创新集聚对制造业产业链韧性的影响
——兼论创新多样化与专业化集聚的比较

杨浩昌1,尹佳璇1,李文学2,李廉水3

(1.南昌大学 经济管理学院,江西 南昌 330031;2.安徽大学 经济学院,安徽 合肥 230601; 3.南京信息工程大学 中国制造业发展研究院,江苏 南京 210044)

摘要:创新集聚有利于短板产业补链与优势产业延链,是增强制造业产业链韧性的重要支撑。采用空间杜宾模型实证分析创新集聚对制造业产业链韧性的影响、空间溢出效应及其区域异质性,并构建中介效应模型检验其内在机理。同时,进一步比较分析创新多样化集聚与专业化集聚对制造业产业链韧性的影响效应。研究发现:①创新集聚不仅对本地制造业产业链韧性具有促进作用,对邻地制造业产业链韧性也存在正向空间溢出效应。创新集聚主要通过提高研发投入强度促进制造业产业链韧性提升。②创新集聚对制造业产业链韧性影响及其空间溢出效应存在明显区域差异:东部地区创新集聚显著促进本地与邻地制造业产业链韧性提升;中部地区创新集聚仅推进本地制造业产业链韧性提升,对邻地的空间溢出效应不明显;西部地区创新集聚的促进作用不显著。③创新多样化集聚与专业化集聚均显著提升本地制造业产业链韧性,且创新多样化集聚对本地制造业产业链韧性的直接影响效应大于创新专业化集聚,同时创新多样化集聚能提升邻地制造业产业链韧性,而创新专业化集聚则对邻地影响不显著。研究结论为推进产业集聚向创新集聚转变,塑造制造业高质量发展的新动能新优势提供启示。

关键词:创新集聚;产业链韧性;空间杜宾模型;区域异质性;多样化集聚;专业化集聚

The Impact of Innovation Agglomeration on the Resilience of Manufacturing Industry with a Comparion between Innovation Diversification and Specialization Agglomeration

Yang Haochang1, Yin Jiaxuan1, Li Wenxue2,Li Lianshu3

(1.School of Economics &Management, Nanchang University, Nanchang 330031,China; 2.Economics School, Anhui University, Hefei 230601, China; 3.China Institute of Manufacturing Development, Nanjing University of Information Science &Technology, Nanjing 210044, China)

AbstractAgainst the backdrop of a volatile international situation and a complex and volatile economic environment, 'black swan' and 'grey rhinoceros' events have occurred from time to time, and there are signs of the rise of anti-globalization, unilateralism and protectionism. As China's development enters a period where strategic opportunities coexist with risks and challenges, and uncertainties and unpredictable factors increase, some high-end equipment and advanced materials, among other high-tech products, are heavily reliant on imports, and the crisis of being derailed from the global supply chain continues to intensify. The Chinese government has resolved to make China’s industrial and supply chains more resilient and secure, and made it a focal point for promoting high-quality development. Therefore, in order to cope with geopolitical conflicts and build a more internationally competitive modern industrial system, the manufacturing industry chain resilience needs to be improved urgently.

To this end, leveraging the panel data of 30 provinces in China from 2012 to 2021, this paper empirically analyzes the impact of innovation agglomeration on manufacturing industry chain resilience, spatial spillover effect and its regional heterogeneity by using the spatial Durbin model, and further constructs the mediating effect model to test its internal impact mechanism. The marginal contribution of this paper is mainly reflected in three aspects: (1) It summarizes and measures the manufacturing industry's chain resilience. (2) It not only explains the influence mechanism of innovation agglomeration on the manufacturing industry chain resilience from a theoretical perspective, but also empirically analyzes the influence effect of innovation agglomeration on the manufacturing industry chain resilience and regional heterogeneity using a spatial econometric model. At the same time, it employs a mediating effect model to empirically test the conduction mechanism of R&D investment and industrial structural adjustment. (3) From the perspective of innovation agglomeration mode, innovation agglomeration is subdivided into innovation diversification agglomeration and innovation specialization agglomeration. On this basis, the paper further analyzes the impact of innovation diversification agglomeration and specialization agglomeration on the manufacturing industry's chain resilience and its spatial spillover effect. This exploration aims to determine whether innovation diversification agglomeration is more significant or whether innovation specialization agglomeration is stronger, and which is more conducive to strengthening the manufacturing industry chain resilience so as to rationally guide the diversification and specialization of innovation agglomeration, optimize the spatial structure of innovation agglomeration, and then build a modern manufacturing industry chain that is independently controllable, safe and reliable.

It is found that (1) innovation agglomeration not only has a promoting effect on the local manufacturing industry's chain resilience, but also enhances the neighbouring manufacturing industries' chain resilience through the spatial spillover effect. At the same time, innovation agglomeration promotes manufacturing industry chain resilience mainly through increasing R&D investment. (2) There are obvious regional differences in the impact of innovation agglomeration on the manufacturing industry chain resilience and its spatial spillover effect: innovation agglomeration in the eastern region can significantly promote the manufacturing industry chain resilience in the region and the neighbouring regions; innovation agglomeration in the central region can only promote manufacturing industry chain resilience in the region, and there is no obvious spatial spillover effect on the neighbouring regions; and the effect of innovation agglomeration in the western region is not significant. (3) Both innovation diversification agglomeration and specialization agglomeration can significantly enhance the local manufacturing industry chain resilience, and the direct effect of innovation diversification agglomeration on manufacturing industry chain resilience is greater than that of innovation specialization agglomeration, and innovation diversification agglomeration can also enhance the manufacturing industry chain resilience of the neighbouring regions, while innovation specialization agglomeration has no significant effect on the neighbouring places.

Drawing on the aforementioned findings, this paper advances the following policy recommendations: The government should foster innovation agglomeration and strengthen the resilience of the manufacturing industry chain. Policymakers need to leverage regional strengths by developing differentiated innovation agglomeration strategies to cultivate regional specialty industries that can thrive based on local resources, talent pools, and market conditions, thereby fostering economic diversity and resilience. Enterprises and relevant authorities should increase investment in R&D to drive technological advancements and optimize the industrial structure. Accelerating the emergence of high-quality productive forces within the manufacturing sector is crucial for enhancing the industry's competitiveness and propelling its high-quality development.

Key WordsInnovation Agglomeration; Industry Chain Resilience; Spatial Durbin Model; Regional Heterogeneity; Diversification Agglomeration; Specialization Agglomeration

DOI10.6049/kjjbydc.2024090085

开放科学(资源服务)标识码(OSID):

中图分类号:F424

文献标识码:A

文章编号:1001-7348(2025)24-0072-11

收稿日期:2024-09-03

修回日期:2024-12-31

基金项目:国家自然科学基金项目(72004087,72372121,72163021,72064017);教育部人文社会科学研究项目(24YJC790213,23JD20082);江西省研究生创新专项资金项目(YC2023-S120);江西省高校人文社会科学研究项目(JJ24106)

作者简介:杨浩昌(1989—),男,江西南昌人,博士,南昌大学经济管理学院副教授,研究方向为制造业发展与创新管理;尹佳璇(1999—),男,辽宁铁岭人,南昌大学经济管理学院硕士研究生,研究方向为创新集聚与产业经济;李文学(1988-),男,湖北黄梅人,博士,安徽大学经济学院讲师,研究方向为数字经济与产业发展;李廉水(1957—),男,江苏泰州人,博士,南京信息工程大学中国制造业发展研究院教授、博士生导师,研究方向为创新管理与制造业发展。通讯作者:李文学。

0 引言

党的二十届三中全会明确提出,“健全提升产业链供应链韧性和安全水平制度”。改革开放以来,我国建立了规模庞大、配置齐全的产业体系,已成为世界第一制造大国,经济发展模式也逐渐由高速发展向高质量发展转变[1]。然而,由于长期受“低端锁定”影响,我国制造业产业附加值偏低,在全球价值链中增值能力较弱,高端领域芯片受制于人,缺乏核心竞争力。同时,在国际局势动荡和经济环境复杂多变的背景下,“黑天鹅”“灰犀牛”事件时有发生,逆全球化、单边主义、保护主义明显上升。我国发展进入战略机遇和风险挑战并存、不确定难预料因素增多的时期,一些高端装备、先进材料等高技术产品依赖进口,“断链”危机加剧(范书琴等,2023)。

创新概念的起源可追溯到1912年美籍奥地利经济学家约瑟夫·熊彼特的《经济发展理论》,他认为创新不是孤立存在的,创新活动在空间上具有明显的集聚现象。随着演化经济地理学的出现,学者们的研究兴趣逐渐由产业集聚向创新集聚转变[2]。创新集聚是指通过将人才、技术、资本等创新要素有机结合形成空间集聚体,不断吸引创新主体集聚,进而促使创新主体优势互补与合作交流的创新体系[3]。创新集聚,一方面可以通过优化创新要素配置,促进制造业产业链上中下游协同创新与良性竞争,形成多样化的产品、服务和市场,提高产业链的适应性与灵活性;另一方面,也有利于促进知识或技术溢出,加快制造业企业技术进步与创新成果孵化扩散,推进关键核心技术的突破和积累,从而推动短板产业补链、优势产业延链、传统产业升链,提高制造业企业核心竞争力,进而提升制造业产业链韧性[4]。在我国加快实施创新驱动发展战略和构建现代化产业体系的背景下,创新集聚对制造业产业链韧性存在何种影响,该影响是否存在空间溢出效应?其对制造业产业链韧性的作用机制是什么?将创新多样化集聚做大、亦或将创新专业化集聚做强,何者更能增强制造业产业链韧性?深入分析以上问题,不仅有利于厘清创新集聚与制造业产业链韧性的关系,从而推动产业集聚向创新集聚转变,实现以科技创新推动制造业产业链韧性提升,同时也为坚持创新在现代化建设全局中的核心地位,塑造制造业高质量发展的新动能新优势提供理论实践参考。

韧性最早源自物理学中的“弹性”一词,其表示在系统遭受扰动后回归稳定的能力[5],后逐渐被引入生态学、心理学。2002年,Reggiani等[6]将其引入经济学领域,从而推动了此概念与区域经济学和经济地理学的深度融合。随着韧性应用领域的不断拓展和理论方法的逐渐完善,产业链韧性也逐渐引起了学者们的广泛关注。现有文献主要集中在产业链韧性的内涵、测度及其影响因素等方面。①内涵方面,产业链韧性主要体现在受到外部冲击后表现出的抵御、修复损失的能力[7]。同时,韧性在产业链中与在物理或生态系统领域表现出的特点不同,其并不需要永远处于平衡状态,而是以保持相对稳定为特征,即产业链韧性需要适当表现出主动防御的特点,适应产业发展变化,不断调整与升级,进而探寻更加适宜的状态[8]。②测度方面,制造业产业链韧性的测度方法主要有两类:一是核心变量法,贺正楚等(2024)从价值的角度采用产业链增加值与产业链总投入的比值衡量制造业产业链韧性。二是指标体系法,学者们[9-10]大多借鉴Martin提出的经济韧性“4R”理论,从抵御能力、恢复能力、再组织能力、更新能力4个角度构建指标体系。此外,还有学者聚焦产业链自身能力与价值角度,围绕高端引领力、链条控制力、盈利能力构造指标体系[11]。而谷城与张树山[12]在二者兼顾的基础上进一步考虑了产业链基础与可持续问题。③关于制造业产业链韧性的影响因素,现有文献主要从数字化转型[13-14]、科技创新[7]、环境规制[15]等角度展开探索,较少从创新集聚角度进行分析。

从现有文献看,关于创新集聚对制造业产业链韧性的影响研究,主要集中在产业集聚或创新要素集聚对韧性的影响方面。邓又一等(2022)、胡志强等[16]的研究表明,产业集聚有利于增强经济韧性与工业韧性,而且应以产业多样性集聚作为发展重点,避免产业过度专业化集中。孙红雪与朱金鹤[17]探究发现自贸试验区的设立可以通过人才、技术、资本、数据四种创新要素集聚促进产业链韧性。朱琳与董藩[18]将创新要素集聚作为创新驱动的代理量,纳入空间效应模型,发现其可以提升经济韧性。

综上所述,现有相关文献取得一定的成果,但存在进一步研究探讨的空间:①当前关于制造业产业链韧性的内涵及测度研究主要借鉴经济韧性等分析方法,学界并未对其研究方法达成共识。制造业产业链韧性不仅体现在应对冲击时的抵御能力,还应体现在化解风险后的恢复能力。②从创新集聚的角度展开分析,进一步探究其中的内在机理以及区域异质性。③从创新集聚模式的视角进一步探究创新多样化集聚与创新专业化集聚的影响效应。

本文边际贡献主要体现在3个方面:①概括制造业产业链韧性的内涵并进行测算。结合众多学者关于经济、创新、工业等韧性的讨论,基于包含“抵抗力、恢复力、更新力、再组织力”的4R理论构建制造业产业链韧性的综合测度指标体系,同时采用基于熵权的双重激励动态评价方法进行测度。②从理论层面阐释创新集聚对制造业产业链韧性的影响机理。采用空间计量模型实证分析创新集聚对制造业产业链韧性的影响效应及区域异质性,同时采用中介效应模型,实证检验研发投入强度与产业结构调整在其中产生的传导机制。③从创新集聚模式的视角,将创新集聚细分为创新多样化集聚与创新专业化集聚。基于此进一步分析创新多样化集聚与专业化集聚对制造业产业链韧性的影响及其存在的空间溢出效应,探究何者更有利于增强制造业产业链韧性,优化创新集聚空间结构,进而打造自主可控、安全可靠的现代化制造业产业链。

1 理论分析与研究假设

1.1 创新集聚对制造业产业链韧性的直接影响与空间溢出效应

(1)优化创新要素配置。创新集聚能够打破创新主体间乃至创新活动中可能存在的各种壁垒,推进创新主体高水平协同,从而优化创新要素配置(黄明凤和姚栋梅,2022)。这不仅有利于打通生产、分配、流通、消费各个环节,促进产业链中企业专业化分工,推动制造业产业链上中下游协同创新,提高制造业产业链再组织力,而且能够使周围区域的创新要素向生产效率与利用效率更高的产业流动,推动产业链中制造业企业多元化布局,有效避免产业同质、恶性竞争、资源利用低效等问题,进而形成多样化的产品、服务和市场,提高集聚区域上中下游产业的适应性与灵活性,增强制造业产业链的恢复力。

(2)知识或技术溢出效应。创新集聚有利于促进科技人才突破空间限制实现高效率流动,形成知识与技术溢出效应。一方面,沿着产业链传导的知识或技术溢出,能够加快企业技术进步与创新成果孵化扩散,缩小产业链上中下游产业之间技术差距,同时,产生“学习效应”与“交流效应”增强邻近地区的创新能力,从整体上提升产业链发展水平,并有效推动短板产业补链与优势产业延链,进而提高制造业产业链的再组织力与恢复力,促进韧性提升(贺正楚等,2024)。另一方面,创新集聚引致的知识或技术溢出效应,有利于促进制造业企业技术升级,推进关键核心技术突破和积累,从而加快培育与发展新产业,吸引更多生产要素,促进产业结构优化升级,有效推动优势产业延链与传统产业升链,提高制造业企业核心竞争力与再组织力,进而提升产业链韧性(陆远权等,2023)。基于以上分析,本文提出如下研究假设:

H1:创新集聚对制造业产业链韧性有显著促进作用,且存在空间溢出效应。

1.2 创新集聚对制造业产业链韧性的间接影响与空间溢出效应

(1)产业结构调整的中介效应。创新集聚是产业集聚发展的高级形态,能够推动创新资源与产业要素有机协同,促进创新链与产业链深度融合,形成融通创新、协同发展的共享创新生态。其有利于发挥科技创新对产业发展的引领作用,将科技成果转化为现实生产力的同时,拉动相关地区整体产业发展,促进我国产业优势领域从生产制造环节向研发设计、零部件制造等高附加值环节拓展,加快产业结构调整与优化升级。而产业结构调整与优化升级不仅有助于推动制造业高端化、智能化、绿色化发展,提高本地区资源利用效率与生产效率,推动邻近地区产业优化,有效提升制造业产业链抵抗力(张亚明等,2021),而且可以催生新产业、新业态与新模式,打造自主可控、安全可靠、竞争力强的现代化产业体系,进而提升制造业产业链韧性。基于以上分析,本文提出如下研究假设:

H2:创新集聚通过产业结构调整,对制造业产业链韧性存在显著提升作用,而且存在空间溢出效应。

(2)研发投入强度的中介效应。创新集聚不仅有利于产生规模效应,推进创新资源跨领域、跨行业配置,降低企业创新成本,提高创新效率,而且也有利于推动高水平创新平台搭建,吸引高层次人才、优质资金、先进技术等创新要素加速集聚[17],通过技术人才供给、基础设施共享、创新网络协作等方式鼓励和引导制造业企业加大研发投入强度,提高新产品的研发效率和服务能力,进而推动产业链上中下游技术合作与资源共享,保障创新活动稳定持续进行,增强制造业产业链的抵抗力和创新力,促进产业链韧性提升。基于以上分析,本文提出如下研究假设:

H3:创新集聚能够通过促进研发投入强度增加,提升制造业产业链韧性。

综上所述,创新集聚对制造业产业链韧性的影响机理如图1所示。

图1 创新集聚对制造业产业链韧性的影响机理

Fig.1 Mechanism of the impact of innovation agglomeration on manufacturing industry chain resilience

2 模型构建与变量选取

2.1 模型构建

考虑到不同区域之间制造业产业链韧性可能会存在空间效应,借鉴孙瑜康等[3]的做法,构建如下空间计量模型探究创新集聚对制造业产业链韧性的影响:

SAR:Res=σWRes+βIa+ε

(1)

SEM:Res=βIa+λWμ+ε

(2)

SDM:Res=σWRes+βIa+δWIa+μ

μ=λWμ+ε

(3)

其中,Res表示制造业产业链韧性;Ia表示创新集聚;β表示解释变量的弹性系数;σ为空间自回归系数;W表示空间权重矩阵;δ表示解释变量空间交互项的弹性系数;μ为回归残差向量;λ为误差空间自回归系数;ε为随机扰动项。参考王建康等(2022)的做法,本文选取各地区省会城市地理距离倒数构建的地理距离权重矩阵Wd进行空间相关性分析,其表达式为:

(4)

2.2 变量选取

(1)被解释变量:制造业产业链韧性(Res)。本文基于“4R”理论,从抵抗力、恢复力、再组织力、创新力4个维度阐释制造业产业链韧性的内涵。①抵抗力体现产业链对未知风险的管控、预警以及在侵袭发生后的抵挡与化解能力;②恢复力体现产业链遭受冲击后的修复水平[7];③再组织力体现产业链的主动性,是其在运作中汲取先进技术不断升级的能力[10];④创新力是通过释放制造业发展新动能,提高制造业产业链核心竞争力[11]。这4种能力综合代表制造业产业链韧性静态与动态的特征,互为基础又互相影响。遵循独立性、全面性、可操作性等原则,同时考虑数据可获得性,并对筛选后的指标进行信度与效度检验,最终建立了由4个一级指标、12个二级指标、34个三级指标构成的制造业产业链韧性指标体系,具体见表1。

表1 制造业产业链韧性指标体系

Table 1 Indicator system of manufacturing industry chain resilience

注:“+”表示正向指标,“-”表示负向指标

一级指标 二级指标 三级指标 指标测算方法 属性抵抗力风险控制力信用风险管控能力规模以上工业企业总资产/总负债+技术引进支出外商直接投资额/地区生产总值(GDP)+产业竞争力产品质量合格率质量合格率+市场占有率地区工业产值/工业总产值+产业链强度产业链增加值/产业链总投入+产业多样化企业多样性规模以上工业企业数量+产业集聚度赫芬达尔指数的倒数+恢复力产业基础工业资产规模以上工业资产总计+工业负债规模以上工业负债合计+从业人员年平均数工业从业人员年平均数+产业效益全员劳动生产率工业增加值/从业人员年平均数+工业增加值工业增加值+成本费用利润率利润总额/(主营业务成本+销售费用+财务费用)+产业配套人均互联网宽带接入端口数互联网宽带接入端口/年末地区人口总数+人均公路里程数公路里程数/年末地区人口总数+人均铁路里程数铁路运营里程数/年末地区人口总数+再组织力绿色发展单位增加值能耗能源消费总量/工业增加值-单位增加值气体废弃物排放量二氧化硫排放量/工业增加值-单位增加值固体废弃物排放量固体废弃物排放量/工业增加值-工业污染治理投资额工业污染治理投资额+产业合作外商投资总额外商投资总额+外商投资企业数占比外商投资和港澳台商投资工业企业数/规模以上工业企业总数量+产业协同指数制造业与生产性服务业协同指数+产业数字化智能化数智融合指数两化融合指数+技术改造投入规模以上工业企业技改经费投入+创新力创新投入研发经费投入水平(内部经费+外部经费)/各省生产总值(GDP)+R&D人员全时当量规模以上工业企业R&D人员全时当量+R&D经费内部支出 规模以上工业企业R&D经费内部支出 +创新条件企业办研发机构数企业办研发机构数+企业办研发机构人员数企业办研发机构人员数+新产品开发项目数新产品开发项目数+创新产出实用新型和外观设计授权数实用新型和外观设计授权数+技术市场成交额技术市场成交额+新产品销售收入水平新产品销售收入/主营业务收入+

考虑到各测度指标提供的信息量不同,为保证计算结果的客观性,本文采用“熵权法”计算被测度对象的静态综合评价值并构成静态综合评价矩阵[11];同时,由于制造业产业链在发展过程中不断遭受外界冲击,又不断修复,是一个动态的过程,基于双重激励模型的动态综合评价方法因考虑时间因素,可广泛运用于考察发展状况的动态评价[19]。因此,本文采用基于熵权的双重激励动态综合评价方法测度制造业产业链韧性。

(2)核心解释变量:创新集聚(Ia)。借鉴赵星与王林辉[20]的研究,本文采用单位面积的发明专利授权数来衡量。

(3)控制变量:借鉴武翠等[21]、孙红雪等[17]、匡敏等[22]的研究,本文选取如下控制变量:①对外开放水平(Fdi),采用外商投资总额表示;②政府支持力度(Gov),采用地方教育和科技投入与地区生产总值的比值进行衡量[22];③专利保护水平(Pat),采用技术市场成交额与地区生产总值的比值衡量(胡凯等,2012);④城镇化水平(Urb),采用地区城镇人口与地区总人口的比值来表示;⑤基础设施水平(Inf),采用固定资产投资与地区生产总值的比值表示[21]

(4)中介变量:根据前面的理论分析,本文主要选取产业结构调整(Stu)和研发投入强度(Rd)作为中介变量。其中,产业结构调整(Stu)采用第三产业增加值与第二产业增加值的比值表征;研发投入强度(Rd)采用研发投入与主营业务收入的比值表示。

2.3 数据来源

考虑到规模以上企业的标准在2011年有变动,为确保数据前后一致性与完整性,本文以我国内地30个省份(西藏数据缺失,未纳入统计)为研究样本,样本期为2011-2021年。样本数据来源于《中国统计年鉴》《中国城市统计年鉴》《中国工业统计年鉴》等。个别年份中缺失的数据,采用线性插值法予以补充完整。为消除数据间的绝对差异影响,本文对创新集聚变量取对数处理,变量的主要统计结果如表2所示。

表2 描述性统计结果

Table 2 Descriptive statistics

变量样本数平均值标准差最小值最大值Res3300.0040.0030.0010.024Ia3305.5472.1360.67910.856Fdi3303.4330.9171.5618.410Gov3300.0460.0140.0250.117Pat3300.0170.02800.176Urb33059.59112.13735.03089.600Inf3300.7720.2530.2041.455Stu3300.3970.0880.1580.601Rd3308.3151.4014.27711.847

3 实证结果与分析

3.1 空间自相关性检验

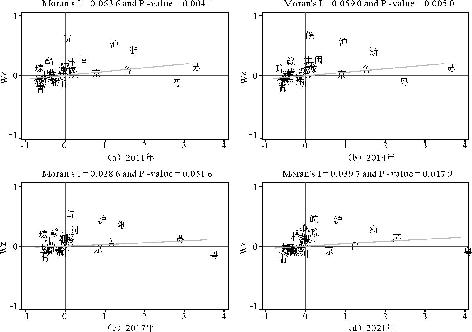
变量之间存在空间相关性是进行空间计量分析的前提,借鉴孙瑜康等[2]学者的做法,本文采用全局莫兰指数法检验制造业产业链韧性的空间相关性(见表3)。制造业产业链韧性在研究期限内Moran's I均为正值,且通过了至少10%的显著性检验,这表明制造业产业链韧性存在空间正相关特征。

表3 全局莫兰指数

Table 3 Global Moran′s I

年份Moran's IP-value年份Moran's IP-value20110.0640.00420170.0290.05220120.0570.00620180.0250.05820130.0620.00420190.0230.06620140.0590.00520200.0240.05720150.0510.01120210.0400.01820160.0490.012

在计算全局莫兰指数的基础上,本文进一步绘制了2011、2014、2017、2021年制造业产业链韧性的局部莫兰散点图(见图2)。大部分省份的制造业产业链韧性位于一、三象限,表明制造业产业链韧性存在较强的局部空间相关性,因此可以构建空间计量模型进行实证分析。

图2 制造业产业链韧性的局部莫兰散点图

Fig.2 Local Moran scatter plots of manufacturing chain resilience

3.2 空间计量模型选择

基于上述检验结果,制造业产业链韧性存在显著的空间正相关性,需选择合适的空间计量模型。借鉴王建康与韩倩(2022)的思路进行模型选择,检验结果见表4。LM-lag检验、LM-error检验、Robust LM-lag检验、Robust LM-error检验均通过1%显著性水平,说明采用空间计量模型比采用普通OLS回归分析更加有效; Hausman检验的显著结果表明,应当采用基于固定效应的空间计量模型分析创新集聚对制造业产业链韧性的影响;利用LR检验与Wald检验对空间计量模型进行筛选,其结果均在1%水平上显著,表明空间杜宾模型不会退化为空间滞后模型或空间误差模型。因此,本文采用基于固定效应的空间杜宾模型(SDM)进行回归分析。

表4 模型选择的检验结果

Table 4 Test results for model selection

检验指标检验值P值LM-lag29.9510.000Robust LM-lag25.0130.000LM-error11.5540.001Robust LM-error6.6160.010Hausman34.820.000 9LR-lag68.140.000 0LR-error67.220.000 0Wald-lag77.490.000 0Wald-error73.800.000 0

3.3 空间杜宾模型实证结果分析

基于固定效应的空间杜宾模型可以分为时间固定模型、空间固定模型、时间空间双固定模型,三者回归结果如表5所示。比较三者极大似然值Log-likelihood可知,时间空间双固定的空间杜宾模型优于空间固定或时间固定的空间杜宾模型。因此,本文在时间空间双固定的空间杜宾模型回归结果的基础上进行实证分析。

表5 空间杜宾模型检验结果

Table 5 Test results of the spatial Durbin model

注:括号内为t值,*、**、***分别表示在10%、5%、1%水平上显著,下同

变量时间固定效应MainWx空间固定效应MainWx时间空间双固定效应MainWxIa0.000 8***0.006 1***0.001 1***-0.000 9*0.001 7***0.008 9***(6.92)(6.81)(3.57)(-1.67)(5.54)(4.11)Fdi0.000 10.003 2*0.000 20.001 3**0.000 4***0.005 3***(0.38)(1.88)(1.14)(1.99)(2.63)(5.05)Gov0.016 10.456 1***0.073 7***-0.087 7***0.091 4***0.197 2**(1.37)(4.72)(5.62)(-2.96)(6.96)(2.45)Pat-0.031 1***-0.112 5***0.015 2*0.001 20.014 2*-0.079 4*(-5.03)(-3.44)(1.85)(0.04)(1.87)(-1.65)Urb1.63E-05-0.000 2*-0.000 3***0.000 4***-0.000 3***0.000 1(0.82)(-1.78)(-6.51)(3.92)(-7.57)(0.64)Inf-0.001 9***0.011 7***0.000 30.000 84.15E-050.003 0(-2.73)(2.68)(0.73)(0.54)(0.10)(1.27)Spatial rho-1.425 7***0.207 5-0.952 2***(-5.38)(1.28)(-3.61)Log-likelihood1 574.383 41 854.229 91 890.333 8N330330330

表5中,创新集聚的系数为0.001 7,且通过了1%显著性水平,表明创新集聚有利于创新资源配置优化,推动产业协作,进而提升制造业产业链韧性(贺正楚等,2024)。同时,制造业产业链韧性的空间自相关系数值为-0.952 2,且通过了1%显著性水平,说明制造业产业链韧性存在“虹吸效应”,本地的制造业产业链韧性提升会抑制周围地区制造业产业链韧性的提高;创新集聚的空间交互项系数为0.008 9,且通过了1%显著性水平,表明创新集聚不仅有利于促进本地制造业产业链韧性提升,还能增强邻地制造业产业链韧性。综上所述,创新集聚不仅对本地制造业产业链韧性具有显著促进作用,还能通过空间溢出效应提升邻地制造业产业链韧性,假设H1得以证实。

3.4 空间效应分解

由于存在空间滞后项,空间杜宾模型的回归系数无法直接反映自变量对因变量的影响。因此,本文将空间杜宾模型进一步分解为直接效应、间接效应与总效应进行分析[2],空间效应分解结果见表6。创新集聚对制造业产业链韧性影响的直接效应系数为0.001 5,且通过了1%显著性水平,表明创新集聚对本地制造业产业链韧性具有促进作用;创新集聚的间接效应系数为0.004 0,且通过了1%显著性水平,表明创新集聚对邻地制造业产业链韧性的影响也存在显著促进作用。此外,通过比较系数发现,创新集聚对制造业产业链韧性的间接影响大于直接影响。其主要原因可能是:创新集聚区自身发展程度较高,带来了较强的“扩散效应”与“涓流效应”,充分带动周围地区制造业产业发展,实现短板产业补链,快速提升该地区的制造业产业链韧性。因此,创新集聚不仅可以通过集聚优势显著促进本地制造业产业链提升,还能产生正向溢出效应促进邻地制造业产业链韧性提高,假设H2通过验证。

表6 创新集聚对制造业产业链韧性影响的空间效应分解结果

Table 6 Decomposition results of spatial effect of innovation agglomeration on manufacturing industry chain resilience

变量直接效应(LR_Direct)间接效应(LR_Indirect)总效应(Main)Ia0.001 5***0.004 0***0.005 4***(4.74)(3.39)(4.51)Fdi0.000 20.002 7***0.002 9***(1.22)(4.31)(4.81)Gov0.088 5***0.063 10.151 6***(7.02)(1.52)(3.56)Pat0.017 5**-0.050 5*-0.033 0(2.26)(-1.88)(-1.30)Urb-0.000 3***0.000 2*-0.000 1(-7.33)(1.91)(-0.74)Inf-0.000 10.001 70.001 6(-0.14)(1.23)(1.20)

3.5 稳健性检验

(1)剔除重点城市。为保证回归结果稳健,本文借鉴尹勇等(2023)的研究,采取去掉直辖市样本的方式进行回归检验,结果见表7。无论是否引入控制变量,各变量尤其是核心解释变量创新集聚的系数符号与显著性水平均与剔除重点城市前一致,证明回归结果稳健。

表7 稳健性检验结果

Table 7 Robustness test results

变量 剔除重点城市(1)(2)工具变量法(IV)第一阶段第二阶段Ia0.001 5***0.001 7***0.003 7***(4.12)(5.30)(3.63)IV0.000 0***(3.62)LR_DirectIa0.001 4***0.003 6***(3.71)(4.66)LR_IndirectIa0.006 4***0.005 1***(3.53)(3.02)控制变量NOYESYESYESDWH检验6.677 35***F统计量40.440 4***N286286330330

(2)工具变量法。制造业产业链韧性高的地区往往创新投入更大,更有利于创新集聚,即创新集聚对制造业产业链韧性的影响可能存在双向因果导致的内生性问题。本文借鉴鲍鹏程与黄磊[23]的研究,选取明清两朝进士总人数与创新集聚滞后一期的交乘项作为工具变量,采用两阶段最小二乘法(2SLS)进行回归分析。由表7可知,DWH检验结果在1%水平上拒绝了模型不存在内生性的原假设,说明模型中存在内生变量,工具变量与制造业产业链韧性在1%的水平上显著相关,并且第一阶段F统计量为40.440 4大于10,说明不存在弱工具变量问题。第二阶段的回归结果表明创新集聚对制造业产业链韧性的回归系数在1%水平上显著为正,与基准回归结果一致,表明在考虑内生性问题之后,本文结论依旧稳健。

3.6 作用机制检验

根据前文理论分析,创新集聚可以通过产业结构调整与研发投入强度两条传导路径间接影响制造业产业链韧性。因此,本文在基准回归基础上,参考江艇[24]对因果推断缺陷的研究,同时为避免中介变量对被解释变量因果效应理论论证可能不充分的问题,借鉴李万利等[25]的研究,构建如下中介效应模型进一步检验中介变量对被解释变量的影响。

Mediait=β0+ρ2W×Mediait+β1Iait+β2Xit+βW1WIait+βW2WXit+μi+δt+εit

(5)

Resit=γ0+ρ3W×Resit+γ1Mediait+γ2Xit+γW1W×Mediait+γW2W×Xit+μi+δt+εit

(6)

其中,主效应回归检验方程与前文一致,Mediait代表中介变量,包括产业结构调整(Stu)和研发投入强度(Rd)。检验结果见表8,列(1)(2)分别为创新集聚对产业结构调整的影响与产业结构调整对制造业产业链韧性的影响;列(3)(4)分别为创新集聚对研发投入强度的影响与研发投入强度对制造业产业链韧性的影响。

表8 创新集聚对制造业产业链韧性的影响机制检验结果

Table 8 Test results of the impact mechanism of innovation agglomeration on manufacturing industry chain resilience

变量 产业结构调整(Stu)(1)(2)研发投入强度(Rd)(3)(4)MainIa-0.080 6*0.002 1***(-1.94)(4.67)Stu-0.000 9**(-2.07)Rd0.121 8***(3.20)LR_DirectIa-0.099 2**0.002 4***(-2.36)(4.86)Stu-0.001 0**(-2.45)Rd0.111 9***(2.61)LR_IndirectIa0.245 4*0.026 4***(1.69)(3.75)Stu0.005 6***(2.74)Rd0.199 1(1.45)控制变量YESYESYESYESN330330330330

如表8列(1)所示,创新集聚对产业结构调整影响的系数为-0.080 6且通过10%显著性水平,表明创新集聚对产业结构调整存在抑制作用,其直接效应系数与间接效应系数分别为-0.099 2、0.245 4且分别通过5%、10%显著性水平,表明创新集聚对产业结构调整存在空间溢出效应。列(2)所示,产业结构调整对制造业产业链韧性存在抑制作用,其回归系数为-0.000 9且通过了5%显著性水平,同时,其直接效应与间接效应系数分别为-0.001 0、0.005 6且分别通过5%、1%显著性水平,表明产业结构调整对制造业产业链韧性存在空间溢出效应,但不符合假设H2的推断。其主要原因在于:创新集聚增大了对人才的需求,而我国尚处于“人口红利”向“人才红利”跃迁的阶段,高级人力资本相对较少,由于二者存在互补性,这会导致大量较低人力资本水平的劳动者集聚以填补高水平劳动力缺口,使得集群内部人力资本结构扭曲,不利于产业结构调整。同时,产业结构调整也会催生新产业链,冲击原有产业链,从而引起“均衡破坏”效应(尹勇,2023)。此外,产业结构调整主要是由工业经济向服务经济转变,易引起制造业产业空心化[26],从而不利于制造业产业链韧性的提升。

如表8列(3)所示,创新集聚对研发投入强度存在正向影响,其系数为0.002 1且通过了1%显著性水平;列(4)显示,研发投入强度对制造业产业链韧性的系数为0.121 8且通过了1%显著性水平。此外,研发投入强度对制造业产业链韧性的间接效应并不显著,即研发投入强度的空间溢出效应并不显著。因此,增大研发投入强度能够促进制造业产业链韧性提升,假设H3得以验证。

3.7 区域异质性分析

考虑到不同区域创新集聚水平和制造业产业链韧性可能存在显著差异,为了进一步探究创新集聚对制造业产业链韧性的影响在不同区域是否存在异质性,本文将数据样本分为东、中、西部地区分别进行回归分析(见表9)。

表9 分区域回归分析结果

Table 9 Results of subregional regression analyses

变量 东部地区直接效应间接效应中部地区直接效应间接效应西部地区直接效应间接效应Ia0.001 8***-0.007 7***0.000 6***-0.000 2-0.000 00.000 4(2.92)(-3.53)(5.20)(-0.44)(-0.48)(1.16)Fdi0.000 5***0.002 2***0.000 1-0.000 00.000 0-0.000 2(2.95)(4.35)(1.52)(-0.21)(0.50)(-1.28)Gov0.1198***0.122 4**0.013 90.031 3*0.008 0***0.008 7(4.43)(2.07)(1.48)(1.81)(2.81)(1.33)Pat0.065 2***-0.273 0***0.017 6***0.001 80.017 2***0.011 0(3.10)(-8.80)(6.47)(0.32)(9.48)(1.37)Urb-0.000 10.000 4**0.000 00.000 2***0.000 1***0.000 3***(-1.54)(2.19)(0.46)(2.77)(3.39)(4.07)Inf0.000 1-0.007 1**0.000 1-0.000 20.000 1-0.000 2(0.17)(-2.19)(0.33)(-0.46)(1.38)(-0.57)

如表9所示,创新集聚对制造业产业链韧性的影响存在区域异质性。其中,在东部和中部地区,创新集聚对制造业产业链韧性的直接效应均显著且为正,而在西部地区的直接效应不显著。同时,东部地区的间接效应显著为负,而中部与西部地区的间接效应均不显著。这表明,在东部地区和中部地区,创新集聚均有利于促进本地区制造业产业链韧性的提升,且东部地区存在负向空间溢出效应。这可能是因为:东部地区存在“极化效应”与“回程效应”,即较为发达的高梯度地区不断积累自身优势为进一步发展创造条件,但同时也会削弱周围低梯度地区的发展;中部地区具有一定的工业基础,创新集聚可以通过优化创新要素配置,提升制造业产业链韧性,但其经济发展与基础设施等方面不如东部地区,对创新要素的吸引作用相对较弱,知识或技术溢出在空间上受限,难以产生空间溢出效应;西部地区发展较为缓慢,产业体系有待完善,创新集聚的促进作用尚不明显。

4 创新多样化与专业化集聚进一步比较分析

借鉴产业集聚可以分为产业多样化集聚与专业化集聚两种集聚模式的研究思路(徐丹和于渤,2024),本文进一步从创新集聚模式的视角,探讨创新多样化集聚与专业化集聚对制造业产业链韧性的影响及其存在的空间溢出效应,进而分析何者更有利于增强制造业产业链韧性,构建如下空间杜宾模型:

Resit=α0+ρ1WResit+α1Aggit+α2Xit+αW1WAggit+αW2WXit+μi+δt+εit

(7)

其中,Aggit表示创新集聚模式,包含创新多样化集聚(Divit)与创新专业化集聚(Specit)。创新多样化集聚与创新专业化集聚的测度方式如下:

创新多样化集聚(Div):采用赫芬达尔指数(HHI)构建随时间和地区变化的创新多样化指数,为使数据大小与集中度一致,对变量做“1-HHI”处理如下:

(8)

其中,Divit表示i地区第t年创新多样化集聚指数,Pijt(j=1,2,3)分别表示i地区第t年的国内发明专利申请受理量、国内实用新型专利申请受理量和国内外观设计专利申请受理量,Pit表示i地区第t年国内三大专利申请受理总量。

创新专业化集聚(Spec):参考Delgado[27]对专利专业化的测度如下:

(9)

其中,Specit表示i地区第t年创新专业化集聚指数,P1t表示第t年国内所有地区发明专利申请受理总量,Pt表示第t年国内所有地区三大专利申请受理总量。

基于空间距离倒数权重矩阵,采用时间空间双固定的空间杜宾模型进行实证分析,从而探究创新多样化与专业化集聚对制造业产业链韧性的影响效应,结果见表10。

表10 创新多样化集聚与专业化集聚对制造业产业链韧性影响的回归结果

Table 10 Regression results of the impact of innovation diversification agglomeration and specialisation agglomeration on manufacturing industry chain resilience

变量创新多样化集聚(Div)直接效应间接效应总效应创新专业化集聚(Spec)直接效应间接效应总效应Div0.004 2***0.018 5***0.022 8***(2.61)(2.81)(3.25)Spec0.000 6**0.000 50.001 1*(2.00)(1.04)(1.91)Fdi0.000 10.001 6**0.001 7***0.000 20.000 20.000 4(0.63)(2.46)(2.79)(1.01)(0.52)(0.90)Gov0.101 9***0.079 90.181 8***0.098 0***0.064 8***0.162 8***(8.08)(1.60)(3.56)(7.96)(3.08)(7.21)Pat0.017 1**-0.071 5**-0.054 4*0.011 1-0.050 0***-0.038 9***(2.13)(-2.43)(-1.92)(1.35)(-3.43)(-2.81)Urb-0.000 2***0.000 4***0.000 2-0.000 2***0.000 1-0.000 1***(-5.75)(3.16)(1.52)(-5.49)(1.47)(-3.30)Inf-0.000 00.001 40.001 40.000 40.002 3***0.002 7***(-0.02)(0.88)(0.86)(0.88)(3.20)(3.56)

表10中,创新多样化集聚的直接效应与间接效应系数分别为0.004 2与0.018 5,均通过1%显著性水平的检验,说明创新多样化集聚不仅能够促进本地制造业产业链韧性提升,而且对邻地制造业产业链韧性也存在显著的促进作用;而创新专业化集聚对制造业产业链韧性的直接效应为0.000 6且通过5%显著性水平的检验,间接效应不显著,表明创新专业化集聚仅对本地制造业产业链韧性存在显著影响,而对邻地的作用尚不显著。同时,创新多样化集聚对制造业产业链韧性的直接影响强于创新专业化集聚,且多样化创新集聚对周边地区存在“扩散效应”。这可能是因为创新多样化集聚更有利于促进创新活动开展,且产生的创新成果适用性更强,创新主体跨界合作,更有利于增强知识溢出效应(Fujita,2007)。同时,创新多样化集聚不仅在面对外部冲击时可以分散冲击,降低冲击的破坏力,还能促进区域新产业出现。创新集聚专业化则更倾向于重点突破,形成领先优势,但是其基础设施与人力资本存在一定的专用性,难以被广泛推广,因此空间溢出效应不显著。

5 结论与政策建议

本文基于“4R”理论,从抵抗力、恢复力、再组织力、创新力4个维度阐释制造业产业链韧性的内涵并构建了相应的评价指标体系,然后在此基础上实证分析了创新集聚对制造业产业链韧性的影响、空间溢出效应及其区域异质性,并采用中介效应模型检验其内在机理。同时,进一步比较分析了创新多样化与专业化集聚对制造业产业链韧性的影响效应。主要研究结论如下:①创新集聚不仅对本地制造业产业链韧性具有促进作用,而且对邻地制造业产业链韧性也存在正向空间溢出效应。同时,创新集聚主要通过提高研发投入强度促进制造业产业链韧性提升。②创新集聚对制造业产业链韧性影响及其空间溢出效应存在明显的区域差异。东部地区创新集聚能够显著促进本地与邻地制造业产业链韧性提升;中部地区创新集聚能推进本地制造业产业链韧性提升,而对邻地没有明显的空间溢出效应;西部地区创新集聚的促进作用并不显著。③创新多样化集聚与专业化集聚均能显著提升本地制造业产业链韧性,且创新多样化集聚对本地制造业产业链韧性的直接影响效应大于创新专业化集聚,同时创新多样化集聚还能通过产生空间溢出效应提升邻地制造业产业链韧性,而创新专业化集聚则对邻地制造业产业链韧性没有显著影响。

为推动产业集聚向创新集聚转变,实现以科技创新推动制造业产业链韧性提升,塑造制造业高质量发展的新动能新优势,进而推进高水平科技自立自强,本文提出如下政策建议:

(1)推动创新集聚式发展,进行全产业链“抱团式”创新,赋能制造业产业链韧性提升。一方面,建立创新资源共享平台,打破要素流动壁垒,加快科技、人才、技术、金融等创新要素的集聚,探索整合同行业创新技术平台,夯实创新发展基础,培育一批具有核心技术的自主创新型企业,推动产业集聚向创新集聚转变。另一方面,加快构建一流创新生态,深入推进长三角G60科创走廊建设,优化创新资源配置,打造高水平创新动能策源地,形成创新要素集聚效应,以创新优势培育企业竞争新优势。

(2)发挥地区比较优势,制定差异化创新集聚战略,打造地区特色优势产业。东部地区应结合产业基础和区位优势,积极推动创新多样化集聚,加快建设世界重要的科技、人才、技术中心和创新高地,从而突破制造业企业关键核心技术瓶颈,提高制造业产业链核心竞争力。同时,通过其产生的正向空间溢出效应发挥对中西部地区的辐射带动作用。中西部地区应结合资源禀赋和产业特色,推进创新资源效用最大化,通过创新专业化集聚实现换道超车,开辟制造业产业链韧性提升的新领域新赛道。

(3)加大研发投入与优化产业结构,加速制造业产业培育新动能新优势,推进制造业高质量发展。一方面,以科技创新引领现代化产业体系建设,不断提高研发投入水平,加大基础研究投入,提升关键核心技术攻关能力。同时,建立并完善制造业企业税收优惠与创新补贴政策,鼓励并引导制造业企业加大研发投入强度,以政策红利助力企业创新升级。另一方面,加强顶层制度设计,协同推进产业结构调整与人力资本升级,在保障现有产业体系稳定的情况下稳步推进制造业产业结构优化调整,提升制造业产业链韧性。

参考文献:

[1] 杨浩昌,李廉水,张发明.制造业聚集对能源绩效的影响及区域比较研究[J].科研管理,2021,42(5):102-115.

[2] 孙瑜康,孙铁山,席强敏.北京市创新集聚的影响因素及其空间溢出效应[J].地理研究,2017,36(12):2419-2431.

[3] 俞立平,龙汉.创新:集聚、速度与升级[J].上海经济研究,2019,31(11):5-17.

[4] 张涵,杨晓昕.“一带一路”倡议如何影响城市创新集聚方向——来自我国地级市的经验证据[J].国际贸易问题,2021,47(5):127-142.

[5] DI TOMMASO M R, PRODI E, POLLIO C, et al. Conceptualizing and measuring "ndustry resilience":composite indicators for postshock industrial policy decision-making[J]. Socio-Economic Planning Sciences, 2023,85: 101448.

[6] REGGIANI A, DE GRAAFF T, NIJKAMP P. Resilience: an evolutionary approach to spatial economic systems[J]. Networks and Spatial Economics, 2002, 2(2): 211-229.

[7] 肖兴志,李少林.大变局下的产业链韧性:生成逻辑、实践关切与政策取向[J].改革,2022,35 (11):1-14.

[8] SIMMIE J, MARTIN R. The economic resilience of regions: towards an evolutionary approach[J]. Cambridge Journal of Regions, Economy and Society, 2010, 3(1): 27-43.

[9] 王泽宇,唐云清,韩增林,等.中国沿海省份海洋船舶产业链韧性测度及其影响因素[J].经济地理,2022,42(7):117-125.

[10] 蔡乌赶,许凤茹.中国工业韧性的测度及时空演变特征研究[J].经济体制改革,2022,40(6):90-97.

[11] 张虎,张毅,韩爱华.我国产业链现代化的测度研究[J].统计研究,2022,39(11):3-18.

[12] 谷城,张树山.产业链韧性水平测度、区域差异及收敛性研究[J].经济问题探索,2023,44 (6):123-139.

[13] 董丽,赵放.数字经济驱动制造业产业链韧性提升的作用机理与实现路径[J].福建师范大学学报(哲学社会科学版),2023,68(5):33-42.

[14] 陶锋,王欣然,徐扬,等.数字化转型、产业链供应链韧性与企业生产率[J].中国工业经济,2023,40(5):118-136.

[15] WU Y J, THAM J. The impact of environmental regulation, environment, social and government performance, and technological innovation on enterprise resilience under a green recovery[J]. Heliyon, 2023, 9(10):e20278.

[16] 胡志强,苗长虹,熊雪蕾,等.产业集聚对黄河流域工业韧性的影响研究[J].地理科学,2021,41(5):824-831.

[17] 孙红雪,朱金鹤.自由贸易试验区设立能否增强中国产业链韧性——基于多种创新要素集聚的中介机制检验[J].现代经济探讨,2023,42(11):72-84.

[18] 朱琳,董藩.创新要素与经济韧性的空间效应研究[J].科技进步与对策,2024,41(2):57-67.

[19] 张发明.基于双重激励模型的动态综合评价方法及应用[J].系统工程学报,2013,28(2):248-255.

[20] 赵星,王林辉.中国城市创新集聚空间演化特征及影响因素研究[J].经济学家,2020,32(9):75-84.

[21] 武翠,谭清美.产业相关多样性对区域经济韧性的影响——来自创新生态系统共生性的解释[J].科技进步与对策,2023,40(6):69-79.

[22] 匡敏,范逢春.技术进步偏向、创新要素配置与经济韧性[J].科技进步与对策,2022,39(23):22-32.

[23] 鲍鹏程,黄磊.创新人才集聚如何影响城市生态财富[J].山西财经大学学报,2023,45(5):28-42.

[24] 江艇.因果推断经验研究中的中介效应与调节效应[J].中国工业经济,2022,39(5):100-120.

[25] 李万利,刘虎春,龙志能,等.企业数字化转型与供应链地理分布[J].数量经济技术经济研究,2023,40(8):90-110.

[26] 干春晖,郑若谷,余典范.中国产业结构变迁对经济增长和波动的影响[J].经济研究,2011,46(5):4-16,31.

[27] DELGADO M. The co-location of innovation and production in clusters[J]. Industry and Innovation, 2020, 27(8): 842-870.

(责任编辑:梅岚峤)