徐新华1,郭 露2
(1.南昌大学 经济管理学院,江西 南昌 330031;2.江西财经大学 统计学院,江西 南昌 330013)
摘要:长江经济带作为“一带一路”国内沿线地理意义上的国内区域,涉及省(市)的产业梯度转移与产业转入地的产业承接活动频繁。但长期单向产业“高-低”转移使得区内省份间的产业趋同性严重,产业资源利用效率结构性失衡。借鉴距离协调度模型对效率模型进行合理改进,通过分析2006-2015年经济带内的面板数据,测算出区内各省(直辖市)产业承接效率,并探讨区域产业整体承接效率值与经济增长的门槛效应,进而分别以二、三产业增加值作为经济增长因变量考察门槛值变动状况。结果发现:长江经济带内各省(直辖市)产业承接效率整体不高,各省产业承接效率与自身经济发展不存在线性关系,总体呈现出衰退趋势。以二、三产业增加值为因变量的产业转移效率测算结果则表现出在各自阈值内分别加速转移和减速转移现象,即区内第二产业承接效率总体趋缓,第三产业承接效率总体加速。相对来说,两个直辖市的产业内生性较显著。
关键词:长江经济带;产业承接效率;BBC效率模型;门槛效应
产业转移活动是自现代工业社会以来,世界范围内产业转移浪潮中落后国家实施融入战略或进位赶超战略的重要制度性安排及驱动经济发展要素的普遍现象。随着发达国家由成本、劳动力、制度及高素质人才驱动的阶段性经济增长天花板的到来,以国家和企业为主体的组织会将不具备综合产品竞争力的产品链、产业链及产业带转移到欠发达国家,这既是经济一体化的重要活动现象,也是提升产业发展高度、挖掘产业技术深度的必然选择。3次产业转移浪潮从产品、产业和资本等实践上加快了世界经济一体化进程,也为“比较优势”和“资源禀赋”理论融合提供了自洽逻辑[1]。受益于第三次产业转移浪潮,我国沿海地区崛起成为世界制造中心,同时叠加应对因高科技替代速度加快带来的第四次产业转移,导致我国现有产业转移存在空间收敛和时空替换特征。不同区域产业转移受制于环境压力、距离远近带来的便利程度以及区域商业人文关系,存在就地转移、转入转出、外接内转等形式的产业转移类型。这些不同的产业转移方式在不断推动本区域主导产业发展的同时,对区域间产业联结与经济紧密互动产生了不同影响[2]。
长江经济带作为国家“一带一路”倡议的实施地,区域内产业转移具有梯度差异明显、经济发展不同阶段的省域样本齐全、沿江沿路产业转移历史效果好等特征。目前,以“龙头带动”辐射“龙身崛起”的产业发展格局业已初步形成[3]。这使得该区域内的中国中西部省份在承接国际、国内产业转移上面临前所未有的机遇和挑战。经过40年的改革开放,上海辐射江浙一带并沿长江向腹地辐射的第二产业转移态势业已成型,但也存在着由于内陆省份人力资源丰富、要素成本低、产业结构单一所导致的产业转移长期失衡:依附型和接续型产业过多使内陆省份产业结构长期失衡、产业进位困难;原发性、自主性产业由于受外部产业转移挤压而失去产业发展空间;二、三产业同时转移的效果不明显,有关省份对二、三产业增加值的关注因长短利益关系存在典型的产业政绩观等短期逐利问题。上述问题不仅会导致长江经济带的经济发展多样性衰退,也会使产业转移效果陷入“天花板”状态[4]。
因此,长江经济带内各省(市)面临着如何高效承接外来产业转移的问题。这种高效主要表现在短期内提高产业承接效率和长期内注重产业承接效果两者平衡上。本文通过对产业承接效率进行理论分析和实证,考察区域内不同省份产业转移效率差异来源,并分别考虑二、三产业承接效率与经济增长的长期关系。这既可以帮助决策者意识到转移效率的重要性,又可以提高现有产业资源利用率,对实现区域经济集约化发展起重要作用。
产业承接研究是伴随着产业转移现象开始的,产业转移研究则主要是承袭古典经济学中的重商主义、比较优势与要素禀赋理论发展而来。赫克歇尔和俄林[5](H-O模型)提出的要素丰裕度变化表明,产业转移是必然现象。普雷维尔[6]的“中心-外围”理论丰富了不平等经济体下的政策主张,这一核心思想在雁阵转移分工理论中得到具体贯彻。边际产业扩张理论主张把发达国家已有的比较劣势产业通过对外直接投资形式转移出去。产业承接作为接收转移的必然工作,其在数量和质量上的承接差异对一个国家走模仿式创新还是自主式创新的道路选择起交叉作用[7]。承接阶段性选择和制度性安排会在较长时间内锁定产业承接道路及由此带来的世界产业重新分工、产业体系位置稳定及产业效益分配地位等。多数国家最初承接劳动密集型产业转移,这离不开刘易斯“二元”经济理论的影响。Vernon[8]的产品生命周期理论为不同国家产业承接环节的比较优势选择提供了理论依据。跨国公司实践则为国别间的比较优势选择提供了消除交易费用的产业承接直接研究样本。跨国公司的上下游关系为一国同时承接不同产业提供了必要的外部环境,如Edmund[9]对产业梯度转移的研究。Dunning[10]基于生产折衷理论把所有权优势、内部化优势及区位优势纳入产业承接综合思考中,认为不同国家之所以有不同的产业承接效果,与前述3种优势的此消彼长有关。Ellison[11]对产业转移模式和效应进行了研究,认为产业承接地的资源丰度是模式选择决定因素等。
上个世纪80年代,国内对于产业承接的研究多数在产业技术梯度、竞争优势、产业网络和国家政策及文化等方面着力较多[12]。同时,由于产业承接带来的产业低端位置锁闭效应,产业反梯度的理论研究成果较多[13]。多数学者认为,我国产业承接是在产业转移“雁阵模式”下进行的(产业政策与创新学术研讨会,2014年7月),并认为2003年后我国进入了以要素投入驱动的产业转移和承接阶段。刘培林等[14]认为,地方保护主义作为阻隔要素制约了产业转移,使得产业承接容易向低端方向发展。冯根福等[15]通过对我国东中西部工业产业转移分析,认为截至2006年,部分技术密集型产业较劳动密集型产业更容易被产业承接。石奇等[16]认为,产业承接地既需要转出地的转移推动力,又需要转入地的转移拉动力,这种拉动力的多样性决定了适合产业生存的多样性。吴晓军等[17]通过对产业转移类型分析,认为产业承接包含扩张性产业转移和撤退性产业转移,不同的产业转移类型决定产业承接的外部宽度。原小能[18]认为,增值环节转移下的产业承接是国际产业转移的新趋势。陈刚等[19]利用C-D函数结合半参统计方法对跨地区全要素生产率进行研究,认为产业转移效应取决于3个效应的总和,其中发展效应是产业承接效率重点考虑来源。苏华等[20]通过构建产业承接能力评价指标体系,运用熵值法对中国内地产业承接能力进行量化分析,得到区域间产业承接能力差异明显且呈块状分布的结论。周五七[21]根据相对产业梯度模型,对中部承接沿海产业转移的具体产业选择进行了研究。王玉梅等[22]基于DEA法对皖江城市带承接产业转移配套服务效率进行了研究,指出有关指标存在不同程度的产出和投入冗余。王冬等[23]拓展了Amity Wei的理论框架,度量对外承接外包水平,通过构建动态面板数据发现区域对外外包会正向影响生产率,承接外包则负向影响劳动生产率,对全要素生产率的作用不显著。因此,吸收外商直接投资要注意不同形式的外包活动。黄东佳(2015)通过制度视角分析得出,产业转移承接能力主要取决于当地要素禀赋和基础设施完备程度。
总的来说,产业承接研究理论流派较多,国际上注重于企业转移、价值创造和产业链价值溢出等微观实践,多数围绕产业转移模式、方式和路径展开。国内则在产业转移承接效果、产业承接地合理区位选择、产业空间格局等实证层面的成果较多,运用方法多集中于DEA方法中的传统模型,以及动态面板数据建模与空间计量经济学等方面。以投入-产出为核心的产业承接效果分析则散见于分行业的具体产业关联、产业变迁发展研究中。这类研究问题较集中表现在:①在定义规范性方面有所缺失,如多数国内学者把产业转移等同于产业承接,但实际上产业承接是产业转移的一部分,主要以产业转入为代表,笼统合并会导致有关实证显著性明显降低;②对数据建模并考察的假设前提与所收集数据不符,往往使数据替代性不足而导致模型说服力不强;③对产业承接效率分析多处于定性和描述阶段,已有实证研究对非线性模型欠缺考虑,实际上产业承接由于区域异质性存在极大不同,大范围量化指标设定以及面板分析有理论欠缺。
因此,本文沿袭上述学者的相关研究及定义[15,16,19],将产业承接定义为特定区域已有产业和新产业承接外来相近产业的综合变动能力。产业承接效率是指产业承接带来的该产业促进本区域经济增长的优化能力大小。这种优化能力因不同区域因素的影响不一而足,应该考虑用多阶段效率模型方法进行分析。在产业转移过程中,“量的积累”达到一定程度后,就必须考虑“质的飞跃”,毕竟规模经济效应既受转出地转出意愿的限制,也受转入地承接转入能力和产业路径选择的影响。本文借鉴多阶段效率模型,结合修正后的距离显性变量对长江经济带11个省市承接产业转移投入产出效率进行考察,并结合省域特征进行比较研究。采用变量间非线性关系的门限面板回归模型,考察产业转移承接效率与经济增长之间的关系。通过对考察期内各省市与经济增长存在的门槛效应值进行探究,为差异化产业经济政策提供建设性意见。
DEA模型是经济活动效率模型研究中最常用的方法[24],但是在处理由于数据问题及测量误差所引起的随机误差方面无能为力。CCR与BBC模型则能在决策单元效率(DEU)评估上提供更有效的方法。相较于CCR模型,BBC模型打破了模型规模报酬不变的假定,使测算决策对象规模报酬下的综合效率分解为纯技术效率与规模效率成为可能,但对多阶段下的超效率区间探寻无能为力。对于潜在效率和真实效率之间的差值,不少学者采用相应方法改进[25]:①从差值比重考虑效率缺失从而衡量相应效率改进大小[26];②对技术效率值或规模效率值的分解进行压力测试;③对技术无效项和无效随机项的影响度不同阶段表现进行考察,在多阶段DEA方法应用效果方面取得了主要进展[27],具体方法与步骤简单分解如下:
(1)BBC模型简介与阶段性展开:假设有n个DMU,每个DMU都有m种输入状态和s种输出状态,输出状态用Χj表示,输入状态用Yj表示,因为主要考虑反映输出单元的异质信息,因而增加凸性假设与阶段性约束,得到BBC模型如下所示:

该模型如果存在约束条件下的最优解θ≈1,说明在相邻阶段上效率值接近,意味着BBC模型是有效的;如果θ<1,说明相邻两个阶段效率值存在较大出入,则BBC模型无效。其中 和
和 是投入和产出的松弛变量,λj(j=1,2,...,n)是规划决策变量,θ是效率值,xj和yj分别是投入变量和产出变量。当较复杂的经济社会系统存在多个投入和产出变量时,最大的问题就是在考察期内的相邻两个时间段由于未知显性因素冲击效率值,使效率值突然发生较大波动而导致效率评价出现偏误,最终导致政策制定出现盲目结论[28]。考虑到产业承接转移是一个较长时间段的自发性过程,承接的最终目的是在区域间协调发展和区域内产业自主能力之间取得平衡,因此该模型在分析其效率时更为合适。
是投入和产出的松弛变量,λj(j=1,2,...,n)是规划决策变量,θ是效率值,xj和yj分别是投入变量和产出变量。当较复杂的经济社会系统存在多个投入和产出变量时,最大的问题就是在考察期内的相邻两个时间段由于未知显性因素冲击效率值,使效率值突然发生较大波动而导致效率评价出现偏误,最终导致政策制定出现盲目结论[28]。考虑到产业承接转移是一个较长时间段的自发性过程,承接的最终目的是在区域间协调发展和区域内产业自主能力之间取得平衡,因此该模型在分析其效率时更为合适。
(2)考察大范围区域效率分析的异质性因素太多,虽然对产出变量认定基本以经济社会协调发展为主,但是投入变量中的松弛变量因各地资源丰度、发展水平及历史基础条件不同而大相径庭[29]。同时,鉴于效率模型方法对投入产出指标个数不超过决策单元数量两倍的约定,故上述模型所涉松弛变量还需进一步分解以便更好地为模型所用。参考汤铃与李建平[26]对系统协调发展定量评价方法的研究,本文借鉴区域距离协调度模型对BBC效率模型进行合理的逻辑修正,以便把影响考察区域的主要显性因素纳入产业承接效率实证过程中。
步骤如下:一般决策单元实际状态与理想状态的度量公式为:

(1)
其中,xit为t时期子系统i的发展度,si为子系统i的离差系数, 为离差系数偏移值。两者差值决定区域间发展的固有距离空间,不同区域的距离空间决定了区域间效率比较初始值的不同。
为离差系数偏移值。两者差值决定区域间发展的固有距离空间,不同区域的距离空间决定了区域间效率比较初始值的不同。
这种不同反映在BBC模型及其展开中,表现为不同决策单元其约束条件会有较大变化。此时,锚定点一般可由距离协调度基础模型借鉴得来:

(2)
其中,ct为第t时期决策单元i的协调发展锚定点,k为该时期投入变量的使用数量。可以证明ct∈(0,1],通过Cit使各 计算统一到可以衡量的同一基础上,其它未说明变量经济含义及其赋值与BBC主流模型含义相同。
计算统一到可以衡量的同一基础上,其它未说明变量经济含义及其赋值与BBC主流模型含义相同。
经典投入产出理论认为,生产活动所需投入通过资本、劳动力、土地和企业家4种生产要素表现出来。同时,通过相关效率文献总结、分析,笔者考虑以5个层次、8种因素分析产业承接的松弛变量,但各种经济现象都是在积累基础上发生的[30]。产业承接效果不仅会受这些因素当期的影响(即期效应),也会受这些因素往期影响(滞后效应)。因此,在探索产业转移的投入变量时,需要考虑所选指标因素往期对当期产业承接效率的影响[31]。
(1)松弛变量指标选择。查阅已有文献,并根据数据可获得性,探讨指标如下:①基础设施建设优化能力(PT):用年度新增基础设施投资占地区生产总值的比重与基础设施空间结构化程度相除得到。其中,基础设施空间结构化程度借鉴汤铃等[26]的产业效率模型并进行(0,1]标准化处理得到;②对外交流与合作能力:使用外来资本占社会固定投资比重,即FC和进出口总额占地区生产总值比重及IE两个指标表示;③发展潜能:任何经济现象的出现都来自于某些潜在因素的推动,这些潜在因素也是经济发展的潜能。分别用社会消费总额占地区生产总值比重(CS)、高等学校毕业人数(ED)、全社会固定投资总额(IV)作为代理指标;④经济发展能力:经济发展水平越高,区域产业发展机会越大,产业效率因此受到极大影响。本文用二三产业占地区生产总值比重(SGDP)代表经济发展程度;⑤政府支持能力:本文选取财政支出占固定投资比重(FN)表示。
(2)投入要素选择。在资本要素投入指标选择上,考虑到省市承接产业转移的省外资金利用情况的数据统计口径不一、数据缺漏等问题,多数学者都采用外商直接投资作为吸引产业转移效果的衡量指标对产业转移进行实证研究,但无法体现产业承接效率全貌[32]。本文考虑用(资本投入-政府直接投资)/民间资本投入作为外部资本投入替代指标;在劳动力投入要素上,由于11个省市承接的产业大多集中在制造业和服务业等第二、三产业,因而选用二、三产业新增就业人员。产出指标选择的是11个省市的二、三产业增加值,表现为二、三产业企业生产过程中新增加的价值。在考虑经济社会协调发展度并计算11个省(直辖市)相应年份的协调值后,采用指数化方法对其进行处理。
本文考察时间段为2006-2015年,投入和产出指标的数据均来源于2006-2015年《中国统计年鉴》及各省统计年鉴、《中国城市统计年鉴》、中国经济与社会发展统计数据库和中国企业数据库,经过计算整理得出11个省市承接产业转移的面板数据,应用上述模型进行计算和实证分析。
(1)在确定不同省份有效的松弛变量入选环节,本文以测算产业静态技术效率值作为被解释变量(一般以综合承接效率表示)。选取上文所述的8个因素作为产业效率影响因素,为了探究其对产业承接效率的即期效应和滞后效应,选择其当期和滞后一期(共16个因素)作为解释变量。因为被解释变量取值范围为0~1,属于截断离散分布,若直接建立普通最小二乘法回归会出现有偏且不一致的回归结果,因而本文选择构建Tobit对数模型[33]。然后,代入Stata软件进行Tobit模型回归,运行结果显示不同省市变量显性程度有较大不同,入选的有效松弛变量个数也不同。表1总结了11个决策单元松弛变量入选变量名(以5%的显著性水平作为入选标准)。
表12006-2015年长江经济带11省市影响承接效率的有效松弛变量

本文将不同省市入选的松弛变量放入模型展开计算,由于篇幅有限无法列出所有年份的产业承接效率值,仅列出2006、2009、2012和2015年的产业承接效率值以及4年平均值,如表2所示。
表22006-2015年长江经济带11省市产业承接效率值

从表2结果看,2006-2015年长江经济带11个省市总体综合产业承接效率值在波动中缓慢上升,2009年有所下降,主要受国际金融危机带来的输入型风险的影响,资金匮乏和产品外销乏力导致各省产业承接效率总体下滑,此后逐步恢复。但直至2015年,综合承接效率值只有0.68,离平均值0.8的综合效率理想水平有较大差距,说明产业承接结构性失衡问题仍然是一个整体性问题。
从技术效率值和规模效率值看,可以发现上海市、江苏省、浙江省和重庆市都处于规模效率值1的位置,说明经过多年发展,上述省(市)的规模效应已经达到了一个门限阈值或者说天花板效应明显,其它省市的技术效率值大于规模效应值。区内东中西部省份没有显著偏向规律,说明各省在产业承接活动过程中要么没有注重对技术效率值提升影响较大的产业引进,要么没有注重对规模效应值提升影响较大的产业引进。总体看,经济带内各省市都能在一定程度上有效引进不同类型产业。在此期间,江西省和云南省产业承接效率总体趋势为:技术效率值大于规模效率值。这一方面说明两个省在产业承接过程中注重技术引进及技术配套引进,另一方面可以解释为考虑到人多地少、属地有限的资源使用和获取能力,该省产业承接不得不过多地从重视产业技术升级入手。安徽省、四川省及贵州省在考察期间产业承接的技术效率值和规模效率值互有高低,这一方面说明上述省份产业承接在技术和规模效应方面层次性好,另一方面可以认为初步与本省已有产业产生了良性互动,产业内生性能力得以提升。湖北省、湖南省和重庆市在考察期初始年份的技术效率值大于规模效率值,2008年后产业承接的技术效率值小于规模效率值。本文考察该期间湖北省、湖南省具体产业结构变动过程发现,两湖地区外部资源获取能力比区域内其它省份强,这主要得益于京广纵向大动脉和浙赣、沪武客运专线的开通,后者使上述地区的资源可得性和资源使用能力得以提升,同时提升了高质量资源要素使用的规模能力。重庆市则得益于直辖市政策倾斜和多年有效资本引进活动作用于高增值产业落地的结果。
整体看,上海市和浙江省产业综合承接效率反而与其已有技术效率值与规模效率值有较大差距,说明这两个省市的产业承接能力正在减弱。从国内看,上海和浙江一直是产业能力输出地,浙江省经商活动历史悠久,一直以来也较少承接国内其它区域的产业转移。上海市由于中国经济桥头堡功能显著,作为产业中转地位置明显。因此,上述两地处于明显的产业外移阶段,如何挖掘新的产业承接效率增长点是未来重要的思考方向。2014年后,江苏省产业承接综合效率值有所降低,说明该省原有产业发展格局面临失速的危险,如何寻找新的关联产业承接以延续其经济增长,需要系统性思考。
由于不同产业类型对区域经济增长影响存在阶段性能力差异,如上海作为国际性大都市,目前产业类型以第三产业为主,这种产业承接现状在经济发展面临新高度时如何改变?是继续承接国外的第三产业?是加速承接还是在不同阶段注重二、三产业承接比重以更好地促进经济稳态发展?本文就此问题进一步考察不同产业类型与区域经济增长的门槛效应,对长江经济带内不同省市在不同时间段选择何种产业类型提供路径参考。
由Hansen[34]提出的门槛回归模型研究不同机制下的经济活动,该模型的内生性划分避免了主观划分机制或门槛偏误,应用范围较广。多门槛模型与单门槛模型相似,均是在确定第一个门槛值的情况下的扩展,其基本形式如下:

(3)
其中,Yi为被解释变量,X代表解释变量,qit代表门槛变量,θ和λ为相应变量的参数向量,ε为残差项。Hansen(2000)认为,根据相应的门槛值,可将样本划分为两个区域。若设定一个指示函数I,当qit≤r时,I=0;否则I=1,则公式合并为单一方程:
Yi=α1+X×θ+λ×qit
(4)
得到门槛值的估计值后,为验证以门槛值划分的两组样本模型估计参数是否显著不同,需要进行显著性检验。其中,s0为在原假设下残差平方和,由于在无门限效应下造成检验统计量不再服从χ2分布,Hansen[35]通过自举法得到渐近分布,进而得到相应的临界值。
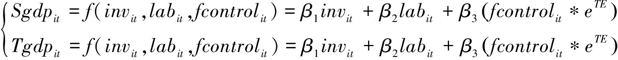
为了能够较精确地测量区域产业承接对所在地区经济增长的影响,笔者结合前文所述,选取年度二、三产业GDP(Sgdp和Tgdp)作为因变量,以(新增资本投入-政府直接投资)/民间资本作为衡量资本水平的替代自变量,以年度二、三产业新增就业人员作为衡量人力资本水平的替代变量,以不同省份中存在的共同松弛变量作为控制变量,构建门槛方程。
因此,本文基础模型为:

(5)
两边取对数后得:

(6)
式(6)中,i表示长江经济带11个省市,t表示面板数据从2006-2015年的时间跨度(i=1,2,...,10,t=2004,2007,...2015)。其中,解释变量产业承接效率(TE)是核心解释变量,即门槛变量值。将式(6)扩展,改为包括门槛变量的回归模型,如式(7)和式(8)所示。
lnSgdpit=β1lninvit+β2lnlabit+β3(TEit+lnfcontrolit)I(TEit λ1)+β4(TEit+lnfcontrolit)I(λ1
λ1)+β4(TEit+lnfcontrolit)I(λ1 TEit
TEit λ2)+…+βn(TEit+lnfcontrolit)I(λn-1
λ2)+…+βn(TEit+lnfcontrolit)I(λn-1 TEit
TEit λn)+εit
λn)+εit
(7)
lnTgdpit=β1lninvit+β2lnlabit+β3(TEit+lnfcontrolit)I(TEit λ1)+β4(TEit+lnfcontrolit)I(λ1
λ1)+β4(TEit+lnfcontrolit)I(λ1 TEit
TEit λ2)+…+βn(TEit+lnfcontrolit)I(λn-1
λ2)+…+βn(TEit+lnfcontrolit)I(λn-1 TEit
TEit λn)+εit
λn)+εit
(8)
其中,β1,β2,…,βn-1,βn为对应的门槛回归系数,λ1,λ2,…,λn-1,λn为待估计门槛值。
使用门槛面板回归模型之前,应该首先检验是否存在门槛效应。笔者借鉴Bootstrap自抽样方法,计算F统计量分布和P值以确定门槛值的个数。本文采用稳健估计方法,运用STATA14.0统计软件进行实证研究,如表3所示。
表3门槛模型检验结果

注:**表示5% 的显著性水平,*表示10% 的显著性水平
由表3计算所得的F值和P值可以看出:以产业承接效率值为门槛变量,两组方程均在单一门槛在5%的显著水平下显著,双重门槛在10%的显著水平下显著,但三重门槛P值未通过显著性检验。因此,将该模型组设定为双重门槛回归模型。检验其门槛效应后,分别确定二、三产业转移承接效率的门槛值,同时通过“汉森三步法”完成,如表4所示。
由表4可知,主要控制变量都在1%的水平下显著,且系数都为正数,表明这些控制变量均对经济增长有一定的促进作用。资本投入在第二产业承接效率与经济增长稳态之间的作用较劳动力投入更显著;劳动投入在第三产业承接效率与经济增长稳态之间的作用较资本投入更显著。对于lnSgdpit方程,对应门槛模型的两个门槛值分别是:单一门槛值是0.386 4,双重门槛值是0.913 5;对于lnTgdpit方程,对应门槛模型的两个门槛值分别是:单一门槛值是0.362 8,双重门槛值是0.928 7。这部分说明已有产业承接活动或者承接行业较集中地处于第二产业中资本密集型为主的行业和第三产业中劳动密集型为主的行业。
表4结果表明,产业承接效率与经济增长在区域内总体呈现双重门槛值效应,即无论是以第二产业新增产值作为自变量建立门槛效应方程,还是以第三产业新增产值建立方程,考察期内所显示的结果表明,两个门槛值引致的3个阶段性线性关系均较为显著。比较lnSgdpit方程和lnTgdpit涉及的门槛值,第三产业新增产值作为考察的两个门槛效应值,其距离较第二产业的两个门槛效应值更远。这说明在区域产业承接活动中,长江经济带作为整体承接外来第三产业会在相当长一段时间内处于与经济增长协调发展阶段。一旦整体承接效率值高于高阈值或者低于低阈值,这种协调发展水平或者方向就要进行极大的调整。这比较符合产业转移理论中高净值产业更不容易转移的基本理论事实,即以制造业为代表的第二产业容易在区域间发生产业转移和承接,相对来说,其在不同阈值间与区域经济增长的协调发展关系更容易被打破[36]。同时,间接证明了第二产业转移或者承接在省域间虽然更容易实现,但是有关产业配套的转移和承接应是保证第二产业有效转移并达到与所在省份经济增长协调的重要方式。
表4门槛回归估计结果

注:***表示1%的显著性水平,**表示5%的显著性水平,*表示10%的显著性水平
本文通过对产业转移中产业承接现象所涉理论的分析,界定了产业承接概念及表征承接效果的投入产出变量与控制变量。通过借鉴距离协调度模型对BBC效率模型进行修正,分析了2006-2015年区域内以11个省市为决策单元的异质性决策变量的产业承接效率,并将其分解为技术效率和规模效率进行面板数据意义上的考察。以二、三产业行业增加值作为因变量,以经济增长阶段性关系作为门槛模型,得到主要结论如下:
(1)在考察期间,长江经济带所属11个省市的产业承接效率变动分为3种类型,一是以上海市、浙江省为首的第一阵营,其产业承接效率值相对较高(但技术效率值和规模效率值却不低),基本形成产业外扩态势,区域内产业承接能力相对下降。原因部分与本文实证过程中的指标选择及计算过程有关,如规模经济效应的计算主要与距离权重作为主要变化因子的基础设施空间结构有关。相对于经济带内其它省份,上海和浙江更快达到了距离权重的极值,使得这些省市区域内基础设施优化能力提升速率趋缓,从而影响了区域内产业承接效率的支持能力提升。湖北省、湖南省和重庆市形成第二阵营,其产业承接效率值较高(技术效率值大于规模效率值),基本形成了较好的产业资源规模利用能力,技术利用水平不断提升。安徽省、四川省和贵州省形成第三阵营,其产业承接效率值正常(技术效率值和规模效率值互有高低),正处于外部产业有效承接与内部产业自身发展的有效对接中。江西省和云南省则处于第四阵营,其产业承接效率值相对偏低(技术效率值高于规模效率值),还需极大地提高产业资源利用效率,从而真正把高技术效率值产业与自身实际承接能力有效结合起来。2014年后,江苏省产业承接综合效率值有所降低(技术效率值降低的同时规模效率值提升),说明该省需要认真选择承接行业,尽快实现产业换轨式发展。
(2)由产业增加值与经济增长的门槛效应分析可知,无论是以第二产业增加值还是以第三产业增加值作为因变量,考虑承接效率值的门槛方程均呈双门槛值的结果。长江经济带内所有省(市)产业承接效率值均位于双阈值之间,并在考察期内上下浮动。确切地看,只有江西省和安徽省等少数中部省份在少数年份的产业承接效率值低于双门槛阈值中的较低值。这种情况既印证了新世纪以来部分中部省份“中部塌陷”的经济现象,也为这些省份敲响了警钟,即简单的产业承接不能带来稳定的经济增长,既要分门别类地做好产业承接工作,又要使自身产业“量”、“质”齐飞,壮大已有产业群或产业链,从而更好地迎合产业承接的经济浪潮或转移趋势。
因此,江西省和安徽省等中部省(市)需要花大力气厘清已有优势产业,认清其所属行业特性,从技术密集型或者劳动密集型视角进一步做好外来产业承接工作。区域内东部省(市)虽然产业承接能力衰退,但是其技术效率值和规模效率值仍然处于较高水准,通过省内产业有机整合、省外资源有偿获取进一步提升资源利用效率是未来产业承接工作重点。同时,做好国外产业向中国转移是上述省市新的产业承接工作。其它中西部省(市)要进一步加强现有产业承接与自主产业发展的衔接工作,扩大产业跨区域协同发展的经济效果,让自身优势产业更快、更好地走出去,尽快制定合理的产业双向发展思路,把握现有产业转移浪潮,真正实现后发式跨越发展。
参考文献:
[1] ASHCROFT B,TAYLOR.The movement of manufacturing industry and the effect of regional policy[J].Oxford Economic Papers,1977(29):3-25.
[2] 张公嵬,梁琦.产业转移与资源的空间配置效应研究[J]. 产业经济评论,2010(3):1-21.
[3] 顾朝林.产业结构重构与转移——长江三角洲地区及主要城市比较研究[M].南京:江苏人民出版社,2003.
[4] 林毅夫,李永军.比较优势、竞争优势与发展中国家的经济发展[J].管理世界,2003(7):21-28.
[5] HOTELLING H. Stability in competition[J].Economic Journal,1929(39):41-57.
[6] DOWLINGM,CHEANG C T. Shifting comparative advantage in Asia:new tests of the flying geese model[J].Journal of Asian Economics,2000,11(4):443-463.
[7] KOJIMA K. The flying geese model of Asian economic development:origin,theoretical extensions and regional policy implications[J].Journal of Asian Economics,2000(11):375-401.
[8] RAYMOND VERNON. International investment and international trade in the product cycle[J]. The Quarterly Journal of Economics,1966,80(2):190-207.
[9] EDMUND R T. Technology transfer to China by Hongkong′s cross-border garment firm[J].The Developing Economics,2003,41(1):88-111.
[10] DUNNING J H. Location and the multinational enterprises:a neglected factor[J].Journal of International Business Studies,1988(1):1-31.
[11] ELLISONG, GLAESER E L.The geographic concentration of industry: does natural advantage explain agglomeration[J].American Economic Review,1999,89(2):311-316.
[12] 陈刚,刘珊.产业转移理论研究:现状与展望[J].当代财经,2006(10):91-96.
[13] 杨云彦,朱金生.经济全球化、就业替代与中部地区的“边缘化”[J].中南财经政法大学学报,2003(5):90-95.
[14] 刘培林.地方保护和市场分割的损失[J].中国工业经济,2005(4):69-76.
[15] 冯根福,刘志勇.我国东中西部地区间工业产业转移的趋势、特征及形成原因分析[J].当代经济科学,2010(2):1-10.
[16] 石奇,张继良.区际产业转移与欠发达地区工业化的协调性[J]. 产业经济研究,2007(1):38-44.
[17] 吴晓军,赵海东.产业转移与欠发达地区经济发展[J].当代财经,2004(6):96-99.
[18] 原小能.国际产业转移规律和趋势分析[J].上海经济研究,2004(2):29-33.
[19] 陈刚,张解放.区际产业转移的效应分析及相应政策建议[J].华东经济管理,2001(2):24-26.
[20] 苏华,胡田田,黄麟堡.中国各区域产业承接能力的评价[J].统计与决策,2011(5):41-43.
[21] 周五七.中部承接沿海产业转移的产业选择—以安徽为例[J].技术经济,2010(8):33-37.
[22] 王玉梅,夏茂森,李翠萍.基于DEA的皖江城市带承接产业转移配套服务效率测评研究[J]. 广西大学学报:哲学社会科学版,2012(6):37-41.
[23] 王冬,吕延方.不同路线外包对我国主要产业效率的影响——基于动态面板模型的实证检验[J].经济管理,2012(1):21-33.
[24] COOPER W W,THRALL R M. Introduction: extensions and new developments in DEA[J].Annuals of operations Research,1996(66):3-45.
[25] 刘红光,刘卫东.区域间产业转移定量测度研究——基于区域间投入产出表分析[J].中国工业经济,2011(6):79-88.
[26] 汤铃,李建平,余乐安,等.基于距离调度模型的系统协调发展定量评价方法[J].系统工程理论与实践,2010,30(4):594-602.
[27] 袁云峰,郭莉,郭显光.基于多阶段超效率DEA模型的银行业效率研究[J].中央财经大学学报,2006(6):46-51.
[28] 戴宏伟.产业梯度产业双向转移与中国制造业发展[J].经济理论与经济管理,2006(12):45-50.
[29] KRUGMAN P R,VENABLES A J. Intergration,specialization and adjustment[J].European Economic Review,1996(40):959-967.
[30] 范剑勇.市场一体化、地区专业化与产业集聚趋势-兼谈对地区差距的影响[J].中国社会科学,2004(6):39-51.
[31] 胡昭玲,王洋.中国承接服务外包的影响因素分析[J]. 国际经贸探索,2010(2):68-72.
[32] 赖明勇,包群,彭水军,等.外商直接投资与技术外溢: 基于吸收能力的研究[J].经济研究,2005(8):95-105.
[33] 李晖,王莎莎.基于TOPSIS模型评价承接产业转移的实证研究[J].系统工程,2010,28(8):64-69.
[34] B E HANSEN. Sample splitting and threshold estimation[J]. Econometrica,2000,68(3):575-603.
[35] PETER C B,PHILLIPS BRUCE E,HANSEN.Statistical inference in instrumental variables regression with I(1) processes[J]. The Review of Economic Studies,1990,57(1):99-125.
[36] KRUGMAN P R. History versus expectations[J].Quarterly Journal of Economics,1991,106(2):651-667.
Xu Xinhua1, Guo Lu2
(1.School of Economics and Management, Nanchang University, Nanchang 330031,China;2.School of Statistics, Jiangxi University of Finance and Economics, Nanchang 330013, China)
Abstract:Yangtze river economic zone as a "road along the way" along the geographical sense of the connection, the region involved in the province of industrial gradient transfer and industrial transfer to the industry to undertake frequent activities. But the long-term one-way industrial high and low transfer makes the industry within the regional convergence of serious, industrial resource utilization efficiency structural imbalance. In this paper, theefficiency model is used to improve the efficiency model, and the efficiency of the industry in each province (municipalities) is measured by using the panel data of 2006-2015 in the economic zone. The efficiency of regional industrial undertaking and economic growth of the threshold effect, and then to the second and third industry added value as a factor of economic growth due to changes in the value of the threshold changes. It is found that the industrial undertaking efficiency of the provinces (municipalities) in the Yangtze river economic zone is not high as a whole, and there is no linear relationship between the efficiency of the industries in the provinces and their own economic development stages, and the overall trend is declining. The efficiency of industrial transfer in the second and third industries shows that there are accelerated transfer and slowdown in the respective thresholds. That is: the overall efficiency of the secondary industry in the region to slow down, the tertiary industry to undertake the overall efficiency of the accelerated. The relative endogeneity of the two municipalities is relatively obvious.
KeyWords:Yangtze River Economic Zone; Industry Acceptance Efficiency; BBC Efficiency Model; Threshold Effect
收稿日期:2018-02-11
基金项目:国家自然科学基金项目(41361102);江西省高校人文社会科学项目(TJ17201)
作者简介:徐新华(1966-),男,江西鄱阳人,南昌大学经济管理学院副教授,研究方向为财务管理;郭露(1983-),女,江西吉安人,博士,江西财经大学统计学院副教授,研究方向为经济统计。
DOI:10.6049/kjjbydc.2017110503
中图分类号:F061.5
文献标识码:A
文章编号:1001-7348(2018)10-0130-08
(责任编辑:张 悦)