高质量专利更倾向被开放许可吗
——高校专利许可策略的质量依赖机制与情境边界

郑 莹,汪斯婷

(南京工业大学 经济与管理学院,江苏 南京 211800)

摘 要:高校是专利开放许可制度的主要参与主体,现有研究尚未系统揭示其开放许可决策的内在逻辑和微观机制。以专利质量的多维特征为切入点,从成本与收益权衡视角解析高校开放许可的决策机制。基于312所高校473 621项专利大样本数据进行实证分析,结果显示:①专利质量的不同维度对开放决策有差异化影响,其中,技术质量和法律质量较高专利被独占许可的概率更大,而经济质量突出的专利则更可能被开放许可;②区域技术市场环境通过塑造市场化路径,显著调节专利经济质量与开放许可决策的关系;③高校公共资源支持与成果转化制度压力通过社会责任驱动机制,强化对高技术质量与法律质量专利的开放许可倾向。本研究揭示了高校开放许可决策中“质量依赖”的权衡机制及其作用边界,为高校专利分类管理和政府政策优化提供了参考依据。

关键词:开放许可;专利质量;技术市场;公共资源;制度压力

Are High-Quality Patents More Likely to Enter Open Licensing?Quality Contingency and Contextual Boundaries of University Patent Licensing Strategies

Zheng Ying, Wang Siting

(School of Economics and Management, Nanjing Tech University, Nanjing 211800, China)

Abstract:Universities constitute a fundamental pillar of China's innovation ecosystem, holding approximately one-quarter of the national invention patents. However, their patent commercialization rate remains below 10%, creating a critical disconnect between knowledge generation and productive application. To bridge this "last mile" gap in technology transfer, China introduced the patent open licensing system in its 2020 Patent Law revision—a standardized mechanism enabling patent holders to publicly declare licensing terms and fees. By December 2023, universities had contributed 86% of the 16 065 patents in the national open licensing pool, emerging as the primary drivers of this institutional innovation. Despite significant participation, the micro-level decision mechanisms underlying universities' choices between open licensing and exclusive protection remain poorly understood. Thus,this study investigates how multidimensional patent quality characteristics influence university patent open licensing decisions, addressing critical gaps in understanding technology transfer strategies. Unlike existing literature focusing on macro-institutional analysis or treating patent quality as unidimensional, this study develops a comprehensive framework examining trade-offs between "monopoly premiums" from exclusive licensing and broader benefits of open licensing. It explores how patents' technical quality (innovation sophistication and knowledge complexity), legal quality (protection scope and enforcement strength), and economic quality (market validation and commercialization maturity) differentially affect licensing decisions.

The theoretical foundation integrates cost-benefit analysis with multidimensional patent quality assessment. Universities face complex optimization problems: exclusive licensing promises monopoly rents but entails substantial transaction costs including partner search, negotiation, and monitoring; conversely, open licensing reduces transaction costs through standardization while potentially sacrificing monopolistic returns. This trade-off becomes nuanced when considering that patent quality manifests across multiple dimensions, each potentially exerting differential effects on licensing decisions.

The empirical analysis employs large-scale data comprising 473 621 invention patents from 312 Chinese universities filed between 2004 and 2024, with 13 809 patents declared for open licensing during June 2021 to December 2023. Patent quality indicators were constructed using entropy weighting methods based on eleven sub-indicators: technical quality (IPC classifications, inventor teams, citations), legal quality (claim counts, patent families, international filings), and economic quality (licensing history, transfer records, pledge activities). Binary logistic regression models with multilevel moderation effects test hypothesized relationships, supplemented by robustness checks using propensity score matching and complementary log-log models addressing rare event bias.

Findings reveal heterogeneity in how different quality dimensions influence licensing decisions. Patents with higher technical and legal quality significantly reduce open licensing probability, as these patents embody greater potential for monopoly premiums through exclusive arrangements. Their technological sophistication and robust legal protection create substantial competitive barriers. Conversely, patents with higher economic quality demonstrate positive association with open licensing, suggesting that once a technology has been market-validated universities are willing to trade monopoly rent for the transaction-cost savings and network effects of standardized licensing so as to maximize social impact.

The study uncovers important contextual dependencies. Regional technology market maturity weakens the positive relationship between economic quality and open licensing, as mature markets provide alternative commercialization channels. Market competitiveness strengthens this relationship, indicating competitive pressure drives universities toward open licensing to establish user bases rapidly. Organizational characteristics reveal another complexity layer: universities with greater public resource support show weakened negative effects of technical and legal quality on open licensing, suggesting well-resourced institutions prioritize social impact over monopoly revenues. Institutional pressure for technology transfer similarly moderates these relationships.

This research makes several theoretical contributions. First, it introduces the monopoly premium concept to systematically explain core trade-offs in patent licensing decisions. Second, it resolves theoretical ambiguity by demonstrating dimension-specific effects of patent quality, challenging unidimensional approaches. Third, it identifies multilevel contextual mechanisms: market environments primarily influence economically valuable patents through efficiency considerations, while organizational characteristics affect technically and legally sophisticated patents through social responsibility channels. The findings also offer practical implications for patent management and policy design.

Key WordsOpen Licensing; Patent Quality; Technology Market; Public Resources; Institutional Pressure

收稿日期:2025-05-16

修回日期:2025-08-13

基金项目:江苏省社会科学基金一般项目(23GLB031)

作者简介:郑莹(1987—),女,陕西渭南人,博士,南京工业大学经济与管理学院副教授,研究方向为知识产权与科技创新管理;汪斯婷(2000—),女,湖北咸宁人,南京工业大学经济与管理学院硕士研究生,研究方向为知识产权与科技创新管理。

DOI:10.6049/kjjbydc.D72025050415

开放科学(资源服务)标识码(OSID):

中图分类号:G306

文献标识码:A

文章编号:1001-7348(2026)06-0149-12

0 引言

高校作为我国科技创新体系的重要支柱,是知识创造和技术溢出的重要源泉。高校专利转化长期面临“高产出、低转化”的结构性困境,专利实际转化率不足10%,大量技术资产未能有效转化为现实生产力。2020年《中华人民共和国专利法》第四次修订引入了专利开放许可制度,为破解科技成果转化“最后一公里”难题提供了新制度工具。截至2023年底,全国已有16 065项专利进入开放许可池,其中高校贡献了86%的份额,成为推动这一制度落地的主力军。

随着开放许可制度的推广应用和实践深入,学术界对这一专利运营模式也给予极大关注。现有研究主要聚焦两个方面:一是理论分析和制度优化层面。学者们重点阐释了开放许可降低搜寻成本、简化谈判流程、减少监督成本的基本原理,并从法律框架完善、许可费率设定、标准条款制定等角度探讨了制度设计的优化路径[1-3]。二是实证研究和制度效果评估。结合不同国家样本,学者们考察了开放许可的实施成效、适用领域及影响因素[4-5]。这些宏观层面的制度分析和效果评估为完善开放许可制度框架、提升整体实施效果提供了重要启示,但是关于微观主体的开放许可决策机制仍缺乏深入的理论探讨和系统检验。

高校在专利运营实践中面临复杂的许可策略选择。面对异质性专利组合,专利权人需作出每项专利的许可路径抉择——是纳入开放许可体系以促进技术扩散,还是维持独占保护以获取垄断收益?这种二元选择背后隐含着深层次决策逻辑。专利的内在质量特征,如技术创新前沿性、法律保护完备性、经济价值确定性等多个维度可能对许可策略产生差异化影响,不同质量维度的专利在节约交易成本与获取垄断收益之间的权衡也可能存在差异。此外,高校所在区域技术市场环境以及自身组织特质也会影响这一决策过程。厘清这些微观决策机制,不仅有助于揭示高校知识资产管理的内在逻辑,而且能为优化开放许可政策、提升专利转化效率提供实证依据。

不同于既有研究的宏观制度分析视角,本文将构建一个基于专利质量与情境依赖的许可决策分析框架。首先,将专利质量解构为技术、法律、经济3个维度,系统考察其对高校开放许可策略的差异化影响。其次,构建“质量特征-情境因素”的交互作用框架,将区域技术市场环境和高校组织特征纳入分析体系,揭示二者在专利质量与许可决策间的作用。

1 理论分析与研究假设

1.1 高校专利质量对专利开放许可的影响

专利权人在专利开放许可决策中面临复杂的利弊权衡,尤其是交易成本和预期收益的权衡[6-7]。作为知识创造和传播机构——高校在专利许可决策中需要同时考虑经济收益、社会责任和学术声誉等多重目标[8]。从成本结构看,专利开放许可面临的主要成本包括交易成本和机会成本两个方面。交易成本涵盖搜寻潜在被许可方、谈判许可条款、监督合同履行等环节的资源投入[9]。机会成本则体现为选择特定许可模式而需放弃的其他潜在收益,特别是独占许可带来的独占溢价[10]。所谓独占溢价,是专利权人通过排他性许可或独占使用获得的超额收益[11]。这种溢价源于被许可方能够获得市场垄断地位和竞争优势,因此愿意支付高于普通许可的费用[10]。从收益结构看,高校收益不仅包括直接的经济回报,而且包括社会效益和声誉收益[12]。经济回报主要来自许可费用和技术转让收入;社会效益体现为促进知识扩散、技术进步和产业发展的外部贡献[8];声誉收益则是通过扩大许可提升的学术影响力[13]

开放许可通过标准化条款、批量授权等方式降低交易成本[4],同时,通过扩大技术应用范围获取社会效益、提升声誉[14],但面临放弃独占溢价的机会。如果笼统地考察专利质量对开放许可决策的影响,将面临理论预期的不确定性。一方面,高质量专利具有更高的价值潜力,采用开放许可能够吸引更多被许可方,通过规模效应获得更大的经济和社会收益[15]。另一方面,高质量专利往往蕴含更高的独占价值,使得独占许可更具吸引力[16]。这种相互矛盾的作用机制导致专利质量与开放许可关系呈现理论张力,存在多重均衡的可能性。

为深入分析其中复杂影响,本研究认为需要突破专利质量的整体性视角,将其解构为不同维度进行深入分析。专利质量本质上是一个多维度的复合概念,早期研究主要从技术视角理解专利质量,强调专利的技术先进性和创新性,随着研究深入,学者普遍认为专利质量不仅取决于技术本身,而且包括专利权利保护的稳定性、范围,以及市场接受度和商业化程度[17]。本研究遵循现有研究共识,将专利质量解构为技术质量、法律质量和经济质量三个维度[18],以厘清不同质量特征对高校许可决策的具体影响机制,从而解决整体分析中的理论模糊性问题。

1.1.1 技术质量对专利开放许可的影响

技术质量反映专利的技术创新高度、知识复杂性和技术影响力[18]。从独占溢价角度看,技术质量越高的专利,其稀缺性和不可替代性越强,被许可方为获得排他性使用权而愿意支付的溢价也越高[16]。高技术质量专利还具有较强的路径依赖性和累积效应,后续创新往往需在其基础上展开,掌握这类专利的独占使用权能够为被许可方构建显著的技术壁垒[19]。对高校而言,保持对高技术质量专利的独占控制不仅能获取直接的许可收益,更重要的是能够维持特定技术轨道上的影响力。因此,本文提出以下研究假设:

H1a:高校特定专利的技术质量对开放许可具有负向影响。

1.1.2 法律质量对专利开放许可的影响

法律质量维度呈现出类似的影响机制。高法律质量专利拥有清晰的权利边界、稳定的法律地位和广泛的保护范围[20]。而完善的权利要求能够精确界定技术保护范围,降低被许可方的侵权风险和法律纠纷成本;广泛的国际专利布局则为被许可方的全球市场拓展提供了法律保障[21]。如果采取开放许可,被许可方则无法通过专利构建法律壁垒、阻止竞争者进入,独占溢价的优势也随之降低。因此,本文提出以下研究假设:

H1b:高校特定专利的法律质量对开放许可具有负向影响。

1.1.3 经济质量对专利开放许可的影响

相比之下,经济质量维度可能展现出不同影响。经济质量反映专利市场价值的实现程度和商业化成熟度,主要通过许可和转让历史、质押融资等市场交易行为体现[17]。经济质量高的专利已通过市场验证其应用价值,存在被潜在竞争者开发出替代技术或进行规避化设计的风险,削弱独占许可的垄断效应。同时,频繁交易形成相对透明的价格信号,压缩了独占许可的溢价空间[9]。在此情况下,高校通过独占许可获取超额收益的可能性降低,而开放许可的优势得以凸显:标准化的许可条款大幅降低交易成本,规模化的批量授权能够快速扩大收益基础,已有的市场认可度降低开放许可的推广难度[2]。推动经市场验证技术的广泛应用,能够最大化技术的社会价值,提升高校的公共形象和社会声誉,带来间接但长期的收益回报。因此,本文提出如下研究假设:

H1c:高校特定专利的经济质量对开放许可具有正向影响。

1.2 区域技术市场环境的调节作用:市场成熟度与竞争性

1.2.1 区域市场成熟度的调节作用

技术市场成熟度是指区域内技术交易的活跃程度和规模水平,主要通过技术交易密度体现,即区域内技术合同成交频次和总量(郝兆兴等,2025)。成熟的技术市场通常具有技术供需匹配效率高、交易流程标准化和市场发达的特征(周俊亭等,2021)。基于前文的收益与成本结构,技术市场成熟度可通过改变专利独占溢价的可实现性和交易成本结构,调节专利质量与开放许可决策关系。

对于技术质量和法律质量高的专利,成熟的技术市场环境能够强化其独占溢价的优势条件。从收益角度,在技术交易活跃地区,完善的市场机制有助于高校识别具备技术消化能力和支付意愿的潜在对象[22]。这些经验丰富的技术受让方往往能准确评估专利的技术创新价值和法律保护优势,从而愿意为获得排他性使用权支付显著溢价[23]。从成本角度,成熟市场培育的交易惯例、专业中介服务和信任网络,能有效降低交易中的信息不对称性和谈判成本(郝兆兴等,2024)。因此,成熟的技术市场通过提供更多的溢价空间、更低的交易成本,强化高技术质量和高法律质量专利对开放许可的抑制作用。基于上述分析,本文提出如下研究假设:

H2a:区域技术市场成熟度会强化专利技术质量与开放许可之间的负向关系;

H2b:区域技术市场成熟度会强化专利法律质量与开放许可之间的负向关系。

对于经济质量高的专利,技术交易活跃的市场环境可能呈现不同的调节机制。在技术交易密度高的地区,大量的技术交易活动催生相对透明的价格信息和形成丰富的交易经验,使得这类专利的市场价值更易被准确评估和实现(郝兆兴等,2025)。高校通过活跃的技术交易网络,以传统的一对一许可或技术转让方式快速实现专利的市场价值,而无需依赖开放许可的规模效应来“薄利多销”。活跃的技术交易环境为已被市场认可的专利提供了更多的价值变现渠道(周俊亭等,2021),削弱了开放许可策略的吸引力。因此,技术市场成熟度通过提升交易便利性,削弱经济质量对开放许可的促进作用。基于此,本文提出如下研究假设:

H2c:区域技术市场成熟度会弱化专利经济质量与开放许可之间的正向关系。

1.2.2 区域市场竞争性的调节作用

技术市场竞争性是指区域内专利技术供给的密集程度,其通过区域专利存量密度体现(郝兆兴等,2025)。专利存量密度高的地区意味着技术选择更加丰富多样,单一专利面临更多的技术替代方案和潜在竞争技术,特定专利在技术市场中的稀缺性和垄断地位受到挑战。在竞争性市场中,技术质量和法律质量高的专利面临更多替代挑战,其独占价值受到制约[16]。这种竞争压力会压缩高质量专利的独占溢价空间,在此情境下,开放许可可快速扩大技术应用范围、建立技术标准和网络效应,并成为维护技术影响力的有效途径[13]。因此,高竞争性市场通过压缩独占溢价空间,弱化技术质量和法律质量对开放许可的负向影响。综上,本文提出如下假设:

H3a:区域技术市场竞争性会弱化专利技术质量与开放许可之间的负向关系;

H3b:区域技术市场竞争性会弱化专利法律质量与开放许可之间的负向关系。

类似地,高经济质量专利在专利密集的环境下面临更大竞争压力。由于这类专利通常代表已通过市场验证的成熟技术方案,其技术特征和应用模式相对透明。在专利选择丰富的市场中,被许可方更容易找到功能相似的替代技术,从而压缩该类专利独占许可的溢价空间[13]。在此情况下,高校通过开放许可快速扩大技术应用范围、建立市场标准和先发优势成为更优选择。开放许可能够帮助高校在技术竞争激烈的环境中通过“网络效应”“规模经济”建立技术影响力,获得持续的收益流[13]。因此,竞争性环境通过强化开放许可的交易成本优势,强化专利经济质量对开放许可的促进作用。综上,本文提出如下研究假设:

H3c:区域技术市场竞争性能够强化专利经济质量与开放许可之间的正向关系。

1.3 高校组织特征的调节作用:公共资源支持与成果转化制度压力

1.3.1 公共资源支持的调节作用

公共资源支持程度反映高校从政府获得的财政拨款、科研经费、人才计划等公共资源的投入强度,是影响高校承担公共使命和社会责任的重要指标。获得较高公共资源支持的高校,不仅在科研条件、人才储备等方面具有优势,而且承载着将公共投入转化为社会效益的责任和期望(马浚锋等,2025)。公共资源依赖关系塑造了高校的行为逻辑,使其在专利许可决策中更注重平衡私有收益与公共利益[13]

获得充足公共资源支持的高校会面临更大的社会责任压力,需要通过技术扩散和知识共享来体现对公共投入的回报[24] 。高技术质量和高法律质量专利的广泛应用能够产生显著的技术溢出效应与社会效益。公共资源支持程度高的高校更有动力将这类高质量专利纳入开放许可体系,通过降低使用门槛促进技术扩散,履行知识创造和传播的公共使命。换言之,社会收益和声誉提升部分平衡了独占许可的经济激励,使得高校在面对高技术质量和高法律质量专利时更愿意选择开放共享。相反,公共资源支持少的高校在资源约束下可能更依赖专利许可收入,倾向于通过独占许可最大化经济回报。因此,高公共资源支持通过提高社会责任形象和降低经济收益依赖,弱化技术质量和法律质量专利对开放许可的负面影响。综上,本文提出如下研究假设:

H4a:公共资源支持程度会弱化专利技术质量与开放许可之间的负向关系;

H4b:公共资源支持程度会弱化专利法律质量与开放许可之间的负向关系。

对于经济质量高的专利,公共资源支持的调节作用可能呈现为强化机制。这是因为经济质量高的专利具有明确的商业化路径和稳定的收益预期,高校更有动力将已被市场认可的专利通过开放许可方式广泛应用,最大化其社会效益。此外,公共资源支持程度高的高校拥有更多资源保障,不必依赖专利许可的经济收入,更多考虑技术扩散的社会价值。因此,充足的公共资源支持通过降低经济收益依赖和强化社会责任动机,催生形成高经济质量专利的开放共享动机。综上,本文提出如下研究假设:

H4c:公共资源支持程度会强化专利经济质量与开放许可之间的正向关系。

1.3.2 成果转化制度压力的调节作用

成果转化制度压力是指高校在科技成果转移转化方面承受的来自政府部门、上级主管单位的政策要求、绩效考核和社会期望的综合压力[25] 。新制度主义理论指出,组织会响应制度环境的规范性和强制性压力,通过调整行为策略来获得合法性和资源支持[26]。较大的成果转化制度压力会影响高校专利管理决策[27]。在制度压力驱动下,高校需要通过可见的转化成效来回应政策期望和获得制度认可。开放许可作为一种高效的专利转化模式,能够快速扩大专利应用范围、提高转化数量指标,成为高校应对制度压力的有效工具。通过开放许可技术先进、法律保护完善的高质量专利,展示其广泛应用前景,有助于高校在成果转化考核中获得优异表现,赢得更多政策支持和资源倾斜。这种制度激励会削弱高校对高质量专利独占收益的追求,强化开放共享动机。因此,成果转化制度压力通过更强的制度激励,弱化专利技术质量和法律质量对开放许可的抑制作用。综上,本文提出如下研究假设:

H5a:成果转化制度压力会弱化专利技术质量与开放许可之间的负向关系。

H5b:成果转化制度压力会弱化专利法律质量与开放许可之间的负向关系。

对于高经济质量专利,转化制度压力可能进一步强化其开放倾向。首先,高经济质量专利往往拥有清晰的应用场景和成熟的商业模式,通过开放许可能够迅速形成规模化应用,在短期内产生可量化的转化成效,满足制度考核的即时性要求。其次,在制度压力的传导下,高校可能将经济质量高的专利作为“快速见效”的转化抓手,通过开放许可策略最大化其扩散效应和社会影响力。因此,制度环境与市场机制的双重驱动使得高经济质量专利更加倾向于选择开放许可策略。综上,本文提出如下研究假设:

H5c:成果转化制度压力会强化专利经济质量与开放许可之间的正向关系。

本文构建理论模型如图1所示。

图1 理论模型
Fig.1 Theoretical model

2 研究设计

2.1 样本选取与数据来源

本研究采用多源数据融合方法构建高校专利开放许可决策的实证分析样本。首先,系统收集了自2021年6月专利开放许可制度实施以来至2023年12月31日期间由试点地区知识产权管理部门官方发布的开放许可公告数据,识别出参与开放许可的高校专利样本。样本源自25个试点省份,具体包含25个专利开放数据信息平台、312所高校以及1 058个企业的开放许可专利数据,其中,高校开放许可专利共13 809个。其次,通过IncoPat专利数据库,提取2004—2024年312所高校申请的全部发明专利数据,形成包含473 621个观测值的综合数据集。

从样本的空间分布来看,本研究覆盖的高校呈现显著的区域集聚性,其中,江苏省入选高校数量最多(30所),浙江省次之(29所),这一分布格局与东部沿海地区高等教育资源密集以及科技成果转化积极的宏观现实相符。从高校层次结构看,样本中包含23所“985工程”高校、67所“211工程”高校、90所“双一流”建设高校。从开放专利的技术领域看,在已开放许可的13 809项发明专利中,技术领域呈现明显的结构性分布特征——物理领域专利占比最高,达30.8%,化学与冶金领域次之,占比约22.6%。

2.2 变量定义与测度

2.2.1 被解释变量

开放许可:本研究将专利开放许可状态作为二元因变量,通过核对各省份知识产权局公布的开放许可专利清单与样本专利进行匹配。若观测期间(2021年6月至2023年12月31日)某专利被高校正式向社会公布开放许可声明,则赋值为1;否则赋值为0。这一编码方式直接反映高校对特定专利的许可策略。

2.2.2 解释变量

专利质量:本研究采用多维度测量方法构建专利质量评价体系,将专利质量分解为技术质量、法律质量和经济质量三个核心维度。指标选取主要基于两个权威来源:一是国家知识产权局制定的《专利价值分析指标体系操作手册》提供的测量标准,二是学术界广泛认可的专利质量评价指标[22]。兼顾全面性和平衡性原则,最终确定包含技术质量、法律质量、经济质量3项一级指标以及11项二级指标的专利质量综合评价体系。

(1)技术质量:IPC分类号数量反映专利技术覆盖广度和跨领域应用潜力;发明人数量衡量专利研发的协作复杂度和知识集成程度,多发明人合作往往意味着集成更多元的知识背景和技术专长;引证次数测度专利对现有技术的借鉴广度,高引证次数表明专利建立在更加广泛的技术基础上;被引证次数则表征专利的技术影响力和创新价值。

(2)法律质量:权利要求数量直接反映专利法律保护的技术点数量和覆盖范围;首项权利要求字数衡量专利主权利要求的撰写质量和精确度,措辞精准的权利要求能够提供更清晰的保护边界,降低法律纠纷风险;同族国家数测度专利的国际市场战略布局广度;同族专利数则表征专利的全球保护密度和权利人对该技术的重视程度,同族专利数量越多,表明权利人在全球范围内对该技术的保护投入越大,对技术价值的认可度也越高。

(3)经济质量:专利的许可频次直接反映市场对其技术解决方案的认可程度和商业化潜力,频繁被许可的专利通常具有更高的市场适用性和经济价值;专利转让次数体现市场主体对专利价值的认可程度和交易意愿,转让频次高的专利往往具备更强的市场流动性和价值变现能力;专利质押次数则反映金融机构对专利价值的认可程度和风险评估,能够获得质押融资的专利通常具有较大资产价值和稳定的现金流预期。

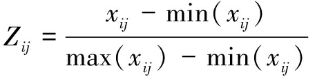
本研究采用客观赋值的熵权法对以上所选二级指标进行加权以集成一级指标。熵权法赋权思路克服了主观赋权法的随意性和不确定性,通过测度指标值的变异程度来确定其权重。变异越大、提供的信息量越多的指标,其分配到的权重也越高。借鉴相关研究思路[23],先对各项指标原始数据进行归一化处理,采用极值标准化法将各项指标统一为正向指标,取值范围均为[0,1],以消除量纲不一致的影响。计算公式如下:

(1)

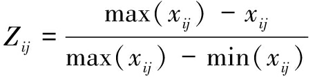
对于负向指标,建立标准化公式:

(2)

其中,Zij为根据各指标提供的信息量赋予不同权重。令k为样本个数,i为指标个数,p表示第j个指标下第i个被评价变量的特征比重,则有:

(3)

其中,i=1,2,…,k;j=1,2,…,n。基于特征比重p,计算权重系数。将各标准化后的指标进行加权,可得技术价值、法律价值、经济价值三个指标。

2.2.3 调节变量

(1)区域技术市场成熟度。参考已有研究,通过区域技术交易密度测度技术市场发育程度(周俊亭等,2021)。基于《中国科技统计年鉴》公布的各省份技术合同成交情况,计算各省份技术输出与吸纳的技术交易合同总量,以此反映区域技术市场的成熟程度。该指标数值大,表明区域内技术交易频繁、市场机制完善,为专利许可提供了成熟的环境。为消除量纲影响,对该指标数值取对数后作标准化处理。

(2)区域技术市场竞争性:通过区域专利存量密度测度市场竞争强度。基于《中国统计年鉴》公布的各省份专利授权数据,计算省域内发明专利和实用新型专利累计总量,取对数后作标准化处理,以此反映区域技术市场的竞争格局和专利密度。该指标数值越高,意味着区域内存在的技术替代选择和潜在竞争主体越多,从而影响专利权人的专利许可策略。

(3) 公共资源支持程度:选取高校是否纳入“双一流建设”作为代理变量。入选该计划的高校在政府投入、政策倾斜等方面能够获得显著的公共资源支持,具备更强大的人才汇聚能力、科研条件和学术声誉等优势(马浚锋等,2025)。因此,以“是否为双一流工程高校”作为高校公共资源支持程度的代理变量具有合理性。双一流建设工程高校名单数据来自教育部,高校为双一流建设工程高校则赋值为1,否则为0。

(4) 成果转化制度压力:本研究重点关注高校参与专利开放许可的成果转化制度压力,将认定为“国家技术转移示范机构”作为代理变量。通过认定,意味着高校成果转化成绩突出,承担更大的示范引领责任[28],能够在一定程度上反映高校承受的成果转化制度压力。根据科技部发布的国家技术示范转移机构名单,高校为技术转移示范单位则赋值为1,否则赋值为0。

2.2.4 控制变量

为了避免遗漏变量造成偏误,准确识别两者间的因果关系,本研究从专利特征、高校特征、区域特征等多个层面,选取可能影响高校专利开放许可行为的其他因素进行控制。

(1)是否合作申请:合作申请反映了专利研发过程中的知识整合程度和外部联系强度。合作申请专利往往涉及多方利益主体,需要协调各方诉求,可能影响开放许可选择[29]。本研究将合作申请专利赋值为1,独立申请的赋值为0。

(2)是否有代理机构:专利代理机构的参与体现了专利申请的专业化程度。代理机构通常具有丰富的专利撰写经验,能够提升专利文件质量和明确权利保护范围,可能影响后续的许可策略选择[29]。由代理机构委托申请的专利赋值为1,否则赋值为0。

(3)是否享有优先权:优先权的存在表明专利具有国际申请背景或技术改进史,享有优先权的专利在技术成熟度和市场定位上存在差异[17] ,进而影响许可模式选择。有优先权的专利赋值为1,否则赋值为0。

(4)专利年龄:专利年龄反映了技术时效性和市场生命周期阶段。随着时间推移,专利的技术先进性可能下降,而市场认知度可能提升,这种动态变化会影响专利许可价值和策略选择(袁野等,2023)。本研究计算专利从申请日至2023年12月31日之间的存续时长并进行对数变换以缓解偏态分布。

(5)专利实际提审时长:实审时长反映了专利审查的复杂程度和技术创新性。较长的审查时间意味着该技术方案具有新颖性和复杂性,也可能影响专利权人对其价值的判断和许可决策[29]。本研究中采用实际提审时长并进行对数变换处理。

(6)省份生产总值:高校所在地区的经济发展水平影响技术需求强度和产业承接能力。经济发达地区通常拥有更活跃的技术市场和更强的技术吸纳能力,可能影响高校的专利许可策略[30]。本文采用高校所在省份2023年的省内生产总值并进行对数变换。

(7)专利技术领域:不同技术领域的专利在技术特性、产业应用和市场结构等方面存在显著差异,这些差异可能影响开放许可的适用性和吸引力[31-32]。按照国家知识产权局发布的国际专利分类(IPC)八大部类,根据专利的第一位IPC代码设置虚拟变量,控制技术领域的固定效应。

(8)专利行业分类:专利所属的产业领域决定其应用场景和市场特征。不同行业在技术更新速度、竞争格局、知识产权保护强度等方面的差异,可能影响专利权人的许可模式选择[33]。依据《国民经济行业分类》的20个门类,根据专利对应的第一位行业代码设置虚拟变量,以控制行业固定效应。

2.3 模型设计

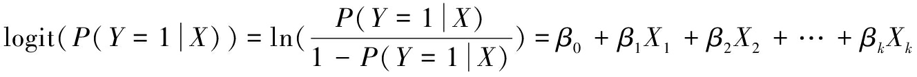
本研究的核心目标是探究专利质量对高校开放许可决策的影响及其情境依赖性,鉴于被解释变量开放许可为二元分类变量(1=是,0=否),故采用二元Logistic回归模型进行实证分析。Logistic回归模型通过对数几率(log-odds)形式处理二分因变量,可有效估计自变量对开放许可概率的边际效应,适用于本研究的因果推断。具体而言,构建以下回归模型:

(4)

其中,β0是截距项,表示当所有自变量为0时的对数几率,βk为回归系数,Xk为解释变量。

3 实证结果与分析

3.1 描述性统计

主要变量的描述性统计及相关性分析结果见表1。从被解释变量来看,样本中专利开放许可的均值为0.029,标准差为0.168,表明在总体样本中仅有2.9%的专利被纳入开放许可池,反映了开放许可作为新型专利运营模式尚处于起步阶段。从解释变量来看,3个维度的专利质量指标呈现差异化分布特征:技术质量指标和法律质量指标的标准差均较大,经济质量指标的均值最低且标准差较小,表明大多数高校专利的市场化程度较低,许可、转让、质押等商业化活动相对有限。

表1 描述性统计与相关性分析结果
Table 1 Descriptive statistics and correlational analysis results

变量 1 2 3 4 5 6 71.开放许可12.技术质量-0.003∗∗13.法律质量-0.010∗∗∗0.049∗∗∗14.经济质量0.054∗∗∗0.038∗∗∗0.000 215.是否合作申请-0.059∗∗∗0.046∗∗∗0.092∗∗∗-0.037∗∗∗16.是否代理机构0.013∗∗∗0.009∗∗∗-0.038∗∗∗-0.048∗∗∗0.009∗∗∗17.是否享有优先权0.0020.026∗∗∗0.075∗∗∗0.011∗∗∗0.036∗∗∗-0.00218.专利年龄0.045∗∗∗0.163∗∗∗0.010∗∗∗0.220∗∗∗0.000∗∗∗-0.086∗∗∗0.043∗∗∗9.专利实审时长0.015∗∗∗0.047∗∗∗0.116∗∗∗0.054∗∗∗0.086∗∗∗-0.129∗∗∗0.059∗∗∗10.省内生产总值-0.034∗∗∗0.029∗∗∗0.064∗∗∗-0.077∗∗∗0.094∗∗∗0.141∗∗∗0.036∗∗∗11.技术市场成熟度-0.044∗∗∗-0.004∗∗∗0.081∗∗∗-0.020∗∗∗0.089∗∗∗0.017∗∗∗0.030∗∗∗12.技术市场竞争性0.006∗∗∗-0.011∗∗∗0.040∗∗∗0.042∗∗∗-0.007∗∗∗0.039∗∗∗-0.007∗∗∗13.公共资源支持程度-0.149∗∗∗0.049∗∗∗0.041∗∗∗-0.142∗∗∗0.065∗∗∗0.081∗∗∗0.022∗∗∗14.成果转化制度压力-0.115∗∗∗0.024∗∗∗0.062∗∗∗-0.071∗∗∗0.069∗∗∗0.039∗∗∗0.016∗∗∗平均值0.0290.20.0450.0190.1120.9230.012标准差0.1680.1070.1480.0620.3160.2670.111最小值0000000最大值10.9210.689111

续表1 描述性统计与相关性分析结果
Table 1(Continued) Descriptive statistics and correlational analysis results

变量 8910111213148.专利年龄19.专利实审时长0.392∗∗∗110.省内生产总值0.051∗∗∗0.098∗∗∗111.技术市场成熟度0.073∗∗∗0.094∗∗∗0.618∗∗∗112.技术市场竞争性0.007∗∗∗0.004∗∗0.223∗∗∗0.316∗∗∗113.公共资源支持程度0.032∗∗∗0.051∗∗∗0.357∗∗∗0.201∗∗∗-0.086∗∗∗114.成果转化制度压力0.030∗∗∗0.037∗∗∗0.239∗∗∗0.253∗∗∗0.105∗∗∗0.398∗∗∗1平均值1.7991.7757.265000.690.616标准差0.4380.3670.759110.4620.486最小值0.6930.6934.016-1.574-1.20400最大值4.8294.5438.3722.0041.76311

注:***、**、*分别表示回归结果在1%、5%和10%水平上通过显著性检验,下同

从变量间相关性分析看,专利开放许可与经济质量呈显著正相关,而与技术质量和法律质量呈显著负相关,初步支持了专利质量不同维度对开放许可决策产生差异化影响的推断。此外,各控制变量与主要研究变量间存在显著但程度不一的相关性,强化了在回归模型中纳入这些控制变量的必要性。为检验多重共线性问题,本研究对所有解释变量和控制变量进行方差膨胀因子(VIF)检验,结果显示,所有变量的VIF值远低于常用的临界值10,表明变量间不存在严重的多重共线性问题,回归模型估计结果具有可靠性。

3.2 基准回归结果分析

专利质量对高校开放许可决策影响的基准回归结果见表2,其中,列(1)~(3)分别检验专利质量3个维度的独立影响,列(4)整合了所有维度的综合效应。结果显示,技术质量对开放许可产生显著负向影响(β=-0.376,p<0.01),法律质量同样呈现负向影响(β=-0.143,p<0.05)。相反,经济质量展现出显著的正向影响(β=2.626,p<0.01)。列(4)中,三个维度的影响效应保持稳健,支持假设H1a、H1b和H1c

表2 专利质量对开放许可影响的回归结果
Table 2 Regression results of patent quality effects on open licensing

变量 (1)(2)(3)(4)技术质量-0.376∗∗∗-0.355∗∗∗(0.083)(0.083)法律质量-0.143∗∗-0.159∗∗(0.069)(0.069)经济质量 2.626∗∗∗2.631∗∗∗(0.100)(0.100)是否合作申请-3.128∗∗∗-3.129∗∗∗-3.103∗∗∗-3.094∗∗∗(0.119)(0.119)(0.119)(0.119)是否有代理机构0.552∗∗∗0.551∗∗∗0.574∗∗∗0.577∗∗∗(0.038)(0.038)(0.038)(0.038)是否享有优先权0.192∗∗0.200∗∗∗0.190∗∗0.205∗∗∗(0.076)(0.076)(0.076)(0.076)专利年龄0.417∗∗∗0.407∗∗∗0.356∗∗∗0.366∗∗∗(0.121)(0.121)(0.122)(0.122)专利实审时长0.052∗0.059∗∗0.064∗∗0.067∗∗(0.028)(0.028)(0.028)(0.028)省内生产总值-0.231∗∗∗-0.232∗∗∗-0.210∗∗∗-0.207∗∗∗(0.011)(0.011)(0.011)(0.011)技术领域固定固定固定固定国民经济分类固定固定固定固定申请年份固定固定固定固定常数项-3.336∗∗∗-3.382∗∗∗-3.545∗∗∗-3.519∗∗∗(0.185)(0.185)(0.186)(0.186)观测值473 621473 621473 621473 621R20.045 2 0.045 10.049 7 0.049 9

注:表中括号内报告的是标准误,下同

以上结果揭示了不同维度的专利质量对高校开放许可决策的异质性影响。原因是,技术先进、法律保护完善的专利具有更大的垄断收益潜力,独占许可带来的专有收益预期超过开放许可节约的交易成本,因此高校倾向于维持这类专利的独占保护。相反,对于已展现出市场价值的专利,其已在市场中建立了一定的认知度和价值锚点,通过开放许可可以显著降低后续交易的搜寻和谈判成本;同时,这类专利已经经过市场验证,通过开放共享能够实现更大范围的技术扩散和知识溢出,为高校带来更多声誉收益和社会资源反哺,因此高校倾向于对这类专利实施开放许可。

4 调节效应检验

4.1 区域技术市场环境的调节作用

区域技术市场成熟度的调节效应结果见表3的列(1)~(3)。实证结果显示,技术市场成熟度主要通过调节经济质量维度影响高校开放许可决策。列(3)中,经济质量与市场成熟度的交互项系数为负且在1%水平上显著(β=-0.886,p<0.01),表明技术市场成熟度弱化了经济质量与开放许可之间的正向关系,支持了假设H2c。在技术交易活跃的区域,成熟的市场机制为高经济价值专利提供了多样化的价值实现渠道,相对削弱了开放许可模式的吸引力。然而,技术质量和法律质量与市场成熟度的交互项均不显著,假设H2a和H2b未获得支持,说明市场成熟度并未显著改变高校对具有技术创新价值和法律保护价值专利的许可策略。

表3 调节效应回归结果
Table 3 Regression results of moderating effect

变量区域技术市场成熟度(1)(2)(3)区域技术市场竞争性(4)(5)(6)公共资源支持程度(7)(8)(9)成果转化制度压力(10)(11)(12)技术质量-0.424∗∗∗-0.362∗∗∗-0.078-0.154(0.085)(0.083)(0.104)(0.101)法律质量-0.100-0.155∗∗-0.435∗∗∗-0.490∗∗∗(0.069)(0.072)(0.108)(0.114)经济质量2.439∗∗∗2.462∗∗∗1.265∗∗∗2.132∗∗∗(0.110)(0.105)(0.114)(0.118)调节变量-0.245∗∗∗-0.242∗∗∗-0.220∗∗∗0.050∗∗∗0.074∗∗∗0.040∗∗∗-1.911∗∗∗-1.856∗∗∗-1.788∗∗∗-1.296∗∗∗-1.380∗∗∗-1.319∗∗∗(0.021)(0.012)(0.012)(0.018)(0.009)(0.010)(0.040)(0.021)(0.021)(0.040)(0.020)(0.021)技术质量×调节变量0.0220.1030.441∗∗∗-0.195(0.090)(0.079)(0.170)(0.175)法律质量×调节变量0.104-0.0420.895∗∗∗1.049∗∗∗(0.076)(0.068)(0.141)(0.142)经济质量×调节变量-0.886∗∗∗0.409∗∗∗-0.1980.117(0.121)(0.098)(0.271)(0.225)控制变量控制控制控制控制控制控制控制控制控制控制控制控制常数项-4.506∗∗∗-4.547∗∗∗-4.749∗∗∗-3.188∗∗∗-3.226∗∗∗-3.418∗∗∗-4.894∗∗∗-4.912∗∗∗-5.067∗∗∗-3.395∗∗∗-3.415∗∗∗-3.792∗∗∗(0.193)(0.193)(0.194)(0.186)(0.186)(0.187)(0.855)(0.856)(0.857)(0.845)(0.847)(0.851)观测值473 621473 621473 621473 621473 621473 621473 621473 621473 621473 621473 621473 621R20.048 60.048 40.053 80.045 70.045 60.050 20.116 40.116 70.117 40.086 70.087 10.089 7

区域技术市场竞争性的调节效应见表3的列(4)~(6)。与市场成熟度相反,技术市场竞争性正向调节经济质量与开放许可的关系。列(6)显示,经济质量与市场竞争性的交互项系数为正且显著(β=0.409,p<0.01),支持了假设H3c。这一发现反映出在替代技术多、专利密度高的区域,针对已获市场认可的专利,高校更倾向于通过开放许可建立用户基础和技术标准。技术质量和法律质量的交互效应不显著,假设H3a和H3b未获支持。综合而言,区域技术市场环境主要影响高经济价值专利的市场化路径选择。

4.2 高校组织特征的调节作用

公共资源支持程度的调节效应分析结果见表3的列(7)~(9)。实证结果表明,公共资源支持显著调节技术质量、法律质量与开放许可的关系。列(7)显示,技术质量与公共资源支持的交互项系数为正且显著(β=0.441,p<0.01),支持假设H4a;列(8)显示,法律质量与公共资源支持的交互项系数同样显著为正(β=0.895,p<0.01),支持假设H4b。上述结果表明,公共资源支持弱化了技术质量、法律质量对开放许可的抑制作用。然而,经济质量与公共资源支持的交互项系数不显著,假设H4c未获支持。

成果转化制度压力的调节效应结果见表3的列(10)~(12)。其显示,成果转化制度压力部分调节专利质量与开放许可的关系。列(11)显示,法律质量与制度压力的交互项系数显著为正(β=1.049,p<0.01),支持假设H5b。这一结果揭示制度环境的规范作用:面临成果转化考核压力的高校将法律保护完善的专利视为展示转化成效的重要载体。技术质量、经济质量与制度压力的交互项系数均不显著,假设H5a和H5c未获支持。

调节效应的差异化揭示了影响高校开放许可的多元机制:区域市场环境主要通过改变经济价值维度的收益预期发挥作用,而高校组织特征更多地影响技术和法律价值维度的许可策略选择。这种差异化的调节效应反映出不同层面因素对高校专利许可决策的作用路径存在区别。具体而言,区域技术市场环境作为外部市场力量,主要影响已被市场验证的专利(高经济质量)的价值实现路径。这是因为在成熟的技术市场中,完善的交易机制和丰富的市场渠道为这类专利提供了多样化许可选择,削弱了开放许可作为“批量授权”模式的相对优势;而在竞争激烈的市场环境中,技术替代品的增多迫使高校通过开放许可快速建立用户基础和技术标准,以应对竞争压力。相比之下,高校组织特征作为内部制度力量,更多地影响体现创新能力的高技术质量和法律质量专利。这是因为公共资源支持和成果转化制度压力通过塑造高校的价值取向与行为逻辑,影响其在“独占溢价”与“社会责任”之间的权衡。获得充足公共支持的高校更注重将高质量创新成果服务社会的使命担当;面临转化压力的高校则将高质量专利视为展示转化成效的重要载体。

5 稳健性检验

5.1 基于不同PSM匹配策略的稳健性检验

从样本描述性统计结果可见,开放许可专利占2.9%。高度不平衡的样本分布可能导致传统Logistic回归在估计小概率事件时产生偏误,尤其是解释变量(专利质量)与开放许可决策之间可能存在内生性问题时。为解决上述问题,本研究借鉴Caliendo[34]的研究思路,采用倾向得分匹配(PSM)方法构建反事实样本框架。研究将专利质量分为高值组(处理组)和低值组(对照组),通过PSM方法为每个高质量专利匹配特征相似的低质量专利,使两组在除专利质量外的其他可观测特征上尽可能相似,以有效缓解样本选择偏误和潜在的内生性问题。

在实施PSM过程中,基于专利特征IPC数量、发明人数量、权利要求数等计算倾向得分。进一步,将匹配方法更换为1∶3的最近邻匹配,即为每个高质量专利匹配3个最相似的低质量专利,扩大匹配样本规模。表4列(1)~(4)展示基于PSM的回归结果。结果显示,技术价值和法律价值对开放许可决策产生显著负向影响,经济价值保持正向影响,验证了原结论的稳健性。

表4 更换模型的稳健性回归结果
Table 4 Regression results of robustness tests using alternative methods

变量PSM(1)(2)(3)(4)Cloglog模型(5)(6)(7)(8)技术质量-0.574∗∗∗-0.537∗∗-0.369∗∗∗-0.351∗∗∗(0.208)(0.211)(0.081)(0.081)法律质量-0.352∗∗∗-0.244∗∗∗-0.142∗∗-0.159∗∗(0.092)(0.094)(0.068)(0.068)经济质量4.266∗∗∗4.239∗∗∗2.566∗∗∗2.572∗∗∗(0.177)(0.177)(0.096)(0.097)是否合作申请-2.964∗∗∗-2.948∗∗∗-2.828∗∗∗-2.810∗∗∗-3.110∗∗∗-3.111∗∗∗-3.085∗∗∗-3.076∗∗∗(0.252)(0.252)(0.252)(0.252)(0.119)(0.119)(0.119)(0.119)是否有代理机构0.702∗∗∗0.701∗∗∗0.709∗∗∗0.708∗∗∗0.543∗∗∗0.542∗∗∗0.563∗∗∗0.567∗∗∗(0.127)(0.127)(0.128)(0.128)(0.037)(0.037)(0.037)(0.037)是否享有优先权-0.432∗-0.370-0.398∗-0.3420.187∗∗0.196∗∗∗0.184∗∗0.199∗∗∗(0.231)(0.231)(0.232)(0.233)(0.074)(0.074)(0.074)(0.074)专利年龄-0.035-0.064-0.233-0.2310.404∗∗∗0.394∗∗∗0.341∗∗∗0.351∗∗∗(0.336)(0.342)(0.359)(0.361)(0.118)(0.118)(0.119)(0.119)专利实审时长-0.133∗-0.118-0.108-0.0980.053∗0.059∗∗0.063∗∗0.066∗∗(0.078)(0.079)(0.080)(0.080)(0.027)(0.027)(0.027)(0.027)省内生产总值-0.253∗∗∗-0.246∗∗∗-0.171∗∗∗-0.160∗∗∗-0.227∗∗∗-0.228∗∗∗-0.206∗∗∗-0.203∗∗∗(0.031)(0.031)(0.032)(0.032)(0.011)(0.011)(0.011)(0.011)技术领域固定固定固定固定固定固定固定固定国民经济分类固定固定固定固定固定固定固定固定申请年份固定固定固定固定固定固定固定固定常数项-2.612∗∗∗-2.744∗∗∗-3.160∗∗∗-3.146∗∗∗-3.372∗∗∗-3.417∗∗∗-3.581∗∗∗-3.556∗∗∗(0.544)(0.546)(0.560)(0.562)(0.181)(0.181)(0.182)(0.182)观测值56 82656 82656 82656 826473 621473 621473 621473 621R20.0670.0680.0990.099----

5.2 基于Cloglog模型的稳健性检验

本研究进一步采用互补对数(Cloglog)模型进行稳健性检验。Cloglog模型特别适用于因变量发生概率较低的情况,可为稀有事件提供更精确的估计[35-36]。表4列(5)~(8)为Cloglog模型回归结果,其显示,技术价值和法律价值对开放许可的负向效应以及经济价值的正向效应均显著,与基准模型结果高度一致,表明专利质量的3个维度对高校开放许可决策的异质性影响具有稳定性。

5.3 基于替换变量测度方法的稳健性检验

调节效应分析使用“双一流高校”作为公共资源支持程度的代理变量,能够反映高校获得政策倾斜和资源投入的差异,但无法充分体现同类高校之间公共资源支持的连续性差异,且非双一流高校也可能在特定领域或地方层面获得大量的公共资源支持。为更精确地测度高校实际获得的公共资源支持强度,同时考虑数据可得性,本研究在稳健性检验中采用“高校拥有的重点实验室数量”(包括国家重点实验室、教育部重点实验室、省部级重点实验室等)作为替代变量。重点实验室的设立直接反映政府对高校在科研基础设施、人才团队、运行经费等方面的持续性资源投入,且重点实验室作为高校开展前沿研究和产出高质量专利的重要平台,其数量与高校承担的公共科研使命直接相关[37]。结果如表5所示,重点实验室数量与三个维度专利质量的交互项系数均显著,进一步验证了公共资源支持对专利质量与开放许可关系的调节作用。

表5 替换调节变量的稳健性回归结果
Table 5 Robustness test results using alternative measure of moderating variable

变量(1)(2)(3)技术质量-0.490∗∗∗(0.105)法律质量-0.110(0.089)经济质量2.187∗∗∗(0.122)调节变量-0.373∗∗∗-0.339∗∗∗-0.315∗∗∗(0.012)(0.007)(0.006)技术质量×调节变量0.187∗∗∗(0.051)法律质量×调节变量0.073∗∗(0.036)经济质量×调节变量-0.513∗∗∗(0.102)控制变量控制控制控制常数项-3.653∗∗∗-3.708∗∗∗-3.951∗∗∗(0.828)(0.829)(0.836)观测值473 621473 621473 621R20.082 50.082 30.084 8

6 结语

6.1 研究结论

本研究基于312所高校的473 621项专利数据,实证检验了专利质量对高校专利开放许可策略的影响,并探讨了区域技术市场环境和高校组织特征的调节作用。研究发现:①专利质量影响高校开放许可决策,但呈现明显的维度异质性。其中,技术质量和法律质量对开放许可具有抑制效应,反映了高校对高技术价值和强法律保护专利具有独占许可的偏好;相反,经济质量则促进开放许可,体现了高校实现高商业价值专利社会效益最大化的目标取向。②区域技术市场环境的调节效应主要体现在经济质量方面,成熟市场为高经济价值专利提供了更多独占许可选择,而技术市场竞争性则强化了开放许可动机。③高校组织特征也影响专利开放许可策略选择,具体为公共资源支持程度和成果转化压力均会强化高校开放高质量专利的倾向,其主要体现在技术质量和法律质量方面。综上所述,本研究揭示了专利质量、区域环境、高校组织特征共同塑造高校专利开放许可决策的内在机理。

6.2 理论贡献

(1)构建了基于“独占溢价”与“开放收益”权衡的专利许可决策理论框架。不同于现有研究笼统地从交易成本或知识扩散角度分析专利开放许可,本研究引入独占溢价概念,系统阐释了高校在专利许可决策中面临的核心权衡——是通过独占许可获取垄断收益,还是通过开放许可实现规模效应和社会价值。这一框架不仅适用于解释高校的许可行为,而且为理解其他创新主体的专利运营策略提供了新理论视角。

(2)现有研究主要将专利质量作整体性分析,而本文揭示了多维质量特征的异质性作用机制。本研究通过将专利质量解构为技术、法律、经济三个维度,揭示了不同质量维度通过影响独占溢价的可实现性而产生不同许可倾向——技术质量和法律质量会弱化开放许可倾向,经济质量则因经过市场验证而促进开放许可。研究结果明晰了专利质量与开放许可之间的复杂关系,深化了对专利价值实现路径的理解。

(3)识别了专利开放许可决策的多层次情境机制及差异化作用路径。研究发现,外部市场环境主要通过改变经济质量专利的市场化效率影响许可选择,而内部组织特征则通过社会责任和制度响应机制作用于技术质量和法律质量专利的许可决策。这种“市场-组织”双重情境的差异化调节模式,不仅拓展了开放许可理论的情境化分析框架,而且为理解创新主体如何在复杂环境中的专利管理决策提供了新的视角。

6.3 实践启示

本研究为高校的专利管理实践以及专利开放许可制度优化提供了启示。第一,对高校而言,在专利管理中应建立基于质量导向的分类施策机制。对于技术先进、法律保护强但经济价值尚不确定的专利,高校应审慎采取开放许可,以避免过度稀释专利使用的排他性。同时,高校还应立足所处区域环境谋划专利转化路径,在技术市场成熟度高的地区可重点借助市场机制实现专利价值。第二,对政府部门而言,应完善专利开放许可的政策体系和配套机制。因地制宜采取普惠性与差异性相结合的激励措施,引导不同区域、不同类型高校针对性地开展开放许可,兼顾高校作为创新主体的社会属性和经济属性。

6.4 未来展望

本文揭示了专利质量对高校开放许可决策的影响机制,但仍存在一些局限。首先,本研究基于截面数据分析,未来可采用面板数据考察开放许可决策的动态演变过程;其次,本文主要分析了高校开放许可决策过程中的调节机制,未来可进一步探究开放许可后的效果评估,考察开放许可是否有效促进专利转化和价值实现,也可拓展研究对象至企业等其他专利权主体,比较不同主体在开放许可决策上的异同;最后,随着开放许可制度的持续推进,未来研究可结合实地调研和定性分析,深入探究高校开放许可决策的内部流程和微观机制,为完善开放许可制度提供更丰富的实证依据。

参考文献:

[1] 李文江. 专利开放许可的制度优势、实施障碍和促进机制[J].电子知识产权, 2023,33 (8):19-31.

[2] 黄运康. 我国企业实践专利开放许可制度的迷思:理论基础与制度建构[J].电子知识产权, 2023, 33(9):4-19.

[3] 杨祎朋.论专利开放许可制度激励失灵的困境化解[J].科技进步与对策,2025,42(15):140-148.

[4] 万小丽, 冯柄豪, 张亚宏,等. 英国专利开放许可制度实施效果的验证与启示——基于专利数量和质量的分析[J].图书情报工作, 2020, 64(23):86-95.

[5] 刘夏, 陈栗, 王欣宇. 专利开放许可的知识溢出效应研究——基于英德两国的准自然实验[J].科技进步与对策, 2024, 41(12):105-115.

[6] 刘夏, 任声策, 李浩宇,等. 促进专利许可的因素与机制:实证研究评述与展望[J].科学学与科学技术管理, 2024, 45(12):164-182.

[7] BEGGS A W. The licensing of patents under asymmetric information[J].International Journal of Industrial Organization, 1992, 10(2):171-191.

[8] 余泳泽, 唐孝妍. 高校基础研究与创新知识溢出:来自高校设立技术转移机构的证据[J].中国软科学, 2024, 39(3):162-173.

[9] LU Y, PODDAR S, BANERJEE S,et al. Patent licensing and strategic shelving[J].Review of Industrial Organization, 2025, 66(3):367-396.

[10] ARORA A, FOSFURI A. Licensing the market for technology[J].Journal of Economic Behavior &Organization, 2003, 52(2):277-295.

[11] ROCKETT K E. Choosing the competition and patent licensing[J].The RAND Journal of Economics, 1990, 21(1):161-171.

[12] 张军荣, 杨思捷, 周璐. 中国高校专利产权制度演化的内在逻辑与制度重构[J].科技进步与对策, 2023, 40(21):99-107.

[13] ÖCALAN ÖZEL S, PÉNIN J. Exclusive or open an economic analysis of university intellectual property patenting and licensing strategies[J].Journal of Innovation Economics &Management, 2016,21 (3):133-153.

[14] 杨淼,辛悦.高校科技成果转化的机制创新与实践路径研究——基于创新生态系统理论视角[J].创新科技,2025,25(10):17-28.

[15] BHASKARABHATLA A, DENG Y, LIU Y. Open disclosure using invention pledges: a case study of IBM[J].The Journal of Technology Transfer, 2024, 49(4):1532-1566.

[16] GANS J S, STERN S. The product market and the market for "ideas": commercialization strategies for technology entrepreneurs[J].Research Policy, 2003, 32(2):333-350.

[17] HIGHAM K, DE RASSENFOSSE G, JAFFE A B. Patent quality:towards a systematic framework for analysis and measurement[J].Research Policy, 2021, 50(4):104215.

[18] 朱雪忠, 万小丽. 竞争力视角下的专利质量界定[J].知识产权, 2009, 19(4):7-14.

[19] BARON J, DELCAMP H. Patent quality and value in discrete and cumulative innovation[J].Scientometrics, 2012, 90(2):581-606.

[20] 刘立春. 二元专利质量研究[J].情报杂志, 2017, 36(11):168-174.

[21] WAGNER R P. Understanding patent-quality mechanisms[J].University of Pennsylvania Law Review, 2009, 157(6):2135-2173.

[22] 邵汉华, 王瑶, 罗俊. 技术市场发展促进了产学研深度融合吗[J].管理评论, 2022, 34(11):99-108.

[23] KANKANHALLI G, KWAN A. Bargaining power in the market for intellectual property:evidence from licensing contract terms[J].Journal of Empirical Legal Studies, 2024, 21(1):109-173.

[24] FERNANDES C I,FERREIRA J J.Knowledge spillovers: cooperation between universities and KIBS[J].R&D Management,2013,43(5):461-472.

[25] 闫妍, 叶广宇, 梁肖梅. 制度压力、地方政府响应与区域环境绩效——基于30省数据的定性比较分析[J].科学学研究, 2024, 42(2):300-309.

[26] DIMAGGIO P J, POWELL W W. The iron cage revisited:institutional isomorphism and collective rationality in organizational fields[J].American Sociological Review, 1983, 48(2):147-160.

[27] 亢延锟, 郭家宝, 胡志安,等. 创新驱动、激励机制与高校科技成果转化——以省部共建国家重点实验室为例[J].管理世界, 2025, 41(3):50-76.

[28] 许可, 肖冰. 基于边界组织的科技成果转化机构分类体系研究[J].科研管理, 2021, 42(4):113-122.

[29] 邓洁, 张彩铃, 李源信. 高校专利质量对专利转化的影响效应研究——基于“双一流”高校的实证研究[J].情报杂志, 2021, 40(10):200-207.

[30] 李红锦,樊馨媄,李胜会.中国高校创新产出空间格局及其溢出效应研究[J].广东财经大学学报,2019,34(6):24-34.

[31] 邓伟伟, 霍栩俊, 吴敏, 等. 融合多重专利关系网络指标的高质量专利识别研究[J].图书情报工作, 2025, 69(13):19-31.

[32] 李星,戚湧,袁佳鑫.数字创新对关键核心技术突破的影响机制研究——基于战略性新兴产业领域专利分析[J/OL].科技进步与对策,1-12[2025-10-30].https://link.cnki.net/urlid/42.1224.G3.20250704.1719.008.

[33] 彭茂祥, 徐勇. 专利分类与产业分类对照关系构建及应用研究[J].科学管理研究, 2017, 35(5):30-33.

[34] CALIENDO M, KOPEINIG S. Some practical guidance for the implementation of propensity score matching[J].Journal of Economic Surveys, 2008, 22(1):31-72.

[35] 沈国兵, 沈彬朝. 高标准贸易协定与全球供应链韧性:制度环境视角[J].经济研究, 2024, 59(5):151-169.

[36] KAMAL A, PERVAIZ M K. Factors affecting the family size in Pakistan: cloglog regression model analysis[J].Journal of Statistics, 2011, 18(1):29-53.

[37] 郑世林, 汉馨语, 郭锡栋, 等. 国家战略科技力量与企业关键核心技术突破——来自国家和省级重点实验室的证据[J].中国工业经济, 2024, 32(9):62-80.

(责任编辑:胡俊健)