随着市场与技术竞争加剧,新产品持续迭代已成为企业保持市场领先地位的重要战略工具。然而,在“开发+转化”的全过程中,其不仅包含从无到有的开发阶段,而且包含向市场扩散的转化阶段。尽管众多企业深知产品开发与转化的同步成功是实现长期竞争力的关键所在,然而,面对快速变化的市场环境,不少公司仍然在这一进程中遭遇到了不小的挫折。如蔚来公司成功开发出一款高性能且拥有独特技术的电动汽车,然而在产品上市初期蔚来汽车的转化绩效并不如意,加之蔚来公司缺乏及时有效的知识搜索响应,未能及时了解行业主流技术更迭和消费者潜在需求变化,致使其市场绩效未如预期且面临巨大财务压力。学界的理论研究同样表明,仅有六成的产品能够实现商业化且多数未实现盈利[1]。由此可见,企业在新产品开发与转化衔接过程中面临巨大挑战,两者失衡不仅制约企业持续创新,而且造成资源浪费和运营效率损失,长此以往将威胁企业生存与发展。事实上,只有当“开发” “转化”两个阶段实现有效互补与循环,企业才能够更好地维持自身竞争力并实现持续发展。因此,针对这一问题展开深入探索,对于推动企业持续创新无疑具有重要意义。
不同于财务绩效,新产品绩效被认为是企业竞争优势的直接体现,且能够向管理者传递出更加清晰的前景信号。知识作为产品创新的基本要素,现有文献大多从内部能力与外部合作等视角对其展开前因分析,并指出内外部知识良性耦合是新产品取得成功的关键(张振刚等,2023)。然而,作为各种前因分析的落脚点,新产品绩效及其反馈却未得到充分讨论。事实上,新产品从想法到落地的全过程一般由开发阶段、转化阶段两部分组成(刘瑞佳等,2021)。其中,前者是指企业通过大量研究与开发,实现新产品创造或对原有产品进行改进的过程[2];后者则重点关注市场端获得财务绩效的扩散过程[3]。如果新产品转化绩效显著低于开发绩效,那么未来的财务绩效目标可能无法实现,同时,也会给企业持续投入带来制约;反之,如果产品转化绩效远超过开发绩效,企业可能会陷入惯性陷阱,忽略外部环境变化带来的危机。
知识基础观认为,知识是创新的基础,在开放式创新时代,当新产品开发绩效与转化绩效存在偏离时,其从本质上反映出企业在产品研发或商业化能力方面存在知识不足。换而言之,新产品绩效偏离在一定程度上表明企业当前的技术知识储备可能无法与目标匹配[4]。知识搜索是直接影响创新活动的战略响应行为,诸多研究基于注意力基础观指出,创新困境会促使有限理性的管理者发现企业内在不足,并积极驱动注意力向外部转移,通过多元化渠道搜索外部异质与先进知识[5]。由此可见,知识搜索战略已成为企业有效应对创新困境并重塑竞争力的直接方式。然而,现有研究更多聚焦于知识搜索的价值效应或者不同知识搜索方式先验价值的差异,相对缺乏对创新困境下管理者如何进行知识搜索响应这一关键问题的关注,导致知识搜索响应研究明显滞后于现实实践。对此,一个值得讨论的问题是:面对新产品绩效偏离广泛存在的现实情境,作为战略响应的重要方式,不同偏离状态将如何影响企业知识搜索响应行为?其背后的微观机理是什么?
此外,当面临新产品绩效偏离创新困境时,管理者认知及其解释并非完全客观。管理认知理论指出,组织决策过程不仅受环境本身的影响,还受到管理者个体认知逻辑的制约[6]。通常,面临困境时,由于认知会影响问题分类并与解决方案紧密关联,管理者可能更倾向于从个人认知逻辑角度解读绩效反馈信息[7],以维护自我价值和形象,并使之成为战略合法性依据[8]。由此可见,当企业新产品绩效存在偏离时,有限理性的管理者对模糊情境的决策逻辑可能是应对创新困境的重要动机并产生边界影响。
综上所述,将新产品绩效保持在良好轨迹上不仅是企业维持经营绩效的核心保障,也是参与未来市场竞争的内在支撑。为此,本文将从微观角度重点考察新产品绩效偏离究竟如何影响企业知识搜索响应行为,尤其是管理者决策逻辑如何影响该创新困境。本文可能带来的边际创新贡献在于,从理论角度揭示新产品绩效偏离与企业知识搜索响应间的深层作用机理,扩展和延伸组织行为相关理论;从实践角度基于管理者决策逻辑多样性探索产品绩效偏离对知识搜索策略的作用边界,为企业应对创新困境、优化产品创新路径提供启示。
1.1.1 新产品绩效偏离
早期研究多将新产品绩效定义为通过新产品成功获得的市场份额和利润[1]。然而,这种定义往往更加关注通过新产品获取的商业收益,即转化绩效,而忽略新产品开发绩效评估,特别是作为获得广泛扩散并形成持续竞争优势和提高企业绩效的关键前因。近年来,学者逐渐重视新产品开发绩效并认为其很大程度上对企业保持竞争力更为重要(曹勇等,2023)。随着产品竞争与迭代日趋激烈,新产品开发阶段与转化阶段或多或少地存在情境不一致性,而情境高度一致会削弱企业对外部环境的感知并抑制战略敏捷性[9]。因此,开发阶段与转化阶段的绩效偏离构成当今企业面临的反馈常态,本文主要围绕新产品绩效偏离与知识搜索响应间的复杂关系展开研究。一般而言,产品开发绩效与转化绩效可能存在两种偏离情况且偏离方向存在差异,即高开发绩效—低转化绩效、低开发绩效—高转化绩效。其中,前者表明新产品在开发阶段取得较高绩效但未能在转化阶段取得相应的绩效,本文将其定义为新产品绩效正偏离;后者则强调在新产品开发阶段未取得很好结果,但最终的转化绩效远远超出预期,本文将其定义为新产品绩效负偏离。
1.1.2 知识搜索响应
开放式创新背景下企业面临多样化外部信息和资源,通过知识搜索进行资源获取、组织学习和能力提升已经成为重要的创新路径。为此,学者们围绕组织知识搜索提出宽度搜索与深度搜索[10]、本地搜索与远程搜索[11]、利用式搜索与探索式搜索等多种形式[12-13]。然而,上述分类在一定程度上并未结合环境变化将搜索动机与搜索策略进行关联。为此,有学者[14-15]将企业为响应市场变化进行的知识搜索策略划分为前摄式搜索(proactive search)与反应式搜索(responsive search)。其中,前者强调企业为了开发与满足市场潜在需求,尝试寻找新技术轨迹与新知识领域,其决策动因具有主动性,风险高且周期长;后者则强调企业为了迎合与满足现有市场需求,跟随其他市场主体沿着既定技术轨迹或在相似知识领域展开搜索,决策动因具有明显的被动性,预见性强且成本低。同时,由于组织学习资源配置的有限性在一定程度上决定了前摄式搜索与反应式搜索之间的内在张力[16],故两者之间存在一定程度的此消彼长关系。
企业行为理论指出,业绩反馈能够以简化的决策规则为企业搜寻与变革行为提供理论解释[17]。由此可见,新产品前后阶段的绩效偏离作为一种业绩反馈,可以帮助企业制定目标、提供决策参考[18],并体现企业战略诉求与知识搜索响应价值特征之间的匹配程度。
前摄式搜索是指企业为了满足潜在市场需求以及摆脱现有技术轨迹,全面系统地搜索尚未被普遍接受、具有潜在价值异质性知识的过程,其风险较高且持续时间较长[14-15]。新产品绩效正偏离表明既定战略难以持续提升组织绩效,这种确定性风险会导致决策者与利益相关者进行行业内的“向上比较”,并提高前摄式搜索战略优先级。一方面,从战略认知角度,企业在开发阶段成功产出极具竞争性的产品却未能抓住市场机会,难以很好地满足客户需求,这种绩效落差促使管理者正视企业与同行领先企业的差距,激发管理者反思与冒险精神[19]。为了重塑企业市场空间,打破既定市场态势,企业可能将注意力聚焦于改变原有知识结构或创造新知识结构,从而积极开展前摄式搜索。另一方面,从公司治理视角,新产品前后阶段的落差会引发来自股东、债权人和其他利益相关者对企业创新及财务状况的格外关注,并成为强化治理结构的契机[20],这在一定程度上能够约束管理者享乐动机,使其更加关注具有持续性战略价值的前摄式搜索活动,以更好地缓解业绩颓势。
反应式搜索是指企业在面临市场需求变化或竞争对手挑战时,为了满足现有市场需求,碎片化地搜索和获取具有针对性、能迅速响应市场变化和竞争态势的知识的过程[14-15],其预见性强且投入成本较低。新产品绩效负偏离表明企业在开发阶段并未取得令人满意的结果,但在市场上获得成功。该条件下,为了在新产品负偏离状态下契合组织对绩效持续纠偏与盈利的战略诉求,企业通常会开展“下行比较”并容易被锁定于反应式搜索。这是因为,一方面,从战略认知角度,转化阶段成功带来的高额收益容易引发管理者过度自信,随即在自我满足的心理反馈下[21]将良好的绩效转化态势归因于现有战略合理性,进而产生比较优势与战略刚性,这将抑制组织风险承担意愿。在产品负偏离条件下,为了满足盈利持续性战略诉求,企业会通过反应式搜索进一步巩固并强化现有战略合法性。另一方面,从公司治理视角,绩效负偏离能够为股东、债权人等利益相关者带来意外的经济收益,引致利益相关者认同既定战略合理性并低估外部环境变化可能引发的风险[22],进而在一定程度上忽视回报周期长、投入多的前摄式搜索,并在有限资源投入条件下选择能够维系组织运营以保证利益相关者获得持续收益的反应式搜索。
综合上述分析,本文提出如下假设:
H1a:新产品绩效正偏离会促进企业前摄式搜索;
H1b:新产品绩效负偏离会促进企业反应式搜索。
由于外部环境持续变化,Sarasvathy[23]认为,管理者在不确定情形下推动企业变革存在提前规划与持续学习两种逻辑,即因果逻辑与效果逻辑。因此,在“新产品绩效偏离—知识搜索响应”作用机制中,管理者决策逻辑可能对上述机制的既定关系产生影响。
面对困境,秉持因果逻辑的管理者强调提前规划,通过精确分析企业内外部环境信息和资源,理性设计相关战略方案,主张直接在组织内部与面对市场全面贯彻推行战略变革[23],这可能会延缓新产品正偏离对前摄式搜索的驱动作用,加剧新产品负偏离对反应式搜索的锁定。这是因为,随着因果逻辑增强,管理者倾向在既定目标下实施计划行动[24],导致管理者对新产品绩效前后阶段出现的落差更加敏感,进而会在接下来的产品创新活动中更加谨慎并保持对现有产品战略的质疑。为了降低潜在风险和创新不确定性,他们可能会在企业内部发起反思并重新对研发路线与市场趋势进行规划,而不会贸然进行风险较高的前摄式搜索。相反,当绩效出现负偏离时,这种前后阶段的创新绩效顺差促使管理者将阶段性成功归因于前期研发阶段的积累与隐性优势,故而会围绕原有创新目标搜索产品相关知识,即通过反应式搜索对开发阶段进行修补并满足相关方对战略合法性的期望。此外,在利益最大化原则的影响下,如果新产品绩效呈现正偏离,持有因果逻辑的管理者难以预测前摄式搜索成本和收益,在预期回报不确定下,重构内外部多元化知识难以瞄准市场潜在需求,导致前摄式搜索视野和推进受到束缚;相反,如果新产品绩效呈现负偏离,面临确定性收益,为了进一步提升现有产品相关知识整合效率与效果[25],管理者可能倾向选择在熟悉的知识域强化反应式搜索。
综合上述分析,本文提出如下研究假设:
H2a:因果逻辑负向调节新产品绩效正偏离与前摄式搜索关系;
H2b:因果逻辑正向调节新产品绩效负偏离与反应式搜索关系。
与因果逻辑不同,秉持效果逻辑的管理者强调持续学习,在全面推行变革前,为提高企业在动荡环境中的适应性,会在反复试错中迭代完善变革流程和相关资源,降低和规避战略变革带来的原生与次生风险[25]。由此可见,面对创新困境,这种决策逻辑将强化绩效正偏离对前摄式搜索的驱动作用并抑制绩效负偏离对反应式搜索的锁定。这是因为,受过程思维引导,管理者善于利用外部环境、意外事件进行反思与学习。当新产品绩效存在前后落差时,为降低动荡环境带来的原生与次生风险[24],管理者会积极主动引导企业沿着多种技术轨迹开展外部搜寻,利用外部溢出知识更新企业产品创新惯例并在反复试错中迭代完善变革流程和相关资源,从而克服创新路径僵化;相反,当面临新产品绩效负偏离时,由于反应式搜索偏向扫描邻近知识域,易加剧组织知识同质化,带来资源冗余问题,从而制约企业绩效提高并可能降低管理者意愿。此外,在全局思维原则引导下,管理者可能更关注长远发展而非短期利益[26]。管理者会系统地评估产品绩效正偏离背后的隐性知识与资源,并通过主动的战略知识搜索以维护组织声誉并重塑战略合法性;相反,负偏离绩效带来的良好业绩态势更易激发管理者“居安思危”情怀,由于反应式搜索是以规避市场风险为导向的“自保”型战略,不符合以长期利益为目标的精神,企业将会避免选择反应式搜索。
因此,本文提出如下研究假设:
H3a:效果逻辑正向调节新产品绩效正偏离与前摄式搜索关系;
H3b:效果逻辑负向调节新产品绩效负偏离与反应式搜索关系。
基于上述多个假设的内在关联性,本文构建相应理论模型如图1所示。
图1 理论模型
Fig.1 Theoretical model
由于研究属于战略层面行为和结果,对填写者专业性和企业认知度有较高要求。因此,本研究选取需要借助产品频繁迭代保持竞争力的制造、软件、生物医药等行业企业,以参与战略决策及负责相关产品的各层管理者为调研对象,采用邮件与现场发放问卷相结合的方式于2023年5-6月在华东地区向50家企业产品团队展开调研。本次调研共发出问卷300份,其中,纸质版问卷100份,网络问卷200份。最终,共回收285份问卷,剔除漏填、填答一致性过高的问卷后剩余259份问卷,有效问卷回收率为86.33%。有效样本统计结果如表1所示。
表1 样本情况
Table 1 Composition of the valid samples
个体层面类别数量百分比(%)企业层面类别数量百分比(%)管理者年龄30岁及以下186.9企业规模50人及以下2550.031~40岁12949.851~100人1836.040岁以上11243.1100人以上714.0管理者学历本科以下249.3企业发展阶段成长期2958.0本科13351.3成熟期1224.0研究生10239.4衰退期918.0管理者性别男15760.6企业性质国有企业2244.0女10239.4民营企业2856.0管理者任职年限5年及以下20579.2行业制造行业1122.06~10年3413.1软件行业2142.010年以上207.7生物医药行业1836.0
为了确保量表与测量有效性,本研究采用返回翻译法,邀请4名管理学博士生对国内外成熟量表进行校对,在此基础上经过两位该领域专家评审和修订,形成最终问卷,测量项目如表2所示。问卷采用Likert 5级量表,根据受访者对实际情况的符合程度,评分1~5分,其中,1分表示“非常不符合”,5分表示“非常符合”。量表信效度满足基本要求。
表2 变量信效度检验结果
Table 2 Reliability test results of variables
变量题项因子载荷Cronbach's α系数AVECRPD为开发消费者潜在需求,我们在新产品研制上经常引入全新理念0.8370.8340.7050.836我们经常创造性能上全新的产品0.825我们是本行业中开发和引入全新技术的企业0.861我们能够在产品研制过程中控制速度与成本0.846PC上述新产品取得了很好的销售收入0.8150.8220.7020.829上述新产品取得了很多的市场份额0.832上述新产品取得了很好的投资回报率0.819上述新产品取得了很好的利润水平0.822PS遇到创新困境时,企业探索和发展新知识以突破现有知识局限0.8530.8490.7180.843遇到创新困境时,企业先于市场进行可能的知识搜索与积累0.837遇到创新困境时,企业洞察未来需求并开展知识积累与搜索0.855遇到创新困境时,企业在难以表达需求的领域寻找机会与知识0.852RS遇到创新困境时,企业累积并提取知识以满足当前需要0.8440.8350.7070.836遇到创新困境时,企业追随市场吸收外部知识0.842遇到创新困境时,企业根据当前需求搜索知识0.819遇到困境时,企业根据市场变化进行知识积累与搜索0.823CL遇到困境通过详细的计划可以实现成功0.8210.8380.7110.839全面分析并制定能够带来最大收益的方案0.819开发市场时,强调同时开发整个市场0.836需要变革时要求快速全面实施变革,不必试行0.843EL遇到困境在找到有效方式前会尝试各种方法0.8520.8310.7040.832可以承受损失,根据现有资源不断调整方案0.833开发市场时,先试验再大范围推向市场0.819需要变革时,先在局部试验再全面推行0.873
新产品绩效偏离。新产品开发绩效(PD)参考Lau[26]和Garcia[27]的研究成果,形成4个题项。新产品转化绩效(PC)借鉴Kim等[28]的研究量表进行测量,形成4个题项,并用公式(1)测度偏离程度。

(1)
知识搜索响应。本文因变量为前摄式搜索和反应式搜索。借鉴zhang等[15]的相关研究,分别用4个题项测量前摄式搜索(PS)与反应式搜索(RS)。
决策逻辑。决策逻辑测量借鉴Sarasvathy等[23]开发的量表,其中,因果逻辑(CL)包括4个题项,效果逻辑(EL)包括4个题项。
控制变量。在研究企业战略行为时,管理者作为企业决策核心,其个体因素产生的影响不可忽视(邓新明等,2021)。诸多研究表明,年龄、学历、性别、任职年限等个体异质性都有可能影响管理者对外部环境的认知与决策偏好,进而影响企业战略行为[29]。例如,年长或者在位时间长的管理者可能更倾向于稳健性战略,而年轻或者在位时间短的管理者可能更愿意冒险尝试新机会[30];学历高的管理者可能更倾向于全面分析之后的战略决策,而学历低的管理者可能更依赖经验和直觉;男性和女性管理者在领导风格与决策方式上也存在差异[31]。为避免这些个体层面因素对最终结果的干扰,将受访者年龄、学历、性别、任职年限作为个体特征因素纳入控制变量。此外,结合前人研究(刘瑞佳等,2021),诸如企业规模、发展阶段、产权性质与所属行业等企业层面因素也会深刻影响企业资源基础与决策惯例,并对搜索行为带来潜在影响。例如,规模较大或发展较为成熟的企业面临困境时可以凭借丰富的冗余资源进行稳健持续的变革以分散风险,而规模较小或处于发展期的企业则可能受限于自身资源而采用激进的变革战略以更好地适应外部环境。为避免上述企业层面因素对最终结果产生干扰,本文将企业规模、发展阶段、产权性质、所属行业等因素也纳入控制变量。
为了尽可能规避共同方法偏差,在条件许可的前提下对同一被调研企业发放A、B两份问卷,并将自变量与因变量分配给同一产品团队的不同管理者进行填写。同时,采取Harman单因子检验,结果显示,由主成分分析得到的最大特征根因子解释了整体变异量的28.72%,未占到总变异的一半,进一步说明样本不存在严重的同源偏差。
为检验基准模型(六因子模型)能否较好地代表因子结构,使用Mplus对开发绩效、转化绩效、前摄式搜索、反应式搜索、因果逻辑与效果逻辑进行区分效度检验。由表3可知,六因子模型的各项拟合指标(χ2/df=1.85; RMSEA=0.07; SRMR=0.05; CFI=0.92; TLI=0.91;GFI=0.88)均优于其它备选模型,说明本文涉及的6个潜变量之间区分效度较高。
表3 区分效度检验结果
Table 3 Results of discriminant validity test
模型χ2/dfRMSEASRMRCFITLIGFI基准模型(六因子模型)1.850.070.050.920.910.88五因子模型3.740.090.090.770.770.72四因子模型4.380.100.100.660.640.55三因子模型5.310.110.120.540.530.48单因子模型6.370.130.150.380.310.33
注:五因子模型:在基准模型基础上将开发绩效与转化绩效合并为1个因子;四因子模型:在五因子模型基础上将因果逻辑与效果逻辑合并为1个因子;三因子模型:在四因子模型基础上将前摄式搜索与反应式搜索合并为1个因子;单因子模型:将6个变量合并为1个因子
各变量均值、标准差及相关系数如表4所示。由结果可知,对比新产品前后阶段绩效,转化绩效更高,达到2.774;在知识搜索的两种响应策略中,反应式搜索行为发生更频繁,达到2.832;在决策逻辑的两个维度中,因果逻辑水平更高,达到3.175。此外,各主要变量相关系数均在可接受范围内,这不仅意味着变量间有较高的区分效度,而且表明样本不存在严重的多重共线性。
表4 主要变量描述性统计与相关性分析结果
Table 4 Descriptive statistics and correlation of main variables
变量均值标准差绩效正偏离绩效负偏离前摄式搜索反应式搜索因果逻辑效果逻辑绩效正偏离2.2721.1881绩效负偏离2.7741.050-0.129∗∗1前摄式搜索2.0410.7510.194∗∗-0.204∗∗1反应式搜索2.8320.534-0.1320.184∗∗-0.0891因果逻辑3.1750.4680.0490.1510.185∗∗0.0851效果逻辑2.7130.3830.0170.0930.143∗0.1230.1271
注:*表示达到5%的显著性水平,**表示达到1%的显著性水平
新产品绩效偏离影响知识搜索响应行为的分析结果如表5所示。首先,检验新产品绩效正偏离对前摄式搜索的影响。以前摄式搜索为因变量,M1为仅存在控制变量的模型,M2在M1的基础上加入新产品绩效正偏离。分析结果表明,新产品绩效正偏离对前摄式搜索有显著正向影响(β=0.353,p<0.01);M3检验新产品绩效负偏离对前摄式搜索的影响,结果发现,影响不显著。进一步地,以反应式搜索为因变量,M4为仅存在控制变量的模型,M5在M4的基础上加入新产品绩效负偏离。分析结果表明,新产品绩效负偏离对反应式搜索有显著正向影响(β=0.258,p<0.01)。M6检验新产品绩效正偏离对反应式搜索的影响,结果显示,影响不显著。这些在一定程度上表明知识搜索作为企业应对创新困境的一种手段,当面临不同绩效偏离时,企业往往会采取不同知识搜索响应策略,即H1a、H1b得到验证。
表5 主效应检验结果
Table 5 Main effect test results
变量前摄式搜索(PS)M1M2M3反应式搜索(RS)M4M5M6年龄-0.033∗-0.029∗-0.031∗0.0420.044∗0.038学历0.142∗∗0.138∗∗0.129∗∗-0.051-0.047-0.041性别-0.103-0.111-0.132∗0.1220.1280.133∗任职年限-0.052-0.051-0.133∗0.0880.0790.062企业规模-0.124∗-0.118-0.0580.158∗∗0.162∗∗0.163∗∗企业发展阶段-0.041-0.042-0.0530.0430.0450.044企业性质-0.148∗-0.155∗-0.172∗0.1220.131∗0.126行业虚拟变量-0.032-0.037-0.0150.0350.0420.044绩效正偏离0.353∗∗∗-0.167绩效负偏离-0.1250.258∗∗∗R20.0470.0720.0530.0630.0920.103Adj-R20.0250.0060.0290.040F1.9322.1282.0752.1322.7832.839
注:*表示达到10%的显著性水平,**表示达到5%的显著性水平,***表示达到1%的显著性水平,下同
为了验证假设H2与H3,即决策逻辑在新产品绩效偏离与知识搜索响应之间的调节作用,同时将新产品绩效偏离、决策逻辑及其交互项作为自变量加入模型M7-M12中,结果如表6所示。由M8可知,在加入新产品绩效偏离与因果逻辑的交互项后,绩效正偏离对前摄式搜索的作用仍然显著(β=0.449,p<0.01),且交互项系数为-0.092,表明因果逻辑负向调节绩效正偏离与前摄式搜索关系。由M11可知,绩效负偏离对反应式搜索作用显著(β=0.232,p<0.01),且交互项系数为0.067,表明因果逻辑正向调节绩效负偏离与反应式搜索关系,假设H2a与H2b均得到验证。同理,由M9与M12可知,效果逻辑正向调节新产品绩效正偏离与前摄式搜索关系,负向调节绩效负偏离与反应式搜索关系,故假设H3a与H3b得到验证。这表明在知识搜索响应过程中,管理者会根据个人的信息解读与逻辑调整知识搜索响应形式,即拥有不同逻辑的管理者可能对原有响应机制采取差异化策略。
表6 调节效应检验结果
Table 6 Moderating effect test results
变量前摄式搜索(PS)M7M8M9反应式搜索(RS)M10M11M12管理者年龄-0.033∗-0.031-0.0350.0420.0250.022管理者学历0.142∗∗0.0420.044-0.051-0.021-0.025管理者性别-0.103-0.123-0.1250.1220.1220.109管理者任职年限-0.052-0.055-0.0510.0880.161∗0.152∗企业规模-0.124∗-0.127∗-0.137∗0.158∗∗0.0870.074企业发展阶段-0.041-0.045-0.0420.0430.0890.081企业性质-0.148∗-0.153∗-0.129∗0.1220.1150.123行业虚拟变量-0.032-0.035-0.0420.035-0.027-0.028绩效正偏离0.449∗∗∗0.375∗∗∗绩效负偏离0.232∗∗∗0.228∗∗∗因果逻辑0.0230.009效果逻辑0.0150.006绩效正偏离∗因果逻辑-0.092∗绩效负偏离∗因果逻辑0.067∗∗绩效正偏离∗效果逻辑0.082∗∗绩效负偏离∗效果逻辑-0.039∗R20.0470.0770.0710.0630.0880.079Adj-R20.0300.0240.0260.016F1.9322.2522.1752.1322.4732.321
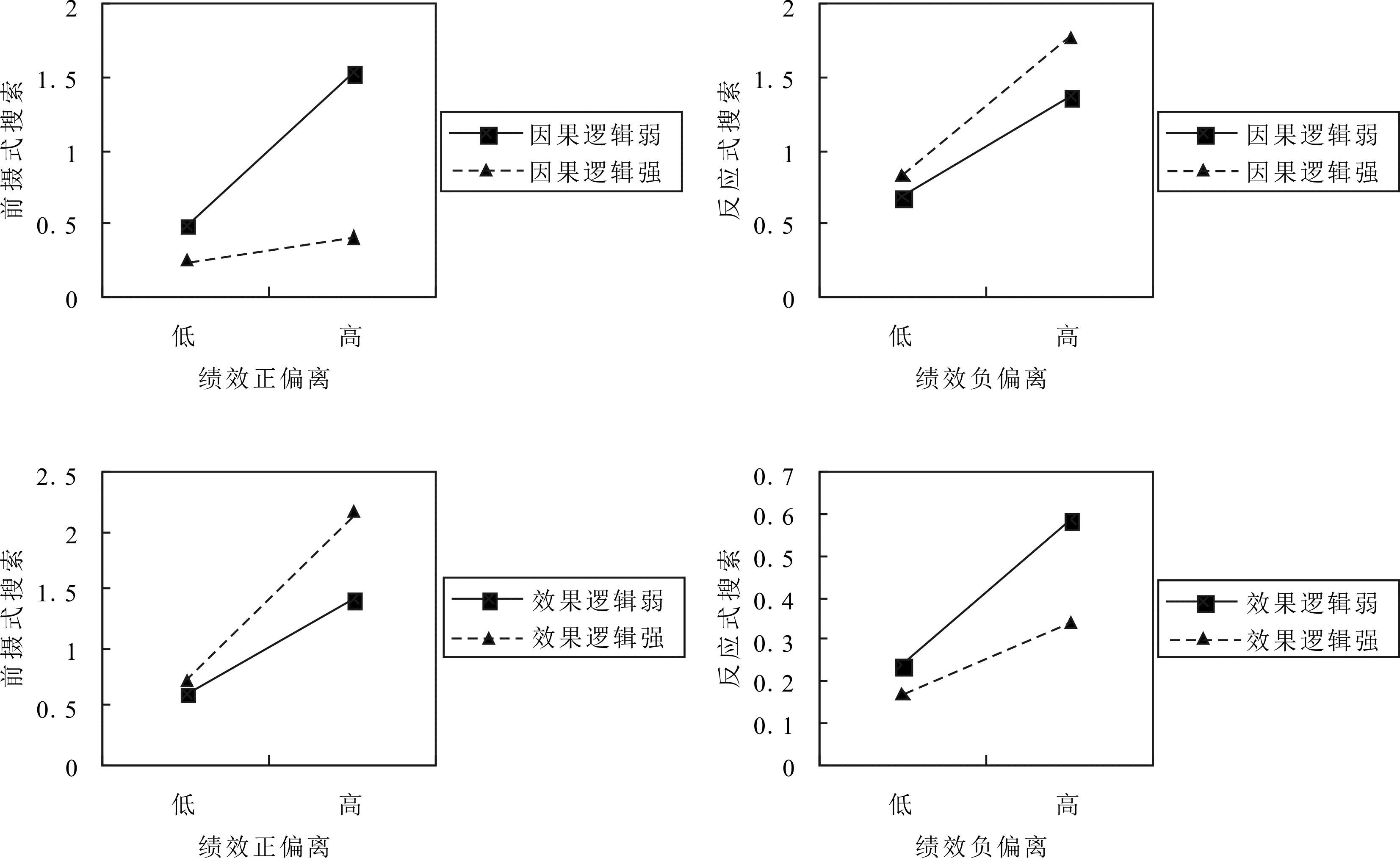
为进一步说明决策逻辑的调节作用,绘制调节效应图(图2)。可以看出,在新产品绩效偏离与知识搜索响应关系中,随着管理者因果逻辑增强,绩效正偏离对前摄式搜索的正向影响减弱,绩效负偏离对反应式搜索的正向影响增强;在效果决策逻辑增强的情况下,绩效正偏离对前摄式搜索的正向影响增强,绩效负偏离对反应式搜索的正向影响减弱。
图2 决策逻辑的调节效应
Fig.2 Moderating effects of decision logic
在开放式创新背景下,尽管反应式搜索具有周期短、成本低的战略优势,且其带来的修补作用也有助于企业更好地适应市场环境变化并抑制战略刚性,但在长期过程中企业可能会因日益激烈的竞争环境而陷入“绩效偏离—反应搜索”的循环困境。此外,过度依赖反应式搜索可能导致企业无法投入充足资源进行更具价值的前摄式搜索。因此,通过实施前摄式知识搜索战略以实现创新绩效与经济绩效的双赢,成为驱动企业获取长期竞争优势的重要路径。上述研究结合新产品绩效偏离困境分析了企业选择知识搜索战略的重要动因,但如何针对性地引导前摄式创新需要进一步探讨和研究。
3.5.1 异质性分析——企业产权性质
转型期的一大特征是大量国有企业与民营企业并存。一方面,国有企业往往更容易获得外部资源,战略自主权更大[32];另一方面,国企管理者并非仅仅考虑物质奖励,还存在政治晋升等隐性激励(赵胜民等,2023),其经营目标并非完全跟随市场。因此,经营责任与激励逻辑的不同使得面临创新困境时企业知识搜索响应策略也会存在一定异质性。本文由此推测,当面临绩效正偏离时,国有企业更有可能在创新困境中大胆实施前摄式搜索,相比之下,追求经济利益与规避损失威胁的双重动机赋予民营企业以市场主导逻辑,使其在面临绩效负偏离时更倾向采取反应式搜索。
表7列示基于企业产权性质的分样本检验结果。其中,第(1)(2)列为国有企业样本检验结果,第(3)(4)列为民营企业样本检验结果。对比第(1)列与第(3)列发现,国有企业创新绩效正偏离回归系数显著而民营企业不显著,表明新产品绩效正偏离对企业前摄式搜索的影响在国有企业更普遍。同理,第(2)列中创新绩效负偏离回归系数在10%的水平上显著,第(4)列中新产品绩效负偏离回归系数均在1%的水平上显著,表明新产品绩效负偏离对企业反应式搜索的影响在民营企业中更显著。
表7 进一步检验结果
Table 7 Further test results
变量国有企业前摄式搜索反应式搜索民营企业前摄式搜索反应式搜索前摄式搜索双元逻辑(CE1)双元逻辑(CE2)反应式搜索双元逻辑(CE1)双元逻辑(CE2)控制变量YesYesYesYesYesYesYesYes行业虚拟变量YesYesYesYesYesYesYesYes绩效正偏离0.375∗∗∗0.2210.421∗∗∗0.366∗∗∗绩效负偏离0.207∗0.315∗∗∗0.221∗∗∗0.237∗∗∗双元逻辑0.0090.0130.0290.045绩效正偏离∗双元逻辑0.118∗∗∗0.137∗∗∗绩效负偏离∗双元逻辑0.057∗0.082∗∗R20.0320.0380.0850.0890.0480.0540.0870.092F1.3511.4022.3152.3821.8521.9072.3212.473
3.5.2 拓展性分析——双元逻辑之间是替代还是互补
前文验证了持有不同决策逻辑的管理者对新产品绩效偏离有着不同信息解读与决策响应。考虑到市场竞争与环境变化愈发复杂,单独持有一种逻辑的管理者可能存在局限,从而呼唤能够满足矛盾性需求的双元逻辑[15]。那么,在前摄式搜索重要性日益彰显的情况下,当管理者同时具备两种逻辑时会对上述关系产生何种影响?
基于矛盾观点的研究指出,由于两种决策逻辑存在目标、原则以及资源安排的差异,当一种逻辑不断增强时,另一种逻辑将被抑制[33]。但持有互补观点的学者认为,因果和效果逻辑能够协同共存,且整合后可以充分发挥协同优势[34]。为了进一步回应现有研究对决策逻辑的二元争论,进一步明确绩效正偏离在双元逻辑下对前摄式搜索决策的参照效果,统计管理者兼顾因果逻辑与效果逻辑的情况,借鉴Yuan等[35]的思路,分别采用公式(2)(3)计算双元逻辑的得分(CE1与CE2)。得分越高,表明双元水平越高。
CE1=(CL+EL)/2-|CL-EL|
(2)
CE2=CL×EL
(3)
检验两种方法测度得到的双元逻辑作用结果如表7所示,可以发现,绩效正负偏离与双元逻辑交互项系数均为正,在一定程度上表明当企业面临新产品绩效偏离时,因果与效果逻辑能够发挥协同优势。可见,不同于持矛盾观点的研究结果,本研究发现在“绩效正偏离—前摄式搜索”的作用机制中,效果逻辑并不会随着因果逻辑增强而被抑制,相反,依然能够强化绩效正偏离对前摄式搜索的促进作用,这在一定程度上呼应了现有研究普遍认为悖论式逻辑对创新活动存在广泛积极影响的结论。
在动态变化的技术与市场环境下,维持新产品绩效是企业保持竞争力的重要考量。基于此,本文针对由新产品绩效偏离产生的实践难题,探讨绩效偏离与知识搜索响应行为背后的作用机制,并检验决策逻辑在此过程中的影响。首先,新产品开发与转化绩效偏离能够影响企业知识搜索响应。“穷则思变,富则思安”,高开发绩效低转化绩效的正偏离将促使企业提高前摄式搜索的战略位置,而低开发绩效高转化绩效的负偏离会进一步锁定企业的反应式搜索。其次,决策逻辑对上述关系产生影响。当管理者秉持因果逻辑时,将抑制正偏离对前摄式搜索的激发作用,强化负偏离与反应式搜索之间的锁定关系;而当高管秉持效果逻辑时,会强化正偏离与前摄式搜索间的正向影响,削弱负偏离与反应式搜索之间的正向关系。最后,在前摄式搜索导向下,当面临产品绩效正偏离时,国有企业更有可能在创新困境中大胆实施前摄式搜索。此外,在“绩效正偏离—前摄式搜索”的作用机制中,当管理者具备双元逻辑时,因果逻辑与效果逻辑之间能够形成互补,且整合后可以充分发挥协同优势。
上述研究在一定程度上提供了新理论洞见:首先,相较于以往的财务绩效反馈,本文聚焦于与竞争力密切相关的新产品绩效偏离,拓展了创新绩效反馈驱动战略响应行为的组织行为理论;其次,本文将企业知识搜索响应纳入研究框架,从前摄式和反应式两个方向拓展了企业知识搜索的多样性,并结合管理者决策逻辑的边界作用丰富了该行为的组织内部动因研究;最后,在前摄式知识搜索导向的呼吁下,本文探索了企业性质以及双元逻辑对产品绩效偏离与企业知识搜索响应关系的影响,在一定程度上深化了对企业知识搜索异质性、复杂性的理解,也为后续学者进一步整合创新战略管理与人力资源管理提供了启发。
首先,知识搜索是企业应对新产品绩效偏离的重要响应渠道,从本文研究结论可以看出,为了稳定经营并拓展未来盈利空间,企业应持续优化产品绩效偏离环境下的知识搜索响应策略。在绩效正偏离条件下,尽管前摄式搜索可以弥补前后绩效落差导致的战略合法性损失,但企业应先充分评估自身组织资源和知识基础,警惕其资源依赖与长期投入潜藏的财务风险。在绩效负偏离条件下,对反应式搜索的路径依赖削弱了企业未来应对环境变化风险的能力,企业应积极利用负偏离带来的冗余资源,逐渐由反应式搜索转向前摄式搜索。
其次,在前摄式搜索导向下,要正视管理者认知因素对响应行为的影响。相较而言,在新产品绩效正偏离较大的环境下,持有效果逻辑的管理者能够有意识地接受环境刺激,通过主动开展前摄式搜索以避免陷入决策的极端境地。同时,未来管理者应将双元逻辑纳入管理思维,权衡利用双元理性,从而快速准确地识别环境信息并进行知识搜索。
最后,政府应当引导民营企业加大对创新管理目标的重视。研究发现,相比于国有企业,民营企业在创新困境中开展的前摄式搜索较少。改革开放以来,民营企业在推动创新与经济发展中的重要作用不断凸显,因此政府和相关机构应大力培育民营企业的创新意识,改善营商环境,增强民营企业家创新投资与市场扩张的信心。
本研究探讨了新产品绩效偏离与知识搜索响应关系,但是尚存在以下研究不足:第一,分析了新产品绩效正偏离、负偏离两种情况下新产品绩效反馈与企业知识搜索响应行为关系的变化,未来可以进一步构建系统性研究框架,综合考虑财务绩效、创新绩效甚至社会绩效等多元化管理目标对知识搜索响应的协同影响机制,以丰富混合绩效反馈研究。第二,限于数据可得性,本文所采用的截面数据在观察与描述动态过程方面存在一定局限性,未来研究可采用纵向案例分析方法,为揭示不同阶段各变量复杂关系提供有力证据。
[1] SLATER S F,MOHR J J,SENGUPTA S. Radical product innovation capability:literature review,synthesis,and illustrative research propositions[J].Journal of Product Innovation Management,2014,31(3): 552-566.
[2] 秦剑,董维维,牛晓琴,等.基于元分析方法的人力资源管理对新产品开发绩效的影响机制研究——人力资本的中介效应[J].研究与发展管理,2023,35(4):108-125.
[3] 焦媛媛,闫鑫,李智慧.新产品扩散视域下的同侪影响:维度厘定与量表开发——基于社交网络情境[J].管理工程学报,2023,37(2):11-21.
[4] 黄灿,徐戈.技术多元化能够促进企业绩效提升吗?技术重组模式与科学知识搜索的调节作用[J].科技进步与对策,2024,41(2):108-118.
[5] 连燕玲,郑伟伟,高皓.创新困境下的制造业企业战略响应——基于创新绩效期望落差与响应式搜索行为的研究[J].中国工业经济,2023,40(8):174-192.
[6] HELFAT C E,PETERAF M A. Managerial cognitive capabilities and the microfoundations of dynamic capabilities[J].Strategic Management Journal,2015,36(6): 831-850.
[7] 和苏超,黄旭.管理者解释如何影响企业环境战略选择:调节定向理论视角[J].管理学季刊,2019,4(3):87-111.
[8] AUDIA P G,BRION S,GREVE H R. Self-assessment,self-enhancement,and the choice of comparison organizations for evaluating organizational performance[J].Advances in Strategic Management,2015,32(8): 89-118.
[9] 连燕玲,贺小刚,高皓.业绩期望差距与企业战略调整——基于中国上市公司的实证研究[J].管理世界,2014,30(11):119-132,188.
[10] LAURSEN K,SALTER A. Open for innovation: the role of openness in explaining innovation performance among UK manufacturing firms[J].Strategic Management Journal,2006,27(2): 131-150.
[11] ROSENKOPF L,NERKAR A. Beyond local search: boundary-spanning,exploration,and impact in the optical disk industry[J].Strategic Management Journal,2001,22(4): 287-306.
[12] GAMBETA E,KOKA B R,HOSKISSON R E. Being too good for your own good: a stakeholder perspective on the differential effect of firm-employee relationships on innovation search[J].Strategic Management Journal,2019,40(1): 108-126.
[13] PATEL P C,FERNHABER S A,MCDOUGALL P P,et al. Beating competitors to international markets: the value of geographically balanced networks for innovation[J].Strategic Management Journal,2014,35(5): 691-711.
[14] 奉小斌,马晓书.决策理性视角下知识搜索对创新合法性的影响[J].科研管理,2022,43(10):172-179.
[15] ZHANG J,DUAN Y. The impact of different types of market orientation on product innovation performance: evidence from Chinese manufacturers[J].Management Decision,2010,48(6): 849-867.
[16] LI Q,MAGGITTI P G,SMITH K G,et al. Top management attention to innovation: the role of search selection and intensity in new product introductions[J].Academy of Management Journal,2013,56(3): 893-916.
[17] 杨治,肖晶.绩效反馈理论演进脉络与研究展望[J].管理学报,2023,20(10):1565-1578.
[18] GABA V,BHATTACHARYA S. Aspirations,innovation,and corporate venture capital: a behavioral perspective[J].Strategic Entrepreneurship Journal,2012,6(2): 178-199.
[19] LUCAS G J M,KNOHEN J,MEEUS M T H. Contradictory yet coherent? inconsistency in performance feedback and R&D investment change[J].Journal of Management,2018,44(2): 658-681.
[20] 贺小刚,连燕玲,吕斐斐,等.消极反馈与企业家创新:基于民营上市公司的实证研究[J].南开管理评论,2016,19(3):145-156.
[21] LEONARD D. Core capabilities and core rigidities: a paradox in managing new product development[J].Strategic Management Journal,1992,13(S1): 111-125.
[22] BROMILEY P,WASHBURN M. Cost reduction vs innovative search in R&D[J].Journal of Strategy and Management,2011,4(3): 196-214.
[23] SARASVATHY S D. Causation and effectuation: toward a theoretical shift from economic inevitability to entrepreneurial contingency[J].Academy of Management Review,2001,26(2): 243-263.
[24] CHANDLER G N,DETIENNE D R,MCKELVIE A,et al. Causation and effectuation processes:a validation study[J].Journal of Business Venturing,2011,26(3): 375-390.
[25] FISHER G. Effectuation,causation,and bricolage: a behavioral comparison of emerging theories in entrepreneurship research[J].Entrepreneurship Theory and Practice,2012,36(5): 1019-1051.
[26] LAU A K W,TANG E,YAM R C M. Effects of supplier and customer integration on product innovation and performance: empirical evidence in Hong Kong manufacturers[J].Journal of Product Innovation Management,2010,27(5): 761-777.
[27] GARCIA R,CALANTONE R. A critical look at technological innovation typology and innovativeness terminology: a literature review[J].Journal of Product Innovation Managemen,2002,19(2): 110-132.
[28] KIM N,IM S,SLATER S F. Impact of knowledge type and strategic orientation on new product creativity and advantage in high-technology firms[J].Journal of Product Innovation Management,2013,30(1): 136-153.
[29] TANG Y,QIAN C,CHEN G,et al. How CEO hubris affects corporate social(ir)responsibility[J].Strategic Management Journal,2015,36(9):1338-1357.
[30] 钟熙,宋铁波,陈伟宏,等.CEO任期、高管团队特征与战略变革[J].外国经济与管理,2019,41(6):3-16.
[31] 潘子成,易志高,潘镇.中国存在“玻璃悬崖”现象吗——基于经营危机与女性高管职位晋升的实证研究[J].管理工程学报,2023,37(4):40-56.
[32] 王超,余典范,龙睿.经济政策不确定性与企业数字化——垫脚石还是绊脚石 [J].经济管理,2023,45(6):79-100.
[33] OCASIO W. Attention to attention[J].Organization Science,2011,22(5): 1286-1296.
[34] ROSING K,FRESE M,BAUSCH A. Explaining the heterogeneity of the leadership-innovation relationship: ambidextrous leadership[J].The Leadership Quarterly,2011,22(5): 956-974.
[35] YUAN W,BAO Y,OLSON B J. CEOs' ambivalent interpretations,organizational market capabilities,and corporate entrepreneurship as responses to strategic issues[J].Journal of World Business,2017,52(2): 312-326.