A unified and orderly market system can ensure the free entry and exit of enterprises and optimize the allocation of innovative resources. This requires leveraging market mechanisms and enhancing localized innovation capability by strengthening the role of enterprises as the main actors in technological innovation. However,the legacy of centralized resource allocation under the planned economy and the persistence of GDP-centric growth models since the reform and opening-up have given rise to local protectionism and regional market segmentation,severely constraining China's high-quality economic development. In response,China has undertaken innovative theoretical explorations and institutional reforms regarding how to build a high-level socialist market economy system. Among these,the Negative List system for market access represents a major nationwide market-oriented reform initiative. It aims to eliminate regional entry barriers through a unified national approach,promoting the formation of a unified national market. The “non-prohibited=permitted” market rule helps foster a more transparent and open market environment,ensuring the autonomy of market entities and stimulating market vitality. Against this backdrop,examining the impact of the Negative List system on localized innovation capability is a crucial step in verifying whether it achieves its intended policy objectives.
This paper uses the Negative List system for market access as its starting point to explore the impact and mechanisms of relaxed market access regulations on localized innovation capability. The research demonstrates that easing market access restrictions enhances the innovation capability of localized industries,with significant heterogeneity across sectors and regions—particularly evident in service industries and areas outside the five major urban agglomerations. In terms of mechanisms,deregulation affects localized industry innovation capability at the industry level by “facilitating enterprise entry and intensifying market competition”,and by “accelerating the flow of innovation factors and promoting knowledge spillovers” at the regional level. Extended analysis confirms that the relaxation of market access controls under the Negative List model primarily leads to “quality-driven expansion” rather than “inefficient involution” in regional innovation agglomeration. Specifically,deregulation improves the innovation performance of high- and medium-high-tech firms,thereby encouraging their regional clustering.
Drawing on the characteristics of localized agglomeration and network spillovers in innovation activities,and incorporating both comparative technological advantages and network positions across industries,this study measures localized innovation capability at the industry level using patent data,thereby contributing to the literature on innovation. Since the Negative List is generally formulated and adjusted on an industry-specific basis,and the extent of government regulation varies significantly across sectors,this study provides a more comprehensive assessment of the system effects on enhancing innovation capability in different industries by measuring the relaxation degree of market access in each industry. As China transitions to a stage of high-quality development driven by high-tech innovation,this study investigates whether market entry relaxation fosters “quality-driven expansion” via high-tech firm entry or triggers “inefficient involution” through low-tech firm entry. The findings provide theoretical and empirical insights into how high-standard socialist market economy reforms can support high-quality innovation development.
当前,面对国际新一轮科技革命和产业变革,提升自主创新能力、实现关键核心技术突破成为我国加快实施创新驱动发展战略的重要方向。创新本质上是对现有知识元素的一种新型组合,而知识的高度复杂性以及创新要素的稀缺性决定了知识只有在较为集中的范围内传播才能有效保留原有信息[1],突破性发明更需要知识的新颖化组合以及对创新资源的充分调用。从经济发展现况来看,创新活动呈现出明显的行业与区域集聚特征,已成为本地化创新能力的重要微观基础,为关键核心技术突破创造了条件。以上市公司发明专利申请数量为例,2022年我国占比排名前三位的行业分别为:电气机械和器材制造业(19.03%)、计算机、通信和其他电子设备制造业(16.70%)、汽车制造业(10.13%);在地区层面,北京、深圳、上海集聚大量具有创新活动的行业企业,其发明专利申请数分别占全国总数的24.86%、8.31%和5.34%,上述城市已成为我国创新活力最强、技术创新水平最高的地区。此外,随着创新活动越来越活跃,由创新主体形成的创新互动网络能够通过溢出效应影响更大范围。以上市公司发明专利引用数据为例,2022年北京、深圳、上海三年内专利被引用量分别是2010年的5.57倍、1.59倍和3.37倍。因此,进一步加速创新活动的本地化集聚、提升本地化创新能力至关重要。
创新企业为减少创新成本、实现创新收益,会不断地向特定行业与少数地区集聚,产生的新知识、新想法与新技术又会在市场作用下向其它行业与地区溢出,而统一有序的市场体系有助于企业自由进出,优化资源配置。然而,地方保护主义与区域市场分割不利于经济高质量发展[2]。我国针对如何建设高水平社会主义市场经济体制进行了创造性的理论探索与制度变革,其中,市场准入负面清单制度作为国家层面市场化改革的重大举措,致力于通过“全国一张单” 破除区域准入壁垒,促进全国统一大市场形成。“非禁即入”的市场规则有利于营造更加透明和开放的市场环境,落实市场主体自主权和激发市场活力。在此背景下,有必要考察市场准入负面清单制度对本地化创新能力的影响。
本文以市场准入负面清单制度试点政策作为准自然实验,探讨市场准入管制对本地化创新能力的影响及作用机制。本文可能的边际贡献在于以下三个方面:第一,基于创新活动的本地化集聚与网络溢出特征,结合行业技术比较优势与行业创新网络地位,利用专利数据从行业层面测算本地化创新能力,完善和丰富创新的相关文献。第二,负面清单内容总体上是按照行业制定与调整,政府对每个行业的管制存在较大差异,本文通过衡量不同行业市场准入管制放松程度,更加全面地评估市场准入负面清单制度对不同行业本地化创新能力的提升效应。第三,拓展性分析市场准入管制放松究竟是引发促进高技术企业进入的“增量提质”效应,还是诱发吸引低技术企业进入的“低效内卷”效应,从而为经济体制改革驱动高质量创新发展提供理论支持与经验证据。
产业集聚与比较优势理论揭示了传统“中心—外围”产业地理格局的形成过程:规模经济、报酬递增以及生产成本优势引发制造业企业集聚,当区域经济发展到一定程度,要素成本的上升以及同质化企业的过度涌入导致企业生产效率降低、城市环境污染等问题不断加剧,产生挤出效应并迫使劳动密集型产业向外围转移。与传统产业地理格局形成过程不同,由创新活动引致的产业集聚与分工能够突破地理邻近性限制,辐射更广,中心集聚化程度也更高[3]。这主要是因为知识溢出与集聚具有内生互动性[4]。创新活动越集中,溢出效应越明显,会进一步影响创新活动的空间分布。这一循环累积过程不仅弱化创新活动内在的不确定性,而且通过人才共享和知识交流大大降低创新成本,使得新企业能够突破地理限制、积极嵌入区域创新网络,最大限度地对现有技术进行学习、解构与重新组合,促进整体创新水平提升[5]。
现有文献对创新活动的研究主要集中在两方面:一是创新能力测算。无论是区域还是行业企业的创新能力均主要从创新投入和产出两方面衡量,一般采取以R&D投入和专利数为主的单一指标测度,认为R&D投入作为创新的原始积累、专利作为创新结果的主要形式,是创新能力的集中体现[6]。也有研究从系统功能及结构要素角度出发,构建综合指标体系进行测度,包括创新投入、产出、环境以及效率等多个维度[7]。二是创新活动的网络特征。现有研究多从微观视角利用专利数据构建创新网络。如安同良等[8]基于复杂网络构建互联式创新模型,揭示了中国企业互联式创新网络的结构特征;吕越等[9]运用PageRank算法,构建中国电商企业专利引用网络来反映企业创新地位。随着空间网络范式研究的兴起,区域创新网络逐渐成为经济地理学研究中的热门话题[10]。有研究表明,区域创新网络是创新主体跨越区域边界、获取外部知识的重要渠道[11]。
关于市场准入负面清单制度实施效果的评估,在区域层面,雷卓骏等[12]发现市场准入负面清单制度实施有助于缩小城乡收入差距。在行业层面,冉明东等[13]以市场准入负面清单行业项目数衡量市场准入管制放松程度,发现随着市场准入管制逐渐放松,行业效率出现先上升后下降。此外,现有研究多从企业微观层面入手,认为市场准入负面清单制度能够打破地方保护和市场分割,充分发挥市场的竞争机制,有效提升企业投资效率和全要素生产率[14-16]。如在市场准入负面清单制度与创新的相关研究中,周志芳等[17]、雷卓骏等[18]基于“有效市场”“有为政府”视角,认为市场准入管制放松能够促进企业创新和区域创新。
综观已有文献,仍存在以下改进空间:一是在创新能力评价方面,创新活动集聚和溢出是一种循环累积过程,现有研究多从创新要素集聚或创新网络溢出单一方面衡量创新能力,较少从本地化创新能力视角将二者统一起来对区域和行业创新能力进行综合测度。二是在市场准入负面清单制度实施效果的评估方面,现有研究多是考察政策实施前后的宏观或微观经济影响,较少考虑负面清单对不同行业市场准入管制放松程度的差异。三是鲜有研究探讨市场准入负面清单制度对本地区不同技术密集度企业创新集聚的影响效应和作用机制。鉴于此,本文利用自2016年试点实施的市场准入负面清单制度,采用2010-2022年上市公司发明专利申请及其引用数据从创新比较优势与创新网络地位两方面测算本地化行业创新能力,从行业和区域两个层面探讨不同行业市场准入管制放松程度对本地化行业创新能力的影响机制,拓展性分析不同技术密集度企业的生产选址策略及选址动机。
自改革开放以来,中国在建设特色社会主义市场经济体系过程中持续探索。尽管中国采取了一系列市场化改革以促进国内市场经济发展并接轨国际市场,但仍存在市场秩序紊乱、市场准入规则不统一、审批程序繁杂等粗放式经济发展问题。长期以来,中国在市场准入方面实施的是正面清单管理制度,在追求经济快速增长的情况下,容易衍生出地方保护主义和区域市场分割现象。2013年党的十八届三中全会强调“市场在资源配置中起决定性作用和更好发挥政府作用”。要在全国层面实行统一的市场准入管理制度,其中,制定负面清单成为一项可行性措施。负面清单被广泛应用于外商投资准入,将其应用于国内市场管理是中国探索现代化市场体系的创新举措。市场准入负面清单以清单方式详细列出每个行业大类禁止和许可进入的相关事项,而对市场准入负面清单描述以外的业务和领域则不受限制。“全国一张单”是发挥市场配置作用的重要保障,其试点方案实施可视为准自然实验。
《市场准入负面清单草案(试点版)》于2016年率先在天津、上海、福建和广东试点,2017年扩大至辽宁、吉林、黑龙江、浙江、河南、湖北、湖南、重庆、四川、贵州、陕西,2018年在全国全面实施。本文利用连续双重差分模型(DID)分析其政策效应,该模型将个体维度的政策分组虚拟变量替换为用以表示不同个体受政策影响程度的连续型变量。本文研究中,市场准入负面清单制度具有分行业制定、分区域先后实行特点,每个市场准入负面清单版本对不同行业的管制数量存在差异,此时不同行业并不仅仅是发生从0到1的简单变化,而是连续变化。相比传统的DID模型,采用连续DID模型能够通过衡量市场准入负面清单制度对不同行业的放松程度,精准识别对不同城市行业的政策效应。
对于行业j第t年的市场准入管制放松程度(deregjt),借鉴冉明东等[13]的研究,首先,利用人工统计出各版本《市场准入负面清单》的行业负面清单数量。在本文研究样本期(2010-2022),《市场准入负面清单》有2016年、2018年、2019年、2020年以及2022年5个版本,分别统计每版负面清单对应的行业清单数量总数,其中将2017年行业负面清单数量对应到2016年。其次,计算最大值。计算5个版本中各行业负面清单数量的最大值。例如制造业(MFG)在2016年负面清单数量最多,则记为maxMFG=deregMFG,2016。最后,计算市场准入管制放松程度,计算公式为deregj=maxj/deregjt。比值越大,说明该行业与最严格版本的市场准入管制差距越大,即市场准入管制放松程度越大。计算第t年城市i整体的市场管制放松程度deregit时采用相同逻辑,用各年负面清单数量中的最大值除以各年负面清单数量得到。
图1展现了2016-2022年制造业、金融业、文化、体育和娱乐业以及各年整体的市场准入管制放松程度,可以看出各行业市场准入管制的调整趋势并不一致,表明政府并非一味地放松市场准入管制,而是在不断探索适合各行业发展的市场准入管制范围。
图1 市场准入管制放松程度
Fig.1 Degree of relaxation in market access regulation
本地化行业创新能力不仅包括创新人才、研发资本以及知识储备等创新要素集聚能力,而且包括本地创新主体间互动交流网络的溢出效应。现有研究多是基于创新投入或者产出角度测度创新要素集聚对区域或行业企业创新能力的影响,较少将本地化创新活动所形成的创新网络溢出纳入创新能力衡量范畴,而后者是本地化创新能力的重要体现。如果仅用研发投入及专利产出等创新要素数量衡量区域或行业企业创新能力,会忽略创新要素引致的技术溢出效应,从而低估结果[4,19]。因此,本文将结合二者,利用技术比较优势与专利引用网络进行综合测度。其中,前者反映创新要素集聚带来的技术优势,后者是衡量创新网络特征的常见指标[20]。
首先,测算技术显性比较优势。

(1)
其中,RCAijt为城市i行业j第t年的比较优势指数;Pijt为城市i行业j第t年的专利数量。其中,专利数量采用2010—2022年上市公司申请的发明专利数进行测度,这是因为上市公司是地区中创新能力最强的市场主体,微观主体间的创新活动主要以上市公司为节点展开。此外,发明专利是企业优质创新成果的集中体现,能够较好地反映企业创新活动的实际价值。本文根据发明专利申请数据与国泰安数据库比对得到其所在城市,并根据《国民经济行业分类》(2017版)确定其所属行业。
其次,测算本地创新网络中心度。采用Bonacich中心度衡量城市行业创新网络特征。该指标基于Page 等在测算互联网中网页重要度时提出的Pagerank算法。中心度越高,说明其在整个创新网络中的地位越高。具体步骤为:测算每个专利的中心度以反映其在整个专利引用网络中的重要程度。
![]()
![]()
(2)
其中,Bonacichp(k)为专利p的中心度,α为每一次迭代的概率值。参考Page&Brin[21]的研究,将α设为0.85。apq=1表示专利q引用了专利p,否则为0;Bonacichp(k-1)为上一次迭代计算的中心度,
为该专利的入度,N为专利总数,Bonacich中心度初始值为1/N。经迭代计算,最终收敛得到各专利的Bonacich中心度。为测度各城市行业的中心度并确保不同时间申请的专利之间具有可比性,利用智慧芽专利数据库整理出上市公司申请发明专利的3年内后向引用专利与引用主体,并基于企查查数据库对被引用主体进行城市定位与国民经济行业二位码匹配,然后参考吕越等[9]测算企业创新地位的逻辑,以专利所属城市行业平均 Bonacich 中心度(indcenijt)作为城市行业创新网络地位的代理变量。
将上述两个指标综合起来,可以得到本地化行业创新能力:
LIAijt=RCAijt*indcenijt
(3)
利用核密度图分析2010—2022年中国各地区行业平均本地化创新能力的时空特征。如图2所示,2010—2022年主峰位置不断向左移动,高度持续上升,同时,主峰宽度逐渐收窄,表明创新能力具有集中趋势。此外,核密度分布曲线均存在明显的右拖尾,表明各地区创新能力逐渐向平均水平靠拢,整体创新能力都有所提高并趋于收敛。综上可以看出,创新能力呈现出多极分化格局,同时,存在一定的空间扩散现象。图3为深圳市科学研究和技术服务业以及金融业的市场准入管制放松程度与本地化创新能力,可以发现,期初未实施市场负面清单制度时本地化行业创新能力变化并不明显,随着该行业市场准入管制的逐渐放松,本地化行业创新能力提升显著。
图2 本地化行业创新能力核密度分布
Fig.2 Core density distribution of innovation of the localization industry
图3 市场准入管制放松与本地化行业创新能力
Fig.3 Relaxation of market access regulation and innovation capability of the localization industry
良好的制度环境是市场主体从事创新活动的必要支撑,是区域经济可持续发展的内在动力[22]。市场准入负面清单制度作为行业层面制定和调整,分区域、分时间逐步实行的重要市场经济改革举措,能够进一步激发企业竞争活力、促进统一大市场建立,从而为本地化创新营造良好的制度环境。因此,本文从行业及区域两个层面,阐明市场准入负面清单制度对本地化行业创新能力的影响,理论框架如图4所示。
图4 理论框架
Fig.4 Theoretical framework
市场准入负面清单的实施能够促进行业企业进入,营造充分的市场竞争环境,从而激发行业企业的创新内驱力并提升本地化行业创新能力。根据熊彼特的创造性破坏理论,企业不断推出新产品或改进技术的动机在于打造竞争优势、获取创新利润,以在市场竞争中谋求生存与发展,因此充分的市场竞争环境是增强企业创新动力的重要因素[23]。在全国统一的市场准入负面清单制度实行前,地方政府在正面清单的制定上具有较大操作空间,带有严重地方保护主义色彩的各项行政壁垒层出不穷,不仅造成要素市场资源错配,而且极大地限制产品市场的充分竞争,降低了行业企业创新动力与创新效率[24-25]。新企业也因为各种隐形准入门槛与繁杂的审批制度无法及时进入市场,相当于变相地增加企业创新成本。
市场准入负面清单制度打破了地区行政壁垒,降低了行业企业的进入门槛。首先,“全国一张单”健全了市场准入管理依据,能够有效缓解以往正面清单模式下地方政府市场准入管理执法混乱的问题[14],降低企业进入市场的不确定性及成本。其次,“法无禁止即可为”的市场准入模式营造了良好的营商环境,赋予市场主体在产品市场拥有更多自主权,更多企业可以自由进入潜在市场。规范的市场准入管理不仅有助于形成公平有序的产品竞争市场,营造充分的市场竞争环境,而且倒逼行业企业开展创新。以上分析表明,市场准入负面清单制度有助于打破原有产品市场的分割状态,提升行业企业进入率,培育更为充分的市场行业竞争环境,最终提高本地化行业创新能力。
市场准入负面清单有助于构建统一有效的要素市场体系,提高要素流动效率,同时,促进知识的空间溢出,进而提升本地化行业创新能力。创新是通过资源要素与信息能力的整合,实现价值增值的过程。其不仅依赖于创新主体的内驱力,而且依赖于从外部获取知识和技术的能力[26]。新经济地理学研究表明,统一有效的要素市场体系能够促进研发人才、资金等创新要素在更大空间范围内根据市场信号自由流动,再通过技术交易、研发人才间的正式与非正式交流,激发各种渠道和类型的知识溢出。创新主体获取外部知识与技术能力的增强有助于提高创新效率,是促进区域集群创新能力提升的关键机制[27]。然而,在市场化改革中地方保护主义和地区间市场分割问题长期存在,既有研究发现少数地方政府为了完成经济增长考核目标,会通过价格管制、设置市场准入门槛等行政壁垒干预市场,阻碍了生产要素的自由流动和知识的跨区域溢出及流动[28],导致市场机制难以发挥对生产要素与知识资源的再配置功能,降低企业创新效率,从而影响本地化行业创新能力形成与提升。
市场准入负面清单制度作为我国建设高水平社会主义市场经济体制的一项重要举措,其本质是打破区域行政壁垒,促进技术、知识等创新要素市场一体化。一方面,市场准入负面清单是在全国层面统一实施的市场准入制度,由中央政府统一制定行业准入细分目录,能够有效提高市场准入环境透明度,约束地方政府的市场干预行为,营造透明、公平、统一的市场环境[29]。创新要素在市场价格机制作用下流向边际收益率更高的行业和区域,使得创新主体间的经济关联更加密切,创新要素流动更为活跃、频繁与迅速,要素流动方向也更加多向化[30]。另一方面,市场准入负面清单实施降低了创新要素跨区域流动中由于地方保护主义问题导致的外部性,从而降低知识传播和扩散成本,有助于跨越知识溢出的空间边界,促进更大区域范围内的创新水平得到提升。在此过程中,创新主体获取知识与技术等创新要素的机会增加,同时,通过知识溢出的“干中学”“看中学”,提高自身技术水平。
根据前文分析,采用连续DID模型来识别市场准入负面清单制度对本地化行业创新能力的影响,模型如式(4)所示:
LIAijt=α0+α1deregjt*postit+α2Xit+μi+δj+δt+εijt
(4)
其中,被解释变量LIAijt表示本地化行业创新能力,deregjt*postit为DID交互项,deregjt为前文计算的市场准入管制放松程度, postit表示市场准入负面清单制度试点情况,试点地区取值为1,否则为0。μi是地区固定效应,γj为行业固定效应,δt为时间固定效应,εijt是随机误差项,Xit为一系列控制变量。
借鉴已有研究,地区层面控制变量包括:①经济发展水平(growth),使用地区经济增长率度量;②人力资本水平(rlzb),常用指标有受教育年限、在校大学生数、高等院校数量等,本文采用高等院校数量的对数表示;③政府干预水平(gov),采用公共财政支出与GDP之比计算得到;④对外开放水平(open),由各地区实际使用外资经当年汇率调整后除以GDP得到;⑤地区运输水平(fv),采用公路货运量的对数表示;⑥金融发展水平(debt),使用地区当年金融机构存贷款余额除以GDP得到。行业层面控制变量包括:行业资本密集度(cap),采用实收资本与劳动人数的比值衡量;行业平均成本(lnfix),采用行业总成本除以企业数量并取对数。
本文控制变量数据主要来自《中国城市统计年鉴》、各省市统计年鉴、中经网城市数据库、国泰安数据库等。核心解释变量采用的行业负面清单数据来自国家发展改革委公布的《市场准入负面清单》。被解释变量采用的上市公司发明专利申请数来源于国家知识产权局专利检索平台,通过与国泰安数据库进行比对并剔除无效数据后,得到2010-2022年中国271个城市上市公司的发明专利申请数,共计1 090 796个样本。在此基础上利用CNRDS数据库、智慧芽数据库得到上市公司申请的发明专利3年内专利引用数据,并与企查查数据库进行比对,得到《国民经济行业分类》(2017版)的企业行业分类。其它指标的人口数量按照常住人口计算,资本估计使用永续盘存法。
基于模型(1)的回归结果如表1所示。在估计策略上,列(1)在不加入控制变量的前提下仅控制城市固定效应、年份固定效应,单独考察市场准入负面清单制度对本地化行业创新能力的影响,列(2)~(4)分别加入行业固定效应、地区与行业控制变量。回归结果显示,核心解释变量deregjt*postit的估计系数始终显著为正,表明旨在推动全国统一大市场建设的市场准入负面清单制度实施后,市场准入管制的放松显著提升本地化行业创新能力。
表1 基准回归结果
Table 1 Baseline regression results
变量被解释变量:本地化行业创新能力(LIA)(1)(2)(3)(4)deregjt*postit0.000 40**0.000 55***0.000 49***0.000 53***(2.57)(3.42)(3.18)(3.30)控制变量否否是是城市固定效应是是是是年份固定效应是是是是行业固定效应否是否是Adj R20.226 00.298 90.231 60.303 2样本量7 6937 6927 6937 692
注:*、**和***分别表示在10%、5%和1%的水平上显著,括号内表示t值。下同
(1)平行趋势检验。双重差分估计结果的有效性需要满足平行趋势假设,实验组与对照组在政策实施前拥有相同的时间变化趋势。参照Beck等[31]的研究,采用事件分析法开展市场准入负面清单制度的动态效应研究:
![]()
![]()
(5)
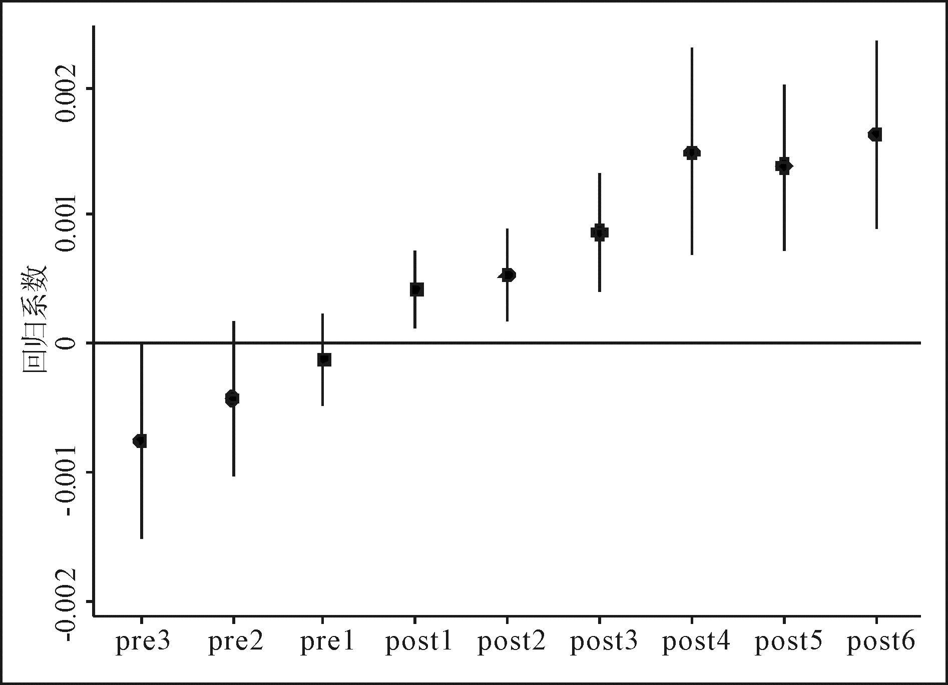
其中,t0为政策实施的第一年,也即2016年。postit0+k为政策实施虚拟变量,k表示政策实施前后的年份。由于本文的观察期为2010-2022年,而市场准入管制放松程度deregjt仅在2016年之后有观测值,为避免多重共线性,只保留政策实施前3年及之后的时间虚拟变量进行平行趋势检验。各年份系数值以及90%置信度区间如图5所示。可以发现,市场准入负面清单制度实施前的回归系数未显著异于0,即政策实施前拥有相同的变化趋势,平行趋势假设得到验证。
图5 平行趋势检验结果
Fig. 5 Parallel trend test results
(2)非连续DID。采用市场准入负面清单政策的虚拟变量postit代替各具体行业市场准入管制放松程度deregjt*postit,此时政策虚拟变量仅考虑市场准入负面清单政策实施与否,当行业j所在城市i在t年被纳入试点范围则为1,否则为0。表2的回归结果显示,政策虚拟变量的系数依然显著为正,即本文研究结果稳健。
表2 部分稳健性检验结果
Table 2 Results of partial robustness test
变量非连续DID第一批试点样本第二批试点样本(1)(2)(3)postit0.000 39*(1.86)deregjt*postit0.001 11***0.000 5*(3.63)(1.88)控制变量是是是城市固定效应是是是年份固定效应是是是行业固定效应是是是Adj R20.302 80.339 60.336 2样本量7 6924 5134 629
(3)安慰剂检验。为了排除随机扰动带来的内生性问题,本文采取两个方法进行安慰剂检验。一是在市场准入负面清单制度试点地区行业中随机生成实验组名单,产生虚拟的政策冲击变量估计值,重复该过程500次并观察其概率分布。二是在采用非连续DID模型的前提下,将市场准入负面清单制度试点地区行业样本按照其所在省份分组,随机产生虚拟的政策冲击时间得到其估计值,重复该过程500次并观察其概率分布。从分布图可以看出,由两种方法得到的系数估计值都在0左右且近似于正态分布,p值绝大多数大于0.1,说明市场准入负面清单制度对本地化行业创新能力的促进效应不是偶然发生的,即回归结果具有稳健性。
(4)考虑多时点DID模型设计的估计偏误。近年来,理论计量经济学研究揭示在采用多时点DID模型识别政策效果时可能出现偏误问题。具体而言,在模型回归中,前期受政策干预影响的实验组会在后续时点上被纳入对照组,导致模型出现偏差,影响估计结果[32-33]。本文参照张宽等[16]的做法,利用两次经典双重差分模型进行稳健性检验。步骤如下:以2010-2018年为研究样本期(市场准入管制放松程度按照此样本期重新计算)。剔除2017年第二批新增试点地区行业样本,将2016年第一批试点地区行业视为实验组,其余样本为对照组,进行第一次经典双重差分模型估计;将第二批试点地区行业样本视为实验组,剔除第一批试点地区行业样本后将剩余样本作为对照组,进行第二次经典双重差分模型估计。回归结果如表2所示,两次经典双重差分模型的回归结果均显著为正,说明多时点DID模型设计的估计偏误对本文结论并无显著影响。
(5)本文还从4个方面进行回归结果稳健性检验:一是改变主要变量计算方法。对于核心解释变量,仅采用每版《市场准入负面清单》所列各行业负面清单数计算市场准入管制放松强度;对于被解释变量,参照郑江淮等[1]的做法,以各城市行业为节点计算平均PageRank中心度来反映其在创新网络中的地位和重要程度。 二是改变样本时间。以2010-2018年为研究样本期进行检验。三是改变回归模型。仅选择2016-2022年试点城市样本,采用OLS回归模型单独考察市场准入管制放松对本地化行业创新能力的提升效应。四是改变标准误聚类层级。考虑到不同地区不同行业间可能存在相关性,分别将标准误聚类到“城市-年份”层级并采用聚类稳健的标准误进行稳健性检验。经过上述一系列检验,结果显示核心解释变量系数均显著为正,说明本文回归结果稳健。
前文研究表明,市场准入负面清单制度实施显著提升本地化行业创新能力,接下来将进一步探讨这一提升效应的作用机制。根据前文理论框架,本文从行业与区域两个层面,基于行业竞争与要素流动两个视角揭示其作用机制。
(1)行业层面:促进企业进入、强化市场竞争。市场准入负面清单制度提高了企业进入效率,有利于形成充分的市场竞争环境,激发市场主体创新活力,提高行业总体创新水平[25]。鉴于此,本文选取行业企业进入率(entry)、行业集中度(hhi)两个指标进行机制检验。其中,基于工商企业注册数据库得到企业新建数量及其所在城市和行业分类,采用每年城市各行业新建企业数量与全部新建企业数量的比值反映城市每年各行业企业进入率。通过企业总资产构建的赫芬达尔指数来反映地区—行业层面的市场竞争程度,该指标越大,说明行业竞争强度越弱。
表3中列(1)显示,deregjt*postit对行业企业进入率(entry)的影响显著为正,即市场准入管制放松能够持续吸引行业企业进入;列(2)显示,deregjt*postit对行业集中度(hhi)的影响显著为负,表明市场准入管制放松能够提升市场行业竞争水平。上述结果表明,市场准入负面清单制度能够在行业层面通过促进企业进入、强化行业竞争来提升本地化行业创新能力。
表3 机制检验结果
Table 3 Mechanism inspection results
变量 entryhhirdflowrcflowcited(1)(2)(3)(4)(5)deregjt*postit0.011 16***-0.000 88*(8.07)(-1.70)deregit*postit19.707***7.959 4***529.78**(2.70)(2.70)(2.18)控制变量是是是是是城市固定效应是是是是是年份固定效应是是是是是行业固定效应是是否否否Adj R20.298 00.343 40.206 00.682 50.761 8样本量8 5158 0183 5233 5233 523
(2)区域层面:加快创新要素流动、促进知识溢出。根据区域均衡发展理论,为追求效益最大化,资源要素在区域间不断调整流动方向,以达到区域要素配置最优。与传统生产要素相比,创新要素在流动中能够扩散更多更高质量知识、信息与技术[26],有助于跨越知识溢出的空间边界,带动更大空间范围内本地化创新能力的提升。对此,本文借鉴孙晋云等[34]的研究,构建引力模型测算研发人员流动水平(rdflow)与研发资本流动水平(rcflow)。研发人员与资本流动水平越高,则创新要素流动越快。本文采用地区上市公司申请的发明专利被引量衡量地区知识溢出水平(cited),专利被引量越多,表明知识溢出效应越明显。
表3中列(3)~(6)显示,deregit*postit对研发人员流动水平(rdflow)与研发资本流动水平(rcflow)的影响显著为正,表明市场准入管制放松能够加快创新要素流动;对地区知识溢出水平(cited)的影响也显著为正,表明市场准入管制放松能够促进地区的知识溢出。上述结果表明,市场准入负面清单制度能够在区域层面通过“加快创新要素流动、促进知识溢出”来推动本地化行业创新能力提升。
(1)行业异质性。由前文分析可知,实施市场准入负面清单制度能够营造公平有序的行业竞争环境,不仅能够激发原始行业企业创新内驱力,而且在逐利的市场环境下也能持续吸引新企业进入。考虑到不同行业企业对市场准入管制放松的敏感度不同,本文将行业划分为工业与服务业以验证是否存在行业异质性。现阶段,我国服务业尤其是生产性服务业还存在较大的市场准入限制[35],从市场准入负面清单数量来看,服务业负面清单数量明显多于工业,说明政府对服务业企业资质的审批与管制相较于工业企业更严格。此外,服务业开放也会影响工业企业的生产活动,放宽服务业市场准入限制不仅能够加速新服务业企业进入,而且有助于促进工业企业进入,从而放大市场竞争效应。对工业企业与服务业企业样本分别进行回归,得到的结果如表4列(1)(2)所示。可以发现,市场准入管制放松对服务业的回归系数显著为正,对工业的回归系数为正但是影响不显著。这说明在市场准入管制较为严格的服务业,市场准入负面清单制度对促进企业进入、强化行业竞争的效应更显著。
表4 异质性分析结果
Table 4 Heterogeneity analysis results
变量工业服务业五大城市群非五大城市群(1)(2)(3)(4)deregjt*postit0.000 350.000 34*0.000 35*0.000 67***(1.52)(1.78)(2.12)(3.00)控制变量是是是是城市固定效应是是是是年份固定效应是是是是行业固定效应是是是是Adj R20.205 00.495 90.219 50.352 8样本量3 6943 2903 7973 894
(2)城市群异质性。由前文分析可知,实施市场准入负面清单制度能够打破区域行政壁垒,促进区域内人流、物流、资金流、知识流、信息流等要素合理流动,强化知识溢出对更大区域范围内创新水平的提升效应。由于不同地区市场一体化进程存在较大差异,市场准入管制放松对本地化行业创新能力的影响可能存在区域异质性。因此,本文将样本分成五大城市群地区与非五大城市群地区以进行验证。城市群是我国区域经济实现高质量发展的强力引擎,具有一体化程度高、创新能力强以及资源要素相对集中等特点,其中,京津冀、长三角、珠三角、成渝、长江中游五大城市群更是我国城市群发展的典范。对五大城市群地区与非五大城市群地区分别进行回归,得到的结果如表4列(3)(4)所示。可以发现,市场准入管制放松对五大城市群地区与非五大城市群地区本地化创新能力均有显著提升作用,从回归系数看,尤其是对非五大城市群地区的提升作用更大。这说明在一体化程度较低、资源要素流动不充分地区,市场准入负面清单制度带来的加快创新要素流动、促进知识溢出效应更明显。
前文主要研究了负面清单模式下市场准入管制放松对行业本地化创新能力的提升效应及作用机制,本文进一步讨论地区本地化创新集聚的影响效应。市场管制放松虽然会优化市场竞争环境,促进企业进入,但低效内卷式的创新集聚不仅会浪费创新资源,而且会造成地区产业的低端锁定。我国已进入以高技术创新为标志的经济高质量发展阶段,在实施市场准入负面清单制度后,市场管制放松对地区本地化创新集聚的影响是带来促进高技术企业集聚的“增量提质”效应,还是引致低技术企业集聚的“低效内卷”效应?这一问题值得进一步探讨。
本文参考原磊和邹宗森[36]的做法,结合《国民经济行业分类》与《国际标准产业分类(第三版)》的行业分类标准,依据R&D项目数、R&D项目人员和经费情况将行业分为高技术行业、中高技术行业、中低技术行业与低技术行业,考察市场准入管制放松对不同技术密集度新企业选址策略的影响。构建模型如下:
foundijt=α0+α1deregit*postit+α2Xit+μi+δt+εijt
(6)
其中,foundijt为城市i不同技术密集度行业j第t年新企业成立数。表5的回归结果显示,列(1)(2)中交互项deregit*postit系数显著为正,表明市场准入管制放松能促进高技术、中高技术企业的地区集聚。列(3)(4)表明,市场准入管制放松对中低技术、低技术企业的地区集聚影响不显著。这说明负面清单模式下的市场准入管制放松引发不同技术密集度企业生产选址决策差异化,其中,对高技术、中高技术企业表现出促进本地化集聚的增量提质效应。
表5 企业生产选址决策检验结果
Table 5 Test results of enterprises' production location selection decisions
变量高技术中高技术中低技术低技术(1)(2)(3)(4)deregit*postit0.044 19**0.052 64**0.025 42-0.018 61(2.42)(2.43)(1.29)(-1.04)控制变量是是是是城市固定效应是是是是年份固定效应是是是是Adj R20.953 30.911 10.925 20.924 8样本量3 5233 5233 5233 523
上述分析表明,市场准入管制放松引发不同技术密集度新企业生产选址决策差异化,那对于原有企业有什么影响?引发新企业生产选址决策的行为动机是什么?解答这些问题能够深入了解负面清单模式下的市场准入管制放松对企业地区集聚的影响。理论上,市场管制放松降低了企业进入门槛,造成市场竞争加剧,可能会减少原有企业经营利润。但较高技术密集度企业可以依靠该行业的技术壁垒,通过提高产品质量与提供差异化功能获得垄断利润,且企业技术密度越高,利润空间越大[37]。为此,本文构建模型(7)进行验证。
TobinQijt=α0+α1deregit*postit+α2Xit+μi+δt+εijt
(7)
其中,TobinQijt为城市i不同技术密集度行业j第t年企业绩效(采用行业企业TobinQ进行测度)。表6结果显示,列(1)(2)的交互项deregit*postit系数显著为正,列(3)(4)的系数不显著,说明负面清单模式下市场准入管制放松能显著提升高技术、中高企业绩效。这验证了前述理论,即在市场竞争加剧的情况下,技术密集度较高的原有企业仍然能够凭借行业高技术壁垒持续获得垄断利润。因此,拥有高技术密集度的新企业会源源不断进入当地市场,为地区经济高质量发展持续注入内生动力和创新活力。
表6 企业生产选址动因结果
Table 6 Profit performance assessment results of enterprises' production location selection
变量高技术中高技术中低技术低技术(1)(2)(3)(4)deregit*postit2.130 5**0.959 83*0.068 19-0.099 07(2.09)(1.76)(0.19)(-0.54)控制变量是是是是城市固定效应是是是是年份固定效应是是是是Adj R20.871 60.619 30.276 90.365 0样本量3 2843 2843 2843 284
创新的行业与地区集聚已成为当前全球创新活动的典型特征。面对新一轮科技革命和产业变革,构建高水平社会主义市场经济体制、进一步提升本地化创新能力是实现我国从“创新大国”向“创新强国”转变的关键所在。本文以市场准入负面清单制度为切入点,探讨市场准入管制放松对本地化创新能力的影响及作用机制。研究表明:基于行业制定和调整的市场准入负面清单制度自实施后,市场准入管制放松显著提升本地化行业创新能力,且该结论具有较强稳健性。机制检验表明,从行业层面,市场准入管制放松能够通过促进行业企业进入并强化市场行业竞争提升本地化行业创新能力;从区域层面,市场准入管制放松能够加快研发人员与资本流动、促进知识溢出,从而提升本地化行业创新能力。异质性检验表明,在市场准入管制较为严格的服务业以及在市场一体化程度较低、资源要素流动不够充分的非五大城市群地区,市场准入管制放松对本地化行业创新能力的提升效应更明显。拓展性分析市场管制放松对地区本地化创新集聚的影响效应,结果发现,负面清单模式下的市场准入管制放松引发不同技术密集度企业生产选址决策的差异化,在攫取创新垄断利润的诱惑下,对地区本地化创新集聚的影响表现为促进高技术、中高技术企业集聚的“增量提质”效应。
本文研究具有以下政策启示:第一,持续加大市场准入管理制度建设,落实各职能部门责任,加强市场准入管制监督和实施效果评估,不断探索适合本地区各行业发展的市场准入管制范围。第二,进一步发挥市场在资源配置中的决定性作用,加速全国统一大市场建设,规范地方政府行为,减少地方行政保护,厘清政府与市场的资源配置边界,为市场主体营造公平有序、规范统一的制度环境。第三,在全国统一监督管理的前提下,探索适合不同行业发展的市场准入标准并精准对接各地方相关部门,同时,以市场准入管制负面清单制度为引导,加速城市群、都市圈建设,依托城市群、都市圈构建区域经济一体化格局。第四,作为建设我国高水平社会主义市场经济体制的一项重大制度创新,负面清单模式有利于营造更加公平、更有活力的市场环境,为地区本地化创新集聚带来“增量提质”效应,进一步激发地区内生动力和创新活力,从而实现高水平创新驱动经济高质量发展。
[1] 郑江淮,师磊.本地化创新能力、区域创新高地与产业地理梯度演化路径[J].中国工业经济,2023,41(5):43-60.
[2] 刘志彪.全国统一大市场[J].经济研究,2022,68(5):13-22.
[3] CHATTERGOON B,W R KERR. Winner takes all? tech clusters,population centers and the spatial transformation of U.S.invention[J]. Research Policy,2022,51(2): 1-8.
[4] BERLIANT,M R REED,P WANG.Knowledge exchange,matching and agglomeration[J]. Journal of Urban Economics,2006,60(1): 69-95.
[5] ASCANI A,L BETTARELLI,L RESMINI,et al.GLOBAL networks,local specialisation and regional patterns of innovation[J].Research Policy,2020,49(8): 104-131.
[6] 陈劲,邱嘉铭,沈海华.技术学习对企业创新绩效的影响因素分析[J].科学学研究,2007,25(6):1223-1232.
[7] 王慧艳,李新运,徐银良.科技创新驱动我国经济高质量发展绩效评价及影响因素研究[J].经济学家,2019,31(11):64-74.
[8] 安同良,魏婕,姜舸.基于复杂网络的中国企业互联式创新[J].中国社会科学,2023,44(10):24-43,204-205.
[9] 吕越,陈泳昌,张昊天,等.电商平台与制造业企业创新——兼论数字经济和实体经济深度融合的创新驱动路径[J].经济研究,2023,58(8):174-190.
[10] CAO Z,DERUDDER B,DAI L,et al. 'Buzz-and-pipeline' dynamics in Chinese science: the impact of interurban collaboration linkages on cities' innovation capacity[J]. Regional Studies,2022,56(2): 290-306.
[11] 欧阳娟,唐开翼,任浩,等.数字化如何赋能区域创新效率提升——基于创新网络的作用机制[J].科技进步与对策,2025,42(2):40-50.
[12] 雷卓骏,黄凌云,张宽.市场准入管制放松与城乡收入差距[J].财贸经济,2023,44(5):144-160.
[13] 冉明东,何如桢,王成龙.市场准入管制放松对企业效率的影响——基于《市场准入负面清单》动态调整的研究[J].财政研究,2023,44(5):116-129.
[14] 陈升,李兆洋,唐雲.清单治理的创新:市场准入负面清单制度[J].中国行政管理,2020,36(4):95-101.
[15] 王雄元,徐晶.放松市场准入管制提高了企业投资效率吗——基于“市场准入负面清单”试点的准自然实验[J].金融研究,2022,44(9):169-187.
[16] 张宽,雷卓骏,李后建.市场准入管制与企业全要素生产率:来自负面清单的证据[J].世界经济,2023,46(5):152-176.
[17] 周志方,韩尚杰,程序.市场准入管制放松与企业创新——基于“市场准入负面清单制度”试点的准自然实验[J].财经研究,2023,49(11):125-139.
[18] 雷卓骏,刘晔.制度创新何以赋能区域创新:来自市场准入负面清单模式的证据[J].中国软科学,2024,39(9):113-123.
[19] KLINE PATRICK,MORETTI ENRICO.Local economic development,agglomeration economies,and the big push: 100 years of evidence from the Tennessee Valley Authority[J].CEPR Discussion Papers,2014,129(1): 275-331.
[20] KOGLER D F,R B DAVIES,C LEE,et al.Regional knowledge spaces:the interplay of entry-relatedness and entry-potential for technological change and growth[J]. Journal of Technology Transfer,2022,20: 1-24.
[21] PAGE L,BRIN S,MOTWANI R,et al.The pagerank citation ranking:bringing order to the web[R].Stanford:Stanford Digital Libraries Working Paper,1998.
[22] BERRONE P,FOSFURI A,GELABERT L,et al.Necessity as the mother of 'green' inventions:institutional pressures and environmental innovations[J]. Strategic Management Journal,2013,34(8): 891-909.
[23] ACEMOGLU D,CAO D. Innovation by entrants and incumbents[J]. Journal of Economic Theory,2015,157: 255-294.
[24] DHINGRA S,MORROW J. Monopolistic competition and optimum product diversity under firm heterogeneity[J]. Journal of Political Economy,2019,127(1):196-232.
[25] 尹恒,张子尧.产品市场扭曲与资源配置效率:异质性企业加成率视角[J].经济研究,2021,56(11):119-137.
[26] 白俊红,王钺,蒋伏心,等.研发要素流动、空间知识溢出与经济增长[J].经济研究,2017,52(7):109-123.
[27] AGHION P,HARRIS C,HOWITT P,et al. Competition,imitation and growth with step-by-step innovation[J]. Review of Economic Studies,2001,68(3): 467-492.
[28] 陈云贤.中国特色社会主义市场经济:有为政府+有效市场[J].经济研究,2019,54(1):4-19.
[29] 郭冠男.如何认识并全面实施市场准入负面清单制度[J].中国行政管理,2019,35(1):6-9.
[30] 丁如曦,刘梅,李东坤.多中心城市网络的区域经济协调发展驱动效应——以长江经济带为例[J].统计研究,2020,37(11):93-105.
[31] BECK T,LEVINE R,LEVKOV A. Big bad banks? the winners and losers from bank deregulation in the United States[J]. The Journal of Finance,2010,65(5): 1637-1667.
[32] DE CHAISEMARTIN C,D'HAULTFOEUILLE X. Two-way fixed effects estimators with heterogeneous treatment effects[J]. The American Economic Review,2020,56(9): 2964-2996.
[33] GOODMAN-BACON A.Difference-in-differences with variation in treatment timing[J]. Journal of Econometrics,2021,36(2):254-277.
[34] 孙晋云,白俊红,王钺.数字经济如何重塑我国区域创新格局——基于研发要素流动的视角[J].统计研究,2023,40(8):59-70.
[35] 李静,周美辰.数字经济发展对生产性服务业全球价值链韧性的影响[J].科技进步与对策,2024,41(7):60-71.
[36] 原磊,邹宗森.中国制造业出口企业是否存在绩效优势——基于不同产业类型的检验[J].财贸经济,2017,38(5):96-111.
[37] 黎文靖,郑曼妮.何去何从:贸易保护还是开放竞争——来自微观企业创新的证据[J].财经研究,2018,63(3):20-31.