公共数据开放与城市绿色发展效率
——来自政府数据平台上线的准自然实验

汪克亮,付丽翔

(中国海洋大学 经济学院,山东 青岛 266100)

摘 要:准确评估公共数据开放对城市绿色发展效率的影响,对于激发数据要素潜能、实现经济发展与环境保护“双赢”具有重要意义。基于2008-2023年280个地级及以上城市面板数据,采用多期双重差分模型,实证检验公共数据开放对城市绿色发展效率的影响。研究发现,公共数据开放能够显著提升城市绿色发展效率。机制检验表明,数字技术创新效应和数字产业集聚效应是公共数据开放赋能城市绿色发展效率提升的重要途径。调节效应分析发现,公共数据开放对城市绿色发展效率的积极影响会受到市场激励型与公众自愿型环境规制的正向调节作用,同时,受到命令控制型环境规制的负向调节作用。异质性分析发现,在数字基础设施完善、知识产权保护程度高以及资源型城市中,公共数据开放对绿色发展效率的促进作用更强。提出管理启示,进一步深化公共数据开放,释放数据要素乘数效应;结合城市发展差距,积极探索多元化的绿色发展效率提升路径;灵活组合运用环境规制工具。研究结论为理解公共数据开放的绿色价值提供理论视角与经验证据,为制定差异化数据开放与环境规制政策提供参考。

关键词:公共数据开放;绿色发展效率;环境规制;数据要素

Public Data Openness and Urban Green Development Efficiency:Evidence from a Quasi-Natural Experiment of Government Data Platform Launch

Wang Keliang, Fu Lixiang

(School of Economics, Ocean University of China, Qingdao 266100, China)

Abstract:With the unique advantages of unlimited supply, incremental remuneration and non-rivalry, data elements are profoundly reshaping the pattern of economic and social development. As China's first large-scale institutional practice to promote the circulation and sharing of data elements, public data openness is the core path to fully activate the multiplier effect of data elements. Meanwhile, green development, a core of high-quality growth and vital for building a "Beautiful China," makes enhancing urban green development efficiency critical to balancing economic growth and ecological protection. In this context, exploring how public data openness affects urban green development efficiency can help tap public data value, drive urban green transformation, and provide theoretical support for achieving economic-environmental "win-wins".

At the level of theoretical framework construction, this study firstly combines Schumpeter's innovation theory, industrial agglomeration theory and other related theories to explore the influence mechanism of public data openness on urban green development efficiency from the dimensions of digital technology innovation effect and digital industry agglomeration effect. Second, considering that the environmental governance system with the participation of multiple subjects and the positive interaction of various tools has become the main tone of green development, this study further introduces the command-and-control, market-incentive, and public voluntary environmental regulation tools, and analyzes their moderating effects on the efficiency of green development empowered by the public data openness, respectively. Finally, in order to reveal the differentiated performance of policy impacts, the study examines the heterogeneous impacts of public data openness on urban green development efficiency from the dimensions of digital infrastructure maturity, intellectual property rights protection and resource endowment base.

At the empirical level, this study utilizes panel data of 280 Chinese cities at the prefecture-level and above spanning the period from 2008 to 2023, and quantitatively evaluates green-development efficiency by employing a super-efficient SBM model with undesirable outputs.Further, this study considers the government data platform launch in each region as a quasi-natural experiment, and constructs a multi-period difference-in-differences (DID) model to systematically identify the causal effect of public data openness on urban green development efficiency. It is found that public data openness can significantly enhance urban green development efficiency, and this conclusion still holds after a series of robustness checks and endogeneity treatments. The mechanism test shows that the digital technology innovation effect and the digital industry agglomeration effect are important ways for public data openness to empower the improvement of urban green development efficiency. The moderating effect analysis finds that the positive impact of public data openness on urban green development efficiency is positively moderated by market incentive environmental regulation and public voluntary environmental regulation, and also negatively moderated by command-and-control environmental regulation. Heterogeneity analysis reveals that the promotion of green development efficiency by public data openness is better in cities with good digital infrastructure, higher degree of intellectual property protection, and resource-based cities.

Thus, this paper offers policy recommendations from four aspects. First, the reform of public data opening strategy should be further deepened to fully release the leading and empowering role of public data resources in the construction of beautiful China. Meanwhile, the government should establish a set of perfect data quality monitoring mechanisms to ensure the completeness, accuracy and timeliness of public data. Second, the government should give full play to its subjective initiative and effectively promote public data openness in the light of urban development gaps. In addition, the government should encourage R&D departments to utilize public data for digital technological innovation by implementing tax incentives and setting up special funds, etc., and formulate forward-looking and green development-oriented digital industry development plans by closely integrating the dynamics of market demand and future development trends, so as to fully explore the green value of open public data. Finally, the government should flexibly combine and utilize heterogeneous environmental regulation tools, insisting on market incentive environmental regulation and public voluntary environmental regulation, supplemented by command-and-control environmental regulation, to synergistically promote the green development of cities.

Key WordsPublic Data Openness; Green Development Efficiency;Environmental Regulation; Data Elements

收稿日期:2025-03-18

修回日期:2025-06-13

基金项目:国家自然科学基金面上项目(72373138,71973131)

作者简介:汪克亮(1980—),男,安徽枞阳人,博士,中国海洋大学经济学院教授、博士生导师,研究方向为资源经济与环境管理、区域可持续发展、绿色创新等;付丽翔(2001—),女,河南睢县人,中国海洋大学经济学院硕士研究生,研究方向为区域创新与绿色发展。通讯作者:汪克亮。

DOI:10.6049/kjjbydc.D52025030646

开放科学(资源服务)标识码(OSID):

中图分类号:F061.5

文献标识码:A

文章编号:1001-7348(2025)21-0106-13

0 引言

党的二十大报告强调“推动绿色发展,促进人与自然和谐共生”。绿色发展已成为高质量发展的核心基调,也是实现美丽中国建设目标的关键。城市作为经济社会活动的中心,既是资源消耗与环境污染的主要领域,也是探索绿色发展路径和践行生态文明理念的前沿阵地。因此,提升城市绿色发展效率对实现经济高质量发展与生态环境高水平保护协同具有重要意义。

当前,数据作为新型生产要素,已成为驱动经济高质量发展的战略性资源。据《数字中国发展报告(2024年)》显示,2024年我国数据产量为41.06ZB,同比增长25%。然而,目前各级政府部门仍是信息数据资源的主要持有者,由于隐性数据安全风险、权属界定争议等问题,其开放与共享面临诸多挑战[1]。为破解这一难题,上海市率先于2012年启动政府数据服务网的试运行,标志着我国在数据开放领域迈出关键的第一步。根据2024年复旦大学数字与移动治理实验室发布的《中国地方公共数据开放利用报告——省域》显示,截至2024年7月,全国已有219个城市上线公共数据开放平台。凭借无限供给、报酬递增、可复制性、非竞争性等独特优势,公共数据已深度融入生产、消费等经济发展的关键环节,显著发挥“数据要素×”的倍增效应[2-4]。然而,公共数据开放在推动经济发展与生态保护协同增效方面的内在关联与协同路径仍缺乏深入研究,亟需学术界开展系统研究。

公共数据开放能否真正发挥“新引擎”作用,有效提升城市绿色发展效率?其作用机制是什么?哪些因素强化或者限制公共数据开放的绿色价值发挥?同时,公共数据开放对城市绿色发展效率的影响是否存在异质性?针对上述问题,本文以2008-2023年中国280个地级及以上城市作为研究样本,将政府数据平台上线作为一次准自然实验,利用多期双重差分模型系统考察公共数据开放与城市绿色发展效率之间的因果关系。研究结论可为进一步挖掘公共数据资源价值、推动城市绿色转型,进而实现经济发展与环境保护“双赢”提供理论支持与决策参考。

1 文献综述

在“数字中国”建设与可持续发展理念的双重推动下,数字化与绿色化在社会经济领域发生交织和碰撞。既有文献表明,数字化及其衍生的新业态和新模式,如数字技术应用、数字贸易、数字金融等已渗透并惠及企业绿色转型[5]、城市绿色发展[6]、政府绿色治理[7]等绿色化核心领域,在碳减排[8]、可持续发展绩效提升[9]等方面发挥积极影响。值得注意的是,数字化在政务场景的深度嵌入与有机融合,重构了政府服务逻辑,塑造出“数字政府”新模式,并在城市绿色发展进程中日益展现出巨大潜力。如Zhao等[10]研究发现,政府数字化治理能够改善环境污染现状且这一积极影响呈现空间溢出效应;操小娟和张诗嘉[11]则基于政策评估视角,选取“互联网+政务服务”试点政策作为准自然实验,进一步验证政府数字化治理在提升城市全要素生产率过程中的关键作用。由此可见,政府数字化治理在推动绿色发展中的重要性。

公共数据开放与以往聚焦政府内部的数字化治理存在显著差异,其核心在于将政府掌握的公共数据资源免费向社会主体开放,进而充分释放数据资源这一新型生产要素的“乘数效应”。当前,学者已关注到公共数据开放在重塑生产、消费等经济活动模式以及社会治理方式中的潜在价值,相关实证研究主要以微观企业和宏观城市为着眼点展开。微观层面,企业作为经济活动基本单元,在数据要素的高效利用与深度挖掘中扮演核心角色。有文献表明,公共数据开放不仅对企业投资质量与效率[12]、技术创新活动[13]等具有正向驱动作用,而且有助于企业优化雇佣决策,同步实现数字强国与“稳就业”目标[14]。宏观层面,蔡运坤等[2]分别从政府治理与市场效益逻辑出发,证明制度性交易成本降低和信息匹配效率优化是公共数据开放增强城市创业活力的主要路径;王晓丹等[3]进一步发现,公共数据开放质量越高,数字经济与实体经济融合效果越明显。此外,公共数据开放还能够破除信息壁垒和弥补资源禀赋差距,因而在促进区域协调发展中展现出巨大价值与潜力[4]。然而,遗憾的是,公共数据开放的绿色价值尚未得到充分挖掘,目前仅证实其在资源型城市低碳化发展[15]和企业减污降碳[16]方面发挥积极作用,如刘学元等[17]、李博等[18]从经济-环境综合视角出发,聚焦公共数据开放对绿色全要素生产率及资源型城市转型效率的影响分析。

相较于已有研究,本文可能的边际贡献在于:①创新性分析公共数据开放对城市绿色发展效率的赋能作用。以往研究多聚焦政府内部数字化治理对绿色发展的积极影响[10-11],本文重点关注政府提供的公共数据资源在绿色发展领域释放出的巨大潜能。这一视角转变为实现经济高质量发展与生态环境高水平保护统一提供了新经验证据。②过往研究尚未从城市层面系统揭示公共数据开放提升绿色发展效率的内在机制。本研究结合熊彼特创新理论、产业集聚理论等,从数字技术创新效应与数字产业集聚效应两个维度出发,探究公共数据开放产生绿色价值的作用渠道,这在一定程度上拓展了提升绿色发展效率的研究边界。③尽管少数研究关注到公共数据开放在协调经济增长与环境保护中的潜力[17-18],但其通常聚焦单一政策效果,忽视了现代环境治理体系下异质型环境规制工具对市场主体行为的复杂冲击。鉴于此,本研究将命令控制型、市场激励型和公众自愿型三类环境规制工具统一纳入“公共数据开放—绿色发展效率”分析框架,充分比较不同环境规制工具的有效性,研究结论可为数字经济时代多元协同推进环境治理提供理论支持和方向指导。

2 理论分析与研究假设

2.1 制度背景

数据资源已成为国家核心战略资源和关键生产要素,美国率先于2009年上线数据开放门户网站,英、法、加等国家紧随其后。近年来,我国地方政府公共数据开放情况也呈现进步迅速、蔚然成林态势。2012年,上海上线开通中国第一个开放数据门户网站“上海市政府数据服务网”,标志着我国从信息公开迈向数据公开。此后,在《促进大数据发展行动纲要》《数字中国建设整体布局规划》等各项政策的驱动与指导下,中国地方政府数据开放平台数量和开放有效数据集均呈爆发式增长。根据国家数据局的统计数据显示,截至2024年7月,全国已有243个省级和城市的地方政府上线了数据开放平台,且开放的有效数据集已突破37万大关,相较于8年前实现了44倍的增长。在此基础上,各地政府通过举办数据创新应用大赛、建立大数据联合创新实验室等方式,促进公共数据要素价值释放。如浙江省湖州市通过孵化“铅蛋”平台,打造了回收利用资源化、闭环管理规范化的“无废城市”行业样板,开展了公共数据赋能绿色发展的创新实践。由此可见,沉睡的公共数据正不断被唤醒和应用。

2.2 公共数据开放对城市绿色发展效率的直接影响

绿色发展效率体现了我国在经济增长与环境保护双重目标下的协调发展能力。作为我国首个大规模推进数据要素流通共享的制度实践,公共数据开放有望为城市绿色发展效率提升注入新动能。一方面,内生增长理论强调技术进步是经济增长的内生动力[19]。公共数据开放有效促进闲置数据资源与资本、劳动力等传统要素的深度融合,显著提升各类要素的边际报酬。同时,其为创新主体精准把握市场需求提供了坚实的数据基础,有力地驱动先进技术研发、应用及向传统生产体系扩散,进而加速构建以数据要素为核心的新经济增长引擎。另一方面,基于信号传递理论,公共数据开放突破了科层制的层级限制与信息壁垒,确保环保政策信息直达相关部门与市场主体[20]。这一举措既保障了政策执行的连贯性与一致性,有效规避了因政策误读或执行偏差而导致的环境污染与资源损耗,又推动了跨领域、跨部门的协同合作,形成“1+1>2”的绿色发展合力。由此可见,公共数据开放能够实现经济增长与环境保护的全面协调。据此,本文提出如下假设:

H1:公共数据开放能够显著提升城市绿色发展效率。

2.3 公共数据开放提升城市绿色发展效率的间接机制

基于熊彼特创新理论、信息不对称理论以及产业集聚相关理论,本文拟从创新效应和集聚效应两方面探究公共数据开放影响城市绿色发展效率的作用机制。

(1)数字技术创新效应。一方面,熊彼特创新理论指出,创新是生产要素的重新组合。数字技术创新的本质是以数据为基础性资源、数字技术为工具,重组生产要素的过程[21]。公共数据开放通过实时公开市场消费、科技研发、行业动态等关键领域数据,有效满足数字创新主体的信息获取需求,并为算法优化、模型训练等活动提供关键数据资源,从而显著激发数字创新活力。另一方面,由信息不对称引发的逆向选择和道德风险易引致企业管理者偏好短期投机,挤占数字技术创新等生产性活动[22]。公共数据开放保障了市场主体平等获取信息的权利,并依托政府公信力确保数据权威性与可靠性[4]。这有助于市场主体更全面地评估数字创新项目潜力和风险,降低因信息不对称引发的投资决策不确定性,进而为数字技术创新提供坚实的资金保障。与此同时,数字技术创新作为“创造性破坏”的核心驱动力,不仅推动能源、交通、建筑等传统产业向智能化、低碳化转型,而且催生了共享经济、循环经济等新业态,这无形中夯实了经济高质量发展的绿色基底。

(2)数字产业集聚效应。依据产业集聚理论和集聚外部性理论[23],数字产业倾向于通过虹吸效应和极化效应在空间上形成核心集聚区,并借助规模经济与知识溢出效应对城市绿色发展效率产生正向驱动作用。具体而言,率先上线公共数据开放平台的城市通过制定数据分级分类开放标准和构建标准化应用程序编程接口(API),孕育有为政府与有效市场协作配合的优质数字经济环境,显著降低知识和技术密集型企业数据要素获取成本。在逐利动机与市场竞争压力的驱动下,各类数字产业主体不断向数据资源富集、制度环境优良、配套设施健全的平台核心节点城市及其周边区域集聚,进而形成专业化、规模化数字产业集群。同时,产业集聚有利于发挥正外部性:一方面,数字产业集聚能够发挥中间商品市场的规模经济效应,促进生产商共享云计算中心、高速网络等数字基础设施,降低单位产出的资源消耗与污染排放;另一方面,数字产业具有高渗透性与强融合性,其集聚带来的技术突破能够迅速向地区产业链上下游环节扩散,进而推动城市经济系统整体转型为低能耗、高附加值的绿色发展模式[24]。据此,本文提出如下假设:

H2:公共数据开放通过激发数字技术创新和促进数字产业集聚,对城市绿色发展效率产生正向影响。

2.4 环境规制工具的调节作用

随着社会各界对环境问题的日益重视,多主体参与、多种工具良性互动的环境治理体系已经成为绿色发展的主基调。具体而言,中国的环境保护政策体系涵盖3个既相互独立又彼此关联的子类,即命令控制型、市场激励型和公众自愿型环境规制,三者在定义、核心特点以及具体实施路径上呈现显著差异[25],对市场主体决策与行为产生不同作用,从而影响公共数据开放对城市绿色发展效率的效果。

首先,命令控制型环境规制依靠政府强制力实施,常采取“一刀切”管理方式,这会限制企业根据自身情况灵活选择长期减污减排技术路径[26]。依据遵循成本理论,企业为满足既定环保标准,需投入大量资源用于合规性改造与末端治理,这可能挤占原本用于创新活动的资金[27],进而削弱企业开展技术研发的积极性,降低公共数据开放的绿色赋能效应。因此,在公共数据开放提升城市绿色发展效率的过程中,命令控制型环境规制可能扮演负向调节的角色。其次,基于庇古税理论,市场激励型环境规制主要借助市场信号内部化污染成本[28],可与公共数据开放形成良性互动。在“污染者付费”原则下,企业有强烈动机利用公共数据开放平台提供的实时市场信息,形成效益最优的污染治理策略与生产决策。该模式不仅能够持续挖掘并激活数据资源价值,而且能有效激发企业在平衡经济增长与污染治理关系中的主体能动性,从而显著放大公共数据开放对绿色发展效率的正向促进作用。公众自愿型环境规制则体现为公众、社区及非政府组织为提升环境质量所采取的自发行动[29]。为规避公共数据开放可能引致的信息过载风险,研究机构、媒体等市场主体通过发布环境绩效榜单、开展深度调查报道等自发性活动,对开放数据进行深度解析与可视化呈现。由此,公众得以高效行使环境监督权,对监管缺位主体及环境违法者持续施压,促使政府与企业采取更积极的环境治理措施。综上所述,本文提出以下假设:

H3:命令控制型环境规制在公共数据开放提升城市绿色发展效率过程中发挥负向调节作用,而市场激励型和公众自愿型环境规制在此过程中扮演正向调节的角色。

综上所述,本文构建理论模型如图1所示。

图1 理论模型
Fig.1 Theoretical model

3 研究设计

3.1 模型构建

3.1.1 多期双重差分模型

为探究政策影响的净效应,本文借助双重差分模型实证检验公共数据开放与城市绿色发展效率的因果关系,具体回归模型设定如下:

GDEit=β0+β1PDOit+β2Controlsit+μi+δt+εit

(1)

其中,i表示城市,t表示年份。被解释变量GDEit表示城市it年的绿色发展效率;解释变量PDOit表示公共数据开放平台上线,若城市it年上线公共数据开放平台则赋值为1,否则为0;Controlsit代表一系列可能影响城市绿色发展效率的控制变量;μiδt分别代表城市与年份固定效应,用以吸收回归中不随城市与时间变化的混淆因素,以在一定程度上缓解遗漏变量偏误;εit表示随机扰动项;β1代表公共数据开放的净效应,为本文关注重点。

3.1.2 中介效应模型

为探究公共数据开放提升城市绿色发展效率的作用机制,在模型(1)的基础上构建如下中介效应模型:

Mit=α0+α1PDOit+α2Controlsit+μi+δt+εit

(2)

GDEit=η0+η1PDOit+η2Mit+η3Controlsit+μi+δt+εit

(3)

其中,Mit代表中介变量,包括数字技术创新(DTI)和数字产业集聚(DIA),其余变量与基准回归保持一致。为提升中介效应模型的可靠性,本文采用Sobel检验和Bootstrap检验,对上述中介作用进行补充验证。

3.1.3 调节效应模型

为验证H3中异质型环境规制工具对公共数据开放与城市绿色发展效率关系的调节效应,本文分别将命令控制型环境规制(CER)、市场激励型环境规制(MER)以及公众自愿型环境规制(PER)与公共数据开放(PDO)的交互项引入基准模型中,具体见式(4)~式(6)。

GDEit=θ0+θ1PDOit+θ2CERit+θ3PDOit×CERit+θ4Controlsit+μi+δt+εit

(4)

GDEit=θ0+θ1PDOit+θ2MERit+θ3PDOit×MERit+θ4Controlsit+μi+δt+εit

(5)

GDEit=θ0+θ1PDOit+θ2PERit+θ3PDOit×PERit+θ4Controlsit+μi+δt+εit

(6)

式中,交互项系数θ3表示异质型环境规制工具在公共数据开放与城市绿色发展效率关系中的调节效应,因此着重关注其符号及显著性。此外,分别对CERMERPER进行中心化处理,此时θ1表示当异质型环境规制工具分别处于平均水平时公共数据开放对城市绿色发展效率的边际影响。

3.2 变量选取

3.2.1 被解释变量

参考李金林等[30]的研究,本文采用包含非期望产出的超效率SBM模型测度城市绿色发展效率(GDE)。其中,投入指标包含劳动力、资本和能源消耗量。具体而言,劳动力投入以城市单位从业人员期末人数的近似值代替;资本投入采用永续盘存法计算的固定资本存量表征,选择2008年为基期,价格指数采用固定资产投资价格指数进行平减,并将折旧率设定为9.6%;能源消耗量选择城市天然气和液化石油气的消耗总量作为代理变量。产出变量由期望产出和非期望产出构成,具体以2008年为不变价格计算的各城市实际GDP代表最终期望产出,并使用生产过程中产生的工业SO2、烟粉尘和废水排放量作为非期望产出指标。

3.2.2 核心解释变量

虚拟变量PDO表示城市it年及以后是否上线公共数据开放平台。参考复旦大学数字与移动治理实验室发布的《2024中国地方公共数据开放利用报告——城市》,整理各城市是否上线公共数据开放平台的基础数据。将上线公共数据开放平台的城市设定为Treat=1,反之为0;将首次上线时间及之后年份设定为Post=1,否则Post=0;二者交乘生成虚拟变量PDO(Treat*Post)。值得注意的是,省级公共数据开放平台上线可能会干扰本文核心解释变量的设定,例如2012年湛江市上线公共数据开放平台,而后广东省又于2016年在省级层面上线数据开放平台,此时若将广东省内所有城市都视为试点城市,无疑会扭曲实际结果。鉴于中国城市层面的公共数据开放平台仍占主导地位,本文仅重点关注已在地级市及以上城市层面上线数据平台的城市[16]

3.2.3 中介变量

(1)数字技术创新(DTI)。参考王明秀等[31]的做法,选取每百人数字技术专利授权量作为数字技术创新的代理变量。其中,关于数字技术专利授权量的获取,具体为根据《关键数字技术专利分类体系(2023)》中的IPC分类号在国家知识产权局官网下载数字技术专利数据集,借助Python软件筛选数字技术专利授权量,最后结合地理位置信息将其归类至城市层面。

(2)数字产业集聚(DIA)。参考孙伟增等[32]的研究,采用信息传输、软件和信息技术服务业来表征数字产业,并使用区位熵指数构建数字产业集聚指标,具体测算公式如下:

(7)

其中,EMDi,ti城市在t时期的数字产业从业人员数,EMi,ti城市t时期的总就业人数。∑EMDt和∑EMt分别为中国在t时期的数字产业从业人数与总就业人数。

3.2.4 调节变量

(1)命令控制型环境规制(CER)。命令控制型环境规制实施离不开环境机构和人员的监督与检查。参考徐伟呈[26]的研究,本文采用环境机构从业人员数所占比重衡量命令控制型环境规制水平。

(2)市场激励型环境规制(MER)。随着市场激励型环境规制不断完善,生产过程中的碳排放行为将受到更严格的约束,这种变化会直接体现在碳生产力(GDP/碳排放量)提升上。因此,碳生产力可以作为一个动态指标,反映市场激励型环境规制的变化[25]

(3)公众自愿型环境规制(PER)。互联网普及为公众通过网络途径间接参与环境治理提供了良好的外在支撑。借鉴马平平等[33]的研究,选择“雾霾”作为搜索关键词,获取年度搜索指数,以此捕捉公众对政府与企业环境污染行为的关注水平。为便于结果展示,对该指数进行100倍缩小处理。值得注意的是,PM2.5的百度百科建于2010年,因此关于公众自愿型环境规制的数据仅从2011年开始。

3.2.5 控制变量

考虑到城市绿色发展效率与经济发展水平、环境状况密切相关,本文选取如下控制变量以解决遗漏变量产生的内生性问题:①经济发展水平(PGDPPGDP2),采用人均地区生产总值的对数值及其平方项衡量;②人口规模(SCA),使用城市年末总人口的对数值度量;③政府干预程度(GOV),采用政府财政一般支出与地区生产总值的比值衡量;④外商投资水平(INV),选取实际利用外资额与地区生产总值之比作为代理变量;⑤产业结构升级(IND),采用第三产业增加值与地区生产总值的比值衡量。

3.3 数据来源

地市级政府数据平台上线始于2012年。2012年6月,上海率先推出公共数据开放平台。此后,北京、广东、贵州等纷纷上线政府数据开放平台。选取政策实施前4年的数据有助于提供较长时间窗口,从而更为准确地评估公共数据开放实施成效。因此,本研究选择2008-2023年中国280个地级市及以上城市平衡面板数据作为初始样本。其中,公共数据开放信息源自复旦大学数字与移动实验室发布的《2024中国地方公共数据开放利用报告——城市》。其余原始数据主要来自《中国统计年鉴》《中国城市统计年鉴》。表1展示了变量描述性统计结果。其中,GDE均值为0.357 7,标准差为0.158 4,即不同城市间绿色发展效率存在较大差异。其它变量的描述性统计结果均处于合理区间范围内。

表1 变量描述性统计结果
Table 1 Variable descriptive statistics

变量类型变量名称符号样本量平均值标准误最小值最大值被解释变量绿色发展效率GDE4 4800.357 70.158 40.076 11.139 6解释变量公共数据开放PDO4 4800.176 60.381 30.000 01.000 0中介变量数字技术创新DTI4 4800.023 50.082 70.000 01.699 6数字产业集聚DIA4 4801.007 71.105 80.070 76.608 8调节变量命令控制型环境规制CER4 4800.018 30.010 20.001 50.077 7市场激励型环境规制MER4 4805.246 85.732 00.017 743.720 8公众自愿型环境规制PER3 6400.256 10.505 20.000 011.182 1控制变量经济发展水平PGDP4 48010.678 20.646 29.080 212.213 4PGDP24 480114.441 013.756 982.450 6149.168 2城市规模SCA4 4805.900 40.649 34.133 57.279 5政府干预程度GOV4 4800.073 20.026 40.020 60.183 3外商投资水平INV4 4800.016 50.017 10.000 00.094 2产业结构升级IND4 4800.418 80.099 60.190 30.715 1

4 实证结果与分析

4.1 基准回归分析

为考察公共数据开放对城市绿色发展效率的影响,本文采用城市-年份双向固定的多期双重差分模型进行估计,结果如表2所示。列(1)为未添加控制变量的回归结果,列(2)~(6)则依次加入经济发展水平、城市规模、政府干预程度等控制变量。结果表明,无论哪种情况,PDO的估计系数始终显著为正,初步证实公共数据开放能够有效提升城市绿色发展效率,即假设H1成立。此外,由列(6)可知,PGDP系数显著为负,而PGDP2系数显著为正,说明经济发展水平与城市绿色发展效率关系符合“环境库兹涅茨”曲线。其中,SCA系数显著为负,表明人口规模扩张会引发“大城市病”,不利于城市绿色发展;INDINV系数均显著为正,说明产业结构高级化有利于城市绿色发展效率提升,且外商投资能够推动可持续发展,符合“污染光环”假说。

表2 基准回归结果
Table 2 Baseline regression results

变量GDE(1)(2)(3)(4)(5)(6)PDO0.019 5***0.013 3*0.016 1**0.016 2**0.016 1**0.016 7**(2.704 1)(1.889 4)(2.243 7)(2.262 0)(2.247 6)(2.339 4)PGDP-0.960 3***-0.997 6***-1.007 6***-1.055 0***-1.066 2***(-9.707 1)(-10.204 5)(-10.211 3)(-10.515 7)(-10.659 5)PGDP20.041 0***0.042 7***0.043 3***0.045 3***0.046 2***(8.621 2)(9.060 0)(9.087 8)(9.371 9)(9.630 6)SCA-0.097 3***-0.093 6***-0.096 3***-0.089 8***(-3.153 4)(-3.043 7)(-3.122 5)(-2.954 1)GOV0.250 0*0.178 50.194 7(1.714 9)(1.212 9)(1.352 0)INV0.554 6***0.486 0***(3.399 5)(3.022 2)IND0.188 7***(3.371 9)Constant0.354 3***5.917 5***6.699 4***6.693 1***6.985 9***6.877 5***(172.346 1)(11.402 0)(12.321 8)(12.277 8)(12.518 7)(12.187 6)城市固定效应是是是是是是年份固定效应是是是是是是观测值4 4804 4804 4804 4804 4804 480R20.5750.5970.5980.5990.6000.601

注:***、**、*分别表示在1%、5%和10%的水平上显著;括号内为回归系数的t统计值。下同

4.2 平行趋势假设评估

为保证多期双重差分模型的合理性和有效性,需要检验处理组与对照组城市的绿色发展效率在公共数据开放平台上线之前是否受时间趋势影响,为此本文构建模型如下:

(8)

式中,Treati代表个体虚拟变量,k表示上线公共数据开放平台的相对时间,平台上线之前或之后的第k年中Dk=1。为避免个别年份存在样本稀疏问题,本文采用缩尾处理策略,将k值范围设定为[-8,8]。同时,为避免多重共线性影响,将上线公共数据开放平台前一期(k=-1)设定为基期。系数βk能够定量反映随着时间变化公共数据开放对城市绿色发展效率的动态影响,因此是分析重点。其他变量含义同式(1)。

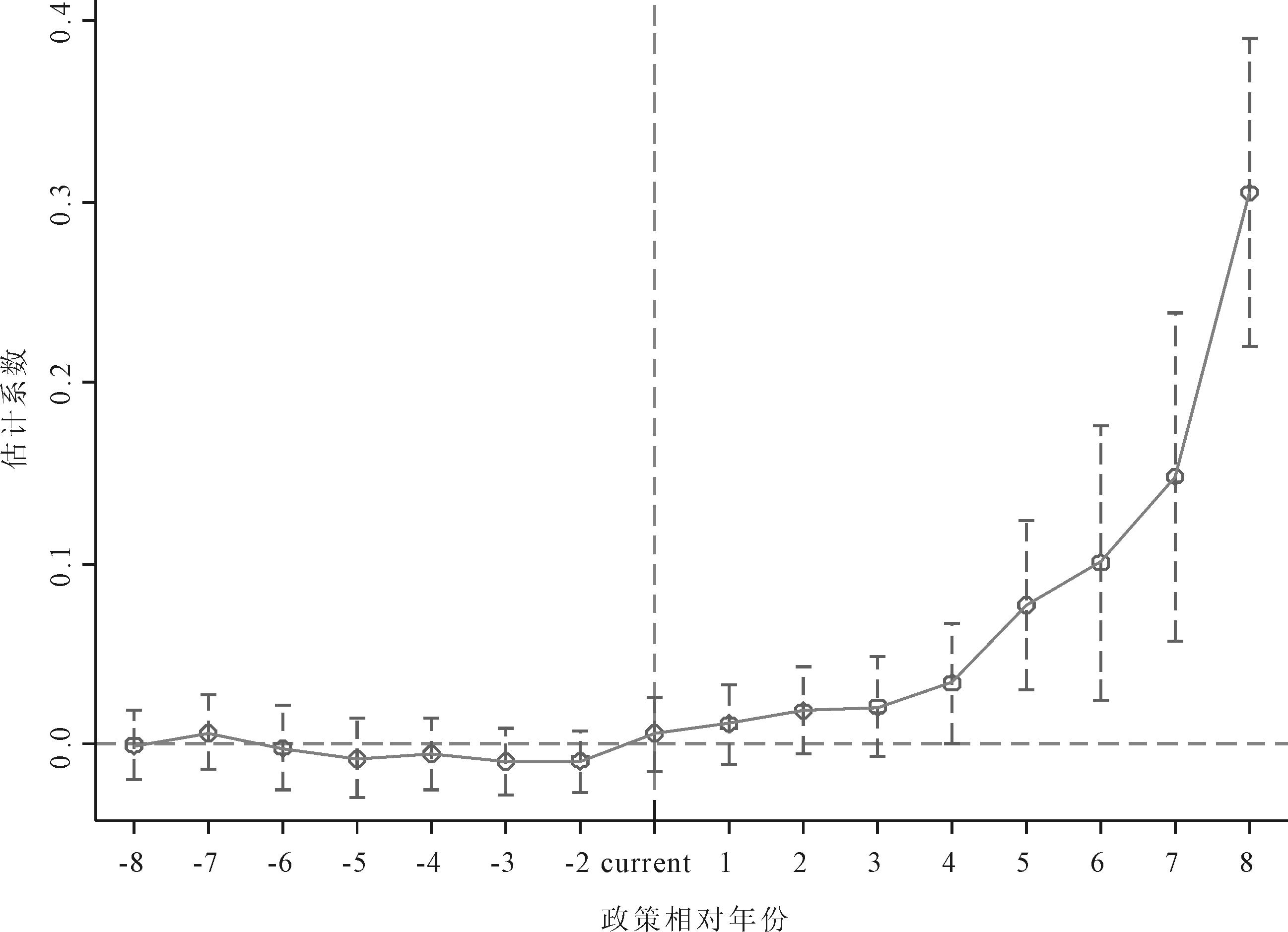
由图2可知,在公共数据开放平台上线前βk并不显著,未拒绝事前趋势平行假设。值得注意的是,βk在公共数据开放平台上线当期由向下波动趋势转变为向上波动趋势,且在平台上线后第4期开始显著,说明公共数据开放对城市绿色发展效率的提升效果存在滞后性,可能原因在于数据要素与传统生产要素的多样化组合需经历必要周期。

图2 平行趋势假设评估
Fig.2 Assessment of the parallel trend hypothesis

4.3 稳健性检验

4.3.1 安慰剂检验

为避免不可观测或随机因素的潜在干扰,本文采用反事实框架对基准回归结果进行检验。具体而言,在所有样本城市中随机选取与处理组等量的城市作为伪试验组,将其余城市指定为伪对照组。图3为模型重复估计500次后伪政策的回归系数和P值,可以发现,伪政策的处理效应估计值集中在0附近,显著异于基准回归的真实值,且大部分估计P值高于0.05,再次验证基准回归结果稳健。

图3 安慰剂检验
Fig.3 Placebo test

4.3.2 内生性检验

参考柏培文和张云[34]的研究,本文选择城市地形起伏度作为工具变量,以缓解因变量缺失、反向因果关系和测量误差等引起的内生性问题。一方面,地形起伏大的城市在基础设施建设中面临更多困难,这将影响信息化和数据开放工作进展,因此满足工具变量相关假设;另一方面,地形起伏是客观的地理因素,满足工具变量外生假设。由于地形起伏属于横截面数据,因此本文进一步将其与上年度全国互联网用户数交乘,以反映时间维度的变化。由表3结果可知,第一阶段工具变量估计系数显著为负,符合预期与现实。同时,工具变量通过了不可识别性检验和弱工具变量检验,即工具变量选取合理。第二阶段PDO的回归系数在1%水平上显著为正,表明在缓解内生性问题后,公共数据开放能够提升城市绿色发展效率的研究结论依然稳健可靠。

表3 内生性检验结果
Table 3 Endogeneity test results

(1)(2)变量第一阶段第二阶段PDOGDEIV-0.000 2***(-8.604 2)PDO0.333 2***(5.831 2)Constant4.653 2***4.591 2***(3.522 8)(6.406 2)控制变量控制控制城市固定效应控制控制年份固定效应控制控制N4 4804 480R20.593 30.359 7Kleibergen-Paap rk LM statistic80.07[0.00]Kleibergen-Paap Wald rk F statistic 73.90{16.38}

注: [ ]数值为P值,{ }数值为Stock-Yogo弱识别检验10%水平上的临界值

4.3.3 多期DID异质性处理效应检验

在多期双重差分模型中,传统双向固定效应估计量实则为样本中所有可能的两期双重差分估计量的加权平均值。当处理效应存在异质性(即处理效应在不同组别或不同时点存在差异)时,该估计量可能因“负权重”问题而产生偏误,从而影响估计结果的可信度[35]。本文所研究的政府数据平台从2012年开始陆续上线,处理时间存在差异。较早接受处理的城市在接受处理后仍作为后接受处理的城市的对照组。然而,若处理效应异质,相对于后接受处理的城市而言,先接受处理的城市在接受处理后并不一定满足平行趋势,从而影响整体估计结果。Bacon分解具体结果如表4所示,可以发现,可能引发偏误的以先接受政策冲击城市为对照组的权重占比仅为7.8%,表明对整体估计结果干扰较小,基准结果总体可靠。进一步,本文采用考虑异质性处理效应的稳健估计策略[36]展开估计,回归系数的符号、大小和显著性与基准回归结果基本一致,证明了研究结果的稳健性与可靠性。

表4 异质性处理效应检验结果
Table 4 Results of the heterogeneity treatment effect test

对照组种类系数权重从未接受政策冲击的组为对照组0.0190.655后接受政策冲击的组为对照组0.0440.267先接受政策冲击的组为对照组-0.0620.078

4.3.4 其它稳健性检验

(1)剔除直辖市样本。直辖市通常为经济、行政资源高度集中的地区,使得其在政策响应方面显著不同。因此,本文将北京、上海、天津和重庆从原样本中剔除,在此基础上重新进行回归,结果如表5列(1)所示。可以发现,公共数据开放依然显著提升城市绿色发展效率,与原基准结论一致。

表5 其它稳健性检验结果
Table 5 Other robustness test results

变量剔除直辖市(1)排除相关政策干扰(2)(3)(4)双重机器学习(5)(6)PDO0.019 0***0.015 7**0.019 4***0.015 6**0.017 8***0.043 8***(2.640 4)(2.206 1)(2.730 2)(2.193 5)(2.613 1)(6.014 6)Internet0.030 9***(4.945 9)Bigdata0.037 8***(4.742 5)Information0.030 6***(4.406 4)控制变量一次项是是是是是是控制变量二次项否否否否是是城市固定效应是是是是是是年份固定效应是是是是是是Constant6.441 4***6.461 4***6.810 7***6.422 4***-0.000 00.008 8***(11.378 4)(11.441 3)(12.268 2)(11.038 0)(-0.017 2)(3.965 0)观测值4 4164 4804 4804 4804 4804 480R20.6020.6030.6030.603--

(2)排除相关政策干扰。在本文的样本窗口期内,我国部署了多项战略性政策以完善数字基础设施,提升数字公共服务。鉴于此,本文依次将与公共数据开放相关的“宽带中国”(Internet)、“信息惠民”(Information)和“大数据试验区”(Bigdata)试点政策的虚拟变量纳入基准回归,实证结果如表5列(2)~(4)所示。可以发现,PDO系数未发生明显波动,再次验证原基准回归结果的可信度。

(3)双重机器学习模型估计。双重机器学习使用内曼正交估计矩进行交叉拟合估计,能够破解传统回归模型在处理高维控制变量时面临的“维度诅咒”和多重共线性两大难题[37]。基于此,本文采用双重机器学习方法重新检验公共数据开放与城市绿色发展效率之间的因果关系。分别使用拉索回归和支持向量机预测方法,纳入控制变量集合的一次项和二次项,并将样本分割比例设定为1∶4,相关结果如表5列(5)(6)所示。可以发现,核心解释变量PDO的估计系数始终在1%水平上显著为正,证明原基准结果稳健。

4.4 影响机制检验

由前文分析可知,数字技术创新效应和数字产业集聚效应是公共数据开放赋能城市绿色发展效率提升的作用机制,具体实证结果如表6所示。

表6 机制检验结果
Table 6 Mechanism test results

变量数字技术创新效应DTIGDE(1)(2)数字产业集聚效应DIAGDE(3)(4)PDO0.019 1***0.017 9**0.056 1**0.016 2**(6.133 6)(2.475 7)(1.972 3)(2.278 5)DTI0.340 2***(4.995 7)DIA0.008 2*(1.880 5)Sobel Z4.838***3.356***Bootstrap Z5.249***3.141***Bootstrap置信区间[0.005, 0.011][0.001, 0.004]控制变量是是是是城市固定效应是是是是年份固定效应是是是是Constant2.777 8***1.894 5***32.802 5***6.607 7***(4.067 3)(9.102 4)(11.151 9)(10.965 8)观测值4 4804 4804 4804 480R20.7890.5970.8150.602

由列(1)可知,公共数据开放对数字技术创新影响的估计系数为正值,且在99%的置信区间显著,表明公共数据开放能够刺激数字技术创新。列(2)结果表明,数字技术创新对城市绿色发展效率亦存在显著正向影响。此外,由Sobel检验和Bootstrap检验得到的Z值统计量均显著为正,证明部分中介效应存在。以上结果说明公共数据开放能够通过数字技术创新效应提升城市绿色发展效率。主要原因在于,公共数据开放带来的海量资源不仅拓宽了数字技术创新主体的要素组合空间,而且能够避免信息不对称引致的投资决策不确定性问题,有效缓解数字技术创新的融资约束。在此基础上,数字技术创新通过赋能传统产业绿色转型,催生共享经济、循环经济等新业态,构筑起支撑城市绿色发展效率提升的技术基底。列(3)中公共数据开放的估计系数显著大于0,说明公共数据开放能够促进数字产业的空间集聚。同时,列(4)中数字产业集聚的估计系数也显著为正,表明数字产业集聚能够促进城市绿色发展效率提升,符合既有研究和相关事实。在此基础上进行Sobel检验,结果显示,Z值统计量显著为正。同时,进行Bootstrap(1 000次)抽样检验,发现中介效应置信区间不包含0。综上,数字产业集聚效应在公共数据开放与城市绿色发展效率关系中发挥传导机制作用。主要原因在于,公共数据开放显著降低知识和技术密集型企业获取数据要素的成本。在成本导向下,数字产业向提供优质公共数据服务的核心节点城市集聚。这种地理集聚通过共享基础设施产生规模经济效应,直接降低单位产出的资源消耗。同时,集群内部的知识溢出效应会加速先进技术扩散与应用,从而奠定城市绿色发展效率提升的产业基础。综上可得,假设H2成立。

4.5 调节效应分析

数字时代绿色低碳化和数字智能化在社会领域的融合日益深入,导致分析公共数据开放对绿色发展效率的影响已经无法回避环境规制带来的压力冲击。表7展示了调节效应检验结果。其中,列(2)(3)(4)是在列(1)基础上,分别加入调节变量、公共数据开放与调节变量的交互项。由列(2)可知,交互项(PDO×CER)的系数在5%水平上显著为负,表明命令控制型环境规制在公共数据开放影响城市绿色发展效率的过程中发挥负向调节作用。原因在于,企业为满足既定的刚性要求,需投入大量资源用于合规性活动,从而在一定程度上挤占原本用于创新活动的资源和空间,进而削弱公共数据开放对绿色发展效率的正面影响。列(3)(4)中交互项PDO×MERPDO×PER的系数均在1%水平上显著为正,表明市场激励型、公众自愿型环境规制均对公共数据开放与城市绿色发展效率关系存在积极的调节作用。一方面,在市场激励型环境规制“污染者付费”原则的引导下,企业利用公共数据开放平台提供的数据资源,在经济增长与污染治理之间找到平衡。另一方面,公众自愿型环境规制越高,表明公众、社区及非政府组织的监督力度越大,从而倒逼城市绿色发展效率提升。综上分析,假设H3成立。

表7 调节效应检验结果
Table 7 Moderating effect results

变量GDE(1)(2)(3)(4)PDO0.016 7**0.022 9***0.013 9*0.011 7*(2.339 4)(3.155 5)(1.912 1)(1.652 3)CER0.744 9**(2.169 8)PDO×CER-1.160 6**(-2.128 0)MER-0.002 0(-1.606 7)PDO×MER0.004 1***(4.683 8)PER-0.057 3***(-4.368 5)PDO×PER0.037 5***(3.167 5)控制变量是是是是城市固定效应是是是是年份固定效应是是是是Constant6.877 5***1.833 3***6.581 9***9.721 1***(12.187 6)(8.022 6)(11.572 4)(11.282 9)观测值4 4804 4804 4803 640R20.6010.5910.6040.626

4.6 异质性分析

(1)数字基础设施建设异质性。作为公共数据开放平台高效运行的重要载体,数字基础设施发展程度直接影响数据流通效率、平台响应能力以及数据价值挖掘深度。为此,参考黄勃等[38]的研究,选取城市互联网接入端口数量与居民人数之比衡量数字基础设施水平,并依据中位数将样本划分为高、低子样本进行分组回归。由表8列(1)(2)可知,相较于数字基础设施薄弱城市,公共数据开放对数字基础设施完善城市的绿色发展效率存在更为明显的促进作用,且组间系数差异检验结果支持这一结论。究其原因可能是,完善的数字基础设施不仅优化了数据要素流通环节,促进市场主体对海量数据的高效接入与存储,而且依托云计算、智能算法等先进技术,为数据的实时分析、智能决策与创新应用提供了坚实的技术支撑,从而持续放大数据要素的绿色价值潜能。

表8 异质性分析结果
Table 8 Heterogeneity analysis results

变量数字基础设施水平高低(1)(2)知识产权保护高低(3)(4)资源禀赋资源型非资源型(5)(6)PDO0.034 3***-0.008 50.024 6**0.001 60.036 0***0.003 0(3.330 2)(-0.915 5)(2.428 9)(0.158 3)(3.004 3)(0.339 1)组间系数差异P值0.0000.0030.000控制变量是是是是是是城市固定效应是是是是是是年份固定效应是是是是是是Constant6.455 0***7.671 9***5.453 2***8.135 1***6.543 9***6.922 6***(5.917 9)(8.407 3)(6.802 9)(10.092 4)(6.917 2)(9.518 4)观测值2 2402 2402 2402 2401 8082 672R20.5660.6730.5710.6420.5620.617

注:组间系数差异P值是基于Bootstrap的费舍尔组合检验法,重复抽样1 000次计算获得

(2)知识产权保护异质性。知识产权保护作为创新生态的重要保障,深刻影响市场主体数字技术创新意愿。本文借鉴沈国兵和黄铄珺[39]的研究,基于北大法宝司法案例库手工收集各城市知识产权案件审结数,经城市GDP去规模化处理后,参照显性比较优势指数构建城市知识产权保护指标,并按其中位数将样本划分为高、低保护水平组。由表8列(3)(4)可知,公共数据开放的绿色赋能效应仅在知识产权保护水平较高城市中显著。可能的原因是:知识产权保护缺位会削弱对创新成果的法律保障,抑制市场主体进行数字创新的积极性;反之,有力的知识产权保护通过优化市场竞争环境、提升创新主体收益预期,吸引更多企业与研发机构参与数字创新,促进新技术与新产品应用,进而提升城市绿色发展效率。

(3)资源禀赋异质性。根据2013年国务院印发的《全国资源型城市可持续发展规划(2013—2020年)》,将样本城市划分为资源型城市和非资源型城市。表9列(5)(6)表明,公共数据开放对资源型城市绿色发展效率具有显著促进作用,而对非资源型城市绿色发展效率无显著影响,组间系数差异检验的P值也证明此结论可靠。可能的原因是,非资源型城市对资源开采的依赖程度较低,面临的绿色转型压力较小,而资源型城市长期依赖资源开采,普遍面临资源枯竭、生态恶化等严峻挑战,因而绿色转型需求更迫切。公共数据开放为资源型城市提供了基于数据的环境治理新手段,有助于这些城市在污染监测和治理方面精准化,从而在促进经济增长的同时保护环境,因此在提升资源型城市绿色发展效率方面展现出更明显的边际效应。

5 结论与启示

5.1 研究结论

提升绿色发展效率是实现经济发展与环境保护“双赢”的关键。本文采用包含非期望产出的超效率SBM模型测度中国280个地级及以上城市绿色发展效率,同时,通过构建多期双重差分模型,实证检验公共数据开放与城市绿色发展效率之间的因果关系。获得的主要结论如下:

(1)公共数据开放能够显著提升城市绿色发展效率,该结论经平行趋势假设评估、双重机器学习再检验、异质性处理效应检验等多重稳健性检验后依然成立。

(2)公共数据开放主要通过两条渠道赋能城市绿色发展效率提升:一是通过推动数字技术创新,带动传统产业向智能化和绿色化方向转型,进而提升城市绿色发展效率;二是通过加速数字产业集聚,通过规模效应和知识溢出效应实现经济发展与环境保护协调,进而促进城市绿色发展效率提升。

(3)不同的环境规制在公共数据开放提升城市绿色发展效率过程中发挥差异化的调节作用。其中,市场激励型环境规制、公众自愿型环境规制与公共数据开放平台的有机结合能够放大绿色赋能效应,而命令控制型环境规制则会削弱公共数据开放的绿色价值。

(4)异质性分析结果表明,公共数据开放对绿色发展效率的促进效果在资源型城市、数字基础设施完善城市和知识产权保护程度较高城市中更显著。

5.2 政策建议

(1)加快培育数据要素市场,充分释放公共数据资源的赋能作用。政府通过制定科学的数据开放政策、完善数据共享机制、加强数据安全保障等措施,建立健全并持续完善公共数据开放平台,为做强做优做大数字经济、构筑国家竞争新优势提供坚实支撑。政府应建立一套完善的数据质量监控机制,定期对开放数据进行复查、补充、审核与评估,以确保公共数据的完整性和准确性,同时,制定严格的数据更新策略,依托大数据、智能算法等技术实现精细化时效管理,提升数据及时性。

(2)探索多元化绿色发展效率提升路径,充分挖掘公共数据开放的绿色价值。首先,政府应优先开放企业、科研机构等创新主体所需的数据资源,并通过实施税收优惠、设立专项资金等方式鼓励研发部门利用公共数据进行数字技术创新,为绿色发展培育新经济增长点。其次,各级政府应紧密结合市场需求动态与未来发展趋势,制定具有前瞻性且以绿色发展为导向的数字产业发展规划,并建立健全人才共享机制、搭建人才交流平台,促进知识与经验在数字产业集群内的高效传递和融合。

(3)坚持以市场激励型和公众自愿型环境规制为主,命令控制型环境规制为辅,协同发力共促城市绿色发展。一是政府应创新顶层设计,灵活运用环境保护税等市场激励措施,激发市场主体在绿色发展中的主动性和创造力。二是政府需进一步拓展公众参与环境事务的渠道,例如在公共数据开放平台中上线环境政策解读专栏与互动问答板块,进一步激发公众参与型环境规制对绿色发展效率的正外部性。三是政府应深入调研不同行业、不同规模企业生产工艺和污染排放特点,据此进行更加精准和合理的环境规制。

(4)因地制宜地推进公共数据开放工作。在数字基础设施薄弱城市,政府重点完善数字基础设施体系,包括扩大高速网络覆盖、升级数据中心设施、构建高效云计算平台等,以期为数据的全面高效采集、精确处理及创新应用奠定坚实基础。对于知识产权保护薄弱的城市,政府需加快数据产权立法,建立确权与侵权追溯机制,维护市场主体利用开放数据进行数字创新的积极性。此外,非资源型城市应积极搭建政产学研协同平台,激励多元主体深度挖掘数据价值,以最大化公共数据开放对绿色发展效率的赋能效应。

5.3 不足与展望

虽然本研究证实了公共数据开放能够提升城市绿色发展效率,但仍存在以下不足:首先,尽管以政府数据平台上线为准自然实验可以缓解内生性问题,但并未对不同城市公共数据开放水平进行定量分析。未来可以通过构建指标体系,从不同维度分析公共数据开放水平,进而精确把握公共数据开放对城市绿色发展效率的影响。其次,本文探究了公共数据开放对城市绿色发展效率的本地化影响,缺乏对其空间溢出效应的关注。未来研究可以采用空间计量模型,进一步探究公共数据开放对城市绿色发展效率的空间溢出效应和衰减边界。

参考文献:

[1] 张云昊,王磊.公共数据开放伦理:概念界定、内在困境与治理路径[J].科技进步与对策,2025,42(5):12-20.

[2] 蔡运坤,周京奎,袁旺平.数据要素共享与城市创业活力——来自公共数据开放的经验证据[J].数量经济技术经济研究,2024,41(8):5-25.

[3] 王晓丹,石玉堂,刘达.公共数据开放能促进数字经济与实体经济融合吗——来自政府数据平台上线的准自然实验[J].南方经济,2024,42(9):25-44.

[4] 方锦程,刘颖,高昊宇,等.公共数据开放能否促进区域协调发展——来自政府数据平台上线的准自然实验[J].管理世界,2023,39(9):124-142.

[5] 马亮,高峻,李娅宁.数字化赋能制造企业绿色转型升级——绿色创业导向与绿色创新的链式中介作用[J].科技进步与对策,2024,41(17):76-86.

[6] 克甝,滕彦琼.数字技术赋能绿色全要素生产率的效应与机制研究——来自中国277个城市的经验数据[J].东方论坛—青岛大学学报(社会科学版),2025,32(2):103-122.

[7] 岳宇君,马艺璇.数字技术赋能城市环境治理:节能、减排与增效[J].经济体制改革,2025,43(2):3-11.

[8] 叶瑞克,吴佩窈.数字贸易的城市碳减排效应及创新驱动机制——基于国家电子商务示范城市的准自然实验[J].商业研究,2025,49(2):72-83.

[9] 王博,康琦.数字金融与企业可持续发展绩效——异质性特征、微观机制与宏观调节作用[J].南开经济研究,2024,40(5):162-176.

[10] ZHAO X, LU S, YUAN S. How does the digitization of government environmental governance affect environmental pollution?spatial and threshold effects[J]. Journal of Cleaner Production, 2023, 415(34): 137670.

[11] 操小娟,张诗嘉.政府数字治理与绿色全要素生产率提升——来自“互联网+政务服务”试点政策的证据[J].上海经济研究,2024,44(12):42-56.

[12] 王海,叶帅,尹俊雅.公共数据开放如何提振企业有效投资——基于产能利用视角[J].中国工业经济,2024,42(8):137-153.

[13] 张吉昌,龙静.政府数据开放何以赋能企业创新[J].现代经济探讨,2024,31(4):29-43.

[14] 胡金焱,于露,刘茵伟.数据要素资源与企业劳动雇佣——基于公共数据开放的准自然实验[J].济南大学学报(社会科学版),2024,34(4):5-15.

[15] 郭家堂,骆品亮.数据要素对县级资源型城市低碳化发展的影响及其机制——来自省级公共数据开放平台的证据[J].资源科学,2024,46(10):1944-1958.

[16] WU D, XIE Y. Unveiling the impact of public data access on collaborative reduction of pollutants and carbon emissions:evidence from open government data policy[J]. Energy Economics, 2024, 138(10): 107822.

[17] 刘学元,李沁如,朱映恺,等.绿色供应链管理、信息共享与创新绩效——长期导向的调节作用[J].珞珈管理评论,2025,19(1):23-42.

[18] 李博,梁铎瀚,余建辉.新质生产力视角下公共数据开放对资源型城市转型的影响[J].资源科学,2024,46(10):1895-1911.

[19] PACK H. Endogenous growth theory: intellectual appeal and empirical shortcomings[J]. Journal of Economic Perspectives, 1994, 8(1): 55-72.

[20] 陈艳利,蒋琪.数据生产要素视角下开放公共数据与企业创新——基于建立公共数据开放平台的准自然实验[J].经济管理,2024,46(1):25-46.

[21] 刘洋,董久钰,魏江.数字创新管理:理论框架与未来研究[J].管理世界,2020,36(7):198-217.

[22] 张益畅,郑酌基,李雪琴,等.数字产业融合如何驱动城市数字技术创新发展——来自“三网融合”的证据[J].南京财经大学学报,2024,31(6):100-110.

[23] KRUGMAN P.Increasing returns and economic geography[J].Journal of Political Economy,1991, 99(3):483-499.

[24] 李栋,张映芹,李开源.数字产业集聚、地方政府干预与地区绿色全要素生产率[J].统计与信息论坛,2025,40(4):48-60.

[25] SUN Y, ZHOU C. Which works better? comparing the multiple effects of heterogeneous environmental regulations on urban green economic transformation in China[J]. Journal of Environmental Management, 2024, 368(20): 122124.

[26] 徐伟呈.数字金融、异质型环境规制与绿色全要素生产率[J].财经科学,2023,67(11):1-16.

[27] BARBERA A J, MCCONNELL V D. The impact of environmental regulations on industry productivity: direct and indirect effects[J]. Journal of Environmental Economics and Management, 1990, 18(1): 50-65.

[28] 夏学超,孙慧,祝树森,等.多元主体环境规制组合如何实现降碳减污扩绿增长协同推进[J].中国人口·资源与环境,2024,34(8):22-35.

[29] 牛晓童,王恺,杨友才.异质型环境规制影响中国化工行业集聚的研究[J].经济问题,2023,45(3):84-93.

[30] 李金林,陈立泰,刘梅.互联网发展对中国区域绿色经济效率的影响[J].中国人口·资源与环境,2021,31(10):149-157.

[31] 王明秀,张可云,高志刚.数字基础设施建设对城市数字技术创新水平的影响——基于“宽带中国”战略的准自然实验[J].改革,2025,41(2):105-118.

[32] 孙伟增,毛宁,兰峰,等.政策赋能、数字生态与企业数字化转型——基于国家大数据综合试验区的准自然实验[J].中国工业经济,2023,41(9):117-135.

[33] 马平平,张明,王龙可.公众环境关注与企业绿色转型:政府环境规制与企业内部能力的双重审视[J].中国人口·资源与环境,2024,34(6):112-123.

[34] 柏培文,张云.数字经济、人口红利下降与中低技能劳动者权益[J].经济研究,2021,56(5):91-108.

[35] GOODMAN-BACON A. Difference-in-differences with variation in treatment timing[J]. Journal of Econometrics, 2021, 225(2): 254-277.

[36] SUN L, ABRAHAM S. Estimating dynamic treatment effects in event studies with heterogeneous treatment effects[J]. Journal of Econometrics, 2021, 225(2): 175-199.

[37] CHERNOZHUKOV V, CHETVERIKOV D, DEMIRER M, et al. Double/debiased machine learning for treatment and structural parameters[J]. Econometrics Journal, 2018, 21(1): C1-C68.

[38] 黄勃,李海彤,刘俊岐,等.数字技术创新与中国企业高质量发展——来自企业数字专利的证据[J].经济研究,2023,58(3):97-115.

[39] 沈国兵,黄铄珺.城市层面知识产权保护对中国企业引进外资的影响[J].财贸经济,2019,40(12):143-157.

(责任编辑:胡俊健)