This paper selects industrial enterprises listed on China's A-share market from 2006 to 2023 as research samples, with 7 596 observations from 422 listed companies. The green innovation efficiency of industrial enterprises is measured by the Super-SBM model, the carbon emissions trading pilot policy is taken as an exogenous shock variable, and a multi-period double-difference model is constructed to explore the impact of the carbon emissions trading pilot policy on the enterprises' green innovation efficiency. This paper selects industrial enterprises listed on China's A-share market from 2006 to 2023 as research samples, with 7 596 observations from 422 listed companies. The green innovation efficiency of industrial enterprises is measured by the Super-SBM model, the carbon emissions trading pilot policy is taken as an exogenous shock variable, and a multi-period double-difference model is constructed to explore the impact of the carbon emissions trading pilot policy on the enterprises' green innovation efficiency. Meanwhile, industrial structure transformation is introduced into the model as a mediating variable to further explore the impact mechanism. In addition, the heterogeneity of the impact is discussed.
The findings are presented as follows. First, the carbon emissions trading pilot policy significantly enhances enterprise green innovation efficiency, and this conclusion remains robust across a series of sensitivity analyses. Second, both industrial structure upgrading and rationalization play a positive mediating role in the relationship between the carbon emissions trading pilot policy and enterprise green innovation efficiency. Third, heterogeneity analysis indicates that the impact of carbon emissions trading on green innovation efficiency varies across different contexts. Specifically, the effectiveness of the policy is influenced by factors such as whether the firm is located in a key environmental city, and the ownership structure of the enterprise. These factors contribute to differentiated policy outcomes. Collectively, these findings provide empirical evidence to objectively assess the green effect of the carbon trading market.
To further advance the green and low-carbon transformation of enterprises, several key measures are proposed. First, it is essential to continuously improve the safeguard measures for enterprises during their green and low-carbon transformation. This includes enhancing market stability, expanding financing channels, and providing macro-level information and technical support.Second, regions should further optimize carbon allowance pricing mechanisms to reduce market uncertainties caused by price volatility. When formulating carbon allowance allocation systems, regions must balance the survival and development of enterprises with the effectiveness of carbon emission governance. Third, mechanisms for incentivizing and supervising the green and low-carbon transformation of non-state-owned enterprises should be strengthened to ensure their active participation and compliance.Finally, policies should be continuously refined to promote industrial structure transformation, thereby enhancing the overall efficiency and sustainability of green innovation.
自改革开放以来,我国工业化进程加快,而依赖资源要素投入和规模扩张的经济增长模式导致资源消耗过度、环境污染等问题制约了经济可持续发展。随着环境问题凸显,我国发布并实施了一系列环境法规,旨在通过政策工具激发企业绿色创新,从而摆脱工业低效率、高耗能与高排放的困境。“波特假说”认为,合理、有效的环境规制能够激发企业绿色创新活力[1]。但在实践中发现,生态环境具有明显的公共物品特征,以利益最大化为目标的企业难以自发开展绿色环保活动。当企业兼顾环境治理时,虽承担了全部成本,却因环境外部性无法获取全部收益,降低企业绿色创新自主性与积极性。因此,将环境外部性问题内化至企业,成为环境政策驱动企业绿色创新行为的关键[2]。
2011年10月,国家发展改革委发布了《关于开展碳排放权交易试点工作的通知》,并于2013年开始了试点工作。作为我国推动经济绿色低碳转型的制度创新,该政策主要通过碳配额分配与交易将碳排放纳入到企业生产决策中,即将温室气体排放这一外部性问题内化为企业生产成本,进而约束企业碳排放行为。具体而言,在设定碳排放目标后,政府采用历史排放法或基线法对控排企业进行初始碳配额分配,如果履行期内的碳排放量低于初始配额,则企业可在碳市场中出售盈余碳配额,获得额外收益;若超出配额,企业则需在碳市场中购买配额以满足排放需求,导致生产成本增加。由此可见,与命令控制型环境规制基于行政手段的“关”“停”“并”“转”相比,碳排放权交易基于市场调节机制,更易促进企业主动实施绿色转型,通过提升资源利用率降低生产成本、扩大盈利空间实现可持续发展。作为我国现阶段降低碳排放的主要市场激励型环境规制工具,碳排放权交易在给企业带来转型与发展机遇的同时,还给企业带来经营压力与危机。一方面,盈余碳配额收益与政府奖励机制能够加速基础较好且相对环保企业绿色转型;另一方面,超额碳配额成本与政府惩罚机制会倒逼部分高排放企业转型、搬迁甚至放弃经营。为加速转型,部分地区建设了引领低碳发展的工业园区,如上海在《上海市碳达峰实施方案》的指导下,出台《闵行开发区零碳示范园区创建行动方案》,旨在通过政策推进园区产业绿色低碳转型。
为了在产业结构转型期间获取竞争优势、拓宽盈利空间,企业需要调整绿色发展战略。碳排放权交易试点政策如何影响企业决策,并提升绿色创新效率?产业结构转型在其中发挥何种作用?这种影响是否具有异质性?为回答以上问题,本文基于碳排放权交易这一准自然试验,以中国工业企业为研究对象,探究碳排放权交易对工业企业绿色创新效率的影响,讨论产业结构转型的中介作用,从是否位于环保重点城市和企业所有制类型视角检验结果的异质性,并进一步分析试点地区间政策实施效果的差异性。
本文边际贡献体现如下:第一,现有文献在讨论碳排放权交易对绿色创新的影响机制时,主要从资源配置、研发投入、融资约束等角度入手,较少关注产业结构转型。本文将产业结构转型作为中介变量纳入理论框架,并基于产业结构在经济发展中的演变趋势和协调性需求,将其划分为产业结构高度化与产业结构合理化,分别讨论两个子维度的中介效应。第二,现有文献更多从宏观层面评估绿色创新效率,或采用比值法测算微观层面绿色创新效率。本文结合绿色创新效率内涵,考虑到数据可得性,构建企业层面的绿色创新投入、期望产出和非期望产出指标体系。其中,非期望产出同时包含污染排放与温室气体排放,并选用超效率SBM模型(Super-SBM)对企业绿色创新效率进行综合评估,进一步丰富绿色创新效率相关研究。第三,本文将碳排放权交易设置为外生冲击变量,检验其对工业企业绿色创新效率的影响机制,丰富了环境规制政策实施效果实证分析框架。
自碳排放权交易实施以来,学者们主要围绕环境效应和经济效应对该政策的有效性进行评估。在环境效应方面,Zhang等[3]基于我国省级面板数据,探究了碳排放权交易降低碳排放强度的路径机制;Shen等[4]发现,碳排放权交易对碳排放的抑制效应在初期较为明显,但该抑制效应会随时间逐渐减弱。在经济效应方面,Dong等[5]基于“波特假说”实证研究发现,碳排放权交易有助于激发研发活动、提升创新水平,进而推动区域经济增长;Pan等[6]基于企业微观视角,认为碳排放权交易能够显著提升企业全要素生产率;Liu等[7]运用一般均衡模型对湖北省碳排放权交易进行模拟分析发现,该政策可能导致区域经济波动。近年来,有少量学者开始关注碳排放权交易的绿色效应。例如,Zhao等[8]研究发现,碳排放权交易有助于增加研发投入、促进绿色创新;Lv & Bai[9]发现,碳配额价格提升与波动均能有效刺激企业绿色创新;Zhang等[10]认为,碳排放权交易可能在短期内对研发投入产生挤出效应,不利于企业绿色技术创新。
绿色创新效率是反映企业绿色创新核心竞争力的综合指标,在考虑环境影响的基础上系统衡量创新投入与创新产出效率[11]。现有研究主要采用参数法与非参数法对企业绿色创新效率进行测量。其中,参数法以随机前沿分析(SFA)为代表,与非参数法相比,该方法虽考虑了随机误差对产出的影响,但需要提前设定生产函数,导致测算结果往往存在结构偏差。非参数法主要是指数据包络分析(DEA),该方法无需设定具体函数,自1978年由Charnes等[12]提出后,被广泛应用于多投入与多产出的效率评估。如Guan & Chen[13]使用两阶段DEA模型对国家层面创新效率进行了测算。传统DEA模型未考虑松弛变量的影响,同样导致测量结果存在误差。因此,Tone[14]提出了Super-SBM模型。该模型不仅加入松弛变量以避免主观因素影响,还能够对各决策单元进行比较与排序。因此,Zhang等[15]、赵玉林等[16]使用Super-SBM模型,分别从省份和行业层面测算了绿色创新效率。还有学者选用比值法,如权小锋等[17]将绿色创新产出与创新投入的比值作为企业微观层面的绿色创新效率衡量指标。
现有研究主要讨论了环境规制、金融政策、产业集聚、数字技术等因素对绿色创新效率的影响。在环境规制对绿色创新效率影响研究中,Zhang等[18]发现,市场激励型和自愿型环境规制更能激励企业提升绿色创新效率;Tang等[19]发现,命令控制型政策在短期内会增加企业成本支出,进而对绿色创新效率产生负面影响,该影响因企业规模、所有制类型与所在区域差异而具有异质性。部分学者以绿色技术创新为被解释变量,发现市场激励型环境规制的碳排放权交易能够显著提升企业绿色技术创新能力,且这一促进效应在国有企业更加显著(李创等,2023)。
综上所述,现有相关文献围绕碳排放权交易政策影响、绿色创新效率评估与影响因素等方面展开了丰富研究。然而,现有文献多选用比值法对企业微观层面的绿色创新效率进行测量,较少从多投入、多产出视角进行系统评估。同时,探究碳排放权交易对企业绿色创新效率影响的研究较少,关于产业结构转型中介机制的讨论更是匮乏。因此,本文利用2006—2023年中国422家工业上市公司平衡面板数据,构建企业绿色创新投入、期望产出和非期望产出指标,运用Super-SBM模型对企业绿色创新效率进行系统测算,结合碳排放权交易试点时间与批次构建多期DID模型,将产业结构转型作为中介变量,探究碳排放权交易对工业企业绿色创新效率的影响与内在机理。
碳排放权交易是基于科斯定理设计的绿色低碳政策,旨在通过量化配额总量和市场交易机制推动产业结构升级,促进绿色可持续发展。自2013年6月起,我国先后在北京、上海等8个省市开展碳交易市场试点。各试点地区均出台了配套政策。
为达到绿色低碳效果,各地政府在明确碳配额核算与分配方案的基础上制定了以下保障措施:①碳市场价格调控机制。通过明确政府调节范围、配额投放与回购流程降低市场不确定性。②碳金融产品与服务。各地交易中心陆续出台了配额抵押融资、碳债券、碳远期等较为灵活的金融产品与服务。在此基础上,定期举办碳交易项目推介会,进一步扩大融资来源。③激励与约束机制。通过专项资金、重点扶持碳减排技术创新、信用机制与国企绩效考核等渠道刺激或倒逼企业绿色低碳行为。
“波特假说”认为,环境规制能够激发企业绿色创新行为原因如下:①从根本上看,污染是一种经济浪费的表现,规制能让企业意识到现有资源效率低下问题与技术改进方向,并引导企业关注潜在领域。②政策明确降低了投资不确定性,拓宽了绿色低碳领域的融资渠道。③竞争是企业创新的主要驱动力,环境监管产生的外部压力加剧了产业中绿色竞争,能有效打破企业创新惰性。④环境监管为处于绿色转型过渡期的产业营造了公平竞争环境,即当以绿色低碳为导向时,有悖可持续发展理念的技术无法在市场中获取有利地位。随着环保合规、资源利用率提高与生产成本降低,企业核心竞争力得到提升[2]。综上,本文基于“波特假说”对碳排放权交易、产业结构转型与企业绿色创新效率的关系进行理论分析。
2.2.1 碳排放权交易与企业绿色创新效率
提高绿色创新效率是解决生产过程中污染与资源浪费的关键,但高投入、高风险和长周期的特点成为企业开展绿色创新活动的制约因素[1]。作为市场激励型环境规制,碳排放权交易能通过拓宽融资渠道、降低市场不确定性与改变企业创新惰性的方式提升企业绿色创新强度。
(1)就拓宽融资渠道而言,碳交易政策进一步明确市场绿色低碳发展方向,增强了利益相关者对绿色发展的信心。因此,投资者往往给予绿色转型企业更高估值[20]。在盈余配额收益、政府奖励与专项资金、碳金融产品、社会资金支持下,企业绿色融资约束得到缓解。
(2)就降低市场不确定性而言,碳交易政策和“双碳”目标使得不利于环境保护的创新,即利用环境或资源换取生产的技术无法获取竞争优势。以利益最大化为目标的企业只有通过绿色创新,才能利用差异化绿色技术、产品或服务获取低碳市场份额和竞争优势[21]。此外,政府对碳配额价格的管控有助于企业从长期投资回报视角动态评估绿色创新“补偿效应”产生的可行性,有利于识别创新风险。
(3)就改变企业惰性而言,在碳排放成为企业内部生产成本问题后,碳配额交易成本与政府惩罚机制迫使企业管理者正视现有资源利用低效问题,从而提升绿色创新的可能性[22]。因此,本文认为,在碳交易政策指导下,企业为获取长期竞争优势将致力于提升绿色创新效率,通过优化生产工艺与产品提高资源利用率,从而在降低成本、获取市场份额、扩大盈利空间的同时减少排放。基于此,本文提出假设:
H1: 碳排放权交易对企业绿色创新效率具有促进作用。
2.2.2 碳排放权交易、产业结构转型与企业绿色创新效率
基于“波特假说”,在碳排放权交易的政策引导和成本倒逼机制下,高碳排放产业企业逐步意识到资源浪费与效率低下困境,加上持续增强的政府绿色投资导向和市场绿色竞争,进一步推动产业从能源密集型向技术密集型转变和资源再分配。因此,产业结构转型为企业提升资源利用率与绿色创新效率,获取可持续竞争优势提供了可能。本文将产业结构转型视为碳排放权交易影响企业绿色创新效率的中介机制,并根据产业结构在经济发展中的演变趋势和协调性需求,将其划分为产业结构高度化和产业结构合理化[23]。其中,产业结构高度化是指产业结构由低水平向高水平转变的过程;而产业结构合理化则体现了产业间相互协调与资源有效利用程度[24]。
为积极引导试点企业节能减排,各试点地区纷纷出台相应的管理办法,其中包括相应的激励与约束机制。在激励制度方面,部分地区明确规定对积极参与碳排放权交易并按时履约的排放单位,将优先考虑可持续发展类专项资金分配;在约束制度方面,构建碳排放权交易管理信用机制,并规定在一个履行周期内碳排放额度超出部分将按照碳市场均价的3倍予以处罚。可见,碳排放权交易制度在给企业带来机会的同时,也带来了压力。随着部分高排放企业主动转型、淘汰高耗能工艺或放弃经营,低碳环保产业将占据主导地位。同时,各试点地区设有绿色低碳工业园区,如天津经济技术开发区、上海闵行经济技术开发区、闽台(福州)蓝色经济产业园等,通过政策扶持与高准入标准,极大地推进产业结构转型与“零碳”技术发展。随着传统高耗能产业剩余价值降低和绿色消费群体增加,绿色化转型逐渐成为社会发展的新方向。企业若想获取长期竞争优势,则需要增加研发投入,通过提升绿色创新效率缓解经济浪费,在降低生产成本和碳排放的同时实现可持续发展[9]。综上所述,本文认为,碳排放权交易可以通过推动产业结构高度化提升企业绿色创新效率。
为降低环境合规成本,高碳排放企业可能从碳排放权交易试点地区转移至具有相似性市场的非试点地区。高碳排放企业的流出,不仅提高了试点地区技术进入壁垒与低碳环保产业占比,释放出的投资还会增加低碳环保产业与新兴产业获得新融资的可能性[25]。资金、人员、技术等生产要素流动有助于优化产业间资源配置,加强产业间协调能力,进而推动产业结构合理化。与命令控制型环境规制的倒逼机制不同,碳排放权交易主要通过市场激励机制引导企业生产行为,如试点期免费分配初期碳配额、市场碳配额交易价格保障机制、专项资金补助,即使是约束机制也主要以市场机制为主,如信用机制。因此,在碳排放权交易的市场机制下,更能激发企业活力,提升资源利用率,进而优化产业结构。产业链融合与协调性增强,推动了上下游企业间交流与合作,为绿色发展提供了重要条件与环境,有助于企业提升绿色创新效率。综上所述,碳排放权交易可通过优化产业结构提升企业绿色创新效率。因此,本文提出如下假设:
H2:碳排放权交易通过推动产业结构转型提升企业绿色创新效率。
H2a:碳排放权交易通过促进产业结构高度化提升企业绿色创新效率;
H2b:碳排放权交易通过促进产业结构合理化提升企业绿色创新效率。
综上,本文构建理论模型如图1所示。
图1 理论模型
Fig. 1 Research framework
本文结合数据可得性,选用2006—2023年中国A股上市公司中工业企业为研究样本,数据主要来源于各省统计年鉴、省级政府工作报告、国泰安数据库、CNRDS数据库与Wind数据库。为增强样本间的可比性,本文对数据进行如下筛选:①剔除2006年之后上市和研究期间已经退市的企业样本;②剔除ST、*ST和PT企业样本;③剔除数据缺失严重的企业样本;④剔除非工业企业样本。部分缺失数据使用线性插值法补齐,同时对样本数据中连续变量采用上下1%水平的缩尾处理,最终得到422家上市企业7 596个观测值。
3.2.1 被解释变量:绿色创新效率(GIE)
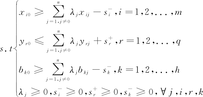
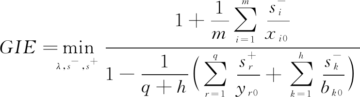
为降低测量误差,本文选用Super-SBM模型衡量我国工业企业的绿色创新效率,具体如式(1)所示。

(1)
式中,GIE为企业绿色创新效率;xi、yr、bk分别为决策单元的投入、期望产出、非期望产出;i、r、k分别为投入、期望产出、非期望产出的要素个数;
分别为投入、期望产出、非期望产出的松弛变量;λ为权重向量。
参考胡玉凤等[26]的思路,投入指标包括资本投入、劳动力投入和能源投入,产出指标包括期望产出和非期望产出。第一,资本投入采用企业研发投入衡量;能源投入采用工业贴现后各省能源消费总量测算;劳动力投入则通过企业研发人员数量体现。第二,期望产出采用主营业务收入和绿色专利申请数量衡量,其中主营业务收入按各省工业生产企业出厂价格指数进行平减处理,以2006年为基期[27]。第三,非期望产出采用环境污染指数和工业CO2排放量衡量,其中环境污染指数由工业废水排放量、工业SO2排放量和工业烟尘排放量经熵权法计算得出。
3.2.2 解释变量:碳排放权交易(CET)
核心解释变量碳排放权交易为虚拟变量。自2013年6月起,我国陆续在上海、北京等地设立碳排放权交易市场试点,2014年重庆、湖北相继开始试点,2016年福建也加入试点。基于不同地区启动碳排放权交易的时间差异,构建政策虚拟变量。若企业所在地位于碳排放权交易试点地区,且试点政策已实施,则解释变量取值为1,反之则为0。
3.2.3 中介变量
本文借鉴Zheng等[23]的思路,将中介变量产业结构转型划分为产业结构高度化与产业结构合理化。其中,产业结构高度化(ISU)主要反映产业结构由低水平向高水平转变的动态过程,本文采用产业结构层次系数表示,计算过程如式(2)所示;产业结构合理化(ISR)反映产业间协调程度与资源有效利用程度,采用泰尔指数衡量[24],计算过程如式(3)所示。泰尔指数越接近0,表示产业结构越合理。
![]()
(2)
![]()
(3)
其中,yi.m.t表示i地区m产业t时期在地区生产总值中占比,li.m.t表示i地区m产业t时期从业人员占比。
3.2.4 控制变量
本文选取以下控制变量:①企业规模(SIZE),以企业总资产的对数衡量;②资产负债率(LEV),以企业负债总额占资产总额的比值衡量;③净资产收益率(ROE),以企业净利润占股东权益余额的比值衡量;④企业年龄(AGE),以企业观察年份与成立年份之差的对数值表示;⑤股权集中度(OWNER),以前十大股东持股比率表示。本文变量描述性统计结果如表1所示。
表1 变量描述性统计结果 (N=7 596)
Table 1 Descriptive statistics for variables (N=7 596)
变量 均值标准差最大值最小值绿色创新效率0.6010.1611.1410.267碳排放权交易0.1800.3841.0000.000产业结构高度化2.3960.1552.8461.995产业结构合理化0.0860.0480.3010.017企业规模22.6901.34226.65019.610资产负债率0.4780.1720.8480.072净资产收益率0.0790.0960.433-0.568企业年龄2.9080.3583.6641.609股权集中度54.39014.56091.58018.720
为验证碳排放权交易对企业绿色创新效率的影响,本文构建多期DID模型,具体计量模型如式(4)所示。
GIEi,t=α0+α1CETi,t+α2Xi,t+μi+θt+εi,t
(4)
其中,Xi,t表示控制变量矩阵;μi、θt、εi,t分别代表个体固定效应、时间固定效应和随机误差项。
碳排放权交易对企业绿色创新效率影响的基准线性回归结果如表2所示。为避免稳健标准误与回归系数被低估,本文加入个体(企业)和时间(年份)固定效应。其中,列(1)未加入控制变量和固定效应;列(2)同时控制个体和时间固定效应;列(3)则在列(2)的基础上增加控制变量。解释变量CET的估计系数通过显著性检验且数值为正,说明实施碳排放权交易有助于提高我国工业企业绿色创新效率。碳排放权交易将碳排放配额纳入企业生产成本,企业在生产经营中需要从要素成本角度出发,对配额进行规划。每当一个履行周期结束时,如配额有剩余,企业既能通过出售或拍卖配额获取收益,还能完成考核指标、树立环保形象,进而获得政府补贴与税收优惠;若配额不足,企业不仅需要购买额外配额量,还可能面临处罚,不利于自身发展。因此,在碳排放权交易政策引导下,考虑到经济效益和社会效益,企业更加倾向于通过绿色创新提升工艺水平,从而降低碳排放量。由此,假设H1得到验证。
表2 基准回归结果(N=7 596)
Table 2 Benchmark regression results(N=7 596)
注: * 表示p <0.1, ** 表示p <0.05, ***表示p <0.01,括号内为标准误,下同
变量(1)(2)(3)GIEGIEGIECET0.058***0.019**0.017**(0.005)(0.009)(0.008)Cons0.591***0.598***1.148***(0.002)(0.002)(0.128)控制变量否否是时间固定效应否是是个体固定效应否是是调整R2值0.0190.8050.808
由前文可知,碳排放权交易主要通过碳配额价格与成交量影响企业生产成本。在验证碳排放权交易能够促进企业绿色创新效率提升的基础上,本文收集各试点地区碳配额交易的平均成交价格(Price)与成交量(Volume),通过构建面板数据固定效应模型进一步探究正向激励产生的原因,检验结果见表3。仅成交价格的估计系数通过了显著性检验且为正值,说明与交易量相比,企业对碳市场中的价格更为敏感,进一步验证了市场机制对企业行为决策的重要性。实际上,在碳配额定量分配的基础上,企业在一个履行期内的碳排放量相对可控,而成交价则由外部市场决定。因此,仅有碳配额成交价能够显著提升企业绿色创新效率。
表3 碳配额成交价与成交量对企业绿色创新效率影响的检验结果
Table 3 Impact of carbon allowance transaction price and volume on enterprise′ green innovation efficiency
变量(1)(2)GIEGIEPrice0.027*(0.015)Volume-0.003(0.004)Cons1.224***1.238***(0.143)(0.142)控制变量是是个体固定效应是是时间固定效应是是调整R2值0.8140.814
4.2.1 平行趋势检验
为验证构建多期DID模型的可行性,本文进行平行趋势检验,构建计量模型如式(5)所示。即设置个体企业在碳排放权交易前后若干年的哑变量,并将企业绿色创新效率(GIE)作为被解释变量,探究碳排放权交易实施前后的变化趋势。
GIEi,t=α0+α1before7i,t+...+α7before1i,t+α8currenti,t+α9after1i,t+...+α18after10i,t+α19Xi,t+μi+θt+εi,t
(5)
式(5)中,非碳排放权交易试点企业对应的时间虚拟变量被赋值为0,beforeβi,t、currenti,t、afterβi,t分别表示样本企业在实施碳排放权交易试点前、中、后第β年的虚拟变量。鉴于研究时间跨度为2006—2023年,首批试点设立于2013年,且部分企业在政策试点7年以前缺乏有效观测数据,本文将碳排放权交易试点7年以前的数据统一纳入“-7年”时段内。
图2展示了平行趋势检验结果。由图2可知,在碳排放权交易实施前,置信区间均包含0,即未通过显著性检验且数值较小。这说明在实施试点政策前,企业绿色创新效率未呈现出显著差异,符合平行趋势前提假设。
图2 平行趋势检验结果
Fig. 2 Parallel trend test results
注:图中的点表示95%置信区间下估计的回归系数
4.2.2 安慰剂检验
为避免回归结果受遗漏变量和其它不可观测因素的影响,本文进行安慰剂检验。根据基准回归中碳排放权交易变量的分布情况,随机进行1 000次抽样以构建“伪政策冲击时间虚拟变量”,并将其纳入式(4)进行回归分析,结果如图3所示。“伪政策冲击时间虚拟变量”估计系数趋近于正态分布,且大多数P值未达到10%的显著性水平。此外,其估计系数均值明显低于基准回归估计系数(0.017)。因此,本文认为,基本不存在严重的遗漏变量,基准回归结果稳健。
图3 安慰剂检验结果
Fig.3 Placebo test results
4.2.3 异质性处理效应检验
为验证双向固定多期DID模型未受到异质性处理效应的影响,首先,本文参考Goodman-Bacon[28]的思路,对基准回归模型进行估计量分解,结果如表4所示。由表4可知,组(1)(2)的DID估计值均为正数,与基准回归结果一致,且权重之和高达98.5%;组(3)存在“坏处理组”,可能使结果产生偏误,但权重仅为1.5%,小于10%。可见,本文采用双向固定多期DID模型得出的回归结果稳健。其次,鉴于多期DID模型反映的是加权平均处理效应,如果存在较大负权重,则可能影响模型稳健性。因此,本文采用Stata软件中twowayfeweights命令测算负权重比例,结果显示,所有权重均为正值,表明回归结果稳健。为进一步验证结论的有效性,本文采用De等[29]、Callaway等[30]、Cengiz等[31]的研究方法,分别计算了“异质性—稳健估计量”,检验结果均显著为正,与基准回归一致。
表4 Goodman-Bacon 分解结果
Table 4 Goodman-Bacon decomposition results
控制组类型权重DID估计值(1)处理组 vs 从未受政策处理组0.9720.020(2)较早受政策处理组 vs 较晚受政策处理组0.0130.025(3)较晚受政策处理组 vs 较早受政策处理组0.015-0.020
考虑到三段式中介效应模型可能存在明显因果推断缺陷(江艇,2022),基于四段式中介效应模型的思路(牛志伟等,2023),构建中介模型如式(6)~(8)所示。
Mi,t=δ0+δ1CETi,t+δ2Xi,t+μi+θt+εi,t
(6)
GIEi,t=δ0+δ1Mi,t+δ2Xi,t+μi+θt+εi,t
(7)
GIEi,t=δ0+δ1CETi,t+δ2Mi,t+δ3Xi,t+μi+θt+εi,t
(8)
其中,Mi,t表示中介变量,分别为产业结构高度化(ISU)与产业结构合理化(ISR),其它变量定义与式(4)相同。为支撑检验结果,本文使用Sobel检验和Bootstrap检验方法进一步分析中介机制。
4.3.1 产业结构高度化
为探究产业结构高度化(ISU)的中介作用,本文将其代入式(6)~(8),检验结果见表5。列(1)(2)中CET估计系数显著为正;列(3)中ISU估计系数均显著为正;列(4)中CET与ISU估计系数均显著为正,说明产业结构高度化发挥部分中介作用。Sobel检验Z值统计量为11.539,通过显著性检验;1 000次的Bootstrap检验的置信区间为[0.028,0.041],未包含0,说明产业结构高度化存在中介效应。由此,假设H2a得到验证。原因如下:碳排放权交易增加了企业生产压力,特别是高污染企业。如果碳排放量超出配额上限,则企业不仅需要支付罚款,还会因考核不合格面临取消节能专项补贴和记入信用档案等处罚。不断增加的违规成本倒逼部分企业淘汰高耗能、高排放生产方式,转向清洁生产,也有小部分企业因无法支付高额罚金而退出市场。从整体上看,碳排放权交易政策有助于提升高附加值产业的比重,推动全产业链升级,故能够促进产业结构高度化。产业中低碳环保企业占比增加,进一步加大了市场绿色竞争强度。为维持并扩大市场竞争优势,企业需要通过绿色创新提高资源利用率,即通过提升绿色创新效率抑制资源浪费,进而降低成本并扩大盈利空间。综上,碳排放权交易可通过促进产业结构高度化进一步提升企业绿色创新效率。
表5 产业结构高度化中介效应检验结果(N=7 596)
Table 5 Mediating effect test results of industrial structure sophistication (N= 7 596)
变量(1)(2)(3)(4)GIEISUGIEGIECET0.017**0.009*0.015*(0.008)(0.005)(0.008)ISU0.199***0.193***(0.047)(0.046)Cons1.148***2.395***0.691***0.685***(0.128)(0.076)(0.162)(0.160)控制变量是是是是个体固定效应是是是是时间固定效应是是是是Sobel Z11.539***调整R2值0.8080.9450.8090.809
4.3.2 产业结构合理化
本文将产业结构合理化(ISR)纳入式(6)~(8),结果如表6所示。列(1)中CET估计系数显著为正;列(2)中CET估计系数未通过显著性检验,需进一步作Sobel检验;Sobel检验的Z值统计量为-8.928,通过显著性检验。同时,1 000次的Bootstrap检验得到的中介效应置信区间为[-0.017,-0.011],未包含0。以上结果表明,在碳排放权交易影响企业绿色创新效率的过程中,产业结构合理化发挥部分中介效应。由此,假设H2b得到验证。原因如下:碳排放权交易利用市场调节机制,加速知识、人才、资金、技术等要素自由流动。一方面,为摆脱碳配额带来的生产压力,部分企业选择搬迁至非试点区域。这为试点地区企业释放部分要素的同时,还在一定程度上优化了产业结构。另一方面,为从碳交易政策中获利并稳固竞争优势,部分企业选择通过研发活动,转向发展低排放工艺或新兴产业。为降低碳排放,部分企业会对上游产业提出更加绿色、环保的要求。通过供应链绿色传导机制,提升产业绿色化水平,加强产业间联系。随着要素流动、产业内部协调性增强、上下游资源分配逐渐合理化,有助于缓解企业融资约束、形成技术溢出、降低市场不确定性、形成上下游企业共享机制,进而为提升绿色创新效率提供了可能。因此,碳排放权交易可通过促进产业结构合理化进一步提升企业绿色创新效率。
表6 产业结构合理化中介效应检验结果(N=7 596)
Table 6 Mediating effect test results of industrial structure rationalization (N= 7 596)
变量(1)(2)(3)(4)GIEISRGIEGIECET0.017**-0.0240.013(0.008)(0.043)(0.009)ISR0.239-0.169(0.153)(0.157)Cons1.148***0.103***1.138***1.131***(0.128)(0.039)(0.129)(0.128)控制变量是是是是个体固定效应是是是是时间固定效应是是是是Sobel Z-8.928***调整R2值0.8080.9080.8070.808
4.4.1 是否位于环保重点城市
为改善区域大气环境质量、降低温室气体排放,2007年国务院印发的《国家环境保护“十一五”规划》将113个城市划分为环保重点城市,并规定了主要环保考核指标与环境监管能力建设内容。考虑到环保重点城市、非环保重点城市的环境制度基础与资源可得性差异,可能会产生差异化政策绿色效应。根据企业所在城市将样本划分为位于环保重点城市组与位于非环保重点城市组并进行实证检验,结果如表7所示。碳排放权交易仅对位于环保重点城市企业绿色创新效率具有显著促进作用。原因如下:一方面,环保重点城市具有更严格的环境规制与更有效的政策执行,更易通过政策工具引导或倒逼企业开展绿色创新活动;另一方面,环保重点城市通常拥有更多资源,如人才、资金与技术等,企业也更易获取资源,进而提升绿色创新效率。
表7 是否位于环保重点城市异质性检验结果(N=7 596)
Table 7 Heterogeneous test results regarding location in key environmental protection cities (N=7 596)
变量位于环保重点城市位于非环保重点城市CET×是否位于环保重点城市0.021**-0.013(0.009)(0.013)Cons1.146***1.172***(0.128)(0.130)控制变量是是个体固定效应是是时间固定效应是是调整R2值0.8080.807
4.4.2 企业所有制
在碳排放权交易影响下,企业所有制差异可能产生不同的绿色创新选择。本文根据企业所有制类型依次构造国有制企业、非国有制企业与碳排放权交易(CET)之间的交乘项,并带入式(4)检验,结果见表8。国有企业组的交乘项估计系数显著为正;而非国有企业的交乘项则未通过显著性检验。这说明碳排放权交易仅对国有企业绿色创新效率具有激励作用。原因如下:首先,从社会责任看,国有企业承担的社会责任更大,往往会对政策作出更积极的响应,即在碳排放权交易引导下能够主动响应绿色减排;其次,从资源可得性看,国有企业更易获得政府资金支持,即融资约束较低,这有助于推动企业绿色化转型;最后,从政策考核看,部分地区明确提出将碳配额完成情况纳入国有企业绩效考核,即国企面临的减排压力更大。
表8 企业所有制异质性检验结果(N=7 596)
Table 8 Test results of enterprise ownership heterogeneity
变量国有企业非国有企业CET×企业所有制类型0.022**-0.001(0.010)(0.010)Cons1.145***1.171***(0.129)(0.130)控制变量是是个体固定效应是是时间固定效应是是调整R2值0.8080.807
考虑到各试点地区在政策规划、经济水平、资源禀赋、创新能力等方面存在差异,企业所在地差异可能会产生不同政策效果。因此,本文分别对8个试点地区进行分组回归,以检验不同地区的差异化效果,结果如表9所示。北京、上海、天津碳排放权交易的估计系数显著为正,深圳、福建碳排放权交易的估计系数显著为负,广东、重庆、湖北碳排放权交易的估计系数则未通过显著性检验,表明我国碳排放权交易政策的绿色效应在试点地区间存在差异。
表9 区域异质性检验结果(N=7 596)
Table 9 Results of the regional heterogeneity test (N=7 596)
变量 北京广东深圳上海天津重庆湖北福建CET×区域0.030**0.003-0.037**0.061***0.061*0.002-0.019-0.032*(0.012)(0.023)(0.015)(0.020)(0.034)(0.024)(0.017)(0.018)Cons1.187***1.169***1.181***1.118***1.170***1.170***1.172***1.174***(0.129)(0.130)(0.129)(0.129)(0.128)(0.130)(0.130)(0.130)控制变量是是是是是是是是个体固定效应是是是是是是是是时间固定效应是是是是是是是是调整R2值0.8070.8070.8070.8090.8070.8070.8070.807
北京碳交易中心的配额交易价连续9年处于全国最高,对企业施加的成本压力最大;北京对重点排放单位的划分范围逐渐扩大,即纳入碳配额管理企业的标准逐渐由年碳排放量1万t(含)以上降低至5千t(含)以上,受碳配额约束的企业数量逐步增加。“十三五”期间北京已成为我国碳排放量最低地区。
上海碳配额价格仅次于北京;上海市碳交易中心活跃程度较高,已实现连续4年无违约情况发生;作为我国金融与科技中心,上海在碳金融服务与技术创新方面具有强大支撑。其中,闵行开发区于2009年已实现历史碳达峰。
天津碳配额价格始终高于平均水平,且为维持碳市场价格稳定,设置配额缺口与盈余上限,即通过配额管理机制创新降低了市场不确定性;天津碳交易中心已连续9年100%完成履约,体现了该市政策执行的有效性。
深圳作为首个启动交易的试点市场,在制度框架构建、产品设计等方面进行了积极探索。但市场运行数据显示,深圳碳配额成交价长期低于全国平均水平,且波动较大。
作为第三批试点地区,福建于2016年开始筹备碳配额交易,并于2017年正式开启,可能尚不具备成熟的市场配套政策和定价机制。
本文收集2006—2023年中国A股上市工业企业数据,以碳排放权交易为外生冲击变量,运用多期DID模型,探究碳排放权交易对企业绿色创新效率的影响机制,得出以下研究结论:①碳排放权交易对企业绿色创新效率具有显著正向影响。这与Zhou等[11]的观点一致,均认为该政策加强了企业对绿色低碳发展机遇的重视,且相关配套措施增强了企业开展绿色创新活动、提升绿色创新效率的信心;但与Zhang等[32]的观点不一致,其认为碳排放权交易对技术创新的影响不显著。观点分歧的主要原因在于研究样本、研究周期、被解释变量的选取不同。②机制分析发现,产业结构转型在碳排放权交易提升企业绿色创新效率过程中发挥部分中介作用,即碳排放权交易可通过优化产业结构提升企业绿色投入产出效率。该结论与岳利萍等[33]的研究结论一致。③异质性分析与进一步分析结果表明,当企业位于环保重点城市时,碳排放权交易对绿色创新效率具有显著促进作用;碳排放权交易显著提升国有企业绿色创新效率;碳排放权交易对北京、上海与天津企业绿色创新效率具有显著促进作用。
(1)基于企业资源利用视角,将综合考虑多投入与多产出的绿色创新效率作为碳排放权交易政策有效性的评估指标,丰富了碳排放权交易政策评估研究视角。
(2)基于“波特假说”,结合政策实际梳理了碳排放权交易影响企业绿色创新效率的理论机理,通过多期DID模型验证了碳排放权交易这一典型市场激励型环境规制的有效性,进一步丰富了“波特假说”相关研究。
(3)明晰了产业结构转型在碳排放权交易影响企业绿色创新效率中的路径机制。本文将产业结构转型划分为产业结构高度化与产业结构合理化,采用四段式中介效应模型、Sobel检验和Bootstrap检验方法,验证了“碳排放权交易—产业结构转型—企业绿色创新效率”的影响路径,为强化碳排放权交易的绿色效应提供了新思路。
(4)从宏观与微观视角出发,分别检验并揭示了不同环境制度基础与资源可得性、企业所有制类型以及碳市场对碳排放权交易绿色效应的差异化影响,丰富了碳排放权交易对企业绿色行为异质性影响的理论解释。
(1)持续做好企业绿色低碳转型过程中的保障措施。本文认为,碳排放权交易配套的碳配额价格调控、碳金融产品与服务等政策工具激发了企业绿色创新活力。因此,在降低市场风险、扩大融资的基础上,政府可以通过宏观调控加强信息与技术支持。
(2)持续完善政策推进产业结构转型。在推动产业结构转型的情况下,碳排放权交易为企业绿色转型营造了良好的创新环境。因此,政府应制定产业结构转型顶层规划,明确绿色产业发展方向和目标,引导企业积极实施绿色转型。
(3)完善非国有企业绿色低碳转型激励与监督机制。企业所有制异质性分析结果表明,碳排放权交易仅对国有企业绿色创新效率具有显著提升作用。通过梳理碳排放权交易政策发现,部分试点地区提出将碳排放量、碳配额完成情况纳入国有企业绩效考核指标体系,未提及非国有企业。因此,政府应制定非国有企业监督机制,加强对非国有企业的绿色投资。与国有企业相比,非国有企业面临更高的融资约束,而高融资约束也是阻碍其绿色创新效率提升的因素之一。政府可通过政策引导金融机构降低非国有企业绿色融资门槛,并设置补贴项目激励非国有企业开展绿色创新活动。
(4)各地应进一步完善碳配额价格调控机制,避免因价格异常波动导致市场不确定性增加。在制定碳配额分配制度时,各地需要综合考虑企业生存发展与碳排放治理效果。
本文存在以下局限:第一,仅考虑了碳排放权交易对企业绿色创新效率的线性影响。未来可基于动态视角,探究碳配额价格对企业绿色行为的门槛效应。第二,研究样本覆盖了所有工业行业,未来可聚焦某一重点行业,如电力行业、电解铝行业等,并结合行业特色、供应链关系深入探究碳排放权交易对企业绿色创新效率的影响。第三,仅考虑了产业结构转型的中介机制,未来可进一步将融资约束、市场竞争程度、绿色消费行为、高管环保认知等因素纳入理论模型。
[1] PORTER M E, VAN DER LINDE C. Toward a new conception of the environment-competitiveness relationship[J]. Journal of Economic Perspectives, 1995, 9(4): 97-118.
[2] 李青原, 肖泽华. 异质性环境规制工具与企业绿色创新激励——来自上市企业绿色专利的证据[J]. 经济研究, 2020, 55(9): 192-208.
[3] ZHANG W J, ZHANG N, YU Y N. Carbon mitigation effects and potential cost savings from carbon emissions trading in China′s regional industry[J]. Technological Forecasting and Social Change, 2019, 141: 1-11.
[4] SHEN J, TANG P C, ZENG H. Does China′s carbon emission trading reduce carbon emissions? evidence from listed firms[J]. Energy for Sustainable Development, 2020, 59: 120-129.
[5] DONG F, DAI Y J, ZHANG S N, et al. Can a carbon emission trading scheme generate the Porter effect? evidence from pilot areas in China[J]. Science of the Total Environment, 2019, 653: 565-577.
[6] PAN X F, PU C X, YUAN S, et al. Effect of Chinese pilots carbon emission trading scheme on enterprises' total factor productivity: the moderating role of government participation and carbon trading market efficiency[J]. Journal of Environmental Management, 2022, 316: 115228.
[7] LIU Y, TAN X J, YU Y, et al. Assessment of impacts of Hubei pilot emission trading schemes in China——a CGE-analysis using Term CO2 model[J]. Applied Energy, 2017, 189: 762-769.
[8] ZHAO P Y, LU Z G, KOU J L, et al. Regional differences and convergence of green innovation efficiency in China[J]. Journal of Environmental Management,2023,325:116618.
[9] LV M C, BAI M Y. Evaluation of China′s carbon emission trading policy from corporate innovation[J]. Finance Research Letters, 2021, 39: 101565.
[10] ZHANG W, LI G X, GUO F Y. Does carbon emissions trading promote green technology innovation in China[J]. Applied Energy, 2022, 315: 119012.
[11] ZHOU D, LU Z H, QIU Y. Do carbon emission trading schemes enhance enterprise green innovation efficiency? evidence from China′s listed firms[J]. Journal of Cleaner Production, 2023, 414: 137668.
[12] CHARNES A, COOPER W W, RHODES E. Measuring the efficiency of decision making units[J]. European Journal of Operational Research, 1978, 2(6): 429-444.
[13] GUAN J C, CHEN K H. Modeling the relative efficiency of national innovation systems[J]. Research Policy, 2012, 41(1): 102-115.
[14] TONE K. A slacks-based measure of efficiency in data envelopment analysis[J]. European Journal of Operational Research, 2001, 130(3): 498-509.
[15] ZHANG M F, HONG Y X, WANG P, et al. Impacts of environmental constraint target on green innovation efficiency: evidence from China[J]. Sustainable Cities and Society, 2022, 83: 103973.
[16] 赵玉林, 刘超, 潘毛毛. R&D资源错配与绿色创新效率损失——基于中国高技术产业的实证分析[J]. 科技进步与对策, 2022, 39(4): 49-59.
[17] 权小锋, 尹洪英. 中国式卖空机制与公司创新——基于融资融券分步扩容的自然实验[J]. 管理世界, 2017, 33(1): 128-144, 187-188.
[18] ZHANG J X, KANG L, LI H, et al. The impact of environmental regulations on urban green innovation efficiency: the case of Xi′an[J]. Sustainable Cities and Society, 2020, 57: 102123.
[19] TANG K, QIU Y, ZHOU D. Does command-and-control regulation promote green innovation performance? evidence from China′s industrial enterprises[J]. Science of the Total Environment, 2020, 712: 136362.
[20] XU X D, ZENG S X, ZOU H L, et al. The impact of corporate environmental violation on shareholders' wealth: a perspective taken from media coverage[J]. Business Strategy and the Environment, 2016, 25(2): 73-91.
[21] BARNEY J. Firm resources and sustained competitive advantage[J]. Journal of Management, 1991, 17(1): 99-120.
[22] AMBEC S, BARLA P. A theoretical foundation of the porter hypothesis[J]. Economics Letters, 2002, 75(3): 355-360.
[23] ZHENG J J, SHAO X F, LIU W, et al. The impact of the pilot program on industrial structure upgrading in low-carbon cities[J]. Journal of Cleaner Production, 2021, 290: 125868.
[24] 干春晖, 郑若谷, 余典范. 中国产业结构变迁对经济增长和波动的影响[J]. 经济研究, 2011, 46(5): 4-16, 31.
[25] ZHOU B, ZHANG C, SONG H Y, et al. How does emission trading reduce China′s carbon intensity? an exploration using a decomposition and difference-in-differences approach[J]. Science of the Total Environment, 2019, 676: 514-523.
[26] 胡玉凤, 丁友强. 碳排放权交易机制能否兼顾企业效益与绿色效率[J]. 中国人口·资源与环境, 2020, 30(3): 56-64.
[27] 钱丽, 汪美鑫, 肖仁桥. 异质环境分权对企业绿色创新效率的非线性影响——考虑多重中介与财政分权调节效应[J]. 科技进步与对策, 2023, 40(7): 136-147.
[28] GOODMAN-BACON A.Difference-in-differences with variation in treatment timing[J]. Journal of Econometrics, 2021, 225(2): 254-277.
[29] DE CHAISEMARTIN C,D′HAULTF
UILLE X. Two-way fixed effects estimators with heterogeneous treatment effects[J]. American Economic Review, 2020, 110(9): 2964-2996.
[30] CALLAWAY B,SANT′ANNA P H C.Difference-in-differences with multiple time periods[J].Journal of Econometrics, 2021, 225(2): 200-230.
[31] CENGIZ D, DUBE A, LINDNER A, et al. The effect of minimum wages on low-wage jobs[J]. The Quarterly Journal of Economics, 2019, 134(3): 1405-1454.
[32] ZHANG Y J, SHI W, JIANG L. Does China′s carbon emissions trading policy improve the technology innovation of relevant enterprises[J]. Business Strategy and the Environment, 2020, 29(3): 872-885.
[33] 岳利萍, 杨欣怡. 双重环境目标约束下的产业转型升级: “减污降碳” 何以“协同增效”[J]. 中国人口·资源与环境, 2024, 34(1): 46-58.