Drawing on endogenous growth theory, economic complexity theory, path dependency theory, and innovation diffusion theory, this paper proposes an inverted U-shaped relationship between technological complexity and the quality of SRUI SME development. Furthermore, grounded in knowledge-based theory, this study incorporates firms' knowledge integration capabilities into the analytical framework to examine how organizational capabilities influence and reshape the relationship between technological complexity and SRUI development quality. The sample selection encompasses those featured in the five consecutive annual lists from 2019 to 2023, resulting in a robust sample of 1 738 nationally acclaimed SRUI-listed companies for the analysis. The quality of enterprise development is assessed across four key dimensions: specialization, refinement, differentiation, and innovation. Relevant data and control variables are drawn from the CSMAR and CNRDS databases. Technological complexity and knowledge integration capability are quantified using firms' IPC classification codes, with data sourced from the National Intellectual Property Administration (NIPA) and the PatSnap database.
The results indicate the following: (1) There is an inverted U-shaped relationship between technological complexity and the high-quality development of SRUI SMEs. When a firm's technological complexity remains below the threshold of 218.766, its increase significantly enhances development quality. However, surpassing this threshold may lead to capability traps, path dependence, and barriers to technology diffusion, which inhibit development quality. (2) Both the depth and breadth of firms' knowledge integration positively moderate the relationship between technological complexity and high-quality development, facilitating the achievement and amplification of the peak benefits of technological complexity. Compared to knowledge integration depth, integration breadth enables the peak positive effect of technological complexity on development quality to be achieved more quickly while significantly enhancing the maximum level of development quality. (3) The impact of technological complexity on development quality is multidimensional, exhibiting significant heterogeneity depending on firm-specific characteristics, industry attributes, and regional factors.
Building on the above findings, this study advocates for firms to optimize the allocation of technological resources, strategically enhance technological complexity, and mitigate the risks of capability traps and resource misallocation stemming from excessive complexity. Firms should systematically advance their knowledge integration capabilities. By efficiently utilizing their technological resources and established organizational practices, they can maximize the untapped value of their current technological assets. Additionally, firms are encouraged to expedite the development of digital infrastructure to strengthen their capacity for managing, organizing, and reutilizing intricate technological combinations. Moreover, governments should formulate nuanced and targeted support policies that align with firms' industry-specific attributes and regional contexts, fostering balanced and sustainable high-quality development on a national scale. This study offers critical theoretical insights into the boundary conditions for innovation and economic growth within economic systems, while also providing actionable guidance for firms in the formulation of innovation management strategies and technological policy frameworks.
我国科技发展面临地缘科技竞争加剧、创新要素配置不均衡、知识产权自主保护机制滞后、价值链攀升受阻以及产业链供应链韧性不足等多重挑战[1]。在此背景下,作为科技创新的主力军,中小企业展现出强大的活力和潜力,既是培育自主知识产权高新技术产业的重要力量,也是增强我国经济韧性的关键保障。专精特新中小企业是指在工业领域中具有专业化、精细化、特色化和新颖化特征,且创新能力强、竞争优势突出的中小企业[2]。提升专精特新中小企业创新能力与专业化水平,推进“三新一强”发展计划,推动其高质量发展,是确保国家实体经济高质量发展和现代化产业体系安全运行的关键举措[3-4]。因此,探究专精特新中小企业高质量发展的多重影响因素对于制定科学有效的政策措施、优化资源配置、提升企业竞争力以及实现产业结构升级具有重要意义。
现有研究主要从发展态势、建设路径和影响机制3个方面,探讨专精特新中小企业高质量发展。在发展态势方面,学者从政策演进[3]、政策支持、发展规模、企业分布[5]以及创新能力等维度,探讨专精特新中小企业发展演进过程。在建设路径方面,学者基于理论视角探讨现阶段专精特新中小企业高质量发展存在问题与障碍,并从体制机制、制度保障、管理模式、基础投入、营商环境以及数字赋能等维度提出建设路径与建议[3-4]。在影响机制方面,学者基于政策扶持、营商环境、数字化转型、税收优惠以及供应链金融等视角,探讨专精特新中小企业高质量发展影响机制与路径[2,6-7]。此外,部分研究基于“技术—组织—环境”(TOE)框架,从整体视角探讨多种因素对中小企业高质量发展的潜在影响[4]。相较于实践,当前专精特新中小企业发展理论研究滞后,量化研究亦显不足。特别是在影响机制方面,现有文献大多探讨促进专精特新中小企业高质量发展的外部因素,而对企业技术能力关注不足,也较少关注企业知识基础与知识整合能力在推动企业发展过程中的作用。技术能力是企业通过内部创造积累并用于开发、改进产品和工艺的科技知识储备,是其保持竞争优势、实现绩效赶超和高质量发展的关键因素[8]。技术复杂度与技术知识整合能力是企业技术能力特征的重要体现。探究上述特征如何系统性地作用于企业发展过程,对于揭示专精特新中小企业如何通过技术能力推动高质量发展具有重要意义。
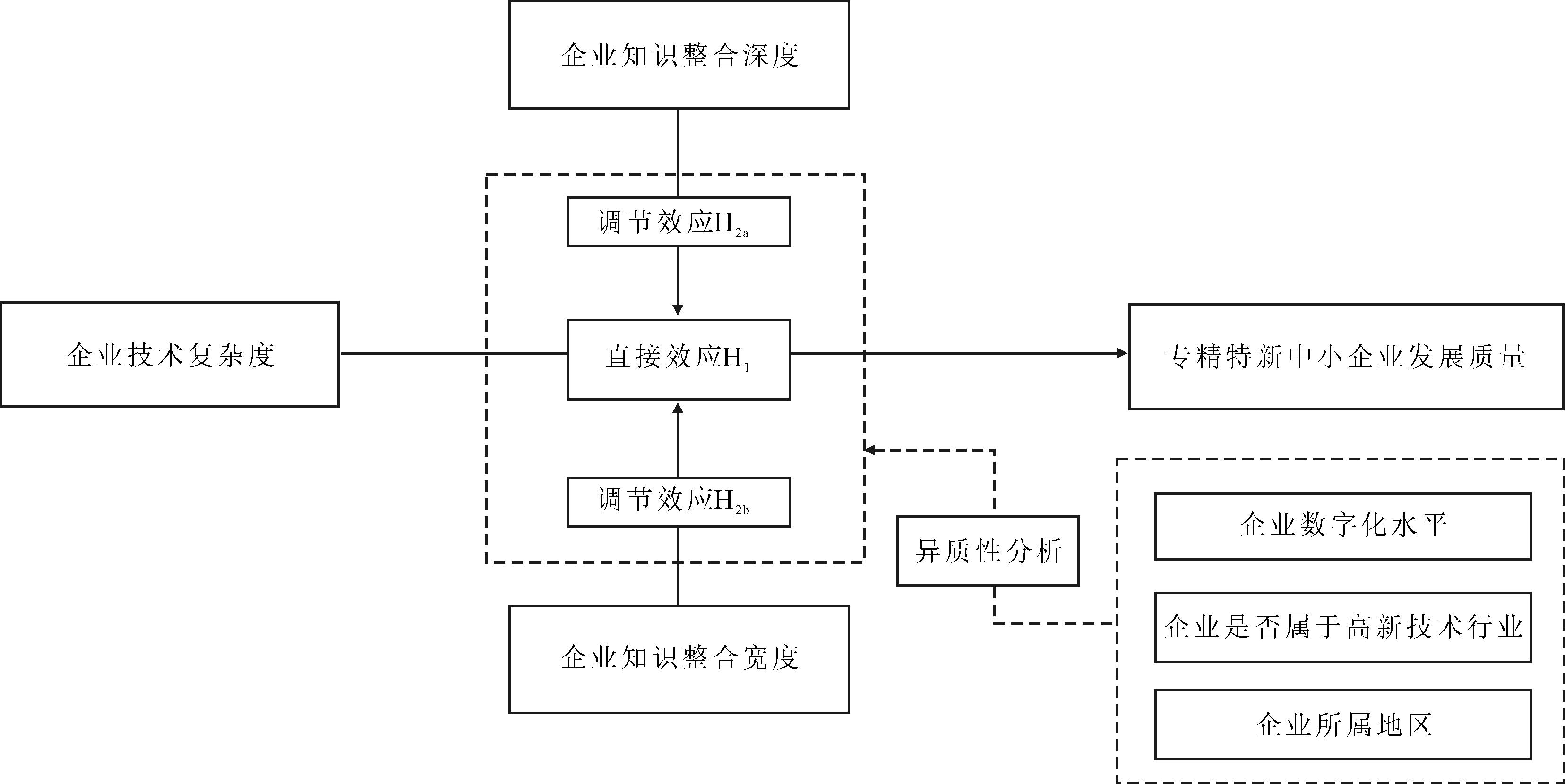
鉴于此,本文以中国国家级专精特新上市企业为研究样本,基于专利数据测度企业技术复杂度及知识整合能力(知识深度与宽度)特征,从“专”“精”“特”“新”4个维度对企业发展质量进行量化分析,通过构建计量回归模型探讨技术复杂度对专精特新中小企业高质量发展的影响机制,以及知识整合能力在技术复杂度与企业发展质量间的调节作用。
内生增长理论强调,技术知识和人力资本等内生因素是驱动经济体实现长期经济增长的核心力量。作为生产的关键投入要素之一,技术创新是推动中小企业高质量发展和实现科技自立自强的重要内生变量。技术复杂度能够反映企业内部技术组合结构的复杂程度,是企业相对技术优势和难以被模仿的技术创新能力的集中体现。技术复杂度提升对专精特新中小企业发展可能会产生如下效应:
(1)从促进效应角度看,重要作用机制表现如下:第一,形成专业化优势和技术壁垒。技术复杂度的概念来自经济复杂度理论,其测度源自Hidalgo & Hausmann[9]提出的产品空间模型。该理论指出,产品内含复杂知识,往往难以被其它地区或企业模仿生产,从而表现出空间粘性和竞争优势。在经济体中,产品与产业是技术的载体,企业技术复杂度提升意味着企业拥有更高技术含量的产品,掌握价值链增值的关键环节,能够提升核心竞争力并巩固自身在细分市场中的独特地位。内生比较优势理论认为,专精特新中小企业持续深耕某一细分领域能够促使专业化带来的收益增加,进而提升自身专业化水平,形成技术垄断优势并获得市场垄断收益[10]。第二,提升企业精细化生产与管理水平。具有高技术复杂度的产品通常需要复杂组织协作和多样化企业合作,对于专精特新中小企业而言,技术复杂度提升不仅意味着对其资源配置与组织协作能力提出更高要求,而且会促使其优化资源配置策略,提升生产流程和管理精细化水平。这一过程通过整合创新资源、优化生产环节助力企业提高运作效率[11],实现生产和管理精细化发展。第三,促进企业产品特色化发展。特色化旨在衡量企业产品的地方特色与独特性。一方面,技术复杂度提升通过推动技术进步与企业间合作创新帮助企业实现突破性创新,进而开发更具市场竞争力的产品[12]。另一方面,技术复杂度体现出高度地方化知识成分,这些知识内含于地方独特的政治、经济、文化和社会环境以及创新主体行为习惯中[13]。因此,技术复杂度提升有助于企业对本土生产工艺和关键技术进行改造与创新[14],通过将地方化知识与自身创新实践相结合实现“特色化”发展。第四,提升企业创新效率。专精特新中小企业通常不以创新规模取胜,而是依赖其技术知识体系的内在结构。技术复杂度更高的产品对于企业创新效率具有更强的牵引力,其要求企业增加研发投入和技术支持,推动商业模式创新,进而促进企业“新颖化”发展。
(2)技术复杂度过度提升会对专精特新中小企业发展产生抑制效应,重要作用机制表现如下:第一,增加企业经营成本。技术复杂度提升是一种偏离自身“比较优势零值”和“资源禀赋”的资本深化行为[15],需要企业投入高质量人力资源、研发和管理成本。对于资源有限的专精特新中小企业而言,过高的技术复杂度会使经营成本过度增加且会使其陷入能力陷阱[16],甚至拖累整体经营,影响其长期发展质量。第二,加剧创新不确定性风险。对于专精特新中小企业而言,市场竞争与垄断压力会促使其优先选择突破性创新以快速占领利基市场[17]。然而,过高的技术复杂度导致这种创新成功概率较低,由此企业面临更高的资源损失风险。一旦创新失败,企业不仅会损耗大量资源,甚至可能失去其在细分市场中的竞争优势,进而影响整体竞争力和发展质量。第三,囿于路径依赖。路径依赖理论指出,经济系统会因发展惯性在进入一个发展路径后开启自我强化机制,最终锁定于该路径上,其典型特征包括技术锁定、动态报酬递增和制度惰性。对于专精特新中小企业而言,通常会在其深耕的细分领域积累多种资源,这种“熟悉陷阱”和高沉没成本导致其产生技术发展路径依赖[18]。当技术复杂度过度提升时,高成本和高风险会强化企业在既定技术路径上的锁定效应,导致组织僵化并失去灵活应对能力,最终对企业长期发展产生负面影响。第四,增加技术扩散与转移失败风险。技术扩散理论指出,技术扩散受相对技术优势、技术复杂性、协调性、可试验性和可观察性等因素影响[19]。尽管技术复杂度提升可能增强企业相对技术优势,但其过度提升会对技术扩散产生负面影响。对于专精特新中小企业而言,技术复杂度过高会导致产品专业化程度提升,适用范围随之缩小,难以被市场广泛接受。这不仅会加大技术在产业链和供应链中扩散与转移难度,还会削弱企业在产业链中的竞争力与配套能力。一旦技术无法顺利转移或扩散,企业技术投入可能变成“孤立”投资,对其整体发展质量产生负面影响[20]。
根据Haans等[21]提出的“U”型关系理论框架,技术复杂度提升对企业发展质量存在两种相互抵消的作用。其中,正向效应对企业发展质量的积极作用递减并趋于平缓,而负向效应对企业发展质量的负面影响迅速上升。因此,通过两种效应的相互作用,技术复杂度对企业发展质量的边际净收益呈现先增后减趋势。当技术复杂度处于适度水平时,其对企业发展质量具有显著促进作用。在技术复杂度超过临界点后,负面效应逐渐占据主导地位,抵消甚至超越技术复杂度提升带来的收益,进而形成倒“U”型关系曲线,如图1所示。由此可知,技术复杂度处于中等水平的专精特新中小企业最有可能实现高质量发展。基于此,本文提出如下假设:
图1 技术复杂度与专精特新中小企业发展质量倒U型关系内在机制
Fig.1 Mechanism underlying the inverted U-shaped relationship between the technological complexity index of enterprises and their SRUI development quality
H1: 技术复杂度与专精特新中小企业发展质量呈倒U型关系。
资源基础理论指出,企业异质性和持续竞争力来源于其所拥有的独特资源特征。作为资源基础理论的延伸与拓展,知识基础理论将市场营销知识、技术知识和管理知识等视为企业资源组成部分。组织能力是指组织执行重复任务的能力,可通过影响企业对资源的利用惯例和流程帮助企业获得竞争优势[22]。作为知识整合主体,企业可以通过吸收外部知识以及对现有知识资源进行重新组合与利用创造价值(Speckbacher 等, 2015)。现有研究表明,知识基础、知识整合模式、速度和效率对企业竞争优势与创新生态具有关键影响。作为衡量企业独占性技术资源和相对技术优势的重要指标,技术复杂度是企业竞争力的具体体现。因此,可以预期企业知识整合能力将重塑技术复杂度构成,并影响技术复杂度与专精特新中小企业发展能力的关系。基于企业技术知识存量的纵向垂直程度与覆盖范围,企业知识整合能力可划分为知识整合深度、整合宽度两个维度[23],进一步揭示企业知识整合的专业化与多样化路径,以及二者如何通过不同作用机制调节技术复杂度与专精特新中小企业发展能力的关系。
1.2.1 知识整合深度对技术复杂度的作用
知识整合深度(以下简称“知识深度”)是指企业在某特定技术领域积累的专业知识水平,即企业对已有知识的熟悉程度[24]。知识深度一定程度上由企业高频率利用的相同领域知识形成,通过以下机制增强技术复杂度对企业发展的积极影响:第一,重复技术使用能够深化企业在特定技术领域的积累与专注,从而提升其专业化程度,并巩固其在市场中的竞争优势[25],最终强化技术复杂度对企业“专业化”发展的积极影响。第二,知识基础深化可促使技术转移、扩散、利用流程标准化和规范化,并提升技术在相似环境中的实用性和容错性[19],实现精细化生产与管理。第三,重复利用相同技术元素可促使企业学习,并通过深度集体知识共享降低信息搜索和沟通成本,提高企业生产效率和创新效率[26]。
然而,知识深度也可能通过以下机制增强技术复杂度对企业发展的负向影响:第一,提升创新不确定性风险。知识基础深化有助于企业将资源集中在相应的技术领域,并侧重在该领域搜寻机会,进而忽视外部环境中涌现的新知识和新技术,抑制企业突破式创新,导致企业错失进入潜在利基市场的创新机会[27]。第二,强化路径依赖。知识深度促进技术领域内部联系,进一步导致组织惰性,进而限制企业创造新技术组合和新技术产品[25]。一方面,知识深度提升有助于企业巩固竞争优势,实现精细化生产和提高创新效率;另一方面,知识深度提升可能加剧创新受阻和路径依赖等负面影响,如图2所示。据此,本文提出以下假设:
图2 知识深度对技术复杂度与专精特新中小企业发展质量的调节机制
Fig.2 Mechanisms by which the knowledge depth of enterprises moderates the technological complexity index and its SRUI development quality
H2a:知识深度促进技术复杂度与专精特新中小企业发展质量之间的倒U型关系曲线更加陡峭。
1.2.2 知识整合宽度对技术复杂度的作用
知识整合宽度(以下简称“知识宽度”)是指企业整合异质性知识和跨界搜寻的能力,可体现企业技术知识的广泛性与多样性[24-25]。知识宽度通过以下机制强化技术复杂度对企业发展质量的积极影响:第一,实现精细化生产与管理。夯实的知识基础可为企业提供多样化技术资源储备,使其灵活应对市场需求和技术变化,进而优化生产流程和提升运营效率,实现精细化生产与管理[28]。第二,提升企业创新效率。技术宽度提升可强化企业对外部知识的吸收和包容能力[29],有助于企业探索、开发来自不同领域的新技术和新机会,并促进外部合作创新,最终提高企业创新水平和效率。
知识宽度也可能通过以下机制强化技术复杂度对企业发展质量的负向影响:第一,增加企业运营成本。随着技术维度提升,知识搜索和整合的复杂性呈指数级增长,知识宽度提升导致企业在拓展知识整合范围时成本增加[25],进而陷入多样化陷阱。第二,提升技术转移风险。知识宽度拓展会降低企业技术的不可复制性和相对技术优势,进而影响技术扩散以及市场其他主体对技术和产品的应用意愿,提升企业技术转移风险。一方面,企业知识宽度多样化有助于企业实现精细化生产与管理,进而提升创新效率;另一方面,企业知识宽度多样化会导致企业成本和技术转移风险增加,如图3所示。因此,本文提出以下假设:
图3 知识宽度对技术复杂度与专精特新中小企业发展质量关系的调节机制
Fig.3 Mechanisms by which the knowledge breadth of enterprises moderates the technological complexity index and its SRUI development quality
H2b:知识宽度促使技术复杂度与专精特新中小企业发展质量的倒U型关系曲线更加陡峭。
综上,本文构建理论框架如图4所示。
图4 理论框架
Fig.4 Theoretical framework
本文以中国专精特新上市企业为研究对象,从2019—2023年工业和信息化部认定的5批专精特新中小企业名单中得到1 738家国家级专精特新上市企业。企业发展质量相关数据以及控制变量等相关数据来源于CSMAR数据库、CNRDS数据库;用于测度技术复杂度、知识整合能力的相关专利申请信息、IPC分类号等数据来自国家知识产权局和智慧芽专利数据库。本文将企业名称与国家知识产权局和智慧芽的专利数据进行匹配,最终获取193 400条企业专利数据。
专精特新中小企业相关政策由工业和信息化部于2011年9月在《“十二五”中小企业成长规划》中提出,故本文样本区间初始时间为2011年。考虑到企业发展生命周期及知识吸收与创新周期的滞后性,本文采用5年时间窗口构建企业—技术共现网络和企业—技术双模网络,以测度不同周期下的技术复杂度和知识整合能力。如基于2011—2014年企业技术复杂度和知识整合能力,评估其对2015年企业发展质量的影响。为确保各周期企业参与时间的一致性,剔除成立时间晚于所考察周期开始时间的企业,最终得到5 043个有效观测值。
2.2.1 专精特新中小企业发展质量
选择合适的指标测度专精特新中小企业发展质量是构建模型的重要前提。专精特新中小企业高质量发展的核心目标是专注细分市场和核心主业,实现精细化生产、管理和服务,利用特色资源与传统技艺创新技术、管理和商业模式(江胜名等,2022)。因此,可通过专、精、特、新4个维度评估专精特新中小企业发展质量。借鉴张璠等[6]的研究成果,本文构建专精特新中小企业发展质量指标体系,如表1所示。
表1 专精特新中小企业发展质量测度指标体系
Table 1 Indicator system for measuring the development quality of SRUI SMEs
发展维度测度指标指标含义专业化主营业务收入增长率体现为企业聚焦核心业务,主营业务收入占比不断提升客户集中度体现为企业参与产业协作配套,基于专业分工提升产业链供应链的稳定性和竞争力精细化管理费用率体现为企业健全、规范和精细化管理制度,管理费用不断降低销售费用率体现为企业提高信息技术在电商、营销等过程中的应用水平,销售成本不断降低特色化专利申请量体现为企业鼓励和采用先进的生产工艺,专利数量不断提升所得税费用体现为企业良好的盈利能力和财务健康状况,品牌声誉不断提升新颖化企业全要素生产率体现为企业较高的要素配置效率,全要素生产率不断提升基本每股收益体现为企业良好的盈利模式、融资结构和资本运作效率等,商业模式有效性不断提升
在收集相关测度指标的基础上,采用熵权法计算专精特新中小企业发展质量(EDQ)。对于管理费用率和销售费用率等成本性指标进行倒数转换,EDQ越大,表明企业发展质量越高,反之则表明企业发展质量处于较低水平。
2.2.2 技术复杂度
Hidalgo & Hausmann[9]提出,经济复杂度理论表明复杂经济体能生产更多的独特性商品(非普遍存在的商品),进而在产品竞争中占据优势,实现技术垄断。随后,这一思想被引入技术复杂度测度中,通过分析企业技术网络构成,揭示企业技术的独特性和不可模仿性。如果某企业所涉及的技术类别难以被其它企业模仿,则表明该企业拥有高度复杂的技术构成。
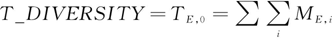
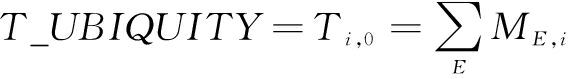
国际专利分类码(International Patent Classification, IPC)是当前国际通用的专利分类与知识组织体系,被认为是技术要素或部件的有效代理指标[30]。因此,本文基于专利IPC数据测度企业技术复杂度和知识整合能力特征。遵循研究惯例,以4位IPC代码表征某专利技术类别和特征。根据每项专利的IPC代码以及企业信息,构建各时间周期下企业—技术类别的共现网络,其值表明企业在某技术类别上所拥有的专利数量。采用Balland等[31]关于城市知识复杂性指数的测度方法,测算企业技术复杂度。具体而言,仅考虑企业具有相对技术优势(Relative Technological Advantage,RTA)的技术类别。因此,本文基于企业—技术共现网络构建企业—技术双模矩阵M=(ME,i),ME,i反映企业E在技术类别i上是否具有相对技术优势。如果某企业E在某一时间 t内,其技术类别 i在专利组合中的份额高于该技术类别i在所有企业专利组合中的平均份额,则该企业在该技术类别上具有相对技术优势,见式(1)。

(1)
企业技术复杂度由技术多样性和技术遍在性两个指标构成,分别采用双模矩阵中企业节点的度中心性和技术节点的度中心性表示。具体而言,企业技术多样性采用企业拥有相对技术优势的技术类型数量表示,计算方法如下:
![]()
(2)
技术遍在性采用涉及各技术类别的企业数量表示,计算方法如下:
(3)
在一系列 n 次迭代中结合式(4)对企业技术复杂性进行更细粒度的估计,最终得到企业在各时间周期的技术复杂度(TCI)。
(4)
2.2.3 知识深度与知识宽度
不同时间周期下企业知识整合能力由企业技术组合模式衡量,表征为企业IPC子类的共现网络。借鉴Kotha等(2011)、Ning等(2022)的研究成果,本文将企业知识整合能力划分为知识深度和知识宽度两个维度。知识深度体现企业对相同IPC技术领域的熟悉程度和重复利用水平,采用企业技术组合池P中同一IPC子类内成对组合的最大数量衡量,如式(5)所示。
KD=maxj∈P(combinations within an IPC subclass j)
(5)
知识宽度体现企业异质性IPC技术领域的种类和数量,采用企业技术组合池中跨子类成对组合数量衡量,如式(6)所示。
cross IPC subclasses j and k
(6)
2.2.4 控制变量
借鉴曹虹剑等(2022)、张璠等(2022)的研究成果,在检验技术复杂度对专精特新中小企业发展质量的影响时,本文控制企业规模、资产负债率、每股盈利值和股权集中度。为排除行业和地区影响,对企业所在省份(Province)和行业(IND)效应进行控制。各主要变量具体含义和度量方法如表2所示。
表2 主要变量含义及度量方法
Table 2 Meaning and measurement of key variables
变量类型变量符号变量名称变量测度文献来源被解释变量EDQ专精特新中小企业发展质量熵权法测度值*100张璠等[6]解释变量TCI技术复杂度企业4位IPC技术代码在所有企业中的相对技术优势Hidalgo & Hausmann[9]调节变量KD知识深度企业相同4位IPC代码组合的最大深度Ning & Guo [23]KB知识宽度企业不同4位IPC代码组合的数量Ning & Guo [23]控制变量SIZE企业规模企业总资产的对数曹虹剑等[2];张璠等[6]LEV资产负债率企业资产/负债EPS每股盈利值税后利润/股本总数TOP1股权集中度上市公司第一大股东持股比例
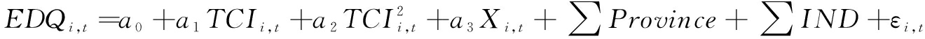
为验证技术复杂度与专精特新中小企业发展质量之间的倒U型关系,本文构建基准回归模型如下:
![]()
(7)
其中,i表示专精特新中小企业;t表示年份;EDQi,t为企业发展质量;TCIi,t为企业技术复杂度;Xi,t为控制变量;∑Province、∑IND表示控制省份和行业效应;εi,t为随机扰动项。
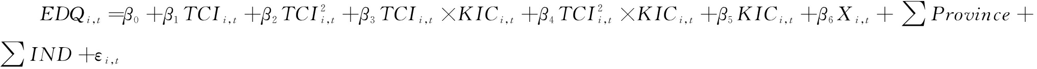
为检验知识深度和知识宽度在技术复杂度与专精特新中小企业发展质量之间的调节效应,本文构建调节效应模型如下:
(8)
其中,KICi,t为企业知识整合能力,包括知识深度(KD)和知识宽度(KB)。
本文主要变量描述性统计结果如表3所示。专精特新中小企业发展质量的平均值为30.685,最小值为0,最大值为76.797,标准差为7.911,表明专精特新中小企业发展质量存在较大差异。企业技术复杂度的均值为80.047,标准差为66.564,说明企业间技术复杂度差异显著,并呈现右偏分布,表明少数专精特新中小企业在技术复杂度方面表现突出,拥有其它企业难以复制的知识和技术。企业知识深度和知识宽度的标准差显著大于均值,表明少数企业在技术类型的根植性以及知识基础的多样性方面具有较强优势,为消除极端值对模型的潜在影响,后续对上述两个变量进行对数转换。其它控制变量的均值与标准差数基本处于合理区间。此外,各变量间相关性系数大多低于0.6,表明变量间不存在显著多重共线性问题。
表3 描述性统计结果
Table 3 Descriptive statistical analysis
变量均值标准差123456781.EDQ30.685 7.91112.TCI80.047 66.564 0.570***13.KD536.775 5 380.998 0.059***0.028**14.KB111.432 251.555 0.249***0.233***0.224***15.SIZE14.453 6.939 0.753***0.596***0.0190.264***16.LEV0.322 0.105 -0.100***-0.029**-0.026*0.062***-0.085***17.EPS0.683 0.751 -0.016-0.108***-0.039***-0.085***-0.185***-0.037***18.TOP119.668 12.550 0.682***0.497***0.035**0.239***0.749***-0.164***-0.129***1
注:***表示 p <0.01,**表示 p <0.05,*表示 p<0.1,下同
3.2.1 主效应检验结果
本文采用递进式回归方法验证技术复杂度与专精特新中小企业发展质量的关系,结果如表4所示。模型2结果显示,在未加入控制变量的情况下,技术复杂度及其平方项的系数在1%显著性水平上为正和负,表明技术复杂度与专精特新中小企业发展质量呈现倒U型关系。模型3结果显示,在加入控制变量后,该倒U型关系依然显著。
表4 主效应回归结果分析
Table 4 Regression results for main effects
变量模型1模型2模型3TCI4.781***1.501***(0.095)(0.124)TCI2-0.663***-0.360***(0.081)(0.064)SIZE4.584***3.814***(0.205)(0.231)LEV-0.021-0.074(0.134)(0.132)EPS0.987***0.970***(0.262)(0.263)TOP12.079***1.961***(0.199)(0.186)Cons30.685***31.347***31.045***(0.069)(0.125)(0.090)ProvinceYESYESYESINDYESYESYES样本量5 0435 0435 043R20.6180.3410.638
注:括弧中为标准误,下同
本文借鉴Lind&Mehlum(2010)提出的三步检验程序验证倒U型关系的有效性,结果如表5所示。首先,基于Wald检验对TCI及其平方项的联合显著性进行评估,结果表明,二者的共同影响在统计上显著。其次,对TCI两端的斜率进行检验,结果显示,在最低值和最高值处的斜率分别显著为正(2.368)、负(-1.378)。再次,对极值点及其置信区间进行分析,结果表明,估计拐点为2.084,对应非标准化值为218.766,均处于自变量数据范围内,也位于使用Fieller检验估计的置信区间内。最后,整体Utest检验结果表明,在至少1%统计显著性水平上拒绝零假设,进一步表明倒U型关系具有稳健性。因此,假设H1得到验证。
表5 技术复杂度与专精特新中小企业发展质量的倒U型关系检验结果
Table 5 Test of the inverted U-shaped relationship between technological complexity and development quality
倒U型关系检验步骤主效应知识深度调节效应知识宽度调节效应TCI及平方联合显著检验(F值, P值)(H0:αTCI= αTCI2= 0)73.17***53.74***52.75***TCIlow_bound(斜率, P值)2.368***2.554***2.714***TCIhigh_bound(斜率, P值)-1.378***-1.644***-1.956***极点值2.084 (218.766)1.956 (210.246)1.817 (200.993)Fieller检验(95%置信区间)低1.597 (186.349)1.538 (182.422)1.428 (175.100)高3.014 (280.670)2.842 (269.221)2.675 (258.105)整体倒U型曲线Utest检验(t值, P值)2.97***3.02***3.11***
注:括号中为未标准化的值(未标准化的值=均值+标准差*标准化值)
3.2.2 调节效应检验结果分析
表6为知识深度与知识宽度对技术复杂度作用的调节效应分析结果。模型1~模型2结果显示,知识深度(KD)对专精特新中小企业高质量发展具有积极影响,并且知识深度与技术复杂度及其平方项的交互项均在1%水平上显著,表明知识深度在技术复杂度与专精特新中小企业发展质量间发挥调节作用。在引入调节效应后,倒U型曲线二次项系数的绝对值(0.404)较未引入调节效应时的绝对值更大,表明知识深度使得倒U型曲线变得更加陡峭。表5中的知识深度调节效应部分,TCI取值范围两端处斜率的绝对值较主效应部分明显增大,也表明倒U型曲线两侧陡峭程度提升。此外,知识深度使得倒U型曲线的极值点(1.956)向左移动,表明知识深度促使技术复杂度对专精特新中小企业发展质量影响的极值点提前到达。总体而言,知识深度正向调节技术复杂度与专精特新中小企业发展质量的倒U型关系,由此验证假设H2a。同理,依据模型3、模型4结果以及表5中的知识宽度调节效应部分,知识宽度正向调节技术复杂度与专精特新中小企业发展质量的倒U型关系。
表6 知识宽度与知识深度的调节效应分析
Table 6 Results of moderating effects of knowledge breadth and knowledge depth
变量模型1模型2模型3模型4TCI1.376***1.583***1.354***1.633***(0.132)(0.160)(0.137)(0.170)TCI2-0.283***-0.404***-0.266***-0.449***(0.069)(0.081)(0.074)(0.093)lnKD0.083**0.138***(0.038)(0.047)TCI×lnKD0.110***(0.041)TCI2×lnKD-0.081**(0.034)lnKB0.098**0.154***(0.049)(0.055)TCI×lnKB0.199***(0.049)TCI2×lnKB-0.079**(0.037)SIZE3.802***3.777***3.800***3.753***(0.231)(0.232)(0.231)(0.233)LEV-0.078-0.090-0.081-0.101(0.132)(0.132)(0.132)(0.133)EPS0.973***0.977***0.973***0.977***(0.264)(0.264)(0.264)(0.265)TOP11.944***1.930***1.935***1.903***(0.185)(0.184)(0.185)(0.185)Cons30.715***30.472***30.665***30.374***(0.162)(0.182)(0.196)(0.212)ProvinceYESYESYESYESINDYESYESYESYES样本量5 0435 0435 0435 043R20.6250.6390.6270.640
不同知识深度和知识宽度下,技术复杂度与专精特新中小企业发展质量关系如图5所示。当企业技术复杂度处于较低水平时,高知识深度和知识宽度曲线斜率较大,即技术复杂度对企业发展质量的积极影响更加显著,表明知识深度和知识宽度能够强化技术复杂度的正向效应。当企业技术复杂度处于较高水平时,知识深度较高企业因对现有技术的路径依赖导致创新受阻,进而加剧技术复杂度对企业高质量发展的负向影响,使得倒U型曲线的后半段迅速下降。同时,知识宽度较高会弱化企业技术特色和竞争优势,使得技术复杂度对企业高质量发展的负向效应边际效应递增,呈现为一条更陡峭的倒U型曲线。知识深度、知识宽度在促使倒U型曲线变窄的同时,还会提高曲线极值点对应的效应值。由此表明,适度提升知识深度和知识宽度,可以提升技术复杂度所带来的企业发展质量最大值。与知识深度的极值点(1.956)相比,知识宽度的极值点(1.817)更靠左侧,表明知识宽度能够更快促使技术复杂度所带来的企业发展质量峰值出现。在企业发展质量达到阈值后,相较于知识宽度,知识深度的负向调节作用更显著,能够加速技术复杂度对企业发展质量的负向影响显现,使企业发展质量更迅速地进入衰退阶段。
图5 知识深度、知识宽度对技术复杂度与专精特新中小企业发展质量的调节作用
Fig.5 Moderating role of knowledge depth and breadth on technological complexity and the development quality of enterprises
本文通过增加控制变量、替换调节变量以及对数据进行缩尾处理的方式检验回归结果的稳健性,结果如表7所示。
表7 稳健性检验结果
Table 7 Results of robustness tests
变量增加控制变量模型1模型2替换调节变量模型3模型4缩尾处理模型5模型6TCI1.371***1.419***1.551***1.531***1.577***1.643***(0.152)(0.162)(0.152)(0.173)(0.149)(0.156)TCI2-0.393***-0.434***-0.364***-0.395***-0.419***-0.499***(0.081)(0.092)(0.075)(0.089)(0.092)(0.099)lnKD0.106**0.210***0.118***(0.046)(0.070)(0.046)TCI×lnKD0.089**0.1000.119***(0.041)(0.061)(0.040)TCI2×lnKD-0.069**-0.132**-0.072**(0.034)(0.052)(0.031)lnKB0.126**0.371***0.129**(0.054)(0.124)(0.054)TCI×lnKB0.170***0.355***0.217***(0.049)(0.089)(0.048)TCI2×lnKB-0.071**-0.127*-0.070**(0.036)(0.076)(0.031)SIZE3.031***3.008***3.790***3.756***3.811***3.786***(0.270)(0.270)(0.231)(0.233)(0.224)(0.224)LEV0.0520.042-0.085-0.101-0.038-0.050(0.137)(0.137)(0.132)(0.133)(0.126)(0.126)EPS0.930***0.932***0.976***0.978***1.622***1.627***(0.257)(0.257)(0.264)(0.265)(0.212)(0.212)TOP10.3010.2871.943***1.900***2.040***2.013***(0.249)(0.249)(0.184)(0.185)(0.179)(0.179)HHI1.6671.865(2.227)(2.238)TOP310.118***0.117***(0.016)(0.016)AGE0.240***0.238***(0.082)(0.081)ProvinceYESYESYESYESYESYESINDYESYESYESYESYESYESCons26.447***26.347***30.551***30.068***30.513***30.446***(0.634)(0.647)(0.165)(0.294)(0.186)(0.217)样本量5 0435 0435 0435 0435 0435 043R20.6490.6490.6390.6390.6530.653
(1)增加控制变量。在回归模型中加入行业竞争度(HHI)、企业年龄(AGE)和公司股权制衡度(TOP31)等控制变量,以增强模型解释力并减少遗漏变量偏误。结果表明,在增加控制变量的基础上,主效应和调节效应结果依然显著。
(2)替换调节变量。本文将知识深度替换为所有技术类型内部组合的平均值,以反映企业在不同技术类型上的平均知识深度。此外,本文将知识宽度替换为在企业专利组合中的独特技术类型数量。在替换调节变量后,结果依然稳健。
(3)缩尾处理。为排除极端值对回归结果的影响,本文对所有连续变量进行1%的缩尾处理,进一步验证结论的稳健性。
技术复杂度对专精特新中小企业发展质量的影响可能因企业特征、行业特征以及区域特征差异而有所不同。本文从企业、行业和区域特征维度进行分组检验,结果如表8、表9所示。
表8 企业、行业异质性检验结果
Table 8 Results of heterogeneity tests on enterprise and industry dimensions
变量分组依据:企业数字化程度低高低高分组依据:是否高新技术行业否是否是TCI1.166***2.462***1.292***2.090***1.016***2.099***1.146***1.559***(0.184)(0.355)(0.187)(0.411)(0.234)(0.289)(0.241)(0.338)TCI2-0.320***-0.556**-0.407***-0.423-0.399***-0.310-0.478***-0.357(0.079)(0.225)(0.089)(0.272)(0.090)(0.210)(0.100)(0.261)lnKD0.091*0.287**-0.0440.329***(0.048)(0.115)(0.057)(0.094)TCI×lnKD0.084*0.0980.0410.073(0.045)(0.096)(0.050)(0.078)TCI2×lnKD-0.053*-0.145*-0.033-0.129*(0.032)(0.076)(0.036)(0.073)lnKB0.0540.472***-0.1640.805***(0.056)(0.153)(0.141)(0.305)TCI×lnKB0.121**0.280**-0.0010.605***(0.055)(0.126)(0.113)(0.200)TCI2×lnKB-0.074**-0.056-0.1310.140(0.035)(0.106)(0.083)(0.232)控制变量YESYESYESYESYESYESYESYESProvinceYESYESYESYESYESYESYESYESINDYESYESYESYESNONONONOCons30.794***29.328***30.933***28.460***31.177***29.704***31.454***28.962***(0.180)(0.538)(0.208)(0.696)(0.183)(0.480)(0.308)(0.827)样本量3 8221 2203 8221 2203 1871 8563 1871 856R20.6930.5840.6930.5870.7110.6080.7120.611
表9 区域异质性检验结果
Table 9 Results of heterogeneity tests on regional dimension
变量组依据:企业所在地区 东部地区中部地区西部地区东部地区中部地区西部地区区TCI1.592***1.562***1.267**1.658***1.562***1.257**(0.192)(0.368)(0.540)(0.207)(0.358)(0.529)TCI2-0.370***-0.292-0.545-0.443***-0.293-0.537(0.094)(0.190)(0.332)(0.110)(0.192)(0.347)lnKD0.162***0.107-0.061(0.058)(0.076)(0.147)TCI×lnKD0.124***0.0220.049(0.047)(0.103)(0.151)TCI2×lnKD-0.104**-0.021-0.081(0.043)(0.061)(0.121)lnKB0.204***0.097-0.207(0.069)(0.083)(0.178)TCI×lnKB0.253***0.030-0.085(0.059)(0.113)(0.161)TCI2×lnKB-0.109**-0.014-0.031(0.045)(0.074)(0.117)控制变量YESYESYESYESYESYESProvinceNONONONONONOINDYESYESYESYESYESYESCons30.300***30.579***31.475***30.110***30.594***32.133***(0.227)(0.320)(0.525)(0.262)(0.355)(0.703)样本量3 5609894913560989491R20.6300.6560.6840.6310.6560.685
(1)基于企业特征的异质性分析。数字化程度可能影响技术复杂度对专精特新中小企业发展质量的作用机制。借鉴吴非(2021)和甄红线(2023)的研究成果,本文基于上市公司年报全文对“数字化转型”相关词频进行统计,得到企业数字化转型程度。以样本区间数字化转型程度的平均值为基准衡量企业数字化程度,结果表明,技术复杂度对企业发展质量的影响在数字化程度较高企业更加显著。同时,知识深度和知识广度对企业发展质量也具有较强影响,表明数字化程度较高企业更具适应性和灵活性,能够有效管理和运用高技术复杂度的技术组合,提升自身市场竞争力和创新能力。相较之下,数字化程度较低企业在吸收、整合和应用高技术复杂度的技术组合方面能力较弱,特别是在知识宽度层面,难以有效检索和整合多样化技术知识。
(2)基于行业特征的异质性分析。技术复杂度对专精特新中小企业发展质量的影响可能在高新技术行业和非高新技术行业间存在差异。本文依据CSMAR数据库中上市公司高新技术企业资质认定判定企业是否属于高新技术企业,结果表明,在非高新技术行业中,技术复杂度对企业发展质量呈倒U型影响;在高新技术行业中,技术复杂度对企业发展质量具有积极影响。这种差异可能源于企业资源和市场环境两个方面:一方面,非高新技术企业在研发投入、技术人员储备、技术管理能力等方面资源有限。技术复杂度提升会迅速消耗这些有限资源,企业无法有效利用高复杂度的技术组合,导致资源错配和管理混乱,从而降低发展质量。高新技术企业通常具有丰富的技术资源、较强的研发能力和高效的技术管理体系,并依赖技术创新维持自身竞争优势。随着技术复杂度提升,高新技术企业能够进一步提升自身竞争力,开发新产品、进入新市场,最终推动发展质量提升。另一方面,技术复杂度提升可能导致非高新技术企业成本提升,降低其市场灵活性和反应速度。相反,技术复杂度提升会提升高新技术企业壁垒,阻止竞争对手进入,巩固其市场地位。
(3)基于区域特征的异质性分析。本文基于专精特新中小企业所属地区,将样本划分为东部、中部和西部地区3组。结果显示,技术复杂度、知识深度和知识宽度对企业发展质量的影响在东部地区更加显著,而在中西部地区不显著。从企业分布看,大多数专精特新上市企业位于东部地区。东部地区具有较高的经济发展水平和丰富的技术储备,企业能够发挥技术复杂度带来的竞争优势,而中西部地区可能更依赖低技术密集型产业,从而导致技术复杂度的边际效益降低。此外,东部地区知识网络更为发达,可促进企业间知识扩散、共享和技术合作,进而提升企业知识宽度和深度,使企业发展从技术复杂度提升中获益。
本文以专精特新中小企业为研究对象,探讨技术复杂度对企业发展质量的影响,进一步分析知识整合深度和宽度在其中的调节作用,得出以下主要结论:
(1)技术复杂度与专精特新中小企业高质量发展具有倒U型关系。对于专精特新中小企业而言,技术复杂度提升对企业发展质量的促进作用并非线性递增。当企业技术复杂度处于阈值以下时,其提升对企业发展质量发挥显著积极效应。在超过阈值后,过度提升技术复杂度可能促使企业陷入能力陷阱、路径依赖,导致技术扩散受阻,进而对企业发展质量产生抑制作用(Pintea & Thompson, 2007;Yayavaram & Chen, 2015)。这一发现与现有研究结论一致,即技术复杂度对经济体的经济韧性和创新绩效呈现倒U型影响(王璇,2021;唐娅华,2022)。本研究拓展了内生增长理论在专精特新中小企业行为领域的应用,将技术复杂度作为衡量企业创新与发展的核心变量,并将复杂性约束纳入分析框架,揭示了技术复杂性可能导致的边际收益递减效应及资源配置约束问题,为全面理解经济体创新与发展的边界条件提供了理论基础。
(2)企业知识深度、知识宽度正向调节技术复杂度与专精特新中小企业高质量发展的关系,并有助于加速达到和提升技术复杂度所带来的企业发展质量高点。与现有研究结论一致,知识基础在企业创新绩效、创新行为、技术能力等创新生态中发挥显著调节作用(于飞等,2017;王崇峰等,2021)。本研究发现,知识宽度和知识深度的调节效应强度存在差异,相比于知识深度,知识宽度能够更快推动技术复杂度对专精特新中小企业发展质量的正向影响达到峰值。同时,在知识宽度调节下的企业发展质量最大值显著高于在知识深度调节下的企业发展质量最大值。在倒U型曲线的后半段,相较于知识宽度,知识深度的负向调节作用更为显著,其通过强化技术复杂度的负向影响,使企业发展质量更快地陷入低谷。本文深化了对知识基础理论和组织能力框架的理解,从知识深度与知识宽度双维视角,阐释技术知识整合模式在塑造企业竞争优势过程中的关键作用,为企业创新管理与技术策略制定提供了理论依据。
(3)技术复杂度对专精特新中小企业发展质量的影响因企业数字化水平、行业类别以及区域特征差异而表现出显著异质性。数字化转型作为提升企业适应性、灵活性和经营效率的重要驱动力,对技术复杂度的影响发挥显著调节作用。技术资源禀赋、创新依赖性是影响技术复杂度与知识整合能力发挥作用的关键变量。同时,技术生态网络、经济发展水平在释放技术复杂度的边际效益过程中发挥重要支撑作用。本研究基于多维视角系统揭示技术复杂度的动态作用机制,为拓展技术复杂性理论研究和实践应用提供了科学依据。
(1)优化技术资源配置,规避复杂性约束。研发高技术复杂度技术组合是专精特新中小企业实现高质量发展的关键路径。政府应积极出台相应政策,增加技术研发投入,营造有利于研发创新的良好氛围,发挥优势技术领域的区域聚集与辐射效应,从而加速企业高质量发展。此外,鼓励企业合理提升技术复杂度,避免技术过度复杂化带来能力陷阱和资源错配问题,使其在复杂性与经济效益之间实现平衡。
(2)强化知识整合能力,助力创新生态构建。鼓励企业基于自身技术资源禀赋与组织惯例,系统提升知识整合能力。通过适度提升专业化技术知识应用水平与技术吸收的多样性,释放企业现有技术资源潜力。在技术复杂度较低且相对竞争优势不足阶段,应引导企业积极开展跨领域技术搜寻与协同创新,帮助企业快速实现技术能力跃升并抢占发展制高点。当技术复杂度接近或超过阈值时,企业需慎重引入异质性技术资源,并合理控制技术知识纵向深化程度,以规避路径依赖和资源错配风险,确保技术复杂度对企业发展质量的正向效应得以持续发挥。
(3)推进数字化转型,提升技术利用效率。专精特新中小企业应积极加快数字基础设施建设,加强技术研发、技术管理、生产流程和市场营销方面的数字化应用。通过数字基础设施建设与技能培训,提升企业对复杂技术组合的管理、组织和复用能力,增强其市场适应性与竞争力。
(4)实施差异化扶持政策,改善企业发展环境。根据企业所处行业及区域特性制定差异化扶持政策。对于高新技术行业的专精特新中小企业,应加大技术研发投入和知识产权保护力度,加强高技术复杂度技术组合应用,促进创新能力提升;对非高新技术行业的专精特新中小企业,可通过强化技术转移机制和促进产业协同发展提升其资源配置效率,增强其市场竞争力。在区域层面,重点支持中西部地区技术生态网络建设,促进区域间知识扩散和技术能力提升,缩小区域发展差距,进而推动全国企业整体高质量发展。
本文存在以下不足:一方面,中小企业是一个庞大群体,本研究仅聚焦国家级专精特新中小上市企业,样本范围有限,后续应考虑将多种类型中小企业纳入分析框架,以提升结论的普适性。另一方面,本研究分析了知识整合能力的调节作用,未来可进一步深入探究技术复杂度对专精特新中小企业发展质量的内在作用机制,为专精特新中小企业技术培育和管理提供参考。
[1] 文传浩,曾艳梅,李益,等.供应链金融与专精特新“小巨人”企业高质量发展——基于“资金+技术”双轮驱动视角的讨论[J].华东经济管理,2024,38(10):72-82.
[2] 曹虹剑,张帅,欧阳峣,等.创新政策与“专精特新”中小企业创新质量[J].中国工业经济, 2022, 40(11): 135-154.
[3] 董志勇,李成明.“专精特新”中小企业高质量发展态势与路径选择[J].改革, 2021, 34(10): 1-11.
[4] 毛军权,敦帅.“专精特新”中小企业高质量发展的驱动路径——基于TOE框架的定性比较分析[J].复旦学报(社会科学版), 2023, 65(1): 150-160.
[5] 丁建军,胡定国,冷志明.长三角地区专精特新企业空间分布及影响因素的尺度效应——基于缓冲区与MGWR的分析[J].地理科学进展, 2023, 42(11): 2099-2112.
[6] 张璠,王竹泉,于小悦.政府扶持与民营中小企业“专精特新”转型——来自省级政策文本量化的经验证据[J].财经科学, 2022, 66(1): 116-132.
[7] 陈岩,高程,杜慧林.专精特新中小企业高层管理者认知对精——创业能力影响机理研究[J].科技进步与对策,2023,40(21):151-160.
[8] MAZZOLENI R, NELSON R R. An interpretive history of challenges to neoclassical microeconomics and how they have fared[J]. Industrial and Corporate Change, 2013, 22(6): 1409-1451.
[9] HIDALGO C A, HAUSMANN R. The building blocks of economic complexity[J]. Proceedings of the National Academy of Sciences, 2009, 106(26): 10570-10575.
[10] 卞元超,白俊红.全国统一大市场、地区技术多样化与企业技术复杂度[J].数量经济技术经济研究, 2024, 41(6): 129-150.
[11] 陶长琪,郭彦廷.知识复杂度对产业结构升级的作用机制研究[J].江西师范大学学报(自然科学版), 2020, 44(2): 111-119.
[12] 陈妍,张紫瑄,谷人旭,等.知识复杂度对创新合作的影响研究——基于“本地”和“城际”的实证[J].地理科学进展, 2023, 42(3): 428-437.
[13] KOGUT B, ZANDER U. Knowledge of the firm and the evolutionary theory of the multinational corporation[J]. Journal of International Business Studies, 1993, 24(4): 625-645.
[14] 董鹏.知识产权保护、本土技术发展与企业出口技术复杂度[J].技术经济与管理研究, 2024, 45(4): 27-32.
[15] 原小能,郑洁,王宇宙.生产性服务出口技术复杂度、知识密度与经济增长——基于贸易新动能培育视角[J].云南财经大学学报, 2022, 38(4): 1-15.
[16] 魏楚,沈满洪.工业绩效、技术效率及其影响因素——基于2004年浙江省经济普查数据的实证分析[J].数量经济技术经济研究, 2008, 25(7): 18-30.
[17] 徐翔,赵墨非,李涛,等.数据要素与企业创新:基于研发竞争的视角[J].经济研究, 2023, 58(2): 39-56.
[18] KOK H, FAEMS D, DE FARIA P. Dusting off the knowledge shelves: recombinant lag and the technological value of inventions[J]. Journal of Management, 2019, 45(7): 2807-2836.
[19] ROGERS E M, SINGHAL A, QUINLAN M M. Diffusion of innovations[M].London:Routledge, 2014: 432-448.
[20] NEWMAN C, RAND J, TALBOT T, et al. Technology transfers, foreign investment and productivity spillovers[J]. European Economic Review, 2015, 47(4): 168-187.
[21] HAANS R F J, PIETERS C, HE Z L. Thinking about U: theorizing and testing U-and inverted U-shaped relationships in strategy research[J]. Strategic Management Journal, 2016, 37(7): 1177-1195.
[22] HELFAT C E, RAUBITSCHEK R S. Dynamic and integrative capabilities for profiting from innovation in digital platform-based ecosystems[J]. Research Policy, 2018, 47(8): 1391-1399.
[23] NING L, GUO R. Technological diversification to green domains: technological relatedness, invention impact and knowledge integration capabilities[J]. Research Policy, 2022, 51(1): 263-278.
[24] GEORGE G, KOTHA R, ZHENG Y. Entry into insular domains: a longitudinal study of knowledge structuration and innovation in biotechnology firms[J]. Journal of Management Studies, 2008, 45(8): 1448-1474.
[25] MOORTHY S, POLLEY D E. Technological knowledge breadth and depth: performance impacts[J]. Journal of Knowledge Management, 2010, 14(3): 359-377.
[26] MOEEN M. Entry into nascent industries: disentangling a firm's capability portfolio at the time of investment versus market entry[J]. Strategic Management Journal, 2017, 38(10): 1986-2004.
[27] PAPAZOGLOU M E, SPANOS Y E. Bridging distant technological domains: a longitudinal study of the determinants of breadth of innovation diffusion[J]. Research Policy, 2018, 47(9): 1713-1728.
[28] SRIVASTAVA M K, GNYAWALI D R. When do relational resources matter? leveraging portfolio technological resources for breakthrough innovation[J]. Academy of Management Journal, 2011, 54(4): 797-810.
[29] LIN M, PATEL P C. Distant search, technological diversity, and branding focus: incremental and radical innovation in small-and medium-sized consignees[J]. IEEE Transactions on Engineering Management, 2018, 66(2): 170-179.
[30] YAYAVARAM S, AHUJA G. Decomposability in knowledge structures and its impact on the usefulness of inventions and knowledge-base malleability[J]. Administrative Science Quarterly, 2008, 53(2): 333-362.
[31] BALLAND P A, RIGBY D. The geography of complex knowledge[J]. Economic Geography, 2017, 93(1): 1-23.