邓晰隆1,陈 娟2,叶子荣3,谭春平1
(1.兰州理工大学 经济管理学院,甘肃 兰州 730050;2.甘肃行政学院,甘肃 兰州 730010;3.西南交通大学 经济管理学院,四川 成都 610031)
摘要:以社会生产力最大化行政目标为基础,构建政府-企业博弈关系作为经济区规模决定模型,挖掘影响经济区规模的决定性因素,并通过对模型进行经济学内涵拓展,讨论政府在经济区运行过程中应采取的合理行为策略。结果表明:在自利决策机制下的政府-企业行为博弈中,企业入驻经济区的成本是影响经济区最优规模最重要的因素,在经济区最优规模形成过程中,政府调节手段都是围绕如何激励企业进行自主技术革新、降低入驻成本上限展开的,其中最核心的政府行为主要包括两点:①如果以社会生产力最大化为行政目标,那么政府最好不要对辖区内企业直接进行专项资金投入或与之类似的财政补贴,而是让企业能够自主安排生产经营活动以适应市场环境;②在激励企业自主降低入驻成本上限的策略选择上,政府应该采取“少索取”而非“多给予”策略。
关键词:社会生产力最大化;经济区规模;政府-企业博弈;决定因素;政府行为策略
改革开放近40年来,中国经济发展取得了举世瞩目的成就,但也被贴上了“投资驱动”的标签。其中,通过经济区划获得更多的经济资源以获取区域经济竞争优势,是地方政府最常见的战略选择。因此,申报更高级别、规模更大的经济区是当前地方政府战略规划制定中最热衷的活动[1]。自1992年第一个国家级新区——上海浦东新区成立以来,国务院共批复了18个国家级新区,1992-2013年仅批复了6个,但2014年国家级新区批复突然加速,3年间批复的数量增至过去22年间的两倍[2]。这种国家级新区批复的“大跃进”现象与当前经济增长指标是地方政府绩效考核体系中的重中之重有密切关系,而且这种考核模式在短时间内还无法被取代。因此,经济区划活动成为了目前经济发展中最重要的生态形式[3]。目前关于经济区划的研究中,对其持积极肯定态度的学者居多,例如张蕾[4]、谢浩[5],邱建[6]、张伟丽[7]、李春浩[8]、王亚辉与全华[9]、贾冀南与杨丽倩[10]、刘雅芳与许培源[11]、王路昊[12],其研究的相似之处在于主要分析某一具体经济区设立或运行带来的经济效应,更加关注经济区划带来的收益。近年来,随着生态环境压力、可持续发展压力增大,越来越多的学者开始关注经济区划带来的生态环境和自然资源方面的成本,例如冯倩[13],国凤兰与刘庆志[14]、安翠娟[15]、姜博骞与刘欣[16]、董会忠[17]等,其研究成果多为对经济区设立后生态环境、自然资源承载力评价及预警。事实上,经济区划的研究既不能只考虑收益,也不能只考虑成本,因为经济区的设立和运行是辖区内经济主体在收益与成本共同作用下的行为结果。如果将经济区划活动仅视为一个单纯的经济发展问题,那么经济区划的决策者更应该关注的是经济区运行效率。诚然,经济区规模扩大有助于辖区内经济总量快速提升,但经济区运行规模在客观上应该存在一个理论上的最优水平,从而维系辖区内经济资源的配置效率。邓晰隆[18]研究表明,经济区不仅存在一个客观最优规模,而且其最优规模的大小应该与辖区内技术进步能力相匹配。然而,地方政府经济区划实践活动却表现出极强的扩张性,似乎与最优规模存在性理论相背离,说明实践背后一定存在未被挖掘的合理解释。
实际上,中国经济区划活动是由政府主导的经济行为,而每个政府行为背后一定存在一个相对应的驱动力。本文认为,在现行地方政府评价体系下,持续经济增长是地方政府行为的重要驱动力,而持续的经济增长在一定程度上又依赖于社会生产力水平程度。因此,本文认为在经济区划中,以社会生产力最大化为行政目标构建的政府-企业博弈模型能够较好地解释经济区划中政府各种行为表现,进而能够挖掘出经济区划实践与理论相背离的合理解释。
为保证文章的严谨性,在探讨政府以社会生产力最大化作为政府行为的驱动力进行经济区划活动之前,有必要在第一节对社会生产力最大化概念与内容进行解读和分析,这样不仅可以体现出文章的严谨性,而且有助于在构建经济区规模决定模型过程中对社会生产力最大化概念进行数理化处理。在第二节以社会生产力最大化行政目标为基础构建经济区规模决定模型。通过计算求解博弈解的形式对经济区规模决定博弈模型进行理论分析,找出影响经济区最优规模的决定因素,是第三节的主要工作。第四节是对博弈模型进行拓展和进一步讨论,并赋予模型现实经济学含义。最后,在第五节进行总结,为经济区划实践中的政府行为提出相应建议。
1992年初,邓小平视察南方时,对政府在经济领域的行政目标进行了归纳,以“三个有利于”标准进行衡量,即行政行为是否有利于发展社会主义社会生产力,是否有利于增强社会主义国家综合国力,是否有利于提高人民生活水平。从此,“三个有利于”标准成为了人们衡量一切工作是非得失的判断标准[19]。尽管,后期国家领导人关于行政目标的提法作了适当调整,但是“三个有利于”标准仍然具有核心地位[20],是否有利于社会主义生产力标准排在第一。为了更好地理解“社会生产力最大化”作为政府重要的行政目标,首先要准确理解生产力概念和生产力水平提升逻辑。
生产力概念剔除哲学含义,就经济学范畴的理解,最通俗易懂的定义就是社会生产物质和精神财富的能力[21]。生产力基本要素是劳动力、劳动工具和劳动对象,生产力水平由上述3种要素共同决定[22]。因此,提升生产力水平的逻辑就是通过科技投入等手段,使得生产力三要素对社会最终产出的贡献能力都能获得明显提升。当然,三要素对社会产出的贡献能力提升并非同比例增长,可能是三要素的贡献能力同时获得提升,也可能是三要素中的某一要素的贡献能力获得提升,但人们最关心的是生产力最终对社会产出水平提升了多少。在生产力三大基本要素中,劳动力是最核心要素,劳动力素质水平可以对劳动工具和劳动对象产生重要影响,即当劳动力素质水平足够高时,个体将努力发明、制造更加有效的劳动工具,也将更强势地获得更多经济资源(劳动对象)。从这个意义上讲,影响生产力水平的基本因素就是劳动力素质水平,要努力提高生产力水平,就必须努力提升科技进步能力[23],例如教育投资、科研投资、科技转化能力投资等。这些投资具有极大的正外部性,经济外溢现象严重,市场配置功能经常失效,因此,这些项目投入在实践中更多地表现为政府投入。然而,地方政府之间在经济发展、政绩考核等方面存在不同程度的竞争,导致地方政府对科技进步能力提升方面的投入并不积极,至少不愿意超过社会平均水平。例如某地方政府在教育方面投入规模巨大,培养了许多优秀人才,然而由于各种原因,这些优秀人才却流入到其它地方工作。这种人才外流现象正是教育投入的外部性所致,该外部性不仅使市场机制失灵,而且在竞争性政府投入中导致“失灵”现象出现。提高社会生产力水平不仅是政府行政的“三个有利于”标准之一,而且是地方经济得以持续增长的重要保障。然而,地方政府一方面希望辖区内生产力水平不断提升以实现地方经济持续增长,另一方面不愿意在上述外部性较强的领域过多投入,这种悖论导致地方政府更愿意在经济正外部性较小的事务上投入更多努力,例如:①获取更先进的生产工具;②通过招商引资以及政策博弈获取更多辖区外经济资源投入;③通过税收优惠等政策支持鼓励企业更新技术设备;④通过引进人才战略进行既有科技成果的生产转化等;⑤通过行业规划、经济区划等方式向上级政府争取更多经济及政策资源等。
总之,无论地方政府以何种方式提升生产力水平,政府投入都是必需的,差别仅体现在这个政府投资是由哪个地方政府完成或哪个地方政府投入更多而已,但政府投资过程是必须存在的。此外,某一经济辖区内社会生产力水平要得到提升,地方政府必须有财力投入,差别仅仅体现在地方政府是直接投入在生产力要素上,还是间接投入在其它领域以实现对生产力要素的吸引,最终使生产力要素为该辖区服务。因此,政府财力投入水平可以进行数理化度量,与之对应的社会生产力水平程度也可以进行数量化度量,即社会生产力可以用政府在进行生产力水平提升的相关财力投入过程中,由单位政府财力投入引起的社会总产出量进行评价,该评价指标的逻辑可以解释为政府单位财力投入能够撬动的社会总生产量,这个值越大,说明社会生产力水平越高。
市场中,每个行为主体都受各自不同行为目标驱动,本文在构建行为博弈模型时,也是根据其特定行为目标构建其收益函数的。在本文拟构建的政府-企业博弈模型中,笔者认为政府是经济区划的发起者和主导者,政府-企业之间的这种主导和跟随关系与Stackelberg博弈模型的参与者关系类似,尽管它们博弈内容不尽相同。参考Stackelberg博弈模型中参与者之间的主导与跟随关系,本文中社会生产力最大化的行政目标将是整个博弈过程中的基本线索。
经济区规模主要受辖区内企业数量和企业规模的双重影响。政府在开展经济区划活动过程中,一方面通过制定税收减免和适当降低土地出让金,以及提供相应的基础设施建设吸引更多入驻企业,力求短期内集聚众多企业以营造良好的区域经济环境。另一方面,政府通过增加辖区内企业配套服务的专项资金投入,降低辖区内企业经营的外部成本,以增强企业盈利能力,从而使企业规模不断扩大。企业则在入驻经济区后,通过制定合理的产品售价和适度的生产规模增加自身经营收益。如果假定企业都合法经营,不囤积居奇操作市场,那么企业只通过制定相应的价格策略就能够影响销售量,从而达到决定最优企业规模的目的。这样,单个企业的最优规模和辖区内最优企业数量共同决定该经济区的最优规模。
在政府-企业博弈中,地方政府可通过调节经济区内的专项资金投入规模、税收规模以及土地出让金规模间接影响企业规模及数量,最终从宏观上保证在行政目标实现的前提下,对经济区最优运行规模施加影响。政府-企业博弈将构成一个两阶段博弈模型,该博弈模型逻辑结构如图1所示(其中实线箭头代表物流,虚线箭头代表资金流)。
根据前文模型逻辑设计,笔者假定在企业正常经营活动中,政府对企业无内部干预,企业在经济辖区内的经营环境属于完全竞争市场。基于此,笔者对政府、企业在经济辖区内的行为活动进行必要的变量和参数定义。

图1政府-企业博弈两阶段模型逻辑结构
定义1:在该博弈模型中,企业i以单位成本ci生产新产品并以销售价pi将所有产品在市场上出售,企业i所生产产品的市场需求为Di,企业i收入的一部分将以税收形式缴纳给政府,设税率为t。此外,企业在入驻该经济区之初,需要给政府缴纳的土地出让金为l。此时,企业i的利润=(销售产品的收入-生产产品的成本)×(1-税率)-土地出让金,其数学表达式如下:
(1)
假设入驻经济区的企业均为需求拉动型生产企业,即企业根据市场需求组织生产,且企业生产的产品能以售价pi出清,则企业i可以通过调节产品售价pi实现企业利润
最大化。
定义2:假设政府向经济区投放的促进经济区发展的专项资金能够最终分摊到每个企业,设企业i最终能够分摊的政府专项资金投入量为Ii,政府专项资金投入量必然会对企业单位生产成本ci产生重要影响,设其影响关系为式(2):
ci=gi-hiIi
(2)
其中,gi表示企业在无政府专项资金投入时的单位生产成本,又称为标准单位生产成本。称能够维持企业正常运转的最大标准单位生产成本为企业单位生产成本上限,hi表示政府在进行专项资金投入时,由单位专项资金投入量带来的企业单位生产成本减少量,又称为政府专项资金投入的社会生产力转化效率。
定义3:政府通过调节税率t和土地出让金l影响企业入驻数量N,由于税率t和土地出让金l每增加一个单位,都会降低企业入驻意愿,而每增加的“一个单位”相当于是边际量,边际量是对总量求导的结果。因此,在对企业降低入驻意愿进行数量化时,应该对边际量进行积分处理,设入驻企业数量和税率以及土地出让金之间的关系为式(3):
N=e-kt2-rl2,(0≤t≤1)
(3)
其中e为当政府不征收税金和土地出让金时,愿意入驻该经济区的最大企业数量,k、r分别为税率和土地出让金对企业入驻数量的影响系数。
定义4:每个企业入驻经济区后,都会使得辖区政府管理成本上升,一些企业甚至会给辖区的自然-社会生态带来压力,从而产生一系列额外成本,这些成本被统称为企业入驻成本,设为mi,表示因为企业i的入驻带给经济区额外的政府管理成本及对自然-社会生态破坏的其它额外成本总和。那么,企业i为政府带来的财政收入=税收收入+土地出让金-专项资金投入-入驻成本,其数学表达式如下:
(4)
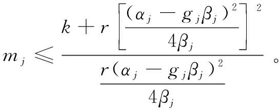
政府通过调节税率和土地出让金影响入驻经济区企业数量,而税收和土地出让金又是地方政府最主要的财政来源。因此,政府不可能在财政收入为0的情况下再接纳更多企业入驻以增加自身管理成本,最终导致自身财政收入变成负值。由此可见,入驻企业数量受政府财政收入非负的约束,即假设在所有入驻经济区的企业中,企业j代表所有企业的平均实力,则政府财政收入须满足![]()
定义5:本文认为,生产力水平可用单位政府投入所引起的社会总产出量进行评价,即社会生产力=社会总生产量/专项资金投入(可以解释为政府单位专项资金投入能够撬动的社会总生产量,这个值越大,说明社会生产力水平越高),其数学表达式如下:
(5)
定义6:由于经济区规模主要受辖区内企业数量和企业规模的双重影响,本文将单个企业规模与入驻经济区企业数量的乘积作为该经济区的总体规模。因此,设单个企业最佳规模为si,并假设企业i的产量越高,企业经营规模越大,且所需规模si=λiDi。其中,λi表示企业i加工单位产品的资源占用量,由于入驻经济区的最佳企业数量已设为N,由此可得出经济区最优规模S的数学表达式如下:
(6)
在博弈模型中,政府为博弈主导方,通过决策专项资金投入、税率及土地出让金对其行政目标进行最优化调节。企业为博弈跟随方,根据政府制定的相关决策制定产品售价并间接调节自身最佳经营规模,以实现自身利润最大化。假设政府与企业之间信息对称,且政府和企业都是完全理性的决策者。由于政府与企业之间的主导与跟随关系类似于Stackelberg博弈,因此,可用逆向归纳法求解该博弈模型。若政府以社会生产力最大化为行政目标,则政府与企业的决策可分别描述为:
(7)
(8)
首先求解博弈的第二阶段,即企业决策。企业i通过调节产品售价pi使得自身利润最大化,其最大化的充要条件就是令企业利润的一阶导数为0,即:
可解得企业利润最大化条件下产品售价策略应满足:
(9)
再求解博弈的第一阶段,即政府决策。政府通过调节专项资金投入Ii、平均税率t以及土地出让金l使社会生产力最大化。需将
代入社会生产力表达式中,化简后得:
(10)
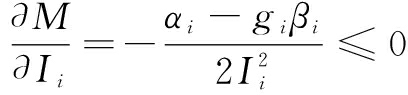
其最大化的充要条件就是令社会生产力M的一阶导数为0,即:
(11)
因为要赋予模型实际的经济学含义,就必然要求所有变量和参数都满足非负的要求,结合式(2)和式(9)综合推导得出:
(12)
将式(12)代入
中,可得:
(13)
使得社会生产力M最大化的![]()
由定义5中社会生产力的计算公式可以看出,社会生产力=社会总生产量/专项资金投入(其数学表达式为公式(5)),意味着如果政府单位专项资金投入能够撬动的社会总生产量越大,说明社会生产力水平越高,入驻经济区的企业数量就越多,也可以理解为社会生产力水平越高。政府可以通过调节平均税率t和土地出让金l最大化企业数量N,从而间接达到最大化社会生产力的目的,而政府能够这样做的前提是政府财政收入要满足非负的条件。在所有入驻经济区的企业中,企业j代表所有企业的平均实力,政府决策可表示为如下非线性规划:
(14)
通过计算可得定理1:
定理1:使社会生产力最大化的最优专项资金投入为
且当
时,最优平均税率和土地出让金分别为:t*=1,l*
当
时,最优平均税率和土地出让金分别为:t*
由于政府决策可视为带有约束条件的非线性规划问题,因而可用库恩—塔克条件求解。在考虑参数取值范围的前提下,将政府决策问题改写成如下形式:

(15)
对上述4个约束条件分别引入广义拉格朗日乘子
及
设该非线性规划问题的K-T点为(t*,l*),则可写出该问题的K-T条件:

(16)
为求解上述方程组,分别考虑如下情形:
Case1:令
无解。
Case2:令
无解。
Case3:令
解得t*=0,l*=0,且
从而与
矛盾,则这种情形下的解不是该问题的K-T点。
Case4:令
解得t*=0,l*=0,且
从而与
矛盾,则这种情形下的解不是该问题的K-T点。
Case5:令
无解。
Case6:令
解得t*=0,且
从而与
矛盾,则这种情形下的解不是该问题的K-T点。
Case7:令
解得t*=1,l*=Ij+mj-(pj-cj)Dj,且
则由
可得
则满足该条件的解为该问题的K-T点。
Case8: 令
无解。
Case9: 令
解得l*=0,且
从而与
矛盾,则这种情形下的解不是该问题的K-T点。
Case10: 令
解得t*=0,l*=0,且
从而与
矛盾,则这种情形下的解不是该问题的K-T点。
Case11: 令
解得t*=1,l*=0,且
从而与
矛盾,则这种情形下的解不是该问题的K-T点。
Case12:令
则
解得t*
由于参数t需要满足条件t≤1,从而可得
则满足该条件的解为该问题的K-T点。
Case13: 令
解得t*=0,且
从而与
矛盾,则这种情形下的解不是该问题的K-T点。
Case14: 令
解得t*=1,l*=0,且
从而与
矛盾,则这种情形下的解不是该问题的K-T点。
Case15: 令
解得t*=0,l*=0,且
从而与
矛盾,则这种情形下的解不是该问题的K-T点。
Case16: 令
解得t*=0,l*=0,且g1(t,l)=-Ij-mj<0,从而与g1(t,l)≥0矛盾,则这种情形下的解不是该问题的K-T点。
综上所述,当
时,该问题的K-T点为t*=1,l*=Ij+mj-(pj-cj)Dj。当
时,该问题的K-T点为t*
由于该非线性规划问题为凸规划,则K-T点(t*,l*)即为其全局极小值。
使社会生产力M最大化的
此时
即对于企业j而言,存在
且
由此可得:当
时,该问题的K-T点为t*=1,l*
当
时,该问题的K-T点为t*
证毕。
本模型中不仅参与者之间的主导及跟随关系与Stackelberg博弈模型十分类似,而且参与者之间的信息完全和对称性假定与Stackelberg博弈模型也十分类似。至少在经济区划实践中,政府与企业之间的信息是对称的,且政府和企业都是完全理性的决策者,决策双方都能对对方行为进行理性预判。由定理1发现,当
时,理性政府将采取的最优税率和土地出让金策略分别是:t*=1,l*
此时企业利润为:
可见理性企业不会入驻该经济区。基于企业这一理性行为,可推导出推论1:
推论1:使社会生产力最大化的政府最优决策为:专项资金投入、平均税率及土地出让金分别为
且
根据最优专项资金投入
税率
以及土地出让金
可求得产品销售量(市场需求量)Di、企业i的规模si以及企业数量N,从而最终确定该经济区的最优规模为:
其中,
推论1的内容是本模型分析的核心思想,其主要内涵可提炼为如下3个命题:
命题1:若政府在取得社会生产力最大化时,对企业的专项资金投入恰好为0,虽然社会生产力与专项资金投入量之间不存在因果关系,但是在实践中两者表现出相关性,即政府对企业进行专项资金投入的程度与所辖经济区的社会生产力水平呈负相关。
对命题1的论证:赋予推论1实际的经济学含义,则命题1可以理解为:若政府的最终目标是使社会生产力最大化,那么政府最好不要对辖区内企业进行专项资金投入,而是让企业能够自主组织生产经营活动以适应市场环境。事实上,社会生产力水平提升主要依靠全社会独立经济主体的社会产出能力提升,依据前文对社会生产力内涵的界定,社会生产力是指产出社会生产物质和精神财富的能力,政府财政能力则是社会物质和精神财富的蓄水池,如果用抽水机将蓄水池中的储水抽出再经过其它管道回注入蓄水池中,并不能说明水源获取能力增强。同理,用政府财力补贴企业使企业产出总量增加,如果是同比例增加,说明社会生产力水平并未得到提升。因此,本文用单位政府投入所引起的社会总产出量评价社会生产力水平,如果用极少的政府投入(极小是0)就能带来一定量的社会总产出量,那么说明社会生产力是极大的(趋于无穷大)。基于这一逻辑,如果政府不断对企业进行专项资金投入,对社会生产力水平提升就可能带来3个方面的伤害:①伤害市场竞争性,影响市场公平性;②增强企业逃避自我技术革新的惰性,降低企业自我造血功能;③企业专项资金投入具有政府补贴性质,补贴和税收一样会引起社会总福利的无谓损失,无谓损失降低了全社会经济资源配置效率[24]。因此,政府要谋求社会生产力水平最大化,必须维系辖区市场公平,增强市场竞争性,从而促使企业不断进行自我技术革新,而不是通过“输血”方式追求短期经济生产总量。
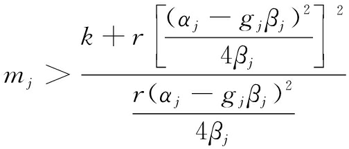
命题2:不同经济区企业入驻成本的临界值(或称为企业入驻成本上限)不尽相同,但经济区对企业入驻成本上限的容忍度往往可以说明目前该经济区社会生产力水平,也就是说,经济区企业入驻成本上限与该辖区内社会生产力水平呈负相关,即经济区辖区内企业入驻成本上限越高,说明该经济区社会生产力水平越低。
对命题2的论证:现实中,不同经济区的经济发展水平不尽相同,不同经济区的社会生产力水平也不尽相同。根据推论1,企业入驻成本必须低于某一临界值,模型才可能取得相应的最优解。若企业入驻成本低于临界值,政府将接纳其入驻经济区,若企业入驻成本高于临界值,政府则将通过设置各种政策门槛拒绝其入驻经济区。因为企业入驻成本较高会提升政府管理成本,现实中如果企业入驻成本更多地表现为对环境的破坏,那么政府在接纳这类企业入驻经济辖区后,造成环境治理费用上升,政府在环境治理项目上的支出费用实际上可以理解为对企业环境方面的广义专项资金投入。此时,该问题回到命题1的讨论范畴,可以这样类比:政府允许的企业入驻成本上限提高意味着政府对企业环境修复方面的专项资金投入提高。根据命题1的结论,这种做法实际上降低了经济辖区内社会生产力水平。因此,经济区企业入驻成本上限与该辖区内社会生产力水平呈负相关,即入驻成本上限越高,社会生产力水平越低。
命题2还可以用一种更为直观的方式理解:假如有两个地区A和B,A地区属于具有更高社会生产力水平的发达地区,B地区属于社会生产力水平低下的落后地区。在考察企业入驻成本方面,暂抛开其它方面的入驻成本,只单一考察企业对环境方面的入驻成本。不难发现,发达地区企业平均碳排放水平明显低于落后地区,说明落后地区对经济增长的关注度明显高于发达地区。为了经济增长,落后地区地方政府往往会给予企业更高的入驻成本临界值,让更多企业能够存活下来,从而发展地方经济。这就不难理解落后地区政府对高能耗、高污染企业的容忍度更高。但总体而言,政府还是更倾向于接纳入驻成本低的企业,通过税收、土地出让金、补贴、政府购买等调控手段鼓励入驻成本更低的企业优先入驻,从而减少高入驻成本企业数量。
命题3:在入驻成本低于临界值的被允许入驻的企业中,政府更加偏好入驻成本低的企业,而且在对该偏好实现策略选择上,对企业采取“少索取”策略要更加优于“多给予”政策。
对命题3的论证:在调整型激励理论中,斯金纳[25]提出的强化理论指出,如果某一行为出现的概率较大(这一行为在现实中是容易发生的),而且这一行为结果是令人愉悦的,那么正确的激励方式就是正强化,但如果这一行为后果是令人不愉悦的,则正确的激励方式就是惩罚。在本文中,企业提高入驻成本的倾向显然是极易发生的,因为企业在提高自身入驻成本时,实际上是将自身经营成本以外部性方式转嫁给全社会,最典型的例子就是企业排污成本。如果企业顺利地提升了入驻成本,对于经济区而言,其后果是令人不愉悦的。因此,正确的激励方式是惩罚。这恰好解释了政府为何在拒绝超过入驻成本临界值的企业时,会选择使用极高的税收或土地出让金等惩罚性手段。即便企业入驻成本上限低于政府允许的临界值,政府虽然持接纳态度,但仍会对这些企业维系一个最优税率和土地出让金水平,说明政府通过行政调控手段使得企业随意提高入驻成本上限(令人不愉悦的后果)变得越来越不可能,仅仅以降低惩罚力度的方式激励企业不断降低入驻成本上限。
在经济学的社会福利分析中,对于同等水平价格差的激励,减税策略是优于政府补贴政策的。因为税收和补贴都会引起社会总福利的无谓损失,减税会使得这个社会福利的无谓损失减少,而增加补贴会使得社会福利的无谓损失增加。就推论1讨论的主题而言,同样可以将减税类比成少索取,补贴类比成多给予。因此,在经济区划的政府行为中,为使社会生产力水平最大化,政府在激励企业不断降低入驻成本上限的策略选择中,“少索取”策略往往更加优于“多给予”策略。
本文尝试性地在政府与企业之间建立博弈关系,以此作为经济区规模决定模型,其中,政府是博弈主导方,企业是博弈跟随方。在博弈过程中,政府通过调节专项资金投入、平均税率以及经济辖区内土地出让金的取值影响经济区企业入驻数量及其经营规模,最终达到最优化经济区运行规模的目的。在对博弈逆向求解过程中,本文得到关于经济区规模决定因素如下:①博弈模型能够求出解析解,说明经济区最优规模确实存在,其最优规模的具体取值见推论1,其最优解的影响因素包括企业市场容量、价格弹性等。但对于政府而言,可以操作的影响因素只有企业入驻成本,即表达式中除企业入驻成本外的市场容量、价格弹性等因素,政府是无力改变的,只能被动接受,而对于企业入驻成本,政府则可以通过调节手段选择接纳或者拒绝;②在经济区最优规模形成过程中,政府调节的主要依据是企业入驻成本是否超过政府可接受的临界值。根据定理1的表达式发现,这个临界值的取值主要由税收和土地出让金对企业数量的影响系数、企业产品的市场容量,以及市场价格弹性等因素共同决定。如果将入驻成本临界值放到现实中考察,税收和土地出让金对企业数量的影响系数实际上可以归结为政府对企业经营的调控影响程度,企业产品的市场容量和市场价格弹性则可以归结为经济辖区的市场发育程度。
综上所述,本文认为政府在以社会生产力最大化为行政目标进行经济调控时,要取得最优经济区规模的正确行为方式应遵循3个命题的基本逻辑,具体行为建议体现在以下两个方面:
(1)如政府的最终目标是使社会生产力最大化,那么政府最好不要对辖区内企业直接进行专项资金投入,而是让企业能够自主组织生产经营活动以适应市场环境。政府对经济辖区的财政支出应该着力于提供更高水平的公共产品和公共服务,维护市场公平公正,进一步改善辖区经营环境。
(2)命题2表明,入驻成本上限越高的经济区社会生产力水平越低,企业入驻成本上限是决定经济区规模的重要因素。因此,政府在激励企业降低入驻成本上限的问题上应该有所行动,企业在自主技术革新方面总是存在惰性,其原因是企业自主技术革新在一定程度上会产生正外部性,因而需要政府进一步加大企业知识产权保护力度,以及给予经济辖区中企业正外部性活动更多补偿。但在具体激励策略选择上,政府应选择例如减税等“少索取”策略,尽量回避例如直接财政补贴等“多给予”政策。
参考文献:
[1] 邓晰隆,郝晓薇,叶子荣.基于规模扩张与交易成本冲突的经济区划理论分析框架[J].经济问题探索,2015(3):69-74.
[2] 邓婷.首届国家级新区发展论坛在重庆两江新区举行[N].新华网,2016-06-23.
[3] 叶飞文.中国经济区比较[M].北京:社会科学文献出版社,2010.
[4] 张蕾,史威.空港经济区空间结构演变及驱动机制——以上海虹桥国际机场为例[J].地理研究,2014,33(1):57-70.
[5] 谢浩,张明之.区域经济增长的空间跨越及区间收敛——泛长三角经济区接力式增长模式探究[J].江汉论坛,2014(11):47-51.
[6] 邱建.四川天府新区规划的主要理念[J].城市规划,2014,38(12):84-89.
[7] 张伟丽,杨慧敏.中原经济区省际边界经济协调发展及空间格局演化分析——兼与长三角省际边界区的比较[J].经济经纬,2015,32(1):6-11.
[8] 李春浩,张向前.美洲经济一体化对闽台合作构建台湾海峡经济区的启示[J].哈尔滨商业大学学报:社会科学版,2015(5):88-99.
[9] 王亚辉,全华.城市旅游发展与经济增长的长期均衡——洞庭湖生态经济区案例[J].经济管理,2016,38(2):140-150.
[10] 贾冀南,杨丽倩.人才集聚视角下的中原经济区增长极培育研究[J].华东经济管理,2016,30(4):68-73.
[11] 刘雅芳,许培源.创新产出的空间效应及影响因素研究——基于海峡西岸经济区面板数据的分析[J].科技与经济,2016,29(3):24-28.
[12] 王路昊.区域创新中府际合作的多重逻辑——基于成都经济区八市的话语分析[J].上海交通大学学报:哲学社会科学版,2016,24(4):72-83.
[13] 冯倩.鄱阳湖生态经济区畜禽养殖污染负荷分析[J].生态与农村环境学报,2014,30(2):162-166.
[14] 国凤兰,刘庆志.山东半岛蓝色经济区环境成本和谐管理研究[J].生态经济,2014,30(2):111-115.
[15] 安翠娟,侯华丽,周璞,等.生态文明视角下资源环境承载力评价研究——以广西北部湾经济区为例[J].生态经济,2015,31(11):144-179.
[16] 姜博骞,刘欣.基于DEA-Malmquist的环渤海经济区水资源利用效率评价[J].资源开发与市场,2015,31(1):49-51.
[17] 董会忠,吴朋,万里洋.基于NC—AHP的区域生态安全评价与预警——以黄河三角洲高效生态经济区为例[J].科技管理研究,2016(9):79-88.
[18] 邓晰隆,叶子荣,赵晖,等.交易成本约束条件下的经济区效率分工规模研究——来自上海浦东新区的数据[J].管理工程学报,2015,29(3):164-171.
[19] 马华山.“三个有利于标准”的哲学意义[J].河南师范大学学报:哲学社会科学版,1999,26(3):31-33.
[20] 陈国新.“三个有利于”是中国特色社会主义理论体系的基本原则[J].理论月刊,2010(1):33-37.
[21] 李斯特.政治经济学的自然体系[M].北京:商务印书馆,1997.
[22] A FEENBERG.Critical theory of technology[M].New York:Oxford University Press,1991.
[23] 葛玉海,曹志平.生产力与座架:马克思与海德格尔在技术决定论上的异同[J].自然辩证法研究,2015,31(4):31-36.
[24] N GREGORY MANKIW.Principles of economics[M].Singapore:Cengage Learning,2011.
[25] B F SKINNER.Cognitive science and behaviorism[J].British Journal of Psychology,1985,76(3):291-301.
Deng Xilong1,Chen Juan2,Ye Zirong3,Tan Chunping1
(1.School of Economic & Management,Lanzhou University of Technology,Lanzhou 730050,China;2.Gansu Administration Institute,Lanzhou 730010,China;3.School of Economic &Management,Southwest Jiaotong University,Chengdu 610031,China)
Abstract:The paper aims at constructing the government-enterprise game relationship as the economic zone′s scale determination model to dig into the decisive factors in influencing the economic zone′ scale based on the administrative objectives of social productivity maximization.Meanwhile,it is designed to discuss the reasonable behavioral strategy for the government in the economic operational process by the economical connotation extension of the model.The research indicates that the cost of the enterprise to invest and operate in the economic zones is the critical factor to influence the scale maximization in the government-enterprise game relationship in the self-profited system.In the formation of the optimal scale of economic zone,the government′s regulation means centers on how to stimulate the enterprises to innovate technology independently and reduce the entry cost upper limit,of which the core government behavior should include the following two points.The first point means that when the social productivity maximization is seen as the administrative objective,it is better for government to allow the enterprises to arrange their own production and operation activities to adapt to the market rather than put in special funds to the enterprises in its jurisdiction or offer financial subsidies.The second is that the government should adopt the strategy of "taking less" rather than "giving more" to encourage the enterprises to reduce the entry cost upper limit independently.
KeyWords:Maximization of Social Productivity;Economic Zone′s Scale; Government-Enterprise Game Relationship; Decisive Factors;Government Behavior Strategy
DOI:10.6049/kjjbydc.2017080260
中图分类号:F061.5
文献标识码:A
文章编号:1001-7348(2018)11-0052-08
收稿日期:2017-10-24
基金项目:国家社会科学基金项目(17BJL069)
作者简介:邓晰隆(1980-),男,四川苍溪人,博士,兰州理工大学经济管理学院副教授、硕士生导师,研究方向为宏观经济管理;陈娟(1981-),女,甘肃天水人,甘肃行政学院副教授,研究方向为公共管理;叶子荣(1956-),男,重庆人,博士,西南交通大学经济管理学院教授、博士生导师,研究方向为宏观经济管理;谭春平(1979-),男,湖南衡阳人,兰州理工大学经济管理学院副教授、硕士生导师,研究方向为宏观经济管理。
![]()
(责任编辑:张 悦)