公共数据开放与企业联合创新:省、市两级平台比较

万道侠,于庆海,杨冬梅

(山东财经大学 统计与数学学院,山东 济南 250014)

摘 要:在数字经济蓬勃发展背景下,公共数据成为新型生产要素,其开放正深刻影响着企业联合创新。基于2010—2023年中国A股上市公司面板数据,将省、市两级公共数据开放平台上线视为准自然实验,系统考察两级公共数据开放对企业联合创新的赋能差异。研究发现:①省级公共数据开放能显著促进企业联合创新,而市级公共数据开放受限于平台自身建设水平,整体赋能效应不显著,但加大政府科技投入、提升政府数字关注度可有效改善这一状况;②进一步分析表明,省级公共数据开放主要通过提升企业数字技术应用广度和深度促进联合创新;③异质性分析发现,省级公共数据开放赋能企业联合创新的效应在创新型城市、技术密集型企业、数字经济产业和成长期企业中更为明显。研究为优化两级公共数据开放政策、提升地方数据平台治理能力、破解“有数据不会用”等现实困境提供实证依据和政策建议。

关键词:两级公共数据开放;企业联合创新;数字技术应用

Public Data Openness and Joint Innovation among Enterprises: A Comparison of Platforms at the Provinvial and Municipal Levels

Wan Daoxia,Yu Qinghai,Yang Dongmei

(School of Statistics and Mathematics,Shandong University of Finance and Economics,Jinan 250014,China)

AbstractAs a vital component of data resources, public data is increasingly recognized for its strategic role in driving innovation. Governments at various levels in China have actively advanced platform development, initially establishing a two-tier public data openness system at the provincial and municipal levels. However, objective disparities exist between these two levels in terms of data coverage, data quality, and policy enforcement. Compared to independent innovation, enterprise joint innovation relies more heavily on external data resources and can enhance the efficiency of cross-organizational resource integration, thereby fostering the growth of new quality productive forces.

Existing literature primarily focuses on the overall effects of public data openness on enterprise innovation and digital transformation, with limited attention paid to its role in promoting joint innovation. In particular, there is a lack of systematic analysis regarding the differences in policy effects between provincial and municipal platforms. Therefore, this study extends the analytical perspective to explore how two-level public data openness facilitates enterprise joint innovation, with a particular focus on the variation in policy effectiveness across different administrative levels.

To this end, this paper employs a staggered difference-in-differences(DID) model to examine three core relationships: the impact of provincial and municipal public data openness on enterprise joint innovation, the influencing factors behind policy effect differences between the two levels and the mediating role of enterprise digital technology application. Using panel data of A-share listed companies in China from 2010 to 2023, the study ultimately obtains 26 564 firm-year observations, covering 2 185 listed firms after data preprocessing. The conclusions are validated through a series of robustness tests, including parallel trend tests, endogeneity checks, and placebo tests. Additionally, the study further analyzes heterogeneity in municipal-level platforms in terms of openness, R&D investment, and government digital attention, and conducts subgroup analyses based on region, industry, and firm characteristics.

The empirical findings show that provincial-level public data openness significantly promotes enterprise joint innovation, whereas municipal-level openness, constrained by limited platform capabilities, does not exhibit significant enabling effects overall. However, increased investment in scientific research and heightened government digital attention can effectively mitigate this limitation. Further analysis reveals that provincial-level public data openness facilitates joint innovation mainly by enhancing the breadth and depth of enterprise digital technology application. Heterogeneity analysis shows that the effect is more pronounced in innovative cities, digital economy industries, technology-intensive enterprises, and growth-stage firms.

On the basis of these findings, this paper proposes(1) strengthening institutional design and scenario-based orientation of provincial platforms;(2) increasing resource support for municipal platform construction, operation, and maintenance;(3) enhancing fiscal support for science and technology;(4) improving municipal institutional frameworks and data governance capacity;(5) implementing differentiated data support mechanisms by firm type—providing technology standards and research outputs to technology-intensive firms while offering market trends and strategic financing data to growth-stage firms—to enhance joint R&D efficiency and multi-stakeholder resource synergy; and (6) promoting the orderly development of enterprise digital technology application capabilities to strengthen data-to-innovation conversion.

The marginal contributions of this paper are as follows:Firstly, it expands the theoretical perspective on enterprise joint innovation. By positioning public data as a key production factor, this study analyzes its value in enterprise joint innovation, enriching the resource-based theoretical framework of joint innovation.Secondly, it reveals policy effect differences between two levels of public data openness. While prior studies mainly evaluate the overall effects of public data openness from a macro perspective, this study emphasizes the differentiated impact of provincial and municipal platforms, thereby deepening the theoretical foundation for refined, regionally tailored policy implementation.Thirdly, it clarifies the mechanism of public data openness and highlights the mediating role of digital technology application. From the perspective of internal firm capabilities, this study examines how the breadth and depth of digital technology application mediate the relationship between public data openness and joint innovation, thus advancing the understanding of how data elements generate value.

Key WordsTwo-level Public Data Openness; Joint Innovation among Enterprises; Digital Technology Application

收稿日期:2025-07-14

修回日期:2025-11-20

基金项目:山东省社会科学规划重点研究项目(24BTJJ01)

作者简介:万道侠(1987—),女,山东菏泽人,博士,山东财经大学统计与数学学院副教授、硕士生导师,研究方向为区域经济、城市经济与创新;于庆海(2001—),男,山东济南人,山东财经大学统计与数学学院硕士研究生,研究方向为数字经济;杨冬梅(1968—),女,山东济阳人,博士,山东财经大学统计与数学学院教授、博士生导师,研究方向为区域经济分析与政策评价。

DOI:10.6049/kjjbydc.D92025070273

开放科学(资源服务)标识码(OSID):

中图分类号:F270

文献标识码:A

文章编号:1001-7348(2026)01-0124-13

0 引言

公共数据作为数据资源的重要组成部分,涵盖政务信息及与公共利益相关的数据,对推动创新的作用日益凸显。自2012年上海建立全国首个政府公共数据开放平台以来,我国各级政府持续推进公共数据平台建设,初步形成省、市两级公共数据开放体系,但两级平台在数据覆盖范围、数据质量和政策执行力度等方面存在差异[1]。2024年,中共中央办公厅、国务院办公厅印发《关于加快公共数据资源开发利用的意见》,鼓励各地区因地制宜推动数据共享与开放,为企业获取、整合和利用公共数据资源创造了有利的制度环境。企业作为创新主体,具备将公共数据要素转化为创新要素的能力[2]。相较于企业独立创新,企业联合创新对外部数据资源的依赖程度更高,其能够通过跨组织资源的高效整合,促进新质生产力发展[3]。本文联合创新是指企业为实现技术突破或降低研发风险,与外部主体共享资源、知识或技术能力,共同开展研发活动并形成创新产出的合作创新模式。在数据要素深入嵌入生产体系背景下,省、市两级公共数据开放如何有效赋能企业联合创新?不同层级平台政策效果为何存在差异?如何提升公共数据开放的赋能效应?深入探讨这些问题,对于科学评估公共数据开放政策效能、优化顶层设计和提升企业创新能力具有重要意义。

已有研究表明,一方面,数据要素市场化能提高数据资源可获得性,在宏观层面提升城市创新能力[4],在微观层面推动企业数智化转型[5],进而促进新质生产力发展[6]。同时,数字政府建设作为数字治理的关键举措,有助于加快区域创新[7]和企业突破性技术创新[8],有效促进企业数字化转型[9]和新质生产力发展[10]。另一方面,公共数据开放作为数据要素市场化和数字政府建设的互补性制度供给,能降低企业数据搜集成本和使用门槛[11],通过优化营商环境[12]、提升资本流动性[13]等机制助力经济增长。进一步地,公共数据开放不仅有助于加快企业数字技术创新[14],还能推动企业数字化转型[15],从而增强企业可持续发展能力。随着企业数字化水平的提升,联合创新成为推动企业技术进步与组织协同的重要路径。研究发现,数字技术应用能够提高企业知识搜寻能力和整合效率[16],促进信息共享并增强组织灵活性[17],进而提升联合创新绩效。同时,数据开放与披露会增强企业间信任与协同[18]。然而,现有文献主要聚焦于公共数据开放对企业创新和数字化转型的整体效应,对其如何促进企业联合创新的关注较少,尤其缺乏对省、市两级公共数据开放政策效果差异的系统性分析。2022年,国务院办公厅印发《全国一体化政务大数据体系建设指南的通知》,提出采用省级统建或省市两级分建模式完善地方政务数据平台。鉴于公共数据具有外部性和边际收益递增等特征,其标准制定和质量审核等需跨部门协同,因此更适宜在省级集中[19]。通过省级平台集中处理,跨市溢出的收益和成本得以在同一层面匹配,从而能够降低因口径不一带来的协调成本[20]。相比之下,市级平台受边界和自身能力约束较大,且部分地方平台对于标准实施规范和应用绩效评估的重视程度不够[1],会导致跨域对接、数据治理和合规审查成本上升。因此,省级平台在规则一致性和跨区域数据整合等方面具有天然优势,能够将分散的多源数据集中处理,更有利于跨区域、跨部门联合创新。基于此,本文将研究视角拓展至省、市两级公共数据开放对企业联合创新的赋能差异,并重点分析不同层级平台赋能差异影响因素。

基于此,本文将两级公共数据开放平台上线视为外生政策冲击,选取2010—2023年中国A股上市公司为研究样本,运用交叠双重差分模型探究两级公共数据开放如何推动企业联合创新以及两级公共数据开放政策的赋能差异,并剖析其影响机制。本文边际贡献主要体现在以下3个方面:第一,拓宽企业联合创新研究理论视角。本文将公共数据作为关键生产要素,分析其在企业联合创新中的作用,有助于丰富企业联合创新资源理论框架。第二,揭示两级公共数据开放对企业联合创新的政策效应差异。现有文献多从宏观视角对公共数据开放的总体效应进行评估,较少关注两级平台的政策效果差异。本文将研究维度拓宽至两级平台,检验两级平台对企业联合创新的影响,有助于丰富公共数据开放政策在区域层面精细化实施的理论基础。第三,厘清公共数据开放作用机制,强调数字技术应用在其中所发挥的中介作用。本文基于企业数字技术应用广度和深度,从企业内部能力视角检验公共数据开放对企业联合创新的影响机制,有助于深化对数据要素价值生成机制的理解。

1 政策背景与理论分析

1.1 政策背景

我国政府高度重视完善公共数据开放体系架构与实施规范,在国家层面发布了一系列政策推动公共数据开放与应用。2015年,国务院印发《促进大数据发展行动纲要》,强调要在依法加强安全保障和隐私保护的前提下,稳步推动公共数据资源开放。2021年,国务院办公厅印发《要素市场化配置综合改革试点总体方案》,强调“完善公共数据开放共享机制。建立健全高效的公共数据共享协调机制”,其目的在于完善数据要素市场化基础建设。2025年,国家发展改革委、国家数据局等6部门联合印发《关于完善数据流通安全治理 更好促进数据要素市场化价值化的实施方案》进一步细化了公共数据开发利用过程中的安全要求,确保公共数据在安全的前提下有序共享。2025年,国务院印发《政务数据共享条例》,旨在发挥政务数据共享的示范引领作用,带动公共数据合规高效安全流通使用,进一步促进各类数据资源融合利用,提高全社会数据资源开发利用水平。

在各项政策文件的推动下,地方政府积极推进公共数据开放平台建设以促进数据资源共享和利用。自2012年以来,开放平台数量逐年增长(见图1)。截至2024年7月,全国已建设并投入使用的公共数据开放平台数量达到243个,其中省级平台24个,市级平台219个。随着数据开放工作的有效推进,开放的数据集数量也从2017年的8 000余个增至2024年的37万余个,公共数据开放工作取得显著进展。然而,省、市两级公共数据开放平台在结构和功能上存在显著差异。在数据范围方面,省级公共数据开放平台数据覆盖范围更广,涵盖全省各个领域,包括经济、社会、民生、环境等各个方面;而市级公共数据开放平台则主要关注本市行政区域内的公共数据,更具有地方特色,包括城市管理、地方经济等领域。运营管理方面,省级平台通常由省级政务数据管理部门运营,具有较强的资源协调能力和充足的财政支持;而市级平台通常由市级政务数据管理部门运营,在技术力量和资金投入方面相对不足。在资源配置方面,相比于市级平台,省级平台在推动数据跨部门、跨地区流通等方面具有较高权威和较强统筹能力,更有助于打破数据壁垒,优化资源配置。已有研究表明,东南部地区在公共数据开放方面表现较为突出,开放的数据类型更为多样,覆盖范围也更广。相比之下,中西部地区,尤其是部分地级市公共数据开放程度仍处于较低水平[1]

图1 2012-2024年省、市两级公共数据开放平台数量
Fig.1 Numbers of public data opening platforms at the provincial and municipal levels, 2012-2024

1.2 公共数据开放对企业联合创新的影响

新经济增长理论强调要把知识与技术作为内生增长的核心驱动力。数据作为一种新型的知识密集型要素,具备非竞争性、可复制性、边际成本递减等典型特征,是提升全要素生产率并重构创新生态系统的关键资源[21]。公共数据作为其中具有制度性供给属性的数据形态,兼具生产要素属性与信息属性,能推动企业联合创新。一方面,在生产要素属性方面,公共数据开放平台因其灵活、开放的特征汇聚了许多异质性资源,使数据取之于公、用之于公,降低了企业获取关键创新资源的制度门槛,使其能够更便捷地接入产业政策、技术供需、市场行为等高质量信息资源,进而缓解封闭式研发存在的资源约束,强化企业间协同创新[22],推动产业链整合为一体化创新生态系统。另一方面,公共数据作为一种信息要素,具有高度可传递性与非排他性等经济特征[23]。根据信息不对称理论,联合创新的最大障碍在于企业难以判断潜在合作方的能力与契合度。数据信息开放与流动能降低企业间信息不对称[24],使企业潜在合作伙伴更清晰地了解企业价值,进而增强企业合作[18]

以上分析表明,公共数据开放能够有效激发企业联合创新活力。然而,在我国实行省、市两级公共数据开放体系下,该激励效应在不同层级平台之间可能存在一定差异。已有研究指出,当前我国省、市两级公共数据开放平台建设质量良莠不齐[17],数据开放水平也高低不一,这一差异可能会影响政策效应的发挥。一方面,制度理论强调组织行为受制于强制性与规范性压力,省级平台通常承担着对全省范围内数据标准制定、部门间规则协调和合规审查职能,能够形成更具权威性的规则性制度性环境[19]。这种自上而下的标准化约束会降低企业跨域合作面临的不确定性,提升企业间联合研发意愿。相比之下,市级平台受辖区边界与资源分散等限制,难以为跨区域、跨部门协作提供稳定的制度环境,这会降低企业对数据可得性和合规边界的预期,抑制其联合创新动力。另一方面,基于资源依赖理论,企业生存和发展依赖从外界环境中获取各种资源,从而与资源供给主体形成相互依存关系[25]。企业在联合创新过程中对公共数据的依赖强度取决于公共数据标准化程度、供给集中程度和稳定程度。相较于市级平台,省级平台通过跨市整合与纵向联通,可扩大公共数据主题广度和时空覆盖程度,使企业对原本多地多源的分散依赖转变为“平台式”治理依赖结构,从而推动联合创新。相比之下,市级平台普遍存在数据覆盖范围有限、跨域联通不足和数据时序不连续等问题,企业被迫维持对多源数据的分散依赖,导致数据治理和协调成本增加,从而会削弱联合创新产出。据此,本文提出以下假设:

H1:公共数据开放能够促进企业联合创新,且省、市两级公共数据开放政策效果存在一定差异。

1.3 公共数据开放对企业联合创新的影响路径

数据是技术发展的原始资料,公共数据开放通过提升企业数字技术应用水平,推动企业高质量发展与联合创新[26]。由于数字技术具有强用户导向、迭代迅速等特点[27],企业可及时将公共数据与自身资源进行有效整合,制定更为科学精准的数字技术应用策略,探索更多数字技术应用场景,不断拓展创新边界。

(1)数字技术应用广度。数字技术应用广度是指企业在不同业务领域采纳多种类型数字技术[28],强调横向扩展能力,体现企业在内部多个模块对数字工具的广泛部署与应用。公共数据开放不仅能提升企业对外部数据资源的可获取性,也使企业加快数字技术引进与部署,以实现对复杂异构数据的处理与价值转化。在公共数据持续开放的推动下,一方面,企业面临数据规模扩展与数据类型复杂化的现实,同时也面临更高的合规与安全要求。为确保数据利用的合法性与合作透明度,企业日益倾向于引入区块链等新兴技术,以确保数据共享过程中的可验证性与安全性,这些技术的引入能有效降低因信息不透明带来的监督与违约成本[29],增强企业间信任基础与合作意愿,为开展跨组织联合创新提供良好条件[26]。另一方面,为更有效地挖掘开放数据的潜在价值,企业正在加速采纳机器学习、深度学习等先进数据分析技术,对大规模异质性数据进行智能训练与建模[30]。这一过程不仅能提升数据处理的智能化水平,也使企业从庞杂的公共数据中挖掘出更具有战略价值的信息,实现对资源型数据的知识转化与价值增殖[26]。通过这一数据驱动过程,公共数据逐渐从静态要素转化为可用于精准匹配合作伙伴、指导协同研发的“数据生产力”,从而为企业联合创新提供基础性支撑。

(2)数字技术应用深度。数字技术应用深度是企业数字化转型的内在表现形式与关键路径,体现为数字技术在关键业务流程的融合程度与系统集成能力,不仅强调企业“是否使用”数字技术,更关注“如何深度整合”这些技术以用于研发、生产和管理等核心环节[26]。一方面,公共数据开放推动企业对数据价值进行深度挖掘,要求其在组织内部实现更高层级的技术嵌入与流程融合。面对高频动态更新的政务、科研和专利等公共数据,企业仅通过表层采集或简单部署难以对数据进行高效利用,需借助智能系统、智能制造平台等高集成度数字工具,将数据采集—处理—决策—反馈全过程纳入统一系统。这一系统性融合的推进不仅会加深数字技术在关键流程的嵌入程度[31],也会驱动企业业务模式向“数据驱动”与“联合创新”转型[32]。另一方面,政府主导的公共数据开放平台通过平台化机制与标准化数据接口建设,为企业提供更加便捷、安全的外部数据接入通道,能降低企业获取、整合异构数据资源的制度门槛[33]与成本压力,促使企业将相关数据深度嵌入业务系统和数字设施,强化内部数据整合能力并提升跨组织联合创新能力。这种制度性数据供给机制驱动企业联合创新能力动态演进,有助于重构其在产业生态中的可持续竞争优势[34]。因此,重视公共数据开放背景下数字技术的深度应用,有助于增强与其它企业的数据共享与联合创新。据此,本文提出如下假设:

H2:公共数据开放通过提升企业数字技术应用广度和深度促进企业联合创新。

综上所述,本文构建公共数据开放对企业联合创新影响机制理论模型,如图2所示。

图2 公共数据开放对企业联合创新影响机制理论模型
Fig.2 Mechanism of the impact of public data openness on enterprise joint innovation

2 研究设计

2.1 模型设定

本文采用交叠双重差分模型评估两级公共数据开放对企业联合创新的影响效应,具体计量模型为:

CoopPatit=α0+α1DID_kit+α2Controlsit+δt+σi+εit

(1)

其中,i代表企业,t代表年份;CoopPatit代表企业it年的联合创新水平;DID_kit为政策虚拟变量,系数α1代表两级公共数据开放对企业联合创新的政策效果;Controlsit为本文控制变量;δtσi分别为时间固定效应和个体固定效应;εit为随机误差项。

2.2 变量设定

(1)被解释变量:企业联合创新(CoopPatit)。企业联合创新主要包括投入类(如合作研发投入)、知识产出类(如联合论文)和产权产出类(如联合申请专利)3类可观测指标。一方面,资金投入—创新产出存在不稳定的时滞性,且跨行业、跨项目联合研发效率差异较大,因此企业合作研发投入更多反映的是合作研发资金投入而非当期联合创新产出。另一方面,企业创新更强调当期技术发明、应用和商业化产出。企业发表的论文数量反映其基础研究水平,体现企业知识供给能力和潜在创新能力;而基础研究成果转化往往存在时间滞后等条件约束,因此企业联合发表论文数量不能直接反映当期联合创新水平。相比之下,专利申请在法律效力和成果转化上具有即时性和可量化特征,能有效衡量企业当期与外部主体的联合创新水平。因此,本文借鉴徐远彬等[35]的研究,采用企业联合申请的发明专利、实用新型专利和外观设计专利数量之和加1取对数衡量企业联合创新水平。

(2)核心解释变量:两级公共数据开放(DID_kit)。本文核心解释变量两级公共数据开放为政策虚拟变量,若某省份在当年已经上线了省级公共数据开放平台则DID_Pit赋值为1,否则为0;若某城市在当年已经上线了市级公共数据开放平台则DID_Cit赋值为1,否则为0。

(3)机制变量。借鉴杨鹏和孙伟增[36]的研究,本文采用文本分析法对上市公司年报中与“数字技术”相关的关键词按照数字技术应用广度和深度进行搜索并对其进行对数化处理,得到中介变量企业数字技术应用广度(lndig_1)和深度(lndig_2)。其中,数字技术应用广度关键词包括大数据、机器学习、人工智能、深度学习、区块链等;数字技术应用深度关键词包括数据整合、数据建模、数据驱动、数字化制造、智能工厂等。

(4)控制变量。借鉴已有研究[2,17,22],本文选取如下控制变量:①资产负债率(Lev);②营业收入增长率(Growth);③净资产收益率(ROE);④现金流比率(CashFlow);⑤总资产增长率(AssetGrowth);⑥托宾Q值(TobinQ);⑦股权集中度(Herfindahl5);⑧两职合一(Dual);⑨城市经济发展水平(lGDPpc)。具体定义见表1。

表1 控制变量定义
Table 1 Definitions of control variables

变量变量定义资产负债率(Lev)年末总负债/年末总资产营业收入增长率(Growth)本年营业收入/上一年营业收入-1净资产收益率(ROE)净利润/所有者权益现金流比率(CashFlow)经营活动产生的现金流量净额/总资产总资产增长率(AssetGrowth)本年总资产/上一年总资产-1托宾Q值(TobinQ)(流通股市值+非流通股股份数×每股净资产+负债账面值)/总资产股权集中度(Herfindahl5)公司前五大股东持股比例的平方和两职合一(Dual)董事长与总经理为同一人赋值为1,否则为0城市经济发展水平(lGDPpc)城市人均GDP的对数

2.3 数据来源

本文选取2010—2023年中国A股上市公司为研究样本,专利数据来源于CNRDS中国研究数据服务平台,企业层面数据来源于上市公司年报和Wind数据库等,两级公共数据开放平台上线数据来源于复旦大学数字与移动治理实验室发布的《中国地方公共数据开放利用报告(2024)》。为确保研究结论的准确性,本文对数据进行如下预处理:①剔除在样本区间内被标记为ST、*ST或PT的企业样本;②剔除金融企业样本;③对连续型变量进行1%分位数两端缩尾处理;④通过线性插补法补齐数据中的部分缺失值。最终,得到26 564个企业—年度观测值,包括2 185家上市公司。

2.4 描述性统计分析

表2为本文主要变量的描述性统计结果,企业联合创新(CoopPat)的均值为0.912 8,说明样本中企业联合创新行为较为普遍,标准差、最大值、最小值分别为1.407 1、9.353和0,说明变量分布较为分散,不同企业联合创新水平存在显著差异。从企业联合创新均值差异检验结果可知(见表3),已上线公共数据开放平台的地区,其企业平均联合创新水平显著高于未上线公共数据开放平台地区企业,但其政策效果是否显著需要进一步进行回归分析。

表2 变量描述性统计结果
Table 2 Descriptive statistics of variables

变量 样本量均值标准差最小值中位数最大值企业联合创新(CoopPat)26 5640.912 81.407 10.000 00.000 09.353 0省级公共数据开放(DID_P)26 5640.509 60.499 90.000 01.000 01.000 0市级公共数据开放(DID_C)26 5640.460 50.498 40.000 00.000 01.000 0数字技术应用广度(lndig_1)26 5641.264 41.340 00.000 01.098 66.113 7数字技术应用深度(lndig_2)26 5641.718 11.226 70.000 01.609 46.777 6资产负债率(Lev)26 5640.444 60.207 30.054 00.440 90.896 5营业收入增长率(Growth)26 5640.383 01.014 7-0.692 00.127 86.757 6净资产收益率(ROE)26 5640.049 50.140 2-0.728 90.064 00.326 2现金流比率(CashFlow)26 5640.045 70.067 5-0.156 40.044 60.239 5总资产增长率(AssetGrowth)26 5640.150 20.311 9-0.276 10.080 72.017 3托宾Q值(TobinQ)26 5642.005 01.281 50.838 11.587 18.352 5股权集中度(Herfindahl5)26 5640.154 10.114 50.013 00.121 70.551 7两职合一(Dual)26 5640.242 40.428 50.000 00.000 01.000 0城市经济发展水平(lGDPpc)26 56411.427 50.509 810.002 911.486 312.207 5

表3 均值差异检验结果
Table 3 Results of the mean difference test

变量平台未上线省级平台样本量均值已上线省级平台样本量均值均值差异CoopPat省级13 0270.662 513 5371.153 70.491 2***市级14 3320.706 312 2321.154 80.448 5***

3 实证结果与分析

3.1 基准回归结果

表4列示了两级公共数据开放对企业联合创新影响的实证结果。其中,模型(1)(3)未加入控制变量,仅控制时间固定效应和个体固定效应,模型(2)(4)纳入各控制变量。模型(2)中DID_P系数在1%水平上显著为正,表明省级公共数据开放显著促进企业联合创新。结合描述性统计结果可知,省级公共数据开放平台上线后企业联合申请的发明专利、实用新型专利和外观设计专利总量提升7.14%(0.065 2/0.912 8)。模型(3)(4)结果显示,DID_C系数不显著,表明市级公共数据开放对企业联合创新未发挥显著政策效应,两级政策效果存在显著差异,假设H1得到验证。

表4 基准回归结果
Table 4 Baseline regression results

变量省级公共数据开放(1)(2)市级公共数据开放(3)(4)DID_P0.069 7***0.065 2***(0.024 3)(0.024 2)DID_C0.030 90.029 0(0.025 6)(0.025 5)Lev0.250 0***0.254 8***(0.081 6)(0.081 5)Growth0.002 80.002 9(0.007 1)(0.007 1)ROE0.292 4***0.293 7***(0.051 2)(0.051 3)CashFlow-0.089 3-0.086 3(0.096 6)(0.096 5)AssetGrowth0.038 0**0.039 2**(0.018 9)(0.018 9)TobinQ-0.030 2***-0.029 9***(0.008 2)(0.008 2)Herfindahl50.321 30.322 1(0.232 6)(0.232 6)Dual0.037 40.037 6(0.024 3)(0.024 3)lGDPpc0.003 80.004 7(0.075 6)(0.075 7)Constant0.877 3***0.709 90.898 6***0.715 9(0.012 4)(0.865 3)(0.011 8)(0.867 5)时间固定效应是是是是个体固定效应是是是是N26 56426 56426 56426 564Adj.R20.684 40.685 80.684 20.685 7

注:***、**、*分别表示在1%、5%、10%水平上显著,括号内数值为聚类到企业层面的稳健标准误,下同

3.2 基于平台开放水平的两级平台政策效果比较

市级平台总体效果不显著可能是因为受到自身公共数据开放水平的影响,当市级公共数据开放平台水平较高时,其政策效果未必不显著。为此,本文根据“开放树林指数网”发布的2017—2023年中国开放树林指数省域和城市综合排名,将样本划分为公共数据开放水平较高和较低地区。由于“开放树林指数网”仅发布了2017年及以后的数据,本文根据2017—2023年省域和城市综合排名,选取在多数年份中排名相对靠前的省份和地级市,将其界定为高公共数据开放水平地区,其中包括山东、浙江、贵州和广东4个省份以及贵阳等60个地级市。表5模型(1)(2)结果显示,DID_P系数均在5%水平上显著为正,且公共数据开放水平较高样本系数更大,说明省级公共数据开放对企业联合创新具有普遍促进作用。模型(3)(4)结果显示,DID_C系数仅在公共数据开放水平较高地区显著为正,在公共数据开放水平较低地区不显著,说明市级平台政策效果受自身开放水平制约。

表5 两级平台开放效果比较
Table 5 Comparative analysis of the effects of two-level platform openness

变量省级公共数据开放(1)(2)较高水平较低水平市级公共数据开放(3)(4)较高水平较低水平DID_P0.111 8**0.063 7**(0.054 8)(0.031 1)DID_C0.097 9***-0.053 3(0.029 6)(0.048 0)Constant1.084 81.430 00.418 01.396 7(1.545 6)(0.988 3)(1.277 1)(1.105 6)Controls是是是是时间固定效应是是是是个体固定效应是是是是N8 52518 03916 37510 189Adj.R20.657 50.700 20.715 40.625 9

3.3 基于外部环境的市级政策赋能差异分析

进一步地,本文借鉴王海等[17]的研究,从政府科技研发投入和数字关注度两个维度入手,分析市级公共数据开放政策整体效果不显著的外部原因。一方面,市级公共数据开放政策效果可能会受到地方政府科技研发投入的影响。科技研发投入反映地方政府对科技创新与数字基础设施建设的财政支持力度。在科技投入有限地区,平台建设和数据更新维护能力可能相对不足,这会限制市级平台的数据供给能力。另一方面,市级公共数据开放政策效果也受地方政府数字关注程度的影响。地方政府数字关注度提升能促进企业数字化转型,进而推动区域创新均衡发展[37]。若地方政府对数字议题关注不足,可能会导致市级平台建设流于形式,缺乏制度推动与持续创新,难以为企业提供高质量数据服务,导致政策效果难以显现。

综上所述,本文根据各城市科技研发投入和政府数字关注度进行分样本回归分析。其中,科技研发投入以各城市科学技术支出占公共财政支出总值的比重测量。借鉴解红涛和王嘉庆(2024)的研究,本文通过文本挖掘法收集2010—2023年各地区《政府工作报告》中有关数字治理的关键词,对政府数字关注度进行测量。其中数字技术关键词包括数据挖掘、智能技术、认知计算、差分隐私技术等;数字应用关键词包括数字政府、数字经济、数字化服务体系、政务应用系统等。基于科技研发投入和政府数字关注度中位数展开的分样本回归结果如表6所示。其中,模型(1)(3)为所属城市科技研发投入较高和政府数字关注度较高样本,模型(2)(4)为所属城市科技研发投入较低和政府数字关注度较低样本。DID_C系数在模型(1)(3)中显著为正,但在模型(2)(4)中不显著。该结果表明,科技研发投入和政府数字关注度差异是导致市级公共数据开放在整体上未能有效促进企业联合创新的重要外部因素。

表6 基于科技研发投入和政府数字关注度的分样本检验结果
Table 6 Subsample tests based on R&D investment and government attention to digitalization

变量(1)(2)(3)(4)高科技研发投入低科技研发投入高数字关注低数字关注DID_C0.066 7*-0.046 8 0.061 1*0.010 0(0.034 1)(0.042 3)(0.031 5)(0.034 9)Constant-1.615 02.208 8**0.353 61.027 1(1.499 8)(1.000 9)(1.319 4)(1.003 0)Controls是是是是时间固定效应是是是是个体固定效应是是是是N13 28513 27914 04912 515Adj.R20.747 90.615 80.711 10.686 3

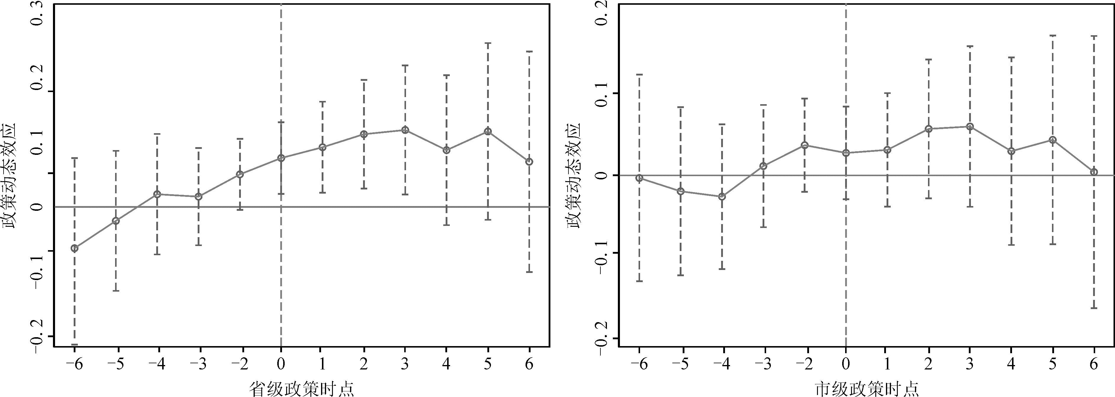
3.4 平行趋势检验

使用交叠双重差分模型(DID)的前提条件是满足平行趋势假设。因此,本文采用事件研究法进行平行趋势检验,具体模型设定如下:

(2)

其中,n代表公共数据开放平台上线后的第n年,n=0代表平台上线当年。为避免多重共线性问题,本文以平台上线前一年为基期,其余变量设定与模型(1)相同。图3展示了省、市两级平台的平行趋势检验结果,两级政策实施前各期系数估计值不显著,即省、市两级平台模型均通过平行趋势检验,符合DID模型设定要求。此外,省级平台在上线后第1-3期估计系数显著为正,从第4期开始政策效果波动直至消失,因此应重视省级公共数据开放政策效果的可持续性。而市级平台在上线后各期均不显著,说明市级公共数据开放对企业联合创新的动态影响不显著。

图3 平行趋势检验结果
Fig.3 Parallel trend test results

3.5 内生性检验

鉴于公共数据开放与企业联合创新之间可能存在双向因果关系,本文采用工具变量法进行检验。借鉴田鸽和张勋(2022)的研究,选取企业所在地级市行政中心到“八纵八横”光缆传输骨干网建设节点城市的最近距离作为工具变量。一方面,作为国家级信息基础设施的重要组成部分,“八纵八横”光缆通道在推动地区数字化建设与公共数据平台布局方面具有显著的制度与资源配置优势,满足工具变量相关性要求;另一方面,企业所在地级市行政中心到“八纵八横”光缆传输骨干网建设节点城市的最近距离源于国家主导的信息基础设施空间布局规划,属于外生的空间地理变量,无法对企业联合创新活动产生直接影响。由于该距离属于截面数据,故将其与各省份上一年“有电子商务交易活动企业占比”的倒数相乘,构建工具变量(记为IV),通过两阶段最小二乘法(2SLS)处理潜在内生性问题,结果见表7。第一阶段回归结果显示,工具变量(IV)系数均在1%显著性水平上为负,满足工具变量相关性假设。Kleibergen-Paap rk LM统计量在1%水平上显著为正,排除工具变量不可识别问题;Cragg-Donald Wald F统计量超过Stock-Yogo在10%显著性水平上的临界值16.38,表明不存在弱工具变量识别问题。在第二阶段回归中,DID_P系数在10%水平上显著为正,而DID_C系数虽为正但不显著,表明在考虑内生性问题后本文研究结论依然成立。

表7 工具变量回归结果
Table 7 Instrumental variable regression results

变量(1)(2)(3)(4)省级公开数据开放市级公开数据开放第一阶段第二阶段第一阶段第二阶段DID_PCoopPatDID_CCoopPatDID_P0.368 0*(0.218 3)DID_C0.889 5(0.568 1)IV-0.005 6***-0.002 3***(0.000 7)(0.000 6)Controls是是是是Observations26 56426 56426 56426 564第一阶段F统计量64.375 13.408 Kleibergen-Paap rkLM statistic114.287***17.087***p-value0.0000.000Cragg-DonaldWald F statistic154.43825.565Stock-Yogo[16.38][16.38]

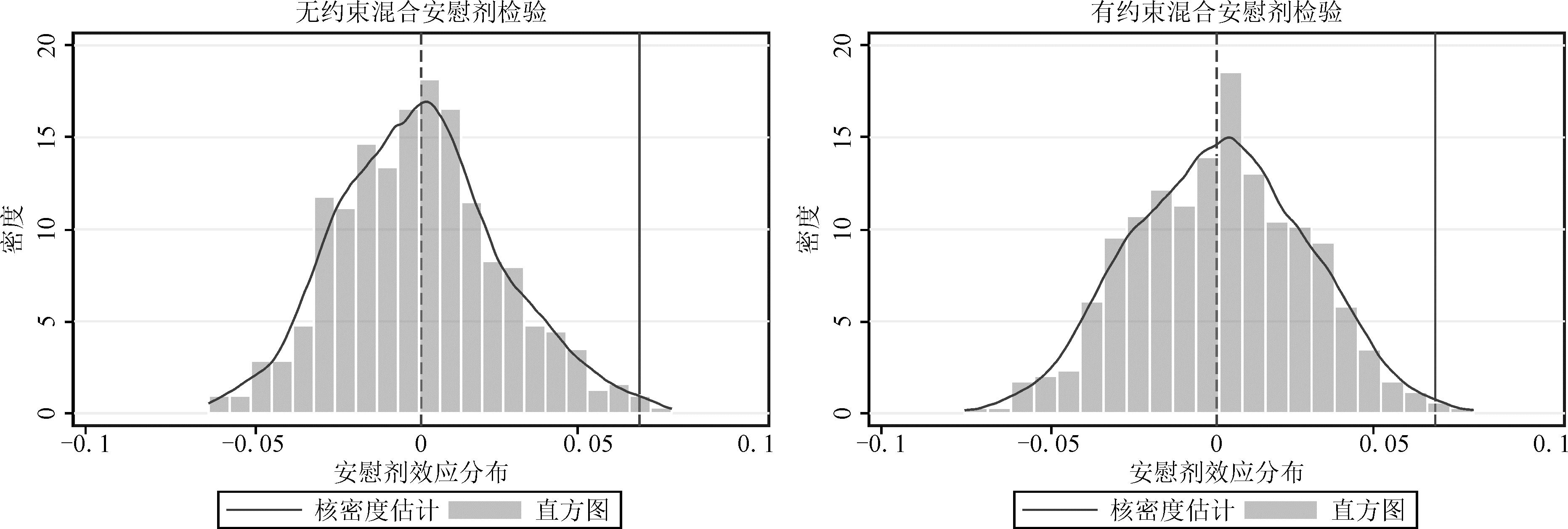
3.6 安慰剂检验

由于市级公共数据开放对企业联合创新在两阶段最小二乘法估计中仍然不显著,故本文仅针对省级公共数据开放展开分析。为避免不可观测因素对研究结论造成的不良影响,本文借鉴陈强等(2025)的研究,对变量进行混合安慰剂检验。

(1)无约束的混合安慰剂检验。基于平台上线的最早和最晚年份,从该区间均匀分布中随机抽取每个企业的虚假处理时间点进行双向固定效应估计,重复500次得到安慰剂效应分布(见图4)。真实处理效应估计值位于安慰剂分布的最右侧,为极端异常值。表8显示,无约束的混合安慰剂检验双边P值和右侧P值为0.004,平均处理效应在1%水平上显著,拒绝“处理效应为零的原假设”。

表8 混合安慰剂检验结果
Table 8 Mixed placebo test results

变量处理效应双边P值左侧P值右侧P值无约束混合安慰剂检验DID_P0.065 20.004 00.996 00.004 0有约束混合安慰剂检验DID_P0.065 20.006 00.996 00.004 0

图4 混合安慰剂检验效应分布
Fig.4 Distribution of effects from the mixed placebo tests

(2)有约束的混合安慰剂检验。有约束的混合安慰剂检验可确保交叠DID的组群结构合理。真实处理效应的估计值位于安慰剂分布效应右侧尾部,且表8报告的双边P值、右侧P值分别为0.006和0.004,平均处理效应在1%水平上显著,拒绝“处理效应为零”的原假设。这表明,省级公共数据开放对企业联合创新的积极影响排除由潜在不可观测因素所引起的可能性,增强了本文研究结论的可信度和稳健性。

3.7 稳健性检验

(1)PSM-DID。为缓解因样本特征差异可能导致的选择性偏误问题,本文分别使用1∶3最近邻匹配、半径匹配和核匹配3种方法进行检验,回归结果如表9所示。DID_P回归系数至少在10%水平上显著为正,进一步说明省级公共数据开放能促进企业联合创新。

表9 PSM-DID结果
Table 9 PSM-DID results

变量 (1)(2)(3)最近邻匹配半径匹配核匹配DID_P0.088 4*0.069 4**0.053 1*(0.048 6)(0.029 7)(0.030 2)Constant1.748 31.307 01.155 7(1.149 1)(0.995 9)(0.978 0)Controls是是是时间固定效应是是是个体固定效应是是是N7 71615 90314 859Adj.R20.666 20.693 70.691 3

(2)处理效应异质性。在采用交叠DID模型识别政策效果过程中,若处理效应在不同时间或不同组别存在异质性,可能导致传统双向固定效应估计结果出现偏误[38],因此本文借鉴Gardner(2022)以及Sun &Abraham[39]的研究方法处理这一问题。表10结果显示,DID_P系数依然显著为正,增强了本文因果识别的可靠性。

表10 考虑交叠双重差分法权重异质性的结果
Table 10 Results considering weight heterogeneity in the staggered DID approach

方法 结果Gardner(2022)的方法0.411 2***(0.036 9)Sun & Abraham[39]的方法0.595 8***(0.180 6)

(3)排除其它政策干扰。为排除样本期间内其它相关政策可能对企业联合创新产生的干扰,本文在基准回归模型中纳入“宽带中国(kdcity)”“智慧城市(zhcity)”“国家级大数据综合试验区(bdcity)”“知识产权示范区(zscity)”政策虚拟变量,回归结果如表11模型(1)~(4)所示。在纳入单项政策虚拟变量后,DID_P回归系数至少在5%水平上显著为正。在模型(5)中纳入全部政策虚拟变量,DID_P依然保持显著正向效应,表明省级公共数据开放对企业联合创新的积极影响依然稳健。

表11 排除其它政策干扰的检验结果
Table 11 Test results excluding confounding effects from other policies

变量 (1)(2)(3)(4)(5)kdcityzhcitybdcityzscityallDID_P0.065 1***0.063 6**0.065 2***0.062 3**0.060 6**(0.024 2)(0.024 8)(0.024 2)(0.024 6)(0.025 2)kdcity0.028 30.031 7(0.033 5)(0.033 5)zhcity0.023 20.022 6(0.039 5)(0.040 0)bdcity-0.007 5-0.003 2(0.039 1)(0.040 8)zscity-0.020 0-0.021 1(0.031 3)(0.032 6)Constant0.710 30.729 40.718 80.635 70.655 1(0.864 7)(0.865 6)(0.862 7)(0.863 1)(0.854 4)Controls是是是是是时间固定效应是是是是是个体固定效应是是是是是N26 56426 56426 56426 56426 564Adj.R20.685 80.685 80.685 80.685 80.685 8

(4)改变变量测度方式。为确保研究结论的可靠性,本文将“企业联合申请专利总量”替换为“企业联合获得的授权专利总量”进行回归分析,结果如表12模型(1)所示。DID_P系数在1%水平上显著为正,进一步验证了本文研究结论的稳健性。进一步地,本文将核心解释变量替换为“企业联合申请专利剔除自引用的各年被引用次数”,探究省级公共数据开放对企业联合创新产出质量的影响,结果如表12模型(2)所示。DID_P系数在10%水平上显著为正,表明省级公共数据开放不仅能提高企业联合创新产出数量,也会提高企业联合创新产出质量。

表12 改变变量测度方式与调整样本区间检验结果
Table 12 Results under alternative variable measures and adjusted sample windows

变量(1)(2)(3)CoopPat_1CoopPat_2CoopPatDID_P0.056 5***0.035 3*0.063 2***(0.021 9)(0.019 7)(0.023 9)Constant-0.148 8-0.036 90.542 9(0.769 1)(0.602 3)(0.844 2)Controls是是是时间固定效应是是是个体固定效应是是是N26 56426 56420 480Adj.R20.702 20.783 10.681 6

(5)调整样本区间。为排除突发公共卫生事件对企业联合创新产生的影响,本文借鉴王海等[40]的研究,将2019—2022年观测值从样本中剔除重新进行回归分析,结果如表12模型(3)所示。DID_P系数在1%水平上显著为正,表明在排除突发公共卫生事件影响后,省级公共数据开放对企业联合创新的正向效应依然显著。

4 进一步分析

4.1 机制分析

本文借鉴温忠麟和叶宝娟[41]的研究,采用三步法检验省级公共数据开放是否通过提升企业数字技术应用广度和深度促进企业联合创新,构建如下模型:

Mechit=γ0+γ1DID_kit+γ2Controlsit+δt+σi+εit

(3)

CoopPatit=ω0+ω1DID_kit+ω2Mechit+ω3Controlsit+δt+σi+εit

(4)

其中,Mechit为本文中介变量数字技术应用广度(lndig_1)和深度(lndig_2)。其余变量定义与模型(1)保持一致。

中介机制检验结果如表13所示。模型(1)结果显示,DID_P系数显著为正,表明省级公共数据开放对企业联合创新具有显著促进作用;模型(2)(4)结果显示,DID_P系数均显著为正,表明省级公共数据开放能显著提升企业数字技术应用广度和深度;模型(3)(5)结果显示,DID_Plndig_1、lndig_2系数均显著为正,表明省级公共数据开放通过提升企业数字技术应用广度和深度间接促进联合创新。

表13 中介机制检验结果
Table 13 Mediation mechanism test results

变量(1)CoopPat(2)(3)数字技术应用广度lndig_1CoopPat(4)(5)数字技术应用深度lndig_2CoopPatDID_P0.065 2***0.117 2***0.055 3**0.037 5*0.062 0***(0.024 2)(0.023 5)(0.024 0)(0.020 8)(0.024 0)lndig_10.084 1***(0.011 9)lndig_20.084 0***(0.012 8)Contstant0.709 90.918 30.632 71.037 30.622 7(0.865 3)(0.748 1)(0.858 1)(0.651 2)(0.860 8)Controls是是是是是时间固定效应是是是是是个体固定效应是是是是是N26 56426 56426 56426 56426 564Adj.R20.685 80.725 90.687 60.749 40.687 1

进一步地,本文采用Bootstrap法对“省级公共数据开放—企业数字技术应用广度、深度—联合创新”路径进行中介效应检验,结果如表14所示。无论是在直接效应还是间接效应路径下,95%置信区间与偏差校正后的置信区间均不包含0,说明企业数字技术应用广度和深度在省级公共数据开放和企业联合创新之间起部分中介作用,假设H2得到验证。

表14 Bootstrap中介效应检验结果
Table 14 Bootstrap test of mediation effects

变量效应系数95%置信区间下限上限偏差矫正95%置信区间下限上限企业数字技术应用广度直接效应0.331 30.290 30.367 70.292 00.368 4间接效应0.087 40.078 90.097 10.078 30.096 5企业数字技术应用深度直接效应0.362 70.322 50.397 60.326 70.404 6间接效应0.055 90.047 40.064 70.047 30.064 7

4.2 异质性分析

(1)区域异质性。不同地区在创新资源禀赋与制度支持能力等方面存在差异,可能导致省级公共数据开放政策效果不同。2016年,科技部和国家发展改革委制定了《建设创新型城市工作指引》,强调要建设若干具有强大带动力的创新型城市和区域创新中心。与非创新型城市相比,创新型城市以创新驱动发展战略为核心,具有良好的创新生态与高度活跃的创新要素。因而,省级公共数据开放对企业联合创新的促进作用在创新型城市更明显。本文借鉴袁正等(2025)的研究,对企业是否位于创新型城市进行分组检验,结果如表15所示。模型(1)(2)结果显示,DID_P系数在创新型城市显著为正,在非创新型城市不显著。进一步,本文通过Chow检验对不同分组系数差异进行分析,结果显示P值为0.027 9,表明组间系数存在显著差异,说明省级公共数据开放对企业联合创新的积极影响在创新型城市更显著。

表15 区域、行业异质性检验结果
Table 15 Regional and industrial heterogeneity test results

变量 (1)(2)(3)(4)(5)(6)(7)非创新型创新型技术密集型劳动密集型资产密集型非数字经济数字经济DID_P0.055 70.062 4**0.134 7***-0.010 30.057 30.010 90.111 3***(0.051 6)(0.027 9)(0.038 2)(0.035 9)(0.063 1)(0.034 5)(0.033 5)Constant0.733 31.209 20.197 11.263 83.669 8*2.724 5**-0.041 8(1.292 5)(1.173 4)(1.307 9)(1.083 5)(1.946 9)(1.134 0)(1.113 9)Controls是是是是是是是时间固定效应是是是是是是是个体固定效应是是是是是是是N6 03120 53311 5489 8904 89811 98814 576Adj.R20.633 60.706 50.673 60.706 10.701 50.679 90.697 8Chow-test3.580 0 25.770 0 8.480 0p-value0.027 90.000 00.000 2

(2)行业异质性。不同行业在数据利用能力和创新模式等方面存在差异,可能导致省级公共数据开放政策效果不同。技术密集型企业高度依赖研发投入和跨领域协同,公共数据开放可降低创新不确定性和信息壁垒,增强企业联合创新能力。而劳动密集型和资产密集型企业更侧重于成本控制与规模扩张,其合作多聚焦于供应链整合,技术协同需求有限,因而对公共数据开放的响应较弱。对于数字经济产业而言,数据是核心生产要素,企业数据敏感性与利用能力更强,政策激励效应更显著。基于此,本文借鉴尹美群等(2018)的研究,按照证监会2012行业分类标准对所有样本行业按照生产要素密集程度划分为技术密集型、资产密集型和劳动密集型3种类型。 《数字经济及其核心产业统计分类(2021)》将数字经济产业范围确定为01数字产品制造业、02数字产品服务业、03数字技术应用业、04数字要素驱动业、05数字化效率提升业5个大类。借鉴曾国安(2023)的研究,本文选取对应国民经济行业的25个大类产业作为数字经济产业,其中包括C23、C24、C26、C34—C40、E47—E49、F51、F52、I63—I65、L71、L72、M74、M75、O81、R86和R87,其余为非数字经济产业。表15模型(3)~(5)结果显示,DID_P系数在技术密集型企业显著为正,在劳动密集型和资产密集型企业不显著。Chow检验组间系数差异P值为0,表明组间系数存在显著差异。模型(6)(7)结果显示,DID_P系数在数字经济产业显著为正,但在非数字经济产业不显著。Chow检验组间系数差异P值为0.000 2,进一步验证了两类产业之间系数存在差异,表明省级公共数据开放对企业联合创新的促进作用在技术密集型企业和数字经济产业更显著。

(3)企业异质性。企业在不同生命周期阶段展现出不同组织特征与创新需求,这种差异可能使省级公共数据开放政策对企业联合创新的影响存在异质性。对于成长期企业而言,研发与市场扩张压力并存,公共数据开放可降低企业技术搜索和合作匹配成本,缓解战略不确定性,促进企业联合创新。相比之下,处于成熟期和衰退期的企业由于资源结构相对固化、组织惯性更强,对外部数据敏感性较低,企业联合创新活动更依赖既有网络与路径依赖机制,可能对公共数据开放政策的边际响应较弱。基于此,本文借鉴梁上坤等(2019)的研究,采用销售收入增长率、存留收益率、资本支出率、公司年龄4个变量得分衡量公司生命周期,将得分位于前25%的企业界定为成长期企业,后25%为衰退期企业,中间50%为成熟期企业,结果如表16所示。DID_P系数仅在成长期企业显著为正。Chow检验结果显示,不同发展阶段企业间系数差异P值为0,表明组间系数存在差异,说明省级公共数据开放对企业联合创新的促进作用在成长型企业更显著。

表16 企业生命周期异质性检验结果
Table 16 Heterogeneity test results across the firm life cycle

变量(1)(2)(3)成长期成熟期衰退期DID_P0.072 2**-0.003 60.075 0(0.029 1)(0.070 1)(0.048 6)Constant1.120 0-1.550 7-1.707 0(1.021 7)(1.922 7)(1.535 4)Controls是是是时间固定效应是是是个体固定效应是是是N17 8573 0715 461Adj.R20.705 50.644 40.666 0Chow-test15.460 0p-value0.000 0

5 结语

5.1 研究结论

本文基于2010—2023年中国A股上市公司面板数据,以省级与市级公共数据开放平台上线为准自然实验,系统考察两级公共数据开放对企业联合创新的赋能差异,得出如下结论:①省级公共数据开放能显著促进企业联合创新,而市级平台因开放水平不足,其整体赋能效应尚不显著,但在科研投入充足、政府高度重视数字化发展的地区,该政策效应得以明显增强。②省级公共数据开放主要通过提升企业数字技术应用广度和深度促进联合创新。③省级公共数据开放对企业联合创新的影响在创新型城市、技术密集型企业、数字经济产业和成长期企业更明显。

5.2 对策建议

(1)完善省、市两级公共数据开放平台建设,充分发挥数据要素对企业联合创新的赋能作用。一方面,省级政府应完善数据目录体系,实施分层目录和场景化清单,率先开放与协同研发高度相关的关键数据,开展有针对性的场景化数据共享试点,进一步提升数据供给的准确性和匹配效率,满足企业联合创新对数据的多样化需求;另一方面,各地级市政府应加大对科学技术领域的财政支持力度,强化对市级公共数据开放平台建设、运营与更新等方面的资源支持,在中央层面设立专项资金以差异化支持市级公共数据开放平台的日常运营和维护等,同时建立绩效评估与结果公开机制,围绕数据质量、平台服务水平等指标开展考核,将数字治理纳入考核范围,公布年度“数字治理指数”及排名,提升地方政府数字关注度,形成硬约束和声誉激励的双重驱动,进一步提升公共数据要素供给质量,实现市级平台的有效赋能。

(2)提升企业数字技术应用能力和数据要素向联合创新产出的转化效率。一方面,政府依托公共服务平台,定期开展企业数字技术应用与数据分析能力培训项目,支持中小企业引入数据管理工具;另一方面,以广度和深度为核心指标建立企业数字技术应用成熟度分级体系,实行第三方评估与年度复核,将其作为财政补贴等激励政策的参考依据,逐步提升企业将数据资源转化为联合创新成果的能力。

(3)实行分级分类数据供给和差异化激励,协同发力共促联合创新。对于创新型城市而言,应实行省级平台统筹下的数据优先投送策略,构建以联合研发为主的场景化数据清单,明确数据可用性和质量的最低标准。对于非创新型城市而言,各级政府更应该积极推动公共数据开放,进一步破除数据壁垒,缓解因城市创新动力不足带来的企业联合创新意愿低下问题,充分发挥省级公共数据开放对推动企业联合创新的积极作用。根据行业和企业特征差异,一方面,应向技术密集型和数字经济企业优先提供可直接用于研发验证和协同研发的主题数据,在平台端构建企业画像与分类识别系统,按需提供定制化数据服务包,降低协同研发信息不确定性;另一方面,应向成长期企业投送需求侧和要素侧相关数据,降低合作研发的不确定性。此外,根据企业联合创新潜力和数据使用绩效,对数据配额和财政支持实施分档管理,将公共数据供给和联合创新产出挂钩,形成“以用定供、以效定强”的动态机制,确保数据资源精准流向最能转化为联合创新产出的主题和场景。

参考文献:

[1] 郑磊,刘新萍. 我国公共数据开放利用的现状、体系与能力建设研究[J]. 经济纵横, 2024,40(1): 86-92.

[2] 陈艳利,蒋琪. 数据生产要素视角下开放公共数据与企业创新——基于建立公共数据开放平台的准自然实验[J]. 经济管理,2024,46(1): 25-46.

[3] 张轩铭,刘雪炜,刘伟.公共数据开放与战略性新兴企业新质生产力——基于公共数据平台上线的准自然实验[J/OL].财经论丛,1-17[2025-11-26].https://doi.org/10.13762/j.cnki.cjlc.20250627.001.

[4] 陈婷,段尧清,吴瑾. 数据要素市场化能否提升城市创新能力——来自准自然实验的证据[J]. 科技进步与对策, 2024,41(3): 74-83.

[5] 冯典状,张卫国. 数据要素市场化与企业数智化转型——兼论政策协同效应如何消解数字鸿沟[J]. 现代财经(天津财经大学学报), 2025,45(6): 42-60.

[6] 孙正,朱学易,朱丹妮. 数据要素市场化如何驱动企业新质生产力发展:乘数效应分析视角[J]. 现代财经(天津财经大学学报), 2025,45(10): 3-20.

[7] 朱春燕,南锐. 数字政府建设对区域创新水平的影响效应检验[J]. 统计与决策,2024,40(1): 168-173.

[8] 王羲,杨洋,陈怡冰,等. 数字政府建设能否提升企业突破性创新绩效——基于新质生产力的中介效应[J]. 科技进步与对策,2025,42(10): 84-93.

[9] 李剑培,时洁,顾乃华. 数字政府建设对企业数字化转型的溢出效应研究——来自政府采购合同大数据的证据[J]. 南方经济,2025,44(2): 1-25.

[10] 魏万青,叶秋志,陈永洲. 制度松绑、数字治理生态与新质生产力——双重机器学习下大数据管理机构设立的准自然实验[J]. 科技进步与对策,2025,42(1): 10-20.

[11] 卜伟,张应允. 公共数据开放对新质生产力的赋能效应——基于社会再生产视角[J]. 科技进步与对策, 2025,42(20): 129-141.

[12] 丁声怿,白俊红. 公共数据开放与营商环境优化——来自政府数据平台上线的准自然实验[J]. 现代财经(天津财经大学学报), 2025,45(1): 23-40.

[13] 蓝发钦,胡晓敏,徐卓琳. 公共数据开放能否拓展资本跨区域流动距离——基于异地并购视角[J]. 中国工业经济,2024,42(9): 156-174.

[14] 李荣华,王娇娇,张磊.公共数据开放的新质生产力效应——基于企业数字创新视角[J/OL]. 财经研究,1-15[2025-11-26].https://doi.org/10.16538/j.cnki.jfe.20250216.101.

[15] 李佳林,王禹,赵西卜. 政府公共数据开放对企业数字化转型的影响研究[J]. 管理学报, 2024,21(10): 1467-1475.

[16] 王海艳,李常洪,高林怡, 等.以数为媒:数字技术应用对产学研合作的影响研究[J]. 科技进步与对策, 2025,42(20): 43-52.

[17] 王海,叶帅,尹俊雅. 公共数据开放如何提振企业有效投资——基于产能利用视角[J]. 中国工业经济, 2024,42(8): 137-153.

[18] 陈晓珊,李晗菲,刘洪铎. 数据资产信息披露与企业合作文化[J]. 上海财经大学学报, 2025,27(2): 78-93.

[19] 李爱君. 推动公共数据供给侧结构性改革促进新质生产力发展[J]. 人民论坛,2025,34(14): 68-71.

[20] 郑磊,侯铖铖. 信息传递、价值适配与降本协调: 公共数据资源开发利用中的供需鸿沟研究[J]. 电子政务,2024,21(10): 32-40.

[21] GOLDFARB A,TUCKER C. Digital economics[J]. Journal of Economic Literature,2019,57(1): 3-43.

[22] 杨壮,吴福象,龚恩泽. 公共数据开放能促进企业开放式创新吗——基于政府公共数据平台上线的准自然实验[J]. 经济经纬,2025,42(4): 3-15.

[23] 王晓丹,石玉堂,刘达. 公共数据开放能促进数字经济与实体经济融合吗——来自政府数据平台上线的准自然实验[J]. 南方经济,2024,43(9): 25-44.

[24] 宁启,白永秀,王莉,等. 公共数据开放对城市创业活力的联动效应研究[J].统计与信息论坛,2025, 40(6):102-114.

[25] 姜忠辉,李靓,罗均梅,等. 跨组织协同如何影响专精特新企业成长——基于资源依赖理论的案例研究[J]. 经济管理,2024,46(2): 110-128.

[26] 杨鹏,尹志锋,孙宝文,等. 数字技术应用与企业合作创新[J]. 经济管理,2025,47(1): 108-127.

[27] 郑浦阳. 政府数据开放、地区要素培育与企业数字技术创新[J]. 财经科学,2024,68(9): 89-103.

[28] 孙晓华,马雪娇,孔一杰,等. 中国制造业的数字鸿沟——“接入—应用—转化”的分析框架[J]. 管理世界,2025,41(4): 38-58.

[29] HUGHES-CROMWICK E, CORONADO J. The value of US government data to US business decisions[J]. Journal of Economic Perspectives,2019,33(1): 131-146.

[30] 何佳俐,郑志强. 公共数据开放与企业投资效率: 基于数据生产要素视角[J]. 现代经济探讨,2025,44(6): 80-91.

[31] NAMBISAN S, LYYTINEN K, MAJCHRZAK A, et al. Digital innovation management[J]. MIS Quarterly, 2017,41(1): 223-238.

[32] 张祥建,韩欣彤,刘知恒. 数据要素共享与企业数字化转型——基于公共数据开放的准自然实验[J]. 上海经济研究,2025,44(1): 28-42.

[33] 郭家堂. 公共数据开放与中国绿色全要素生产率:数据要素的视角[J]. 经济研究,2025,60(2): 56-72.

[34] EL-KASSAR A N,SINGH S K. Green innovation and organizational performance: the influence of big data and the moderating role of management commitment and HR practices[J]. Technological Forecasting and Social Change, 2019, 144: 483-498.

[35] 徐远彬, 黄婷, 卢福财. 合作创新对企业韧性的影响研究——来自上市公司联合专利数据的证据[J]. 财经问题研究,2025,47(1): 101-113.

[36] 杨鹏,孙伟增. 企业数字技术应用对绿色创新质量的影响研究[J]. 管理学报,2024,21(2): 232-239.

[37] 李治国,孔维嘉,王源辛. 政府数字关注度如何赋能区域创新均衡发展[J]. 管理学刊,2025,38(1): 130-145.

[38] BAKER A C,LARCKER D F,WANG C C Y. How much should we trust staggered difference-in-differences estimates[J]. Journal of Financial Economics, 2022,144(2): 370-395.

[39] SUN L,ABRAHAM S. Estimating dynamic treatment effects in event studies with heterogeneous treatment effects[J]. Journal of Econometrics,2021,225(2): 175-199.

[40] 王海,郭冠宇,尹俊雅. 在转型中向“绿”而行:产业结构调整与企业绿色创新[J]. 数量经济技术经济研究,2025,42(1): 93-115.

[41] 温忠麟,叶宝娟. 中介效应分析: 方法和模型发展[J]. 心理科学进展,2014,22(5): 731-745.

(责任编辑:王敬敏)