标杆的力量:绿色工厂评定的技术创新扩散效应研究

肖涵月,宋晓玲,赵向豪

(新疆财经大学 经济学院,新疆 乌鲁木齐 830012)

摘 要:充分认识和发挥标杆企业对绿色技术创新扩散的示范引领作用,是实现新质生产力驱动产业全面绿色转型的重要突破口。将国家级绿色工厂评定视作绿色制造示范的一项准自然实验,利用2012—2023年中国A股上市公司数据,实证检验绿色工厂评定对绿色技术创新扩散的影响效应和作用机制。结果发现:①绿色工厂评定显著增加获评企业绿色发明专利被引数量,有效促进绿色技术创新扩散;②由绿色工厂评定形成的“标杆示范—信号传递—竞争调节”作用机制,主要通过提升获评企业环境绩效表现,增加媒体关注和机构投资者跟踪,强化市场竞争的绿色导向,进而促进绿色技术创新扩散;③从扩散轨迹看,绿色工厂评定不仅能够提升非绿色企业对绿色企业的专利引用数量,而且促进跨城市专利引用;④绿色技术创新扩散效应受到企业自身和外部环境的双重调节。一方面,规模大、技术水平高及重点行业企业更易于发挥标杆示范作用;另一方面,完善的知识产权保护、技术转移保障及低碳治理监督更有利于促进绿色技术创新扩散。本研究为绿色制造示范实现“以点带面”的效果提供了微观经验证据,为优化绿色制造标杆培育体系提供了参考。

关键词:绿色技术创新扩散;绿色工厂评定;绿色制造示范;双重差分法

The Power of Benchmarks: A Study on the Diffusion Effect of Technological Innovation in Green Factory Certification

Xiao Hanyue,Song Xiaoling,Zhao Xianghao

(School of Economics, Xinjiang University of Finance and Economics, Urumqi 830012, China)

Abstract:Accelerating the diffusion of green technology innovation is not only key to unlocking its full economic and environmental benefits but also a crucial driver for achieving the comprehensive green transformation of China's economy. In this context, leveraging the leading role of benchmark enterprises in promoting green technology innovation diffusion is of paramount importance. In 2016, China's Ministry of Industry and Information Technology launched the Green Manufacturing Standard System Construction Demonstration Initiative, aiming to guide the green transformation of the manufacturing industry through standardization and exemplary practices. Among these efforts, green factories serve as the core entities and fundamental units of green manufacturing. From 2017 to 2024, a total of 6 430 national green factories were established across various regions, spanning a wide range of industries and geographical areas with strong temporal continuity.

To verify whether green factories fulfill their policy-mandated demonstration role, this study conceptualizes green factory certification as a quasi-natural experiment in China's green manufacturing demonstration. Using a sample of A-share listed firms (2012-2023), the study adopts a difference-in-differences (DID) design to empirically examine how green factory certification affects green technology diffusion and delineate the underlying causal mechanisms. Additionally, it identifies actionable strategies to enhance the demonstration effects and industrial spillovers of such green manufacturing policies.

The study reveals the following findings: (1) The green factory certification policy has significantly enhanced the diffusion of green technology innovation among certified enterprises, as evidenced by a notable increase in citation counts of their green invention patents. Further analysis identifies a network-based diffusion mechanism: in terms of diffusion channels, the policy simultaneously facilitates horizontal diffusion among green factories and vertical diffusion to non-certified enterprises; in terms of geographical scope, the policy not only promotes intra-city technology transfer but also transcends administrative boundaries, enabling cross-city diffusion. (2) The transmission mechanism of the green factory certification policy follows a "demonstration effect → signal effect → competition effect" pathway. Specifically, the certification strengthens the "green benchmark" status of certified enterprises by improving their post-certification environmental performance. It also signals "high environmental performance" to the market through increased media attention and institutional investor follow-up, thereby reinforcing the green orientation of regional and industry market competition. This systematically enhances the diffusion of green technology innovation by boosting the driving force from innovation sources, the pulling force from adopters, and the coordination between the two. (3) The diffusion effects of green technology innovation are influenced by both endogenous firm characteristics and exogenous environmental factors. On one hand, larger firms with advanced technological capabilities and those in policy-targeted key industries can more effectively serve as technological benchmarks, thereby accelerating green technology innovation diffusion. On the other hand, stronger intellectual property protection mechanisms, more robust technology transfer safeguards, and enhanced external low-carbon governance oversight can all positively moderate the diffusion effects of green technology innovation.

The marginal contributions of this study are as follows: From the perspective of green technology innovation diffusion, this study empirically examines how green factory certification unleashes the "point-to-area" effect of benchmark enterprises, which not only comprehensively assesses the economic impacts of green factory certification but also provides micro-level empirical evidence for improving the cultivation system of green manufacturing benchmarks and their experience-sharing mechanisms. Additionally, by exploring the transmission mechanism of "demonstration effect → signaling effect → competition effect" in green factory certification policies, the study reveals the transmission process of green technologies from innovation sources to adopters, clarifies the key links and driving forces behind the spillover effect of green benchmarks, and thereby optimizes the policy incentive pathways for technology diffusion.

Thus, in the benchmark demonstration phase, efforts should focus on refining the green manufacturing benchmarking system with a focus on green factories to strengthen the driving force for green technology diffusion. Second, during the knowledge sharing phase,establishing an optimized dissemination mechanism for best practices among green factories will help enhance the efficiency of technology transfer; and for the market incentive adjustment phase, strengthening the coordination of green and low-carbon policies is necessary to boost the motivation for technology adoption, thus promoting the sustainable transformation of the manufacturing industry through these interconnected measures.

Key WordsDiffusion of Green Technological Innovation; Green Factory Certification; Green Manufacturing Demonstration; Difference-in-differences Method

收稿日期:2025-03-06

修回日期:2025-06-03

基金项目:新疆维吾尔自治区社会科学基金项目(2025BYJ044)

作者简介:肖涵月(1988—),女,新疆伊犁人,博士,新疆财经大学经济学院讲师、硕士生导师,研究方向为资源环境经济与绿色技术创新;宋晓玲(1987—),女,新疆乌鲁木齐人,博士,新疆财经大学经济学院副教授、硕士生导师,研究方向为产业经济;赵向豪(1986—),男,河南漯河人,博士,新疆财经大学经济学院副教授、硕士生导师,研究方向为农业经济。

DOI:10.6049/kjjbydc.D62025030170

开放科学(资源服务)标识码(OSID):

中图分类号:X322;F273.1

文献标识码:A

文章编号:1001-7348(2025)21-0085-11

0 引言

以绿色技术为引领的新质生产力正成为驱动经济增长与绿色发展双赢的重要引擎[1]。相较于一般技术,绿色技术创新具有周期长、风险高和收益不确定等特征,提高了市场主体参与门槛,部分地区绿色技术发展滞后,呈现出显著的空间非均衡特征[2]。绿色技术创新扩散有助于打破知识“缄默”,提升创新成果利用与转化效率,加速绿色技术知识迭代与积累式创新[3]。在此背景下,促进绿色技术创新扩散成为破解绿色技术发展不充分、不平衡等问题的重要突破口。党的二十届三中全会强调“加快经济社会发展全面绿色转型”。加快绿色技术创新扩散不仅是充分释放其经济与环境效应的关键所在,而且是发挥新质生产力引领作用、实现全面绿色转型和高质量发展目标的重要支撑。

理论上,技术创新扩散是由创新源、采纳者和扩散渠道等核心要素构成的复杂系统,表现为前沿技术在潜在使用者之间的引用、推广与应用[4]。在这一过程中,企业并非盲目引进技术,而是通过系统观察创新源企业的技术行为及其成果,甄选创新收益显著的标杆企业作为学习与模仿对象[5]。然而,由于环境信息披露的有限性以及绿色技术创新收益的不确定性[6],绿色技术创新扩散通常面临信息传递障碍和主体动力不足的双重瓶颈,亟需借助外部激励机制加以突破。制造业是我国绿色转型的重点领域。2016年,工业和信息化部办公厅发布《关于开展绿色制造体系建设的通知(以下简称“绿色制造示范”),旨在通过标准化、示范化路径引领制造业绿色升级。其中,绿色工厂是绿色制造示范的核心主体和基础单元,其创建初衷是发挥绿色标杆在制造业转型升级中的基础性和导向性作用。截至2024年,各地累计培育国家级绿色工厂6 430家,覆盖行业和空间范围广泛,且具有较强时间延续性。作为绿色前沿技术的重要载体和实践平台,绿色工厂能否发挥“以点带面”作用、促进绿色技术创新扩散是衡量政策效果的重要方面。

从相关研究来看,部分文献探讨了绿色工厂评定对获评企业的影响效应。研究结果表明,绿色工厂评定作为外部激励手段,显著促进企业绿色技术创新[7-8]。同时,作为自愿型环境规制,其显著提升企业环境信息披露质量和对外直接投资额[9-10];作为一种资本市场信号,其对企业股价产生积极影响[11]。上述研究虽然证实绿色工厂评定对获评企业绿色转型的推动作用,但是较少深入涉及其示范带动效应,针对政策效果的全面识别也存在探讨空间。另一部分研究重点探讨了技术创新扩散的宏观诱因,包括经济、金融发展水平等经济因素[12],以及环境规制[13]、城市协同创新[2]等制度因素。尽管有少量研究开始关注引致绿色技术创新扩散的微观机理,如同群效应[14],但针对企业层面的政策激励研究仍显不足。在此背景下,深入探究绿色工厂评定对企业绿色技术创新扩散的影响,不仅有助于全面评估绿色制造示范创建效果,而且能为完善制造业绿色发展标杆培育体系、发挥新质生产力带动效能提供理论借鉴。

综上,本文将绿色工厂评定视为一项绿色制造示范创建准自然实验,以2012-2023年中国A股上市公司作为研究样本,运用渐进式双重差分法识别绿色工厂评定对企业绿色技术创新扩散的影响效应和作用机制,并探索提升绿色制造示范“以点带面”成效的路径。与已有研究相比,本文的边际贡献主要体现在:①从绿色制造示范效应视角更全面地识别绿色工厂评定的经济效果。已有研究多聚焦绿色工厂评定对企业绿色技术创新行为的影响,而对其标杆示范作用的探讨有限。本文以政策示范效果为研究重点,从绿色技术创新扩散视角实证检验绿色工厂评定如何激发标杆企业“以点带面”潜能,为完善绿色制造标杆培育体系及经验推广机制提供微观经验证据。②从微观视角丰富绿色技术创新扩散机制研究,为政策激励思路提供有益补充。以往研究多从单一维度分析绿色技术创新扩散的驱动因素,缺乏对系统内部扩散过程的深入探讨。本文发现,绿色工厂评定通过“标杆示范—信号传递—竞争调节”三重机制作用于绿色技术创新扩散,揭示了从创新源到采纳者的传递过程,有助于系统发掘绿色标杆“以点带面”的关键环节及动因,优化绿色技术创新扩散的政策激励路径。

1 理论分析与研究假设

示范创建旨在发挥标杆管理优势,是我国治理实践中常用的政策工具,主要通过标准评估、竞争性认定和经验推广等方式进行政策动员[15]。绿色工厂评定政策遵循创建示范的一般程序,其在培育阶段和示范阶段具有明显差异。在培育阶段,绿色工厂创建主要将绿色制造目标与标准化理论相结合,筛选具有绿色发展潜力的企业作为标杆培育对象。例如《绿色工厂评价通则》(GB/T36132-2018)明确了评价基本要求和指标体系,并针对行业特性制定标准,为绿色工厂的标准化建设提供系统化指导。企业若满足用地集约化、原料无害化、生产洁净化、废物资源化、能源低碳化等要求,可通过自主评价、自愿申请、部门评审等程序纳入绿色工厂名单。获评绿色工厂后,企业即从绿色标杆培育阶段转向示范阶段。在示范阶段,政策措施通过多种方式提升绿色工厂标杆功能。一是外部监督长效化。主管部门对绿色工厂实施动态管理,包括监督、指导和不定期检查,对不达标企业实行退出机制并予以公告。二是宣传推广程序化。获评企业需按生态环境部门要求披露环境信息,并通过公开渠道展示绿色制造先进技术与典型做法。此外,工业和信息化部及地方主管部门定期开展专项宣传推介活动,总结推广绿色工厂创建的先进经验与成效。三是激励措施精准化。获评企业在专项资金申请、政府采购、金融支持等方面享有精细化配套政策。

Rogers等[4]的创新扩散理论认为,创新源、扩散渠道和采纳者是完成技术创新扩散的三个必备要素。其中,创新源与采纳者共同构成技术创新扩散主体,其异质性动机形成双重驱动机制:一是创新源的推力,即技术创新者基于自身利益最大化原则,主动推动技术创新扩散;二是采纳者的拉力,即技术引进者通过模仿、引用现有先进专利技术进行自我创新,从而促进技术创新扩散[16]。扩散渠道是指前沿技术信息从创新源流向采纳者的方式与借助的媒介。作为示范创建政策,绿色工厂评定强化了绿色工厂(创新源)与竞争企业(采纳者)之间的技术创新扩散关系和驱动力。一方面,绿色工厂评定通过建立长效监督机制提升获评企业的环境关注度,同时,配套激励政策以缓解其研发资金约束,从而在激励—约束双重作用下持续推动获评企业的绿色技术创新扩散[7-8]。另一方面,政策还通过市场竞争激活未获评企业对绿色工厂的技术跟随。具体而言:政策标准所形成的规范性压力促进各企业间技术交流,形成技术扩散的同群效应[14];政策对绿色工厂企业实施资源倾斜,促使未获评企业为争取政策红利,主动进行专利引用、技术引进。从采纳者角度来看,上述行为有助于其降低创新成本,加速达到绿色工厂评定标准。综上,本文提出以下研究假设:

H1:绿色工厂评定能够促进企业间绿色技术创新扩散。

从扩散过程来看,绿色工厂评定通过“标杆示范—信号传递—竞争调节”三重机制促进绿色技术创新扩散,如图1所示。具体而言:

图1 理论框架
Fig.1 Theoretical framework

(1)标杆示范效应。绿色工厂作为绿色制造示范主体,其环境绩效的持续改进既是绿色标杆培育效果的体现,也是实现“以点带面”技术创新扩散效应的前提条件。ESG评分与绿色技术创新水平等环境绩效指标已成为衡量行业标杆企业的显性标准,有效促进同行企业间的经验学习[17]。绿色工厂评定对企业环境绩效的影响体现在两个方面:其一,绿色工厂评定基于严格的标准体系,对具备先进绿色生产水平的企业给予能力认证,树立企业的绿色声誉。作为企业的无形资产,绿色声誉不仅能够转换为实际的企业价值,而且能成为防范企业道德风险的长效激励机制,促使其持续优化环境管理。其二,绿色工厂评定具有事后激励作用,对企业绿色技术创新形成促进效应。从政策实施层面,各地方政府通过现金奖励、专项资金支持、绿色信贷优惠等多元化激励政策,在一定程度上增加企业研发投入并补偿绿色技术创新外部性,显著提升获评企业创新产出,尤其是对创新质量的提升作用最明显[7-8]。技术创新扩散效应与创新源企业的行业地位具有相关性,通常是标杆企业对后发企业产生技术溢出和引领作用[18-19]。绿色工厂评定通过提高企业绿色声誉、事后激励,进一步提升获评企业的事后环境绩效表现,巩固其作为行业绿色标杆的引领地位,增强创新主体技术创新扩散推力。

(2)信号传递效应。信息不对称是形成技术创新扩散壁垒、制约技术市场良性发展的关键诱因之一。环境信息披露质量参差不齐、企业环境绩效具有较强隐蔽性,导致行业在绿色技术信息搜寻与选择过程中面临高昂成本。鉴于注意力有限,强化市场信号传递、提升市场关注度是破解信息不对称困境、促进高质量技术创新与扩散的有效途径[20-21]。从制度和信息经济学视角,绿色工厂评定能够通过信号甄别与传递机制增加市场关注度。一方面,绿色工厂评定作为政府背书的认证体系,其标准化评定流程发挥信号甄别功能,不仅能降低行业内对绿色标杆企业的识别成本,而且能有效提升绿色技术市场透明度和公信力[10],引导市场聚焦获评企业。另一方面,各地方政府在示范推广阶段通过报刊、政务平台、权威媒体等渠道加强绿色工厂创建经验的宣传推广,构建制度化信息传播网络,旨在提升绿色技术信息的市场能见度,促使获评企业的环境绩效更易被同行企业、机构投资者发现和学习,进而形成“政策认证—市场关注—技术扩散”的信号传递机制,为绿色技术创新扩散创造良好的制度环境与渠道条件。

(3)竞争调节效应。市场竞争是引致技术创新扩散的一个重要因素。基于竞争理论,企业为了保持自身不受同行威胁,会根据同行企业行为做出策略性调整,通常选择模仿和引进领军企业技术[22]。此外,市场竞争也被证明是推动企业绿色技术创新与技术引进的关键因素[23-24]。绿色工厂评定从多个维度提升获评企业绿色竞争优势,对原有市场的均衡状态形成冲击并重塑市场竞争的绿色导向。在资本市场竞争中,绿色工厂创建不仅能够显著提高获评企业股价,而且对同行企业绿色转型形成倒逼作用[11];在产品市场竞争中,获评企业在产品出口、入选政府采购目录时具有先发优势,并对同行企业市场份额构成竞争威胁;在要素市场竞争中,获评企业因自身环境风险降低,有助于提升员工满意度和劳动力供给意愿[25],进而在吸引高素质劳动力方面占据优势。因此,为了维持竞争平衡,防止偏离绿色导向带来的损失,同行企业会采取跟随策略,模仿与引进获评企业绿色技术,以较快地提升创新质量和创新收益。综上,绿色工厂评定政策通过调节市场竞争的绿色导向,增强非绿色工厂企业对绿色工厂企业绿色技术模仿、引进的内生动力,进而强化绿色技术创新扩散拉力。综上,本文提出研究假设:

H2:绿色工厂评定通过提高获评企业环境绩效表现、增加市场关注度和强化市场竞争的绿色导向,促进绿色技术创新扩散。

2 研究设计

2.1 样本与数据来源

本文选择2012—2023年中国A股上市公司作为研究样本。首先,从中国研究数据服务平台(CNRDS数据库)、国泰安数据库(CSMAR)收集上市公司基本信息。其次,对样本数据进行清洗,剔除公司关键财务、治理数据缺失的样本,剔除金融类以及ST、*ST、PT类经营状态异常样本,剔除资产负债率大于1的样本,同时,对主要连续变量进行1%缩尾处理。绿色专利数据及主要机制变量数据来源于中国研究数据服务平台(CNRDS),其余数据来源于《中国环境统计年鉴》《中国城市统计年鉴》。

2.2 模型构建与变量选取

2.2.1 模型构建

本文将国家级绿色工厂评定视为一项绿色制造示范政策的准自然实验,基于政策冲击前后获评企业绿色技术创新扩散水平变化评估政策净效应。本文参考王茂斌等[9]的做法,根据工业和信息化部公布的绿色工厂评定名单及其权属关系,对样本数据与绿色工厂评定名单进行匹配,若样本期内上市公司或其控股子公司获评绿色工厂则纳入处理组(557家),其余上市公司为对照组(2 854家)。考虑到2012-2023年工业和信息化部分八批次公布绿色工厂名单(第八批次名单公布时间为2023年12月29日,未纳入分析),政策冲击时点具有多期特征,本文采用多期双重差分法进行政策效应评估,构建基准模型:

GTDi,t=α0+α1GIPi,t+δXi,t+μi+ωt+εi,t

(1)

其中,下标it分别表示样本企业和年份;被解释变量GTDi,t表示绿色技术创新扩散水平;核心解释变量为双重差分项GIPi,t,表示企业是否被评定为绿色工厂;Xi,t为一组控制变量;μiωt分别为个体固定效应、时间固定效应,εi,t为随机扰动项。本文重点关注GIPi,t的系数α1,如果α1显著为正则表示绿色工厂评定对企业绿色技术创新扩散具有促进效应。

2.2.2 变量选取

(1)被解释变量(GTD):绿色技术创新扩散。绿色技术创新扩散源于市场对前沿技术的需求,专利文献数据是提供前沿技术信息的重要来源且数据披露较完整。许东彦等[13]、王宇等[14]均以企业或地区绿色专利被引数量作为绿色技术创新扩散的代理变量,不仅能够较好地表征绿色技术创新成果在不同主体间的扩散水平,而且能与人才、资本流动引致的知识溢出效应加以区分。为更好地反映绿色前沿技术扩散情况,本文以企业申请绿色发明专利的被引数量作为绿色技术创新扩散的代理变量,将其加1取对数后作为被解释变量。在此基础上,本文还剔除上市公司自引的绿色发明专利数量作为对照。

(2)核心解释变量(GIP):企业是否评定为绿色工厂。若上市公司或其控股子公司在第t年入选国家级绿色工厂名单,则GIP在第t年及以后年份取值为1,否则为0。

(3)机制变量(M)。根据理论分析,绿色工厂评定主要通过提升获评企业环境绩效表现,增加市场关注度以及强化市场竞争的绿色导向以促进绿色技术创新扩散。据此,本文从不同维度选取具有代表性的机制变量,其相较于单一指标能够更全面地验证政策“标杆示范—信号传递—竞争调节”的扩散机制。标杆示范效应中,绿色技术创新水平和ESG表现是企业环境绩效的重要表征,本文以企业绿色专利申请数(GP)、华证ESG评分(ESG)作为代理变量。信号传递效应中,媒体与投资机构分析师关注度是构成市场信号机制的重要媒介[26]。因此,本文分别采用年度网络、报刊财经新闻内容(MAC)或标题(MAT)中出现某上市公司的数量作为媒体关注度的代理变量,其数值越大代表关注度越高。此外,以当年关注某公司的证券分析师人数(AN)以及相关分析报告数量(RN)作为投资机构关注度的代理变量。竞争调节效应中,本文分别采用上市公司所在行业(两位数行业代码)赫芬达尔指数(HHI)的负数、所在城市规模以上工业企业集聚区位熵指数(RC)表征行业、地区市场竞争程度。

(4)控制变量(X)。为控制变量遗漏导致的估计偏误,本文参考王茂斌等[9]、戴魁早等[8]的研究,选取企业层面控制变量:企业年龄(AGE)、企业规模(SIZE)、产权性质(SOE)、资产收益率(ROA)、企业价值(TQ)、固定资产比率(FIX)、资产负债率(LEV)、营业收入增长率(GROWTH)。同时,还纳入地区层面变量,如环境规制(REG)、科技投入(TECH)。变量测算说明如表1所示。

表1 变量定义及描述性统计结果
Table 1 Variable definitions and statistical description

变量类型变量名称变量符号变量测算均值标准差最小值最大值被解释变量绿色技术创新扩散lnGTD0.8691.3440.0008.240核心解释变量绿色工厂评定GIP0.0800.2720.0001.000机制变量绿色发明专利申请数lnGPAP0.6481.0430.0006.895绿色发明专利授权数lnGPAU0.3270.7320.0006.698ESG评分年均值ESGA4.1740.9261.0008.000ESG评分中位数ESGM测算说明见上文4.1750.9641.0008.000媒体关注度-内容lnMAC5.2631.7200.00016.336媒体关注度-标题lnMAT4.3161.4630.00012.614分析师关注度-分析师人数lnAN1.3521.1910.0004.331分析关注度-研究报告数量lnRN1.6701.4850.0005.700行业竞争度-HHI-0.0920.084-0.429-0.014地区竞争度RC11.30416.4060.17071.120

续表1 变量定义及描述性统计结果
Table 1(Continued) Variable definitions and statistical description

变量类型变量名称变量符号变量测算均值标准差最小值最大值控制变量企业年龄lnAGEln(企业成立年限)2.9420.3261.0984.189企业规模lnSIZEln(企业总资产)22.1941.29515.57728.636产权性质SOE国有控股企业取值为1,否则为00.3150.46501资产收益率ROA企业净利润/企业总资产0.0390.059-0.2170.197企业价值TQ企业托宾Q值=(流动市值+非流通市值+总负债)/总资产2.0191.2510.8398.219固定资产比率FIX企业固定资产净值/企业总资产0.2100.1530.0040.679资产负债率LEV企业总负债/企业总资产0.4000.1970.0520.863营业收入增长率GROWTH(本期营业收入-上期营业收入)/上期营业收入0.1440.344-0.5011.999科技投入lnTECHln(科学技术支出)13.6311.6768.57515.998环境规制REG各省污染治理完成投资额/工业增加值*1000.1740.1640.0010.875

3 实证结果分析

3.1 基准分析

基准模型(1)采用逐步加入控制变量、固定效应的估计方法,估计结果见表2,其中,列(1)~(4)被解释变量为企业绿色发明专利被引数,列(5)被解释变量为剔除企业自引数的绿色发明专利被引数。结果显示,核心解释变量绿色工厂评定(GIP)系数在1%水平上始终显著为正。以列(5)为例,GIP的系数为0.129,表明在获评绿色工厂后,处理组企业的绿色发明专利被引数比对照组平均提升约0.129%,即使剔除企业自引数后系数仍显著。该结果表明,绿色工厂评定显著提升获评企业绿色技术创新扩散水平,有助于发挥其示范引领作用,验证了假设H1。控制变量中,企业规模、企业年龄、企业价值、固定资产比率、科技投入、环境规制均与企业绿色发明专利被引数呈显著正相关关系,是促进绿色技术创新扩散的有利因素;企业营业收入增长率、总资产利润率与企业绿色发明专利被引数呈负相关关系,可能原因是,获取边际利润是企业进行绿色技术创新或技术引进的内在动力,当营业收入和利润增长较快时,企业可能因管理者自满情绪产生创新惰性,从而不利于绿色技术创新扩散。

表2 基准模型估计结果
Table 2 Benchmark estimation results

变量(1)(2)(3)(4)(5)GIP0.805***0.147***0.143***0.136***0.129***(0.026)(0.035)(0.034)(0.034)(0.033)AGE0.751***0.719***0.734***(0.158)(0.158)(0.155)SIZE0.301***0.309***0.296***(0.022)(0.021)(0.020)SOE-0.006-0.001-0.004(0.035)(0.035)(0.035)ROA-0.351**-0.361**-0.360**(0.108)(0.107)(0.106)TQ0.035***0.035***0.033***(0.006)(0.006)(0.005)FIX0.319***0.307**0.302***(0.088)(0.087)(0.085)LEV-0.009-0.014-0.004(0.069)(0.068)(0.067)GROWTH-0.096***-0.097***-0.097***(0.012)(0.013)(0.013)REG0.084**0.081*0.086**(0.043)(0.041)(0.041)TECH0.066***0.081***0.077***(0.009)(0.042)(0.009)Constant0.803***0.861***-9.258***-9.263***-9.071***(0.008)(0.003)(0.662)(0.633)(0.625)控制变量NNYYY时间固定NYYYY个体固定NYYYY地区固定/行业固定NNNYY样本量33 72633 51333 21133 21133 211R20.0260.7910.8050.8050.801

注:***、**、*分别表示1%、5%和10%的显著性水平;括号内为企业层级的聚类稳健性标准误,下同

3.2 稳健性分析

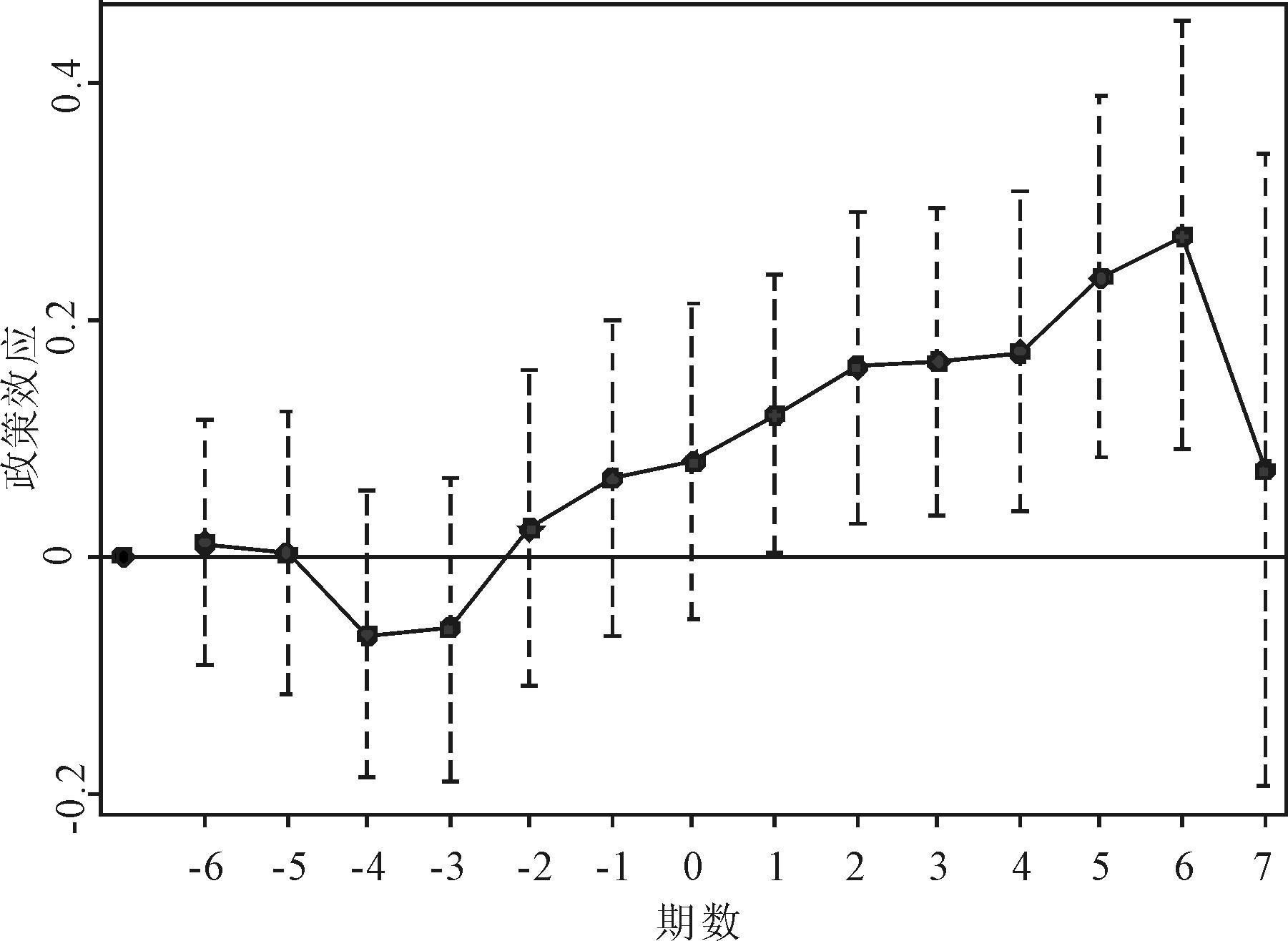
(1)平行趋势假设检验及动态效应。处理组与控制组满足平行趋势假设是进行双重差分分析的前提条件。本文运用事件研究法对事前趋势进行检验,以政策发生前一期为基期考察处理组与控制组企业绿色发明专利被引数有无明显变化,并识别绿色工厂评定政策效应的动态变化趋势。结果如图2所示,基期前政策效应系数接近于零值且不显著(95%的置信区间内),表明处理组企业与控制组企业的绿色技术创新扩散在绿色工厂评定前具有共同趋势,满足双重差分法的基本条件。从动态变化来看,绿色工厂评定对企业绿色技术创新扩散的促进效应从第1期开始逐步增强,但在第7期后不再显著。

图2 平行趋势检验
Fig.2 Parallel trend test

(2)安慰剂检验。为排除不可观测遗漏变量对绿色技术创新扩散的潜在干扰,本文采用安慰剂检验方法,对双重差分项GIP进行500次随机抽样。图3展示随机实验组估计结果的分布情况,可以发现绝大多数P值大于0.1,估计系数均值趋近于0,且与基准回归的真实系数0.129偏离较大。这表明基准回归系数在安慰剂检验中属于明显异常值,从而排除其他遗漏变量对基准结论的干扰。

图3 安慰剂检验
Fig.3 Placebo test

(3)PSM-DID。绿色工厂创建采取企业自主申报方式,绿色技术领先企业可能先行获评“绿色工厂”称号,导致实验组选择并非随机的。为缓解样本自选择产生的估计偏差,本文采用倾向得分匹配-双重差分法(PSM-DID)进行估计。具体而言,以控制变量作为匹配变量,运用1∶2近邻匹配和核匹配法筛选出与处理组特征相近的样本。为避免时间错配问题,本文采用逐年匹配方式进行样本筛选。匹配后的结果满足平衡性假设,确保了样本可比性。估计结果如表3所示,GIP系数至少在5%水平上显著为正,进一步支持假设H1成立。

表3 PSM-DID检验结果
Table 3 PSM-DID test results

变量(1)近邻匹配(2)核匹配GIP0.058**0.164***(0.026)(0.036)Constant-9.436***-9.276***(0.772)(0.681)控制变量YY个体固定YY时间固定YY地区/行业固定YY样本量10 90229 139R20.8330.806

(4)其他稳健性检验。①替换被解释变量。授权的绿色发明专利是经过严格审核的,其被引数能有效反映绿色技术创新扩散质量。因此,本文将企业绿色发明授权专利被引数作为绿色技术创新扩散的代理变量,重新估计模型(1)。结果如表4列(1)所示,替换被解释变量没有对基准结果稳健性产生影响。②变更估计方法。由于专利引用数存在零值和离散特征,故本文采用泊松回归对基准模型重新估计,结果如表4列(2)所示,GIP估计系数依然显著为正,即原结果稳健。③控制前定变量。企业绿色技术创新能力不仅可以作为事前绿色工厂评定的考量因素,而且可能影响事后专利引用,为避免由此产生的估计偏误,本文将政策冲击前五年各企业绿色发明专利数与GIP的交互项作为前定控制变量加入基准模型,如表4列(3)所示,在控制前定变量的情况下GIP系数未发生明显变化。④排除干扰政策影响。样本期内专精特新“小巨人”评定、高新技术企业评定等政策可能对估计结果形成干扰,本文将上述政策冲击的虚拟变量加以控制,表4列(4)(5)显示估计结果稳健。⑤改变聚类层级。考虑到不同企业可能在地区、行业层面存在组内相关性,本文将基准模型中的聚类标准误从企业层级调整为行业、省份层级,结果如表4列(6)所示,GIP系数通过5%水平上的显著性检验且为正,支持基本结论。⑥多维固定。为排除随时间和区域变化的共同不可观测因素,本文对行业、城市与时间趋势项的交互固定效应进行控制,如表4列(7)所示,GIP系数显著性未发生明显变化,即原结果稳健。⑦调整样本范围。鉴于绿色工厂评定主要涉及制造业企业,本文进一步细化对照组样本范围,剔除非制造业企业,表4列(8)显示估计结果依然稳健。

表4 其他稳健性检验结果
Table 4 Other robustness test results

变量替换被解释变量(1)变更估计方法(2)控制前定变量(3)控制其他政策(4)(5)改变聚类层级(6)多维交互固定(7)改变样本范围(8)GIP0.099***0.497***0.131***0.129***0.130***0.129**0.187***0.179***(0.027)(0.108)(0.033)(0.033)(0.033)(0.055)(0.034)(0.034)Constant-4.492***-19.850***-9.069***-9.049***-9.070***-9.071***-7.198***-9.100***(0.459)(0.985)(0.625)(0.627)(0.626)(1.211)(0.627)(0.694)控制变量YYYYYYYY个体固定YYYYYYYY时间固定YYYYYYYY地区/行业固定YNYYYYYY多维交互固定NNNNNNYN样本量33 21133 21133 21133 21133 21133 21132 35523 816R20.8160.6090.8000.8000.8010.8000.8130.803

3.3 扩散机制分析

根据理论分析,绿色技术创新扩散的动力机制包含技术创新源推力、技术采纳者拉力以及技术创新扩散渠道。绿色工厂评定分别通过标杆效应、竞争效应强化绿色技术创新扩散的推力、拉力,并在信号效应的作用下畅通技术创新扩散渠道,进而促进绿色技术创新扩散,本文将逐一对上述机制进行检验。

(1)标杆效应。绿色工厂评定政策通过提升获评企业事后环境绩效,强化其“绿色标杆”地位,为绿色工厂“以点带面”的技术创新扩散创造了先行条件,并增强了绿色技术创新扩散推力。为检验这一机制,本文选取绿色专利数量、ESG评分作为企业环境绩效代理变量,考察标杆企业环境绩效对绿色技术创新扩散的中介作用。表5列(1)(2)被解释变量分别为绿色专利申请数、绿色专利授权数,结果显示,GIP估计系数在1%水平上显著为正,表明绿色工厂评定对获评企业绿色技术创新产出和创新质量具有显著的促进效应,这与朱朝晖等[7]、戴魁早等[8]的研究发现一致。表5列(3)(4)被解释变量分别为上市公司的ESG评分年均值、中位数,估计结果显示绿色工厂评定同样对企业ESG表现具有提升作用,进一步改善获评企业事后环境绩效,有利于巩固企业“绿色标杆”地位和绿色技术创新扩散基础。

表5 标杆效应分析结果
Table 5 Bench-marking effect analysis results

变量绿色发明专利申请数绿色发明专利授权数ESG评分年均值ESG评分中位数 (1) (2) (3) (4)GIP0.138***0.111***0.117***0.107**(0.031)(0.026)(0.030)(0.031)Constant-6.172**-3.347***0.6850.498(0.523)(0.403)(0.540)(0.559)控制变量YYYY个体固定YYYY时间固定YYYY地区/行业固定YYYY样本量33 21133 21133 21133 211R20.7180.6690.5080.456

(2)信号效应。理论上,绿色工厂评定政策通过增加市场关注度缓解绿色技术创新扩散过程中的信息不对称问题,提升技术采纳者的判断准确性与决策有效性,从而促进扩散进程,其中,媒体与投资机构发挥媒介作用,具有“聚光灯”效应[26]。本文以企业媒体关注度、分析师关注度作为中介变量,检验绿色工厂评定政策对市场关注度的影响,以考察政策冲击的信号效应。表6列(1)(2)被解释变量为媒体关注度,列(3)(4)被解释变量为分析师关注度,结果显示,GIP估计系数至少在5%水平上显著为正,表明绿色工厂评定政策显著提升获评企业市场关注度,包括来自媒体和机构投资者的关注。这一效应有助于降低市场中其他企业对先进绿色技术的信息搜寻成本,进而拓展绿色工厂“以点带面”技术创新扩散的信息渠道。

表6 信号效应分析结果
Table 6 Signal effect analysis results

变量媒体关注度-内容媒体关注度-标题分析师关注度研究报告数量 (1) (2) (3) (4)GIP0.253***0.224***0.062**0.059**(0.039)(0.043)(0.029)(0.024)Constant-3.346***-2.704***-11.303***-14.373***(0.675)(0.765)(0.519)(0.416)控制变量YYYY个体固定YYYY时间固定YYYY地区/行业固定YYYY样本量33 21133 21133 21133 211R20.6380.5200.7270.728

(3)竞争效应。理论上,绿色工厂评定政策能够强化市场竞争的绿色导向,正向调节市场竞争对绿色技术创新扩散的促进效应。对此,本文分别采用行业赫芬达尔指数(HHI)、企业集聚区位熵指数(RC)表示行业、空间双重维度下的市场竞争压力,以考察市场竞争对绿色技术创新扩散的影响,估计结果如表7列(1)(3)所示。可以发现,其估计系数均显著为正,表明无论是行业内还是地区内,激烈的市场竞争对绿色技术创新扩散具有正向影响效应。在此基础上,本文加入市场竞争与核心解释变量(GIP)的交互项,进一步检验绿色工厂评定政策的调节作用。如表7列(2)(4)所示,交互项HHI*GIPRC*GIP的系数均显著为正,表明绿色工厂评定政策对行业和区域市场竞争效应均具有正向调节作用,能够促进其他企业对绿色专利技术的引用、学习,形成绿色技术创新扩散拉力。分析其原因,绿色工厂评定政策提升了获评企业的绿色“标杆地位”和竞争优势,这一制度设计重塑了区域和行业竞争格局,促使未获评企业为突破绿色资源壁垒、维持市场竞争力,主动采取技术模仿和跟随策略。更重要的是,这种调节作用在行业竞争和区域竞争中均存在,进一步表明绿色工厂评定政策有助于形成更广泛的绿色技术创新扩散网络,实现“以点带面”的政策初衷。因此,研究假设H2成立。

表7 竞争效应分析结果
Table 7 Competition effect analysis results

变量行业维度(1)(2)地区维度(3)(4)HHI0.725***0.705***(0.086)(0.087)HHI*GIP0.452**(0.220)RC0.003**0.002*(0.001)(0.001)RC*GIP0.002**(0.001)GIP0.125***0.113***(0.019)(0.019)Constant-8.867***-8.865***-8.313***-8.261***(0.355)(0.354)(0.351)(0.349)控制变量YYYY个体固定YYYY时间固定YYYY样本量33 21133 21133 15033 150R20.8030.8030.8010.801

3.4 异质性分析

在绿色工厂发挥技术创新扩散“以点带面”功能时,其不仅受到企业内在动力的驱动,更离不开外部环境的支撑。因此,本文基于内部、外部双重视角,探讨创新源和扩散环境对绿色技术创新扩散效应的异质性影响。

(1)内部视角:技术创新源特征的异质性。绿色工厂的企业规模、技术水平及行业属性等特征会影响政策标杆效应与信号效应,进而影响绿色技术创新扩散结果。①企业规模。本文根据企业资产总额均值设置企业规模虚拟变量(Scale),将大于均值的企业定义为1,其余定义为0,在基准模型中加入绿色工厂评定政策与企业规模虚拟变量的交互项,以考察企业规模的异质性影响。结果如表8列(1)所示,交互项GIP*Scale系数显著为正,与基准模型中政策净效应系数一致,表明绿色工厂评定政策对绿色技术创新扩散的促进效应在大规模企业中更显著。②技术水平。本文根据企业全要素生产率(OP法)均值设置企业技术水平虚拟变量(Tech),并通过控制交互项考察企业技术水平的异质性影响。结果如表8列(2)所示,交互项GIP*Tech系数显著为正,意味着技术水平越高的企业所产生的扩散效应越显著。③行业属性。获评企业的行业属性可能影响绿色工厂评定政策对市场竞争的调节作用。工业和信息化部在《绿色制造标准体系建设指南》中明确绿色工厂建设的重点领域,进一步凸显其绿色竞争导向。据此,本文对企业所属的两位数行业代码进行匹配并设置重点行业虚拟变量(KI),通过控制交互项考察行业属性的异质性影响。结果如表8列(3)所示,交互项GIP*KI系数显著为正,表明政策引导下重点行业的绿色技术创新扩散成效更突出。

表8 异质性分析结果
Table 8 Heterogeneity analysis results

变量技术创新源(1)(2)(3)技术创新扩散环境(4)(5)(6)GIP*Scale0.392***(0.069)GIP*Tech0.168***(0.043)GIP*KI0.234***(0.064)GIP*IPPC0.091**(0.038)GIP*TTC0.126**(0.040)GIP*LCC0.075*(0.039)Constant-3.334***-3.186***-9.017***-8.262***-8.227***-9.056***(0.482)(0.489)(0.624)(0.351)(0.347)(0.353)控制变量YYYYYY个体固定YYYYYY时间固定YYYYYY样本量33 21133 21133 21133 21133 21133 211R20.7970.7960.8010.8010.8010.802

(2)外部视角:技术创新扩散环境的异质性。①技术创新扩散的条件保障。良好的制度环境是形成绿色技术创新扩散渠道的保障,完善的知识产权保护和技术转移机制能够减少绿色技术创新源与采纳者之间的信息摩擦,促进创新源与采纳者利益一致。为优化创新驱动发展环境,我国先后设立了知识产权保护示范区以及国家技术转移中心,为促进地区技术创新与转移提供了良好的制度支撑[27]。鉴于此,本文分别加入核心解释变量与知识产权保护示范城市(IPPC)、国家技术转移中心城市(TTC)的交互项,从制度保障视角考察扩散制度环境的异质性影响。结果如表8列(4)(5)所示,交互项估计系数均显著为正,表明当绿色工厂位于国家技术转移中心城市或知识产权保护示范城市时,其技术创新扩散效应更显著,验证了完善的制度设计能够促进绿色技术创新扩散,也为其他地区完善技术创新扩散生态提供了借鉴。②低碳治理监督。在以降碳为重点的绿色转型背景下,低碳治理监督是驱动企业绿色技术创新扩散的重要外部因素之一。本文通过控制核心解释变量与低碳试点城市(LCC)的交互项,进一步考察低碳治理监督的异质性影响。结果如表8列(6)所示,交互项估计系数显著为正,表明位于低碳试点城市的绿色工厂呈现出显著的技术创新扩散效应,意味着宏观层面的低碳城市建设与微观层面的绿色工厂评定存在协同效应,能够通过政策互补构建更加系统、高效的绿色技术扩散生态系统。

3.5 关于绿色技术创新扩散范围的进一步分析

上述研究结果表明绿色工厂评定政策形成以获评企业为支点的技术创新扩散效应,但其具体扩散对象和空间影响范围仍需进一步明确。在构筑全国统一大市场背景下,有必要进一步考察绿色工厂评定政策促进绿色技术创新扩散的作用轨迹。首先,为检验政策是否对非绿色工厂企业产生技术创新扩散效应,本文根据专利引用对象是否为绿色工厂企业,对专利引用数据进行分组,重新计算被解释变量,表9列(1)(2)被解释变量分别为绿色工厂专利引用数(GF)、非绿色工厂专利引用数(NGF)。结果显示GIP估计系数均显著为正,表明绿色工厂评定政策不仅在绿色工厂之间形成横向扩散效应,而且对非绿色工厂产生纵向的“以点带面”辐射带动效应,进一步验证政策设计中“标杆引领”机制的有效性。其次,行政边界对地区间技术扩散具有屏蔽作用,易导致创新产出下降[28-29]。为检验绿色工厂评定政策能否突破行政管辖边界,本文根据专利引用对象是否与绿色工厂企业属于同一个地级市,对专利引用数据进行分组。表9列(3)(4)被解释变量分别为绿色工厂专利的同城市引用数量(TDI)、跨城市引用数量(TDC)。结果显示,GIP估计系数均显著为正,表明绿色工厂评定政策的技术创新扩散效应不仅存在于同一城市内,而且在空间上形成跨城市的“以点带面”扩散效应。

表9 绿色技术创新扩散范围的进一步分析结果
Table 9 Further discussion on the diffusion boundary of green technology innovation

变量(1)(2)(3)(4)GFNGFTDITDCGIP0.049**0.095***0.082***0.097***(0.022)(0.022)(0.022)(0.022)Constant-2.354***-3.404***-1.783***-3.342***(0.305)(0.342)(0.280)(0.329)控制变量YYYY个体固定YYYY时间固定YYYY样本量33 21133 21133 21133 211R20.6190.6620.6320.661

4 结语

4.1 结论

本文以绿色工厂评定这一事件作为绿色制造示范的外生冲击,基于2012-2023年中国A股上市公司绿色专利引用数据,构建多时点双重差分模型,实证检验绿色工厂评定对绿色技术创新扩散的影响效应及作用机制。研究发现:

(1)绿色工厂评定政策显著提升获评企业绿色技术创新扩散水平,表现为绿色发明专利被引数明显增加。进一步分析发现,政策效应呈现“以点带面”的网络化扩散特征:从扩散对象来看,评定政策既促进绿色工厂之间的技术创新横向扩散,也实现向非绿色工厂的纵向扩散;从扩散空间来看,评定政策不仅推动城市内部的绿色技术创新扩散,而且突破行政边界,激活跨城市间的扩散效应。

(2)绿色工厂评定政策发挥效用的传导机制为“标杆示范—信号传递—竞争调节”。具体而言,绿色工厂评定通过提升获评企业事后环境绩效强化其“绿色标杆”地位,并通过增加媒体关注度、机构投资者跟随向市场传递“高环境绩效”信号,进而强化区域和行业市场竞争的绿色导向,系统提升绿色技术创新扩散的创新源推力、采纳者拉力以及二者协调性。

(3)绿色技术创新扩散效应受到企业自身异质性和外部环境异质性的影响,一方面,规模大、技术水平高以及政策明确的重点行业企业能更好地发挥技术标杆作用,促进绿色技术创新扩散;另一方面,完善的知识产权保护机制、技术转移保障机制以及外部低碳治理监督能够正向调节绿色技术创新扩散效应。

4.2 启示与建议

作为绿色制造示范的核心,绿色工厂在推动绿色技术创新扩散方面发挥重要作用。对此,本文提出如下建议:

(1)在“标杆示范”环节,完善以绿色工厂为核心的绿色制造标杆培育体系,增强绿色技术创新扩散源推力。一方面,应强化绿色标准体系对市场竞争的引导力,增强企业技术更新的能动性。另一方面,发挥技术转移中心、技术交易平台的枢纽作用,整合绿色工厂企业资源优势,构建绿色工厂企业技术合作与推广的精准对接机制。此外,进一步深化细分行业绿色工厂创建及评定标准,针对性扩大示范范围,重点增加绿色技术关键领域的示范企业数量。

(2)在“信号传递”环节,优化绿色工厂经验推广机制,畅通绿色技术创新扩散渠道。目前,各级地方政府针对绿色工厂创建出台多种奖励办法,有效调动各企业创建积极性,但对推广先进技术与管理经验的激励不足。一方面,应完善绿色工厂企业主动开展技术交流、经验分享的激励机制,尤其是跨区域绿色技术合作;另一方面,可借助媒体和投资机构的“聚光灯”效应,强化环境信息披露的外部监督,提高信息披露相关性和可比性。

(3)在“竞争调节”环节,加强绿色低碳政策协同,提高绿色技术采纳者拉力。应完善绿色工厂与低碳城市试点、绿色金融等政策的衔接机制,同频共振提升绿色信号对市场竞争的引导作用,通过加快绿色技术采纳者收益感知,增强其学习与引进新技术的内生动力,从而推动绿色技术的广泛应用与深度渗透。此外,充分发挥行业协会的沟通与反馈功能,提高绿色技术创新扩散效率。

4.3 不足与展望

本文存在以下局限:一是基于微观企业专利引用数据的可得性和时效性,本文以上市公司数据作为样本,可能导致研究结论的普适性受到一定影响。二是各地方政府在绿色工厂政策实施细则和配套措施的信息披露上存在差异,使得政策工具的量化评估存在较大困难,特别是难以深入分析工具(如财政补贴、绿色信贷等)的差异化效果,导致本文的政策机制分析和政策效应异质性探讨受限。后续研究可进一步搜集整理政策信息,丰富工具的文本量化方法,从而为细化绿色制造示范政策设计提供更完善的基础。

参考文献:

[1] 洪银兴.新质生产力及其培育和发展[J].经济学动态,2024,65(1):3-11.

[2] 孙博文.城市协同创新与绿色技术转移的互动关系:基于创新价值链循环视角[J].中国人口·资源与环境,2024,34(1):127-138.

[3] 郑曼妮,黎文靖,谭有超.技术转移与企业高质量创新[J].世界经济,2024,47(3):66-93.

[4] ROGERS E M, SINGHAL A, QUINLAN M M. Diffusion of innovations[M]//An integrated approach to communication theory and research. London:Routledge, 2014: 432-448.

[5] 王旭,褚旭.制造业企业绿色技术创新的同群效应研究——基于多层次情境的参照作用[J].南开管理评论,2022,25(2):68-81.

[6] 唐勇军,马文超,夏丽.环境信息披露质量、内控“水平”与企业价值——来自重污染行业上市公司的经验证据[J].会计研究,2021,42(7):69-84.

[7] 朱朝晖,林雯,曾爱民,等.“绿色工厂”评定对企业绿色创新的影响研究[J].当代财经,2023,44(7):3-16.

[8] 戴魁早,王思曼,黄姿.绿色工厂建设促进了企业绿色创新吗[J].数量经济技术经济研究,2024,41(11):177-199.

[9] 王茂斌,叶涛,孔东民.绿色制造与企业环境信息披露——基于中国绿色工厂创建的政策实验[J].经济研究,2024,59(2):116-134.

[10] 唐岑岑,邓建鹏,鲍晓华.自愿性环境规制下的对外直接投资:基于绿色工厂的证据[J].世界经济,2025,48(4):28-56.

[11] 陈艳莹,于千惠,刘经珂.绿色产业政策能与资本市场有效“联动”吗——来自绿色工厂评定的证据[J].中国工业经济,2022,43(12):89-107.

[12] 韩先锋,李佳佳,徐杰.绿色技术创新促进地区产业升级的动态调节效应——基于经济增长目标约束的新视角[J].科技进步与对策,2023,40(8): 44-53.

[13] 许东彦,林婷,张国建.环境规制对绿色技术创新扩散的影响[J].中南财经政法大学学报,2022,65(5):147-160.

[14] 王宇,李琳娜,王鹏飞.制度压力与企业绿色技术创新扩散群体行为研究[J].中国软科学,2024,39(5):197-209.

[15] 叶敏,陈昌军,张良.创建示范:政策执行中的控制性动员[J].政治学研究,2023,39(3):46-59,169.

[16] 曹兴,柴张琦.技术创新扩散的过程与模型:一个文献综述[J].中南大学学报(社会科学版),2013,19(4):14-22.

[17] 袁朋伟,任缘,董晓庆.良师益友:企业ESG表现的区域同群效应[J].重庆大学学报(社会科学版),2025,31(4):76-95.

[18] RAZZAQ A, AN H, DELPACHITRA S. Does technology gap increase FDI spillovers on productivity growth? evidence from Chinese outward FDI in Belt and Road host countries[J].Technological Forecasting and Social Change,2021,172:121050.

[19] 孙慧,祝树森,夏学超,等.技术领军企业对行业内企业技术创新能力的联动效应研究[J].科技进步与对策,2025,42(1):70-80.

[20] 刘林青,陈紫若,王罡.市场信号、技术特征与中国国际高质量专利[J].经济管理,2020,42(2):23-39.

[21] 宋肖肖,王爱萍,胡海峰.绿色投资者与企业绿色创新:基于机构投资者注意力视角[J].国际金融研究,2025,41(2):85-96.

[22] LIEBERMAN M B, ASABA S. Why do firms imitate each other[J]. Academy of Management Review, 2006, 31(2): 366-385.

[23] 陶长琪,鲁长河.市场一体化与绿色专利转移[J].财经科学,2024,68(12):82-99.

[24] 孙博文,杨霄斐.竞争政策的减污降碳协同效应——基于《反垄断法》实施的准自然实验[J].数量经济技术经济研究,2025,42(2):172-194.

[25] 杜雯秦,王建玲.绿色制造如何兼顾稳就业——来自绿色工厂评定的证据[J].山西财经大学学报,2024,46(9):73-88.

[26] 张欣琦,杨胜刚,王芍.社会信用体系建设对企业环境信息披露质量的影响研究[J].管理学报,2025,22(2):251-260.

[27] 张峻,刘小勇,王昕芊.国家知识产权试点政策是否促进了城市创新合作[J].经济学动态,2023,64(5):72-91.

[28] 付明卫,王鹤.行政边界、技术扩散与共同富裕[J].经济学动态,2023,64(5):55-71.

[29] 易巍,龙小宁.行政边界与专利知识传播[J].数量经济技术经济研究,2023,40(10):159-180.

(责任编辑:胡俊健)