的概率;另一方面,在网络相继失效过程中,可分配失效节点企业的负荷。总之,权重系数θ对节点度的影响被放大,主要是影响具有较高节点度的企业。由图6可以看出,当容许参数值较小时,相继失效规模CF随着权重系数θ的增加不会发生变化。这表明,在连接过程中,随着权重系数θ值的增大,新企业与核心企业的连接概率提升,在相继失效过程中,非核心企业失效也将更多负荷分配给核心企业。然而,由于容许参数T值较小,核心企业不足以抵抗整个网络传递的负荷。因此,网络相继失效规模比较严重。当容许参数T值较大时,相继失效规模CF随着权重系数θ的增加而降低,表明当容许参数达到一定值时,核心企业负荷能力较高,也承担了更多网络负荷。因此,网络相继失效规模下降。由此可见,节点企业之间合作关系密切程度大小对网络整体抗毁性有着重要影响,通过加强需要加以保护的核心节点企业与相邻节点企业间的合作关系,可有效降低该节点失效后引发的网络相继失效,进而减少研发网络由于相继失效而造成的损失。

图4 不同T值下<k>与CF之间的关系

图5 参数<k>与TC之间的关系
在研发网络中,位置越核心的企业,相互之间合作关系越密切,一旦其中某个企业无法控制风险而停止运行,那么其合作核心企业面临的风险损失将增多,一些合作的非核心企业接收的风险损失将减少。由于核心企业风险抵御能力较强,所以更容易减少风险损失,从而控制风险传播,确保研发网络健康可持续运行。因此,研发网络整体合作关系越密切,越愿意投入资源保护与核心企业建立的合作关系,就越有利于研发活动的顺利进行。
本研究根据研发网络特点,采用加权无标度模型生成研发网络,从风险负荷视角出发,借鉴负载容量模型思想,提出一个基于风险负荷的研发网络相继失效模型,并运用数值仿真方法探讨相继失效演化规律及其关键影响因素。研究结果表明:
(1)研发网络相继失效规模先是随着容许参数的增加基本保持不变,当达到某一临界值后便快速下降,此时对应的临界值即为关键风险阈值。这表明,当企业投入成本达到风险阈值时,就能抵御风险袭击,相继失效规模也会越来越小;当成本超过风险阈值时,相继失效规模趋于稳定,不再发生变化。由此可见,关键风险阈值是影响研发网络相继失效的因素之一,通过调节关键风险阈值可降低研发网络相继失效规模。因此,企业应从自身实际情况出发,确定一个合适的资源投入量,在控制风险的前提下,确保整个研发网络可持续运行。
(2)研发网络相继失效规模随着可调参数的增加而增加,表明可调参数通过增加各节点企业的初始负荷使得相继失效规模也随之增加。由于研发网络中只有少数节点企业是核心企业,而大多数为非核心企业,所以面对风险袭击,网络结构表现得比较脆弱。因此,需要提高核心节点企业关键风险阈值,降低其引发其它节点失效甚至整个网络崩溃的可能性。
(3)每个可调参数值对应着唯一一个关键风险阈值,并且关键风险阈值随着可调参数的增加而降低,可调参数增加意味着节点企业之间的初始负荷具有较大的差异性,初始负荷较大节点一旦失效就容易导致整个网络相继失效。因此,提高研发网络抗风险能力,各节点企业之间初始负荷差异性不宜过大,该仿真结果再次验证了更为均匀的网络具有更强的鲁棒性。因此,与研发网络中核心企业建立直接研发合作关系的企业,其规模、抗风险能力及研发能力不宜过小,与核心企业差距不能过大,否则当核心企业无法抵御风险而导致风险传播时,这些合作企业凭自身能力将无法弥补和控制风险损失,且还有可能导致研发活动失败。

图6 不同T值下θ与CF之间的关系
(4)研发网络相继失效规模随着平均度的增大基本未发生变化,不存在相关性,表明虽然平均度增大使得失效节点企业拥有更多机会触发邻居节点各类潜在风险,但同时也为节点企业失效后的负载重分配提供了更多转移选择,传递的风险得到分散,相继失效发生概率降低。平均度与关键风险阈值两者不具有相关性,说明增加或减小企业之间的合作密度并不能提高研发网络抗风险能力。因此,在确保研发网络正常运行时,企业不用考虑建立合作关系的多少。
(5)研发网络相继失效规模随着权重系数的增大而降低,表明在失效过程中,非核心企业失效将负荷更多分配给核心企业,而核心企业负荷能力较强,即使承担了更多网络负荷也不会失效。因此,研发网络失效规模降低。由此可见,通过加强需要保护的核心节点企业与相邻节点企业间的合作关系,可有效降低该节点失效后引发的网络相继失效。因此,研发网络整体合作关系越密切,越愿意投入资源保护与核心企业建立的合作关系,就越有利于研发活动的顺利进行。
本文借鉴负载容量模型思想,对研发网络相继失效演化规律及其关键影响因素进行研究,对提高研发网络抗风险能力具有一定借鉴意义。但所建模型限于主客观条件,尚存在一定的局限性,如不同企业风险损失大小不同。因此,后续研究还需进一步完善相关模型,使其更加符合实际。
参考文献:
[1] 黄娜, 覃正, 吴珍华.众包研发网络:概念、模式与研究展望[J].科技进步与对策, 2015(17):12-16.
[2] 何建洪, 杨青.企业构建全球研发网络的知识性动机——以微软公司为例[J].科技进步与对策, 2017(2):134-138.
[3] 李晨蕾, 柳卸林, 朱丽.国际研发联盟网络结构对企业创新绩效的影响研究——基于社会资本视角[J].科学学与科学技术管理, 2017, 38(1):52-61.
[4] QIAN Y, WANG B, XUE Y, et al.A simulation of the cascading failure of a complex network model by considering the characteristics of road traffic conditions[J].Nonlinear Dynamics, 2015, 80(1-2): 413-420.
[5] SHUANG Q, ZHANG M, YUAN Y.Performance and reliability analysis of water distribution systems under cascading failures and the identification of crucial pipes[J].PloS One, 2014, 9(2): e88445.
[6] WANG J, JIANG C, QIAN J.Robustness of internet under targeted attack: a cascading failure perspective[J].Journal of Network and Computer Applications, 2014(40): 97-104.
[7] 陈世明, 庞少鹏, 邹小群,等.面向级联失效的加权网络负载容量非线性模型鲁棒性优化[J].控制与决策, 2013, 28(7):1041-1045.
[8] 马秀娟, 马福祥, 赵海兴.基于耦合映像格子的有向网络相继失效[J].计算机应用, 2011, 31(7):1952-1955.
[9] GOH K I, LEE D S, KAHNG B, et al.Sandpile on scale-free networks[J].Physical Review Letters, 2003, 91(14).
[10] 王建伟.网络上的相继失效模型研究[D].大连:大连理工大学, 2010.
[11] MOTTER A E, LAI Y C.Cascade-based attacks on complex networks[J].Physical Review E, 2002, 66(2):114-129.
[12] CRUCITTI P, LATORA V, MARCHIORI M.Model for cascading failures in complex networks[J].Physical Review E, 2004, 69(4):266-289.
[13] WANG W X, CHEN G.Universal robustness characteristic of weighted networks against cascading failure[J].Physical Review E, 2008, 77(2).
[14] ZENG Y, XIAO R.Modelling of cluster supply network with cascading failure spread and its vulnerability analysis[J].International Journal of Production Research, 2014, 52(23):6938-6953.
[15] LIU J, XIONG Q, SHI X, et al.Robustness of complex networks with an improved breakdown probability against cascading failures[J].Physica A Statistical Mechanics & Its Applications, 2016(456):302-309.
[16] ZHANG Y, YANG N.Research on robustness of R&D network under cascading propagation of risk with gray attack information[J].Reliability EngineeringSystem Safety, 2013(117):1-8.
[17] 张延禄, 杨乃定.研发网络风险相继传播模型构建及仿真[J].系统工程理论与实践, 2014(3):723-731.
[18] HANAKI N, NAKAJIMA R, OGURA Y.The dynamics of R&D network in the IT industry[J].Research Policy, 2010, 39(3): 386-399.
[19] GULATI R, SYTCH M, TATARYNOWICZ A.The rise and fall of small worlds: exploring the dynamics of social structure[J].Organization Science, 2012, 23(2): 449-471.
[20] ZHANG Y, ZHOU S, ZHANG Z, et al.Traffic fluctuations on weighted networks[J].Circuits and Systems Magazine, IEEE, 2012, 12(1): 33-44.
[21] LIN C T, CHEN C T.New product go/no-go evaluation at the front end: a fuzzy linguistic approach[J].IEEE Transactions on Engineering Management, 2004, 51(2): 197-207.
[22] 冯蔚东,陈剑.虚拟企业中的风险分析与监控[J].中国管理科学,2001(5):36-39.
[23] HUANG C, MORAGA C.A fuzzy risk model and its matrix algorithm[J].International Journal of Uncertainty, Fuzziness and Knowledge-Based Systems, 2002, 10(4): 347-362.
Song Yue1,Yang Naiding1,2, Zhang Yanlu1, Feng Lijuan1
(1. School of Management, Northwestern Polytechnical University, Xi'an 710072, China;2.Institute of Emergency Management, Northwestern Polytechnical University, Xi'an 710072, China)
Abstract:The interaction between the risk of enterprises due to the uncertainty of external environment and the complexity of R&D network's structure results in the occurrence of cascading failure. The paper cites the weighted scale-free network model to generate a R&D network according to the characteristics of R&D network firstly. Then the paper establishes the R&D network cascading failure model from the definition of initial load, the load redistribution of the broken nodes and the definition of capacity. Finally, the paper uses the numerical simulation methods to reveal cascading failures mechanism. Simulation results show that the cascading failures scale of R&D network is stable invariability with the increase of tolerance parameter. When cascading failures scale obtains the critical value, it decreases linearly and eventually become stable. And the critical value is the key risk threshold. Each tunable parameter has the unique key risk threshold which has negative correlation with the tunable parameter. The cascading failures scale of R&D network has positive correlation with the tunable parameter and decreases with the increase of the weight. The average degree has no relationship with cascading failures scale of R&D network.
Key Words:Risk Load; R&D Network; Load Capacity; Cascading Failures Models
收稿日期:2017-06-08
基金项目:国家自然科学基金项目(71471146);国家自然科学基金青年项目(71501158);西北工业大学研究生创意创新种子基金项目(Z2016038)
作者简介:宋悦(1993-),女,陕西安康人,西北工业大学管理学院博士研究生,研究方向为风险管理、复杂网络;杨乃定(1964-),男,陕西户县人,西北工业大学管理学院教授、博士生导师,应急管理研究所执行所长,研究方向为风险管理、管理系统工程、项目管理等;张延禄(1984-),男,山东潍坊人,博士,西北工业大学管理学院讲师,研究方向为风险管理、复杂网络、系统工程;冯丽娟(1992-),女,河南南阳人,西北工业大学管理学院硕士研究生,研究方向为风险管理、复杂网络。
DOI:10.6049/kjjbydc.2017040358
中图分类号:G311
文献标识码:A
文章编号:1001-7348(2018)08-0024-08
(责任编辑:王敬敏)