This study utilizes the panel data of 30 provinces in China from 2012 to 2022, and empirically investigates the impact of the integration of the industrial chain and innovation chain on green innovation through the employment of the spatial and temporal double fixed-effects spatial Durbin model. The marginal contribution of this paper is manifested primarily in three aspects: First, on the basis of the connotation of the integration of the industrial chain and innovation chain, an evaluation index system for the integration of the industrial chain and innovation chain is established, and the coupled system coordination degree model is adopted for quantitative measurement. Second, from the dual perspectives of "quantity" and "quality" and considering spatial factors, the influence of the integration of the industrial chain and innovation chain on both the quantity and quality of green innovation in the region and neighboring regions is examined. Third, through mechanism analysis, the mediating effect of industrial structure upgrading and the gathering of scientific and technological talents in the influence of the two is empirically tested, and a further analysis of the regional heterogeneity of their influence in the Eastern, Central, and Western regions is conducted.
The research shows that the integration of the industrial chain and the innovation chain not only enhances the quantity and quality of green innovation within a region but also exerts positive spatial spillover effects on neighboring areas. Mechanism analysis reveals that this integration primarily drives the “quantity increase and quality improvement” of green innovation by accelerating industrial structure upgrading and promoting the gathering of scientific and technological talent. Regional heterogeneity analysis shows that the promotion effect of the integration of industrial chain and innovation chain on the green innovation of the central region is stronger than that of the eastern region and the western region. At the same time, the integration of industrial chain and innovation chain in the eastern region can enhance both the quantity and quality of green innovation in neighboring regions through the spatial spillover effect, while the spatial spillover effect in the central and western regions is not significant.
In accordance with the above conclusions, this paper puts forward the following policy recommendations. Firstly, the government should establish a reasonable and efficient mechanism for high-level synergistic development of the industrial chain and innovation chain. This involves devising comprehensive policies and measures that encourage the deep integration of these two chains. By doing so, the government can effectively drive the quantity and quality improvement of green innovation. Secondly, the government should actively guide and support the upgrading of traditional industries, and strengthen the introduction and cultivation of high-level scientific and technological talents, which includes continuously improving the remuneration and benefits of high-level scientific and technological talent and creating open and transparent innovation and R&D platforms. Finally, the government should give full play to the comparative advantages of each region according to the actual situation of each region and implement differentiated green innovation development strategies.
传统粗放型经济增长模式在创造大量物质财富的同时,也造成资源匮乏、环境恶化等问题。加快向绿色发展方式转型已成为我国实现经济可持续发展的必然选择。当前,我国经济发展已由高速增长阶段转向高质量发展阶段,比以往任何时候都更加需要科技创新作为引擎。绿色创新兼具绿色和创新两种特性,是实现“双碳”目标和实施创新驱动发展战略的重要支撑,日益成为推进生态文明建设、推动经济高质量发展的重要动力[1]。党的二十大报告强调,“推动绿色发展,促进人与自然和谐共生”,“加快节能降碳先进技术研发和推广应用”。我国要推进资源高效循环利用与节能降耗减排,进而实现经济绿色低碳转型和新旧动能转换,加快推动绿色创新是重要突破方向。过于注重绿色专利数量增长,则会造成绿色专利多而不优的“绿色创新泡沫”现象[2-4]。绿色创新数量和质量直接关系绿色创新成效(包健等,2023)。推进绿色创新发展不应只注重绿色创新数量增加,还应进一步追求绿色创新质量提升,即促进绿色创新“增量提质”。
随着全球科技创新进入空前密集活跃期,新一轮科技革命和产业变革方兴未艾。创新是引领发展的第一动力,推动科技创新与产业发展协同联动,推进产业链与创新链深度融合,逐渐成为促进我国经济绿色发展和创新动能提升,进而实现经济高质量发展的关键路径。习近平总书记强调,“要围绕产业链部署创新链、围绕创新链布局产业链,推动经济高质量发展迈出更大步伐”。产业链创新链融合,一方面有利于优化科技资源配置,降低绿色创新研发风险和成本,缩短企业绿色创新发展周期,从而推动绿色创新数量与质量提升;另一方面,还能整合产学研力量,增强隐性知识溢出效应,促进知识演化、裂变,聚合成新知识,实现关键核心技术突破,获得更具新颖性和突破性的高质量绿色创新成果,进而促进绿色创新“增量提质”[5]。因此,在推动经济高质量发展背景下,基于量与质的双重视角,研究产业链创新链融合对绿色创新的影响机制,不仅有利于厘清产业链创新链融合对绿色创新数量与质量的影响机理,从而推动产业链创新链深度融合,加快经济结构转型升级与形成新质生产力,实现绿色创新“增量提质”,而且对于构建绿色低碳循环发展经济体系、实施创新驱动发展战略和实现“双碳”目标也具有重要理论价值和实践意义。
产业链创新链融合是构建新发展格局和促进经济高质量发展的重要支撑,近年来成为学者研究热点。现有文献对产业链创新链融合的研究主要集中在以下两个方面:一是产业链创新链融合内涵;二是产业链创新链融合测度。关于产业链创新链融合内涵的研究,多数学者认为两者紧密关联、相互促进。张晓兰等[6] 、贾卫峰等[7]指出产业链和创新链融合体现为技术创新与产业发展之间的“互补互促效应”,是创新与生产主体、过程与成果之间的有机统一;孙琴等(2023)着眼于产业链与创新链融合过程,认为其实质在于调整产业链上下游关键环节与创新链前沿环节之间的运作方式,使其相互融合,最终达到产业结构升级且与新创新链相匹配的效果。关于产业链创新链融合测度的研究,学者主要采用耦合协调度模型和复合系统协调度模型对其进行定量测度。张本秀等(2024)、柳毅等[8]根据产业链创新链融合理论内涵,从产业链和创新链两个子系统层面构建产业链创新链融合评价指标体系,采用耦合协调度模型揭示产业链创新链融合水平;李雪松等[9]从产业链创新链纵向和横向协同视角构建指标体系,采用复合系统协同度模型进行测度。
随着绿色发展理念的不断深入和创新驱动发展战略的实施,绿色创新“增量提质”问题日渐成为学者关注焦点。目前,学者主要从环境规制[10-11]、绿色信贷[12-13]、数字经济[14-15]、政府补贴[16]、高技术产业集聚[17]、媒体关注(赵莉和张玲,2020)和财政分权(陈斌和李拓,2020)等角度对绿色创新展开深入研究。然而,现有文献较少从产业链创新链融合角度对绿色创新进行研究。而且,关于产业链创新链融合的实证研究主要集中在对全要素生产率、创新绩效的影响上。如李雪松等[9]分析产业链创新链协同对全要素生产率的影响,发现双链融合主要通过促进技术进步对全要素生产率产生显著正向影响;黄莉芳等(2024)从价值链和创新链双链视角切入,探讨制造业增长趋势及其结构演变,发现双链交互虽能有效提升制造业规模效率,但降低了制造业配置效率;李玥等(2023)发现双链融合正向作用于产业创新绩效。
综上所述,已有文献为本文提供了有利借鉴,但存在以下不足之处:学术界对产业链创新链融合内涵与测度指标体系尚未形成共识。同时,从产业链创新链融合角度对绿色创新进行分析,尤其是基于量和质双重视角考察产业链创新链融合对绿色创新影响的研究较少,且忽视了对邻近地区的空间溢出效应。此外,不同区域产业链创新链融合对绿色创新的影响可能存在异质性,而相关研究鲜有提及。
鉴于此,本文贡献主要体现在以下3个方面:第一,基于产业链创新链融合内涵,从产业链和创新链两个子系统出发,选取产业链子系统中的产业基础、产业配套、产业合作和产业环保4个维度,以及创新链子系统中的研发和成果转化两个阶段构建产业链创新链融合指标体系,并采用耦合系统协调度模型对产业链创新链融合进行定量测度。第二,基于量与质双重视角,研究产业链创新链对本地区绿色创新数量与质量的影响,纳入空间因素,通过构建空间杜宾模型,探究本地区绿色创新对邻近地区绿色创新的空间溢出效应。第三,深入剖析产业链创新链对绿色创新“增量提质”的内在影响机理,采用中介效应模型,实证检验产业结构升级与科技人才聚集在其中所发挥的中介作用。同时,进一步分析东中西部区域产业链创新链融合对绿色创新“增量提质”的影响,以期为各区域结合自身要素禀赋与区位优势,实施差异化绿色创新发展战略提供新思路。
产业链创新链融合不仅有利于直接促进绿色创新“增量提质”,而且还能通过加快产业结构升级和推动科技人才集聚等传导机制间接促进绿色创新“增量提质”。
(1)产业链创新链融合具有资源优化配置效应,能够促进绿色创新要素优化配置(徐洪等,2024),进而推动绿色创新“增量提质”。产业链创新链融合能促进技术、资金、人才等关键绿色创新资源在产业链上下游及创新链各环节之间的高效流动与合理分配,打破传统线性资源配置模式壁垒,增强资源利用的灵活性和协同性,从而形成动态优化资源配置机制。对绿色创新资源进行优化配置能提升绿色创新效率[18],加快绿色技术研发与应用,促进绿色创新数量增加;同时,高质量绿色创新要素投入能确保创新成果的有效性和先进性,提升绿色创新技术含量和市场竞争力,最终推动绿色创新“增量提质”。
(2)产业链创新链融合具有成本节约效应,能够有效降低绿色创新成本,促进绿色创新“增量提质”。产业链创新链融合能促使企业在资源共享、信息互通和技术协同等方面实现规模经济和范围经济,从而降低绿色创新边际成本[9]。一方面,产业链内部协同可减少重复投资,避免资源浪费;另一方面,创新链知识溢出效应和技术扩散效应能加速新技术学习曲线,降低企业研发成本,不仅能激发企业绿色创新意愿[19],加大企业绿色技术研发资金投入,增加绿色创新数量,还能加快绿色创新成果扩散和应用,提高绿色技术质量,进而实现绿色创新“增量提质”。
(3)产业链创新链融合具有倒逼效应,能够倒逼传统企业绿色转型升级(孙琴等,2023),从而推进绿色创新“增量提质”。产业链与创新链深度融合,能够促进产业链内部资源共享和信息流通,促使企业更加注重环境保护和资源高效利用,推动产业整体向绿色化方向转型。在产业绿色化发展背景下,传统企业为保持竞争力,不得不加快自身绿色转型步伐,逐步淘汰高污染、高能耗生产方式,加大在绿色技术、环保材料研发等方面的投入。这种倒逼机制促使企业进行实质性绿色创新,加大绿色创新投入,进而促进绿色创新数量与质量提升。据此,本文提出如下假设:
H1:产业链创新链融合能够促进绿色创新“增量提质”。
2.2.1 产业结构升级的中介效应
产业链创新链融合可以改善工艺流程,节约成本,提高生产效率,满足更多产品需求,推动产业向技术含量高和附加值高的领域发展壮大,进而实现产业结构升级。同时,产业链创新链融合还会拉动技术需求,进而加速人力资本积累,加快第二、第三产业发展,优化产业结构。产业结构不断升级能加速落后产能淘汰,引导产业绿色化转型(程中华等,2019),进而促进绿色低碳创新,实现绿色创新“增量提质”。产业结构升级也会加剧企业之间的竞争效应,加速对传统低附加值、高耗能企业的取代,优化生产要素配置,提高全要素生产率,引导产业朝着绿色低碳化方向发展,进而实现绿色创新“增量提质”。此外,产业结构升级还能提高地区经济发展水平[20],促使经济发达地区更加重视技术创新投入和人力资本积累,从而进一步推动绿色创新“增量提质”。据此,本文提出如下假设:
H2:产业链创新链融合通过加快产业结构升级促进绿色创新“增量提质”。
2.2.2 科技人才集聚的中介效应
产业链创新链融合能通过科技人才集聚效应促进绿色创新“增量提质”[21]。一方面,产业链创新链融合能带动高技术产业发展,高技术产业内部拥有充裕的创新资源,能够为科技人才提供良好的学习平台和工作环境,有利于更好地实现个人价值,因此对科技人才的吸引力更大(裴玲玲,2018);另一方面,产业链创新链融合能够促进地区经济发展,而科技人才往往会向经济发达地区流动。此外,科技人才集聚能提高沟通和交流效率,降低信息获取成本,加速隐性知识传播与扩散,促进知识整合与更新,形成新颖性和突破性高质量绿色创新成果,进而促进绿色创新“增量提质”。据此,本文提出如下假设:
H3:产业链创新链融合通过推动科技人才集聚促进绿色创新“增量提质”。
综上所述,产业链创新链融合对绿色创新数量和质量的直接与间接影响机理见图1。
图1 产业链创新链融合对绿色创新“增量提质”的直接与间接影响机理
Fig.1 Mechanism of direct and indirect impacts of the integration of industrial chain and innovation chain on the enhancement of green innovation quantity and quality
产业链创新链融合通过要素流动、产业关联、示范模仿等途径产生空间溢出效应,进而对邻近地区绿色创新“增量提质”产生影响。第一,随着各地区产业链和创新链交流合作的不断深入,先进的创新知识和生产技术随着科技人才流动而扩散到其它地区,产生知识溢出效应[22],进而影响邻近地区绿色创新“增量提质”。第二,在产业链创新链融合过程中,各链条主体为实现更高效的专业化生产,会与邻近地区进行分工合作从而形成产业关联,进而对邻近地区绿色创新“增量提质”产生空间溢出效应。第三,由于环保指标与干部政绩考核挂钩,地方政府往往会加强本地区与周边地区在环保指标上的竞争性互动[14],环境治理好的地区会通过“示范效应”促使环境治理弱的地区模仿出台有利于绿色创新的环境规制政策。据此,本文提出如下假设:
H4:产业链创新链融合对邻近地区绿色创新数量和质量存在一定空间溢出效应。
为探究产业链创新链融合对绿色创新“增量提质”的影响,本文首先构建如下基准回归模型:
Patentit=α0+α1ICit+α2Xit+εit
(1)
其中,下标i、t分别表示省份和年份;Patent表示绿色创新水平,包括绿色创新数量和绿色创新质量;IC代表产业链创新链融合程度;X为一系列控制变量;εit为随机误差项;α1、α2为各解释变量的弹性系数。
为进一步探究产业链创新链融合对绿色创新“增量提质”的空间溢出效应,本文在基准回归模型中引入空间权重矩阵,分别构建空间滞后模型(SAR)、空间误差模型(SEM)、空间杜宾模型(SDM),具体公式如下:
Patentit=α0+ρ1W×Patentit+α1ICit+α2Xit+μi+δt+εit
(2)
Patentit=α0+α1ICit+α2Xit+εit+μi+δt
εit=λW×εit+μit
(3)
Patentit=α0+ρ1W×Patentit+α1ICit+α2Xit+αW1W×ICit+αW2W×Xitt+μi+δt+εit
(4)
式(2)、式(3)、式(4)分别为SAR、SEM、SDM。其中,ρ1为空间自回归系数;W表示空间权重矩阵;αW1、αW2为空间交互项弹性系数,μi、δt分别表示省份固定效应和时间固定效应。
借鉴曾艺等[22]的做法,选取各地区省会城市地理距离倒数构建地理距离权重矩阵,将其作为本文的空间权重矩阵Wd,具体公式如下:
![]()
(5)
其中,dij为各省会城市间用经纬度计算的地表距离。
3.2.1 被解释变量
绿色创新数量(lnGIQT)和绿色创新质量(lnGIQL)。参考黎文婧和郑曼妮[23]的做法,本文采用绿色专利申请数量表征绿色创新。进一步地,借鉴王馨等[12]的研究,采用绿色发明专利申请数与绿色实用新型专利申请数总和加1取自然对数衡量绿色创新数量,采用绿色发明专利申请数加1取自然对数衡量绿色创新质量。
3.2.2 核心解释变量
产业链创新链融合(IC)。产业链创新链融合是科技创新与产业发展之间的一种“互补互促效应”,本质上是产业链各环节与创新链不同阶段之间的相互嵌入、协同发展。产业链指产业之间的关联关系,涵盖从原材料生产到技术研发、中间品制造再到最终产品装配的全过程,其发展水平主要体现在基础要素投入、上下游纵向对接能力、横向扩展能力和可持续发展能力等方面。创新链由科技研发与成果转化两大阶段组成,科技研发阶段是新知识创造和技术革新的过程,主要体现为创新能力;成果转化阶段则反映科研成果向实际生产力转化的能力。产业链与创新链共同推动产业转型与升级,实现创新驱动价值创造。
根据上述产业链创新链融合内涵,本文参考柳毅等[8]的研究,从产业链与创新链两个子系统出发,构建产业链创新链融合评价指标体系,其中产业链子系统包括产业基础、产业配套、产业合作、产业环保4个维度,创新链子系统包括科技研发和成果转化两个阶段,如表1所示。其中,资本存量借鉴张军等[24]的做法,采用永续盘存法进行计算;制造业与生产性服务业协同集聚指数计算参考张虎等[25]的研究,采用区位熵方法进行计算。为消除主观因素的影响,用熵权法确定各指标权重。
表1 产业链创新链融合评价指标体系
Table 1 Evaluation indicator system for integration of industrial chain and innovation chain
子系统 一级指标 二级指标 指标单位指标属性产业链子系统产业基础产业收益能力%正向资本生产率%正向企业法人单位数个正向从业人数万人正向经济服务化程度%正向全员劳动生产率万元/人正向产业配套铁路营运里程数公里正向财政医疗卫生支出占比%正向财政教育支出占比%正向产业合作外商资本占比%正向外商投资企业数占比%正向制造业与生产性服务业协同集聚指数-正向产业环保二氧化硫排放量吨负向化学需氧量排放量吨负向固体废弃物排放量万吨负向工业用水量占工业增加值比重%负向创新链子系统科技研发阶段R&D投入强度%正向R&D人员投入人/年正向科研机构数个正向发明专利申请数件正向成果转化阶段成果转化资金投入万元正向技术转让收入万元正向新产品销售收入万元正向
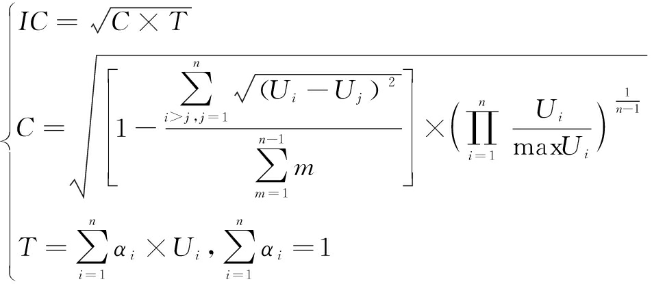
考虑到产业链创新链融合是多主体通过耦合互动产生共振进而实现价值增值的过程,其本质为产业链与创新链耦合,故本文借鉴柳毅等[8]的做法,采用耦合协调度模型测度产业链创新链融合度。同时,为使测算结果更加准确,本文借鉴王淑佳等[26]的做法,对传统耦合协调度模型进行修正,修正后模型如下:

(6)
其中,IC为耦合协调度,n为子系统个数,Ui为各子系统值,T为所有子系统的综合评价指数。C为耦合度,其值越大说明系统越协调,反之则说明系统越离散。αi为子系统i的权重,本文假设各子系统重要性一致,因此为αi赋相同值,则α1=α2=α3=…=αn=1/n。
3.2.3 控制变量
本文借鉴董直庆等[10]、吕德胜等[14]的研究,选取如下控制变量:①外商投资水平(FDI),采用外商投资企业投资总额与GDP的比值表示;②研发投入强度(RD),采用规上工业企业R&D经费内部支出占规上工业企业主营业务收入的比重表示;③基础设施水平(INF),采用每平方米公路里程数表示;④环境规制强度(ENV),采用单位GDP二氧化硫排放量的倒数表示;⑤政府干预水平(GOV),采用政府财政支出占GDP的比重表示;⑥市场化程度(Market),采用市场化指数表示。
3.2.4 中介变量
本文中介变量包括产业结构升级(STR)和科技人才集聚(AGG)。其中,参考范方志等[27]、陈红蕾等[28]的研究,产业结构升级采用第二产业与第三产业总产值之和占GDP的比重表示。科技人才集聚采用科技人才区位熵表征,具体测算方法为各地区R&D人员数占地区就业人数的比重除以全国R&D人员数占全国就业人口的比重。
考虑到数据可得性,本文以2012—2022年中国内地30个省份(西藏地区由于数据不全,故未纳入统计)为研究样本。绿色专利数据来源于中国研究数据服务平台(CNRDS),其它数据主要来源于《中国统计年鉴》《中国科技统计年鉴》《中国环境统计年鉴》及各省份统计年鉴,部分省份缺失数据采用均值法及线性插值法补全。表2为各变量的描述性统计结果。
表2 描述性统计结果
Table 2 Descriptive statistics
变量均值标准差最小值最大值lnGIQT8.1681.3154.26310.937lnGIQL7.3911.3533.55510.143IC0.2900.1260.1000.606AGG0.9870.8650.2014.774STR0.9030.0530.7470.998FDI0.8774.3460.04855.938RD0.0090.0040.0030.022INF0.9820.5150.1002.258ENV0.6953.1860.00538.600GOV0.2600.1110.1070.758Market8.2501.9153.35912.864
(1)全局莫兰指数。本文通过测算全局Moran指数验证2012—2022年我国绿色创新数量和质量的空间自相关性,结果如表3所示。2012—2022年我国绿色创新数量和质量全局莫兰指数均大于0,且均在1%显著性水平上拒绝无空间相关性的原假设,说明我国各地区之间绿色创新数量和质量存在显著空间正相关性。
表3 绿色创新数量和质量全局莫兰指数检验结果
Table 3 Results of the global Moran index test for the quantity and quality of green innovation
年份绿色创新数量(lnGIQT)Moran'lZ值P值绿色创新质量(lnGIQL)Moran'lZ值P值2012 0.093 3.511 0.000 0.072 2.952 0.0032013 0.089 3.420 0.001 0.072 2.917 0.0042014 0.095 3.589 0.000 0.078 3.099 0.0022015 0.103 3.784 0.000 0.085 3.294 0.0012016 0.106 3.870 0.000 0.098 3.635 0.0002017 0.103 3.784 0.000 0.093 3.515 0.0002018 0.109 3.962 0.000 0.105 3.831 0.0002019 0.116 4.143 0.000 0.104 3.815 0.0002020 0.118 4.203 0.000 0.114 4.075 0.0002021 0.111 4.012 0.000 0.103 3.791 0.0002022 0.103 3.799 0.000 0.093 3.527 0.000
(2)局部莫兰指数。为进一步判断各省份与周边省份在绿色创新数量和质量上的空间关联特征, 选取2012年和2022年中国内地30个省份的莫兰散点图进行局部空间自相关分析,如图2、图3所示。可以看出,在2012年、2022年绿色创新数量和质量莫兰散点图上,我国大部分省份落在第一、第三象限,说明我国各省份绿色创新数量和质量均存在较为明显的空间正相关特征。
图2 2012、2022年绿色创新数量Moran散点图
Fig.2 Moran scatterplot of the quantity of green innovation in 2012 and 2022
图3 2012、2022年绿色创新质量Moran散点图
Fig.3 Moran scatterplot of the quality of green innovation in 2012 and 2022
在确定各省份绿色创新数量和质量存在空间相关性后,还需进一步选择空间计量模型。本文借鉴Elhors[29]的检验思路,先后进行LM检验、LR检验、Hausman检验以及Wald检验以确定合适的空间计量模型,结果见表4。基于以上检验,本文选取固定效应空间杜宾模型(SDM)验证产业链创新链融合对绿色创新数量和质量的影响。
表4 不同模型检验结果
Table 4 Test results of different models
检验方法lnGIQTlnGIQLLM-lag212.312***79.056***Robust LM-lag30.246***9.497***LM-error402.937***162.393***Robust LM-error220.872***92.834***LR-SDM-SEM64.260***54.460***LR-SDM-SAR 70.740***62.510***Hausman223.380***275.010***Wald-Spatial-lag 80.510***71.110***Wald-Spatial-error 69.910***58.170***
注: ***表示通过1%显著性水平检验
基于固定效应的空间杜宾模型包括空间固定效应、时间固定效应和时空双固定效应3种类型,表5汇报了以上3种模型的估计结果。其中,时空双固定效应下产业链创新链融合对绿色创新数量和质量回归对数似然函数值(Log-like)优于空间固定效应和时间固定效应,因此本文最终选取时空双固定效应空间杜宾模型进行实证分析。
表5 产业链创新链融合对绿色创新数量和质量影响的总体回归结果
Table 5 Overall regression results on the impact of the integration of industrial chain and innovation chain on the quantity and quality of green innovation
变量 空间固定lnGIQTlnGIQL(1)(2)时间固定lnGIQTlnGIQL(3)(4)时空双固定lnGIQTlnGIQL(5)(6)IC0.926 6*2.620 1***5.868 8***6.179 2***2.459 5***4.467 0***(1.90)(4.60)(15.60)(13.46)(5.24)(8.10)FDI0.014 3***0.009 4***-0.001 4-0.000 70.021 0***0.016 6***(4.89)(2.72)(-0.33)(-0.13)(7.61)(5.16)RD-18.662 4***-22.961 8***-23.065 9**-13.947 5-18.284 0***-24.420 8***(-2.60)(-2.72)(-2.48)(-1.24)(-2.69)(-3.08)INF0.043 80.052 80.176 1**0.200 3**-0.485 7***-0.442 1**(0.26)(0.27)(2.55)(2.41)(-2.98)(-2.33)ENV-0.011 0**-0.005 40.003 60.019 2***-0.032 0***-0.031 1***(-2.54)(-1.07)(0.62)(2.71)(-7.31)(-6.05)GOV-1.719 1***-1.798 1***-2.472 1***-2.225 5***-2.417 8***-2.802 8***(-3.96)(-3.53)(-8.05)(-5.95)(-5.85)(-5.80)Market0.066 6***0.056 4**0.094 1***0.099 5***0.067 8***0.039 0(2.79)(2.01)(4.03)(3.49)(3.21)(1.57)Spatial rho0.788 2***0.624 0***-0.352 0-0.374 1-0.817 3***-1.116 1***(15.46)(8.39)(-1.49)(-1.55)(-3.23)(-4.39)W×IC2.248 14.663 4**-7.301 6**-10.179 8***17.433 2***25.313 6***(1.21)(2.07)(-2.26)(-2.62)(5.36)(6.40)W×FDI-0.067 7***-0.076 5***0.028 20.082 9*0.025 90.029 0(-3.22)(-3.03)(0.79)(1.90)(1.08)(1.04)W×RD49.636 5**54.145 2**-3.0e+02***-2.4e+02***-1.5e+02***-1.4e+02**(2.22)(2.08)(-4.62)(-2.99)(-3.00)(-2.41)W×INF0.112 50.371 54.213 9***3.374 6***-6.107 0***-5.337 7***(0.14)(0.39)(7.53)(4.94)(-5.19)(-3.88)W×ENV-0.043 6**-0.069 9***0.034 80.017 7-0.163 9***-0.189 5***(-2.27)(-3.11)(1.11)(0.46)(-7.42)(-7.36)W×GOV1.686 61.961 58.111 9***7.396 1**-6.403 1**-7.344 2**(1.55)(1.53)(3.28)(2.48)(-2.32)(-2.29)W×Market-0.002 9-0.035 70.586 0***0.774 7***0.114 6-0.335 2**(-0.04)(-0.46)(3.55)(3.85)(0.86)(-2.17)N330330330330330330Log-like116.166 968.954 8-78.377 2-142.110 2175.217 0120.391 8
注:***、**、*分别表示变量通过1%、5%、10%显著性水平检验,括号中数值为t统计值,下同
表5中列(5)(6)结果显示,产业链创新链融合对绿色创新数量和质量的影响系数及其空间交互项系数均显著为正,表明产业链创新链融合不仅有利于本地区绿色创新“增量提质”,而且还能够促进邻近地区绿色创新“增量提质”,该研究结论与郭丰等[5]及吕岩威等(2021)的研究结论相似。然而,绿色创新数量和质量空间自回归系数均显著为负,说明不仅存在产业链创新链融合的外生交互效应,还存在绿色创新数量和质量的内生交互效应,此时估计系数不能直接反映产业链创新链融合对绿色创新数量和质量的边际影响(韩凤芹和蔡佳颖,2022)。参考Lesage &Pace[30]的研究,利用偏微分方程对空间杜宾模型进行空间效应分解。
表6报告了空间效应分解估计结果,其中直接效应表示产业链创新链融合对本地区绿色创新数量和质量的平均影响,间接效应表示产业链创新链融合对邻近地区绿色创新数量和质量的平均影响。
表6 产业链创新链融合对绿色创新数量和质量影响的直接效应与间接效应
Table 6 Direct and indirect effects of the integration of industry chain and innovation chain on the quantity and quality of green innovation
变量 直接效应lnGIQTlnGIQL(1)(2)间接效应lnGIQTlnGIQL(3)(4)总效应lnGIQTlnGIQL(5)(6)IC1.992 3***3.666 8***8.899 8***10.335 2***10.892 1***14.002 0***(4.11)(6.34)(4.54)(5.25)(5.43)(7.07)FDI0.020 6***0.016 0***0.006 10.006 50.026 7*0.022 5*(8.03)(5.27)(0.46)(0.48)(1.96)(1.65)RD-13.374 1**-19.110 6**-80.985 2***-59.895 7*-94.359 4***-79.006 3***(-2.00)(-2.37)(-2.61)(-1.93)(-3.09)(-2.67)INF-0.309 3**-0.249 8-3.387 6***-2.538 5***-3.696 8***-2.788 3***(-2.04)(-1.40)(-4.29)(-3.49)(-4.54)(-3.79)ENV-0.027 7***-0.024 9***-0.079 9***-0.079 0***-0.107 6***-0.103 8***(-6.92)(-5.25)(-4.56)(-4.88)(-5.99)(-6.35)GOV-2.251 7***-2.598 9***-2.700 1*-2.295 5-4.951 8***-4.894 4***(-5.67)(-5.49)(-1.74)(-1.45)(-3.15)(-3.11)Market0.064 6***0.052 9*0.041 1-0.188 6**0.105 8-0.135 7*(2.86)(1.95)(0.51)(-2.23)(1.37)(-1.71)
由表6中列(1)(2)估计结果可知,在直接效应下,产业链创新链融合度能促进本地区绿色创新“增量提质”,假设H1得到验证。主要原因可能在于:产业链创新链融合不仅能够优化地区创新要素配置,使创新资源得到充分利用,还能降低创新成本,提升企业创新意愿和知识积累;同时,促进产业发展,拉动创新需求,倒逼企业进行绿色创新,从而实现绿色创新“增量提质”(张明志等,2023)。由列(3)、列(4)估计结果可知,在间接效应下,产业链创新链融合对邻近地区绿色创新“增量提质”存在显著正向空间溢出效应,假设H4得到验证,这与李健[31]的研究结论相似。主要原因可能在于:产业链创新链融合能促进地区间创新要素流动、加深地区间产业关联合作;同时,产业链创新链融合发展经验通过“示范效应”在地区之间传导,产生正向空间溢出效应,进而促进邻近地区绿色创新“增量提质”[22]。
采用不同空间权重矩阵会带来不同的模型估计结果,本文通过替换不同空间权重矩阵对实证结果进行稳健性检验。空间权重矩阵构建方法如下:
(1)构建空间邻接权重矩阵W1。空间邻接权重矩阵反映各地区之间的相邻关系,两地区间相邻则矩阵元素为1,否则为0。公式如下:
![]()
(7)
(2)构建地理距离权重矩阵W2。相较于采用地理距离倒数构建的地理距离权重矩阵,在使用地理距离倒数二次项构成的地理距离权重矩阵时,地区间空间关联会随着距离增加而衰减得更快。dij为两地区省会城市间的地理距离。公式如下:
![]()
(8)
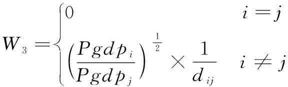
(3)构建经济与地理嵌套权重矩阵W3。经济与地理嵌套权重矩阵同时考虑各地区之间的经济关联和地理距离,能够更全面地反映各地区之间的空间关联性。本文参考李婧等[32]的做法,构建非对称经济与地理嵌套权重矩阵W3。公式如下:

(9)
其中,dij含义同上,Pgdpi、Pgdpj分别表示地区i和地区j的人均GDP,反映各地区的经济发展水平。一个地区相对于另一地区的经济发展水平越高,则说明该地区辐射影响越大,所占权重越高;反之,则说明权重越小。
基于以上空间权重矩阵的空间杜宾模型估计结果如表7所示。由3种不同空间权重矩阵估计结果可知,产业链创新链融合对绿色创新数量和质量影响的直接效应与间接效应均显著为正,与表6结果一致。各控制变量参数估计结果也与表6基本一致,表明前文实证结果稳健可靠。
表7 采用不同空间权重矩阵的稳健性检验结果
Table 7 Results of robustness tests using different spatial weight matrices
变量W1lnGIQTlnGIQL(1)(2)W2lnGIQTlnGIQL(3)(4)W3lnGIQTlnGIQL(5)(6)直接效应IC2.267 4***4.216 8***1.785 2***3.319 7***1.736 0***3.391 2***(5.18)(8.01)(3.76)(5.83)(3.58)(5.83)FDI0.006 70.000 50.019 9***0.015 7***0.020 8***0.015 6***(1.00)(0.08)(7.88)(5.23)(8.09)(5.12)RD1.491 5-6.598 5-11.950 0*-16.438 1**-12.701 3*-18.365 1**(0.20)(-0.76)(-1.81)(-2.05)(-1.89)(-2.27)INF-0.150 4-0.217 9-0.249 3*-0.193 0-0.300 5**-0.222 2(-1.06)(-1.25)(-1.68)(-1.10)(-1.99)(-1.24)ENV-0.021 0***-0.016 2***-0.025 4***-0.022 9***-0.023 5***-0.019 5***(-5.36)(-3.43)(-6.07)(-4.65)(-6.14)(-4.27)GOV-2.018 8***-2.173 5***-2.290 1***-2.669 0***-2.180 2***-2.582 4***(-5.25)(-4.67)(-5.74)(-5.62)(-5.47)(-5.44)Market0.068 8***0.043 6*0.065 6***0.062 3**0.064 4***0.056 0**(3.16)(1.68)(2.77)(2.19)(2.85)(2.06)间接效应IC3.251 3***4.120 8***4.321 9***5.621 4***9.434 8***10.586 4***(4.86)(4.72)(4.36)(5.18)(5.02)(5.60)FDI0.061 10.131 2*0.000 5-0.001 40.006 80.006 6(1.06)(1.73)(0.07)(-0.18)(0.58)(0.55)RD-54.425 5***-59.003 2***-41.082 4**-28.447 4-65.969 7**-57.218 5**(-5.38)(-4.49)(-2.39)(-1.51)(-2.34)(-1.98)INF-1.534 3***-0.900 1**-1.865 7***-1.666 2***-3.592 3***-2.545 3***(-5.04)(-2.26)(-5.07)(-4.24)(-4.72)(-3.60)ENV-0.036 8***-0.043 3***-0.040 0***-0.041 5***-0.102 4***-0.102 7***(-5.77)(-5.22)(-5.73)(-5.61)(-4.86)(-5.26)GOV1.054 4*0.329 6-1.316 8-0.986 7-2.545 4*-1.974 1(1.66)(0.39)(-1.63)(-1.12)(-1.93)(-1.45)Market0.023 0-0.048 30.034 4-0.105 8**0.040 1-0.193 7**(0.81)(-1.33)(0.74)(-2.05)(0.54)(-2.47)
结合前文机理分析和研究假设,产业链创新链融合通过产业结构升级(STR)以及科技人才集聚(AGG)两条路径影响绿色创新数量和质量。借鉴Baron &Kenny等[33]、赵涛等(2020)的做法,构建中介效应模型对上述两种影响机制进行实证检验,公式如下:
Mediait=β0+ρ2W×Mediait+β1ICit+β2Xit+βW1W×ICit+βW2W×Xit+μi+δt+εit
(10)
Patentit=γ0+ρ3W×Patentit+γ1ICit+γ2Mediait+γ3Xit+γW1W×ICit+γW2W×Mediait+γW3W×Xit+μi+δt+εit
(11)
其中,Media代表中介变量,包括产业结构升级(STR)和科技人才集聚(AGG),其它符号含义与模型(4)一致。
根据中介效应检验方法,依次对模型(4)、模型(10)和模型(11)进行回归,若模型(11)中产业链创新链融合系数变小或不显著则说明存在中介效应。模型(4)回归结果已在表5中报告,模型(10)和模型(11)的空间效应分解结果如表8所示。当中介变量为产业结构升级时,模型(10)回归结果显示,产业链创新链融合对产业结构升级具有显著促进作用,将两者共同纳入模型(11)进行回归估计,发现产业链创新链融合对绿色创新数量和质量的促进作用依然显著,但回归系数分别由模型(4)的2.459 5和4.467 0下降到2.033 4和4.209 2,说明产业结构升级存在中介效应,假设H2得到验证。当中介变量为科技人才集聚时,模型(10)回归结果显示,产业链创新链融合对科技人才集聚产生显著促进作用,将两者同时纳入模型(11)进行回归估计,发现产业链创新链融合对绿色创新数量和质量的促进作用依然显著,但回归系数分别由模型(4)的2.459 5和4.467 0下降到1.713 0和3.609 5,说明科技人才集聚也存在中介效应,假设H3得到验证。
表8 产业链创新链融合对绿色创新数量和质量影响的中介效应检验结果
Table 8 Test results of the mediating effect of the integration of industrial chain and innovation chain on the quantity and quality of green innovation
变量 中介变量为产业结构升级(STR)STRlnGIQTlnGIQL(10)(11)(11)中介变量为科技人才集聚(AGG)AGGlnGIQTlnGIQL(10)(11)(11)IC0.066 7***2.033 4***4.209 2***1.724 4***1.713 0***3.609 5***(3.32)(4.42)(7.57)(6.54)(3.57)(6.40)STR6.422 5***3.883 0**(5.03)(2.52)AGG0.475 5***0.546 0***(4.92)(4.82)W×IC0.285 2**16.044 7***24.864 8***4.870 5***13.395 5***20.679 3***(2.04)(4.80)(5.98)(2.66)(4.04)(5.14)W×STR2.285 8-2.868 0(0.24)(-0.25)W×AGG1.690 8***1.958 8***(3.16)(3.12)控制变量YESYESYESYESYESYES时间固定YESYESYESYESYESYES省份固定YESYESYESYESYESYES
为进一步分析产业链创新链融合对绿色创新数量和质量的影响在不同区域间的异质性,本文将研究对象划分为东、中、西部地区3组子样本,分别使用时空双固定效应下的空间杜宾模型进行回归估计,结果见表9。由表9估计结果可知,产业链创新链融合对绿色创新数量和质量的影响存在显著区域差异。
表9 产业链创新链融合对绿色创新数量和质量影响的区域异质性检验结果
Table 9 Regional heterogeneity in the impact of the integration of industrial chain and innovation chain on the quantity and quality of green innovation
变量东部地区lnGIQTlnGIQL(1)(2)中部地区lnGIQTlnGIQL(3)(4)西部地区lnGIQTlnGIQL(5)(6)直接效应IC3.255 1***5.888 9***4.136 7***8.685 5***1.806 3*2.347 2*(6.23)(7.95)(3.32)(7.28)(1.80)(1.84)FDI0.015 6***0.019 7***-0.484 8***-0.595 9***-0.118 6*-0.227 2***(6.78)(6.09)(-2.68)(-3.44)(-1.94)(-2.78)RD-10.196 8-19.360 0*-6.098 2-21.636 5*-25.593 7-32.263 5(-1.33)(-1.90)(-0.46)(-1.72)(-1.43)(-1.42)INF1.343 3***0.221 1-0.299 1-0.725 2***-0.004 30.659 8(4.99)(0.60)(-1.05)(-2.77)(-0.01)(1.42)ENV0.008 80.005 1-0.061 9-0.350 0-1.394 4***-1.159 0**(1.58)(0.66)(-0.27)(-1.51)(-3.19)(-2.08)GOV2.100 4***2.838 6***-4.212 4***-6.040 4***-0.986 3-1.991 6*(3.47)(3.33)(-3.76)(-5.72)(-1.16)(-1.85)Market0.117 4***0.076 30.140 1***0.046 4-0.054 2*-0.072 3*(3.24)(1.61)(2.66)(0.90)(-1.73)(-1.79)间接效应IC7.155 7***10.964 5***1.650 72.336 3-3.226 5-3.178 8(3.99)(3.90)(0.73)(1.07)(-1.06)(-0.85)FDI0.014 20.035 1**0.364 7-0.134 10.342 30.696 6**(1.59)(2.53)(1.16)(-0.45)(1.28)(2.05)RD-1.4e+0 2***-1.2e+02***22.939 5-9.651 0-1.1e+02**-1.2e+02*(-3.97)(-2.58)(1.05)(-0.46)(-2.21)(-1.93)INF4.252 2***4.563 2***-2.630 9***-2.174 8***-0.985 50.319 1(4.65)(3.62)(-3.02)(-2.64)(-0.76)(0.20)ENV-0.021 7**-0.040 7***-0.942 2*-2.162 5***1.267 3-0.285 0(-2.28)(-2.83)(-1.73)(-4.19)(0.52)(-0.10)GOV-1.707 3-5.682 4*-4.031 7***-2.010 81.547 11.479 8(-0.83)(-1.84)(-2.67)(-1.40)(0.77)(0.60)Market0.566 8***0.461 3**-0.086 00.022 10.023 1-0.278 7**(3.80)(2.41)(-1.14)(0.30)(0.22)(-2.00)
(1)从直接效应看,各地区产业链创新链融合对本地区绿色创新数量和质量具有显著促进作用,但作用强度不同(中部地区>东部地区>西部地区)。这可能是因为:东部地区经济发达,拥有较为完善的产业链和较高的技术创新能力,降低了产业链创新链融合对绿色创新数量和质量提升的边际效应;中部地区作为追赶者,产业链创新链融合潜力较大,政策支持和资源投入更为集中,对绿色创新数量和质量的推动作用更大,因此促进作用强于东部地区(舒欢和黄婷婷,2024);而西部地区相较于中、东部地区产业结构层次较低、创新发展动能较弱,致使产业链创新链融合对本地区绿色创新数量和质量的促进作用弱于中、东部地区。
(2)从间接效应看,东部地区产业链创新链融合对邻近地区绿色创新数量和质量在1%显著性水平下存在空间溢出效应,而中、西部地区产业链创新链融合对邻近地区绿色创新数量和质量未产生明显影响,这与李健[31]的研究结论相似。主要原因可能在于:东部地区科技创新资源丰富且创新型人才流动性较强,产业链创新链融合通过创新要素流动对邻近地区绿色创新数量和质量产生空间溢出效应,而中、西部地区创新资源较为匮乏,创新要素流动性较弱,产业链创新链融合对邻近地区绿色创新数量和质量的空间溢出效应不显著。
如何利用产业链创新链融合促进绿色创新“增量提质”是加快形成新质生产力、实施创新驱动发展战略和实现“双碳”目标亟待解决的关键问题。本文基于2012—2022年中国内地30个省份面板数据,采用时空双固定效应空间杜宾模型,实证检验产业链创新链融合对绿色创新数量和质量的影响机制,得出如下研究结论:
(1)产业链创新链融合不仅可以实现本地区绿色创新“增量提质”,还能通过空间溢出效应促进邻近地区绿色创新“增量提质”。通过替换不同空间权重矩阵进行稳健性检验后,该结论依然成立。
(2)作用机制检验结果表明,产业链创新链融合通过加快产业结构升级和推动科技人才集聚促进绿色创新“增量提质”。
(3)区域异质性分析结果表明,各地区产业链创新链融合对本地区绿色创新“增量提质”存在显著直接促进作用,且中部地区作用大于东部地区和西部地区;仅有东部地区产业链创新链融合能通过空间溢出效应间接促进邻近地区绿色创新“增量提质”。
根据上述研究结论,本文提出如下政策建议:
(1)推动产业链创新链深度融合,促进绿色创新“增量提质”。政府应充分考量产业链创新链上下游优势及特色产业,紧抓全球产业链重塑契机,确立产业链创新链融合发展方向,以要素保障为根本,统筹协调政府、企业、科研机构、用户等多方资源,建立合理、高效的产业链创新链高水平协同发展机制。既要促进绿色创新资源自由流动,优化绿色创新资源配置,又要激励企业降本增效,增强绿色创新能力。同时,还要促进企业绿色转型,拉动绿色创新需求,确保产业链创新链融合高效赋能绿色创新“增量提质”。
(2)积极引导产业结构转型升级,发挥科技人才的核心驱动作用。一方面,地方政府应通过政策引导和支持,加快传统产业升级,淘汰落后产能,推动产业向高技术、高附加值领域转型。同时,还应大力推进现代服务业与先进制造业深度融合,推动产业不断向价值链中高端迈进,不断释放产业结构升级的绿色创新红利,实现地区绿色创新“增量提质”。另一方面,应以高水平人才高地建设为关键举措,以促进人才集聚为目标,持续提高高水平科技人才待遇和福利,为科技人才发挥所学所长提供足够机遇,打造开放、透明的创新研发平台,通过加快创新知识溢出与跨学科交融实现绿色创新知识整合与革新,促进绿色创新“增量提质”。
(3)发挥地区比较优势,实施差异化绿色创新发展战略。首先,东部地区应充分利用自身良好的产业基础、人力资本优势,加大绿色创新投入,使具有行业优势的企业积极参与技术创新标准制定,走技术创新高端发展路线,促进地区绿色创新数量稳定增长,稳步提高绿色创新质量。其次,中部地区应加快产业链创新链融合,推动创新要素整合,为绿色创新提供良好的创新生态环境。同时,还应进一步加强地区间要素资源流动与合作,鼓励各行各业积极开展跨区域联合绿色创新,共同促进绿色创新数量和质量提升。最后,西部地区由于对先进技术的吸收能力不足与创新能力薄弱,应加大科技创新政策扶持力度,逐步实现绿色创新“增量提质”。
本文探讨产业链创新链融合对绿色创新“增量提质”的影响,对于加快形成新质生产力、赋能经济高质量发展具有重要意义,但也存在一些局限,需在后续研究中进行改进和完善:首先,本研究基于中国省级面板数据分析产业链创新链融合对绿色创新“增量提质”的影响,但未涉及产业层面和企业层面的探讨。未来应进一步从产业层面和企业层面考察产业链创新链融合水平,从而形成“宏观区域—中观产业—微观企业”多尺度分析框架,深入探究产业链创新链融合对绿色创新“增量提质”的多维度影响及其内在机理。其次,本研究对绿色创新量与质的测度存在一定局限性,仅采用绿色专利申请数量作为代理变量,难以反映绿色创新的多维特征。未来可采用更加系统、多样化的指标体系进行考察,以更准确地评估绿色创新表现。最后,本文从产业结构升级和科技人才聚集两个视角探讨产业链创新链融合对绿色创新“增量提质”的影响机制,但随着可持续发展理念的深入和绿色技术的不断发展,可能还存在其它未被充分探讨的影响路径。未来可对其作用机制进行补充和修正,以更全面地揭示其内在联系。
[1] 张娟,耿弘,徐功文,等.环境规制对绿色技术创新的影响研究[J].中国人口·资源与环境,2019,29(1):168-176.
[2] 张杰,郑文平.创新追赶战略抑制了中国专利质量么[J]. 经济研究, 2018, 53(5):28-41.
[3] 陶锋,赵锦瑜,周浩.环境规制实现了绿色技术创新的“增量提质”吗——来自环保目标责任制的证据[J].中国工业经济, 2021,39(2): 136-154.
[4] 徐保昌,李佳慧,李思慧.中国绿色信贷政策是否刺激了“创新泡沫”产生——企业绿色创新质量视角[J].中国地质大学学报(社会科学版),2023,23(5):44-60.
[5] 郭丰,杨上广,柴泽阳.企业数字化转型促进了绿色技术创新的“增量提质”吗——基于中国上市公司年报的文本分析[J].南方经济, 2023,41(2): 146-162.
[6] 张晓兰,黄伟熔.我国产业链创新链融合发展的趋势特征、经验借鉴与战略要点[J].经济纵横, 2023,39(1): 93-101.
[7] 贾卫峰,李尚蓉,王艺宁.产业政策视角下数字技术对产业链与创新链融合的影响[J].科技进步与对策,2024,41(24):72-84.
[8] 柳毅,赵轩,杨伟.数字经济对传统制造业产业链创新链融合的影响——基于中国省域经验的实证研究[J].浙江社会科学,2023,39(3):4-14,156.
[9] 李雪松,龚晓倩.地区产业链、创新链的协同发展与全要素生产率[J].经济问题探索, 2021,42(11): 30-44.
[10] 董直庆,王辉.环境规制的“本地—邻地”绿色技术进步效应[J].中国工业经济,2019,37(1):100-118.
[11] PENG H, SHEN N, YING H, et al. Can environmental regulation directly promote green innovation behavior——based on situation of industrial agglomeration[J]. Journal of Cleaner Production, 2021, 314: 128044.
[12] 王馨,王营.绿色信贷政策增进绿色创新研究[J].管理世界,2021,37(6):173-188,11.
[13] SU X, PAN C, ZHOU S, et al. Threshold effect of green credit on firms′ green technology innovation: is environmental information disclosure important[J]. Journal of Cleaner Production, 2022, 380: 134945.
[14] 吕德胜,王珏,唐青青.数字经济实现了绿色创新“增量提质”吗——基于异质环境关注视角[J].山西财经大学学报,2023,45(5):55-68.
[15] LUO S, YIMAMU N, LI Y, et al. Digitalization and sustainable development: how could digital economy development improve green innovation in China[J]. Business Strategy and the Environment, 2023, 32(4): 1847-1871.
[16] ROH T, LEE K, YANG J Y. How do intellectual property rights and government support drive a firm's green innovation? the mediating role of open innovation[J]. Journal of Cleaner Production, 2021, 317: 128422.
[17] 杨浩昌,李廉水,张发明.高技术产业集聚与绿色技术创新绩效[J].科研管理,2020,41(9):99-112.
[18] 李涛,刘国燕.时空压缩下研发要素流动是否提升了区域绿色创新效率[J].科技进步与对策,2021,38(19):37-46.
[19] 张玉明,刘晗,李双.信息透明度、环保关注与重污染企业绿色创新[J].科技进步与对策,2023,40(8):118-129.
[20] 刘伟,李绍荣.产业结构与经济增长[J].中国工业经济,2002,20(5):14-21.
[21] 张虹,胡金.生态文明建设促进绿色技术创新了吗——来自合成控制法的实证评估[J].科技进步与对策,2023,40(8):151-160.
[22] 曾艺,韩峰,刘俊峰.生产性服务业集聚提升城市经济增长质量了吗[J].数量经济技术经济研究,2019,36(5):83-100.
[23] 黎文靖,郑曼妮.实质性创新还是策略性创新——宏观产业政策对微观企业创新的影响[J].经济研究,2016,51(4):60-73.
[24] 张军,吴桂英,张吉鹏.中国省际物质资本存量估算:1952—2000[J].经济研究,2004,50(10):35-44.
[25] 张虎,韩爱华,杨青龙.中国制造业与生产性服务业协同集聚的空间效应分析[J].数量经济技术经济研究,2017,34(2):3-20.
[26] 王淑佳,孔伟,任亮,等.国内耦合协调度模型的误区及修正[J].自然资源学报,2021,36(3):793-810.
[27] 范方志,张立军.中国地区金融结构转变与产业结构升级研究[J].金融研究,2003,46(11):36-48.
[28] 陈红蕾,覃伟芳.中国经济的包容性增长:基于包容性全要素生产率视角的解释[J].中国工业经济,2014,32(1):18-30.
[29] ELHORST J P. Matlab software for spatial panels[J]. International Regional Science Review, 2014, 37(3): 389-405.
[30] LESAGE J P, PACE R K. Spatial econometric modeling of origin-destination flows[J]. Journal of Regional Science, 2008, 48(5): 941-967.
[31] 李健.数字经济、产业链创新与绿色全要素生产率[J].统计与决策,2024,40(9):129-134.
[32] 李婧,谭清美,白俊红.中国区域创新生产的空间计量分析——基于静态与动态空间面板模型的实证研究[J].管理世界,2010,26(7):43-55,65.
[33] BARON R M, KENNY D A. The moderator-mediator variable distinction in social psychological research: conceptual, strategic, and statistical considerations[J]. Journal of Personality and Social Psychology, 1986, 51(6): 1173.