This study first defines the concept of key core technologies. Next, it delves into the analysis of the KTI coupled innovation system through the lens of a multi-layered coupled network approach, which reveals the core logic of innovation. This logic is structured around a sequence of stages: starting with fundamental knowledge innovation, proceeding to breakthroughs in technological principles, and culminating in the development of new technologies. On the basis of the definition of key core technologies and system characteristics, a method for identifying such technologies based on multi-layer coupled innovation network analysis is proposed. This method integrates complex network topology feature measurements, higher-order invariant models, and multiple PageRank centrality algorithms. Finally, the study explores the evolutionary characteristics and critical conditions of the KTI coupled innovation system at different stages of its lifecycle and proposes future research directions to promote breakthroughs in key core technologies.
The results show that the multi-layer coupled innovation network of key core technologies exhibits both multi-layeredness and coupling, with corresponding nodes displaying dynamic core and critical properties. To refine the concept of key core technologies, it is essential to adopt a holistic approach that transcends the examination of individual technologies or isolated layers. The process should initiate with a thorough evaluation of the foundational technological knowledge, the underlying structural framework, and the platforms facilitating transformational applications.A significant focus should be on the (KTI) coupled innovation system, which is central to understanding the complex interactions and couplings between knowledge, technology, and industry subsystems. By analyzing the joint effects within and between layers of knowledge, technology, and collaborative R&D networks in the multi-layer coupled network, key core technologies can be identified. The pursuit of breakthroughs in key core technologies is a dynamic and long-term systemic challenge. By analyzing the stage-specific characteristics and critical conditions of the KTI coupled innovation system′s lifecycle and designing network governance mechanisms, the effectiveness and resilience of system innovation can be enhanced, facilitating breakthroughs in key core technologies.
This paper introduces innovation system theory and complex system theory, providing new research perspectives and directions for the multidimensional exploration of the KTI coupled innovation system. It also offers new methods for exploring the dynamic and complex coupling interaction mechanisms among actors within the innovation system. On the basis of the evolution of the KTI coupled innovation system, the paper investigates the evolution patterns and breakthrough development directions of key core technologies. The paper provides theoretical and methodological support for systematically understanding the essence and evolution of key core technologies, guiding innovation actors in overcoming technological bottlenecks. The findings are crucial for promoting the effective coupling of innovation resources and R&D needs, formulating technological innovation policies and strategic plans by governments and management departments, achieving independent and controllable key core technologies, and ensuring national security and international competitiveness.
新一轮科技革命和产业变革迅猛发展,关键核心技术作为提高国家竞争力和保障国家安全的决定性力量,直接关乎一国能否在国际战略博弈中赢得主动权。全球主要经济体高度重视关键核心技术突破并制定了一系列政策文件。美国围绕关键核心技术知识基础,强调技术对国家安全和经济竞争力的保障作用;欧盟关注关键核心技术在提高产业竞争力等方面的促进作用;中国关注关键核心技术对高质量发展和国家安全等方面的决定性作用。2024年6月,习近平总书记在全国科技大会、国家科学技术奖励大会、两院院士大会上强调,“扎实推动科技创新和产业创新深度融合,助力发展新质生产力”。关键核心技术不同于一般性技术,其突破与发展包含知识创新、技术孵化、关键产品研发等创新过程,技术复杂性和动态性使得各界对关键核心技术内涵、识别的研究未达成共识[1]。科学、技术与产业间协同发展为技术变革创新提供了重要突破口[2],从“知识—技术—产业(以下简称KTI)”维度揭示关键核心技术耦合创新系统特征与演化过程,有利于促进创新资源与研发需求有效耦合,对于政府部门制订科技创新政策和战略规划、实现关键核心技术自主可控、保障国家安全和国际竞争力具有重要意义。
近年来,学术界从知识、技术、产业维度对关键核心技术的研究日益丰富。知识层面研究关注技术的知识本质,认为关键核心技术是技术创新主体在产品研发、生产过程中形成的具有高度复杂性和交叉集成性的核心知识体系[3-4];技术层面研究认为关键核心技术是技术体系的关键核心部分,关键核心技术差距短期内难以缩短,具备技术体系结构复杂性、攻关过程高投入性和长期性、突破机制独特性与系统性等特征(胡旭博等,2022);产业层面研究围绕关键核心技术战略属性及技术突破政策布局等内容展开,认为关键核心技术对一国企业、产业在创新竞争中获取优势地位具有决定性作用[5-6]。知识、技术或产业层面研究多从单一维度展开,未形成整合技术形成、转化应用和突破等过程的耦合创新系统理论框架,创新主体间动态、复杂的耦合互动机制和技术演化规律仍需进一步探究。
目前,越来越多的文献从复杂视角出发,运用复杂系统理论研究关键核心技术。复杂网络作为分析复杂系统的重要工具,其产生于图论的演进过程,随后在各种复杂性维度上得以发展,并逐渐成为系统科学、复杂性科学和统计物理学研究的焦点(方德斌等,2023)。复杂网络关注复杂系统的异构性,通过对现实世界的高度抽象获取技术在整个创新体系的位置和结构特征[7],注重挖掘复杂系统中各组成部分之间的相互作用和反馈机制。关键核心技术突破是一个系统性问题(柳卸林等,2021),涉及知识、技术、产业等子系统及子系统间的复杂关联,因此不能简单地将其局限在单一技术层面或单一维度,需要运用多层耦合网络工具,厘清各部分间的复杂关联,探究耦合创新系统特征与演化规律。
基于此,本文引入技术创新系统理论和复杂系统理论,基于多层耦合网络视角,探究关键核心技术KTI耦合创新系统,旨在解答以下问题:①什么是关键核心技术?②关键核心技术耦合创新系统包含哪些网络特征?③如何通过关键核心技术耦合创新系统网络特征识别关键核心技术?④如何基于生命周期理论探索关键核心技术耦合创新系统演化过程?研究结论可为系统性把握关键核心技术本质与演化规律,指导创新主体突破关键核心技术桎梏提供理论和方法支撑。本文边际贡献主要体现在以下3个方面:首先,突破单一维度研究局限,从多层耦合网络视角探讨关键核心技术“知识—技术—产业”耦合创新系统;其次,针对创新系统主体间的动态复杂耦合互动机制,提供一种可借鉴的新方法——融合复杂网络拓扑特征、高阶等变模型和多PageRank中心性算法的多层耦合创新网络分析法;最后,基于“知识—技术—产业”耦合创新系统演化过程,探索关键核心技术演化规律和创新突破发展方向。
(1)技术创新系统理论。1985年,丹麦经济学家Lundvall[8]在产品创新与用户—生产者研究中正式提出“创新系统”概念,将创新视为包含用户与生产者反馈回路的互动过程,认为创新系统动态发展的核心在于知识积累以及通过实践和互动所进行的学习。技术创新系统(Technological Innovation Systems,TIS)的概念基于Carlsson &Stankiewicz在1991年提出的技术体系概念,他们将其定义为“由动态知识、能力、技术、产品和机构组成的网络,这些网络相互作用以推动特定技术领域的开发、传播和利用”。自技术创新系统概念提出以来,学者围绕系统功能及其应用展开大量研究。例如,Bergek等[9]将技术创新系统(TIS)和国家创新系统(NIS)、区域创新系统(RIS)等进行比较,提出涵盖其他创新系统学者所用方法的7种功能要素。Markard &Truffer[10]探讨技术创新系统(TIS)和多层次视角(MLP)之间的关系,在识别二者优势和局限性的基础上提出一个综合性框架,以便更好地理解技术创新过程和社会技术转型。
(2)复杂系统理论。20世纪80年代,系统理论的研究对象开始向抽象系统和一般系统方向发展,逐步融合形成具有明显交叉学科特性的复杂系统理论,且主要包括复杂网络和复杂适应系统两个方面(田逢时等,2024)。其中,复杂网络是认识社会复杂系统性质和功能的基础。Bollobás[11]将系统表示为普通网络,其中节点表示个体,个体间联系用静态、未加权的单个链接表示。近年来,随着网络科学的蓬勃发展,Mincheng等[12]学者认识到单一网络在捕捉现实细微之处等方面受到较多限制,学者基于更高层次的网络复杂性维度在关键核心技术相关领域开展了丰富的研究。例如,曹琨等(2024)构建“科学—技术”知识主题复杂网络,结合“科学—技术”文本内容特征及复杂网络关系研究关键核心技术识别方法;韩菁等(2021)对“知识—合作网络”提出一种混合加权的多层链路预测算法,以识别复杂系统中的潜在合作关系。复杂适应系统理论(Complex Adaptive System, 简称CAS)概念最初由Holland提出,他在《隐秩序:适应性造就复杂性》一书中将复杂适应系统定义为“由大量互相作用的个体组成的动态系统,这些个体通过局部交互构建全局的复杂行为”。复杂适应系统理论已广泛应用于生物学、经济学、管理学等众多学科领域,并被越来越多的学者应用于探讨现实复杂系统的演化问题。例如,Plikyna等(2015)运用复杂自适应系统理论和代理基础模型,提出通过模拟个体行为来理解和预测社交媒体信息传播方式;刘国巍等(2020)运用无标度网络和复杂适应系统理论构建产学研多主体间的多元连接机制,分析战略性新兴产业合作网络协同演化问题。
2016年4月,习近平总书记在网络安全和信息化工作座谈会上强调,“什么是核心技术?可以从3个方面把握。一是基础技术、通用技术。二是非对称技术、‘杀手锏’技术。三是前沿技术、颠覆性技术。”[13]技术作为基础科学规律的发现与应用,在科学技术发展到一定阶段,产业技术达到高度复杂程度后逐步衍生出关键核心技术的概念。关键核心技术是国家战略部署重点和技术竞争重要领域,各国发布了一系列文件对其概念进行界定。欧盟委员会2023年发布的《关于欧盟经济安全关键技术领域的建议书》中给出关键技术领域选定标准,包括技术赋能和变革性质、民用与军用风险、技术可能用于侵犯人权的风险等[14]。1989—1999年,美国联邦政府向国会提交的《美国关键技术报告》中将关键技术定义为对美国长期国家安全和经济繁荣具有重要意义的技术[15]。
关键核心技术在保障国家安全、为国家带来可持续竞争力等方面具有突出的重要性,因而备受学者关注。既有研究主要基于知识体系、技术体系和产业安全等单一视角对关键核心技术内涵进行界定。知识体系视角下,相关学者认为技术本质上属于知识的集成与应用[16],将关键核心技术定义为“由在短期内难以模仿和复制的稀缺独占性技术知识构成,是技术创新主体在产品研发、制造生产过程中形成的知识体系”(葛爽等,2022);技术体系视角下,相关学者将关键核心技术定义为“通过长期高投入研发过程形成的具有关键性和独特性、控制着同行业技术制高点的技术体系”[17-18];产业安全视角下,相关学者认为关键核心技术是在产业链中居于主导地位,影响多个产业转型升级,对国家经济、军事、产业安全产生战略性影响的科学理论和核心工艺[19]。
考虑到关键核心技术研究现状和发展趋势,本文从“知识—技术—产业”维度出发,基于多层耦合网络视角定义关键核心技术,认为其是从属于复杂性知识的技术,是以知识网络中知识体系为基础外化形成的,以合作研发网络中创新主体联盟为依托平台进行转化应用的,产生于知识、技术和产业层面动态耦合关联过程且在各层内具有决定性作用的,能够保障产业和国家安全的技术体系。
关键核心技术创新突破作为系统性问题,涉及知识、技术、产业子系统及子系统间复杂交互的耦合关联。例如,增材制造技术在20世纪80年代后期开始发展,其中金属3D打印技术因具备在短时间内高精度制造、完全致密金属零件的显著优势,近年来在航空航天等领域受到特别关注。金属3D打印技术是制造业的关键核心技术,2020年被美国列入《出口管理条例》管制清单。此项技术创新系统形成过程如下:首先,材料化学、机械控制等领域多样化知识创新突破为技术创新提供原理性知识基础,完成1级到3级成熟度技术研发。其次,增材制造创新中心等研发机构基于原理性知识和用户需求进行选择性激光烧结技术(SLS)等工艺研发,促进技术顺利推向产业化,完成4级到7级成熟度技术研发。最后,先临三维科技股份有限公司、西安铂力特增材技术股份有限公司等企业在知识和技术反馈的基础上进行金属粉末打印机等设备研发和市场推广,完成8级、9级成熟度技术研发。目前,我国已初步构建涵盖3D打印金属材料、工艺、装备技术到产品应用的全链条增材制造技术创新体系[20]。
推动科技创新和产业创新深度融合对发展新质生产力具有重要意义,本文参考王超等(2024)关于科学、技术、产业间协同发展的创新驱动关系研究,考虑到关键核心技术创新系统动态复杂的本质特征,基于复杂适应系统理论,选取知识、技术和产业3个异质性模块探究KTI耦合创新系统(Knowledge-Technology-Industry Coupled Innovation System)。KTI耦合创新系统由知识子系统、技术子系统、产业子系统及子系统间的耦合关系构成,耦合关系是指子系统间存在非包含的相互依赖关系。多层耦合网络由于考虑到不同层内多类型节点属性、层内连边及层间耦合关系而成为关键核心技术研究的有力工具,因此本文运用多层耦合网络表征KTI耦合创新系统。
关键核心技术KTI耦合创新系统包含4个模块(见图1):知识子系统(KS)、技术子系统(TS)、产业子系统(IS)和子系统间的耦合关系(KS_TS、TS_IS、IS_KS),系统内部知识单元、创新主体、产业组织间的复杂关联使其具有多层性和耦合性特征。其中,知识子系统主导基础研究过程、技术子系统主导应用研究过程、产业子系统主导技术产业化过程。KS_TS代表知识子系统与技术子系统的交互,知识元素为技术子系统提供原理性知识,技术子系统感知技术研发问题并反馈给知识子系统,指导知识创新方向;TS_IS代表技术子系统与产业子系统的交互,技术研发为产业子系统提供创新所需技术知识和技术反馈,产业子系统为技术子系统提供技术转化应用所需人力、资金、设备等创新资源,实现关键核心技术产品化和市场化应用,进而获取市场价值。IS_KS指产业子系统与知识子系统的交互,创新主体从产学研合作关系中获取异质性资源,创造新知识,影响知识子系统内部结构,同时反馈技术发展问题并调整知识子系统创新路径,知识子系统产生合作动机,进而影响创新主体合作伙伴选择。
图1 关键核心技术KTI耦合创新系统框架
Fig.1 Framework of KTI coupled innovation system for key core technologies
关键核心技术多层耦合创新网络包含4个基本要素:知识网络、技术网络、合作研发网络和层间隶属网络。其中,知识网络是关键核心技术的知识基础,包含关键核心技术领域内的科学知识、创新主体反馈的技术知识及知识间的复杂关联,反映基础知识创新过程,知识具有多样性、密集性和组合潜力;技术网络是关键核心技术的结构框架,包含各项技术元素及其相互关联,该网络将原理型知识与市场需求相结合进行技术研发,反映技术形成过程,技术具有动态性、复杂性和稀缺独占性特征;合作研发网络是关键核心技术转化应用平台,包含大学、科研机构、企业等创新主体及创新主体间的合作关系,反映关键核心技术成果转化过程,创新主体通过与产业链同层级主体横向合作获取相似性资源、通过与产业链上下游主体间纵向合作获取互补性资源;在网络层间耦合关系中,知识元素—创新主体、技术元素—创新主体间存在一对多/多对多/多对一的隶属关系(Wang et al.,2014),知识元素—技术元素间存在相互依赖关系。
关键核心技术通过促进多层次创新、提升创新主体对产业链的控制能力降低产业链断裂风险,进而保障国家的产业安全、经济安全和国防安全。“奋斗者”号是我国自主研发建造的第一艘万米级载人潜水器,其研发过程由中国科学院等创新主体组成的创新主体联盟作为主力军,涉及设备制造过程中材料科学、机械工程等多学科知识突破、高速数字水声通信系统等关键技术突破、中国船舶重工集团公司第七〇二研究所产品研发突破,通过多主体协同研发实现深潜装置关键核心技术自主可控,保障海洋科技产业安全。基于此,本文认为关键核心技术KTI耦合创新系统中占据关键核心地位的知识、技术和创新主体多层次创新突破直接关系产业链关键环节技术体系能否实现自主可控,进而影响产业链韧性。此外,在全球经济体系中,创新主体通常面临技术、市场、合作伙伴等外部风险冲击,单一创新主体无法对产业产生强大的控制能力。在研发和生产制造关键材料、核心元部件、算法软件等过程中,占据关键核心位置的创新主体可根据其内部知识库制定合作战略,选择合作伙伴建立合作关系,形成以关键核心主体为中心的创新主体联盟。创新主体联盟能够帮助创新主体应对外部环境冲击,降低关键核心技术产品化过程中面临的风险,增强创新主体对产业的控制能力,保障关键核心主体的产业链地位和产业竞争力,使经济活动可循环和可持续。
现有研究从知识、技术体系、生命周期等视角对关键核心技术特征进行概括。知识视角研究认为关键核心技术研发与攻关包含知识学习、知识共享、知识整合等阶段,因此技术具备知识的高度复杂性和交叉集成性特征(余江等,2021)。技术体系视角研究认为社会信息化程度提升使得关键核心技术中单项技术知识含量越来越高,不同单项技术单元间链接组合越来越复杂,因此技术具有技术体系结构的复杂性、技术稳定性和可靠性特征(罗军等,2021)。生命周期视角研究认为关键核心技术具备演化属性,即技术关键程度随着技术应用范围和深度变化而逐渐变化[21]。
已有研究从单一维度视角描述关键核心技术特征,但关键核心技术创新既包括综合性知识与技术的交织过程,又涉及产业的复杂关联。关键核心技术KTI耦合创新系统将关键核心技术的复杂关联置于同一框架下进行研究,因此本文使用关键核心技术多层耦合创新网络表征关键核心技术KTI耦合创新系统,深入剖析KTI耦合创新系统的本质特征(见图2)。
图2 多维度辨析关键核心技术KTI耦合创新系统网络特征
Fig.2 Multi-dimensional analysis of the network characteristics in the KTI coupled innovation system for key core technologies
特征一:关键核心技术多层耦合创新网络由内部结构独特复杂且能够承担多样化功能的知识网络层、技术网络层、合作研发网络层构成,具有多层性特征。
关键核心技术突破需要贯通知识元素发现、技术元素创造、关键产品研发制造等一系列流程,本文从知识、技术和产业维度解构KTI耦合创新系统,使用知识网络、技术网络和合作研发网络对3个子系统进行分析。其中,知识网络由相互联系、相互作用的知识元素构成,网络中节点代表知识元素,连边对应知识元素之间的组合关系;技术网络由技术元素之间通过技术关联相互作用构成,网络中节点代表技术元素,连边代表技术元素之间存在技术关联;合作研发网络是组织之间基于特定目标,通过合作研发、创新战略联盟等方式形成的相对稳定的社会联结结构,网络中节点代表企业、大学、科研机构等创新主体,连边代表主体间针对某一创新实践所开拓的合作渠道,用于访问、获取、转移和吸收多元化知识信息(Wang et al.,2014)。
特征二:关键核心技术多层耦合创新网络内部知识层、技术层、合作研发层间通过节点或连边的相互作用和相互依赖产生紧密关联,具有耦合性特征。
关键核心技术KTI耦合创新系统中各子系统并非独立存在,子系统内部和子系统间紧密联系,产生相互协调、动态互动的耦合关系,共同影响创新系统。本文用多层耦合网络层内的耦合关系表征子系统内部耦合关系,用网络层间耦合关系表征子系统间的耦合关系。其中,层内耦合是指单个网络层内部节点间存在相互影响的耦合关系,网络层内连边的涌现受节点间关系强度、信任程度、中心性等节点属性与网络结构的影响。例如,互联网技术与图形处理技术耦合关系促进工作站技术涌现;可再生能源绿氨制备、高温工业窑炉氨氢融合零碳燃烧、氨氢融合零碳交通运输装备等技术间互相耦合组成氨氢融合新能源技术体系。层间耦合是指两个不同但相互关联的网络层间存在明确、复杂的映射关系,这种耦合关系表现为相互融合、相互驱动的复杂互动关联,并随时间推移发生阶段性变化。层间耦合关系使得单层网络核心节点和关键节点变动会影响其它网络层,其它网络层内部变化也会反作用于这个网络,从而产生密集的交互影响,不同层间关系强度代表耦合水平(见图3)。例如,超导托卡马克装置中超导电缆绞制核心技术突破形成大量自主知识产权,促进能源和材料科学等领域知识融合,推动合作企业——西部超导材料科技股份有限公司上市。5d电子材料制备关键技术研发桥接材料科学和凝聚态物理领域知识元素,显著增强了高通量计算和机器学习技术组合动力,为半导体、显示器和能源等领域创新主体带来诸多合作机会。
图3 关键核心技术多层耦合创新网络核心节点和关键节点的耦合效应
Fig.3 Coupling effects of core nodes and key nodes in the multi-layer coupled innovation network of key core technologies
注:核心节点和关键节点可能会出现在知识网络、技术网络、合作研发网络三者中的任一网络,进而对其它网络层产生耦合效应,图中仅以知识网络中的节点出现为例
单层网络中核心节点具有中心位置优势,核心节点的出现在网络层内吸引优质互补性节点元素产生密集连接,形成强关系,通过影响其它网络层对应节点,从而形成群策群力的研发氛围并带来知识获取增强、技术研发能力与企业合作效率提升的正向反馈。此外,单层网络中关键节点具有桥接功能,关键节点的出现在网络层内吸引未产生连接的异质性节点形成弱关系,通过影响其它网络层对应节点产生与异质性节点元素组合的动机,从而增强知识和技术元素组合重构动力、促进创新主体信息交流共享等正向反馈。由于边缘节点远离网络中心位置且不具有桥接功能,节点变动带来的耦合效应较小。
特征三:在关键核心技术多层耦合创新网络中,关键核心技术对应节点在所属网络层内部和产业链上下游同级网络层内部占据网络核心位置,发挥关键桥接功能,具有动态核心性和关键性特征。
(1)核心性。占据网络中心位置的核心节点在所属网络层内占据网络中心位置、核心节点映射到其余网络中的节点在所属网络层内占据网络中心位置、核心节点关联到产业链上中下游不同位置的同层级网络中的节点也在所属网络层内占据网络中心位置。核心节点拥有更丰富的网络资源、更大的知识溢出效应和外部优质互补性元素节点吸引力,能够吸引外部新的节点产生新的节点组合,进而形成节点集群。
(2)关键性。占据网络结构洞位置的关键节点在所属网络层内拥有丰富的结构洞、关键节点映射到其余网络中的节点在所属网络层内拥有丰富的结构洞、关键节点关联到产业链上中下游不同位置的同层级网络中的节点也在所属网络层内拥有丰富的结构洞。关键节点是异质性信息流交汇的枢纽,拥有丰富的结构洞,掌握着绝对的信息优势和控制优势,更容易在创新活动中获得自主权,能够将多个节点集群连接在一起,进而组合形成节点体系。
节点核心性和关键性整体呈现出不断更新的状态,网络层内新节点和节点组合的出现、其它网络层需求与反馈均会对节点位置产生影响,即节点并非固定属于关键核心范畴,而是在创新过程中经过不断更新和演变逐渐成为关键节点或核心节点。
关键核心技术是国之重器,准确、有效识别关键核心技术对于我国政府制定科技创新政策、产业布局规划等战略决策,管理机构完善产业链安全评估、技术资源配置等技术治理工作,创新主体优化技术研发突破方向、商业化路径选择等具有重要意义。目前,国内外关键核心技术识别研究主要围绕技术视角、技术和产业链视角、网络视角3个方面内容展开。技术视角研究基于常规方法识别技术共性特征,采取从合集中抽取子集的方式来识别关键核心技术(李露等,2024);技术和产业链视角研究在技术特征基础上纳入产业链及创新链指标,通过多指标综合法完善关键核心技术识别方法;网络视角研究通常基于共现网络或引文网络,通过计算网络拓扑特征指标来识别关键核心技术所处位置。现有研究多考虑技术、产业等单个维度,通过在技术现有识别方法的基础上引入单一或综合指标对数据进行引文、共词分析,进而识别关键核心技术,未将知识、技术、产业多种因素纳入统一分析框架,来关注关键核心技术本质特征。
为克服现有关键核心技术定量识别方法的不足,本文聚焦关键核心技术本质,基于多层耦合网络视角,通过明晰关键核心技术KTI耦合创新系统结构和特征甄别可计算指标,整合专利、论文、市场数据等多源信息,提出关键核心技术识别方法,即融合复杂网络拓扑特征、高阶等变模型(E(3)-Equivariant Graph Neural Network)和多PageRank中心性算法的多层耦合创新网络分析方法(见图4)。
图4 基于KTI耦合创新系统的关键核心技术识别方法
Fig.4 Identification of key core technologies based on the KTI coupled innovation system
2.2.1 KTI耦合创新系统网络表征
关键核心技术多层耦合创新网络表征KTI耦合创新系统,该创新网络由3个子网络层和3个子网络层间的耦合网络组成。①知识网络:引文网络作为研究知识演化问题的有效依托,由于其结构性和规范性而成为研究知识网络的重要指标[22]。本文以专利文献为节点,以专利文献间的直接引用关系为连边构建知识网络;②技术网络:专利作为技术创新的产物,能直观反映技术间的关系变化过程[23]。本文以专利IPC分类号的前4位为节点,以专利IPC分类号共现关系为连边构建技术网络;③合作研发网络:本文以专利权人为节点,以专利权人共现关系为连边构建合作研发网络;④知识—技术网络:从专利中提取专利IPC分类号与专利文献的映射关系构建而成;⑤知识—合作研发网络:从专利中提取专利文献与专利权人的映射关系构建而成;⑥技术—合作研发网络:技术依附于组织[24],本文从专利中提取专利IPC分类号与专利权人的隶属关系构建而成。
(1)网络拓扑特征。本文选取网络图、节点数、连边数、网络密度4个指标测度与分析关键核心技术多层耦合创新网络整体结构。
网络图。数学中的图论是研究复杂网络的起源,多数复杂网络均是通过对复杂系统的简单抽象得来。本文研究的多层耦合创新网络属于相互依存的网络,其中知识网络、技术网络、合作研发网络单个网络层内节点同质,网络间节点不同质,不同网络层内节点通过相互依赖的边连接[25]。本文将关键核心技术多层耦合创新网络表示为点集与边集组成的节点着色网络图,每层网络可表示为:Gc=(Vc,Ec,C,χ)。其中,Vc表示网络中节点的集合,Ec表示节点间连边的集合,C为节点对应的颜色集,χ:Vc→C表示每个节点颜色的函数。假设V=Vc,L=C,则多层耦合创新网络可表示为图GM=(VM,EM),VM={(i,c)∈V×L|χi=c}为网络点集,EM={((i,c1),(j,c2))∈VM×VM|(i,j)∈Ec}为网络边集。
节点数和连边数。节点数和连边数是衡量网络规模的两个重要指标,在多层耦合创新网络中分别通过加总节点数量以及各节点间连接关系的数量进行测度。相关研究表明,网络节点数量越多,说明网络中元素存量与种类越丰富;网络连边数量越多,表明异质性节点元素间知识流动或合作行为的选择渠道越丰富[26]。随着节点与连边数量的增加,网络规模扩大,关键核心技术多层耦合创新网络中的创新主体从外部获取新知识、技术与信息资源的可能性较大。因此,节点数和连边数作为网络结构测度的基础指标,在一定程度上能反映技术创新发展态势。
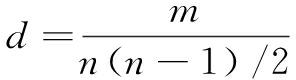
网络密度。网络密度(Density)反映网络凝聚性和稠密性,关键核心技术多层耦合创新网络密度越大,网络内部节点间的凝聚力越强,节点间交流距离越短,信息传播速度越快。假设关键核心技术多层耦合创新网络包含n个节点和m条连边,由于该网络为无向网络,可能存在的最大边数为n(n-2)/2,网络密度可表示为网络中实际拥有的连接数与最多可能拥有的连接数之比,公式如下:
![]()
(1)
其中,d为网络密度,取值介于0~1之间,密度值越趋近于1,表明子网络层内和层间连接越紧密。密度值越趋近于0,表明子网络层内和层间连接越稀疏。
(2)网络张量表征。张量表征体现为多层网络蕴含的信息,单层网络的张量表征通常用邻接矩阵表示。将单层网络张量表征引申到多层网络,对于具有3层子网络的关键核心技术多层耦合创新网络,每种类型关系都包含在系统的单个层次
中。
表示第k层的层内邻接张量。若层
的节点ni与层
的节点nj相连,则层间的邻接张量表示为
因此,关键核心技术多层耦合创新网络邻接张量可表示为张量积:

(2)
其中,
为实数,表示
层ni与
层节点nj间的关系强度;
为向量空间RN×L的规范基;
为向量空间RN×N×L×L中规范基的4阶张量。
2.2.2 关键核心技术识别方法
多层耦合创新网络视角下关键核心技术内涵界定与创新系统网络特征辨析为关键核心技术识别提供了理论支撑,技术的网络表征为关键核心技术识别提供了数值化符号工具。基于此,本文甄选出核心性指标和关键性指标,提出融合网络拓扑特征与算法的多层耦合创新网络分析方法。使用中心度和结构洞指标量化节点的网络中心位置优势和桥接功能强度,用以测度网络层内耦合关系;通过嵌入高阶等变模型和多PageRank中心性算法,用以测度网络层间耦合关系;通过网络层内和层间耦合关系计算节点关键核心性,用以识别关键核心技术。
(1)核心性测度。节点核心性测度包括3个步骤:首先,计算目标节点在所属网络层内的中心性;其次,计算网络层间耦合关系,测度目标节点在其它网络层内对应节点中心性对目标节点的影响程度;最后,综合节点层内中心性和层间耦合关系,计算节点在多层耦合创新网络中的核心性。
第一,网络层内节点中心度。多层网络中节点中心性体现某一节点接触到其它异质性节点、创造新连接的难易程度,通过影响节点向外部的动力间接反映节点核心性。本文借鉴杨博旭等[27]的研究,使用中心度指标衡量网络层内节点核心性,即目标节点与其它节点联系的绝对数量,计算公式如下:
![]()
(3)
其中,
表示多层耦合创新网络子网络层α中节点i的中心度,i表示目标节点,j表示除i之外的节点,当节点i与节点j之间具有连接关系时,Xji取值为1,反之为0。
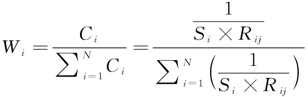
第二,网络层间耦合关系。网络层间耦合关系是指不同网络层之间通过共享节点相互联系,进而影响系统间的整体动态[28]。相关学者多通过衡量网络层重要性或节点在网络层间的跳跃概率等方式量化节点在网络层内和网络层间的随机跳跃行为,进而表征网络层间耦合关系。Ng等[29]考虑到多层网络中的随机游走,将PageRank算法推广到多层网络中。本文基于张量分析视角,参考Lv等[30]关于层间耦合关系的多层网络中心性计算方法,基于高阶等变模型框架,使用多PageRank的MRFNL中心性算法计算网络层重要性及网络层间节点跳跃概率张量,公式如下:
![]()
(4)

(5)
其中,O和R表示跃迁概率张量,x表示节点中心性向量,y表示层中心性向量。求解上述方程,如果
为张量方程的解,则
表示节点i的中心性值,
表示网络层α的中心性值。向量yα(1≤α≤L)表征多层耦合创新网络中网络层的重要性,元素Oi,α,j,β(1≤i≤Nα,1≤j≤Nβ,1≤α、β≤L)表征多层耦合创新网络中其它网络层节点跳跃到网络层α中的第i个节点的概率。
第三,节点核心性。基于此,假设
表示关键核心技术多层耦合创新网络中子网络层α中节点i的核心性,计算公式如下:
![]()
(6)
![]()
(7)
其中,1≤i≤Nα,1≤j≤Nβ,1≤α、β≤L且α≠β,公式(6)通过计算目标节点及其映射到其它网络层对应节点的层内中心性与各节点所属网络层的权重乘积加总,得到目标节点核心性,适用于分析整体性较强的多层耦合创新网络;公式(7)通过计算与目标节点有映射关系的其它网络层对应节点中心性与节点跳跃概率的乘积加总目标节点在所属网络层内的中心性,得到目标节点核心性,适用于分析层内节点属性差异较大的多层耦合创新网络。
(2)关键性测度。节点关键性测度包括3个步骤:首先,测算目标节点在所属网络层内的结构洞丰富度;其次,测算网络层间耦合关系,测度目标节点在其它网络层内对应节点结构洞丰富度对目标节点的影响程度;最后,综合节点层内结构洞丰富度和层间耦合关系,测算节点在多层耦合创新网络中的关键性。
第一,网络层内节点关键性。多层网络中节点关键性体现某一节点作为异质性信息交汇枢纽掌控信息的能力,通过影响节点间信息传递效率反映节点重要性。结构洞用以表征两个行动者之间的非冗余联系(翟东升,2020),本文借鉴Burt[31]提出的限制度指标衡量节点结构洞丰富程度。限制度越高,网络闭合程度越高,拥有的结构洞数量越少(刘和东,2023),故本文采用“1-限制度”测度节点结构洞丰富程度:
![]()
(8)
其中,
表示多层耦合创新网络子网络层α中节点i的结构洞丰富程度,Cij为节点i受到节点j的限制度指标,piq为节点i的全部层内关系中节点q占总关系的比值。
第二,网络层间耦合关系。向量yα表征多层耦合创新网络中网络层的重要性,元素Oi,α,j,β表征多层耦合创新网络其它网络层节点跳跃到网络层α中的第i个节点的概率。
第三,节点关键性。
表示关键核心技术多层耦合创新网络中子网络层α中节点i的关键性。
![]()
(9)
![]()
(10)
其中,1≤i≤Nα,1≤j≤Nβ,1≤α、β≤L且α≠β。同理可得,公式(9)适用于分析整体性较强的多层耦合创新网络;公式(10)适用于分析层内节点属性差异较大的多层耦合创新网络。
(3)关键核心性测度。对核心性和关键性两个指标作归一化处理,利用层间相似性客观赋权法(Criteria Importance Through Intercriteria Correlation,简称CRITIC)计算各测度指标权重,构建关键核心技术识别模型。CRITIC法在考虑指标内部变异性Si与指标间相关性Rij的基础上分析指标信息价值,能消除相关性较强指标对最终结果的不良影响,并减少指标之间的信息重叠(Serbia et al.,2020),进而获得可行度较高的结果。指标客观权重计算公式如下:

(11)
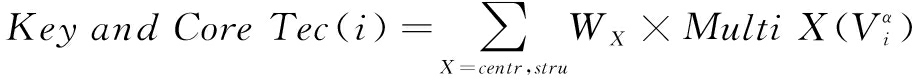
关键核心技术多层耦合创新网络中节点核心性、关键性指标及指标间权重确定后,计算节点关键核心性以识别关键核心技术,识别模型如下:
![]()
(12)
其中,Wcentr、Wstru分别表示核心性和关键性指标客观权重,且
为节点i的核心性,
为节点i的关键性。
当前,新旧技术更替周期急剧缩短,关键核心技术创新发展生命周期特征愈发明显,本文基于生命周期理论,从多层耦合网络视角将KTI耦合创新系统演化过程划分为萌芽阶段、兴起阶段、成熟阶段和衰退阶段,分析不同阶段网络层内结构和层间耦合关系的非线性变动情况,探究KTI耦合创新系统的演化特征和临界条件,揭示关键核心技术演化规律和突破方向(见图5)。
图5 关键核心技术KTI耦合创新系统生命周期网络演化过程
Fig.5 Network evolution of the life cycle in the KTI coupled innovation system for key core technologies
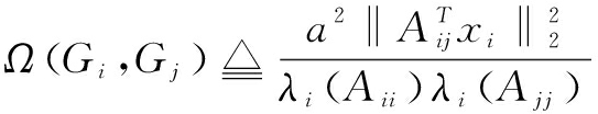
关键核心技术KTI耦合创新系统是一个自适应、非稳态的复杂系统,从多层耦合创新网络视角分析,系统演化受到不同网络层中节点创新行为的驱动作用,表现为不同阶段网络层内节点、连边和层间耦合程度等网络特征变动。现有文献多采用层间密度(Inter-layer Link Density)、层内与层间最近邻居(Second-nearest neighbors)等指标衡量复杂网络层间耦合程度(Wang et al.,2011;Dickison et al.,2012)。本文参考Sahneh等[32]的研究,采用网络层间耦合强度指标度量网络间耦合程度,计算公式如下:
i,j∈{1,2,3}且i≠j
(13)
其中,知识网络为G1,技术网络为G2,合作研发网络为G3,α表示网络层内与层间连接的异质性,A表示网络层的邻接矩阵,λi表示网络层的谱半径,xi表示λi(Aii)的特征向量。参考Sahneh等(2013)的研究,设定耦合强度阈值为1,当Ω(Gi,Gj)<1时,网络层Gi和网络层Gj间存在弱耦合,当Ω(Gi,Gj)>1时,网络层Gi和网络层Gj间存在强耦合(见表1)。
表1 关键核心技术KTI耦合创新系统生命周期阶段性网络特征
Table 1 Lifecycle stage-specific network characteristics of KTI coupled innovation system for key core technologies
阶段核心性关键性G1,G3 耦合度G1,G2 耦合度G2,G3 耦合度萌芽阶段低低高低低兴起阶段高低高高低成熟阶段高高高高高衰退阶段低低低低低
随着时间推移,创新主体内部创新需求和外部环境变化使多层耦合创新网络特征发生变化,达到阈值T后,发生技术生命周期阶段性变动。其中,关键核心技术生命周期演化阈值T1=(核心节点出现,Ω(G1,G2)>1)、T2=(关键节点出现,Ω(G2,G3)>1)、T3=(核心节点和关键节点消失,Ω(G1,G2)<1,Ω(G2,G3)<1,Ω(G1,G3)<1)。
基于此,本文分别基于网络层内结构和层间耦合关系分析关键核心技术KTI耦合创新系统生命周期阶段性网络特征。第一,萌芽阶段,技术领域存在大量知识空白,由于技术发展前景不明晰,新的节点和连边数量增长缓慢;大学作为知识创新主导者,利用内部知识库及合作交流反馈经验进行知识创新,发现并掌握领域内知识,知识网络与合作研发网络之间耦合程度较高;新发现的知识尚未大量转化为技术和产品,知识网络与技术网络、合作研发网络与技术网络之间的耦合程度较低。第二,兴起阶段,逐渐明晰的技术发展前景和已有知识基础、研发经验激发创新主体积极性,新的节点和连边数量快速增加,核心节点出现;知识网络与合作研发网络之间耦合稳定;科研机构作为技术创新主导者关注技术研发,促进知识外化以产生大量新技术,知识网络与技术网络之间耦合程度提升;新技术尚未得到产品化和市场化,合作研发网络与技术网络之间耦合程度较低。第三,成熟阶段,技术成熟度提高使得新节点进入门槛较高,创新市场逐渐饱和,新的节点和连边加入数量减少,关键节点出现;知识网络与合作研发网络、知识网络与技术网络之间耦合稳定;企业作为技术转化应用主导者更加关注产品研发,促进关键核心技术产品化和市场化,合作研发网络与技术网络之间耦合程度提升。第四,衰退阶段,原有关键核心技术不再具有发展前景,新节点和连边加入数量逐渐趋近于零,围绕新技术领域涌现出少量节点和连边;技术发展潜力降低,合作研发网络中创新主体大量退出市场,原有技术领域知识、技术与合作研发网络间耦合程度下降,新技术领域知识网络与合作研发网络间耦合程度提升。
在关键核心技术KTI耦合创新系统生命周期不同阶段演化过程中,萌芽、兴起到成熟阶段网络节点核心性和关键性逐渐提高,新增节点占比逐渐增加,网络集聚程度逐渐上升,网络整体规模不断扩张。衰退阶段网络节点核心性和关键性降低,网络中新增节点趋近于零,退出节点占比逐渐上升。例如,在精简指令集处理器(MIPS)技术形成与演化过程中,美国斯坦福大学主导新知识探索阶段,知识层与产业层耦合紧密;科研机构主导原理性知识外化形成MIPS处理器原型阶段,知识层与技术层耦合紧密;技术依托MIPS公司进行产品研发阶段,技术层与产业层耦合紧密,网络间耦合关系随创新活动主导者变化而变化。在经历一轮生命周期演变后,前期关键核心技术在网络中发挥的作用逐渐降低,开始进入技术迭代阶段,围绕新技术元素进入新技术生命周期阶段。
在新一轮科技革命和产业变革继续深入及国内国际双循环新发展格局下,加强原创性科技攻关、实现关键核心技术自主可控作为实施创新驱动发展战略的关键环节,对于促进我国经济高质量发展、保障国家安全至关重要。本文引入创新系统理论和复杂系统理论,基于多层耦合网络视角,从“知识—技术—产业”维度描述关键核心技术KTI耦合创新系统,通过分析创新系统内在结构、网络特征与演化过程,多维度探索关键核心技术的本质内涵、识别方法及演化规律,得出如下结论:
(1)多层耦合网络视角下,关键核心技术多层耦合创新网络由内部结构独特复杂且能够承担多样化功能的知识网络层、技术网络层、合作研发网络层构成(多层性);各网络层通过节点或连边的相互作用和相互依赖产生紧密关联(耦合性);关键核心技术对应节点在所属网络层内部和产业链上下游同级网络层内部占据网络核心位置,发挥关键桥接功能(动态核心性和关键性)。
(2)关键核心技术识别不只局限于某个技术或某个层面,应从技术的知识基础、结构框架、转化应用平台入手,关注由知识、技术、产业子系统及子系统间复杂交互耦合关联构成的KTI耦合创新系统,分析多层耦合网络中知识、技术和合作研发网络层内与层间的共同作用,以识别关键核心技术。
(3)关键核心技术攻关是一个动态、长期的系统工程。随着时间变化,KTI耦合创新系统中的关键核心技术逐渐萌芽、发展、成熟、衰退,技术在经历一轮生命周期演变后进入迭代过程,围绕新技术元素进入新技术生命周期阶段。通过分析关键核心技术KTI耦合创新系统生命周期的阶段性特征和临界条件,设计网络治理机制,能够提升整体系统创新效能与韧性,促进关键核心技术创新。
政府、企业、大学和科研机构应高度重视KTI耦合创新系统对关键核心技术突破的作用。KTI耦合创新系统作为一个动态复杂系统,系统中知识、技术、创新主体的位置、功能、耦合关系变动为关键核心技术突破带来机会,只有正确把握创新系统特征与演化规律才能有效促进关键核心技术突破。根据上述研究结论,本文提出如下政策建议:
(1)政府部门应对占据关键或核心位置的企业进行全方位政策支持,如推动企业知识库建设、提供研发贷款与金融支持等,催化关键核心创新主体出现,培育具有更高抗风险能力和创新潜力的创新主体联盟,提升创新主体对产业链的控制能力,增强产业链韧性。
(2)企业需要培养对关键核心技术KTI耦合创新系统变动的及时感知与响应能力,积极推进产业层面公共服务、算法软件共享,加速资源流动。占据关键核心位置的企业需要积极探索与高校、科研机构及产业链上下游企业的合作模式,抢占技术制高点,带动创新主体联盟发展。
(3)大学与科研机构作为科技成果转化的技术策源地,需要充分发挥自身跨学科、跨理论、跨方法的系统性优势,聚焦基础研究与前沿领域,组建面向特定技术攻关领域的跨学科知识团队,为关键核心技术攻关提供人才基础与知识支撑。
本文对关键核心技术KTI耦合创新系统多维度探索提出新的研究视角,但未实证检验关键核心技术识别方法的有效性,未来应在理论和应用等方面进行深入研究,如从关键核心技术生命周期发展规律和临界条件出发,实证探究多层网络耦合机理,分析其耦合效应;深入挖掘关键核心技术多层耦合创新网络优化方法,使创新资源配置耦合于技术研发需求;实证检验融合复杂网络拓扑特征和算法的多层耦合创新网络分析方法对于关键核心技术识别的有效性。
[1] 陈劲,阳镇,朱子钦.“十四五”时期“卡脖子”技术的破解: 识别框架、战略转向与突破路径[J]. 改革,2020,42(12):5-15.
[2] 王超,许海云,齐砚翠,等.知识网络视角下科学、技术、产业间创新驱动关系识别方法研究[J].情报学报,2024,43(1):10-24.
[3] 余江,陈凤,张越,等.铸造强国重器:关键核心技术突破的规律探索与体系构建[J].中国科学院院刊,2019,34(3):339-343.
[4] 阳镇.关键核心技术:多层次理解及其突破[J]. 创新科技,2023,23(1):14-24.
[5] 冯堃,李显君,熊昱,等.关键核心技术研究综述:概念、结构、突破路径与机制[J].科研管理,2023,44(12):21-30.
[6] 余维新,熊文明.关键核心技术军民融合协同创新机理及协同机制研究——基于创新链视角[J].技术经济与管理研究,2020,41(12):34-39.
[7] 曹琨,吴新年,白光祖,等.基于“科学—技术”复杂网络的关键核心技术识别研究——以数控机床领域为例[J].数据分析与知识发现,2025,9(3):42-55.
[8] LUNDVALL B A. Product innovation and user-producer interaction[M]. Aalborg: Aalborg University Press, 1985.
[9] BERGEK A, JACOBSSON S, CARLSSON B, et al. Analyzing the functional dynamics of technological innovation systems: a scheme of analysis[J]. Research Policy, 2008, 37(3): 407-429.
[10] MARKARD J,TRUFFER B.Technological innovation systems and the multi-level perspective: towards an integrated framework[J]. Research Policy, 2008, 37(4): 596-615.
[11] BOLLOBAS B. Modern graph theory[M]. New York: Springer, 1998.
[12] MINCHENG W, SHIBO H, YONGTAO Z, et al. A tensor-based framework for studying eigenvector multicentrality in multilayer networks[J]. Proceedings of the National Academy of Sciences, 2020, 116(31): 15407-15413.
[13] 习近平.在网络安全和信息化工作座谈会上的讲话(2016年4月19日)[M].北京:人民出版社,2016.
[14] European Commission. Commission recommends carrying out risk assessments on four critical technology areas: advanced semiconductors, artificial intelligence, quantum, biotechnologies[EB/OL]. [2023-10-03].https://ec.europa.eu/commission/presscorner/detail/en/ip_23_4735.
[15] CAROLINE S WAGNER, STEVEN W POPPER.Identifying critical technologies in the United States: a review of the federal effort[J].Journal of Forecasting,2003,22(2):113-128.
[16] NONAKA I. A dynamic theory of organizational knowledge creation[J]. Organizational Science, 1994, 5(1): 14-37.
[17] 韩凤芹,史卫,陈亚平.以大战略观统领关键核心技术攻关[J].宏观经济研究,2021,43(3):111-119,159.
[18] 袁野,汪书悦,陶于祥.人工智能关键核心技术创新能力测度体系构建:基于创新生态系统视角[J].科技进步与对策,2021,38(18):84-93.
[19] 陈峰.论国家关键核心技术竞争情报[J].情报杂志,2019,38(11):1-5.
[20] 卢秉恒.增材制造技术——现状与未来[J].中国机械工程,2020,31(1):19-23.
[21] 阳镇,陈劲.拨开迷雾:“卡脖子”技术的再审视及其破解[J].开放时代,2023,42(4):79-92,7.
[22] 马费成,刘向.科学知识网络的演化模型[J].系统工程理论与实践, 2013, 33(2): 437-443.
[23] 高霞,陈凯华.合作创新网络结构演化特征的复杂网络分析[J].科研管理,2015,36(6):28-36.
[24] 刘晓燕,孙丽娜,裘靖文,等.基于多层网络的人工智能领域跨界技术融合[J].复杂系统与复杂性科学,2022,19(1):45-51.
[25] MIKKO K, ALEXANDRE A, MARC B, et al.Multilayer networks[J]. Journal of Complex Networks, 2014, 2(3): 203-271.
[26] FREEMAN C. The determinants of innovation: market demand, technology, and the response to social problems[J]. Futures, 1979, 11(3): 206-215.
[27] 杨博旭,王玉荣,李兴光.“厚此薄彼”还是“雨露均沾”——组织如何有效利用网络嵌入资源提高创新绩效[J].南开管理评论,2019,22(3):201-213.
[28] KIVELA M, ARENAS A, BARTHELEMY M, et al. Multilayer networks[J]. Journal of Complex Networks, 2014, 2(3): 203-271.
[29] NG M K, LI X, YE Y. MultiRank: co-ranking for objects and relations in multi-relational data[C]. New York: Proceedings of the 17th ACM SIGKDD International Conference on Knowledge Discovery and Data Mining,2011.
[30] LV L S, ZHANG K, ZHANG T, et al. Nodes and layers PageRank centrality for multilayer networks[J]. Chinese Physics B, 2019, 28(2): 129-136.
[31] BURT S. Structural holes and good ideas[J]. The American Journal of Sociology, 2004, 110(2): 349-399.
[32] SAHNEH F D,SCOGLIO C,CHOWDHURY F N.Effect of coupling on the epidemic threshold in interconnected complex networks: a spectral analysis[C]. Washington:2013 American Control Conference, 2013.