协同创新驱动视角下产业链韧性提升的机制与路径
——基于创新型产业集群多期DID的实证研究

周 瑛1,王 倩2

(1.安徽大学 管理学院;2.安徽大学 经济学院,安徽 合肥 230601)

摘 要:在全球产业链深度重构与技术革新加剧的双重挑战下,创新型产业集群试点政策作为培育新动能的战略抓手,与产业链韧性提升的协同机制研究成为构建新发展格局的关键议题。以创新型产业集群试点政策为准自然实验,基于2010—2022年中国261个城市面板数据,从协同创新视角采用多期双重差分模型探究创新型产业集群建设对产业链韧性的影响效应及作用机制。研究发现,创新型产业集群试点政策显著提升了产业链韧性水平。机制检验表明,试点政策通过创新集聚驱动、产业集聚增效、产业结构优化、就业市场升级4条路径推动产业链韧性提高。进一步研究发现,政策效应呈现显著异质性:在常住人口100万以上的大城市、非老工业基地以及新质生产力水平较高的地区,创新型产业集群对产业链韧性的促进作用更为突出。

关键词:创新型产业集群;产业链韧性;渐进双重差分法;协同效应

Mechanisms and Pathways of Industrial Chain Resilience Transition from the Perspective of Collaborative Innovation:Evidence from Multi-period DID in Innovative Industrial Clusters

Zhou Ying1,Wang Qian2

(1.School of Management,Anhui University;2.School of Economics,Anhui University, Hefei 230601, China)

Abstract:In the context of profound adjustments in the global economic landscape and the intertwining of "de-globalization" trends, the resilience of industrial chains has become a crucial issue for coordinating development and security.The convergence of multiple risks, including Sino-U.S. trade frictions, geopolitical conflicts, great power competition, and technological blockades, has significantly heightened the threats of "disruption" and "bottlenecks" in industrial chains, further emphasizing the vulnerabilities of the traditional division of labor system.The report of the 20th National Congress clearly emphasizes that "efforts should be made to enhance the resilience and security of industrial and supply chains", considering industrial chain resilience as a key lever for building a modern industrial system.Industrial chain resilience not only addresses the practical need to withstand external shocks and ensure stable economic operation, but also acts as a strategic pivot for cultivating new productive forces, facilitating the economic circulation of major countries, and seizing the high ground of the global value chain.The enhancement of industrial chain resilience depends on the collaboration and innovation capabilities of regional industrial systems, while innovative industrial clusters function as the core carriers of regional industrial collaboration and innovation. Through the efficient integration of innovative elements and networked collaboration, they promote resource sharing and risk-sharing among enterprises, becoming a key support for enhancing industrial chain resilience.Existing studies have extensively examined innovation agglomeration and industrial clustering; however, research on innovative industrial cluster,ie.a complex entity closely related to both innovation and industrial agglomeration,remains relatively scarce.Therefore, this paper builds upon the connotation of industrial chain resilience and considers innovative industrial cluster pilot policies as quasi-natural experiments, analyzing the transmission mechanisms through which innovative industrial clusters influence industrial chain resilience.

This paper draws on panel data from 261 cities in China from 2010 to 2022 and employs a multi-period difference-in-differences model to evaluate the impact effects and mechanisms of innovative industrial cluster development on urban industrial chain resilience from the perspective of collaborative innovation.The study finds that the pilot policies for innovative industrial clusters significantly enhance the resilience level of urban industrial chains.Mechanism tests indicate that the pilot policies promote the enhancement of industrial chain resilience through four pathways: driving innovation and innovation agglomeration, optimizing industrial structure, increasing efficiency of industrial agglomeration, and upgrading the employment market.Further research finds that the policy effects exhibit significant spatial differences: in large cities with a permanent population of over one million, non-old industrial base regions, and areas with higher cultivation of new productive forces, the promotion effect of innovative industrial clusters on industrial chain resilience is more significant.

On the basis of the research findings, this paper offers the following policy recommendations:First, the government should deepen the coordinated development of innovation agglomeration and industrial clustering by promoting close integration among research institutions, universities, and industrial chain enterprises to facilitate technology spillovers and knowledge sharing, strengthen the integration of production, education, research, and application, and accelerate the transformation of innovation achievements. Second, efforts should be made to optimize and upgrade the industrial structure by supporting the development of high-tech and high value-added industries, promoting the transformation of traditional industries, and enhancing the cultivation and introduction of innovative talents to improve labor skills and innovation capabilities. Third, industrial cluster construction should be advanced in accordance with local conditions: the eastern and central regions should focus on improving cluster quality and attracting high-end talents, while the western region should develop characteristic industries aligned with local resource endowments to promote economic diversification. Finally, digital infrastructure construction should be strengthened by accelerating the deployment of 5G, industrial internet, and big data applications to enhance the digitalization level of industrial chains and improve intelligent collaboration and risk resistance capabilities.

Key WordsInnovative Industrial Clusters; Industrial Chain Resilience;DID; Synergistic Effect

收稿日期:2025-05-20

修回日期:2025-08-13

基金项目:国家社会科学基金青年项目(24CGL126)

作者简介:周瑛(1968—),女,安徽无为人,博士,安徽大学管理学院教授,研究方向为数字挖掘、信息检索可视化;王倩(1992—),女,安徽六安人,安徽大学经济学院博士研究生,研究方向为产业经济。

DOI:10.6049/kjjbydc.D62025050509

开放科学(资源服务)标识码(OSID):

中图分类号:F124

文献标识码:A

文章编号:1001-7348(2026)03-0067-11

0 引言

2025年3月,习近平主席会见国际工商界代表时指出“要共同维护全球产业链供应链稳定。这是世界经济健康发展的重要保障。”增强产业链韧性是推动经济复苏、畅通经济循环的关键支撑,更是抢占全球价值链制高点的战略支点。我国拥有完整的工业体系,产业链竞争力逐步提升。然而,我国制造业企业在核心技术创新能力方面仍显不足,高端领域芯片产业受制于人,导致长期处于全球价值链的中低端环节,制约了产业链的自主可控能力[1]。与此同时,全球格局深刻变化,大国博弈、地缘政治冲突、逆全球化浪潮及西方制造业“回流”等多重风险叠加,严重威胁中国产业链的安全稳定,产业链“断链”“卡链”风险显著上升。

产业集群作为产业经济发展的关键载体,能够放大市场竞争对生产要素的创造力,进而形成国家竞争优势[2]。然而,随着经济转型的不断深化,中国正迎来从效率驱动向创新驱动、从经济高速增长向高质量发展的关键转折点。传统的产业集群难以满足国家战略需求,培育符合国情的创新型产业集群,促进协同创新发展,不仅是推动产业链安全稳定的关键路径,也是实现经济高质量发展的必然选择。创新型产业集群的核心特征在于协同创新驱动,即依托于政府引导、区位优势以及要素禀赋,通过整合多元创新主体、优化创新资源配置、深化跨主体互动,构建具有广泛影响力的协同创新体系,减少技术创新过程中的非期望产出[3],通过延链、补链和强链显著提升产业链韧性[4]。科技部于2011年启动“创新型产业集群建设工程”,2013年制定《创新型产业集群试点认定管理办法》,同年首批认定中关村等10家试点单位,后续分三批于2014年、2017年、2022年分别认定22家、29家和46家创新型产业集群。2020年,科技部发布《关于深入推进创新型产业集群高质量发展的意见》,推动试点经验向全国复制,至此形成了107个试点单位。基于此,本文将创新型产业集群试点政策视为准自然实验,探究创新型产业集群试点政策能否提升产业链韧性,其中的影响机制是什么,又有哪些情境会对该政策的实施效果产生调节作用?厘清这些问题,不仅有助于丰富产业链韧性影响因素的理论研究,同时可为协同创新对产业经济发展的影响提供新的理论视角,对构建现代化产业链体系、推动中国产业向价值链高端攀升具有重要的理论价值和实践指导意义。

1 文献综述

1.1 创新型产业集群试点政策

产业集群作为产业升级发展的重要途径,通常指地理位置相近、具有合作关系且存在知识共享与溢出的企业形成的集聚体[2]。随着时代发展,产业集群逐渐从传统的生产型向创新型转变,创新型产业集群这一概念应运而生[3],它代表了产业集群发展的更高阶段[5]。当前关于创新型产业集群试点政策的研究尚不充分,多集中于描述其发展现状[6]、剖析其面临的挑战及提出未来发展策略[4],部分文献从宏观视角肯定了该政策对区域经济增长和技术创新能力提升的影响,如创新型产业集群试点政策显著提升了城市的全要素生产率[7]。从更前沿的视角看,该政策通过提升创新质量、促进人力资本积累及推动产业结构升级助力新质生产力提升[8]。在产业经济层面,黄宏斌等[9]指出创新型产业集群试点政策的实施,为加快建设现代化产业体系建设和增强供应链韧性提供了重要契机。在创新能力方面,该政策有效提升了国家高新区的创新效率[10],但该研究局限于高新区这一特定区域,难以全面反映整个城市的创新水平。有学者进一步指出,只有具备内生创新动力的创新型产业集群才能持续推动创新发展[11]。鉴于产业集群本质上是一种空间聚集现象,张嘉望等[12]进一步分析发现,创新型产业集群试点政策不仅对本地创新水平具有激励作用,对关联地区的创新活动也产生正向溢出效应。

1.2 产业链韧性

韧性概念源自物理学领域,意指吸收冲击并恢复原态的特质[13],后经Briguglio等[14]引入经济学领域,将韧性阐述为经济系统抵御扰动时所展现的抵抗与恢复能力。也有学者从状态的角度对产业链韧性进行解读,认为产业链韧性是指产业链从断裂中恢复到与之前相同甚至更好的状态[15]。关于产业链韧性的研究主要集中在测度及其影响因素等方面。其一,测度方面,集中于核心变量法及指标体系法。核心变量法是设置一个基准状态的变量,用该变量在面对外部冲击时的实际变动与预期变动的差值衡量韧性[16],但是该方法对基准状态的设定较为主观,影响数据的客观性。更多学者倾向于指标体系法,然而当前研究在指标选取上尚未形成统一标准。多数学者认可产业链韧性涵盖抵御力、恢复力、转型发展力等[17],张伟等[18]认为除了上述指标外,政府力量同样不可小觑,谷城等[19]则在上述研究基础上进一步考虑了可持续问题。其二,影响因素方面,现有研究主要从数字经济、创新能力与市场建设等视角探讨了产业链韧性的影响因素。①基于数字经济视角,人工智能、大数据等数字技术的应用有助于企业识别和应对风险,进而促进产业链韧性提升[20]。张超等[21]引入“宽带中国”试点政策,进一步识别了数字基础设施建设对产业链韧性的影响。②基于创新能力视角,Ozdemir等[22]发现,新冠疫情事件中,创新在重塑供应链韧性中发挥了关键作用。杨浩昌等[17]提出创新集聚不仅对本地产业链韧性具有促进作用,对邻地也存在正向溢出效应。③基于市场建设视角,宋美喆[23]认为市场一体化建设对产业链韧性有显著的促进作用,卫彦琦[24]在探究数字金融与产业链韧性的关系时发现,市场分割对其关系产生负向调节效应,因此需加快落实、推进全国统一大市场建设。

1.3 创新型产业集群与产业链韧性

目前,鲜有文献从产业集群政策视角探究其对提升产业链韧性的驱动作用。任宇新等[25]指出产业融合集群发展可以提升产业协同创新水平,强化创新生态系统的共生性,从而增强产业链韧性,其研究对象侧重于市场自发形成的新兴产业融合集群,与本文聚焦的由政府主导的创新型产业集群存在显著差异。黄宏斌等[9]则关注创新型产业集群试点政策对供应链韧性的影响,但其研究重点在于供应链韧性,与本文关注点有所不同。

上述研究取得了一定进展,但仍存在不足。一是产业链韧性的测度方法尚未达成共识,多数研究认为产业链韧性应包含抵御力、恢复力及转型发展力3个方面。然而产业链韧性不仅体现为产业链在遭遇外部冲击后能够有效应对、适应并恢复稳定状态的能力,更强调其在此基础上超越原有水平、推动可持续发展的核心竞争力提升。二是现有文献多聚焦于自发形成的产业集群,对政府主导的创新型产业集群试点政策的关注则相对匮乏,特别是针对该政策与产业链韧性之间关系的实证研究更为稀缺。本文的边际贡献在于:①构建涵盖抗干扰力、修复力、转型发展力及核心竞争力的产业链韧性综合测度指标体系,以期进一步丰富和完善产业链韧性测度的相关研究。②聚焦政府主导的创新型产业集群建设,突破传统宏观或微观视角,将政府作用延伸至产业集群的中观领域,探讨创新型产业集群如何通过协同创新促进产业链韧性提升,拓展该领域的实证研究视角。③基于创新集聚、产业集聚、产业结构及就业市场等多个视角,结合城市规模、产业禀赋及新质生产力3个层面,深入剖析创新型产业集群对产业链韧性的作用机制,旨在为不同区域提升产业链韧性提供精准的政策靶向。研究丰富了创新型产业集群政策的经济后果成果,也为推动产业链韧性建设、促进经济高质量发展提供了理论支撑和实践指导。

2 理论分析与研究假设

2.1 创新型产业集群对产业链韧性的直接影响

从演化韧性理论的视角出发,塑造产业链韧性的核心在于提升抗干扰能力,实现自主修复,并在此基础上推动产业链转型升级[14]。创新型产业集群试点政策通过构建企业、高校、科研机构的协同创新生态,依托知识共享、资源共配、风险共担机制,从以下4个维度塑造产业链韧性:其一,协同创新网络强化抗干扰力。一方面,集群内不同产业对外部冲击的敏感度存在差异。当单一产业或环节受冲击时,可以通过协同创新网络进行资源调配、技术互补以降低冲击传导,有效避免整体经济剧烈波动,提高产业链的抗干扰能力(肖兴志和李少林,2022)。另一方面,依据规模经济理论,创新型产业集群通过推动要素集聚实现规模经济效应[26]。这种规模效应不仅可以通过协同创新机制共享研发平台、联合攻关降低成本,还可以通过知识溢出加速技术迭代,提升产业结构的灵活性和适应性,强化抗干扰能力。其二,数字化协同提升修复力。创新型产业集群以协同创新为纽带,整合大数据等新质生产要素,推动资源配置从单纯的物理集中转向基于算法优化的智能协同[27]。这一转变可以放大传统集聚的正外部性,并通过数字化协同平台突破企业边界限制,促进产业链条中的专业化分工,提升各环节响应速度与抗风险冗余度,实现创新主体的高水平协同,进而显著增强产业的修复能力[28]。其三,绿色协同创新赋能转型发展力。创新型产业集群根植于协同创新驱动发展的战略背景,以“双碳”目标为导向,依托产学研协同突破新能源、新材料等领域的关键技术,通过绿色技术联合攻关、跨主体标准共建等协同创新模式,推动产业链从粗放型向集约型转型,实现经济效益与环境可持续的动态平衡,增强产业链应对外部环境变化的适应能力,保障产业链的稳定发展与韧性提升[8]。其四,协同创新驱动核心竞争力。创新型产业集群依托国家高新区“硬”基础设施与协同创新“软”机制,形成人才、技术与资本的集聚效应,通过联合研发、人才双聘等协同创新模式促进企业的快速学习和能力提升[9],加速关键核心技术突破,有效推动优势产业延链和传统产业升链,形成产业链核心竞争力[17]。基于此,提出以下假设:

H1:创新型产业集群试点政策能够提升产业链韧性。

2.2 创新型产业集群影响产业链韧性的路径

2.2.1 创新集聚驱动

在实际经济活动中创新并非孤立存在,而是呈现出显著空间集聚特征[17]。创新型产业集群可以发挥资源集聚效应,促进创新人才、资金和技术的集聚(杨博旭等,2020),并通过协同网络推动资源要素流动。创新人才方面,集群依托政府支持建立完善的人才引进与激励机制,吸引大量高素质创新人才集聚,为创新活动提供坚实的智力支撑和人才保障。创新资金方面,集群通过吸引风险投资、政府创新基金以及金融机构的支持,形成多元化的资金供给体系,推动创新资金集聚,为企业研发和技术创新提供充足的财务支持。创新技术方面,集群通过科研机构在空间的集聚和协同合作促进技术溢出效应产生,推动技术创新集聚。集群通过创新人才、资金、技术集聚和频繁流动构建创新生态系统[29],强化创新集聚效应。

创新集聚作为创新的空间载体,能够增强知识与技术溢出效应,推动新知识、新技术在产业链上下游快速传播与应用。这种溢出效应不仅缩小了产业链内部的技术差距,提升了整体创新能力,还促进短板产业的补链和优势产业的延链,推动企业技术升级和关键核心技术突破,增强产业链的适应性和恢复力[17]。此外,创新集聚打破了创新主体之间的壁垒,通过优化创新要素配置促进高水平的协同创新,推动产业链中的企业专业化分工和多元化布局。这不仅能有效避免产业同质化和资源低效利用,还实现了风险分散,从而增强产业链面对外部冲击时的抵御力和恢复力[30]

2.2.2 产业集聚增效

创新型产业集群作为一种混合式组织发展模式,其发展动力不仅源自市场,更依赖于政府针对性调控,由此共同塑造了产业集聚的具体形态(唐晓华和王丹,2005)。这种集聚形态通过要素集中实现规模效应,并借助各主体间的协同合作形成网络效应。具体而言,依据马歇尔的外部规模经济理论,企业在选址时通常结合行业特性及要素需求,倾向于选择行业集聚区,以充分利用产业集群带来的规模经济优势[27]。产业集群通过汇聚高素质人才、资金支持以及设施共享等优势,推动生产规模扩张,进而实现产业集聚的自我强化与动态升级。与此同时,网络效应体现在集群内主体通过构建紧密的协同网络,实现资源共享与协同创新。随着参与主体数量增加和互动频率提升,集群内的知识流动与技术扩散效率显著提升,进而增强整体创新能力和吸引力,形成独特的竞争优势,这种正向反馈机制将进一步推动产业集聚向更高层次发展[4]

产业集聚的核心在于通过地理空间的集聚构建更具弹性的生产网络,这正是增强产业链韧性的关键路径[31]。产业集聚促进企业间频繁的技术交流和人力资本流动,由此推动创新成果快速扩散,增强产业链对外部冲击的响应能力。同时,产业集群构建的专业化分工网络,能够使局部中断通过节点替代得到缓冲,降低整体系统的脆弱性。集群内企业间的紧密合作与资源共享,可以通过多层级协同实现资源高效配置。当产业链遭遇外部冲击时,企业能够迅速调整生产和供应策略,实现功能代偿[32]

2.2.3 产业结构优化

创新型产业集群的核心目标在于以科技创新为引擎,推动产业集群从依赖低成本驱动向创新驱动转变,进而促进产业结构优化升级[8]。这一过程与熊彼特的创造性破坏理论相呼应,体现了新生产要素组合对旧产业结构的替代。集群内高素质人才、先进技术和资本聚集,依托于协同网络打破传统技术路径依赖,推动传统产业向技术和知识密集型产业升级换代,推动行业的结构性变革。此外,产业集群通过强化产业链上下游协同与专业化分工,推动产业链条的网络化和模块化重构,实现产业结构系统性优化与升级[33]。完善的政策支持也为产业结构转型营造了良好的制度环境,有效降低转型成本与风险,通过引发“羊群效应”激发企业的转型动力[8]。由此低效的旧模式逐渐被淘汰,新的、更高效的产业模式得以涌现。

创新型产业集群通过促进产业结构优化重塑产业链韧性支撑体系。产业结构优化具体表现为技术密集型企业的比例提升以及组织结构的网络化与模块化转型。技术密集型企业的高增值和创新能力,能够为产业链应对外部冲击提供有效缓冲。网络化结构促进企业间的信息共享与协同创新,增强了整体协作效率。模块化设计使得各环节相对独立运作,降低了单点故障对整个系统的影响,提升了产业链的灵活性和稳定性。此外,产业结构的优化赋予了集群更强的动态调整能力,使其能够快速响应市场和环境变化[23],保障产业链核心功能稳定运行,形成可持续的内生发展路径,从而显著增强产业链韧性[4]

2.2.4 就业市场升级

创新型产业集群的地理集聚特征有助于形成专业化人才池,吸引高技能劳动力聚集,由此带来的高效率和竞争力推动低端岗位向外转移[4]。集群内部构建的技术联盟与产学研网络也提升了对高素质劳动力的需求,推动劳动者技能快速迭代,强化学习效应[9],优化整体就业结构。在就业规模方面,创新型产业集群的形成通常伴随着基础设施完善和政策支持,能够吸引大量企业和投资者入驻,市场对劳动力的需求显著提升。集群环境也为创业活动提供了良好土壤,激励新兴企业不断涌现。这些新兴企业不仅推动了创新产品和服务的开发,还创造了更多就业机会,有效扩大了就业规模。

优化就业结构、实现充分就业为产业链稳定运行提供了坚实的人才资本保障[26]。创新型产业集群通过优化就业结构,培养与合理配置高素质劳动力,不仅能够提升生产效率和创新能力,还能增强企业应对市场波动时的抗干扰能力。系统化的技能培训使劳动力具备更强适应性和创新能力,推动产业链各环节实现高质量发展;充分的就业市场提升了居民消费能力,激发企业加大研发投入以满足日益变化的市场需求。这种良性循环不仅提升了产品和服务质量,也增强了企业的创新修复力[34]。因此坚持就业优先的方针,确保高素质劳动力持续供给,对提升产业链韧性具有重要意义。基于此,提出以下假设:

H2:创新型产业集群试点政策通过创新集聚驱动、产业集聚增效、产业结构优化、就业市场升级提升产业链韧性。

本文构建创新型产业集群试点政策影响产业链韧性的理论框架,如图1所示。

图1 创新型产业集群试点政策影响产业链韧性的理论框架
Fig.1 Theoretical framework of the impact of innovative industrial clusters on industrial chain resilience

3 研究设计

3.1 变量及测量方法

(1)被解释变量:产业链韧性。产业链韧性不仅包含产业链在外部冲击下是否断裂,更强调其在遭受冲击后的完整动态过程:从应对与适应冲击,到恢复至冲击前状态,进而实现对原有水平的超越、推动可持续发展。本文借鉴现有文献[19],从产业结构的抗干扰力、修复力、转型发展力及核心竞争力4个方面入手,构建了包含12个二级指标的产业链韧性评价指标体系,见表1。随后采用熵权法进行综合加权,生成产业链韧性指数。①抗干扰力指产业链在面对外部扰动时的抵御能力。为提升抗干扰力,需加强人才支撑并突破核心技术,故选取人力资本、创新投入、创新产出、产业结构4个指标。②修复力体现在产业链遭受外部冲击后的自我修复水平,选取金融发展、政府调控及产业效益3个指标。③转型发展力侧重于产业链绿色发展潜力。韧性理论也指出,系统的持续发展与演化进步是韧性的重要构成部分,因此选取污染排放、绿色治理和绿色化生产3个指标。④核心竞争力通过释放产业发展新动能,提升产业链竞争力,进而增强其韧性。故选取数字化发展和高端引领2个指标。

表1 产业链韧性测度体系指标
Table 1 Measurement system indicators for industrial chain resilience

一级指标二级指标三级指标 指标属性抗干扰力 人力资本 就业人员平均受教育年限+普通高等学校数量+创新投入 战略性新兴行业从业人数+科学支出占地方财政支出的比重+创新产出 当年申请的发明专利数量+当年申请的实用新型专利数量+产业结构 产业集聚度(HHI)-规模以上企业数量+修复力 政府调控 人均财政支出+金融发展 金融业从业人员数量+产业效益 规模以上工业企业总资产利润率+规模以上工业企业营业收入利润率+转型发展力污染排放 工业废水排放量-工业二氧化硫排放量-绿色治理 环境污染治理投资+绿色化生产当年申请的绿色发明专利数量+当年申请的绿色实用新型专利数量+核心竞争力数字化发展每百人使用计算机台数+有无数据交易平台+电子商务销售额占GDP比重+高端引领 高技术产业主营业务收入+战略性新兴产业主营业务收入+人工智能企业数量+

(2)核心解释变量:创新型产业集群试点政策。根据城市是否设立创新型产业集群试点设定虚拟变量treat。对于设立创新型产业集群的城市变量取值为1,标识为实验组。尚未设立创新型产业集群的城市变量取值为0,标识为对照组。同时引入时间虚拟变量post,在设立试点的当年及其后的年份取值设为1,其他年份则设为0。由此生成城市虚拟变量和时间虚拟变量的交互项treat×post

(3)中介变量。①创新集聚,引入单位面积的专利授权数刻画[17]。②产业集聚运用区位熵指数进行测算,通过比较区域特定产业占比与全国平均水平,有效识别区域专业化优势及集聚程度[35]。③产业结构优化采用高级化指数表征,以第三产业与第二产业增加值之比作为核心度量指标[36]。④就业效应,选取从业人员与年末总人口的比值表征就业规模,选取第三产业从业人员与年末总人口的比值表征就业结构[37]

(4)控制变量。借鉴已有文献引入以下控制变量[19,23,31]:①经济发展水平,以人均地区生产总值衡量。②人口密度,以人口数量与行政区域面积的比值表征。③对外开放程度,以进出口贸易总额占GDP的比重衡量。④环境规制力度,采用工业污染治理投资额表征。⑤金融发展水平,以金融机构贷款余额与GDP的比值表征。

3.2 模型设定

本文将创新型产业集群试点政策视为一项准自然实验,被纳入试点的城市视为处理组,未被纳入试点的城市视为对照组,选取双重差分模型评估创新型产业集群试点政策对产业链韧性水平的影响。鉴于创新型产业集群是分批逐步设立,构建如下渐进双重差分模型:

(1)

其中,i表示城市,t表示年份。被解释变量icr表示产业链韧性,解释变量treatit×postit表示试点政策,是试点城市和时间的交互项。若城市i在第t年设立创新型产业集群,则treatit×postit为1,反之则为0。α1度量创新产业集群试点政策对产业链韧性的效应。α0为截距项,Z表示一系列控制变量,μ表示个体固定效应,γ表示时间固定效应,ε为随机扰动项。

为检验创新集聚、产业集聚、产业结构优化和就业效应在创新型产业集群试点政策与产业链韧性的关系中的传导机制,构建如下模型进行检验:

(2)

(3)

其中,media是机制变量,其他变量含义与式(1)相同。若β1显著,表示创新型产业集群试点政策能够影响机制变量。在此基础上,若η1η2同时显著,说明机制变量在创新型产业集群试点政策与产业链之间发挥部分中介作用。若η2显著,但η1不显著,则表明机制变量发挥完全中介作用。

3.3 数据来源

本文以261个城市为研究样本,将拥有创新型产业集群的55个城市作为处理组,其余城市为控制组。样本期为2010-2022年。创新型产业集群试点名单来自科技部火炬高技术产业开发中心官网。其他数据来源于《中国统计年鉴》《中国城市统计年鉴》《中国科技统计年鉴》及国家统计局的公开数据等,个别年份缺失的数据采用线性插补法予以填补。表2为主要变量的描述性统计结果。

表2 主要变量描述性统计结果(N=3 393)
Table 2 Results of descriptive statistics for the main variables(N=3 393)

变量名称 变量符号 均值标准差最小值最大值创新型产业集群试点政策treat×post0.1150.3190.0001.000产业链韧性icr0.0280.0390.0030.624经济发展水平gdp10.7190.5479.26011.906人口密度pop5.7270.9590.7687.882对外开放程度open0.1870.2980.0202.491环境规制力度enregu0.4261.0950.00717.916金融发展水平fds0.6980.3330.0606.205创新集聚inna0.1500.3340.1526.659产业集聚inda3.4911.1910.7437.854产业结构优化iso1.1520.6200.0169.196就业规模esc3.5940.7880.8645.389就业结构est0.0640.0380.0230.214

4 实证结果与分析

4.1 基准回归

表3基于全样本实证检验创新型产业集群试点政策对产业链韧性的影响效应。列(1)~(4)逐步引入固定效应和控制变量,以提升估计结果的稳健性。结果显示,创新型产业集群的回归系数均在1%水平上显著为正,初步验证了假设H1,即创新型产业集群试点政策的构建有助于增强产业链韧性。

表3 基准回归结果
Table 3 Baseline regression results

变量(1)(2)(3)(4)treat×post0.050***0.022***0.018***0.013***(0.004)(0.003)(0.003)(0.003)gdp0.014***0.013***(0.001)(0.002)pop0.0010.001(0.000)(0.002)open0.022***-0.040***(0.003)(0.009)enregu0.017***0.025***(0.001)(0.003)fds0.003**0.001***(0.001)(0.001)cons0.023***-0.094***0.027***-0.078***(0.001)(0.006)(0.001)(0.017)N3 3933 3933 3933 393R20.1410.5910.6940.730个体/时间固定效应否否是是

注:*、**、***分别表示估计系数在10%、5%、1%水平上显著,括号内为稳健标准误,下同

4.2 平行趋势检验

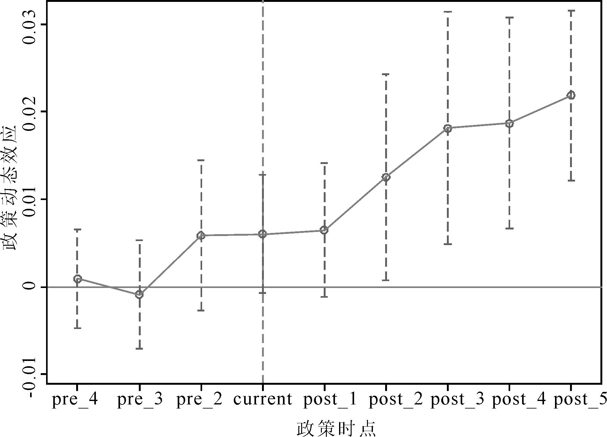
为检验创新型产业集群试点政策对产业链韧性的影响是否存在内生性偏误,本文进行了平行趋势检验。图2展示了政策实施前后产业链韧性的变化趋势:在政策干预前,试点城市与非试点城市的产业链韧性变化趋势基本一致,符合平行趋势假设。政策干预之后,试点城市的产业链韧性增长趋势明显高于非试点城市,充分反映了创新型产业集群试点政策对产业链韧性的积极效应,并呈现持续强化特征。然而该政策效应存在时滞性,可能的原因在于创新型产业集群的形成和发展通常需要时间积累资源和建立合作关系。随着时间推移,产业链韧性将在持续的市场反馈中逐步提升。

图2 平行趋势检验结果
Fig.2 Parallel trend test results

4.3 内生性检验:工具变量估计

为克服潜在的内生性问题,本文选取民国时期铁路开通作为工具变量[38]。该指标可以改善区域的交通基础设施,极大提升区域连通性。这种便利的交通条件为产业集群的形成提供了必要基础,吸引了大量相关产业和创新主体在铁路沿线聚集,因此与创新型产业集群之间存在一定的正向关联。在外生性方面,民国时期铁路的开通作为一个历史事件,主要是基于当时的政治、军事和经济战略需要,与当代产业链韧性无直接理论关联,因此可认定为外生。表4列(1)(2)报告了回归结果:列(1)中工具变量与创新型产业集群在1%水平上显著正相关,验证了工具变量的相关性要求。列(2)的回归分析结果显示,创新型产业集群与产业链韧性间依然保持显著的正相关关系。LM统计量的P值为0.000,显著拒绝“工具变量识别不足”的原假设。Wald F统计量超出了弱识别检验10%水平的临界值,表明工具变量通过弱识别检验。

表4 内生性检验结果
Table 4 Endogeneity test results

变量民国铁路开通第一阶段第二阶段(1)(2)iv0.015***(0.002)treat×post0.108***(0.020)LM统计量55.592***Wald F统计量 51.871 {16.38}控制变量是是个体/时间固定效应是是

注:{}内为Stock-Yogo检验的临界值

4.4 稳健性检验

4.4.1 安慰剂检验

本文从261个城市中随机抽取部分城市作为虚假试点城市,并随机生成政策冲击时点,从而构建“伪创新型产业集群”变量。随后,将其代入式(1)进行参数估计。上述过程通过蒙特卡洛检验重复1 000次,结果如图3所示:估计系数均呈现出以零值为中心的正态分布特征,P值大多数超过0.1,真实回归系数几乎未与模拟系数相交。这表明依据虚构事实构建的伪创新型产业集群政策未能产生产业链韧性提升的效应,从而验证了本文的实际估计结果具备稳健性。

图3 安慰剂检验结果
Fig.3 Placebo test results

4.4.2 PSM-DID

为了应对选择性偏差问题,本文构建倾向得分匹配双重差分模型,使准自然实验近似随机实验。以基准回归控制变量集作为协变量,采用逐期Logit模型估计倾向得分,同步实施卡尺半径匹配与一对一近邻匹配,继而基于匹配样本池实施双重差分估计。表5列(1)(2)显示,创新产业集群试点政策与产业链韧性仍存在显著正相关关系。

表5 稳健性检验结果(一)
Table 5 Robustness test results (1)

变量 卡尺匹配一对一近邻匹配剔除中心城市高维固定极端值处理(1)(2)(3)(4)(5)treat×post0.012***0.012***0.013***0.008*0.011***(0.003)(0.003)(0.003)(0.005)(0.003)N2 9932 9903 2763 3283 393R20.7340.7390.6100.6010.736省份*年份固定是控制变量是是是是是个体/时间固定效应是是是是是

4.4.3 其他稳健性检验

第一,剔除中心城市。排除具有特定要素集聚优势的中心城市,提升本文结论在普通城市层面的有效性。第二,高维固定效应。在双重固定基础上进一步纳入省份与时间交互固定效应。第三,极端值处理。对所有连续变量进行上下1%的缩尾处理。第四,考虑政策延续性。为排除滞后效应的影响,将被解释变量滞后一期和两期分别进行回归。第五,剔除其他政策干扰。鉴于“智慧城市”“宽带中国”“国家级大数据综合试验区”等政策可能亦对产业链韧性产生效应,将上述3项政策转化为虚拟变量纳入模型中,以剥离政策净效应。回归结果见表5列(3)~(5)以及表6:创新型产业集群试点政策的系数均显著为正,表明试点政策对产业链韧性正向影响的核心假设依旧成立,验证了假设H1的稳健性。

表6 稳健性检验结果(二)
Table 6 Robustness test results (2)

变量 政策延续性(1)(2)剔除其他政策干扰(3)(4)(5)treat×post0.012***0.013***0.013***0.012***0.013***(0.003)(0.004)(0.003)(0.003)(0.003)智慧城市-0.001(0.001)宽带中国0.007(0.001)国家大数据0.004***(0.002)N3 1322 8713 3933 3933 393R20.7340.7380.7300.7320.730控制变量是是是是是个体/时间固定效应是是是是是

4.5 影响机制检验

为验证机制变量在创新型产业集群试点政策与产业链韧性之间的传导作用,采用式(2)(3)的模型进行检验,检验结果如表7所示。列(1)表明,创新型产业集群试点政策对创新集聚影响的估计系数显著为正。进一步地,列(2)显示创新型产业集群试点政策和创新集聚的估计系数均显著为正,表明创新型产业集群试点政策通过提升创新集聚而增强产业链韧性。基本逻辑在于,创新型产业集群试点政策通过优化产业结构和完善创新生态,吸引高素质人才、研发机构及资本等创新要素集聚,提升协同创新和资源配置效率,强化知识共享和协同合作,从而显著提升产业链韧性。列(3)表明,创新型产业集群试点政策对产业集聚的优化作用显著为正;列(4)显示创新型产业集群试点政策和产业集聚的估计系数均显著为正,表明创新型产业集群试点政策通过促进产业集聚而提升产业链韧性。原因在于创新型产业集群试点政策可以吸引大量上下游企业及配套机构在地理空间上集中布局,形成产业集聚,进而增强企业间的协同创新和资源共享能力,实现生产要素的高效配置,从而提升产业链韧性。列(5)表明创新型产业集群试点政策显著促进产业结构的优化转型;列(6)显示创新型产业集群试点政策和产业结构优化的估计系数均显著为正,表明创新型产业集群试点政策通过推动产业结构优化进而提升产业链韧性。创新型产业集群试点政策可以推动产业结构向高附加值、高技术含量方向转型,提升产品的市场竞争力,增强产业链抵御外部冲击的能力。列(7)(8)的回归结果显示,创新型产业集群试点政策对就业规模的影响不显著、对就业结构的优化效应显著。这表明创新型产业集群试点政策可以优化人才结构,而非简单地扩大就业规模。进一步地,列(9)显示创新型产业集群试点政策和就业结构的估计系数均显著为正,表明创新型产业集群试点政策可以通过优化就业结构提升劳动力质量,增强产业链应对冲击的能力和灵活性,从而提升其韧性。然而,鉴于集群多聚集高科技产业,更偏向于优化人才配置而非扩大就业规模,且规模效应通常在中长期内显现,故该政策在短期内难以对就业规模产生显著影响。

表7 机制检验结果
Table 7 Mechanism test results

变量 创新集聚innaicr(1)(2)产业集聚indaicr(3)(4)产业结构优化isoicr(5)(6)就业规模esc(7)就业结构esticr(8)(9)treat×post0.138***0.008**0.051***0.013***0.092***0.013***-0.0010.004***0.012***(0.016)(0.004)(0.018)(0.003)(0.018)(0.003)(0.020)(0.001)(0.003)inna0.037**(0.019)inda0.008***(0.002)iso0.002**(0.001)est0.180***(0.060)cons-0.652***-0.054***0.641***-0.084***-5.336***-0.068***1.031***0.024-0.082***(0.138)(0.017)(0.187)(0.017)(0.610)(0.018)(0.148)(0.018)(0.018)R20.7460.7500.9740.7310.7810.7300.9330.8810.732控制变量是是是是是是是是是个体/时间固定效应是是是是是是是是是

综上,创新型产业集群试点政策通过促进创新集聚、加快产业集聚、推动产业结构优化及就业市场升级,有效地增强产业链韧性,H2得以验证。

4.6 异质性分析

4.6.1 城市规模

根据《国务院关于调整城市规模划分标准的通知》,将常住人口100万以上的城市界定为大城市,100万以下的界定为小城市,并进行分组检验。检验结果如表8列(1)(2)所示:大城市创新型产业集群试点政策对产业链韧性的影响显著为正,小城市则不显著。大城市的优势主要体现在其庞大的经济规模能够使集群充分发挥规模经济和集聚效应,促进资源高效配置和知识溢出,进而增强产业链的适应性。同时,丰富的人力资本和完善的科研机构能够为创新型产业集群提供强有力的智力支持。相比之下,小城市因人口规模和经济体量有限,难以形成规模经济和集聚效应。创新资源和高素质人才相对匮乏,创新平台建设不足,导致整体创新能力受限,由此制约了创新型产业集群试点政策在小城市的有效实施。

表8 异质性分析结果
Table 8 Heterogeneity analysis results

变量 城市规模大小(1)(2)老工业基地是否(3)(4)新质生产力水平低高(5)(6)treat×post0.008**0.0020.0010.018***0.0040.007**(0.004)(0.001)(0.001)(0.004)(0.003)(0.03)cons-0.077*-0.031**-0.088***-0.039-0.034**-0.077(0.041)(0.013)(0.018)(0.025)(0.013)(0.0049)N1 3002 0931 1442 2491 7031 690R20.7210.5260.6410.7370.2780.713控制变量是是是是是是个体/时间固定效应是是是是是是

4.6.2 老工业基地

由于特定历史时期经济体制制度惯性和技术路径依赖,形成了老工业基地与非老工业基地之间的差异特征。本文将研究样本划分为老工业基地和非老工业基地,检验结果如表8列(3)(4)所示:创新型产业集群试点政策对产业链韧性的提升作用在非老工业基地城市显著,在老工业基地不显著。一方面,老工业基地长期受传统发展模式影响,形成以重工业为主导的相对固化的产业结构,企业因沉没成本的存在倾向于通过扩大产能而非创新驱动应对市场波动,致使创新型产业集群政策难以发挥预期效应。另一方面,非老工业基地经济结构更加多元和灵活,具备更强创新动力与适应能力,为创新型产业集群的形成和发展提供了良好土壤。该区域产业组织呈现网络化特征,更容易实现资源共享和协同创新,提升产业链韧性。

4.6.3 新质生产力水平

新质生产力作为以创新为核心的新型生产要素组合,对产业链韧性产生深远影响。本文依据新质生产力均值将样本划分为低、高新质生产力区域,进而进行分组估计。表8列(5)(6)报告了估计结果:在新质生产力水平较低地区,创新型产业集群试点政策对产业链韧性的提升效果不显著。而在新质生产力水平较高地区,试点政策能显著促进产业链韧性。原因在于,新质生产力水平较低区域技术创新能力和知识积累相对薄弱,导致创新型产业集群的技术溢出效应难以被本地企业有效吸收和转化,故而形成技术悬浮现象,限制了其应对市场波动和外部冲击的能力。新质生产力水平较高区域企业具备雄厚的技术基础和丰富的创新资源,能够迅速吸收和应用集群中的前沿技术,增强产业链的动态调整能力和抗风险能力,因而较高水平新质生产力区域创新型产业集群政策效果显著。

5 结语

5.1 研究结论

随着全球化的深入发展和技术革新的加速,产业链已成为连接全球生产、消费和贸易的关键网络,其韧性直接关系到国家经济的稳定与可持续发展。政府推动建设以协同创新为驱动的创新型产业集群,已成为提升产业链韧性的重要途径。本文基于产业结构抗干扰力、修复力、转型发展力及核心竞争力4个维度,构建产业链韧性的评价指标体系,并采用双重差分法实证分析创新型产业集群对产业链韧性的影响,得出以下主要结论:①创新型产业集群试点政策显著促进了产业链韧性的提升,这一结论经多种稳健性检验后依然成立。②创新型产业集群试点政策通过促进创新集聚、加快产业集聚、推动产业结构优化转型及升级就业市场,有效增强产业链韧性。鉴于该集群多聚集高科技产业,更偏向于优化人才结构而非扩大就业规模,因此在短期内难以对就业规模产生显著影响。③创新型产业集群试点政策对产业链韧性的影响因城市规模、产业结构禀赋及经济水平的差异而存在显著差别,具体表现为:大城市、非老工业基地以及新质生产力水平较高地区,创新型产业集群试点政策对产业链韧性的促进作用更为显著。

5.2 政策建议

(1)加大创新型产业集群建设的支持力度。建议政府统筹规划试点布局,避免资源分散与重复建设。在建设过程中注重正式制度和非正式制度有机结合,一方面通过完善地区法治环境、制度保障等正式制度,为产业集群发展提供有效支撑;另一方面充分发挥社会信任、地区文化等非正式制度的积极作用,激发企业创新活力,提升地区经济实力,强化产业链韧性。对于企业而言,充分利用产业集群带来的规模效应和协同资源,构建符合自身发展需求的系统网络,突破技术创新瓶颈,实现协同创新。

(2)探索创新型产业集群促进产业链韧性的多维路径。其一,强化创新集聚,积极推动研发机构、高校等与上下游企业深度融合,促进技术溢出和知识共享,构建开放协同的创新生态。其二,加快产业集聚,科学规划产业空间布局,优化产业链上下游企业的地理分布。加强基础设施建设,吸引优质企业集聚,促进规模效应和网络效应。其三,推动产业结构优化转型,重点支持高技术、高附加值产业发展,促进传统产业技术升级,推动产业链向高端化、智能化方向演进。加强核心技术攻关,完善产业链关键环节的技术支撑体系,增强产业链的内生动力和持续发展能力。其四,升级就业市场,注重创新人才的培养与引进,完善人才激励机制,提升劳动力的技能水平和创新能力,支持高技能人才在关键环节发挥核心作用。

(3)因地制宜推进创新型产业集群建设。结合本地的产业基础、创新能力和经济发展水平,精准定位产业集群发展方向,避免“一刀切”式的政策推广。对于规模较大的城市,聚焦提升创新型产业集群的质量,通过优化政策环境吸引创新型企业和高端人才,形成强有力的产业聚集效应。对于规模较小的城市重点发展符合当地资源禀赋的特色产业群,利用财政补贴、招商引资等政策工具,鼓励具有地方特色的企业入驻,推动经济多元化和可持续发展。

参考文献:

[1] 张超,毛艳华.数字产业化能否增强城市产业链韧性 [J].现代经济探讨, 2024,43(6):105-112.

[2] PORTER M E.The competitive advantage of nations[M]. London: Macmillan, 1990.

[3] VOYER R.Knowledge-based industrial clustering: international comparisons[M].Boston,MA:Springer US,1998:81-110.

[4] 李金华. 我国创新型产业集群的分布及其培育策略[J]. 改革, 2020,33(3): 98-110.

[5] LYNN M,FULVIA F.Local clusters,innovation systems and sustained compositeness[R].The United Nations:The Unite University,1998.

[6] 沈小平,李传福.创新型产业集群形成的影响因素与作用机制[J].科技管理研究,2014,34(14):144-148.

[7] 刘军,郭立宏,张武康.创新型产业集群对城市全要素生产率的影响研究[J].科研管理,2024,45(5):105-113.

[8] 李晓龙,魏启帆.创新型产业集群何以提升新质生产力 ——来自准自然实验的经验证据[J].南京财经大学学报,2025, 43(1):12-22.

[9] 黄宏斌,张玥杨,李圆圆.创新型产业集群试点政策能否提升供应链韧性[J].经济与管理研究,2024,45(9):39-60.

[10] 张冀新,李燕红.创新型产业集群是否提升了国家高新区创新效率[J].技术经济,2019,38(10):112-117,127.

[11] MCCORMICK D. African enterprise clusters and industrialization: theory and reality[J]. World Development, 1999, 27(9): 1531-1551.

[12] 张嘉望,李博阳,彭晖.国家高新区“以集群促发展” 政策是否提升了城市创新水平——兼论创新集群“中心—外围” 结构的技术互补效应[J].经济学家,2023,35(11):79-88.

[13] ROSE A. Economic resilience to natural and man-made disasters: multidisciplinary origins and contextual dimensions[J]. Environmental Hazards, 2007, 7(4): 383-398.

[14] BRIGUGLIO L, CORDINA G, FARRUGIA N, et al. Economic vulnerability and resilience: concepts and measurements[J]. Oxford Development Studies, 2009, 37(3): 229-247.

[15] TUKAMUHABWA B R, STEVENSON M, BUSBY J, et al. Supply chain resilience: definition, review and theoretical foundations for further study[J]. International Journal of Production Research, 2015, 53(18): 5592-5623.

[16] MARTIN R. Regional economic resilience, hysteresis and recessionary shocks[J]. Journal of Economic Geography, 2012, 12(1): 1-32.

[17] 杨浩昌,尹佳璇,李文学,等.创新集聚对制造业产业链韧性的影响——兼论创新多样化与专业化集聚的比较[J].科技进步与对策,2025,42(24):72-82.

[18] 张伟, 李航宇, 张婷. 中国制造业产业链韧性测度及其时空分异特征[J]. 经济地理, 2023, 43(4): 134-143.

[19] 谷城,张树山.产业链韧性水平测度、区域差异及收敛性研究[J].经济问题探索,2023,44(6):123-139.

[20] 陈晓东, 刘洋, 周柯. 数字经济提升我国产业链韧性的路径研究[J]. 经济体制改革, 2022,40(1): 95-102.

[21] 张超,胡宗光.数字基础设施建设与供应链韧性——来自“宽带中国”试点政策的证据[J].系统工程理论与实践,2025,45(12):4117-4132.

[22] OZDEMIR D,SHARMA M,DHIR A,et al.Supply chain resilience during the COVID-19 pandemic[J]. Technology in Society, 2022, 68: 101847.

[23] 宋美喆. 区域市场一体化与产业链韧性——基于“撤县设区” 改革的准自然实验[J]. 财经理论与实践, 2025, 46(1): 134-143.

[24] 卫彦琦. 数字金融对产业链韧性的影响[J]. 中国流通经济, 2023, 37(1): 71-82.

[25] 任宇新, 吴艳, 贺正楚. 产业融合集群发展对产业链韧性的影响[J]. 科学决策, 2024,31(5): 64-78.

[26] 王西贝,王群勇.产业协同集聚对区域经济增长的影响研究——基于规模效应与拥堵效应视角[J].经济评论,2023,44(2):43-58.

[27] ROMER P M.Endogenous technical change[J].Journal of Political Economy, 1990, 98(5):71-102.

[28] AGHION P,HOWITT P.A model of growth through creative destruction[J]. Econometrica,1992,60(2):323-351.

[29] 张峰,魏巍,陈嘉伟,等.区域创新生态系统能否提高产业链韧性:来自黄河流域的时空非平稳性检验[J].科技进步与对策,2024,41(16):61-71.

[30] 朱琳,董藩.创新要素与经济韧性的空间效应研究[J].科技进步与对策,2024,41(2):57-67.

[31] 贺正楚,李玉洁,吴艳.产业协同集聚、技术创新与制造业产业链韧性[J].科学学研究,2024,42(3):515-527.

[32] 陈奕玮. 产业集聚与城市经济韧性[D]. 南京: 东南大学, 2021.

[33] 周翔,孙锐.产业互联网驱动的产业集群价值共创机制研究:基于资源编排的视角[J].中国软科学,2024,39(S1):74-91.

[34] 王文举, 钱新新. 中国产业链韧性测度研究——基于外部冲击风险和效率驱动视角[J]. 数量经济技术经济研究, 2025, 42(5): 115-135.

[35] 闫中意,卜伟,王雅婧.国家级新区与城市绿色技术创新——基于产业集聚的中介效应研究[J].科学学与科学技术管理,2024,45(7):49-67.

[36] 干春晖,郑若谷,余典范.中国产业结构变迁对经济增长和波动的影响[J].经济研究,2011,46(5):4-16,31.

[37] 韩律,胡善成,吴丽芳.信息消费促进了经济高质量发展吗 ——来自国家信息消费城市试点政策的经验证据[J].经济与管理研究,2023,44(6):77-96.

[38] 章元, 刘修岩. 聚集经济与经济增长: 来自中国的经验证据[J]. 世界经济, 2008, 31(3): 60-70.

(责任编辑:梅岚峤)