摘 要:从探寻融资平台发展障碍角度出发,在分析融资平台构建及发展的基础上,以融资平台运行主体行为选择为切入点,分析节能服务企业与业主进化稳定策略形成的动态演化过程。利用演化博弈理论的复制动态方法,剖析各参数对进化稳定策略的影响,明确了影响融资平台运行主体合作共赢的关键因素,进而提出鼓励业主参与平台运作、建立信用评级制度、制定平台发展规划等优化既有建筑节能改造融资平台的策略。
关键词:既有建筑;节能改造;节能服务企业;融资平台;演化博弈;业主进化
既有建筑节能改造市场是节能服务市场的关键构成部分,确保这一市场能够在良好的环境下运行,是实现低碳发展目标的主要任务之一。在政府多种政策推动下,合同能源管理模式(Energy Performance Contracting,以下简称EPC)对既有建筑节能改造领域起到非常大的推动作用,但没能对市场发展注入持续性动力。究其原因,资金缺口巨大、市场需求不足、缺少持续稳定的市场拉动等问题使得节能服务企业(energy service company,简称ESCO)常常陷入融资渠道少、资金来源单一等融资困境。节能服务公司通常利用融资平台解决融资难题。然而,现有融资平台仍处于初步发展阶段,交易量小,影响力甚微,尚需进一步优化发展。在平台建设中,存在业主、节能服务企业、银行等主体,这些主体在不断博弈过程中达成交易。在现实生活中,各个主体都存在信息掌握不全面的问题,而且决策人员的知识和经验也是有限的,在不断博弈过程中难以作出绝对理性的决策。因此,可以运用演化博弈模型分析融资平台运行主体的行为策略。本文将基于博弈论视角,针对既有建筑节能改造业主和节能服务企业的活动展开研究,在一定理性的假设前提下,确定双方采取的策略,深入挖掘阻碍融资平台发展以及各主体参与态度消极的原因,为平台实现更好、更快发展找寻出路,为国内既有建筑节能改造事业健康持续发展奠定基础。
既有建筑节能改造融资平台是近年来节能服务企业和专家学者重点关注的课题,但是目前关于既有建筑节能改造融资平台的文献很少,主要集中在融资主体间行为博弈和融资平台构建及其发展对策两方面。蓝虹[1]从企业角度分析融资主体间博弈行为;潘永明[2]从集群融资主体角度出发,将演化博弈模型引入到集群融资中,进一步研究集群融资主体关系演化,得出影响集群融资主体关系长期稳定性的因素。游达明等[3]首先对融资平台概念进行了阐述,然后基于平台创建原则及其功能需求,构建了平台结构模型,探讨了融资平台运行模式;邵永同[4]引入知识产权证券化融资,提出融资平台发展对策;李诗华[5]建立银行与企业动态博弈模型,对融资平台进行优化;马嘉琪等[6]剖析了融资平台构成要素,阐释了平台构建必要性、可行性及其运作流程,继而提出平台发展对策建议;赵朝霞[7]通过融资平台设想以及主体搭建,构建了平台框架,并设立了资金和信息运行规则。
目前大部分学者都从定性角度开展相关研究,仅有的定量分析则主要集中于银企之间博弈行为,而针对其它融资平台运行主体间博弈关系等方面的研究基本上是一片空白。考虑到这一点,本文选择演化博弈方法,研究既有建筑节能改造融资平台运行主体的动态演化过程,并对演化结果进行分析,进而提出优化融资平台的对策建议。
1.1 博弈模型选择与主体界定
博弈论在研究博弈均衡方面有着巨大价值,它对纳什均衡的解释是非常到位的。同时,它在某些方面也表现出局限性。比如,其前提是全部参与博弈的人都能够作出理性决策,而且,将单次博弈当作完全独立的博弈并据此采取行动。事实上,次词博弈只是众多博弈中的一次博弈,以往的博弈论显然没有体现出这一点,对博弈规则进行了简化处理,在这种情况下得到的纳什均衡有可能与真实情况不符。演化博弈论很好地解决了这一问题,它将进化生态学以及非合作博弈论融合在一起,其前提是博弈主体并非完全理性,主要从动态角度进行分析,对于分析人类进化行为选择策略如何达到均衡状态、揭示具体收敛过程表现出巨大现实价值[8]。
在项目实施过程中,在平台一定的情况下,政府主要扮演引导者和监督者的角色,采取政策控制手段,为既改项目融资提供法律与政策环境,银行则提供稳定的资金满足企业融资需求。融资平台能够发挥多大作用,在很大程度上与业主以及ESCO这两个群体的具体行为存在直接关系。因此,本文主要分析融资平台业主与节能服务企业群体双方的博弈行为,对辅助主体和其它社会主体的行为策略不作重点分析。
1.2 模型分析
1.2.1 模型基本假设及支付矩阵构建
假定一个市场不存在其它约束条件,没有激励、监管体系的存在,业主和节能企业组成两个群体,即(O)和(E),双方为了在最大程度上维护己方利益而展开博弈。两个群体都可以作出积极参与(O1,E1) 和消极参与(O2,E2) 两种策略选择,而且不受对方策略选择的影响,持续开展多次博弈。其中,节能服务企业积极参与平台的目的是获得融资,而业主积极参与是指与企业达成共识,规范用能行为,合理分配节能收益,实现平台合作。
(1)当O2 与E2 策略相遇时,双方群体态度都为消极参与,无平台收益和成本,但仍可通过其它方式完成项目,双方项目收益分别为μ和ρ。
(2)当O1与 E1策略相遇时,业主参与平台的收益为γT(x) ,节能服务企业的平台收益为ωT(x),其中,T(x)为成功利用融资平台的可能性,T(x)是融资平台项目融资成功率x的递增函数,γ为业主的平台收益率,ω代表节能服务企业的收益率;而双方在平台中开展一系列活动带来的增值收益是θiπ,其中,θi 代表分配系数,π代表二者得到的收益在总收益中的占比。增值收益主要指业主体验感、企业信用水平的上升。双方在开展各自活动的过程中需要承担一定成本,用ciT(x)表示,其中,ci 代表成本系数,从业主角度看,其承担的成本是未来完成交易准备工作,具体来说,主要是评估企业信用级别以及项目将来盈利花费的成本。企业成本主要包括提升业主满意度所花费的成本,比如技术升级和更新、资金使用的详细规划以及信息披露制度的建立与完善等。
(3)当O1与E2策略相遇时,业主在未获得平台收益的同时付出合作准备成本c1T(x),而节能服务企业可通过其它融资方式获得项目收益。
(4)当双方选择O2和E1策略时,虽然企业能够主动参与到平台事务中,但是企业未能与业主达成共识。因此,业主拒绝参与平台,但仍可获得正常投资收益μ,而节能服务企业已经付出相应成本 c2T(x)。
由以上基本假设,可构建既有建筑业主与ESCO的支付矩阵,如表1所示。
表1 业主与ESCO之间博弈的支付矩阵

业主积极参与E1(q)消极参与E2(1-q)积极参与O1(p)μ+γT(x)+θ1π-c1T(x);ρ+ωT(x)+θ2π-c2T(x)μ-c1T(x);ρ消极参与O2(1-p)μ;ρ-c2T(x)μ;ρ
1.2.2 博弈策略演化
(1)演化平衡点。根据前文假设,对两方面群体行为策略演化是否保持不变展开探讨。若业主方实施O1、O2策略的比例分别为p和(1-p),企业方实施策略E1、E2的比例分别为q、(1-q),那么,根据下式就能确定业主实施策略O1的适应度:
UO1=q[μ+γT(x)+θ1π-c1T(x)]+(1-q)[μ-c1T(x)]
业主选择策略O2的适应度为:
UO2=qμ+(1-q)μ=μ
业主的平均适应度为:
同理,节能服务企业选择策略的适应度为:
UE1=p[ρ+ωT(x)+θ2π-c2T(x)]+(1-p)[ρ-c2T(x)]
节能服务企业实施的适应度是:
UE2=ρ
企业适应度的平均值是:
(2)动态方程分析。按照Malthusian方程可知,业主实施策略数量的增幅百分比是UO2与
的差值;同理可得,企业方实施策略数量的增幅百分比是UE1与
的差值,由此确定复制者动态方程如下:
求解上述方程后,能够确定(0,0)、(1,0)、(0,1)、(1,1)这4个平衡点。在约束条件γT(x)+θ1π>c1T(x) 及ωT(x)+θ2π>c2T(x)成立的情况下,系统中产生新的平衡点(p0,q0):
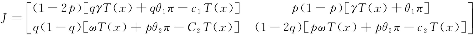
业主与企业群体行为的演化可利用上述动态方程组建的系统进行阐述。如果有一个群体动态可以通过微分方程系统进行阐述,那么要确定其均衡点在稳定方面的表现,只需对基于这一系统的雅克比矩阵局部稳定展开分析即可[9]。上述系统的雅可比矩阵为:
1.2.3 平衡点稳定性分析
(1)业主或节能服务企业的平台收益小于成本。此时,系统中平衡点分别是(0,0)、(1,0)、(0,1)、(1,1),其稳定性分析结果如表2所示。
表2 稳定性分析

平衡点γT(x)+θ1π
对表2进行分析可知,在平台收益小于成本的情况下,系统演化稳定结果始终保持(0,0),也就是(O2,E2) ,在这种情况下,博弈双方都会消极参与融资平台。不同情况下的系统演化如图1所示,也就是说,不管初始状态是怎样的,演化稳定策略都是(消极参与,消极参与)。原因在于,对业主和节能服务企业而言,不管对方实施怎样的策略,最后的结果都是一样的,也就是平台成本比收益更高,通过不断的演化学习,最后收敛得到的策略都是(消极参与,消极参与)。
(2)业主和节能服务企业的平台收益大于成本。在此情况下,约束条件γT(x)+θ1π>c1T(x) 及ωT(x)+θ2π>c2T(x)成立,继而可推导出系统平衡点(0,0)、(1,0)、(0,1)、(1,1)和(p0,q0) ,具体演化结果如表3所示。
由此可知,在业主和节能服务企业的平台收益大于成本的前提下,系统的可能结果有两个,即(0,0)或(1,1),也就是说,博弈双方都选择积极参与或都选择消极参与。另外,系统中还有鞍点G(p0,q0)和不稳定点R(1,0)、T(0,1)。系统演化情况如图2所示,R、T、G三点形成的曲线将博弈下的收敛状态分成两个部分,在RGTS四点构成的区域中,ESS结果是(O1,E1),而在ORGT四点构成的区域中,ESS结果是(O2,E2),系统完成收敛过程后会得到怎样的结果,与G点的位置有关。

图1 不同情况下的系统演化
表3 演化结果

平衡点行列式符号迹符号均衡结果(0,0)+-ESS(1,0)++不稳定(0,1)++不稳定(1,1)+-ESS(p0,q0)-0鞍点

图2 系统演化情况
相位图分析结果显示,当双方主体得到的收益都超过成本时,系统的收敛结果存在两种可能性。收敛方向与双方收益、成本的比较结果有关(支付矩阵中参数值的大小关系)。接下来,对参数波动时收敛结果如何变化展开分析。
1.3 演化结果分析
(1)业主参与融资平台的收益率γ、节能服务企业的平台收益率ω及双方积极参与融资平台所获增值收益θiπ对收敛路径的影响。在鞍点位置,三相参数都有所提高,鞍点变换到左下方位置,系统更有可能收敛于(O1,E1),也就是两个群体都会选择积极参与策略。如果参数有所降低,那么系统更有可能收敛于(O2,E2),双方群体均倾向于消极参与融资平台。
(2)收敛路径如何随着银企成本系数ci 变化。ci越大,鞍点越有可能朝右上方移动,系统收敛于(O2,E2),即(消极参与,消极参与)策略的可能性更大。否则,ci下降,鞍点移动到左下方,系统收敛于(O1,E1)的概率更高。
(3)成功利用融资平台的可能性对收敛路径的影响。T(x)是融资平台项目融资成功率x的递增函数,若平台项目融资的成功率增高,则成功利用融资平台的可能性增大,鞍点移动到当前位置的左下方,系统收敛于(O1,E1)的概率更高。
由上述博弈结果可知,在不考虑其他主体行为的前提下,既有建筑节能改造融资平台的优化需要业主与节能服务公司双方共同努力、协调合作,鼓励业主参与平台运作、建立信用评级制度、制定平台发展规划是优化既有建筑节能改造平台的根本性策略。
2.1 引导业主采取积极策略,丰富系统功能
一方面,平台需要积极鼓励用能行为规范的业主群体加入平台,与节能服务企业达成平台合作共识,双方合理分配节能收益。尽快出台相关法律、法规、政策等,引导企业以及地方政府参与到平台中来,进一步扩充融资资金,在更大程度上发挥融资平台的作用。另一方面,既有建筑节能改造融资平台中的节能服务企业在人力资源和技术能力方面的表现都不太理想,难以在短时间内通过平台实现融资并获取收益。所以,其当前的主要任务是更加深入地了解市场需求,促进平台功能多样化,实现规模效应,促进平台发展,提高融资成功率。
2.2 建立健全信用评级制度,创建良好合作氛围
制定并实施企业信用评级、担保体系,旨在缩小企业、业主信息地位差距,将平台融资成本控制在更低范围内。随着该体系的运行,业主能够对企业的信用信息有更加全面的了解,能够更加方便地采集企业信用信息,无需自行对企业信用进行评估,可以节省成本。而从对方的角度来看,企业能够在更低成本的前提下与业主达成交易。另外,该体系的存在有效提升了企业信用信息的规范性水平,为业主和企业展开合作奠定了良好基础。因此,可营造彼此信任的合作环境,吸引双方更加积极地参与到平台中来,促进增值收益的全面提升,使博弈过程沿着理想轨道前进,提高双方收益水平。
2.3 制定平台长期规划,推动融资平台成熟发展
制定融资平台长期发展规划,加强平台参与方对融资平台的认可,提升双方积极参与平台的增值收益水平。要在平台宣传、培训方面投入更多时间和精力,确保各个主体对平台涉及的相关法律以及专业知识、工作程序有更加全面的了解,不断提升双方对平台的认可度,吸引双方更加积极地参与进来。在确保当地企业能够得到足够融资支持的情况下,不断拓展市场,使用富余资金帮助外地企业发展。另外,政府应该不断完善相关法律和政策,为客户提供更有力的支持。充分利用财政补贴政策和税收优惠政策,扩大融资平台的增值收益,实现业主、节能服务企业的共赢。
既有建筑节能改造融资平台业主与节能服务企业的行为选择对平台发展有着十分重要的影响。本文从既有建筑节能改造融资平台业主与节能服务企业行为入手,针对ESCO和既有建筑业主的行为策略展开研究,并在此基础上创建双方博弈模型,阐释双方不断更换策略的博弈过程。结果显示,提高成功利用融资平台的可能性、提高业主与企业收益率、建立信用评级制度、降低平台融资成本均可促使平台趋向良性发展。本文仅对业主及节能服务企业主体行为进行了分析,未来研究可对其它辅助主体的行为策略选择进行深入研究,全面促进既有建筑节能改造融资平台健康发展。
参考文献:
[1] 蓝虹.中国企业融资主体融资行为的博弈分析[J].中央财经大学学报,2004(4):24-29.
[2] 潘永明,李雪.基于集群信誉链的中小企业团体融资主体研究[J].金融理论与实践,2013(8):11-16.
[3] 游达明,朱桂菊.区域性科技金融服务平台构建及运行模式研究[J].中国科技论坛,2011(1):40-46.
[4] 邵永同.科技型中小企业知识产权证券化融资发展对策[J].合作经济与科技,2013(8):48-51.
[5] 李诗华.基于“银—企”动态博弈的供应链融资平台构建[J].财会月刊,2015(14):102-105.
[6] 马嘉琪,胥朝阳,郑柏鹤,等. 小微科技企业知识产权融资平台的构建[J].财政监督,2014(26):28-30.
[7] 赵朝霞.绿色建筑互联网融资平台的构建及运行研究[J]. 生态经济,2016(10):105-109.
[8] 马兴能,郭汉丁,尚伶.基于市场特征的既有建筑节能改造中业主的行为分析[J].建筑科学,2012(4):52-56.
[9] FRIEDMAN D. Evolutionary games in economics[J].Economitric,1991(59):637-666.
[10] 陶凯,郭汉丁,王星,等. 基于生态位理论的建筑节能改造项目风险共担演化机理研究[J]. 西安建筑科技大学学报:社会科学版,2016(5):23-28.
(责任编辑:万贤贤)
Study on Optimization Strategy of Financing Platform for Existing Building Energy-saving Renovatio
Abstract:From the perspective of exploring the development obstacles of financing platform, based on the analysis of the construction and development of financing platform, this paper analyzes the dynamic evolution process of energy-saving service enterprises and owners' evolutionary stabilization strategy and the influence of each parameter on the evolutionary stability strategy by using the replicative dynamic method of evolutionary game theory. It also points out the key factors that affect the cooperation and win-win of the operation platform of the financing platform, and then proposes that encourage the owners to participate in the platform, establish the credit rating system and formulate the platform development plan is the fundamental strategy to optimize the financing platform of the existing building energy-saving renovation.
Key Words:Existing Building; Energy-Saving Reconstruction; ESCO; Financing Platform; Evolutionary Game; Owner Evolution
收稿日期:2017-04-01 基金项目:国家自然科学基金项目(71573188);教育部哲学社会科学研究后期资助项目(16JHQ031)
DOI:10.6049/kjjbydc.2017GC0043
中图分类号:TU-023
文献标识码:A
文章编号:1001-7348(2017)09-0141-05