Thus, this study theoretically analyzes the internal mechanism of the "chain leader system" on the collaboration of industrial chain innovation chain.This study selects data from cities within 19 city clusters and 210 prefecture-level cities in China, covering the four years before and after the initial implementation of the policy (2013—2021).Data from 2013—2016 serve as the control group for the quasi-natural experiment using the DID model to test for parallel trends.The findings show that the "chain leader system" of industrial chain has significantly promoted the collaboration of industrial and chain innovation chain in Chinese urban clusters.The policy effect is more significant in the higher-level urban clusters,particularly major metropolitan clusters, core cities, resource-dependent cities, transportation hubs, and cities located in central regions.The mechanism test shows that the "chain leader system" of industrial chain has an impact on the collaboration of industrial chain and innovation chain through market effect, technology agglomeration effect and policy support effect.This study offers theoretical and empirical support for refining relevant policies, aiming to enhance the collaborative development of the industrial chain and innovation chain and boost the high-quality development of China's economy.
The policy enlightenment of the paper is as follows: First, the government should give full play to the market effect, technology agglomeration effect and policy support effect through the combination of "efficient market and proactive government".On the one hand, by relying on an "efficient market", the government can boost the innovation vitality and competitiveness of enterprises, encouraging them to continuously optimize their product structures and enhance technological innovation.This also promotes cooperation and exchange among upstream and downstream enterprises in the industrial chain, creating a virtuous cycle of technology sharing and innovation, and thereby driving internal innovation activities and technological progress within the industrial chain.On the other hand, through the role of an "proactive government" the government can address market failures and information asymmetry in market operations.Second, the paper emphasizes the need to focus on the differences in urban resource endowments and to implement policy classification and precision targeting.Third, it highlights the importance of considering urban geographical locations.Specifically, it advocates for strengthening the "chain leader system" in the industrial chains of central cities to support the strategy for the rise of central China.
The possible marginal contribution of the paper is as follows: first, it systematically assesses the impact of the "chain leader system" on the collaboration of industrial chain-innovation chain, expanding related research and enriching the policy-level collaboration studies; second, it reveals the internal mechanisms of this synergy through market, technology agglomeration, and policy effects, using effective market and active government theories to enrich empirical research; third, it analyzes urban status, agglomeration levels, resource cities, transportation hubs, and geographical heterogeneity, providing in-depth theoretical support and policy insights for industrial chain-innovation chain collaboration.
产业链创新链协同发展是新时代产业链发展的一个重要趋势。2023年,中共中央、国务院印发《质量强国建设纲要》明确提出,“推动产业链与创新链、价值链精准对接、深度融合”。城市群是我国经济高质量发展的重要载体,资源、人才、技术等各种要素逐渐向城市群集中,形成了强大的经济集聚效应。城市群作为产业链与创新链的重要交汇点,通过促进产业链上下游企业之间紧密合作,为产业链创新链协同提供了丰富的应用场景和市场需求。
产业链“链长制”是一种创新的产业组织形式,有助于应对外部不确定因素冲击、维护产业链供应链安全稳定、推动关键核心技术攻关、畅通产业链上下游联通环节。产业链“链长制”聚焦地方主导产业,由地方政府主要负责人担任“链长”,产业链核心企业担任“链主”,发挥引领支撑作用,上下游企业和相关部门多方协同配合[1]。截至2021年底,中国已有29个省份实施了“链长制”政策或推出了与之相关的措施。在此背景下,作为具有中国特色的产业管理制度突破性创新[2],产业链“链长制”能否从政策层面有效提升中国城市群产业链与创新链协同发展水平,成为一项值得关注的重要议题。本文深入探索产业链“链长制”提升中国城市群产业链创新链协同发展的政策效果及其作用机制,为中国城市群产业链“链长制”实施及产业链创新链协同发展提供理论支持与实践参考。
产业链“链长制”作为产业链管理创新的新举措[3],近年来成为了学界研究热点。既有文献采用双重差分[4]、多期DID与PSM-DID方法[5]、GAM模型与面板数据模型[6]、扎根理论[7]等方法探讨了产业链“链长制”的理论、内在机理、对策与建议等。如吴传清等[8]结合长江经济带对产业链“链长制”的演进、实践特点和启示进行了分析,曾辉祥等(2025)基于产业链“链长制”的准自然实验对地方产业链政策创新能否实现企业“经济—环境”双赢进行了分析。曹景林等[9]、王进富等[10]学者分别以战略性新兴产业上市公司、比亚迪和新能源汽车产业链为例对链长企业的新质生产力、产业链韧性进行了研究探索。然而,现有研究偏重宏观理论研究,如何实证检验产业链“链长制”的政策效果还需要进一步深入研究。
产业链创新链融合是构建新发展格局和促进经济高质量发展的重要支撑[11],既有文献多聚焦于内涵[12]、路径[13]等方面的探讨。Nie[14]、Li等[15]学者分别对港口机械制造业产业链与服务业创新、核电产业链创新链协同进行了分析,陈英武等[16]、贾卫峰等[17]学者分别从技术专利、产业政策、数字技术视角研究了产业链创新链的发展。当前,创新链与产业链存在脱节现象,高端需求外流和低端需求相对过剩问题尚未得到有效解决(张其仔,2021),因此需要围绕产业链部署创新链,把科技创新落脚到产业发展上[18]。充分发挥科技创新驱动作用,加快推动产业链与创新链深度协同,是准确把握新发展阶段、深入贯彻新发展理念、加快构建新发展格局的内在要求,也是把握新一轮科技革命和产业变革历史机遇的有效抓手[19]。
综上所述,现有研究分别从产业链“链长制”和产业链创新链协同方面展开,但对产业链“链长制”提升产业链创新链协同发展的政策效应关注还不足。产业链“链长制”作为一种有效和创新的管理机制,通过有效市场和有为政府的管理将更好地促进产业链创新链协同。因此,本文旨在系统考察产业链“链长制”对中国城市群产业链创新链协同的影响,其边际效应如下:第一,以产业链“链长制”实施构建准自然实验,系统性评估产业链“链长制”对产业链创新链协同的提升效应,拓展产业链“链长制”政策效果分析的研究内容,从政策层面进一步丰富产业链创新链协同的研究体系。第二,综合运用有效市场和有为政府理论,揭示产业链“链长制”通过市场化效应、技术集聚效应、政策支持效应影响产业链创新链协同的内在机理,丰富有效市场和有为政府理论的实证研究。第三,从中国城市群视角深入分析城市地位、城市群等级、资源型城市、交通枢纽型城市、地理区位等异质性影响,为产业链创新链协同提供理论支持,并为相关政策制定提供启示。
从理论层面看,政府与市场相结合能够更好地配置要素资源[20]。产业链“链长制”一方面通过“需求牵引创新、创新驱动产业”的正向循环,直接提升产业链创新链协同;另一方面通过市场化效应、技术集聚效应、政策支持效应,有效促进产业链创新链协同。通过梳理相关领域的研究成果,本文构建如下理论框架以探讨产业链“链长制”对产业链创新链的协同作用,如图1所示。
图1 产业链“链长制”对产业链创新链协同作用的理论框架
Fig.1 Theoretical framework of the collaborative effect of the "chain leader system" on the industrial chain innovation chain
产业链“链长制”通过制度化责任主体和市场化主导力量,采取“产业链需求识别—创新链创新响应—产业链吸收扩散—产业链创新链协同提升”的路径促进产业链创新链深度协同。“柠檬市场”理论揭示了产业链中信息不对称问题,导致创新需求信号失真[21]。一方面,产业链“链长制”通过政府制度整合产业需求,降低信息搜寻成本,并利用智慧城市和AI技术将隐性创新需求显性化,通过“一链一策”策略,引导链主企业技术突破,扶持中小企业专精特新发展,形成“龙头企业+中小微企业”协同创新网络。同时,相关部门还通过建立风险和收益共享机制,解决科技成果转化难题,弥补市场失灵,有效响应产业链创新需求。另一方面,技术创新需要市场选择来扩散[22],产业链“链长制”利用共性技术平台等政策工具降低技术解码门槛,破解隐性知识壁垒,将创新成果内嵌入产业化流程,促进创新成果在产业链中吸收和扩散,紧密结合产业链需求与创新链供给,促进产业链与创新链深度协同。基于此,本文提出如下假设:
H1:产业链“链长制”可以促进产业链创新链协同。
新结构经济理论认为,有效的市场非常重要,只有在充分竞争、完善有效的市场体系中形成的价格信号,才能引导企业按照要素禀赋结构所决定的比较优势进行技术、产业的选择,从而使整个国家具有竞争优势[23]。在高度市场化的经济环境中,市场机制通过促进资源在产业链与创新链间高效流动,更好地在资源配置中发挥决定性作用。产业链“链长制”作为一种有效的管理机制,通过明确产业链中各环节的责任人和职责,加强产业链内部的协调与合作,解决产业链中的信息不对称与利益冲突问题,促进产业链中的各环节更好地实现信息共享、资源互补、协同创新,降低交易成本,提高市场效率,进一步推动产业链创新链协同。基于此,本文提出如下假设:
H2:产业链“链长制”可以通过市场化效应降低企业的交易成本和市场准入门槛,提高资源配置效率,促进技术创新与经济效率的提升,进而推动产业链创新链协同。
产业链“链长制”通过技术集聚效应聚焦关键技术领域,整合“创新链、资金链、人才链、供应链”等多链资源,形成全要素支撑体系,促进产业链上下游各环节企业间的协作创新,加速科技成果转化,促进产业链与创新链深度协同。科学技术水平是产业链创新链发展的核心驱动力。产业链“链长制”通过优化产业链布局,促进相关企业与研发机构在特定区域集聚,形成了技术创新的集群效应,不仅有利于技术共享和交流,还加速技术迭代与升级,推动产业链整体技术水平提升。同时,产业链“链长制”通过政策引导和资金支持等措施鼓励企业和研发机构进行技术研发与创新,进一步推动技术集聚效应的形成和发展,进而促进产业链创新链协同。基于此,本文提出如下假设:
H3:产业链“链长制”通过技术集聚效应聚焦关键技术领域,整合创新资源,推动产业链上下游企业协同创新,加速科技成果转化,促进产业链创新链协同。
产业链“链长制”通过发挥有为政府的因势利导作用[24],制定和实施税收优惠、资金扶持、人才引进等针对性强的政策措施,有效降低企业的创新成本与市场风险,激发企业的创新活力。这些政策措施不仅促进产业链内部的技术创新与产业升级,还吸引外部创新资源涌入,为产业链与创新链协同注入新的动力。同时,产业链“链长制”还通过搭建创新平台、完善创新体系等措施,加强产业链与创新链之间的衔接互动,推动创新成果的加速转化与应用,进一步促进产业链创新链深度协同。基于此,本文提出如下假设:
H4:产业链“链长制”通过政策支持效应为产业链创新链协同提供政策保障,进一步促进产业链创新链协同。
3.1.1 被解释变量
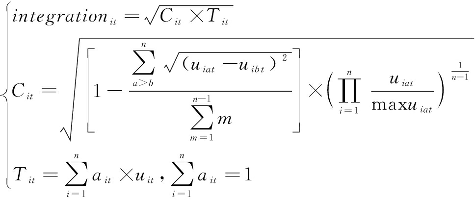
产业链创新链协同度(integration)。借鉴产业链创新链相关研究[25-27],并基于数据可得性,选取科技创新投入、科技创新主体、科技成果转化3个一级指标、8个二级指标衡量创新链子系统的综合发展,选取产业链配套、产业链数字化、产业链韧性、产业链可持续等4个一级指标、13个二级指标衡量产业链子系统的综合发展,得到产业链和创新链的协同度评价指标体系如表1所示。
表1 产业链和创新链子系统评价指标体系
Table 1 Evaluation index system of industrial chain and innovation chain subsystems
子系统 区域层评价指标 属性创新链子系统(innovation-chain)科技创新投入R&D人员数+全社会R&D经费支出占GDP比重+科技创新主体高新技术企业数+工商注册企业数+普通高等学校数+科技成果转化万人发明专利授权数+发明专利授权数+技术收入+产业链子系统(industry-chain)产业链配套公路货运量+财政科学支出占比+财政教育支出占比+产业链数字化互联网用户数占常住人口比重+每百户中移动电话用户数+计算机服务和软件业从业人员占比+人均电信业务总量+产业链韧性产业结构HHI-规模以上工业企业平均利润+产业链可持续工业废水排放量-二氧化硫排放量-可吸入细颗粒物年平均浓度-污水处理厂集中处理率+
参考孙红雪等[28]的研究,选取赫芬达尔-赫希曼指数(HHI)衡量产业多样化指数;借鉴王淑佳[29]、柳毅等[30]学者研究测度多系统协同度,构建模型(1)(2):

![]()
![]()
(2)
其中,integrationit表示产业链创新链协同值,integrationit∈(0,1),Cit表示各子系统的离散程度,Cit∈(0,1),uiat、uibt分别表示采用熵值法计算后的第i个城市第t年创新链、产业链子系统综合值,Tit为子系统的发展综合值,ait为各子系统的权重,此处创新链、产业链子系统权重分别取0.5,wiat、wibt分别表示创新链子系统、产业链子系统第i个城市第t年指标j的权重,xiat、xibt分别表示创新链子系统、产业链子系统第i个城市第t年指标j的值。
3.1.2 核心解释变量
产业链“链长制”(chain_regulation)。基于各地区发布的关于实施产业链“链长制”的官方文件,参考孟琪[6]的研究设置政策虚拟变量和时间虚拟变量,赋值实施产业链“链长制”的城市实验组政策虚拟变量为1,其余为0;该城市实施产业链“链长制”的年份时间虚拟变量赋值为1,未实施的年份为0。
3.1.3 控制变量
参考既有文献做法,本文选取如下控制变量:城市化水平(urb)、城市经济密度(uec)、经济发展水平(eal)、外资投资水平(fcir)、城镇化水平(up)、工业化水平(iml)、人口密度(lndens)。变量测量见表2。
表2 变量定义
Table 2 Variable definitions
变量类型变量名称 变量符号 变量测量被解释变量产业链创新链协同度integration基于熵值法测算解释变量产业链“链长制”chain_regulation虚拟变量,实施设为1,未实施设为0机制变量市场化效应mark地区生产总值与当地财政预算内支出的比值技术集聚效应stl科学支出占地方财政一般预算内支出的比值政策支持效应plo_supp存贷款余额之和的自然对数控制变量城市化水平urb市辖区人口数与城市总人口数的比值城市经济密度uec地区生产总值万元与行政区域总面积的比值经济发展水平eal人均地区生产总值取自然对数外资投资水平fcir当年实际使用外资金额万美元乘以汇率后与地区生产总值的比值城镇化水平up城镇常住人口与总常住人口的比值工业化水平iml工业增加值与地区生产总值的比值人口密度lndens总人口与行政区域总面积的比值
本文采用2013—2021年中国19个城市群所涵盖的地级市面板数据展开研究,并将2013—2016年数据作为DID准自然实验的对照组以验证平行趋势。数据主要来源于国家统计局、《中国城市统计年鉴》、CSMAR、EPS等官方途径和权威数据库,部分不全的数据采用插值法处理。基于数据的可得性,研究过程中剔除数据不全城市,最终获得19个城市群共210个城市作为研究样本。
(1)回归模型。产业链“链长制”是外生于产业链创新链协同的政策冲击,因此,可将其视为一次产业链“链长制”的准自然实验。因产业链“链长制”实施范围分批次逐步扩大,为科学评估产业链“链长制”对产业链创新链协同的影响效应,构建如下基准回归模型和多时点DID回归模型,见式(3)(4):
intergrationit=α0+α1chain_regulationit+α2Control_Varit+εit
(3)
intergrationit=α+βchain_regulationit+γControl_Varit+CityFE+YearFE+εit
(4)
其中,intergrationit表示第i个城市第t年产业链创新链协同度;chain_regulationit表示是否实施产业链“链长制”,如果城市i在第t年开始实施产业链“链长制”,则第t年及之后均设置为1,其余设置为0;Control_Varit为控制变量合集;εit为随机扰动项,CityFE为城市固定效应,YearFE为年份固定效应。估计系数a1、β是本文主要关注的参数,若其显著为正,说明产业链“链长制”对产业链创新链协同度具有显著的促进作用。同时,估计系数β度量了产业链创新链协同度在产业链“链长制”冲击前后的平均差异。
(2)中介效应模型。借鉴江艇[31]的研究构建中介效应模型,考察产业链“链长制”影响产业链创新链协同发展的影响机制,见式(5)(6):
inter_Varit=α+βchain_regulationit+γControl_Varit+YearFE+εit
(5)
integrationit=b+θinter_Varit+γControl_Varit+YearFE+εit
(6)
其中,inter_Varit为中介变量,分别代表市场化效应、技术集聚效应和政策支持效应。
产业链“链长制”提升城市群产业链创新链协同发展的描述性统计结果如表3所示,基准回归结果如表4所示。其中,表4列(1)为未考虑控制变量及固定效应的回归结果;列(2)为未考虑控制变量,但控制了城市、年份固定效应的回归结果;列(3)为增加控制变量,但未考虑固定效应的回归结果;列(4)为综合考虑控制变量和固定效应的回归结果。结果显示,无论是否考虑控制变量和固定效应,chain_regulation的回归系数均显著为正,表示产业链“链长制”提升中国城市群产业链创新链协同发展,假设H1得以验证。
表3 描述性统计结果
Table 3 Descriptive statistics
变量 观测值均值标准差最小值最大值integration1 8900.517 80.141 30.234 80.882 9chain_regulation1 8900.158 20.365 001mark1 8906.332 32.277 41.419 722.788 6stl1 8900.020 30.019 00.000 60.142 3plo_supp1 89017.834 41.123 21522urb1 8650.392 50.242 00.046 81uec1 8900.464 30.977 70.012 415.355 5eal1 89010.912 00.544 59.036 813.055 7fcir1 8900.018 50.019 100.228 7up1 8900.590 00.140 10.181 51.000 7iml1 8900.385 30.147 4-0.396 02.848 7lndens1 8906.035 30.726 72.878 48.058 2
表4 基准回归结果
Table 4 Baseline regression results
变量 (1)(2)(3)(4)integrationintegrationintegrationintegrationchain_regulation0.068 6***0.023 2***0.021 6***0.021 1***(7.824 1)(3.782 2)(3.081 8)(3.660 5)Constant0.507 0***0.512 5***-0.556 7***0.008 8(145.379 3)(85.979 6)(-7.338 3)(0.022 6)控制变量否否是是固定效应否是否是Observations1 8901 8901 8641 864R-squared0.030 50.201 70.419 30.253 8
注:*p<0.1,**p<0.05,***p<0.01,括号内为标准误,下同
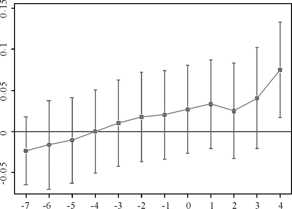
采用多时点DID模型的前提在于实验组和对照组在政策发生前保持一致的变化趋势,即满足平行趋势检验假设[32]。由于实施城市接受政策冲击的时间不同,所以不能简单地将某一年作为政策发生的临界点设置时间虚拟变量,而需要为城市群各实施城市设置产业链“链长制”实施的相对时间虚拟变量。本文借鉴Beck等[33]的研究,构造以下计量模型对产业链“链长制”实施效果进行平行趋势检验,见式(7):
![]()
(7)
其中,时间虚拟变量Yearin为第i个城市确立实施产业链“链长制”的前n年、当年和后n年的观测值,Treatin表示第i个城市政策实施的虚拟变量,实施取值为1,未实施取值为0。结果如图2所示,无论是否加入控制变量,政策实施前相对时间虚拟变量系数数值较小,表明政策发生前实验组和对照组趋势无显著差异,符合平行趋势假设。进一步分析显示,在政策执行初期效应不明显,试点政策推行4年后逐步显著为正,说明产业链“链长制”能够产生促进产业链创新链协同的政策效应,但存在一定的时间滞后性。
图2 平行趋势检验结果
Fig.2 Parallel trends test results
(1)两步系统GMM检验。不可观测的个体差异可能导致遗漏变量,固定效应模型能在很大程度上解决这一问题。同时,产业链创新链协同可能会受前期产业政策和创新政策等其他政策的影响而表现出惯性特征,因此本文建立动态面板数据模型,采用两步系统GMM方法检验模型的内生性。表5的列(1)结果显示,产业链“链长制”回归系统显著为正,表明本文结论不会对基准模型设计产生高度敏感性。
表5 内生性检验结果
Table 5 Results of endogeneity test
变量 (1)GMM(2)截面PSM混合OLS固定效应模型FE使用满足共同支撑假设的样本(3)逐年PSM使用满足共同支撑假设的样本L.integration0.904 3***(0.020 4)chain_regulation0.912 6***0.030 2***0.021 9***0.020 4***0.021 9***(0.024 4)(4.168 8)(3.673 9)(3.619 4)(3.632 7)_cons0.063 4***(0.010 9)控制变量是是是是是固定效应是是是是是R20.219 30.216 30.232 00.267 6
(2)倾向得分匹配。双重差分法揭示了产业链“链长制”的平均处理效应,但因产业链“链长制”并非严格意义上的自然实验,样本内组间特征可能不同,因此本文进一步基于多时点PSM-DID模型进行稳健性检验,依次将城市化水平、城市经济密度、经济发展水平、外资投资水平、城镇化水平、工业化水平、人口密度设定为匹配变量,将面板数据转化为截面数据与逐期匹配法进行倾向得分匹配:①截面数据法。以0.05卡尺、1∶2无放回、最临近匹配的方法在所有产业链“链长制”实施城市中寻找满足共同支撑条件的最优对照组,将非共同支撑的部分剔除,对满足平衡性检验的匹配后样本采取多时间点PSM-DID方法重新评估产业链“链长制”对产业链创新链协同度的影响。②逐年匹配法。将城市样本进行逐年匹配后纵向合并生成回归需要的面板数据,然后采取多时间点PSM-DID方法重新评估产业链“链长制”对产业链创新链协同度的影响。表5中的截面PSM和逐年PSM报告了两种方法的回归结果。结果显示,chain_regulation的系数仍显著为正,与基准回归的结果无实质性的差异,表明产业链“链长制”对产业链创新链协同度的促进作用是显著的。
(1)剔除直辖市、计划单列市样本。直辖市和计划单列市在经济发展、产业链创新链支持力度等方面和其他城市均存在差别,故进一步剔除北京、上海、天津、重庆4个直辖市以及大连、青岛、宁波、厦门、深圳5个计划单列市样本。由表6列(1)可知,chain_regulation的系数显著为正,表明结果稳健可靠。
表6 稳健性检验结果
Table 6 Robustness test results
变量 (1)(2)(3)(4)(5)剔除直辖市、计划单列市样本剔除三大城市群加入创新型试点政策单独对创新型试点城市回归剔除创新型试点城市样本chain_regulation0.023 9***0.020 1***0.019 8***0.022 8***0.024 2***(0.006 4)(0.007 1)(0.007 2)(0.007 7)(0.008 6)_cons0.504 7***0.491 1***0.538 2***0.527 8***0.502 4***(0.001 0)(0.001 0)(0.0015)(0.001 6)(0.001 1)控制变量是是是是是固定效应是是是是是R20.876 90.862 50.930 40.921 80.865 6
(2)剔除三大城市群。与国内其他城市群相比,京津冀、珠三角、长三角城市群技术创新水平更高,在中高端产业链具有更多的布局,当地企业也具有更高的价值链地位,故进一步剔除三大城市群内城市数据进行回归。表6列(2)结果显示,其系数略低于基准回归,但依然显著。可见,产业链“链长制”对产业链创新链协同度的影响并不依赖于所选择的特定区域。
(3)排除创新型试点城市的影响。自2008年深圳市被确定为创新型城市试点政策开始,国家发展改革委和科技部先后多批设立创新型试点城市。为排除创新型试点城市对产业链创新链协同度的影响,参考白俊红等(2022)的研究,将创新型城市试点获批当年及之后的年份虚拟变量设为1,之前赋值为0,并进行3种回归分析:加入创新型试点政策、单独对创新型试点城市回归以及剔除创新型试点城市样本,表6列(3)~(5)结果显示,无论采用哪种回归方式,chain_regulation的系数仍显著为正,表明本文结论稳健。
(1)城市群等级。本文构建城市群等级特征虚拟变量(ual),赋值国家级城市群内所在城市为1,区域性城市群和地区性城市群内所在城市为0,进一步地将城市群等级特征虚拟变量(ual)和政策虚拟变量(chain_regulation)的交互项引入基准回归模型,结果如表7列(1)所示,系数在1%的水平上显著为正,表明产业链“链长制”对等级更高的国家级城市群提升作用更强。原因在于“链长”通常由政府部门主要负责人担任,统筹内外部资源,推动产业链上下游企业协同发展。这种制度优势使得国家级城市群在产业链创新链协同中能够更高效地整合资源,形成合力。同时,产业链“链长制”注重产业定位和战略导向,通过深入分析产业链现状和未来趋势,明确发展目标和重点方向,更有效地引导国家级城市群产业链创新链协同,促进产业升级和创新发展。
表7 产业链“链长制”的异质性分析结果
Table 7 Heterogeneity analysis results of the "chain leader system" in industrial chains
变量 (1)城市群级别(2)城市群中核心城市(3)资源型城市(4)非资源型城市chain_regulation0.010 50.020 9***-0.003 90.023 5***(0.007 9)(0.006 3)(0.016 3)(0.006 7)ual×chain_regulation0.022 9***(0.008 0)cl×chain_regulation0.022 6**(0.011 4)控制变量是是是是固定效应是是是是_cons0.512 5***0.512 5***0.483 0***0.517 5***(0.005 9)(0.006 0)(0.001 7)(0.001 1)N1 8901 890171 1 719R20.200 80.197 30.600 10.906 0 变量(5)交通枢纽型城市(6)非交通枢纽型城市(7)东部(8)中部(9)西部chain_regulation0.010 90.025 9***0.010 50.024 2***-0.020 9(0.015 1)(0.006 7)(0.009 6)(0.008 3)(0.024 8)控制变量是是是是是固定效应是是是是是_cons0.710 4***0.494 3***0.566 7***0.498 5***0.456 4***(0.001 7)(0.001 1)(0.001 8)(0.001 7)(0.001 0)N1711 719747693450R20.892 10.863 70.910 00.891 40.846 4
(2)城市群核心城市。为了探讨产业链“链长制”的政策效果是否因城市群核心城市而呈显著差异,本文对城市地位进行异质性分析,赋值城市群中核心城市虚拟变量为1,非核心城市为0,在基准模型中加入城市地位虚拟变量(cl)和政策虚拟变量(chain_regulation)的交互项进行回归,由表7列(2)结果可知,系数在5%水平上显著为正,表明产业链“链长制”对城市群中核心城市提升作用更强。相较于非核心城市,核心城市通常拥有更完善的基础设施、更丰富的人才资源和更强的资本集聚能力,为产业链的高效运作和创新提供了良好的环境。产业链“链长制”通过政策引导和市场机制,促进核心城市的优势更好地发挥,有利于产业链创新链深度协同。
(3)资源型城市异质性。资源型城市和非资源型城市在产业结构、资源禀赋等多方面存在显著不同,在其他条件一致的情况下,产业链“链长制”对哪一类城市更能提升产业链与创新链的协同度呢?为此,本文根据《全国资源型城市可持续发展规划(2013-2020)》构建资源型城市虚拟变量,赋值资源型城市为1,非资源型城市为0。表7列(3)(4)表明,产业链“链长制”对资源型城市产业链创新链协同度影响并不明显,对非资源型城市则产生显著的正向影响。究其原因,资源型城市产业链短且单一,经济发展高度依赖自然资源,同时面临资源枯竭和环境污染问题。尽管产业链“链长制”能够提升产业链效能,但因缺乏深加工和高附加值产品,城市转型中面临资金、技术、人才等难题,限制了产业链创新链延伸和升级空间。非资源型城市产业结构多元,产业链较长且复杂,产业链“链长制”能优化资源配置,促进企业协同发展,增强产业链竞争力,推动产业创新和技术升级,培育新的经济增长点,为城市的可持续发展提供有力支撑。
(4)交通枢纽型城市异质性。为探究交通枢纽对产业链“链长制”提升产业链创新链协同度的影响,按照《中长期铁路网规划(2016)》构建交通枢纽城市虚拟变量,赋值交通枢纽城市为1,非交通枢纽城市为0。表7列(5)(6)表明,产业链“链长制”的政策效应对非交通枢纽型城市在1%水平上显著为正,而对交通枢纽型城市影响并不明显。这可能是因为交通枢纽型城市不仅是物流、人流和信息流的重要集散地,还承载着金融、商业、文化等多个领域的发展任务,因此政策在推动产业链创新链协同过程中需综合考虑多方因素,导致协同力度分散。同时,这些城市依赖交通和物流优势,可能忽视内部产业链与创新链的协同发展,导致产业链创新链协同度受到影响。
(5)地理区位异质性。我国幅员辽阔,各地区资源禀赋差异较大,经济发展水平不一。为探究地理区位对产业链创新链协同度的影响,将样本分为东、中、西部三组分别回归,表7列(7)~(9)表明,东、西部地区的政策效应并不显著,而中部地区则显示出显著的正向影响。究其原因,中部地区正处于产业转型升级的关键时期,产业链“链长制”能够加强政府与企业沟通,优化政策环境,提供针对性的支持和服务,加速创新成果和产业链升级,促进产业链上下游协同创新。此外,中部地区丰富的科教资源和人才储备,通过“链长制”可转化为产业发展动力,推动产业链与创新链深度协同。相比之下,东部地区产业链与创新链体系较成熟、协同度较高,因此,产业链“链长制”的边际效应可能较小。西部地区由于地理、经济和人才等多方因素限制,产业链创新链协同面临更多挑战,需要更长时间和更多综合措施以实现显著的效果。
(1)市场化效应(mark)。产业链“链长制”通过市场化效应可以降低企业的交易成本和市场准入门槛,提高资源配置效率,促进技术创新和经济效率的提升。借鉴Wang &Qian(2011)、白俊红等(2022)的研究,当政府预算相对国内生产总值越大时,一定程度上意味着政府对市场经济的干预度越大,市场化水平越低,因此,本文采用GDP与政府预算的比值作为市场化效应的代理变量进行机制检验。表8列(1)(2)表明,chain_regulation和integration的系数显著为正,表明产业链“链长制”可以通过提高产业市场化水平,进而促进产业链创新链协同,假设H2得以验证。
表8 机制检验结果
Table 8 Results of mechanism test
变量 市场化效应(1)(2)markintegration技术集聚效应(3)(4)stlintegration政策支持效应(5)(6)plo_suppintegrationchain_regulation0.542 6**0.011 3***0.278 4*(0.266 8)(0.002 2)(0.146 7)mark0.024 5***(0.003 1)stl3.677 2***(0.463 6)plo_supp0.085 3***(0.004 8)control_var是是是是是是固定效应是是是是是是cons6.246 5***0.362 5***0.018 5***0.443 4***17.790 3***-1.003 9***(0.154 2)(0.021 1)(0.001 1)(0.011 9)(0.078 8)(0.086 6)N1 8901 8901 8901 8901 8901 890R20.031 90.173 20.036 10.263 40.063 90.453 7
(2)技术集聚效应(stl)。产业链“链长制”通过聚焦关键技术领域,整合创新资源,推动产业链上下游企业协同创新,加速科技成果转化,从而促进产业链与创新链深度协同。参考张兵等(2025)的研究,本文采用科学支出占地方财政一般预算内支出的比值作为技术集聚效应的代理变量。表8列(3)(4)所示,chain_regulation和integration的系数在1%的水平上显著为正,表明产业链“链长制”一定程度上促进了城市科学技术水平的提高,进而促进产业链创新链协同。据此,产业链“链长制”通过促进技术集聚作用于产业链创新链协同的机制得到进一步的检验,假设H3得以验证。
(3)政策支持效应(plo_supp)。政府在实施产业链“链长制”过程中采取更为积极的产业鼓励政策可以有效提升产业生产效率,增强相关投资、创新主体的信心[8]。参考周钰丁等(2023)的研究,本文采用存贷款余额之和的自然对数刻画政府的支持效应。表8列(5)(6)表明,各系数至少在10%的水平上显著为正,这意味着通过产业配套措施和服务的持续优化,产业链“链长制”的实施促进了产业链创新链协同,假设H4得以验证。
产业链创新链协同发展对于推动我国供给侧结构性改革、建设现代化经济体系、跨越“中等收入陷阱”、积蓄未来发展动力具有重要意义[18] 。利用2013—2021年中国19个城市群210个城市面板数据构建多时点DID模型,借助产业链“链长制”的准自然实验量化评估了产业链“链长制”对中国城市群产业链创新链融合的影响和传导机制,为后续更好地促进产业链创新链融合政策的制定提供了理论参考和经验证据。研究结果表明:①产业链“链长制”显著促进中国城市群产业链创新链协同;②异质性检验表明,产业链“链长制”在级别更高的城市群、城市群中核心地位城市、非资源型城市、非交通枢纽型城市以及中部地区城市表现更为显著。③机制检验表明,产业链“链长制”通过市场化效应、技术集聚效应、政策支持效应对产业链创新链协同产生影响。
(1)通过“有效市场+有为政府”的组合,充分发挥市场化效应、技术集聚效应和政策支持效应。一方面,通过有效市场激发企业创新活力和竞争力,推动企业不断优化产品结构,加强科技创新,促进产业链上下游企业之间合作交流,形成技术共享与创新的良性循环,进而推动产业链内部的创新发展和技术进步。另一方面,通过有为政府克服市场运作过程中的市场失灵、信息不对称问题。一是出台相关政策,鼓励企业通过市场化手段进行资源整合和优化配置,加大对技术创新的支持力度,为产业链创新链协同提供良好政策环境;二是以提供公共服务、基础设施建设等方式,为产业链创新链协同提供必要的支撑和保障;三是引导并支持产业链上下游企业之间开展技术交流与合作,推动产业链的技术创新和产业升级。
(2)聚焦城市资源禀赋差异,实现政策的分类施策和精准施策。城市群中级别高、核心地位城市,以及非资源型城市、非交通枢纽型城市均在产业链“链长制”下表现出显著的协同效应。应根据这些城市的特点强化产业链“链长制”,对其进行细化与再规划,制定差异化政策,提供更多的政策支持和资源倾斜,鼓励城市在产业链创新链协同方面先行先试,形成可复制、可推广的经验,推动产业链创新链协同,提升产业竞争力。
(3)聚焦城市地理区位,强化中部地区城市产业链“链长制”,助力中部崛起。研究表明,产业链“链长制”显著提升中部地区城市的产业链创新链协同。中部地区城市作为中国经济发展的重要引擎和东西部地区连接的桥梁,具有得天独厚的地理与资源优势,应利用地方特色,发挥其资源和产业优势,制定具有前瞻性的产业链规划,加强与国家层面的政策对接与协调,争取更多的政策支持和资源投入,推动产业链创新链协同向更高水平发展,助力中部崛起和经济高质量发展。
[1] 李萌.新发展格局下中国特色产业链战略: 理论与实践探索[J].重庆社会科学, 2024,42(8): 44-57.
[2] 刘志彪,孔令池.双循环格局下的链长制:地方主导型产业政策的新形态和功能探索[J].山东大学学报(哲学社会科学版),2021,71(1):110-118.
[3] 林淑君, 倪红福.中国式产业链链长制: 理论内涵与实践意义[J].云南社会科学, 2022,42(4): 90-101.
[4] 周钰丁,王孝松,蔡露露.产业链“链长制”推动地方贸易高质量发展了吗[J].国际贸易问题,2023,49(7):87-104.
[5] 孟祺.链长制与产业链韧性: 基于多期DID的实证检验[J].新疆社会科学, 2023,33(1): 55-64.
[6] 孟祺.产业政策与产业链现代化——基于“链长制” 政策的视角[J].财经科学, 2023,67(3): 93-107.
[7] 吉迎东,赵铭,赵文.基于扎根理论的产业链链主企业生态主导力评价:一个量表开发[J].科技进步与对策,2024,41(6):86-96.
[8] 吴传清, 赵豪, 时培豪.长江经济带“产业链长制” 政策演进、实践特点及其启示[J].南通大学学报(社会科学版), 2024,40(1): 58-68, 159.
[9] 曹景林, 郭熠倩, 苏淼淼.链主主导的产业链治理能够提升新质生产力吗——以战略性新兴产业上市公司为例[J].科技进步与对策, 2024, 41(22): 13-24.
[10] 王进富, 李婷婷, 张颖颖.链主企业生态主导力提升产业链韧性路径研究——以比亚迪和中国新能源汽车产业链为例[J].科技进步与对策, 2024, 41(21): 151-160.
[11] 杨浩昌,肖冲,李廉水.产业链创新链融合与绿色创新“增量提质”[J].科技进步与对策,2025,42(21):37-49.
[12] 高洪玮.推动产业链创新链融合发展: 理论内涵、现实进展与对策建议[J].当代经济管理, 2022, 44(5): 73-80.
[13] 贾卫峰,赵煜昕,刘梦.数字技术赋能产业链与创新链融合模式研究——核心—边缘理论视角[J].科技进步与对策,2025,42(19):59-69.
[14] NIE X P.Green collaborative development model and innovation of port machinery manufacturing industry and service industry[J].Journal of Coastal Research, 2020, 103(sp1): 278-283.
[15] LI Y Q,ZHAO B B,LI Y, et al.Research on volution path of innovation chain of nuclear power industry-based on innovation synergy[C].2018 International Conference on Power, Energy and Environmental Engineering(ICPEEE 2018),2018.
[16] 陈英武, 郑江淮, 王嘉杰, 等.基于技术专利视角的创新链与产业链融合发展研究[J].科技进步与对策, 2024, 41(6): 75-85.
[17] 贾卫峰, 李尚蓉, 王艺宁.产业政策视角下数字技术对产业链与创新链融合的影响[J].科技进步与对策, 2024, 41(24): 72-84.
[18] 洪银兴.围绕产业链部署创新链——论科技创新与产业创新的深度融合[J].经济理论与经济管理, 2019, 39(8): 4-10.
[19] 中国社会科学院工业经济研究所课题组.推动产业链与创新链深度融合[J].智慧中国, 2021,7(12): 20-24.
[20] 戴魁早, 黄姿, 王思曼.数字经济促进了中国服务业结构升级吗[J].数量经济技术经济研究, 2023, 40(2): 90-112.
[21] AKERLOF G A.The market for "lemons": quality uncertainty and the market mechanism[J].The Quarterly Journal of Economics, 1978, 84(3):235, 237-251.
[22] NELSON R R, WINTER S G .An evolutionary theory of economic change[M].Cambridge, MA: The Belknap Press of Harvard University Press,1982.
[23] 林毅夫.中国经验: 经济发展和转型中有效市场与有为政府缺一不可[J].行政管理改革, 2017,9(10): 12-14.
[24] 林毅夫.有为政府应做到“因势利导” 和“反弹琵琶”[J].廉政瞭望, 2020,32(14): 40-41.
[25] 崔丹, 李国平.中国三大城市群技术创新效率格局及类型研究[J].中国科学院院刊, 2022, 37(12): 1783-1795.
[26] 肖松, 邹小伟, 张永薇, 等.我国五大城市群县域科技创新效率空间分异与障碍因子分析[J].科技进步与对策, 2024, 41(12): 35-46.
[27] 李晓龙, 张子怡, 郑强.金融改革政策能否促进产业链现代化——基于国家金融综合改革试验区政策的研究[J].金融论坛, 2024, 29(3): 70-80.
[28] 孙红雪, 朱金鹤.自由贸易试验区设立能否增强中国产业链韧性——基于多种创新要素集聚的中介机制检验[J].现代经济探讨, 2023,42(11): 72-84.
[29] 王淑佳, 孔伟, 任亮, 等.国内耦合协调度模型的误区及修正[J].自然资源学报, 2021, 36(3): 793-810.
[30] 柳毅, 赵轩, 杨伟.数字经济对传统制造业产业链创新链融合的影响——基于中国省域经验的实证研究[J].浙江社会科学, 2023,39(3): 4-14, 156.
[31] 江艇.因果推断经验研究中的中介效应与调节效应[J].中国工业经济, 2022,39(5): 100-120.
[32] 张珺, 冯玲, 贺勇.政府隐性担保退出与国有非金融企业影子银行化——来自国有企业去僵尸化的证据[J].金融监管研究, 2024,13(6): 57-74.
[33] BECK T, LEVINE R, LEVKOV A.Big bad banks? the winners and losers from bank deregulation in the United States[J].The Journal of Finance, 2010, 65(5): 1637-1667.