摘 要:为有效解析网络型创新团队融合效率的动态特征,引入能够解析融合效率动态不确定性的资源观视角,整合资源融合过程中信息不对称产生的信任问题、团队不同时期的信任类型和团队所需资源的差异性,形成针对其灵活适应性强、不确定性高和任务技能角色组合多样特征的融合效率三维度解析框架。在此基础上,提炼网络型创新团队资源融合过程、团队生命周期、信任演变三维度之间的耦合关系,给出用以表征不同融合效应的“放大型、稳定型、削减型”3种融合效率内涵,构建包含专家决策信息、能够实现网络型创新团队未来资源融合效率动态评价的MAGDM-DEA方法。案例分析结果表明,该评价方法有效、可行,对于认知该类型创新团队三维度之间的耦合关系、提高团队远期管理效率、指导团队管理策略调整具有一定实践意义。
关键词:网络型创新团队;融合效率;资源基础观;效率评价
网络型创新团队是指组织内或跨组织间具有核心地位的少数团队,排除层次等级、组织边界和地区局限,依据项目研究的角色、技能与任务需要,打破地区封锁,克服专业技能的局限性,通过实现对外围研究子团队的选择、控制与统筹等功能,保障实现既定研究目标或控制预期研究优势的创新型研究群体。该类团队能够灵活地融合具有不同技能、专业知识与背景的项目成员的优势资源,因而在团队发展稳定期与转型期更具管理优势,可以透过技能互补、协同合作、信任沟通等长效机制的建立完善,有效降低内外合作成本,控制潜在收益。作为稳定研究型组织中存在最为广泛的一种团队类型,网络型团队具有层式职能型团队与工作组团队的共同优势,特点是成员可依据项目需要自由流动、自行组织或解散,且知识与信息的网状交流易于发生,有利于成员间创新思想的激发与共享。同时,由于网络型创新团队机动性强、灵活性高,目前其普遍存在于对创新性要求较高、需要多学科横向协作的联合研究群体中,面临复杂的资源融合问题,解析评价该类型团队的融合效率具有重要的研究价值。
需要指出的是,作为具有显著“融合”特色的一类团队,在高度灵活性和集成性成为团队优势的同时,也使得组织边界模糊、外部环境不确定与治理策略调整导向多元[1]等远期影响可能对预期“融合”效果产生复杂影响。具体表现为,不同合作子团队或成员间的联合诉求、基础与可控性等差异显著,面向某一核心团队所关注的具体愿景,其融合效率不是多个主体产生效率的简单相加,而是呈现出与团队发展阶段、团队氛围和资源融合过程等息息相关的螺旋动态变化的双向效率形式。网络型创新团队的合作效率评价反映出面向动态趋势的多主体、多维度、多阶段“融合”需求,而至今未见针对动态效率评价,特别是适应上述融合特征的效率评价成果。虽然,目前国内外学者对创新团队的效率问题进行了广泛探索,但现有研究仍集中于对往期无交互要素的效率评价,未能有效刻画不同效率融合趋势下的“过程性”效率动态涌现复杂性。鉴于笔者前期研究发现,团队技能结构、角色结构、任务结构的多样性普遍存在,藉此探究契合网络型创新团队特征和效率动态呈递的管理视角是目前创新团队效率评价的突破点和立足点。
资源基础观(RBV, Resource Based View)的基本思想是将企业视为资源的融合体,认为企业通过不断重构资源基础,确保其满足融合效率的趋势演进要求,从而适应外部环境的不确定性并形成持久竞争优势[2]。该理论对解析融合效率的动态不确定性、未来性和复杂性具有重要研究意义。基于资源观,可将网络型创新团队视作各种资源的融合体,通过策略性或战略性选调具有不同技能、不同专业知识和背景的成员,以推动资源共享、建立临时秩序、增进相互协作的形式共同完成任务。由于合作过程中必然存在地位不对等、预期不一致、信息不对称等“非协调”状态,团队成员间普遍存在不平等关系,必然导致合作过程中产生信任差异问题。例如:Jong[3]、赵西萍[4]、秦开银[5]等学者认为,信任是不断演变的,通过促进成员间的资源共享和知识协同,可以不断提升团队沟通开放性,降低监督和融合成本,最终提高团队效率。然而,针对团队发展周期的研究也表明,即使团队成员间存在资源互补,相互信任基础上的高效率也很难产生。这种情景,即Tuckman、Gersick、Jehn等学者指出的“群体沟通互动模式和团队效率具有匹配性差异”现象,局部的高融合状态并不能得到高效率,低融合状态也可因“合作周期”问题而得到相对高效率,因而团队发展阶段、成员间信任度、资源融合有效性是相互交叉影响的。基于上述思考,本文将资源观的解析思维引入网络型创新团队的融合效率评价,可以同时考虑资源观与成员间信任、团队生命周期对效率的连带作用,有助于克服现有研究仅关注当期效率的局限,能够借助资源异质性的重构、融合效应趋势的判定、不同团队时期特征和信任的演变,有效刻画该类型团队的融合效率内涵,并促成评价方法创新。
迄今,未见有关资源融合效率评价方法的报道,也未见有学者将资源融合过程、信任演变、团队生命周期集中于一个框架内,对资源融合效率进行综合研究。仅有董保宝[6]、汪秀婷(2014)等学者探讨了资源融合、团队竞争优势、动态能力等个别维度的作用关联,但未形成对环境因素、动态能力、资源融合过程、协同创新、战略选择与企业竞争优势之间复杂关系的整合评价。为有效评价网络型创新团队的资源融合动态效率,基于团队生命周期、资源融合过程、信任演变3个维度对资源融合效率的影响辨识和特征辨析,本文将根据资源融合效应趋势,提出3种不同的效率概念,即放大型融合效率、稳定性融合效率、消减型融合效率,构建基于多属性群决策方法(Multi-attribute Group Decision Making, MAGDM)和数据包络分析方法(Data Envelope Analysis,DEA)的融合效率评价方法,并进行案例应用,以期根据当期数据实现对未来资源融合效率的动态评价,具有重要的理论价值和实践意义。
1.1 资源融合、团队发展与信任演变
在网络型创新团队中,参加项目的成员来自不同部门或不同组织,工作带有临时性,不同团队生命周期下项目成员间的信任程度、资源融合过程存在差异,因而在任务属性、合作周期与信任程度等维度的交互影响下,网络型创新团队的融合效率具有动态不确定性,基于某一时点判定的未来效率走势,可以上升、下降或保持平稳。本文以网络型创新团队的生命周期为主要轴线,以资源融合过程、信任演变过程为次要轴线,参照不同信任水平的差异状态,解析并评价网络型创新团队资源融合效率的动态呈现效应。以上3个维度的每一阶段有如下划分:①由网络型创新团队的发展轨迹可知,团队不同阶段的协作深度、信任水平、资源融合过程具有显著差异,依据Tuckman等[7]研究得出的团队发展过程,可将网络型创新团队的生命周期划分为组建期、磨合期、规范期、执行期4个阶段;②合作中的信息不对称使团队成员间存在着不平等关系,信任则贯穿于团队生命周期内,随着团队的不断发展而不断演变,从团队生命周期视角出发,可将信任演变分为谋算型信任、威慑型信任、了解型信任、认同型信任4个过程[8];③目前,国内外学者对资源融合过程的划分已有相对成熟的研究,Amit和Schoemakerl、饶扬德等学者将其分为资源的识别与获取、资源的配置与利用、资源的激活与融合3个环节,本文对资源融合过程的划分借鉴董保宝[9]的观点,将其分为4个环节:资源识别、资源获取、资源配置和资源利用。
团队信任的形成在很大程度上与其独特的资源融合方式及其发展历程中的交互作用紧密相连[10],团队通过资源融合过程形成了独有的资源价值体系,为团队成员间的相互了解、信任及稳定合作奠定了坚实的基础。伴随该团队的演进过程,信任的集聚及转化成为组织内的一种关键资源,团队资源整合的对象、层次、结构、内容等都因此发生了变化[11],并导致团队融合效率呈现动态变化趋势。不同团队阶段、信任类型、融合过程组合下多样资源融合效率具有的多种可能性如图1所示。

图1 三维度组合下资源融合多样性
1.2 组建期创新团队融合效率个例
本文以组建期创新团队的融合效率为例,阐述不同时期融合效率的动态可能性。当网络型创新团队处于组建期谋算型信任资源识别阶段时,在团队成立之初,团队合作既没有团队文化规范,也没有组织制度保障,临时选调的具有不同基础的团队成员对彼此的合作动机、心理预期和能力水平都不甚了解,信任主要是建立在第一印象和过去经验基础上的谋算型信任[12]。在此种信任情景下,合作中的资源拥有者以他人的努力程度、行为方向及自身能力水平为行动取向,会感知到较高的合作风险,缺乏奖酬和个人成就的激励,往往等候他人采取实质性努力和付出后才会共享资源、互惠互利进入真正合作状态[13]。此时的团队处于边缘化、利益化、松散化的合作状态,团队的资源识别过程无形中增加了许多时间成本、资源损耗成本和管理成本,且达不到预期合作效果。同时,资源识别过程是资源融合过程的起点,关系到资源融合的成败,因而如果不充分识别资源,那么所涉及资源的后续作用流程都将受阻。基于以上分析可知,此种状态下的组合是低效率的。
当网络型创新团队处于组建期了解型信任资源配置阶段时,团队信任产生于成员之间深入了解与支持配合的基础之上,因而表现出较高的信任水平,团队成员会主动分享自己的资源,团队能更好地遵循资源之间相互匹配、互为补充及相互增强的原则,有机融合团队自身拥有的资源和在前期识别阶段、获取阶段集结的对自身有利的外部资源,匹配出新的独有资源优势并内化于团队[14]。通过这种匹配行为和信任基础,不仅为团队带来了新的战略资源,更形成了一种内化的融合能力,这种能力是竞争对手无法模仿、无法复制的,也是团队获取持续竞争优势和高效率的动力,因而此种状态下的组合是高效率的。
以上情景仅是网络型创新团队组建期的两种组合状态,当团队处于组建初期时,不同信任类型与不同资源融合阶段可以形成16种不同的资源融合阶段状态。由图1截取组建期的截面,绘制出组建期下三维度组合的一种类型,如图2所示。诚然,不论是团队磨合期还是规范期抑或执行期,都有类似的效率组合和动态变化,因而在不同团队发展阶段、不同信任类型、不同资源融合阶段的组合下,可以得到N种不同的资源融合过程和融合效率。
1.3 三维度间耦合关系
在网络型创新团队组建初期和磨合期,团队的资源融合与协同合作基本处于被动适应阶段,整合协同的层次、对象以内部为主,其组织学习能力、技术创新能力和竞争力还较弱。随着团队的不断发展,团队积极地对所获取的资源进行优化配置和利用,重构新的资源体系,在吸收、消化引进技术与经验的基础上,加强与外部组织间的联盟合作,形成多元主体联合创新、协同推进的局面,团队学习能力逐步提高,网络式创新效应将得到较好发挥[15]。在保持低成本、差异化竞争优势的基础上,团队的优势将日益凸显,竞争力逐渐增强,自主创新能力也将大幅提升,使得团队在动态环境中保持持续竞争优势[16]。在获取阶段性优势后,借助团队凝聚力和团队间信任,网络型创新团队会继续实现新一轮资源整合和发展,使其能力跃升到更高层次,从而进入新的自主发展平台。另一方面,网络型创新团队竞争优势的不断提高,并不代表团队资源融合效率会一直增加,即使处于规范期认同型信任的团队状态之下,资源融合效率也可能受到外界环境或者内部激励等因素的影响而导致低效率,只有当一切因素和条件达到平衡和谐状态时,效率才是最高的。因此,网络型创新团队的资源融合效率是动态螺旋双向上升的,既有可能增加,也有可能降低,不是简单的线性增加。资源融合、团队发展与信任演变之间的耦合关系如图3所示。

图2 组建期资源融合阶段状态

图3 资源融合、团队发展与信任演变之间的耦合关系
2.1 融合效率分类依据
网络型创新团队的管理效率关注于,在某一效率融合结构与程度的基础上,由资源融合、团队发展与信任演变三维度交互影响所形成的,团队单位人才、任务、技能、管理及相关资源投入带来的,创新成果、成员满意度、团队凝聚力与融合影响力的预期产出水平。网络型创新团队作为一个开放的资源融合体,具有灵活适应性和动态不确定性的显著特征,其资源融合是不同结构、不同层次、不同内容和不同来源的资源要素相互影响、相互作用和相互匹配的动态过程[17]。在该过程中,不同时期多种信任情境下网络型创新团队的预期资源融合效率并非反映为团队单个资源产生效率的简单线性相加,而是对其预期复杂融合关系的效率“估计”。基于上述思考,本文更加注重融合过程中各要素的耦合互动与融合效应,并依据可能的效率变化预期状态,将融合效率划分为放大型融合效率、稳定型融合效率和消减型融合效率3种类型,各类效率预期变化态势取决于信任和资源融合过程中的环境属性与合作阶段(隋杨,2012),其可能的融合水平取决于功能保障、优化配置、环境平台三者的融合效应[18],三者的作用关系如图4所示。
2.2 三类融合效率概念界定
网络型创新团队的三类融合效率强调在某种发展周期、信任状态与融合基础类型的基础上,形成面向未来组织内外环境变化趋势的多团队主体合作效率变化预期,以及在该判定假设下由三类融合维度交互作用关系与融合效应共同产生的反映合作关系持续深化属性的单位团队资源投入的可能产出水平。三类效率的具体内涵如下:
(1)放大型融合效率。网络型创新团队的放大型融合效率强调,在资源融合、团队发展与信任演变三维度交互影响情境下,多资源要素融合效应的未来放大态势,是指通过组织内或跨组织间成员知识结构的搭配和专业技能的传递与模仿,实现团队成员知识互补,使其研究潜能得到最大限度的发挥,以符合远期投入产出需求的乐观配比为资源配置导向,多方主体间通过系统内部各资源要素及子系统间的相互协调配合,及由此涌现的满足团队未来资源融合增长趋势需求的合作效率关系。以最优投入产出比为资源配置导向,具有放大型融合效率特征的团队,常常包括反映政策导向与市场利好的新兴领域研究机构。它们将在投入导向的驱动下,通过融合、激活、积极质变团队所需的融合效率要素投入,将价值增值环节上具有不同优势的潜在要素融合起来,使投入资源得到充分利用,在调动当期效率水平的前提下,努力提升团队未来效率的放大趋势。

图4 资源融合效应形成过程
(2)稳定型融合效率。网络型创新团队的稳定型融合效率强调,在资源融合、团队发展与信任演变三维度交互影响情境下,多资源要素融合效应的未来稳定态势,是指通过组织内或跨组织间团队成员稳定合作关系的有效维持,在组织内或更广阔的范围内开展分工协作,将零散的资源要素不断进行有机整合,以符合远期投入产出需求的均衡配比为资源配置导向,多方合作主体通过协调、平衡、改善团队所需的融合效率要素投入,及由此涌现的满足团队未来资源融合平稳趋势需求的合作效率关系。在该情境下,由于外部环境的不确定性特质突出或经营周期属性显著,具有较高效率基础的团队往往将面临融合效率的“调控”需求。特别是那些具有投入过剩或产出增长缓慢特点的组织,需减少资源投入来保持原有产出稳定,在确保当期效率水平的前提下,提高团队未来效率的可控性。
(3)消减型融合效率。网络型创新团队的消减型融合效率强调,在资源融合、团队发展与信任演变三维度交互影响情境下,多资源要素融合效应的未来消减态势,是指通过组织内或跨组织间团队成员不确定合作关系的剥离与转换,应对研究任务的多变和合作对象分割存在的协作困难,以符合远期投入产出需求的压缩配比为资源配置导向,在将非战略取向资源进行有机整合过程中,通过执行资源挖潜策略提升多元效率要素的投入控制与规划,及由此涌现的满足团队未来资源融合下降趋势需求的合作效率关系。在该情境下,未来合作效率的下降预期既可能来自内部信任瓶颈的不利影响,也可能产生于由技术替代引发的外部“夕阳”化影响。因此,合作内容本身所具有的经营属性对远期效率的可能状态影响深远,具有战略视角下团队合理管理策略选择的高度不确定性。
由三类融合效率的概念、特征可知,3种预期效率变化态势反映了建立于某种效率形成演化基础之上、体现内外部合作环境调整特征的期望效率水平。据此,这种期望效率,不仅体现为决策单元的当期效率水平,也取决于其可能的“增长率”(或升、或降、或恒定),三类效率之间并无绝对高低之分。基于这种思考,在资源融合过程、信任、团队生命周期三维度的交互影响下,网络型创新团队的资源融合具有动态不确定性,其融合效率具有时点性,因而本文所研究的3种融合效率是基于当期数据信息对未来效率作出的趋势(放大、稳定、消减)估计与判定,而传统数据包络分析方法只能对当期指标进行评价,存在着对未来效率评价无法获取未来评价信息的瓶颈。鉴于此,本文引入能够整合多元决策偏好的多属性群决策方法,通过判定并调整决策者对不同当期效率评价指标的远期估计信息及其一致度,实现对决策单元3种未来融合效率趋势的偏好融合,在此基础上,将达成群体意见一致的专家判定信息属性进行集结,作为DEA输入输出指标的赋值,构建包含未来指标信息、面向动态评价的MAGDM-DEA方法。该方法既能克服传统DEA模型没有考虑决策者偏好的缺陷,提供更有效的决策信息,又实现了网络型创新团队面向远期的融合效率动态评价。
结合以上思考,为基于当期数据实现对远期融合效率的整合评价,本文设群体决策中的专家集为A={a1,a2,…,am},备选方案集为E={e1,e2,…,es},备选方案的属性集为C={c1,c2,…,cn}。专家ak给出的评价矩阵为
表示专家ak对方案ei中指标cj相应状态的判定情况。本文评价网络型创新团队的融合效率所针对的评价信息为精确实数型,具体评价步骤如下:
3.1 每个属性差异度和全部属性差异度计算
(1)
其中,dj(ak,as)表示专家ak、as在方案ei的cj属性上的判断值差异,s为方案的个数,Lj为属性cj上最大值与最小值之差
;
;i=1,2,…,s;j=1,2,…,n;

(2) 其中,ωj为属性cj的权重,n为属性的个数。
3.2 群体意见一致度计算
群体意见一致度被定义为[19]:
δ=1-max{d(ak,as)|ak,as∈A}
(3) 考虑到决策过程中决策时间和决策成本等因素的控制,需要限定上述一致性检验和调整次数。设定一致性阈值λ(0≤λ≤1),最大修改次数g0。若δ≥λ,表明该群决策通过一致性检验,具有显著一致性水平,可以进行属性信息融合;若δ<λ且g<g0,则依据步骤“3.4”,由相应专家修改其评价信息,开始下一轮一致度计算;若δ<λ且g≥g0,则该群决策未达成统一决策导向,专家意见分歧较大,应依据决策需要,重新组织专家进行评价。
3.3 评价信息修改与集结
依据前文计算结果,修改目标界定为具有最大差异度数值的两位专家及其属性差异度数值位于前4位的属性,将反馈信息传达给待修改专家,完成相应属性的修改,如果同一专家对同一属性有过修改,则下次可不作修改。如果待修改专家调整其属性值后达到一致度阈值,则一致化过程结束,否则继续修改。基于上述修改方案,能够尽可能尊重专家的初始决策,高效、有针对性地调整通过一致性检验。本文考虑专家权重ak和属性权重ωj,将通过一致性检验的最终专家判定信息加权求和,得到各属性综合评价判定得分[20],并得出不同团队的效率类型。
3.4 基于多属性群决策的DEA构建
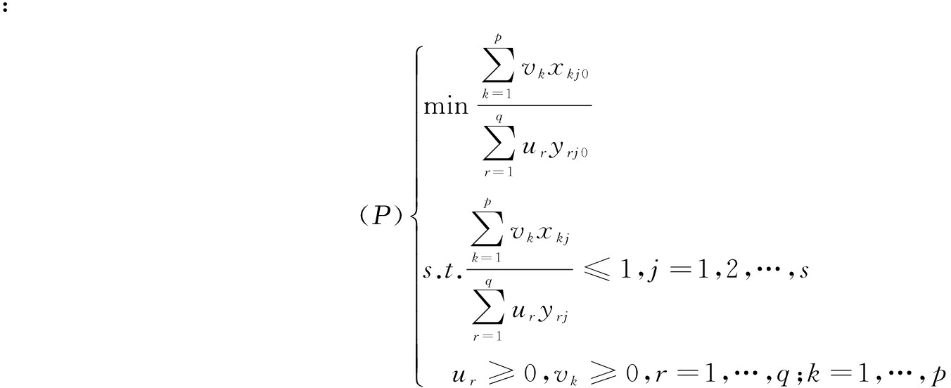
基于多属性群决策得出不同团队效率类型后,因不同类型的效率团队不具有可比性,对不同类型效率团队分别进行预期评价。设有s个DMUj(j=1,2,…,s),有p个输入指标,指标向量为Xj=(x1j,x2j,…,xpj)T,有q(q=n-p)个输出指标,指标向量为Yj=(y1j,y2j,…,yqj)T。
输入、输出指标的权向量分别为v=(v1,v2,…,vp)T,u=(u1,u2,…,uq)T,输入输出指标的赋值即基于多属性群决策达到群体意见一致度的专家判定信息集结。则对第j0个决策单元DMUj0进行相对效率评价的基于多属性群决策的CCR-O模型为

由于(Ρ)为一个分式规划问题,利用Charnes-Cooper变换
得到(Ρ)式对应的对偶规划模型
为

若规划问题
存在最优解λ*、s*-、s*+、φ*, 则可对其进行DEA有效性判断。若φ*=1、s*-=0、s*+=0,则DMUj为DEA有效;若θ*=1、s*-≠0、s*+≠0,则DMUj为DEA弱有效;若φ*<1,则DMUj为DEA非有效。由此,实现对不同团队的效率预期评价。
本文以承担国家973重大科技攻关项目的18个不同网络型创新团队(U1~U18)为例,邀请5位团队管理领域的专家(a1~a5),权重ak=0.35,0.2,0.2,0.15,0.1),对网络型创新团队的资源融合效率进行评价。
考虑到团队融合效率的3个影响维度即资源融合过程、团队生命周期、信任演变过程,基于网络型创新团队的组织边界模糊、专业技能互补、学科间协作特性,专家组在前期团队决策中基于团队当期状况已筛选出对未来效率有重要影响的团队评估指标,包括:信任程度(c1)、团队互动(c2)、目标达成度(c3)、融合效率类型(c4)。其中c1、c2为输入指标。c1为团队在信任演变方面的投入,由于合作过程中存在信息不对称、地位不平等、摩擦冲突等现象,团队成员间的信任程度随之改变,信任程度是信任演变的直观轨迹;c2为团队生命周期方面的投入,网络型创新团队为组织内或跨组织间的多人互动系统,不同生命周期团队的内部特征不同,团队互动的深度和广度也各具特点。由Marks、Mathieu等(2001)对团队互动的定义可知,团队互动是团队存在的根本前提,涉及团队成员为完成共同目标,在共同承担责任和风险过程中所发生的所有认知和行为投入,具体包括知识共享、团队凝聚、风险承担的投入。c3为输出指标,是团队在资源融合方面的产出:根据Sirmon、David (2007)对资源融合的定义,本文认为,资源融合是创新团队获取不同层次、不同来源、不同内容和不同结构资源后,通过协同创新,整合形成动态能力,获得持久竞争优势,从而实现共同目标的过程,目标达成度体现了协同创新、动态能力、竞争优势3个方面的产出。
3种类型效率的设定值分别为:消减(C)=1,稳定(S)=3,放大(E)=5。依据整体判断策略,专家a1~a5给出的各团队、各指标初始评价信息如表1所示(属性权重ωj=0.3,0.2,0.4,0.1)。
表1 专家群给出的初始判断信息

DMUc1c2c3c4U16,2,6,1,77,3,6,3,46,4,5,3,3E,E,S,E,SU21,1,3,1,41,2,3,2,39,7,9,8,9E,E,E,S,EU38,3,7,2,77,3,8,4,97,1,6,2,1S,E,C,S,SU47,4,8,2,18,1,8,3,67,1,9,2,3C,C,C,C,CU51,1,3,1,12,1,3,1,19,6,8,6,3E,E,E,E,SU69,7,8,7,88,6,8,6,75,3,5,2,2C,C,S,C,CU72,1,1,2,12,2,1,2,18,3,9,9,8E,S,E,S,EU83,1,2,1,21,2,2,3,18,9,9,8,4C,C,C,S,CU92,2,1,3,12,1,1,2,38,8,9,7,9S,S,S,C,CU109,6,9,7,88,6,8,6,94,1,3,1,3S,C,S,S,SU112,1,3,2,41,3,1,2,17,9,9,8,8S,S,S,S,SU127,1,8,2,37,2,7,2,48,1,7,2,1S,S,C,S,SU138,2,7,1,47,2,6,1,16,4,8,3,9E,E,E,E,EU142,1,3,2,12,2,1,1,29,6,8,8,9C,S,S,S,SU159,1,8,2,49,8,7,9,93,2,4,1,1C,C,C,S,CU167,3,8,1,48,6,9,6,75,2,5,1,3E,S,E,E,EU171,1,3,1,11,2,4,2,28,6,8,7,7C,C,C,C,CU181,2,3,1,21,1,3,2,27,9,9,6,8C,C,S,C,C
专家间的决策信息一致性计算步骤如下:设定一致度阈值为λ=0.70,当前修改次数为g=0,最大修改次数g0=3;根据步骤“3.1”计算每个属性cj上任意一对决策者ak,as之间的差异度dj(ak,as)和全部属性上的差异度d(ak,as),如表2所示。
其中,d(a3,a4)=0.333最大,根据式(3)计算群体意见一致度δ=0.667。
因为δ<λ,且g<g0,则该决策未通过一致性检验,根据上文“3.3”给出的专家判定信息多轮调整策略,上述专家对初始评价信息作出3次调整的相关检验指标如表3所示。
经过2次判断信息调整,群体一致度达到指定阈值,说明专家在对方案的评价上已经达成共识,此时根据“3.3”节给出的方法,对专家调整后的属性评价信息进行集结,得到DEA的输入输出指标赋值。其中,c1~c3指标权重分别为(0.3,0.3,0.4),具体结构如表4所示。
表2 不同专家给定判定序列间的差异度

差异度c1c2c3c4d(ak,as)dj(a1,a2)0.3260.2710.3610.1390.310dj(a1,a3)0.1390.1250.1250.1670.133dj(a1,a4)0.3330.2570.3060.1670.290dj(a1,a5)0.2500.1810.3130.1110.247dj(a2,a3)0.3680.2990.3330.2500.328dj(a2,a4)0.1040.0690.1670.1940.131dj(a2,a5)0.2150.2010.2430.1940.246dj(a3,a4)0.4030.2850.3190.2780.333dj(a3,a5)0.2360.1940.2990.1670.246dj(a4,a5)0.2360.1600.1880.1670.194
因3种类型的融合效率不具有可比性,利用以上专家调整评价信息后的指标数据,选择基于产出方向的可变成本模式,分别对6个放大型团队、6个稳定型团队和6个消减型团队进行融合效率分析。若沿用常规管理效率评价思路,即直接使用专家群给出的初始判断信息执行相同的效率评价方案,可得到与本文评价方法差异显著的效率评价结果。本文评价方案以及由常规方案得到的效率评价结果如表5所示。
分析表5可知,本文方案首先应用多属性群决策方法,得到18个创新团队的效率类型,在此基础上,分别对3种类型的融合效率进行相对效率分析,辨识出的相对效率团队为U2、U9、U17;常规方案不仅不能区分创新团队的效率类型,且识别到的相对效率团队为U2、U5、U9、U11、U14、U17、U18。由计算结果可知,应用两种效率评价方案得到的测度结果差异显著,本文所构建的评价方法可提高方案优劣识别度,决策效果明显,面向综合效率、纯技术效率、规模效率和效率类型得到的具体测度信息更具解读优势。例如:虽然团队U14在两种评价方案中都具有效率,但新方案有效甄别出了该团队在规模效率层面的不足,可以进一步结合规模效率递减的情况,考虑针对信任程度(在投入要素中权重最大)改善投入质量,借助共享信息、增加交流平台等方法减少信任对相关投入的不利影响。
以放大型团队为例进行针对性分析,在18个创新团队中,U1、U2、U5、U7、U13、U16共6个创新团队的融合效率为放大型。其中,U2的运行效率属于DEA有效,该团队的融合效率达到了预期放大水平;U5属于弱DEA有效,具有投入过剩或产出不足的特点,可减少对团队的投入,从而保持原来产出不变;U1、U7、U13、U16的运作效率属于非DEA有效,融合效率未达到放大预期。
以上分析结果表明,应用本文构建的效率评价方案可以有效结合专家决策者的偏好信息,实现对未来效率的预期评价,不仅提高了方案优劣识别度,而且得出了面向3种融合效率内涵的针对性评价结果。可见,本文提出的融合效率分析理论及评价方案有效、可行,具有重要的现实意义。
表3 不同专家给定判定序列间的差异度

修改次数一致度最大偏差组待修改属性修改后内容00.667a3,a4c16,3,7,6,2,8,4,4,1,9,3,6,6,4,7,7,4,4;4,2,3,3,2,7,2,3,3,7,2,2,4,2,2,3,2,3c35,9,6,7,8,5,4,9,9,3,9,5,8,8,4,5,8,7;3,8,2,2,4,2,4,5,7,1,6,2,3,7,1,1,7,410.690a1,a2c36,9,4,4,9,5,7,8,8,4,7,5,6,4,3,5,8,7;4,9,1,3,6,3,3,5,8,3,6,1,4,6,2,2,6,3c16,2,8,7,5,9,6,1,3,9,4,7,8,6,9,7,2,4;2,1,5,4,1,7,4,1,2,6,1,3,4,6,7,3,1,420.706------
表4 DEA输入输出指标数据

DMUc1c2c3效率类型U11.5001.5301.860放大型U20.6600.9603.540放大型U31.9051.8451.280稳定型U41.5001.6951.720消减型U50.8250.9002.860放大型U62.4002.1601.540消减型U71.2301.3502.100放大型U80.6001.0052.700消减型U90.6600.6153.260稳定型U102.4002.2201.220稳定型U110.8701.0202.860稳定型U121.4551.4851.340稳定型U131.7401.2902.340放大型U141.3500.4952.460稳定型U151.9952.5201.000消减型U161.5902.2201.440放大型U170.6300.4352.940消减型U181.0951.0202.340消减型
面向创新团队管理效率评价在评价理念、评价理论与评价方法方面存在的创新需求,本文针对网络型创新团队这一重要融合组织形式的效率评价问题,以资源观为切入点,提出了评价其融合效率的一套基础理论和方法。首先,分析了融合效率评价内涵的3个维度,充分辨析了资源融合、团队发展与信任演变三维度之间的耦合关系,据此提炼出基于资源不同融合效应趋势的3种融合效率;其次,引入了能够基于当期数据对未来融合效率作出预期判定的多属性群决策方法,构建了包含未来指标信息、面向动态评价的MAGDM-DEA方法;最后,通过案例应用,验证了该评价方法的有效性及可行性。
表5 本文方法与常规方法的决策单元评价结果

本文评价方法常规评价方法效率类型DMU综合效率纯技术效率规模效率规模收益增减性DMU综合效率纯技术效率规模效率放大型融合效率U10.3300.5250.627递减U10.2080.5500.378递减U21.0001.0001.000不变U21.0001.0001.000不变U50.8621.0000.862递增U30.1540.5030.306递减U70.4220.5930.711递减U40.2000.5980.335递减U130.4920.6610.744递减U51.0001.0001.000不变U160.1760.4070.432递减U60.1110.4560.243递减稳定型融合效率U30.1360.3930.346递减U70.9921.0000.992递增U91.0001.0001.000不变U80.9590.9760.982递减U100.1040.3740.277递减U91.0001.0001.000不变U110.6660.8770.759递减U100.0750.3140.239递减U120.1860.4110.454递减U111.0001.0001.000不变U140.9381.0000.938递增U120.2120.5680.373递减消减型融合效率U40.2460.5850.420递减U130.2760.6920.398递减U60.1380.5240.263递减U141.0001.0001.000不变U80.9641.0000.964递增U150.0840.2960.285递减U150.1070.3400.316递减U160.1330.4260.311递减U171.0001.0001.000不变U171.0001.0001.000不变U180.4580.7960.575递减U181.0001.0001.000不变
与现有研究成果相比,本文主要具有以下3点创新之处:第一,以往研究大多从资源基础观、团队发展或信任的某个视角探究团队效率。考虑到资源观能够有效应对融合效率的动态性,本文将三者纳入到一个整体框架内进行研究,通过分析资源融合、团队发展与信任者之间的耦合关系,提炼出了三维度耦合和交互影响下团队资源融合效率的动态特征;第二,针对资源融合、团队发展与信任演变三维度影响下网络型创新团队资源融合效应的趋势,本文提出了3种融合效率的内涵,为更好地辨识网络型创新团队融合效率动态性、复杂性,以及更加系统地评价融合效率提供了清晰的框架;第三,为实现对网络型创新团队融合效率动态性的评价,本文引入了能够整合多元评价信息的多属性群决策方法,将通过专家一致度判定的评价信息集结为DEA方法的输入输出数据,提出了能够对预期效率作出评价的高解析度方法,并通过案例检验了该方法的有效性及可行性。
参考文献:
[1] 许成磊, 段万春. 有层次类型创新团队的关键客体界面识 别[J]. 研究与发展管理, 2015, 27(2):121-128.
[2] BARNEY J B. Resource-based theories, of competitive advantage: a ten-year retrospective on the resource-based view[J]. Journal of Management, 2001, 27(6):643-650.
[3] JONG B A D, ELFRING T. How does trust affect the performance of ongoing teams? the mediating role of reflexivity, monitoring and effort[J]. Academy of Management Journal, 2010, 53(3):535-549.
[4] 赵西萍, 杨扬, 辛欣. 团队能力、组织信任与团队绩效的关系研究[J]. 科学学与科学技术管理, 2008, 29(3):155-159.
[5] 秦开银, 杜荣, 李燕. 临时团队中知识共享对快速信任与绩效关系的调节作用研究[J]. 管理学报, 2010, 7(1):98-102.
[6] 董保宝, 葛宝山. 新创企业资源整合过程与动态能力关系研究[J]. 科研管理, 2012, 33(2):107-114.
[7] TUCKMAN B W, JENSEN M A C. Stages of small-group development revisited[J]. Group & Organization Management, 1977, 2(4):419-427.
[8] KANAWATTANACHAI P, YOO Y. Dynamic nature of trust in virtual teams[J]. Journal of Strategic Information Systems, 2002, 11(3-4):187-213.
[9] 董保宝, 葛宝山, 王侃. 资源整合过程、动态能力与竞争优势:机理与路径[J]. 管理世界, 2011(3):92-101.
[10] COSTA A C. Work team trust and effectiveness[J]. Personnel Review, 2003, 32(5):605-622.
[11] WINTER S G. Understanding dynamic capabilities[J]. Strategic Management Journal, 2003, 24(10):991-995.
[12] 王重鸣, 邓靖松. 团队中信任形成的映象决策机制[J]. 心理学报, 2007, 39(2):321-327.
[13] JULIAN GOULD WILLIAMS. The importance of HR practices and workplace trust in achieving superior performance: a study of public-sector organizations[J]. International Journal of Human Resource Management, 2003, 14(1):28-54.
[14] EISENHARDT K M, MARTIN J A. Dynamic capabilities: what are they[J]. Strategic Management Journal, 2000, 21(10-11):1105-1121.
[15] HELFAT C E, PETERAF M A. The dynamic resource-based view: capability lifecycles[J]. Strategic Management Journal, 2002, 24(10):997-1010.
[16] SIRMON D G, IRELAND R D. Managing firm resources in dynamic environments to create value: Looking inside the black box[J]. Academy of Management Review, 2009, 32(1):273-292.
[17] NEWBERT S L. Value, rareness, competitive advantage, and performance: a conceptual-level empirical investigation of the resource-based view of the firm[J]. Strategic Management Journal, 2008, 29(7):745-768.
[18] GRIFFITHS N. Enhancing peer-to-peer collaboration using trust[J]. Expert Systems with Applications, 2006, 31(4):849-858.
[19] PARREIRAS R O, EKEL P Y, MARTINI J S C, et al. A flexible consensus scheme for multicriteria group decision making under linguistic assessments[J]. Information Sciences, 2010, 180(7):1075-1089.
[20] 许成磊, 段万春. 混合非结构MAGDM的决策导向一致性检验方法[J]. 计算机工程与应用, 2015, 51(23):17-22.
(责任编辑:云昭洁)
Research on Fusion Efficiency Connotation and Evaluation for Network-Based Innovation Team: Based on the Perspective of Resource View
Abstract:In order to effectively evaluate the future attribute of network-based innovative team, introducing the perspective of resource view which can solve fusion efficiency's dynamic uncertainty, and considering the trust problems because of information asymmetry on the integration process, the differences of trust's types and team's requisite resources, the current article bring the three above into a same framework , forming three interactional analytical dimensions which adapt to its features include strong flexible and adaptable, high uncertainty and the various combination between tasks, skills and rolls. on this basis explores the coupling relationship between resource integration process ,the life cycle of teams and the evolution of trust, gives three kinds of fusion efficiency connotation which use to describe different fusion effects, builds improved DEA method which contains expert decision information, dynamic evaluates the future resource fusion efficiency of the network-based innovative team and bases on multiple attribute group decision making method. Case application result shows that the evaluation method is feasible, it has a strong practical significance for cognizing the coupling relationship between the three dimensions, improving the future efficiency of network innovative team and guiding the quality management of teams.
Key Words:Network-Based Innovation Team; Fusion Efficiency; Resource-Based View; Efficiency Evaluation
收稿日期:2016-08-25
基金项目:国家自然科学基金项目(71563024,71263031);云南省哲学社会科学创新团队建设项目(2014cx05)
DOI:10.6049/kjjbydc.2016060623
中图分类号:F403.6
文献标识码:A
文章编号:1001-7348(2017)13-0119-09