知识溢出能否提升高技术产业创新链韧性

侯光文,田 丹

(西安邮电大学 经济与管理学院,陕西 西安 710061)

摘 要:高技术产业作为科技创新主阵地,具有显著的知识溢出、技术外溢特征。在复杂多变的国际环境下,知识溢出能否突破“小院高墙”壁垒、推动关键核心技术持续创新,成为高技术产业摆脱“低端锁定”面临的重要问题。探究高技术产业知识溢出对创新链韧性的影响,构建创新链韧性评价指标体系,利用2013-2022年中国内地30个省份高技术产业样本数据,采用熵权法对高技术产业创新链韧性进行综合测度。研究发现,知识溢出对高技术产业创新链韧性具有正向影响,主体协同发挥部分中介作用。从搭建多元化知识资源共享平台、强化主体协同机制和差异化配置创新资源等方面提出对策建议。

关键词:知识溢出;主体协同;高技术产业;创新链韧性

Can Knowledge Spillover Enhance the Resilience of High-Tech Industry Innovation Chain?

Hou Guangwen,Tian Dan

(School of Economics and Management,Xi 'an University of Posts and Telecommunications,Xi 'an 710061,China)

AbstractIndustry is an important carrier of development,and innovation is the first driving force for development.With the turbulent international environment and the increasing trend of internalization of the global industrial chain,China's industrial science and technology innovation is confronted with severe challenges,and the risk of decoupling and disrupting the industrial chain and innovation chain is increasing,which seriously restricts China's science and technology self-reliance.Therefore,improving the overall efficiency and resilience of the innovation chain is an important measure to promote industrial innovation and technological innovation and also a key link to accelerate the formation of new-quality productive forces and promote high-quality development.

The high-tech industry has become the main arena of scientific and technological innovation with its characteristics of high input,high output and high risk.In the process of innovation,the characteristics of knowledge spillover and technology spillover are obvious.The resilience of high-tech industry innovation chains is centered on the system's capacity to cope with and prevent disruptions caused by external environmental factors.This raises the question of whether knowledge spillovers can serve as a foundational knowledge resource to bolster the resilience of these chains.Specifically,can knowledge spillovers assist innovation entities in establishing a robust network of relationships,thereby optimizing resource allocation along the innovation chain and strengthening its capacity to respond to impacts when they occur?The existing research has not yet given a definite conclusion.

In order to explore the impact of knowledge spillover of high-tech industry on the resilience of innovation chain,this study adopts innovation chain resilience in high-tech industry as the dependent variable and constructs an evaluation index system of innovation chain resilience.Based on the sample data of high-tech industry in 30 provinces ( autonomous regions and municipalities ) in China from 2013 to 2022,the study employs the entropy weight method to assess the resilience of high-tech industry innovation chains across three dimensions:resistance capacity,recovery capacity,and transformation capacity.It encompasses four critical stages:innovation foundation preparation,innovation input,innovation output,and industrialization.To gauge the innovation foundation level,the study selects indicators such as innovation vitality and the level of industrial structure upgrading.The level of innovation investment is measured through R&D funding and personnel investment.Innovation output is assessed by the number of patent authorizations,knowledge flow,and new product sales revenue.Lastly,the industrialization level is measured by the proportion of operating income and the proportion of new product exports.

The research results show that knowledge spillover can have a positive impact on the innovation chain resilience of high-tech industries,and the main body synergy plays a partial mediating role.The regional heterogeneity test reveals that knowledge spillovers significantly influence the innovation chain resilience across China's regions,with positive impacts in the east,central,and west,and a negative impact in the northeast.According to the conclusion,this study believes that in order to improve the resilience of the high-tech industry innovation chain,on the one hand,it is necessary to build a diversified knowledge resource-sharing platform and build an open innovation ecology to give full play to the role of knowledge spillover.On the other hand,it is also necessary to strengthen the subject coordination mechanism to strengthen the network relationship of the innovation chain.In addition,it is also essential to consider the allocation of differentiated innovation factor resources,give full play to regional endowment advantages,and improve the resilience of the high-tech industry innovation chain.

Following innovation theory and resilience theory,this paper puts forward the concept of innovation chain resilience,and discusses the resilience and influence mechanism of innovation chain in high-tech industry.This paper integrates knowledge spillover and innovation chain resilience into the same research framework.While enriching the theoretical and empirical research on innovation chain resilience,it also considers the impact of regional heterogeneity and provides targeted suggestions for enhancing the resilience of high-tech industry innovation chain.

Key WordsKnowledge Spillover;Subject Collaboration;High-technology Industry ; Innovation Chain Resilience

DOI:10.6049/kjjbydc.2024070934

开放科学(资源服务)标识码(OSID):

中图分类号:F276.44;F49

文献标识码:A

文章编号:1001-7348(2025)22-0103-12

收稿日期:2024-07-31

修回日期:2024-10-21

基金项目:教育部人文社会科学研究一般规划基金项目(22YJA630027)

作者简介:侯光文(1979—),男,辽宁沈阳人,博士,西安邮电大学经济与管理学院副教授,研究方向为智慧管理;田丹(2001—),女,陕西商洛人,西安邮电大学经济与管理学院硕士研究生,研究方向为数字创新。

0 引言

高技术产业作为创新最活跃领域,不仅是国民经济的战略性先导产业,在世界科技创新竞争中也占据重要地位[1]。面对地缘政治风险、逆全球化等不确定性因素,一方面,我国产业链创新链发展面临“脱钩断链”“卡脖子”挑战,出现“创新孤岛效应”“创新绩效假象”,制约创新链效能提升;另一方面,一些高技术企业面临同质性竞争加剧和内生创新能力不足等问题,难以破解低端技术锁定困局,不利于攀升全球价值链创新链中高端环节。习近平总书记指出,“加强科技创新全链条部署、全领域布局,全面增强科技实力和创新能力”。提升创新链韧性不仅是实现高质量发展的重要保障,更是推动科技创新和产业创新融合发展的重要抓手。对于高技术产业而言,创新链韧性提升不仅是产业核心竞争力的重要体现,更是其持续发展的生命线。

高技术产业创新链韧性不仅强调产业创新活动连续性和效率,更强调面对挑战时创新系统的自适应和演化能力,体现为产业创新系统遭遇困境时能够迅速调整、恢复原来状态甚至实现转型升级。在创新系统运行过程中,创新主体协同与知识要素流动是影响系统效能的关键(史璐璐等,2020),也是影响高技术产业创新链韧性提升的重要因素。知识溢出作为高技术产业集群创新的重要衍生物,其产生的连锁效应、带动效应等能够促进集群企业以最大程度、最低成本、最短时间获取创新所需知识资源,促进产业技术交流和融合,从而提高创新产出[2]和创新链整体效能,为增强创新链韧性奠定资源基础。此外,创新链韧性提升也离不开创新主体关系网络[3]。创新链能够反映知识、技术在整个商业化过程中的演变趋势以及价值实现过程,而这需要不同环节创新主体协同合作[4]。创新主体能够在知识溢出过程中通过选择合作伙伴构建复杂关系网络,利用知识溢出效应[5]促进内外部创新资源快速流动和扩散,实现创新主体之间资源共享和优势互补,推动各环节无缝衔接和转化,提升创新链系统柔性,助力其转型升级。因此,深入研究知识溢出、主体协同与创新链韧性内在关系,并在其基础上提出可行性建议,对于高技术产业应对当前复杂多变的经济形势、实现高水平科技自立自强、推动经济高质量发展都具有重要的现实意义。

本文的边际贡献如下:①将知识溢出和高技术产业创新链韧性纳入同一研究框架,从产业层面揭示知识资源整合对创新链韧性的影响机理;②依托创新理论和韧性理论,提出创新链韧性概念,构建评价指标体系,基于高技术产业省际面板数据对创新链韧性进行测度,丰富创新链韧性理论和实证研究;③鉴于不同地区高技术产业创新链发展的差异性,为不同区域高技术产业创新链韧性提升提供针对性建议。

1 文献综述

1.1 知识溢出

知识溢出由知识创造的外部性所致,是新知识新技术无意识地从内部向外部扩散的过程[6]。由于知识具有非竞争性和部分排他性特征,在知识溢出效应下,一些企业可以在支出成本为零的情况下借助人才流动、商品应用、研发合作等途径,从其它企业创新活动中受益[7]。在创新知识从知识溢出方流向接收方,而接收方在进行消化吸收后产生新知识并流回溢出方的过程中,知识溢出的流动效应和竞争效应使得创新资源获得高效匹配与优化,而知识溢出的模仿效应和集聚效应使得接收者能够以较低成本及风险实现更多产出。此外,知识溢出的带动效应和循环效应有助于落后方搭上先进溢出者的“便车”,扩展知识溢出池,进而提升整体创新水平[8]

现有研究多聚焦知识溢出与创新活动或创新绩效关系分析。知识溢出在创新过程中促进技术进步与扩散[9],在丰富创新资源的同时不断改善内部知识环境,降低创新成本和风险(原毅军,2020)。然而,知识溢出对创新具有抑制作用(苏屹等,2021),这是因为过度的知识溢出可能导致产品同质化,抑制企业创新积极性[8]。此外,也有学者基于不同理论角度对知识溢出效应进行探讨。部分学者结合新经济地理学,从空间角度对知识溢出的空间邻近性(Obschonka,2023)以及区域产业集聚产生的知识溢出效应[9]进行研究;也有学者结合社会网络理论,认为知识溢出催生各具特色的创新网络体系,进而产生显著的协同创新效应(Dai,2023)。

随着知识溢出研究的不断深入,有学者发现知识溢出多发生于产业集聚。高技术产业作为技术密集型产业,具备智力性、创新性,是产生知识溢出效应的重要聚集地。如华为作为行业翘楚,其深圳总部的坂田基地汇聚大量高科技企业和研发机构,这种产业集聚不仅有利于华为内部技术迭代与创新,而且通过频繁交流与合作,促进新知识、新技术外溢至周边企业,带动整个区域技术进步和产业升级。因而,有学者基于产业集聚角度对知识溢出效应进行研究,并从专业化和多样化角度进行细分,指出专业化和多样化集聚都能为知识创造与扩散提供正外部性[10]。其中,专业化效应主要关注同产业内技术相同或相似企业间的知识溢出。一方面,专业化知识溢出通过领域内知识积累和技术进步,促进创新思想传播与扩散,强化知识竞争效应[11],加速企业专业化水平提高和技术更新迭代,拓展高技术产业知识创造和积累深度,为创新链活动提供坚实基础;另一方面,专业化知识溢出有利于形成同行业信息交流网络,减少创新链上参与主体信息不对称性[9],降低信息获取成本,从而提升企业创新效率。多样化效应则侧重不同企业间的差异性和多样化,多样化知识溢出能够通过引入不同领域的知识资源,促进创新思想和先进技术交流与融合,为创新链研发活动带来更丰富的创新资源和更广阔的创新空间,从而加快企业技术升级,扩大产业内知识创新和积累广度,有利于创新链面对挑战时能够灵活调整和优化,推动产业创新链上主体持续创新。

1.2 主体协同

随着创新复杂性和风险性增大,单一领域或单一主体难以满足创新所需资源,创新日益呈现出多领域、多主体合作等特征。因此,提升自主创新能力,解决创新与应用“两张皮”问题的关键在于各创新主体通过协同形成产学研联盟[12]

作为创新体系的重要组成部分(Stojcic,2020),创新主体协同也是构建完整可靠的创新链和提升创新链整体效能的关键。对于知识、技术及创新要素密集的高技术产业而言,技术创新是维系创新链效能的核心动力,产学研合作则是有效缓解技术创新风险与不确定性的关键策略。目前,创新主体协同的研究多聚焦产学研主体的协同创新。学者们多从内涵概念、影响因素等方面对产学研主体协同创新进行探究。在内涵概念方面,如Meng等[13]认为,产学研协同是异构组织之间为达成合作目标,维持各主体联系而进行的认知活动。各主体之间加强沟通,有助于促进知识信息传递与交换,并建立长期稳定的信任关系。从知识流角度,产学研协同创新体系建立是一种制度安排[14],是通过各创新主体的知识获取、转移、应用和反馈,推动知识共享、转移和创造的过程[15]。此外,还有学者基于企业角度探讨产学研协同,认为产学研协同创新是以企业为主导,为实现各主体共同参与、共担风险和共享利益,通过整合产学研各方优势资源,将合作研发成果付诸实践而进行的知识共享、知识创造和知识应用的协同创新活动(原长虹等,2019),或者将协同创新看作多元主体进行资源整合和深入合作,从而产生系统叠加效用的创新组织模式[15]。在产学研主体影响因素研究中,学者们多从社会资本、社会网络和创新网络等理论视角切入,着重探究利益分配(贺一堂等,2020)、主体异质性(董津津等,2022)、创新网络特征(Wang等,2024)等对创新绩效的影响;基于开放式创新理论、竞合理论等视角,重点研究创新主体互动关系(Pan等,2022)及演化过程(Yin等,2021)。

基于以上研究,本文认为创新链协同主要指政产学研各主体协同,是企业与高校、科研机构在政府的支持下进行合作,构建关系网络,以实现创新要素流动互补、利益共享以及价值转化的过程[12]。在创新链系统中,企业作为创新主体,能够通过建立联盟、合作项目等方式与其他主体建立信任关系,从而影响创新绩效[16];高校、科研机构作为知识创造和人才培育载体[17],拥有丰富的知识基础、优秀的人才团队以及先进的科研设备,能够利用自身技术和人才优势推动知识创造与技术创新;而政府通过搭建协同创新服务平台、出台各种法规制度[17],清除创新障碍,从而营造良好的创新环境,服务于链上其他创新主体。

1.3 高技术产业创新链韧性

在全球竞争中,创新角逐的核心是创新链博弈。高技术产业作为创新最活跃的领域,其发展水平对国民经济至关重要[18]。高技术产业创新具有多投入、多产出、高风险等特点,创新链各节点相互影响、环环相扣,当某个节点出现问题时,可能导致整体断裂。因此,增强创新链韧性,形成应对冲击的抵抗能力、快速适应并调整至冲击前状态的恢复能力甚至借机实现跃升的转型能力,对于高技术产业创新水平和竞争力提升尤为重要。然而,面对创新链断裂以及创新链协同发展等困境,合理利用知识溢出、加强创新主体协同无疑是解决问题的关键。充分发挥知识溢出效应,加强创新主体协同合作,有助于外部环境变化时各创新环节保持紧密衔接和有效运行,从而应对由于区域性制度分割和要素配置孤岛化等因素导致的韧性治理挑战。因此,强化知识溢出效应和创新主体协同等是推进产业创新[19]、提升高技术产业创新链韧性的重要途径。

学术界在创新链概念特征(Tilahun等,2022)、过程结构(梁丽娜等,2022)以及测度方法(林润辉等,2022)等方面已取得丰富成果,随着研究深入,创新链与产业链等其它链条关系(王雪原等,2023)也受到广泛关注。由于创新链与产业链深度耦合,其发展过程也呈现出复杂的协同作用和持续演进特征(曲冠楠等,2023);Hu等[20]指出,创新链与产业链、服务链的整合有利于持续创新,促进产业高质量发展。

“韧性”一词广泛存在于系统研究中,通常被认为是面对挑战、压力或变化时,系统、组织或个人迅速适应、恢复并持续发展的能力。从演化视角,韧性反映了不断变化的动态过程,而创新链同样适用于韧性思想。在创新链韧性研究中,有学者注意到创新链风险防范问题。如陈云等[21]认为,高质量创新链需具备风险韧性,包括风险耐受力和风险修复力,要提升创新链韧性,需要统筹风险治理、风险应急,它们构成创新链风险管理“三角形”,即一方面要在重点产业领域健全创新链,提升创新链坚固性和管理能力,另一方面要增强创新链技术储备能力和创新资源整体动员能力;张慧等[1]指出,创新链韧性体现创新系统面对冲击时积极应对以及减轻负面影响并快速恢复的能力。基于已有研究,本文认为创新链韧性强调从研发到市场应用整个创新过程中的稳定性和可持续性,要求面对技术变革、市场需求变化等挑战时保持持续的创新能力和敏锐的市场洞察力,强调企业内外部创新资源整合以及通过产学研合作、技术创新联盟等方式推动创新链协同发展。

综上所述,关于创新链与韧性的研究不断深入,但对于创新链韧性的探讨相对缺乏。由于创新链研究多围绕产业链进行探讨,因此本文尝试借鉴学者们对产业链韧性的定义[22],将高技术产业创新链韧性定义为高技术产业创新链在应对外部冲击、环境变化时,快速维持创新链稳定、通过调整适应快速恢复至受冲击前状态,甚至实现链条升级的能力。创新链韧性主要表现为创新链抵抗能力、恢复能力以及转型能力。其中,创新链抵抗能力是指创新链在面对市场变动、技术变革、政策调整等内外部风险时,能够保持其基本结构和运行机制稳定,该能力要求创新链各环节具备足够的弹性和适应性,以应对可能出现的各种不确定性;恢复能力则是指当创新链受到冲击并出现暂时性中断或紊乱时能够迅速恢复至正常状态,包括修复受损环节、重新配置资源、调整创新策略等,以确保创新活动连续性和效率;转型能力是指当高技术产业创新链面对重大技术变革、市场变化或政策调整时,能够主动调整其战略方向、业务结构和运营模式,促进创新链实现整体转型和升级。在面对外部冲击扰动时,创新链抵抗能力、恢复能力共同作用,并带动转型能力发挥效用,3种能力共同决定创新链韧性水平。

2 理论分析和研究假设

2.1 知识溢出对高技术产业创新链韧性的影响

知识溢出作为创新活动的衍生物,可以通过人力资本和知识流动产生正向经济效应[23],提升产业创新链韧性。

首先,知识溢出有利于知识资源聚集,促进创新资源扩散和高效配置。知识溢出是知识传播和扩散的重要方式,随着知识规模扩大和知识种类日渐丰富,创新链各主体吸收能力和知识创造能力不断增强[24]。其中,专业化知识溢出有助于拓展产业知识创新和积累深度,推动企业技术专业化程度提升;多样化知识溢出则有助于拓展知识创造和积累广度[9],促进产业技术交叉融合。在专业化溢出和多样化溢出的共同作用下,知识溢出能为创新链集聚丰富的知识资源,推动技术持续创新,从而增强创新链研发、成果转化以及产业化环节面对外部冲击时的稳定性。同时,知识溢出有助于打破高技术产业创新链中不同主体间知识壁垒,促进多领域、多主体交流与合作,推动创新资源优化配置和知识扩散[8],实现产业内企业技术升级和产品更新。

其次,知识溢出有助于促进知识、信息、技术等要素的低成本扩散,通过模仿效应、集聚效应降低创新成本与创新风险[8]。换而言之,知识溢出有助于节省不同领域、不同主体的资源获取成本与时间,便于企业根据市场需求和技术趋势调整研发方向、投入资源,自由进入或退出市场,降低创新成本。此外,知识溢出带来的连锁效应、带动效应、交流效应和激励效应等[9]在一定程度上可以缩短产业间技术距离,加强企业、研究机构、政府等创新主体之间的紧密联系,形成相互依存、相互促进的创新网络和创新生态,为高技术产业提供良好的创新环境,提高创新链从研发到产业化过程中的多样性和灵活性,有效防范创新链断链风险。

综上,知识溢出一方面可以利用其专业化溢出效应和多样化溢出效应,促进高技术产业内知识资源集聚和优化配置,推动创新链上知识扩散和技术创新,增强创新链稳定性;另一方面能够通过提高经济性降低创新链上企业知识获取成本和创新风险。此外,知识溢出可以加强产业创新链上主体联系,推动良好创新生态形成和发展,提升创新链抵抗能力。基于以上分析,本文提出假设:

H1:知识溢出对高技术产业创新链韧性具有正向影响。

2.2 主体协同的中介作用

创新过程不仅需要创新资源和要素投入,同时,也需要企业、研究机构、政府和中介机构等多主体协同合作[25]。创新链发展是借助创新主体的价值连接和协同合作关系[26],通过多阶段的有序转化、多主体的交互协作、多节点的顺畅衔接,实现“科学-技术-生产”高效运行的过程(史璐璐等,2020)。因而,加强创新链主体联系、建立合作关系有助于创新链主体间知识流动和创新绩效提升(Yin,2021),而知识溢出通过主体间协同,在实现资源快速扩散的同时也促使创新活力不断迸发,进而提升产业创新链韧性。

在知识来源广泛分布、技术快速迭代的新兴领域,知识溢出通过模仿效应和带动效应加强创新主体联系,推动关系网络构建,促进创新主体协同创新[27]。一方面,知识溢出可以集聚大量知识资源,产生虹吸效应[28],促进创新主体进行资源共享和创新协同;另一方面,知识溢出的外部性带来知识和技术扩散,有助于降低高技术产业创新链上各主体资源获取成本[29],促进创新主体协同合作。

创新主体协同体现了创新系统内各组织要素间的交互关系[29],主体协同对于创新链发展至关重要。首先,主体间资源协同可以有效促进知识传播和共享,使得原本碎片化的知识资源得以整合和系统化,创新参与者借助协同关系获取互补性资源,降低投资成本,从而有利于发挥各自优势,加速科学发现、技术发明以及成果转化(庄涛等,2021),提升创新链韧性。其次,创新链上的创新协同有助于推动深层次合作关系建立和协作网络构建,进一步提升创新绩效[30]。企业通过建立战略联盟、开展项目合作等方式连接不同创新主体,建立长期稳定的连接关系[16]和协同网络[31],形成以企业为主体的协同创新框架(原长虹等,2019),促进思想的碰撞,为创新链发展提供持续动力。同时,创新主体协同框架搭建也有利于营造更加开放、包容、合作的创新生态环境,增强创新链韧性和竞争力。最后,创新主体通过责任共担来降低创新活动中各类风险,推动协同创新[32]

高技术产业技术创新具有高投入、高风险和高不确定性,面对创新风险和挑战,知识溢出有助于促使多方主体形成共生耦合关系,有效发挥各方资源禀赋优势,通过“看中学”“干中学”等方式,在知识结构、共享程度、转移效率和渠道等方面提升协同创新能力。各主体共同承担风险和责任,共享创新收益,从而降低创新不确定性,提升创新链稳定性和韧性。主体协同在高技术产业知识溢出影响创新链韧性过程中发挥重要的中介作用,具体体现在以下方面:一是知识溢出带来资源集聚,有助于促进创新主体资源协同,提升资源配置效率,降低创新资源获取成本,进而提升创新链韧性;二是知识溢出带来的创新资源能够促使创新主体加强联系,构建创新网络和创新生态,通过创新协同提高链上创新效率和创新水平,进而增强创新链韧性;三是知识溢出的经济效应能够促使创新主体在面对外部风险时共担责任、共享利益,通过协同降低外部不确定性对创新链的影响,提升创新链抗风险能力。换而言之,知识溢出通过创新主体在资源、效率以及风险化解方面的协同,间接强化创新链韧性,为高技术产业持续创新和发展提供有力保障。基于以上分析,本文提出假设:

H2:知识溢出对创新主体协同具有正向影响。

H3:主体协同对高技术产业创新链韧性具有正向影响。

H4:主体协同在知识溢出与高技术产业创新链韧性关系中存在中介作用。

综上,本文构建知识溢出、主体协同以及创新链韧性关系的理论模型,如图1所示。

图1 知识溢出、主体协同与创新链韧性理论模型

Fig.1 Theoretical model of knowledge spillover,subject collaboration and innovation chain resilience

3 研究设计

3.1 变量选取

3.1.1 高技术产业创新链韧性

本文选取高技术产业创新链韧性(Innovation Chain Resilience)作为被解释变量。本文认为高技术产业创新链韧性同样注重产业系统面对外部冲击时的应对能力、受到冲击后的恢复能力以及优化调整并实现跃升的转型能力,可类比产业链韧性测度[33]。具体为,在创新链起步阶段,资源基础和要素投入是科学产生与发展的前提[25],产业基础和创新投入能够体现产业创新链稳定性,产业创新活力和产业结构升级水平为产业创新链提供外部环境支持,而资金和人才则为创新链发展提供内部资源支撑,从而提升产业抵抗能力[33]。研发形成的创新产出在中期能够产生辐射作用,其中,专利授权数反映产业创新水平,知识流动影响产业创新能力,新产品销售额是市场消费能力和创新能力双重作用的结果[1],产业知识转移和交流有利于创新链在面对外部冲击时及时调整和修复;产业化能力则彰显创新链上科学和知识工程化、产品商业化和市场化特征[25],营业收入反映创新成果盈利能力,而新产品出口占比则在一定程度上反映新产品国际竞争力,体现创新链可持续发展和优化转型能力。

概括来说,本文参考张慧等[1]构建的创新链韧性评估指标,利用熵权法从抵抗能力、恢复能力以及转型能力3个角度对高技术产业创新链韧性进行测度,具体涵盖创新基础准备、创新投入、创新产出以及产业化4个阶段。其中,选取创新活力和产业结构升级水平测度创新基础水平;选取研发资金投入和人员投入测度创新投入水平;选取专利授权数、知识流动以及新产品销售收入测度创新产出;选取营业收入占比和新产品出口占比测度产业化水平。具体指标及说明见表1。

表1 创新链韧性测度指标

Table 1 Measurement indicators of innovation chain resilience

一级指标二级指标三级指标指标计算单位指标属性抵抗力创新基础创新活力高技术产业企业数个正向指标产业结构升级水平第三产业增加值占GDP比重%正向指标创新投入资金投入高技术产业研发投入/高技术产业主营业务收入%正向指标人员投入高技术产业R&D人员全时当量人年正向指标恢复力创新产出专利授权数高技术产业有效发明专利数量件正向指标知识流动高技术产业技术市场成交额亿元正向指标新产品销售收入高技术产业新产品销售收入亿元正向指标转型力产业化营业收入占比高技术产业主营业务收入/地区GDP%正向指标新产品出口占比高技术产业新产品出口额/货物总出口额%正向指标

利用熵权法对创新链韧性进行测算,测算步骤如下:

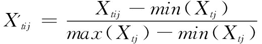
(1)构建原始数据矩阵X=(Xtij)m×n,其中,n表示省域数量,m表示指标个数,Xtij表示t年第i个省域第j项指标的原始值。

(2)对样本数据进行标准化处理,本文所选指标中不存在负向指标,故对指标只采用正向标准化处理。正向标准化公式如下:

(1)

其中,X'tij表示标准化数值。

(3)计算各指标信息熵和差异系数,计算第 i个省域第j个指标的比重 Atij,即:

(2)

计算j项指标熵值Ej 和信息效用值 Gj,即:

(3)

Gj=1-Ej

(4)

(4)计算各指标权重Wj,即:

(5)

(5)依据指标权重测算创新链韧性,得到各省域高技术产业创新链韧性值,即:

(6)

3.1.2 知识溢出

本文将知识溢出(Knowledge Spillover)作为解释变量。对于知识溢出,学者们多从知识产出角度借助专利引用(Buzard,2020)进行测度,或从产业集聚角度对专业化溢出效应和多样化溢出效应进行衡量。本文借鉴何雄浪和王舒然[10]的研究方法,利用专业化指数和多样化指数对知识溢出进行测算,并利用熵权法对其加权,从整体对高技术产业知识溢出效应进行测度。

专业化指数(Spec)一般用于测度产业专业化集聚带来的知识溢出,通常采用GDP或产业增加值占比,抑或借助地区分行业研究人员数占地区就业人员数的比重测度,是i地区所有产业胡佛区位熵的加权平均数,测度的是产业层面的专业化知识溢出效应。其计算方式如下:

(7)

其中,Specij 是利用从业人员数测度 i地区 j产业的胡佛区位熵,表示i地区j 产业从业人员占全国所有产业从业人员数的比重,Eij表示i地区j产业的从业人数。Spec的数值越大,说明该区域产业专业化程度越高,知识溢出效应越显著。

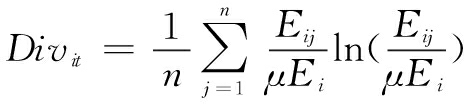
多样化指数(Div)用于测度产业多样化集聚带来的知识溢出,本文借鉴何雄浪和王舒然[10]的方法测度多样化溢出指数。其测度方法如下:

(8)

其中,uEi为地区所有产业平均从业人员总数。Div值越大,说明地区内该产业与其它相关产业的分散度越高,产业链前后向联系的相关产业互动性越强,差异化知识越丰富,越有利于知识积累与扩散[22]

3.1.3 主体协同

本文将主体协同(Subject Coordination)作为中介变量。对于创新主体协同创新的测度,学术界多通过构建协同度评价模型进行分析,其中使用较多的代表性模型包括复合协同度模型[12]和耦合协调度模型[17]。本文参考肖振红和李炎[12]的研究方法,构建耦合协同度模型,分析其在知识溢出与高技术产业创新链韧性之间的中介作用。结合肖振红和李炎[12]的研究,本文认为高技术产业主体协同涵盖企业内部和外部两个子系统。对于内部系统,选取研发人员、研发经费、新产品开发经费支出、技术引进以及改造支出进行测度;对于外部创新系统,则选取研发机构数量、高校数量、机构人员数、机构经费支出以及政府投资进行测度。具体测度指标见表2。

表2 主体协同测度指标

Table 2 Indicators of subject collaboration

变量名称具体指标测度指标说明单位指标属性内部创新主体S1(企业)内部研发人员高技术产业中企业内部研发人员数量人正向指标内部研发经费高技术产业中企业为实施R&D活动而实际发生的全部费用亿元正向指标新产品开发经费支出报告年度内企业科技活动经费内部支出中用于新产品研究开发的费用亿元正向指标技术引进及改造支出高技术产业企业引进境外技术、购买境内技术、技术改造以及消化吸收产生的费用亿元正向指标主体协同SC外部创新主体S2(高校、政府、科研机构等)研发机构数量区域高技术企业拥有的研究开发机构数量家正向指标高校数量区域高校数量所正向指标机构人员数区域高技术企业拥有的研究与开发机构人员数量人正向指标机构经费支出区域高技术企业的研究与开发机构经费支出亿元正向指标政府投资研发经费中政府投入资金亿元正向指标

首先,构建高技术产业复合系统,具体包括高技术产业企业内部子系统S1,外部子系统(科研机构、高校和政府等)S2,即S=f(S1,S2)。其次,使用熵值法对两个系统的指标权重进行确定。最后,在完成熵值法赋值后,对主体协同发展指数进行测度。

3.1.4 控制变量

本文选择实物资本投入(PCI)、创新氛围(IC)以及市场化指数(MI)作为控制变量。实物资本投入通常通过“直接支持”“间接维护”等方式对创新链韧性产生影响,本文采用固定资产投资总额与地区生产总值的比值表征实物资本投入。良好的创新氛围有助于创新链主体间产生更多知识溢出效应,提升创新链韧性,故本文使用各地区有研发活动的企业数占产业内所有企业数的比重衡量创新氛围。市场化指数反映地区市场化发展水平和程度,能够在区域层面对创新链韧性产生一定影响。具体变量说明见表3。

表3 变量说明

Table 3 Description of variables

变量类型变量名称变量符号变量取值或说明被解释变量创新链韧性ICR由测度指标计算得到核心解释变量知识溢出KS专业化指数和多样化指数中介变量主体协同SC耦合协调度模型控制变量实物资本投入PCI固定资产投资总额/地区生产总值创新氛围IC有研发活动的企业数/所有企业数市场化指数MI地区市场化指数

3.2 模型设定

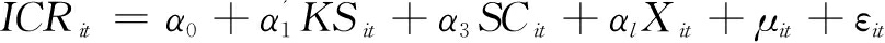
本文以理论模型为基础,检验知识溢出对创新链韧性的影响。为分析知识溢出对创新链韧性的影响,建立基准模型如式(9)所示:

ICRit=α0+α1KSit+αlXit+μit+εit

(9)

式中,i表示省份;t表示年份;ICRiti省份第t年的创新链韧性;KSiti省份第t年的知识溢出效应;Xit表示i省份第t年的各种控制变量;αi为回归系数;μit为时间固定效应,控制被解释变量随时间变化的趋势以及宏观因素的影响; εit为随机扰动项。

由前文假设可知,主体协同是知识溢出影响创新链韧性的重要传导机制。为进一步探究主体协同的中介效应是否存在,在式(9)的基础上,构建如下中介效应模型:

SCit=α0+α2KSit+αlXit+μit+εit

(10)

(11)

其中,SCiti省份第t年的主体协同度,其他变量含义同式(9)。若α2显著,则表示知识溢出能够影响主体协同。在此基础上,若同时显著且的绝对值小于α1的绝对值,说明主体协同在知识溢出与创新链韧性之间发挥部分中介作用;若α3显著,但不显著,则表示主体协同发挥完全中介作用。

3.3 数据说明

本文数据主要来源于 2013—2022年的《中国高技术产业统计年鉴》《中国科技统计年鉴》《中国统计年鉴》以及中国市场化指数库。由于 2017 年《中国高技术产业统计年鉴》数据缺失,本文将机构经费支出、新产品出口额的缺失值填补为0,机构人员取近一年变量数值,主营业务收入缺失数据取左右相邻年份数据的算术平均值。整理后的数据范围为 2013—2022年中国内地30个省域(西藏数据缺失,未纳入统计)的面板数据。考虑到变量之间可能存在多重共线性,本文进行方差膨胀因子 (VIF)检验,具体检验结果如表4所示。数据显示,各变量的VIF值均小于10,说明变量间不存在严重的多重共线性问题。

表4 各变量描述性统计和多重共线性检验结果

Table 4 Descriptive statistics and multicollinearity test results of variables

变量均值标准差最小值最大值样本数VIF1/VIFICR0.0310.0370.0000.263300--KS0.0700.1560.0050.9483003.2000.312SC0.1840.1480.0070.9553006.7500.148IC0.4690.1340.1110.8083001.1700.851PCI0.7580.2980.0621.4803001.2000.832MI8.3521.8823.58012.8643003.7900.264

4 实证分析

4.1 平稳性检验和协整检验

为防止出现伪回归问题,对数据平稳性进行检验。首先,借助LLC检验和IPS检验对变量进行单位根检验,数据在1阶差分后均通过1%水平下的显著性检验。然后,利用Pedroni和Westerlund对所有变量进行协整检验,结果显示,拒绝原假设,说明各变量之间存在长期稳定的均衡关系。

4.2 知识溢出对创新链韧性的总效应

通过Hausman检验,本文选择固定效应面板模型进行回归,结果如表5所示。列(1)为只有单一变量知识溢出的固定效应回归结果,在此基础上逐步加入控制变量以验证假设。结果显示,知识溢出系数均显著为正,表明知识溢出对创新链韧性有显著正向影响,且结果稳健,故研究假设H1得证。

表5 知识溢出对高技术产业创新链韧性影响的实证检验结果

Table 5 Empirical test results of the impact of knowledge spillover on the resilience of innovation chain in high-tech industries

变量ICR固定效应(1)(2)(3)(4)KS0.187***0.186***0.177***0.158***(0.0000)(0.0000)(0.0000)(0.0000)IC0.045***0.036***0.011(0.0001)(0.0011)(0.1188)PCI-0.022***-0.001(0.0000)(0.7724)MI0.008***(0.0000)Cons0.008**-0.0080.013*-0.054***(0.0127)(0.1192)(0.0517)(0.0000)时间固定YESYESYESYESN300300300300adj.R20.6630.6830.7040.822

注:括号内数值为标准误; * 表示p <0.1,** 表示p <0.05,***表示 p <0.01,下同

4.3 主体协同的中介效应

为验证主体协同在知识溢出与创新链韧性之间发挥的中介作用,采取式(9)~(11)组成的中介效应模型进行检验,检验结果如表6所示。其中,列(1)为知识溢出对创新链韧性的影响,列(2)(3)分别为公式(10)(11)的检验结果。列(2)结果显示,知识溢出对主体协同有显著正向影响,故研究假设H2得证;列(3)检验在控制中介变量的条件下知识溢出对创新链韧性的影响,同时,检验主体协同对创新链韧性的影响。结果显示,主体协同对创新链韧性有显著促进作用,故研究假设H3得证。在控制主体协同中介变量后,知识溢出对创新链韧性的影响在统计学上显著,说明主体协同在两者之间存在部分中介作用,即研究假设H4得证。

表6 中介效应模型检验结果

Table 6 Test results of the mediating effect model

变量ICRSCICR(1)(2)(3)KS0.158***0.530***0.060***(0.0000)(0.0000)(0.0000)IC0.0110.070**-0.002(0.1188)(0.0204)(0.6167)PCI-0.0010.034***-0.008**(0.7724)(0.0023)(0.0420)MI0.008***0.047***-0.001(0.0000)(0.0000)(0.4114)SC0.185***(0.0000)Cons-0.054***-0.300***0.001(0.0000)(0.0000)(0.8664)时间固定YESYESYESN300300300adj.R20.8220.8520.903

4.4 稳健性检验

本文通过样本调整法和增加控制变量法对模型进行稳健性检验,结果如表7、表8所示。表7中,列(1)为2018-2022年数据回归结果,列(2)为2013-2017年数据回归结果,在两个时间段内知识溢出对创新链韧性均呈现正向影响;列(3)为原有控制变量的回归结果,列(4)则为加入控制变量对外开放水平(LO)的回归结果,结果显示,加入控制变量对外开放水平后知识溢出对创新链韧性仍然具有显著正向影响,表明本文研究结果稳健。表8为中介效应稳健性检验结果,列(1)~列(6)为分样本检验结果,列(7)~列(9)为加入控制变量后的检验结果。主体协同的中介作用始终显著为正,说明主体协同在知识溢出对创新链韧性的影响中具有部分中介作用,且研究结果稳健。

表7 主效应稳健性检验结果

Table 7 Robustness test results of main effect

变量ICR样本调整法(1)(2)加入控制变量(3)(4)KS0.203***0.117***0.158***0.156***(0.0000)(0.0000)(0.0000)(0.0000)IC0.0100.0020.0110.009(0.2811)(0.8319)(0.1188)(0.1591)PCI-0.004-0.001-0.001-0.002(0.5577)(0.8062)(0.7724)(0.6351)MI0.010***0.006***0.008***0.008***(0.0000)(0.0000)(0.0000)(0.0000)LO0.0132**(0.0226)Cons-0.072***-0.031***-0.054***-0.059***(0.0000)(0.0000)(0.0000)(0.0000)时间固定YESYESYESYESN150150300300adj.R20.8940.8350.8220.826

表8 中介效应稳健性检验结果

Table 8 Robustness test results of mediating effect

变量2018-2022年(1)(2)(3)ICRSCICR2013-2017年(4)(5)(6)ICRSCICR加入控制变量(7)(8)(9)ICRSCICRKS0.203***0.685***0.077***0.117***0.388***0.074***0.156***0.532***0.057***(0.0000)(0.0000)(0.0023)(0.0000)(0.0000)(0.0000)(0.0000)(0.0000)(0.0000)IC0.0100.096**-0.0070.0020.0140.0000.0090.071**-0.004(0.2811)(0.0108)(0.3401)(0.8319)(0.7250)(0.9854)(0.1591)(0.0206)(0.4428)PCI-0.0040.042***-0.011**-0.0010.006-0.002-0.0020.0342***-0.008**(0.5577)(0.0002)(0.0437)(0.8062)(0.6923)(0.6686)(0.6351)(0.0021)(0.0160)MI0.010***0.056***-0.0000.006***0.037***0.002***0.008***0.047***-0.001(0.0000)(0.0000)(0.9788)(0.0000)(0.0000)(0.0092)(0.0000)(0.0000)(0.2985)SC0.184***0.112***0.187***(0.0000)(0.0000)(0.0000)LO0.013**-0.0090.015***(0.0226)(0.5794)(0.0006)Cons-0.072***-0.416***0.005-0.031***-0.170***-0.012*-0.059***-0.297***-0.004(0.0000)(0.0000)(0.7141)(0.0000)(0.0000)(0.0686)(0.0000)(0.0000)(0.5395)时间固定YESYESYESYESYESYESYESYESYESN150150150150150150300300300adj.R20.8940.9390.9250.8350.8060.8790.8260.8520.909

4.5 地区异质性检验

不同地区的经济发展、科技发展水平等都存在显著差异,因而高技术产业创新链发展水平也呈现异质性。为探究不同区域知识溢出对高技术产业创新链韧性的影响是否也存在差异,本文进行地区异质性检验,回归结果如表9所示。

表9 地区异质性检验结果

Table 9 Results of regional heterogeneity

变量西部地区中部地区东部地区东北地区(1)(2)(3)(4)KS0.0500.731***0.154***-0.033(0.3690)(0.0000)(0.0000)(0.1365)IC0.007-0.061***0.030*0.005(0.1518)(0.0009)(0.0611)(0.3591)PCI-0.0030.008-0.022**0.001(0.3360)(0.2513)(0.0358)(0.7507)MI0.005***0.015***0.009***0.003**(0.0000)(0.0000)(0.0000)(0.0111)Cons-0.025***-0.104***-0.066***-0.012(0.0013)(0.0000)(0.0071)(0.2321)时间固定YESYESYESYESN1106010030adj.R20.6130.7220.8430.660

结果显示,知识溢出对我国东、中、西和东北地区创新链韧性均产生影响,其中,在东、中、西部地区呈现正向影响,在东北地区呈现负向影响。而且,知识溢出对中部地区高技术产业创新链韧性的促进作用最显著、东部次之,西部最弱。产生这种差异的原因可能有以下4点:

(1)中部地区以1/10的国土面积承载约1/4的人口数量,是中国重要的装备制造和高技术产业基地,拥有丰富的人力资源和雄厚的产业基础,同时,重点承接东部产业转移,注重通过创新协同推动产业创新,因而知识溢出效应显著。

(2)东部地区作为高技术产业布局重点,高技术产业企业数量多,从业人员平均数、营业收入以及创新投入产出均较大,其中,广东和江苏在全国高技术产业发展中占有绝对优势。同时,在产业技术引进和改造上支出较多,对外技术依赖性较强。当外部市场变化和产业外迁时,可能会影响知识溢出对东部整体产业创新链韧性的作用效果。

(3)西部地区知识溢出对高技术产业创新链韧性影响较弱的原因可能在于该区域产业基础相对薄弱、核心企业数量少、竞争优势不足、产业集群协同程度低,缺乏产业发展增长极,且受中东部地区虹吸效应的影响,人才外流,创新资源受限,因而知识溢出对创新链韧性的影响较弱。

(4)东北地区高技术企业数、从业人员数有限,创新投入和创新产出较少,科技创新内生动力不足,制约知识溢出对产业创新链韧性的提升作用。

5 研究结论与建议

5.1 研究结论

本文以高技术产业创新链韧性为研究对象,基于中国内地30个省域面板数据,研究分析知识溢出对创新链韧性的影响以及主体协同的中介作用,得到以下结论:

(1)知识溢出能够显著提升高技术产业创新链韧性。高技术产业蕴含多元化知识,知识溢出能够促进知识创新与技术进步,加速创新链由研发至成果转化,再至产业化阶段的演进。而企业凭借深厚的技术与知识基础,得以持续创新,增强了创新链韧性。

(2)主体协同在知识溢出与高技术产业创新链韧性之间具有部分中介作用。初始的知识溢出不仅能够强化企业间联系,而且能够促进与高校、科研院所及政府等外部主体的协同创新,而资源互补与知识共享有助于强化创新链主体关系,提升其韧性。

(3)在不同区域,知识溢出对高技术产业创新链韧性的影响存在差异性。其中,中部地区拥有扎实的装备制造产业基础和丰富的人力资源,知识溢出对创新链韧性影响显著;东部地区因面临外部市场变化和产业外迁压力,知识溢出对创新链韧性的影响次于中部;西部地区受核心企业数和创新资源不足的裹挟,知识溢出的影响效应较弱;东北地区则因为科技创新内生动力不足和创新人才外流等因素,制约知识溢出对创新链韧性的促进作用。

5.2 对策建议

根据以上结论,就如何提升知识溢出水平、促进创新主体协同、增强高技术产业创新链韧性,提出以下建议:

(1)构建多元化知识资源共享体系,强化项目基金支撑效能,优化服务架构,充分发挥知识溢出作用。第一运用机器学习、自然语言处理等AI技术,构建高端学术交流平台与垂直互动社区。开放科研设施与大型仪器,强化自然本底数据、种质及标本等基础公益科技资源收集;统一数据标准,完善科技数据库、科研仪器库及生物种质库等资源数据库,并建设基础研究成果共享数据库及省级科学数据中心,推动AI赋能科研,促进知识资源集聚与新知识创造扩散,发挥知识溢出促进效应。第二发挥国家自然科学基金支持源头创新的关键作用,强化原创导向和技术创新引导专项的运行机制,实现全链条创新设计与一体化组织执行。加速推进“科技创新2030—重大项目”子项目及国家重点研发计划实施,聚焦五大优势产业、特色新兴产业等需求,实施“尖刀”技术攻关工程,支持企校联合突破核心技术。同时,利用招商政策吸引国际合作伙伴,加大国家科技计划开放力度,鼓励国际合作交流,加速产业知识溢出。第三推动构建以创业苗圃、孵化器、加速器等创业服务平台为主线的科技成果孵化转化体系,打造高效技术交易平台,确保中介服务无缝对接。围绕创新链条,加强知识产权保护,建立专利池与快速响应机制,倡导软件应用开源共享,平衡保护与共享需求。同时,优化人才流动政策,设立人才交流基金,促进人才资源合理配置与高效利用,提升产业知识溢出效果。

(2)构建多主体创新联盟和协同创新平台,健全科研诚信体系,强化主体协同机制。第一构建由政府牵头、企业主导、高校与科研机构协同、中介机构辅助的多主体创新联盟,促进以规划引导、龙头领衔、平台支撑等为特征的产业链链长制,与政府规划、链主企业领衔、科研院所介入的创新链链主制协同发展。依托国家重大科技项目,强化企业院士协同创新中心效能,积极融入“千校万企”协同创新伙伴计划及“百校千项”专利培育倡议,促进产学研深度融合与科技成果交易。第二加大对国家级产教融合创新平台、集成式科研攻关平台、学科交叉研究中心及部省共建协同创新中心的投资与建设力度。政府通过政策资金扶持与清单化管理,鼓励多元主体合资共建或委托运营生物医药、通信等领域的概念验证平台与中试基地。同时,支持行业领军企业依托自身优势,建立专业孵化载体与开放创新机制,吸引中小企业协同创新。第三建立健全科研诚信体系,营造风清气正的科研环境,保护创新主体合法权益。政府要加强创新文化培育,将科学监督与诚信教育相结合,引导科研人员恪守学术道德;推动高校与科研院所健全学术管理体系,追踪评价科研人员学术发展,严格把控学术成果发表关,对科研不端行为“零容忍”,严惩造假,促进创新主体在清正环境中协同创新。

(3)结合地区差异,优化配置与整合创新资源,为产业创新链韧性提升营造良好环境。在东部地区,利用其创新要素集聚优势,聚焦颠覆性与前沿技术,优化生产要素配置,推动关键技术攻关。同时,推进产业链供应链上下游协同、促进区域产业转移及科技成果跨区域转移合作,通过设立创新基金、搭建跨区域技术转移平台等进行产业协同合作,发挥增长极的带动作用,共同构建创新高地。在中部地区坚持崛起战略,利用科教资源集聚优势,建立“创新谷”,促进“由0到1”的原创性突破与“由1到N”的产业化应用协同发展。通过设立原创科技基金、建立科技成果转化机制、构建中部特色产业创新联盟等,加速构建现代产业集群等特色现代化产业体系。在西部地区,依托西部大开发战略,加速构建国家自主创新示范区和科技成果转移转化示范区,通过设立创业投资子基金,支持企业设立科技创新研发部门,完善产学研一体化机制。同时,通过共建产业园区和高校对口支援,促进资源西进,强化东西部创新协作,通过税收减免、人才引进计划等,推动西部创新发展。在东北地区,发挥地区地理优势和政策优势,聚焦产业需求,通过设立专项研发基金、强化高新产业园区功能定位,以及定期举办产业需求对接会、科技成果转化高端论坛等常态化“产学研”交流对接活动,促进科研成果与市场需求的有效对接。同时,注重吸引投资、技术和高科技人才,通过共建产学研联合实验室、技术创新中心等加强人力资源开发利用和创新平台打造,为东北全面振兴与产业发展提供创新动力和活力。

参考文献:

[1] 张慧,刘家树,崔书会.创新链视角下高技术产业创新韧性及其空间网络结构分析[J].安徽工业大学学报(自然科学版),2024,41(3):328-341.

[2] 贺正楚,李玉洁,吴艳.产业协同集聚、技术创新与制造业产业链韧性[J].科学学研究,2024,42(3):515-527.

[3] WANG C F,HU Q Y.Knowledge sharing in supply chain networks:effects of collaborative innovation activities and capability on innovation performance[J].Technovation,2020,94:102010.

[4] 李志遂,聂常虹,刘倚溪,等.大科学装置(集群)驱动型创新生态系统的理论模型与实证研究[J].管理评论,2023,35(1):121-133.

[5] SU J F,ZHANG F T,WANG D,et al.Examining the influence of knowledge spillover on partner selection in knowledge alliances:the role of benefit distribution[J].Computers &Industrial Engineering,2023,180:109245.

[6] FERREIRA J J M,FERNANDES C I,VEIGA P M.The effects of knowledge spillovers,digital capabilities,and innovation on firm performance:a moderated mediation model[J].Technological Forecasting and Social Change,2024,200:123086.

[7] 涂心语,严晓玲,王珊珊.知识溢出、企业异质性与企业全要素生产率——来自制造业上市公司的经验证据[J].商业研究,2022,65(6):23-33.

[8] 王雅洁,刘学谦.知识溢出对区域创新的影响——基于创新政策的分析[J].科研管理,2024,45(7):68-78.

[9] AUDRETSCH D B,BELITSKI M.The role of R&D and knowledge spillovers in innovation and productivity[J].European Economic Review,2020,123:103391.

[10] 何雄浪,王舒然.产业集聚、知识溢出与中国区域经济增长[J].云南财经大学学报,2021,37(9):15-30.

[11] 王彩萍,李善民,黄志宏.产业集聚、技术并购与知识溢出效应[J].经济理论与经济管理,2022,42(10):33-46.

[12] 肖振红,李炎.产学研协同发展、知识产权保护与技术创新绩效——基于动态面板门限机理实证分析[J].管理评论,2023,35(6):72-81.

[13] MENG X L,DI K,SU H,et al.The relationship between the interactive behavior of industry-university-research subjects and the cooperative innovation performance:the mediating role of knowledge absorptive capacity[J].Frontiers in Psychology,2023,13:1077614.

[14] WU Y,GU X,TU Z Z,et al.System dynamic analysis on industry-university-research institute synergetic innovation process based on knowledge flow[J].Scientometrics,2022,127(3):1317-1338.

[15] 邵记友,杨忠,汪涛,等.以领军企业为核心主体的创新链:结构特征与协同机制[J].中国科技论坛,2023,39(11):97-107.

[16] 余义勇,杨忠.如何有效发挥领军企业的创新链功能——基于新巴斯德象限的协同创新视角[J].南开管理评论,2020,23(2):4-15.

[17] 孙大明,原毅军,郭然.多主体协同创新对区域产业升级的影响——基于空间溢出视角[J].科研管理,2022,43(5):154-163.

[18] CHEN X F,LIU Z Y,ZHU Q Y.Reprint of "Performance evaluation of China's high-tech innovation process:analysis based on the innovation value chain"[J].Technovation,2020,94:102094.

[19] MARIJAN D,SEN S.Industry-academia research collaboration and knowledge co-creation:patterns and anti-patterns[J].ACM Transactions on Software Engineering and Methodology,2022,31(3):1-52.

[20] HU X H,ZHANG L Y.Research on the integration level measurement and optimization path of industrial chain,innovation chain and service chain[J].Journal of Innovation &Knowledge,2023,8(3):100368.

[21] 陈云,陈凯,谢科范,等.打造高质量创新链[J].科技与管理,2022,24(5):1-10.

[22] 陈晓东,刘洋,周柯.数字经济提升我国产业链韧性的路径研究[J].经济体制改革,2022,40(1):95-102.

[23] 刘玉斌,能龙阁.数字化转型的溢出效应:扩散还是虹吸——基于行业内领军企业与行业间产业链双重视角[J].经济与管理研究,2024,45(6):38-57.

[24] 于晓琳,石军伟,万凯.知识的力量:基础研究与区域技术创新[J].科学学与科学技术管理,2023,44(12):68-85.

[25] 曲永义,李先军.创新链赶超:中国集成电路产业的创新与发展[J].经济管理,2022,44(9):5-26.

[26] 王玉冬,张博,武川,等.高新技术产业创新链与资金链协同度测度研究——基于复合系统协同度模型[J].科技进步与对策,2019,36(23):63-68.

[27] 谢家智,张馨月.双向直接投资、知识溢出效应与创新链协同发展——基于工业行业数据的实证研究[J].科技进步与对策,2023,40(22):33-42.

[28] 魏守华,顾佳佳,姜悦.知识溢出、吸收能力与经济绩效的研究述评[J].现代经济探讨,2017,36(9):123-132.

[29] 余维新,熊文明,魏奇锋,等.关系产权、知识溢出与产学研协同创新的稳定性研究[J].软科学,2018,32(12):24-28.

[30] CUI W J,LI L,CHEN G.Market-value oriented or technology-value oriented——location impacts of Industry-University-Research (IUR) cooperation bases on innovation performance[J].Technology in Society,2022,70:102025.

[31] ZHUANG T,ZHAO S L.Collaborative innovation relationship in Yangtze River Delta of China:subjects collaboration and spatial correlation[J].Technology in Society,2022,69:101974.

[32] 潘为华,罗永恒.供应链金融与企业韧性:基于协同创新和风险承担的视角[J].财经理论与实践,2024,45(5):10-17.

[33] 谷城,张树山.产业链韧性水平测度、区域差异及收敛性研究[J].经济问题探索,2023,44(6):123-139.

(责任编辑:胡俊健)