创新关联网络中企业创新同群效应:多维驱动机制与经济溢出

曾凯霖,邝 文,刘孟雪

(江西理工大学 经济管理学院,江西 赣州 341000)

摘 要:同群效应是影响企业创新的重要因素。突破以行业与产品市场、地理位置、供应链、社会网络等传统维度界定同群概念的范式局限,基于企业发明专利IPC分类余弦相似度构建动态创新关联网络,对2008-2023年4 824家上市企业创新活动进行跟踪,依托社会网络理论和组织间模仿理论,通过回归方法探究创新同群效应的存在性、形成机制及经济后果。结果表明:企业创新活动呈现显著的同群效应。其主要形成机制包括信息获取型模仿、竞争型模仿、结果导向模仿以及市场反馈,即当创新关联公司创新优势越明显、市场竞争压力越大、业绩越好以及自身跨公司信息效率越高时,同群效应越明显。创新同群效应具有正向经济溢出效应,能够促进企业绩效提升。研究不仅丰富了同群效应理论研究成果,同时为公司创新决策提供了理论指导与实践路径。

关键词:同群效应;创新关联;创新与研发;企业绩效

The Peer Effects of Corporate Innovation in Innovation Linkage Network:The Multi-dimensional Driving Mechanism and Economic Spillover

Zeng Kailin,Kuang Wen,Liu Mengxue

(School of Economics and Management, Jiangxi University of Science and Technology, Ganzhou 341000, China)

Abstract:Enterprises currently face a highly uncertain information environment in innovation. This uncertainty is driven by multiple complex factors, including the accelerated iteration of current technologies, fluctuations in product market demand, intensifying global technological competition, and external sanctions and suppression. There is an urgent need to seek more effective external information sources to reduce the risks of corporate innovation decisions, and to help enhance their innovative capabilities, achieve breakthroughs in key technologies, and form new types of productive forces. Innovative linkage, as the bridge for the dissemination of technology and scientific knowledge across fields, industries, and regions, is a key external pathway for enterprises to obtain external technology and knowledge information. For innovation-linked companies, their technological trends are highly similar, making it easy for innovation decision-making imitation to occur across companies, thus giving rise to the innovation peer effect in the innovation network. To study the impact of this new innovation peer effect on corporate innovation decisions, this paper intends to investigate the following main issues: What are the formation mechanisms of the innovation peer effects underlying the innovation network? What are the economic consequences of the peer effects?

This paper constructs a dynamic network that reflects the innovative connections among companies based on the international patent classification data of 4 824 listed companies in the Chinese A-share market from 2008 to 2022. Using MATLAB and Stata for empirical analysis, it explores the significant impact of the innovation peer effect on corporate innovation decisions and draws at the following main conclusions: (1) The innovation activities among companies exhibit a significant innovation peer effect. After a series of robustness tests, this effect remains significant.(2) The formation mechanisms underlying the innovation peer effect are complex and multifaceted, primarily including informational imitation, competitive imitation, market feedback mechanisms, and outcome-oriented imitation.(3) When target companies actively imitate and adopt the innovation decisions of high-performing innovation-linked companies, it significantly promotes their own performance growth. This demonstrates the positive role of inter-firm innovation imitation and learning in promoting overall economic development and enhancing corporate competitiveness.

In terms of theoretical contributions, this study enriches the theory of corporate innovation. (1)This study reveals that the innovation network is one of the important channels for companies to obtain innovation decision-making information, expanding the existing research on peer effects.(2)Starting from the unique perspective that stock price information affects corporate management decisions, this paper verifies the moderating role of the market feedback effect in the innovation decision-making imitation process among associated companies. In addition, inspired by the theory of rational choice, this paper explores and verifies the mechanism of outcome-oriented imitation in the innovation peer effect, expanding the scope of existing research on the formation mechanisms of peer effects.(3)Through empirical analysis, this paper verifies that rational learning is the main driving force behind the imitation of innovation decision-making among associated companies, further enriching and expanding the research on the economic consequences of peer effects.

This study has the following practical implications:(1)Corporate executives should utilize big data and AI technologies to dynamically identify innovation-linked companies in a broad sense. Within the innovation association network, they should broaden the channels for obtaining innovation decision-making information and acquire diversified heterogeneous information resources to optimize innovation decisions.(2) Identifying the validity of innovation decision-making information obtained from innovation-linked companies should be a focus for enterprises when making innovation decisions. Corporate executives should abandon the herd mentality driven by the herd effect and be adept at conducting in-depth analyses of the decision-making effectiveness, financial performance, and stock market performance of innovation-linked companies. They should obtain beneficial information from the stock price fluctuations of these companies and selectively imitate outstanding innovation-linked companies through rational learning. (3)Enterprises should establish a sound mechanism for obtaining information on innovation-linked companies and assessing the effectiveness of innovation decision-making imitation. They should closely link innovation decision-making imitation with the company's financial performance and stock market performance. Through regular assessment, they should dynamically adjust and optimize the channels for obtaining innovation decision-making information and the paths of decision-making imitation to promote the positive impact of innovation decision-making imitation on corporate value.

Key WordsPeer Effect; Innovative Linkage; Innovation and R&D; Corporate Performance

收稿日期:2025-01-01

修回日期:2025-03-31

基金项目:国家自然科学基金地区科学基金项目(72363018);人社部高层次留学人才回国资助项目(201916010);江西省高校人文社科研究一般项目(2024395);江西理工大学人才基金项目(205200100602)

作者简介:曾凯霖(1981-),男,江西赣州人,博士,江西理工大学经济管理学院副教授,研究方向为创新与金融;邝文(2001-),男,江西赣州人,江西理工大学经济管理学院硕士研究生,研究方向为创新与金融;刘孟雪(1999-),女,河南安阳人,江西理工大学经济管理学院硕士研究生,研究方向为创新与金融。

DOI:10.6049/kjjbydc.D22025010001

开放科学(资源服务)标识码(OSID):

中图分类号:F273.1

文献标识码:A

文章编号:1001-7348(2026)06-0113-13

0 引言

企业创新行为是内外部因素交互作用的结果,既受公司治理机制、管理者特质、资本配置结构等内部要素影响,也受政策激励工具、市场竞争格局等外部条件约束。既有分析框架多隐含“企业创新决策独立性”的假设,忽视创新活动特有的风险属性与正外部性特征。事实上,管理者在创新决策中普遍存在信息依赖倾向,其决策模式深刻嵌于行业、区域乃至社会网络关系结构中[1-4]。随着新质生产力发展加速,企业创新合作网络日益呈现跨组织、跨领域的复杂联结特征,基于创新关联的新型同群效应正在重塑企业创新决策逻辑。

当前关于同群效应研究主要聚焦行业属性、地理邻近性、社会网络等传统关系维度,而由创新关联形成的独特同群关系及其经济效应尚未得到充分解析。鉴于此,本研究采用上市企业发明专利IPC分类数据,引入Mahalanobis与余弦相似度算法,构建动态创新关联网络。该网络不仅能够捕捉同一知识领域的传递效应,而且能够揭示跨领域知识融合的创新价值。相较于传统的供应链网络、产品市场网络及治理网络,创新关联网络具有技术耦合度高、知识溢出效应强的显著特征,能够降低创新决策不确定性并提升创新效能。

本研究从创新关联同群关系的新视角切入,系统考察其经验表征、作用机理与经济价值。具体而言:首先,基于创新联结强度重新定义同群边界,采用研发效率与投入强度作为衡量企业创新活动的核心指标,实证检验同群效应的存在;其次,通过构建“信息获取-竞争驱动-市场反馈-结果学习”四维分析框架,揭示同群效应的内在作用机制;最后,从企业财务绩效视角阐释同群效应的经济后果。本研究边际贡献在于:①拓展同群效应的研究维度,揭示创新关联网络对决策行为的显著影响;②深化作用机制分析,尤其是市场反馈与结果导向型模仿路径的识别;③建立“同群关系-创新决策-经济绩效”的完整分析链条,为企业创新管理提供有益参考,也为创新驱动发展战略实施提供微观证据。

1 文献综述

1.1 同群效应的理论内涵与研究脉络

同群效应(Peer Effect)作为社会经济学的重要概念,其理论根源可追溯至心理学领域,其核心内涵强调个体决策行为受到所处群体中相似主体行为的显著影响[5]。这一效应的作用载体具有多维特征,既包含行业同伴[6]、地理邻近企业[7],也涵盖校友网络[8]、职场同事[9]、竞争对手[10]及证券分析师关联群体[11]等特定关系网络。早期关于同群效应的实证研究主要聚焦公共治理[12]、农业技术扩散[13]及消费投资决策[8]等领域。近年来,随着金融经济学研究范式的拓展,同群效应在企业决策领域呈现出更丰富的表现形式,如高管薪酬契约设计、股票拆分策略、并购决策、资本支出决策、现金持有政策、股利分配行为、社会责任、创新行为、违规违法、资本结构、股价波动、慈善捐赠、公司治理、数字化转型和ESG信息披露等方面均表现出显著的同伴依赖特征。

1.2 创新关联网络的理论构建与测度演进

创新关联网络作为知识经济学的前沿概念,由Harris等[14]首次系统定义为“由多元创新主体构成的协同系统,通过知识交互与技术扩散形成具有协同创新特征的关系网络”。传统研究主要基于显性创新关联展开分析,如通过联合专利申请[15]或专利引文数据[16]构建网络,但该方法无法捕捉隐性知识流动(如技术模仿、交叉学习)和跨领域创新协作。为突破显性关联的测度局限,新近研究通过文本挖掘技术构建专利相似性指标[17-18],或采用技术分类共现矩阵[19]捕捉隐性关联。此类广义的创新关联成为企业突破知识传播壁垒、实现跨领域知识重组的重要途径[20-22]

1.3 同群效应的多维驱动机制与经济效应

现有研究揭示,同群效应形成遵循两大核心机制[23]:①信息获取型模仿,即企业通过观察同伴决策获取多元化信息(如研发投入强度、资本支出计划、未来收入预期等),以缓解信息不对称性(陆蓉等,2018)。研究显示,非上市企业通过模仿同行上市企业的信息披露行为以获取投资线索[24],但该机制可能因同伴信息失真产生负外部性[25-26]。②竞争驱动型模仿,即在市场竞争压力下企业倾向采取同质化策略以维持市场地位,尤其是当管理者表现出极度的风险规避态度时[27]。例如,面临掠夺性竞争威胁的高杠杆企业为规避风险,会转而模仿低杠杆竞争对手的保守融资决策(Leary et al.,2014)。研究表明,股票价格的信息反馈效应正成为新的解释维度——管理层通过股价波动捕捉关于创新效率、投资决策的隐性评价[28-30],进而调整战略方向以提振企业财务绩效[31]。该机制与传统模仿理论形成互补,共同驱动同群效应的动态演化。在同群效应影响因素方面,有研究证实市场地位[32]、公司规模[33]、产权性质、融资约束[34]等内部特征,以及市场化程度[35]、经济政策不确定性[36]、经济周期[37]等外部环境均对同群效应产生调节作用。值得注意的是,现有文献多聚焦同群效应识别与机制检验,而对其经济后果的系统性研究仍显薄弱,仅有少数研究初步探索了其对资产定价和企业价值的影响[38]

1.4 文献述评

现有文献主要在以下方面尚存拓展空间:①同伴界定维度单一。主流研究依赖行业、地域、社会网络等传统同伴群体界定标准,忽视创新关联网络作为同伴识别的新型载体。②创新网络研究局限。现有的创新关联网络研究聚焦专利合作与创新协作,而对创新关联驱动的投资、并购、研发创新决策同群效应关注不足。③机制解释框架不足。传统理论过度依赖信息模仿与竞争解释,未充分纳入市场反馈机制和结果导向学习的调节效应,对经济溢出效应的边界条件研究亦显不足。鉴于此,本文构建“创新关联网络—同群效应—经济后果”的分析框架,通过专利分类相似度识别创新同伴,揭示创新同群效应的多维驱动机制,并重点考察创新同群效应的经济后果。这一研究设计不仅有助于拓展同伴识别的理论维度,而且为理解创新驱动发展战略下的企业决策逻辑提供新的分析视角。

2 理论分析与研究假设

2.1 创新关联网络与创新同群效应

根据社会网络理论,创新网络结构不仅构建了信息流动的拓扑空间,更塑造了企业认知外部环境的理论框架[39]。处于同一网络内的企业通过技术交流活动搭建正式与非正式沟通渠道,形成对创新同伴群体的精准识别能力。这种网络嵌入性产生的双重效应在于:一方面降低同伴筛选的信息搜寻成本,另一方面通过重复性互动强化技术范式的集体认知,为形成同群效应奠定关系基础。

组织模仿理论揭示企业创新决策中的社会学习机制,其核心逻辑在于通过模仿关联企业的创新实践,实现风险与成本的双重对冲[23]。创新活动的高风险性、结果不确定性和信息非对称分布特征[2],促使管理者形成风险规避型决策偏好。当目标企业与关联企业在技术轨道上具有高度相似性时[40],模仿行为将产生三重协同效应:技术范式的兼容性降低模仿实施门槛[41];决策情境的高度一致性(涵盖技术需求、资源约束、政策环境等维度)[21-22]有效减少模仿过程中的认知偏差;资源互补性产生的协同效应则显著提升模仿行为的价值创造潜力。这种模仿机制实质上构成了一种“低成本试错-快速迭代”的创新决策模式,从而在网络内形成显著的创新同群效应。基于此,本文提出如下假设:

H1:企业创新活动存在创新关联网络同群效应,即目标企业的创新活动会受到创新关联企业创新活动的正向影响。

2.2 形成机制分析

2.2.1 信息获取型模仿机制

信息获取型模仿机制认为,企业通过模仿行为弥补信息缺口,降低创新决策风险[23]。由于创新活动具有高投入、长周期和高不确定性特征,企业往往需要借助外部信息辅助决策[36],而创新关联网络为决策者提供了有效的外部创新信息来源。关联企业在技术趋势、资源需求等方面与目标企业高度契合[20-21],使得获取的信息更具参考价值。此外,Dimaggio&Powell[42]的制度同构性理论也为信息获取型模仿提供了新解释,即模仿行为不仅是信息补充手段,更是应对制度压力的策略选择。在创新关联网络中,网络中心企业的创新决策往往被制度化为行业规范,劣势企业通过策略性模仿既能获取关键技术信息、形成规范的创新路径,又能有效规避制度合规风险。因此,当企业内部信息不足或关联企业表现出明显信息优势时,目标企业高管的模仿动机尤为强烈,同群效应也更加显著。据此,本文提出如下假设:

H2a:创新关联企业在创新决策信息上展现出的相对优势越明显,创新同群效应越显著。

2.2.2 竞争型模仿机制

竞争型模仿是指在市场竞争的外部压力下企业为了稳固市场地位而采取的防御型经营策略,即放弃激进的经营决策,转为更审慎地采用模仿同群公司的经营模式,通过跟随而非引领市场发展趋势来保持竞争力[23]。根据动态竞争理论,竞争环境下的互动会促使企业对竞争对手行为作出反应,以维持自身竞争地位[43]。当创新关联网络中存在高效率创新主体时,为维持市场竞争地位,企业会主动模仿和学习这些标杆企业的创新决策,并且这一现象在竞争强度较高的创新网络中尤为显著。

资源依赖理论进一步揭示竞争型模仿的内在逻辑。企业生存与发展依赖于外部资源[44],当市场竞争导致资源获取难度增大时,企业通过模仿同群企业创新模式,试图在不突破现有资源约束的前提下维持竞争地位。这种模仿行为本质上是企业在资源依赖与创新风险之间寻求平衡,以巩固自身当前市场地位的结果,从而催生创新同群效应。本文基于赫芬达尔指数构造方法构建创新关联网络中企业间市场竞争强度,以此验证竞争型模仿是创新同群效应的重要形成机制,提出研究假设如下:

H2b:创新关联网络竞争强度对创新同群效应发挥正向调节作用。

2.2.3 市场反馈机制

根据市场反馈机制,股票价格是市场对企业经营决策及前景的实时映射,其蕴含的外部信息是对企业内部信息的有益补充,能为企业内部决策提供重要参考[28-30]。根据有效市场假说,股价波动反映市场对企业创新决策的实时评价,当目标企业与关联企业的股价呈现高效联动时,意味着市场信息在创新网络中得到有效传播。这种股价联动性不仅是信息效率的体现,更是学习的重要信号来源。

从组织学习视角,市场反馈机制为企业提供了外部知识源。企业通过观察关联企业的股价变化,推断其创新决策的市场接受度,从而调整自身创新策略。例如,当某企业的创新项目引发股价上涨时,同群企业会将其视为创新成功的信号,进而模仿其创新路径。这种基于市场信号的学习过程,强化了创新同群效应的传导机制,使市场反馈成为连接资本市场与实体创新的重要纽带。本文参考Zeng等[45]的研究,构造跨企业信息效率指标以反映创新关联企业股价波动对目标企业股价变化的影响效率。基于上述分析,本文提出如下假设:

H2c:目标企业的跨企业信息效率对创新同群效应发挥正向调节作用。

2.2.4 结果导向模仿机制

结果导向模仿的理论基础可追溯至Bandura[46]的社会认知理论。该理论认为,个体通过观察榜样行为及其结果来调整自身行为。在企业层面,高绩效的创新关联企业成为行业榜样,其创新决策被赋予成功的象征。目标企业通过模仿这些榜样,期望复制其绩效成果,这种模仿行为本质上是对成功范式的社会学习(陈仕华等,2013)。

从委托代理理论的视角看,结果导向模仿的内在驱动机制也与高管激励结构紧密相关。在现代公司治理框架下,高管的薪酬契约设计往往与公司绩效指标高度绑定:一方面,优异的财务绩效能直接提升高管的工资性收入,并为股权激励解锁创造条件,使高管得以分享企业价值增值的长期收益;另一方面,股票市场表现通过股价波动直接影响高管持有的股权激励价值,超越市场基准的股票收益率为高管提供了更充裕的薪酬变现空间[47]。因此,当创新关联企业展现出突出的财务绩效或股票市场表现时,其产生的示范效应会强化高管的模仿动机,进一步增强创新同群效应。基于此,本文提出如下假设:

H2d:创新关联企业的财务绩效表现对创新同群效应发挥正向调节作用;

H2e:创新关联企业的股票特质收益率对创新同群效应发挥正向调节作用。

2.3 创新同群效应产生的经济后果

现有文献指出,企业间的相互模仿行为并非全然基于理性的学习考量,其背后也可能受到羊群效应的影响[48]。由羊群效应引发的创新同群效应呈现出两个典型特征:其一,决策者普遍存在创新认知偏差。即在信息不对称的市场环境中,决策者基于安全跟随的风险规避心理,倾向于将关联企业的创新行为视为个人职业风险的缓释工具,而非基于对创新项目技术可行性、市场前景及资源适配性的理性认知,从而扭曲了创新同群效应的价值创造功能。其二,被动式模仿成为主导。为应对制度环境压力,企业不得不放弃创新决策的异质性,转而采取与行业标杆趋同的创新策略。这不仅削弱企业创新自主性,而且可能引发行业创新生态的同质化危机。创新要素在低效重复配置中被持续分散,最终形成创新内卷困局,即创新投入规模与创新产出效能相背离,边际收益持续递减,致使创新同群效应难以产生正向的经济溢出效应。

当创新关联网络中的同群效应主要由理性学习机制驱动时,意味着通过解析关联企业的创新决策信息,目标企业能够实现创新能力系统性提升和创新要素优化配置,最终促进创新产出提质增效[49]。根据Wernerfelt[50]的资源基础理论,企业可持续竞争优势源于其掌握的稀缺且有战略价值的资源与能力。创新同群效应能有效优化企业对既有创新资源的配置,从而将外部创新资源转化为企业核心竞争力,具体表现为研发投入的精准化、研发效率的提升以及创新成果的质量跃升,进而提升企业绩效表现[51]。因此,本文提出以下假设:

H3a:创新同群效应对目标企业绩效具有正向影响。

创新关联网络中的决策传导机制具有显著的双刃剑效应。当关联企业的创新决策存在系统性缺陷时,其决策模式往往伴随资源配置扭曲、技术路径依赖或市场误判等问题。若简单效仿此类决策,则实质上是将关联企业的决策风险内化为自身的创新风险,导致目标企业创新决策有效性降低,从而不利于提升目标企业绩效。反之,若关联企业的创新决策具有合理性和有效性,则目标企业仿效关联企业的创新决策能够有效规避创新风险,提升自身创新决策质量,从而强化创新同群效应的正向经济溢出效应。于此,本文提出如下假设:

H3b:创新关联企业创新决策的相对有效性能够增强创新同群效应对目标企业绩效的正向影响。

财务绩效与市场表现卓越的企业通常被视为创新标杆,其创新行为被视为有效创新的代表[46]。决策者模仿这类企业,本质上是对市场信号的回应,希望通过行为模仿获取市场认同,进而提升自身创新决策的市场评价。这种基于市场信号的模仿有助于目标企业在行业内建立积极的身份认同,同时能增强利益相关者信心,改善企业长期融资环境,为持续创新提供资源保障,从而增强创新同群效应的正向经济溢出效应。因此,本文提出以下假设:

H3c:创新关联企业的财务绩效和市场表现能增强创新同群效应对目标企业绩效的正向影响。

3 研究设计

3.1 样本选取与数据来源

为构建企业间创新关联关系网络,本文采用由中国研究数据服务平台(CNRDS)提供的国际专利分类(IPC)数据。该数据库记录了1996—2023年上市企业持有的发明专利分类情况,涵盖我国4 824家上市企业。在IPC框架下,数据包括124个大类(3位数)、627个中类(4位数)和6 391个具体群组(6位数)。在计算专利技术相似度时,本文使用124个大类量化创新关联强度。研发、财务、股票收益率以及与企业治理相关的变量均来自CSMAR数据库,受到研发数据样本区间的限制,本文选取2008—2023年作为样本期,最终得到22 409个企业年度观测值。为了减少极端值对实证结果的影响,对所有连续变量在1% 和99% 分位点进行缩尾处理。

3.2 变量设计

3.2.1 因变量

国内外学者在评估公司创新能力时,普遍将创新投入与创新效率作为关键衡量指标。因此,本文选取这两个指标反映企业创新决策行为。

在衡量创新投入方面,借鉴胡国柳等[52]的研究方法,采用公司当年研发支出加1后取对数的方式进行测算,以减轻极端值可能引发的非线性影响。对于创新效率的衡量,参考Chircop等[53]的研究,使用企业当年专利申请数除以研发平均投入水平再乘以1 000 000 的计算方法。考虑到研发投入产出的时滞性,本文采用企业前5年平均研发投入强度衡量研发投入水平。

3.2.2 自变量

本文基于创新关联强度构造关联企业研发效率变量。具体而言,给定企业ijt年的技术联系强度,企业it年对应的创新关联企业的研发效率为关联企业研发效率的加权平均。

其中,wi,j,t为企业ijt年的相对创新关联强度,其计算方法如下:

其中,企业ijt年的创新关联强度Li,j,t的计算参照Zeng &Kuang(2024)的做法:首先,将公司ijt年各自持有的发明专利涉及的专利分类频数向量化;其次,利用不同技术领域专利在企业的分布矩阵,构建不同技术领域之间的相关系数矩阵,以捕捉知识在不同技术领域的传播概率;最后,采用Mahalanobis测度计算创新关联矩阵,矩阵中第i行和第j列对应的元素为公司ijt年的创新关联强度Li,j,t

类似地,企业it年对应的创新关联企业的研发投入为关联企业研发投入的加权平均。

3.2.3 跨企业信息效率

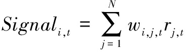
参照Zeng &Kuang(2024)的做法,本文采用反映关联企业股价波动对目标企业股价变化的影响效率与强度指标衡量跨企业信息效率。在市场定价模型的基础上加入关联企业股价信号变量,以反映跨企业信息的传播现象。

其中,Signali,t-n表示第t-n日与企业i创新关联的企业股票收益率的加权平均,即:

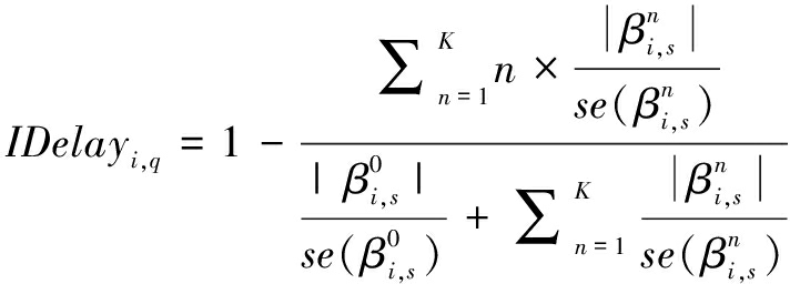
本文采用季度窗口滚动方式估计系数该系数越大,说明跨企业信息传播速度越慢,关联企业信息反映在目标公司股价中所需要的时间越长,即跨公司信息效率越低。企业iq季度的跨企业信息效率值为:

将每年的季度跨企业信息效率取平均值,得到年度的跨企业信息效率。

3.2.4 创新关联网络的竞争程度

本文采用赫芬达尔指数(HHI)衡量市场竞争强度,根据创新关联企业主营业务收入、营业收入分别构造两个创新关联赫芬达尔—赫希曼指数PsalesHHI和SalesHHI。为了方便解释分析结果,对两个指标取相反数再加1,转化为正向指标IPsalesHHIISalesHHIIPsalesHHIISalesHHI越大,代表创新关联网络的竞争程度越激烈。

3.2.5 股票特质收益率

参照Machokoto等[4]做法,在Carhart[54]的四因子模型基础上加入行业因子,构造每家企业的年度股票特质收益率Resi,再基于创新关联网络强度计算创新关联企业的平均加权股票特质收益率ResiS

3.2.6 企业绩效指标

企业绩效是一个较为抽象的概念,包括财务、运营等多个方面,在实证中难以用单个指标进行度量。本文选择6个相关变量进行主成分分析,以构建企业绩效综合评价指标。首先,以净资产收益率、总资产净利润率和总资产报酬率衡量企业盈利能力。其次,以投入资本回报率衡量企业资本配置效率。最后,以总资产EVA率和EVA率衡量企业价值创造能力。通过主成分分析法提取6个变量的第一个主成分,构造企业绩效指标(Fval)。

3.2.7 控制变量

借鉴宋广蕊等[33]的研究,选取公司规模(Size)、货币资金持有率(Cash)、总资产净利润率(ROA)、资产负债率(Lev)、主营业务收入增长率(Growth)、机构投资者持股比例(INST)、固定资产占总资产比重(TA)、关联企业规模(SizeS)、关联企业货币资金持有率(CashS)、关联企业总资产净利润率(ROAS)、关联企业资产负债率(LevS)、关联企业主营业务收入增长率(GrowthS)、关联企业机构投资者持股比例(INSTS)、关联企业固定资产占总资产比重(TAS)作为控制变量,具体定义见表1。

表1 变量说明
Table 1 Variable description

变量类别变量符号变量名称 变量测算方式 因变量RDE目标企业研发效率具体测量方式参见前文所述RDIN目标企业研发投入具体测量方式参见前文所述自变量RDES创新关联企业研发效率具体测量方式参见前文所述RDINS创新关联企业研发投入具体测量方式参见前文所述调节变量IPsalesHHI逆赫芬达尔指数1-主营业务收入构造的关联企业赫芬达尔指数ISalesHHI逆赫芬达尔指数1-营业收入构造的关联企业赫芬达尔指数Idelay跨公司信息效率参考Zeng&Kuang(2024)的做法构造ResiS关联企业特质收益创新关联企业股票特质收益率的加权平均FvalS关联企业业绩创新关联企业业绩的加权平均控制变量Size流通市值流通股数与年收盘价的乘积+1后取对数Cash货币资金持有率货币资金除以总资产ROA总资产净利润率净利润/平均资产总额,平均资产总额=资产合计期末余额Lev资产负债率负债总额除以总资产Growth主营业务收入增长率(本年主营业务收入-上年主营业务收入)/上年主营业务收入INST机构投资者持股比例机构投资者持有的上市企业股份比例TA固定资产占总资产比重固定资产/总资产SizeS创新关联企业流通市值创新关联企业流通市值的加权平均CashS创新关联企业货币资金持有率创新关联企业货币资金持有率的加权平均ROAS创新关联企业总资产净利润率创新关联企业总资产净利润率的加权平均LevS创新关联企业资产负债率创新关联企业资产负债率的加权平均GrowthS创新关联企业主营业务收入增长率创新关联企业主营业务收入增长率的加权平均INSTS创新关联企业机构投资者持股比例创新关联企业机构投资者持股比例的加权平均TAS创新关联企业固定资产占总资产比重创新关联企业固定资产占总资产比重的加权平均绩效相关变量EVANAR总资产EVA率EVA/平均净资产ROE净资产收益率净利润/股东权益平均余额ROA总资产净利润率净利润/平均资产总额ROTA总资产报酬率(利润总额+财务费用)/平均资产总额ROIC投入资本回报率税后净营业利润/年度平均总投资额EVAREVA率EVA/年度平均总投资额

3.3 模型设计

鉴于篇幅限制,本文仅展示研发效率核心变量模型设计与实证分析结果。为检验创新同群效应的存在,构建如下双向固定效应面板模型:

RDEi,t=β0+β1RDESi,t-1+βkControli,k,t+Ind+Year+εi,t

(1)

为验证创新同群效应的信息获取型模仿机制,基于模型(1),采用分位数回归方法进行分组检验。具体以目标企业及关联企业前一年研发效率的中位数为临界值,构造二维分组回归矩阵,通过比较不同分位数组的系数差异,验证信息获取型模仿机制的有效性。

为检验创新同群效应的竞争性模仿机制,在模型(1)中纳入创新关联网络竞争程度指标IHHI及其与核心解释变量的交互项,构建调节效应模型:

RDEi,t=θ0+θ1RDESi,t-1+θ2IHHIi,t+θ3RDESi,t-1×IHHIi,t+θkControli,k,t+Ind+Year+εi,t

(2)

为检验市场反馈机制对同群效应的影响,构建如下模型:

RDEi,t=θ0+θ1RDESi,t-1+θ2IIDelay>Median+θ3RDESi,t-1×IIDelay>Median+θkControli,k,t+Ind+Year+εi,t

(3)

其中,IIDelay>Median为虚拟变量,当目标企业当年的跨企业信息效率高于中位数,则该变量取值为1,否则取值为0。

为验证创新同群效应的结果导向模仿机制,本文分别构造财务绩效虚拟变量与市场表现虚拟变量,当关联企业上一年财务绩效或股票特质收益率高于中位数时取1,并建立调节效应模型如下:

RDEi,t=θ0+θ1RDESi,t-1+θ2IL.FvalS>Median+θ3RDESi,t-1×IL.FvalS>Median+θkControli,k,t+Ind+Year+εi,t

(4)

RDEi,t=θ0+θ1RDESi,t-1+θ2IL.ResiS>Median+θ3RDESi,t-1×IL.ResiS>Median+θkControli,k,t+Ind+Year+εi,t

(5)

为检验假设H3a,本文构建模型如下:

Fvali,t=θ0+θ1RDESi,t-1+θ2RDEi,t-1+θkControli,k,t+Ind+Year+Firm+εi,t

(6)

θ1显著为正时,说明创新关联企业的创新决策对目标企业绩效有正向影响。

为检验假设H3b,本文构建模型如下:

Fvali,t=θ0+θ1RDESi,t-1+θ2RDESi,t-1×IL.RDES>Median×IL.RDE<Median+θ3RDEi,t-1+θ4IL.RDES>Median×IL.RDE<Median+θkControli,k,t+Ind+Year+Firm+εi,t

(7)

Fvali,t=θ0+θ1RDESi,t-1+θ2RDESi,t-1×IL.RDES>Median+θ3RDEi,t-1+θ4IL.RDES>Median+θkControli,k,t+Ind+Year+Firm+εi,t

(8)

Fvali,t=θ0+θ1RDESi,t-1+θ2RDESi,t-1×IL.RDE<Median+θ3RDEi,t-1+θ4IL.RDE<Median+θkControli,k,t+Ind+Year+Firm+εi,t

(9)

调节变量包括IL.RDES>MedianIL.RDE<Median两个虚拟变量。以IL.RDES>Median为例,当创新关联企业上年的平均研发效率高于中位数时,该变量取值为1,反之,取值为0。在模型(7)~模型(9)中,若交互项系数θ2显著为正,表明关联企业创新决策的相对有效性能够显著增强创新同群效应对企业绩效的积极影响。

为检验假设H3c,本文构建模型如下:

Fvali,t=θ0+θ1RDESi,t-1+θ2RDESi,t-1×IL.ResiS>Median+θ3RDEi,t-1+θ4IL.ResiS>Median+θkControli,k,t+Ind+Year+Firm+εi,t

(10)

Fvali,t=θ0+θ1RDESi,t-1+θ2RDESi,t-1×IL.FvalS>Median+θ3RDEi,t-1+θ4IL.FvalS>Median+θkControli,k,t+Ind+Year+Firm+εi,t

(11)

其中,模型(6)~模型(11)的控制变量选取参考李井林等[55]的研究,具体包括目标企业研发效率(RDE)、企业规模(Size)、货币资金持有率(Cash)、资产负债率(Lev)、主营业务收入增长率(Growth)、考虑现金红利再投资的年个股回报率(Yretwd)、可操控性应计利润(DisAcc)、董事会规模(Board),同时,还纳入个体固定效应(Firm)、行业固定效应(Ind)、年份固定效应(Year)。在式(10)(11)中,若交互项系数θ2显著为正,表明创新关联企业优异的财务绩效和市场表现能够增强创新同群效应对企业绩效的正向影响。

4 实证分析

4.1 研发效率的同群效应检验

表2为模型(1)的回归分析结果。可以发现,主要解释变量的回归系数均为正且在1%的水平上显著,表明在创新关联网络中不同企业研发能力间存在显著的联动效应。换而言之,某企业研发效率的变化会对其创新关联企业产生显著影响,说明假设 H1成立,即创新关联网络下存在研发效率的同群效应。

表2 研发效率同群效应的回归结果
Table 2 Regression results of peer effects on R&D efficiency

变量(1)(2)RDERDERDES2.289 9∗∗∗1.833 3∗∗∗(5.582 8)(3.088 5)Size-0.002 2∗∗(-2.202 3)Cash0.012 6∗∗(2.555 2)ROA0.017 7∗∗∗(3.063 1)Lev0.004 2(1.082 5)Growth0.001 2∗∗(2.323 5)INST-0.000 0(-0.192 6)TA0.007 1(0.909 9)SizeS-0.025 8∗∗∗(-3.876 2)CashS0.714 5∗∗∗(3.149 9)ROAS0.711 8∗∗∗(4.050 4)LevS0.331 8∗(2.047 9)GrowthS-0.075 4∗(-1.807 4)INSTS0.000 2(0.117 9)TAS0.098 8(1.076 5)Constant-0.035 4∗∗∗0.081 0(-3.276 2)(0.560 1)N22 40922 409Year FEYesYesIndustry FEYesYesAdj. R20.067 80.077 7

注:***、**、*分别表示在1%、5%、10%水平上显著不为零;括号内是t统计量值,标准误差根据行业进行聚类处理;行业划分参照中国证监会行业划分标准,对制造业采用两位行业代码,对其他行业采用一位行业代码;下同

4.2 研发效率同群效应的影响机制

4.2.1 研发效率同群效应的信息获取型模仿机制检验

表3为不同分组下的回归结果,其中,列(1)(2)的分组依据是目标企业上年研发效率的中位数;列(3)(4)的分组依据是创新关联企业上年研发效率的中位数。列(1)(2)结果显示,内部研发经验不足组的回归系数为1.591 5且在5%水平上显著,内部研发经验丰富组的回归系数为1.117 0且不显著,Chow检验拒绝了两组回归系数相同的原假设,说明当企业内部研发经验不足时研发效率的同群效应更显著。列(3)(4)结果显示,外部研发经验不足组的回归系数为0.514 5且不显著,外部研发经验丰富组的回归系数为2.480 9且在5%水平上显著,说明当企业外部研发经验丰富时目标企业模仿创新关联企业的意愿更强烈,研发效率的同群效应更显著,即信息获取型模仿机制得到验证,假设H2a成立。

表3 不同分组研发效率的同群效应回归结果
Table 3 Regression results of peer effects on R&D efficiency across different groups

(1)(2)(3)(4)变量内部研发经验不足内部研发经验丰富外部研发经验不足外部研发经验丰富RDERDERDERDERDES1.591 5∗∗1.117 00.514 52.480 9∗∗(2.095 2)(1.651 9)(1.548 7)(2.194 1)Constant-0.141 30.300 30.909 3∗∗∗-0.223 5(-0.878 9)(1.167 9)(10.081 0)(-1.083 5)N10 03211 62710 77211 637ControlsYesYesYesYesYear FEYesYesYesYesIndustry FEYesYesYesYesAdj. R20.048 30.075 30.065 30.091 7Chow Test1 103.61∗∗∗6.66∗∗∗

注: 为验证分组后是否发生结构性变化,使用Chow检验方法,原假设为不同组别的回归模型系数相同

4.2.2 研发效率同群效应的竞争型模仿机制检验

在高度竞争的市场中,管理者会更加谨慎,通常倾向于选择同质化投资策略而非差异化策略。因此,本文在模型(1)的基础上引入交互项以验证竞争型模仿机制,表4为模型(2)的回归结果。可以发现,各交互项系数均为正且在1%水平上显著,表明在创新关联网络中企业面临的市场竞争程度与创新同群效应之间存在显著的正相关关系,说明竞争型模仿机制是创新关联网络下创新同群效应的重要形成机制之一,假设H2b成立。

表4 创新同群效应的竞争性模仿机制检验结果
Table 4 Test results of competitive imitation mechanism in innovation peer effects

变量(1)(2)RDERDERDES1.776 6∗∗∗1.777 6∗∗∗(3.134 3)(3.143 8)IPsalesHHI-0.017 5(-0.947 4)IPsalesHHI×RDES2.339 3∗∗∗(2.998 3)ISalesHHI-0.024 7(-1.451 9)ISalesHHI×RDES2.431 2∗∗∗(4.701 4)Constant0.127 10.156 8(0.607 1)(0.770 1)N22 39322 393ControlsYesYesYear FEYesYesIndustry FEYesYesAdj. R20.077 00.077 0

4.2.3 研发效率同群效应的市场反馈机制检验

为检验创新关联网络中创新同群效应的市场反馈机制,本文在模型(1)的基础上分别加入目标企业当年跨企业信息效率的中位数,以及该虚拟变量与核心解释变量的交互项,进而构建模型(3)。表5中列(1)为模型(3)的回归结果。从中可发现,核心解释变量的系数仍显著为正,同时,目标企业研发效率与虚拟变量的交互项系数也显著为正。这表明提升目标企业从创新关联企业股价中获取信息的效率能够显著增强创新同群效应,即验证了假设H2c

表5 市场反馈机制与结果导向机制的检验结果
Table 5 Test results of market feedback mechanism and outcome-oriented mechanism

变量(1)市场反馈机制RDE(2)(3)结果导向机制RDERDERDES0.705 0∗∗∗1.429 2∗∗2.974 1∗∗∗(3.009 8)(2.716 0)(4.359 6)RDES×IIDelay>Median0.174 9∗∗(2.325 5)RDES×IL.FvalS>Median0.352 3∗∗(2.463 1)RDES×IL.ResiS>Median0.300 7∗∗(2.590 6)Constant0.030 00.177 4-0.351 5∗∗(0.078 3)(1.474 2)(-2.141 6)N14 37322 31421 364ControlsYesYesYesYear FEYesYesYesIndustry FEYesYesYesAdj. R20.055 70.076 60.100 9

4.2.4 研发效率同群效应的结果导向模仿机制检验

为了验证创新同群效应的结果导向模仿机制,本文在模型(1)中加入创新关联企业上年度绩效中位数的虚拟变量和股票特质收益率中位数的虚拟变量,以及这些虚拟变量与创新关联企业研发效率的交互项,进而构建模型(4)(5)。表5列(2)(3)分别为模型(4)(5)的回归结果。可以发现,核心解释变量与交互项的系数均显著为正,说明当创新关联企业的财务绩效或特质股票收益率较高时,目标企业会更加积极地仿效关联企业的创新决策行为,从而强化创新关联引发的创新同群效应,验证了假设H2d和H2e

4.3 创新同群效应的经济后果分析

为检验创新同群效应是否具有正向的经济溢出效应,本文选取目标企业绩效为因变量,创新关联企业研发效率与研发投入为自变量,构建模型(6)。表6中列(1)为创新同群效应经济溢出效应的回归分析结果。结果表明,创新关联企业的研发效率能够促进目标企业绩效提升,并且在1%水平上显著,即假设H3a成立。

表6 研发效率创新同群效应的经济后果检验结果
Table 6 Economic consequences of innovation peer effects on R&D efficiency

变量公司绩效指标(Fval)(1)(2)(3)(4)(5)(6)RDES15.961 2∗∗∗10.372 2∗∗10.081 9∗14.900 8∗∗∗15.334 5∗∗∗13.960 4∗∗∗(4.088 0)(2.495 5)(1.959 5)(3.805 7)(3.734 6)(3.660 9)RDES×IL.RDES>Median×IL.RDEMedian1.5130∗(1.836 7)RDES×IL.RDEMedian1.461 1∗∗(2.546 7)RDES×IL.FvalS>Median2.314 4∗∗∗(3.508 1)RDE0.379 9∗∗0.505 5∗∗∗0.378 7∗∗0.526 9∗∗∗0.384 7∗0.384 7∗∗(2.147 2)(2.816 7)(2.139 0)(2.858 3)(1.883 9)(2.154 8)Constant-9.849 3∗∗∗-9.709 4∗∗∗-9.715 6∗∗∗-9.832 9∗∗∗-9.745 8∗∗∗-9.788 7∗∗∗(-18.845 9)(-18.513 5)(-18.260 7)(-18.802 6)(-17.979 9)(-18.868 7)N20 32720 32720 32720 32719 49320 091ControlsYesYesYesYesYesYesFirm FEYesYesYesYesYesYesYear FEYesYesYesYesYesYesIndustry FEYesYesYesYesYesYesAdj.R20.585 30.585 50.585 40.585 40.584 90.586 3

为检验创新关联企业创新决策的相对有效性是否增强创新同群效应对目标企业绩效的正向影响,本文构建模型(7)~模型(9)。表6列(2)~(4)为创新关联企业决策的相对有效性对创新同群效应促进目标企业绩效提升的回归结果,可以发现,交互项系数均显著为正,表明关联企业创新决策的相对有效性能够增强创新同群效应对企业绩效的积极影响,即假设H3b成立。

为验证假设H3c,本文构建模型(10)(11)。表6中列(5)(6)显示,交互项系数均显著为正,表明关联企业在股票市场和财务绩效上的优异表现能够增强创新同群效应对企业绩效的正向影响,因此假设H3c成立。

4.4 稳健性检验

4.4.1 排除行业同群效应干扰

在创新关联同群效应分析中,一个不可忽视的理论挑战是行业同群效应与创新关联效应的潜在混淆。产品市场重叠导致行业内企业技术轨迹具有天然相似性,这种技术分类的共性可能使观察到的创新同群现象被错误归因于行业层面的模仿行为,而非基于创新关联网络的溢出效应。为区分两种作用机制,本文构建模型(12)(13)。参考王旭等[56]的方法,采用同行业内除本企业外的当期研发效率均值衡量创新行业同群研发效率RDEP

RDEi,t=β0+β1RDEPi,t-1+βkControli,k,t+Ind+Year+εi,t

(12)

RDEi,t=β0+β1RDESi,t-1+β2RDEPi,t-1+βkControli,k,t+Ind+Year+εi,t

(13)

表7列(1)结果显示,当控制其他潜在干扰因素后,行业整体的平均研发效率的回归系数均显著为正,这与以往研究结论一致,进一步验证基于同行的创新同群效应存在。列(2)结果显示,即使在模型中纳入同行业企业研发变量,创新关联企业研发变量的回归系数无论是在数量级上还是在统计显著性上均无明显变化。这表明两种同群效应在推动企业创新活动上均扮演重要角色,但两者在作用路径及信息来源上存在显著差异。

表7 稳健性检验结果
Table 7 Robustness test results

变量(1)(2)排除行业同群效应干扰RDERDE(3)添加个体固定效应RDE(4)调整样本时间区间RDE(5)替换代理指标RDERDES1.466 5∗∗1.451 7∗∗∗1.905 1∗∗∗1.441 0∗∗(2.129 8)(2.855 5)(3.032 1)(2.187 5)RDEP0.127 1∗∗0.123 4∗∗(2.274 0)(2.453 4)Constant0.284 0∗0.267 00.056 10.050 24.694 9(1.805 4)(1.669 2)(0.451 7)(0.299 8)(1.121 7)N21 64121 64122 36214 06020 976ControlsYesYesYesYesYesYear FEYesYesYesYesYesIndustry FEYesYesYesYesYesFirm FEYesAdj. R20.064 50.067 60.410 80.065 50.124 7

4.4.2 缓解遗漏变量以及宏观因素的影响

鉴于企业创新能力的差异可能源自企业个体特征,本文采取添加个体固定效应的策略,以有效降低因遗漏变量而导致的估计偏误。此外,在验证同群效应时,宏观环境变化可能作为潜在的内生性因素,影响创新同群效应的识别。考虑到2019年新冠疫情的冲击,本文剔除2019年及之后的数据样本,重新对模型(1)(2)进行回归分析。表7列(3)(4)结果显示,无论采取以上哪种方式对模型进行调整,主要解释变量的系数均为正,且在1%的水平上显著,验证了本文结论的稳健性。

4.4.3 替换研发效率的代理指标

专利申请数与企业研发活动密切相关,体现企业创新活跃度,但并不能直接反映专利质量及实际价值。相比之下,专利被引用数能更为直接地刻画专利影响力和质量。如果企业专利被其他研究者或企业频繁引用,通常表明该企业专利质量的社会认可度较高。因此,本文重新构造研发效率的代理指标,以企业当年专利被引用数量之和/研发平均投入×106重新衡量企业创新效率,其中,研发平均投入水平等于企业前5年平均研发投入水平,如果企业前5年研发投入数据不满3年则剔除该样本。

表7列(5)展示在基准模型中替换代理指标后的回归结果,结果显示,主要解释变量的系数均为正,且在5%的水平上显著,进一步支持前文所得结论。

4.4.4 利用工具变量缓解内生性问题

为克服潜在遗漏变量引发的内生性问题,本研究借鉴Leary &Roberts(2014)、Adhikari &Agrawal(2018)、Machokoto等(2021)的工具变量构建方法,采用创新关联企业的股票特质收益率作为核心工具变量。其主要基于以下三重考量:首先,已有研究表明,企业创新投入与股票长期收益存在显著正相关关系,为股票特质收益率与创新活动之间的潜在关联性提供了坚实的理论基础[57-58]。其次,股票特质收益率被作为股价波动中反映企业特有信息的内容组成,而关联公司特质收益率变动不直接影响目标企业创新决策,从而有效规避了工具变量与因变量之间的直接因果链干扰。最后,相较于会计指标易受管理层操纵的不足,股票特质收益率是基于市场公开交易数据生成,且本研究采用多因子模型残差提取方法,进一步消除市场系统性风险的干扰,增强了工具变量的客观性与稳定性。

表8展示采用创新关联公司股票特质收益率(ResiS)作为工具变量的回归分析结果。在第一阶段回归中,ResiS的系数显著为正(0.007 8,p<0.01),表明ResiSRDES之间存在显著的关联性。在第二阶段回归中,RDES的系数同样显著为正(3.177 8,p<0.05),表明在减少内生性干扰后创新关联企业研发效率依然对目标企业研发效率表现出显著的正向促进作用。此外,Cragg-DonaldWaldF统计量明显大于Stock-Yogo弱工具变量检验的临界值,排除弱工具变量问题;Kleibergen-PaaprkLM统计量的结果显著拒绝“工具变量识别不足”的原假设,说明模型不存在识别不足问题,证实工具变量的有效性。

表8 工具变量回归结果
Table 8 Instrumental variable regression results

(1)(2)变量第一阶段第二阶段RDESRDERDES3.177 8∗∗(2.742 9)ResiS0.007 8∗∗∗(12.573 5)N19 42519 425ControlsYesYesYear FEYesYesIndustry FEYesYesKleibergen-Paap rk LM statistic4.065∗∗Cragg-Donald Wald F statistic193.924∗∗∗

5 结论与启示

5.1 研究结论

本研究基于2008-2023年中国沪深A股上市企业发明专利数据,构建动态创新关联网络,揭示企业创新决策存在显著的同群效应,得出以下主要结论:

(1)企业间创新活动展现出显著的创新同群效应,即使在控制传统创新驱动因素、采用工具变量回归、排除行业同群干扰及替换代理指标后,创新同群效应依然稳健存在。这一发现突破新古典经济学中关于企业创新决策的“原子化假设”,揭示创新行为社会嵌入的本质,为理解创新生态系统中的互动规律提供了微观证据。

(2)创新同群效应的形成机制具有显著多元性:信息获取型模仿机制体现企业对异质性创新信息的主动搜寻,验证了社会学习理论在创新领域的应用边界;竞争型模仿机制反映市场结构压力下的风险规避逻辑,拓展了波特竞争战略理论的分析维度;市场反馈机制揭示资本市场预期对企业创新决策的引导路径,为有效市场假说提供了新的实证场景;结果导向模仿机制则证实高绩效企业的创新决策具有示范效应,支持了新制度经济学中关于“适应性效率”的理论预判。

(3)创新同群效应背后蕴含重要的经济意义。研究证实,当企业理性模仿高绩效关联方的创新决策时,能够显著提升自身财务绩效。这一发现证伪了传统羊群效应理论对同群行为经济后果的悲观预判,为理性学习机制的有效性提供了实证支持,深化了对创新扩散与经济溢出效应的理解。

5.2 理论贡献

(1)动态创新网络理论的重构。本研究突破传统创新理论基于行业边界或静态社会网络的分析范式,提出动态创新关联网络理论框架,揭示企业通过技术关联获取异质性创新信息的渠道。这一发现不仅拓展了资源依赖理论的应用场景,而且为理解企业创新决策的外部信息依赖提供了新的理论视角,丰富了创新扩散理论的微观机制。

(2)同群效应驱动机制的立体解析。现有文献对同群效应的机制分析多聚焦于信息获取与竞争压力(万良勇等,2016),本研究将市场反馈机制与结果导向模仿机制纳入分析框架,通过检验股价联动指标对创新模仿的调节作用,验证了资本市场信号对实体创新的引导作用,将信号理论的应用边界拓展至创新管理领域;通过结果导向模仿机制的实证检验,为理性选择相关理论在创新决策中的适用性提供了微观证据,揭示了高绩效企业创新决策的示范乘数效应。

(3)同群行为经济后果的理论重塑。针对传统理论中羊群效应与理性学习观的争议[48],本研究证实,创新同群效应的主导动因是理性学习而非盲目从众。这一结论修正了以往对同群行为经济后果的片面认知,表明在动态创新关联网络中企业能够通过有效筛选和吸收外部创新信息提升自身绩效,从而为同群效应的经济溢出效应研究提供理论支持,推动创新经济学与战略管理理论的交叉融合。

5.3 管理启示

(1)构建动态创新关联网络,拓展异质性信息源。企业应突破行业边界,利用大数据与 AI 技术动态识别广义创新关联企业,构建多元化创新信息网络。通过与技术互补型企业、跨领域创新主体的联结,企业能够获取超越传统行业范畴的异质性创新知识,避免陷入同质化创新陷阱,提升创新决策的科学性。

(2)建立理性模仿的评估机制,规避非理性从众。企业高管需摒弃羊群效应驱动的简单模仿,建立创新关联企业的多维度评估体系。一方面,通过分析关联方创新决策的技术有效性、市场适应性及财务可持续性,筛选高价值模仿对象;另一方面,借助资本市场信号(如股价波动)实时评估创新决策的市场接受度,将理性学习贯穿于模仿过程,确保创新资源的高效配置。

(3)强化创新模仿与绩效的动态联结,优化创新生态。企业应构建创新模仿的闭环管理机制,将模仿行为与财务绩效、市场表现等长期价值指标挂钩。通过定期评估创新关联网络的有效性,动态调整模仿策略,企业不仅能够提升自身创新效能,而且通过网络知识的溢出效应提高行业整体创新水平,形成良性互动的创新生态系统。

5.4 不足与展望

(1)在创新关联网络构建方面,本研究采用余弦相似度动态模型刻画知识交叉传递关系。后续研究可结合专利合作、引用及文本挖掘等多维数据,构建更全面的创新关联网络,深化对创新信息流动机制的解析。

(2)关于同群效应形成机制,本研究揭示了市场反馈与结果导向的新路径。未来可进一步剖析各机制间的内在联动逻辑,并引入政府补贴、产业政策、企业性质等制度情境变量,探究其对机制的调节作用,以更全面地阐释同群效应的动态复杂性。

(3)在经济溢出效应层面,本研究以财务绩效为切入点,未来研究可从市场绩效、创新绩效、运营绩效及社会绩效等视角进行探讨,完善其经济后果的理论框架。

参考文献:

[1] 冯戈坚, 王建琼. 公司创新活动的社会网络同群效应[J].管理学报, 2019, 16(12): 1809-1819.

[2] 刘静, 王克敏. 同群效应与公司研发——来自中国的证据[J].经济理论与经济管理, 2018,38 (1): 21-32.

[3] MATRAY A. The local innovation spillovers of listed firms[J].Journal of Financial Economics, 2021, 141(2): 395-412.

[4] MACHOKOTO M, GYIMAH D, NTIM C G. Do peer firms influence innovation[J].The British Accounting Review, 2021, 53(5): 100988.

[5] MANSKI C F. Identification of endogenous social effects: the reflection problem[J].The Review of Economic Studies, 1993, 60(3): 531-542.

[6] GRENNAN J. Dividend payments as a response to peer influence[J].Journal of Financial Economics, 2019, 131(3): 549-570.

[7] DOUGAL C, PARSONS C A, TITMAN S. Urban vibrancy and corporate growth[J].The Journal of Finance, 2015, 70(1): 163-210.

[8] AHERN K R, DUCHIN R, SHUMWAY T. Peer effects in risk aversion and trust[J].The Review of Financial Studies, 2014, 27(11): 3213-3240.

[9] BOUWMAN C H S.Corporate governance propagation through overlapping directors[J].The Review of Financial Studies,2011,24(7):2358-2394.

[10] CAO J,LIANG H,ZHAN X.Peer effects of corporate social responsibility[J].Management Science,2019,65(12):5487-5503.

[11] KAUSTIA M,RANTALA V.Social learning and corporate peer effects[J].Journal of Financial Economics,2015,117(3):653-669.

[12] BERTRAND M, LUTTMER E F P, MULLAINATHAN S. Network effects and welfare cultures[J].The Quarterly Journal of Economics, 2000, 115(3): 1019-1055.

[13] FOSTER A D, ROSENZWEIG M R. Learning by doing and learning from others: human capital and technical change in agriculture[J].Journal of Political Economy, 1995, 103(6): 1176-1209.

[14] HARRIS L, COLES A M, DICKSON K. Building innovation networks: issues of strategy and expertise[J].Technology Analysis &Strategic Management, 2000, 12(2): 229-241.

[15] AHUJA G. Collaboration networks, structural holes, and innovation: a longitudinal study[J].Administrative Science Quarterly, 2000, 45(3): 425-455.

[16] MOWERY D C,OXLEY J E,SILVERMAN B S.Strategic alliances and interfirm knowledge transfer[J].Strategic Management Journal, 1996,17(S2): 77-91.

[17] BEKKERMAN R, FICH E M, KHIMICH N V. The effect of innovation similarity on asset prices: evidence from patents' big data[J].The Review of Asset Pricing Studies, 2023, 13(1): 99-145.

[18] 向姝璇, 操玉杰, 毛进. 基于权利要求层级特征的专利相似度计算方法研究[J].数据分析与知识发现, 2024, 8(2): 33-43.

[19] LEE C M C, SUN S T, WANG R,et al. Technological links and predictable returns[J].Journal of Financial Economics, 2019, 132(3): 76-96.

[20] LOWIK S, ROSSUM V D, KRAAIJENBRINK J, et al. Strong ties as sources of new knowledge: how small firms innovate through bridging capabilities[J].Journal of Small Business Management, 2012, 50(2): 239-256.

[21] POWELL W W, SMITH-DOERR K L. Interorganizational collaboration and the locus of innovation: networks of learning in biotechnology[J].Administrative Science Quarterly, 1996,41(1): 116-145.

[22] JAFFE A B. Technological opportunity and spillovers of R&D: evidence from firms' patents, profits and market value[J].American Economic Review, 1986, 76(5): 984-999.

[23] LIEBERMAN B M, ASABA S. Why do firms imitate each other[J].The Academy of Management Review, 2006, 31(2): 366-385.

[24] BADERTSCHER B, SHROFF N, WHITE H D. Externalities of public firm presence: evidence from private firms' investment decisions[J].Journal of Financial Economics, 2013, 109(3): 682-706.

[25] BEATTY A, LIAO S, YU J J. The spillover effect of fraudulent financial reporting on peer firms' investments[J].Journal of Accounting and Economics, 2013, 55(2-3): 183-205.

[26] LI V. Do false financial statements distort peer firms' decisions[J].The Accounting Review, 2016, 91(1): 251-278.

[27] CHEVALIER J A, SCHARFSTEIN D S. Capital-market imperfections and countercyclical markups: theory and evidence[J].American Economic Review, 1996, 86(4): 703-725.

[28] CHEN Q, GOLDSTEIN I, JIANG W. Price informativeness and investment sensitivity to stock price[J].The Review of Financial Studies, 2007, 20(3): 619-650.

[29] FOUCAULT T, FRESARD L. Learning from peers' stock prices and corporate investment[J].Journal of Financial Economics, 2014, 111(3): 554-577.

[30] YE M, ZHENG M Y, ZHU W. The effect of tick size on managerial learning from stock prices[J].Journal of Accounting and Economics, 2023, 75(1): 101515.

[31] XIAO S C. Do noisy stock prices impede real efficiency[J].Management Science, 2020, 66(12): 5990-6014.

[32] CHEN S, MA H. Peer effects in decision-making: evidence from corporate investment[J].China Journal of Accounting Research, 2017, 10(2): 167-188.

[33] 宋广蕊, 马春爱, 肖榕. 同群效应下公司创新投资行为传递路径研究[J].科研管理, 2021, 42(7): 179-188.

[34] 杨鑫瑶, 蔡云鹏. 上市公司自主创新同群效应研究[J].税务与经济, 2023, 45(2): 70-81.

[35] 曾江洪, 于彩云, 李佳威,等. 高科技公司研发投入同群效应研究——环境不确定性、知识产权保护的调节作用[J].科技进步与对策, 2020, 37(2): 98-105.

[36] 宋广蕊, 马春爱, 肖榕. 研发投入同群效应促进了公司创新“增量提质”吗[J].外国经济与管理, 2023, 45(4): 137-152.

[37] 陈红, 张凌霄, 焦旸. 经济周期视角下公司创新同群效应分析[J].统计与决策, 2022, 38(18): 171-175.

[38] FAIRHURST D, NAM Y. Corporate governance and financial peer effects[J].Financial Management, 2020, 49(1): 235-263.

[39] HARSHAW W H, TINDALL B D. Social structure, identities, and values: a network approach to understanding people's relationships to forests[J].Journal of Leisure Research, 2005, 37(4): 426-449.

[40] LI J, YAO F K. The role of reference groups in international investment decisions by firms from emerging economies[J].Journal of International Management, 2010, 16(2): 143-153.

[41] 王文寅, 菅宇环. 社会网络、资源整合及技术创新的关系: 一个文献综述[J].经济问题, 2013, 35(11): 39-43.

[42] DIMAGGIO PAUL, POWELL WALTER W. The iron cage revisited: institutional isomorphism and collective rationality in organizational fields[J].Journal of Economic Sociology, 2010, 11(1): 34-56.

[43] MCGRATH R G,CHEN M,MACMILLAN I C. Multimarket maneuvering in uncertain spheres of influence: resource diversion strategies[J].Academy of Management Review, 1998, 23(4): 724-740.

[44] PFEFFER J, SALANCIK G R. The external control of organizations: a resource dependence perspective[J].Social Science Electronic Publishing, 2003, 23(2): 123-133.

[45] KAILIN ZENG, WEN KUANG, EBENEZER FIIFI EMIRE ATTA MILLS.Cross-firm technological linkage and peer effects on investment efficiency[J].Economics Letters,2025,248:112220.

[46] BANDURA A. Self-efficacy: toward a unifying theory of behavioral change[J].Psychological Review, 1977, 84(2): 191-215.

[47] JENSEN M C, MURPHY K J. Performance pay and top-management incentive[J].Journal of Political Economy, 1990, 98(2): 225-264.

[48] 方军雄. 企业投资决策趋同: 羊群效应抑或“潮涌现象”[J].财经研究, 2012, 38(11): 92-102.

[49] SCHERER F M. Firm size, market structure, opportunity, and the output of patented inventions[J].The American Economic Review, 1965, 55(5): 1097-1125.

[50] WERNERFELT B. A resource-based view of the firm[J].Strategic Management Journal, 1984,5(4-5):171-180.

[51] 单春霞, 仲伟周, 张林鑫. 中小板上市公司技术创新对公司绩效影响的实证研究——以公司成长性、员工受教育程度为调节变量[J].经济问题, 2017,39 (10): 66-73.

[52] 胡国柳, 赵阳, 胡珺. D&O保险、风险容忍与公司自主创新[J].管理世界, 2019, 35(8): 121-135.

[53] CHIRCOP J,COLLINS D W,HASS L H,et al. Accounting comparability and corporate innovative efficiency[J].The Accounting Review, 2020, 95 (4): 127-151.

[54] CARHART M M. On persistence in mutual fund performance[J].The Journal of Finance, 1997, 52(1):57-82.

[55] 李井林, 阳镇, 陈劲, 等. ESG促进公司绩效的机制研究——基于公司创新的视角[J].科学学与科学技术管理, 2021, 42(9): 71-89.

[56] 王旭, 褚旭. 制造业公司绿色技术创新的同群效应研究——基于多层次情境的参照作用[J].南开管理评论, 2022, 25(2): 68-81.

[57] HIRSHLEIFER D, HSU P H, LI D. Innovative efficiency and stock returns[J].Journal of Financial Economics, 2013, 107(3): 632-654.

[58] GU L.Product market competition,R&D investment,and stock returns[J].Journal of Financial Economics, 2016, 119(2): 441-455.

(责任编辑:胡俊健)