In order to explore the impact and mechanism of digital attention on corporate ESG performance, taking the research samples of Chinese A-share listed companies from 2011 to 2021, this study constructs a relatively comprehensive digital attention indicator for listed companies from the perspective of enterprises while considering the digital attention factors of the cities where the enterprises are located, and uses a word vector-based machine learning method to measure ESG performance of enterprises. Then, the impact of digital attention on corporate ESG performance and its mechanism of action are investigated empirically from the perspective of attention allocation. The study finds that digital attention significantly enhances ESG performance, and the findings hold after considering a series of robustness tests and endogeneity issues. The mechanism analysis shows that digital attention enhances the digitization process of companies, and is supported by digital technology to promote ESG performance through two paths: promoting the quality of corporate information disclosure and enhancing resource allocation. The heterogeneity analysis finds that digital attention has a greater impact on ESG performance of eastern region enterprises, non-heavy polluting enterprises and non-high-tech enterprises. Therefore, enterprises should pay attention to the important role that digitalization plays in the process of fulfilling ESG responsibilities. The government should also adopt corresponding policies to promote the digitalization process of enterprises and achieve the coordinated development of digital strategy and ESG strategy.
The possible marginal contributions of this paper are threefold. Firstly, in terms of research perspective, this paper empirically analyzes the impact of digital attention on corporate ESG performance by taking digital attention as an entry point, advancing research on ESG influencers and enriching ESG antecedent literature. Secondly, in terms of research content, this paper constructs digital attention indicators of listed companies in a relatively comprehensive way from the perspective of enterprises, while considering the digital attention factors of the cities where the enterprises are located, and explores the role path of digital attention on the ESG performance of enterprises from the perspectives of information disclosure quality and resource allocation efficiency. Meanwhile, this study explores the heterogeneity in the dimensions of regional attributes, pollution attributes, and technological attributes, and uses systematic GMM and double-difference methods to alleviate the endogeneity problem. The above exploration further expands and deepens the research on the non-economic effects of the enterprise digitization process, and provides practical guidance and a theoretical basis for promoting China's enterprises to fulfill their ESG responsibilities and help the strategy of high-quality and sustainable development. Thirdly, methodologically, it integrates machine learning and text analysis, introducing a novel text indicator for ESG performance. This suggests a new research idea for the integration of machine learning and econometrics, and also provides a reference for the quantification of corporate ESG and the construction of other economic indicators.
党的二十大报告强调,“推动经济社会发展绿色化、低碳化是实现高质量发展的关键环节”。2018年9月,中国证监会发布修订后的《上市公司治理准则》,明确要求上市公司对环境、社会和公司治理方面的信息进行披露。作为经济运行的基本单元,企业是贯彻ESG理念、推动可持续发展的“执行者”。ESG表现作为企业绿色可持续发展水平的重要评价指标,要求企业重视自身在环境、社会、公司治理方面的综合价值[1]。相关统计数据显示,2021年上市公司ESG报告披露率仅为29.42%,披露ESG信息的上市公司数量处于较低水平。因此,如何促使企业积极参与ESG活动,提升企业在可持续发展过程中的表现,对于经济高质量发展具有重要意义。
数字经济为经济可持续和高质量发展注入了新活力,成为我国经济结构中的重要组成部分。中国信通院发布的《中国数字经济发展报告(2022年)》显示, 2021年我国数字经济发展规模达到7.1万亿美元,占国内GDP的比重为39.8%。数字经济发展能够推动企业数字化战略转型,通过改变企业与消费者、供应商以及其他利益相关者关系构建方式,促进商业模式创新和客户价值创造[2]。数字技术应用与创新发展可为企业履行ESG责任提供技术支撑,成为企业ESG责任履行的重要抓手。值得注意的是,能否释放数字经济潜力,主要落脚点在于企业数字化转型[3]。决策者能否强化数字化转型意识,成为决定企业高质量发展的关键,进而影响企业ESG责任履行。因此,本文基于注意力基础观,探究数字化注意力对企业ESG表现的影响。
从注意力内涵看,Ocasio[4]指出,注意力配置是组织决策者将有限精力和资源聚焦于特定议题的过程。注意力基础观认为,注意力是企业决策者对特定议题的关注程度,并为之付出的精力、资源以及时间[5]。从注意力外延看,决策者注意力配置能够决定企业战略决策和资源配置方向,进而对出口贸易模式(施炳展和金祥义,2019)、产品技术含量(沈和斌和邓富华,2021)以及创新水平(杨天山等,2022)等组织行为产生影响。本文认为,数字化注意力是指企业决策者对数字化战略的关注与重视程度。在数字化转型过程中,不同企业在发展水平、资源禀赋方面存在差异,可能导致企业间数字化战略转型意愿和认知水平差异,这些差异会体现在企业决策者数字化注意力配置方面(陈玉娇等,2022)。现有研究认为,数字化注意力是企业决策者对数字化的认知水平或关注程度,而非某个特定财务性指标。这使得对数字化注意力的测量往往以定性分析为主,其中文本分析方法应用最为广泛(王楚君等,2018)。同时,数字化注意力的作用效果已在企业股价预测(Ren等,2022)、产品创新(应倩滢和陈衍泰,2023)方面得到论证。决策者数字化注意力能够决定企业数字化进程,进而影响企业ESG表现。现有研究对数字化注意力的测度仅局限于企业层面,未充分考虑城市数字化注意力的作用,数字化注意力作为前因因素如何影响企业ESG表现仍然是一个“黑箱”。综上,数字化注意力能否影响企业ESG表现?其作用机制是什么?上述问题有待进一步解答。
本文以2011—2021年A股上市公司作为研究样本,探究数字化注意力对企业ESG表现的影响与作用机制。本文可能的边际贡献如下:一是在研究视角上,以数字化注意力为切入点,实证分析数字化注意力对企业ESG表现的影响,以期拓展企业ESG表现影响因素研究,为现有相关文献提供补充。二是在研究内容上,考虑到企业所在城市数字化注意力因素,构建上市公司数字化注意力指标,并从信息披露质量与资源配置效率角度探究数字化注意力对企业ESG表现的作用路径,进一步拓展企业数字化进程的非经济效应研究,为我国企业履行ESG责任,进而实现高质量与可持续发展提供理论依据。三是在研究方法上,将机器学习与文本分析方法引入到企业ESG表现研究中,提出能够全面衡量企业ESG表现的文本指标方法,以期为机器学习方法与计量经济学融合提供新思路。
企业管理层作为企业发展的决策者,其认知水平、注意力配置情况能够影响企业战略决策[4]。当决策者对数字化具有较高的注意力时,企业会关注数字化投入与产出的关系,对资源结构、技术研发、产品服务进行调整与重塑[6],进而提升生产与经营效率(王海军等,2023),增强自身成长性(倪克金和刘修岩,2021),在获得经济效益的同时更有动力履行ESG责任。
(1)决策者数字化注意力有助于企业通过意义构建方式获取内部合法性,对实施数字化战略达成共识(陈玉娇等,2022),进而提升履行ESG责任的信心与积极性。
(2)数字化注意力能够加强企业对数字技术的关注与应用。大数据、人工智能、区块链等数字技术深度融合有助于企业增强污染治理、节能减排、绿色生产等方面的能力,实现对碳排放、碳数据的实时监测和分析,提升低碳转型能力和环境绩效,从而为环境治理提供技术支撑(王海军等,2023)。
(3)数字化注意力能够带动企业数字化变革,促使企业重塑经营模式,提供更多就业机会[7],从而提升产品服务质量(赵宸宇,2022)以及社会形象(戚聿东和肖旭,2020)。此外,数字技术应用有助于企业提升治理效率和能力,进而优化企业治理体系[6]。基于以上分析,本文提出以下假设:
H1:数字化注意力有助于企业提升ESG表现。
信息披露质量能够影响外部利益相关者对企业ESG责任履行情况的判断与监督。企业能够通过提升数字化注意力强化数字技术的渗透性和通用性,提升信息披露质量,进而提升企业ESG表现。
(1)从信息处理方面看,数字技术应用有助于企业实现信息结构化与标准化,增强信息可读性[8],并对生产经营过程中的海量信息进行整合[9],降低信息整合成本和信息不对称程度(蔡贵龙等,2022),从而提升企业信息披露质量。
(2)从信息获取方面看,数字技术能够增强企业信息的可访问性与开放性,外部利益相关者可以通过数字平台获得企业生产与经营信息。由此,企业信息透明度得以提升,因企业决策者自利行为导致的信息不对称问题得以缓解[10],信息披露质量得以提升。
(3)从信息交互方面看,数字技术能够改变企业与外部利益相关者信息交互模式,提升外部利益相关者参与度以及信息交互质量和频次。由此,外部利益相关者能够与企业实现信息共享,发挥自身在公司治理方面的监督作用[11],进而提升企业信息披露质量。为了获得更多外部支持和资源,企业在ESG信息披露时可能实施“漂绿”行为。上述行为会降低企业ESG披露信息的真实性和有效性,导致信息不对称问题[12]。信息披露质量提升能够缓解企业与利益相关者之间的信息不对称问题,抑制企业机会主义行为以及伪ESG行为,吸引外部投资(申明浩等,2022),进而对企业ESG责任履行产生积极影响。基于以上分析,本文提出以下假设:
H2:数字化注意力能够通过提升信息披露质量提升企业ESG表现。
在履行ESG责任时,企业需要投入大量资源。这意味着企业需要承担非财务风险,导致企业履行ESG责任的积极性降低。因此,获取资源并对其进行有效配置,减少资源错配,对于企业开展ESG活动尤为重要。数字化注意力提升有利于企业决策者合理配置资源,提升资源配置效率,进而提升企业ESG表现。
(1)数字技术应用有助于企业构建监督与制衡体系,让利益相关者参与企业治理,减少代理成本,避免管理层因短视和自利性动机而规避风险较高但有助于企业可持续发展的项目[13],提升资源配置效率(陈春花等,2019),进而提升企业ESG表现。
(2)借助数字技术,企业能够搭建高效集成化管理平台,优化财务管理系统、生产管理系统、供销管理系统等业务管理流程,开展集成化管理[14],明确未来技术革新方向,实现资源有效配置,避免资源错配到非效率领域,从而为自身履行ESG责任提供资源保障。
(3)资源充足性是企业实现资源配置的基础,只有拥有充足的资源,企业才能将其配置到环境保护和社会实践中(Huang,2019)。数字化注意力可为企业提质增效提供更多动能,有助于企业获得更多资源(王海军等,2023),进而提升企业决策者履行ESG责任的积极性。基于以上分析,本文提出以下假设:
H3:数字化注意力能够通过优化企业资源配置提升企业ESG表现。
本文采用2011—2021年中国A股上市公司数据以及城市数据进行实证分析,具体数据来源如下:巨潮资讯网、国泰安数据库(CSMAR)、《中国城市统计年鉴》以及百度官网。本文对样本数据进行如下处理:剔除金融类企业样本;剔除被特殊处理(ST、*ST)企业样本;剔除主要变量数据缺失的企业样本。经过处理,最终获得237个城市3 724家上市公司24 205个有效年度观测数据。
2.2.1 被解释变量
本文借鉴Chen等[15]、胡楠等[16]的研究方法对企业ESG表现(ESG)进行测量,以上市公司年报为基础并结合机器学习方法,采用统计年报文本中相关词语出现频率测量企业ESG表现。企业ESG表现指标构建流程如下:
(1)基于Python结合爬虫技术,从巨潮资讯网爬取2011—2021年上市公司年度报告。不同企业往往会使用多种语义相似的单词或词组对ESG相关信息进行表述,因而在文本分析前,需要构建能够体现企业ESG表现的中心词集。考虑到中心词集选取的权威性,本文采用联合国责任投资原则组织(UN PRI)提出的ESG框架,该框架从环境、社会、治理3个维度对企业ESG涉及范围进行划分。由此,本文采用该框架提出的环境保护、脱贫攻坚、风险管理等26个关键词作为衡量企业ESG表现的中心词集,如表1所示。
表1 ESG中心词集
Table 1 ESG central word sets
维度关键词汇环境气候影响、环境保护、可再生、绿色、废弃物、消耗、资源保护、自然保护社会员工、质量安全、隐私数据、税收贡献、脱贫攻坚、乡村振兴、平等、反暴力、反歧视、责任管理、社区治理风险管理、独立性、多样性、反垄断、公平竞争、薪酬、道德
(2)为了全面反映各上市公司的ESG表现,本文基于中心词集,采用机器学习方法匹配与中心词集中关键词具有较高相似性的词汇,以此扩充表征企业ESG表现的文本信息。鉴于此,本文采用Word2Vec模型中连续词袋模型(Continuous Bag-of-Words,CBOW),以上市公司年报为语料样本进行训练,具体公式如下:
![]()
(1)
式中,N为中心词集中的关键词,T为语料文本,Text(N)为关键词的上下文。CBOW模型依据关键词的上下文内容预测关键词概率分布,经过反复训练模型,促使上述目标函数最大化,最终输出关键词准确的词向量。采用以上方法能够获得其它词汇的词向量,再通过计算词向量间的相似度获取关键词的相似词。
(3)不同企业对ESG表现的表述存在差异,对于不同上市公司而言,基于中心词集所选取的年报中相似词也有所不同。如果采取人工方式对相似词进行筛选可能导致部分ESG表现信息丢失,进而影响后续对ESG表现指标的测量。参考胡楠等[16]的研究方法,本文采用设定阈值的方法,结合Jieba分词工具对企业年报中有关中心词集中关键词的相似词进行汇总统计,数学表达如下:

(2)
式中,i为中心词集中的关键词,m为与关键词i有关的相似词,M为相似词个数,similarity_wordm为第m个相似词的词频,keyword_similarityi为关键词i所有相似词的总词频,similarityi,m为关键词i与相似词m的相似度。threshold为阈值,为了表征企业ESG表现,本文设定阈值为0.5。只要与关键词相似度超过50% 的相似词,本文就会统计其在年报中出现的频次。首先,基于文本语义信息将词汇转换为计算机能够理解的稠密向量(词向量)。其次,通过计算词向量之间的点积判断词与词的相似度(Bhatia等,2019)。为了避免因筛选方式导致信息丢失或误判,本文将相似度阈值设定为50%。例如,如果关键词“环境保护”与相似词“环境治理”和“绿化环境”的相似度超过50%,就要统计“环境治理”和“绿化环境”词频。最后,企业ESG表现的总词频由中心词集中关键词以及各关键词下相似词的词频求和得到,具体公式如下:
![]()
(3)
式中,c代表上市公司,i代表关键词,W为关键词总数,ESGc为上市公司c有关ESG表现的总词频数,keywordi为关键词i出现的总词频,keyword_similarityi为与关键词i有关的相似词出现的总词频。最终,将企业ESG表现总词频占年报总词频的比值乘以100得到企业ESG表现指标。该指标越大,说明企业ESG表现越好。
2.2.2 解释变量:数字化注意力(DigAttention)
借鉴唐要家等[17]、毕达天等(2023)的研究思路,本文认为,数字化注意力是指企业决策者对数字化战略的重视程度,而这一程度必然会受到企业外部因素影响,如企业所在城市数字化注意力水平。当城市数字化注意力水平较高时,企业感知到的数字化制度压力更大,会更加重视自身数字化进程[18]。此外,城市数字经济发展是企业数字化转型的基础,而企业数字化转型是城市数字经济发展的具体表现(毕达天等,2023)。因此,城市数字化注意力水平越高,越能够积累更多数字资源,为企业提供更多人才、资本和技术等。同时,企业数字化注意力水平越高,越能加快技术革新、治理优化、资源配置、创新升级,进而获得经济效益、环境效益和社会效益,同时促进城市经济可持续和高质量发展。因此,在构建企业数字化注意力指标时,考虑城市因素的影响具有必要性和合理性。遵循综合性、系统性以及科学性原则,同时考虑到企业所在城市数字化注意力因素,本文构建我国上市公司数字化注意力指标,具体步骤如下:
(1)参考Hossnofsky&Junge(2019)、赵宸宇等(2021)、Chen &Srinivasan(2023)的研究成果,基于《数字经济及其核心产业统计分类(2021)》《“十四五”数字经济发展规划》《中小企业数字化转型指南》等政策性文件,筛选出208个数字化关键词,以此构建数字化注意力词典。基于数字化注意力词典,参考陈玉娇等(2022)、Guo等[19]的研究思路,以上市公司年报为基础,采用词频统计方法构建企业数字化注意力水平指数。上市公司年报是衡量上市公司数字化水平的重要依据[20],本文使用Python对上市公司年报进行搜索、匹配和词频统计,并对208个数字化关键词词频总数加1取对数,最终得到3 724家企业数字化注意力水平指数。
(2)考虑到城市层面的影响因素,参考施炳展和金祥义[21]、沈和斌和邓富华(2021)的研究成果,本文以互联网搜索频次作为城市数字化注意力水平指数。此外,本文通过百度官网对208个关键词日搜索量年度均值总和加1取对数,最终得到237个城市数字化注意力水平指数。
(3)为了兼顾指标的综合性与平衡性[22],借鉴苏建皓[23]的方法,本文采用等权重求和方式得到企业数字化注意力指标。该值越大,说明企业数字化注意力水平越高。
2.2.3 中介变量
(1)信息披露质量(InforQuality)。参考牛建波和赵静[24]、申明浩等(2022)的研究方法,本文以上市公司分析师追踪人数作为信息披露质量的代理指标。由于信息不对称,投资者以及其他利益相关者难以准确、及时获取企业相关信息。作为上市公司与投资者等利益相关者之间的重要媒介,证券分析师能够利用自身专业技能对上市公司各种信息进行搜集、分析和判断。因此,对某上市公司进行追踪的分析师人数越多,说明该企业信息披露质量越高,证券分析师掌握和传递的信息越多,外部利益相关者越容易获得企业高质量信息。因此,本文以上市公司分析师追踪人数加1取对数作为企业信息披露质量的衡量指标。
(2)资源配置效率(ResAttention)。参照尹夏楠等[25]的研究方法,本文采用DEA-Malmquist指数模型构建企业资源配置效率指标。本文从投入维度(人力、物力、财力)和产出维度(经济贡献、社会贡献),采用DEA-Malmquist指数模型测算企业资源配置效率。为方便后续实证分析,本文将测算出的资源配置效率数值与1的差值百分比作为最终资源配置指标。该数值越大,说明企业资源配置效率越高。
2.2.4 控制变量
为了克服遗漏变量的影响,参考Kong等[26]、高原等[27]的研究成果,本文选取多个可能会影响企业ESG表现的指标,具体如下:
(1)公司规模(Size)。公司规模反映企业经营能力和资金实力,较大规模企业能够在ESG责任履行方面投入更多资源,进而影响企业ESG表现。
(2)公司上市年龄(Age)。公司上市年龄反映企业市场地位和经营状况,随着上市年数增加,企业能够获得更多外部资源,进而对企业ESG表现产生影响。
(3)公司杠杆率(Leverage)。企业参与ESG活动需要投入大量资金,因而融资能力可能对企业ESG表现产生影响。
(4)公司资产收益率(ROA)。充足的资金是企业制定战略决策的基础,较高的资产收益率说明企业能够将更多资金投入到ESG战略实施过程中。
(5)公司成长性(Grow)。公司成长性反映企业未来经营和发展能力,而企业ESG能够体现其在可持续发展方面的表现。因此,公司成长性能够影响企业ESG表现。
(6)公司两职合一(Dual)。公司两职合一能够避免职权分散,对企业治理和决策效率、风险管理以及运营监督能力产生影响,进而影响企业ESG表现。
(7)公司股权集中度(Share)。股权集中度反映企业股权结构的稳定性,在企业战略决策制定过程中发挥重要作用。股权集中度越高,越能推动企业战略决策实施,进而影响企业ESG表现。
本文所有变量定义如表2所示。
表2 变量定义与符号
Table 2 Variable definitions and symbols
变量类型变量名称变量符号变量定义被解释变量企业ESG表现ESG反映企业在ESG责任履行方面的表现情况,通过机器学习方法分析企业年报文本获得解释变量数字化注意力DigAttention反映企业对于数字化的注意力配置情况,通过城市和企业两个维度融合构建获得中介变量信息披露质量InforQuality证券分析师追踪人数加1取对数资源配置效率ResAttention基于DEA-Malmquist指数模型从投入和产出两个维度测算获得控制变量公司规模Size公司总资产的对数公司上市年龄Age当前年份减去公司上市年份加1取对数公司杠杆率Leverage公司的资产负债率公司资产收益率ROA公司净利润除以总资产公司成长性Grow主营业务收入的增长率公司两职合一Dual公司董事长与总经理兼任则赋值1,否则赋值0公司股权集中度Share公司前5大股东持股比例的总和
为了验证数字化注意力对企业ESG表现的影响及作用机制,借鉴袁淳等[28]和张萌等[29]的研究成果,本文构建如下模型:
ESGi,t=α1+β1DigAttentioni,t+∑γ1Controlsi,t+∑Year+∑Firm+∑Industry+εi,t
(4)
模型(4)为基准模型,用于验证数字化注意力对企业ESG表现的影响。其中,被解释变量ESGi,t为企业i第t年的ESG表现指标,核心解释变量DigAttentioni,t为企业i第t年数字化注意力指标,Controls为一系列控制变量,Year、Firm、Industry分别代表年份、企业和行业固定效应,εi,t为随机扰动项。回归系数β1代表数字化注意力对企业ESG表现的影响效应,若β1显著为正,则说明数字化注意力对企业ESG表现具有显著促进作用。
Medi,t=α2+β2DigAttentioni,t+∑γ3Controlsi,t+∑Year+∑Firm+∑Industry+εi,t
(5)
ESGi,t=α3+β3DigAttentioni,t+δMedi,t+∑γ3Controlsi,t+∑Year+∑Firm+∑Industry+εi,t
(6)
模型(5)(6)为中介效应模型,用于验证信息披露质量、资源配置效率在数字化注意力与企业ESG表现间能否发挥中介作用。其中,Medi,t表示中介变量,即信息披露质量和资源配置效率。回归系数β2表征数字化注意力对中介变量的影响效应,回归系数β3表征数字化注意力对企业ESG表现的影响效应,回归系数δ表征中介变量对企业ESG表现的影响效应。在β1显著的基础上,如果系数β2、δ均显著而β3不显著,则表明存在完全中介效应;如果β2、β3、δ均显著,且β3的估计值小于β1,则表明存在部分中介效应,其余变量与模型(4)表述一致。
表3为变量描述性统计结果。由表3可知,数字化注意力(DigAttention)的均值为2.780,最小值为0.690,最大值为3.881,说明上市企业对数字化均有所关注,但不同企业数字化注意力存在较大差距。企业ESG表现(ESG)的均值为0.898,最小值为0,最大值为5,说明我国企业ESG表现整体水平较低,且企业间存在较大差距。个别企业在年报中未披露 ESG 内容,故未能统计相关信息。
表3 变量描述性统计结果
Table 3 Descriptive statistics for variables
变量观测值均值标准差最小值最大值DigAttention24 2052.7800.4030.6903.881ESG24 2050.8980.3350.0005.000InforQuality24 2050.6470.5150.0001.881ResAttention24 2050.0020.084-1.4585.426Size24 2059.6260.5678.38012.400Age24 2050.8030.4060.0001.505Leverage24 2050.3920.1970.0083.513ROA24 2050.0440.069-1.9190.604Grow24 2050.2476.939-1.309944.100Dual24 2050.3140.4640.0001.000Share24 2050.5480.1520.0690.992
表4为数字化注意力与企业ESG表现的基准回归结果。其中,列(1)为未加入控制变量和未控制年份、企业、行业固定效应的回归结果。由结果可知,数字化注意力对企业ESG表现影响的回归系数为0.724,且通过1%水平的显著性检验。列(2)在列(1)的基础上加入控制变量,结果显示,数字化注意力对企业ESG表现影响的回归系数为0.530,且依然通过1%水平的显著性检验。由此说明,考虑影响企业ESG表现的其它因素后,数字化注意力对企业ESG表现依然具有促进作用。列(3)在列(2)的基础上进一步控制年份、企业、行业固定效应,回归系数为0.157,且在1%水平上显著。由此说明,数字化注意力能够显著提升企业ESG表现,研究假设H1得到验证。
表4 数字化注意力与企业ESG表现检验结果
Table 4 Digital attention and corporate ESG performance
变量(1)(2)(3)ESGDigAttention0.724∗∗∗0.530∗∗∗0.157∗∗∗(123.324)(83.924)(15.302)Size0.215∗∗∗0.154∗∗∗(31.977)(15.562)Age0.133∗∗∗0.059∗∗∗(17.619)(5.876)Leverage-0.135∗∗∗-0.008(-9.665)(-0.627)ROA-0.100∗∗∗0.032∗(-4.267)(1.662)Grow0.001∗∗∗0.001∗∗∗(3.841)(5.835)Dual0.030∗∗∗0.007∗(7.127)(1.705)Share-0.188∗∗∗-0.073∗∗∗(-10.071)(-3.404)常数项-1.080∗∗∗-2.523∗∗∗-1.041∗∗∗(-62.511)(-44.225)(-11.376)企业固定效应NONOYES年份固定效应NONOYES行业固定效应NONOYES样本量24 20524 20523 716调整后R20.4690.5660.812
注:括号中为t值,***、**和* 分别表示在1%、5%和10%的水平上显著,下同
3.3.1 系统GMM估计
企业本年度ESG表现可能会受前一年ESG表现的影响。为了解决模型内生性问题,本文引入被解释变量的一阶滞后项作为工具变量,构建如下动态面板模型:
ESGi,t=α+λESGi,t-1+βDigAttentioni,t+∑γControlsi,t+∑Year+∑Firm+∑Industry+εi,t
(7)
其中,ESGi,t-1为企业ESG表现的一阶滞后项,λ为一阶滞后项的估计系数,其余变量与式(4)一致。
表5为系统GMM模型回归结果。由表5可知,AR(1)-P值(均小于0.1)拒绝原假设;AR(2)-P值(均大于0.1)表明不存在二阶自相关,接受原假设。同时,Sargan-P值(大于0.1)无法拒绝工具变量有效性的原假设,说明工具变量选取合理。由变量回归系数可知,企业ESG表现的一阶滞后项(L. ESG)系数显著为正,说明企业ESG表现具有高度自相关性。数字化注意力对企业ESG表现影响的回归系数依然显著为正,说明本文研究结论具有稳健性。
表5 系统GMM回归结果
Table 5 System GMM regression results
变量(1)ESGL. ESG0.709∗∗∗(41.346)DigAttention0.398∗∗∗(16.303)Size0.002(0.424)Age0.022∗∗(2.301)Leverage0.040∗∗∗(2.667)ROA0.120∗∗∗(5.633)Grow0.001∗∗∗(7.235)Dual-0.011∗∗(-2.380)Share0.053∗∗∗(2.581)常数项-0.896∗∗∗(-11.768)AR(1)-P值0.001AR(2)-P值0.368Sargan-P值0.536样本量19 805
3.3.2 双重差分法
数字化注意力有助于企业加快数字化战略实施进程,实现资源优化、信息共享、技术革新,进而提升企业在ESG责任履行方面的表现。随着企业ESG表现提升,为了更好地满足利益相关者诉求,获得更多外部资源,企业会提升自身数字化注意力水平。因此,数字化注意力与企业ESG表现可能存在反向因果关系。针对这一问题,本文以区域数字化政策冲击作为准自然实验。
2016年10月,我国开始设立国家大数据综合试验区。此外,地方政府在土地、融资、人才引进等方面为企业数字化提供优惠政策和财政补贴,激发企业数字化积极性,进而提升企业数字化注意力。参考Fang等[30]、胡珺等[31]的研究方法,本文以2011—2021年上市公司作为研究样本,以2017年作为国家大数据综合试验区的政策年,将试验区内企业作为处理组,将剩余企业作为对照组,构建如下双重差分模型:
ESGi,t=α+φ(Treati×Postt)+∑γControlsi,t+∑Year+∑Firm+∑Industry+εi,t
(8)
其中,Treati×Postt为国家大数据综合试验区政策虚拟变量,记为DIDi,t,φ为待估系数。如果企业位于国家大数据综合试验区所在城市,Treati取值为1,否则取值为0;政策年当期以及以后各期,Postt取值为1,否则为0,其余变量与式(4)一致。
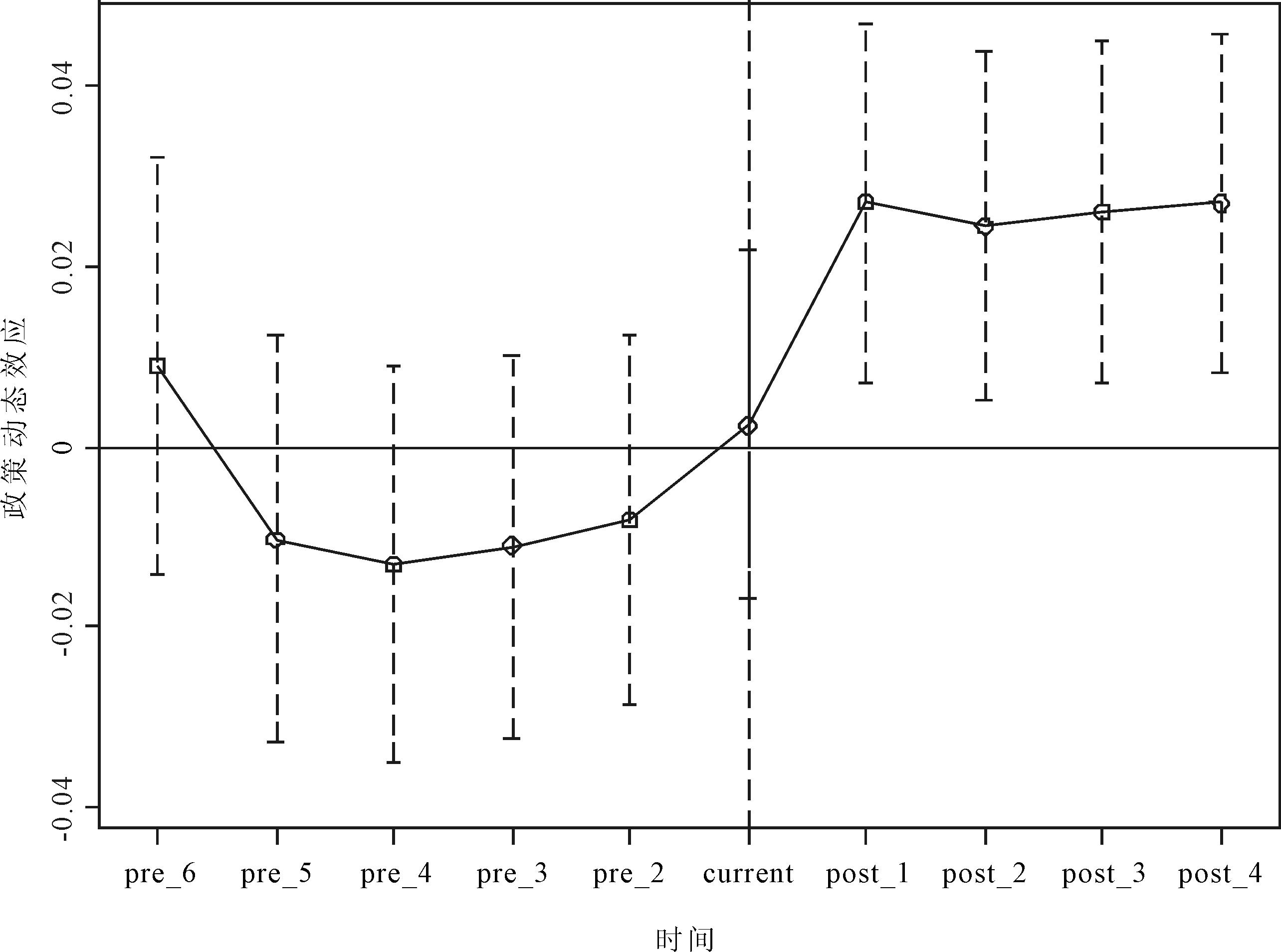
考虑到实施准自然实验的前提条件是处理组与对照组在政策实施前具有平行趋势,故本文采用事件研究法对平行趋势进行评估。为了防止多重共线性问题,本文以政策年前一期为基期,结果如图1所示。结果显示,在大数据综合试验区设立前,在95%的置信区间,处理组与对照组企业ESG表现变化趋势基本相同;在大数据综合试验区成立后,企业ESG表现得到显著提升。因此,平行趋势检验假设成立。
图1 平行趋势检验
Fig.1 Parallel trend test
表6 报告了双重差分模型估计结果。其中,列(1)为未加入控制变量和未控制年份、企业、行业固定效应的回归结果,可见DID的估计系数为0.282且通过1%水平的稳健性检验。列(2)为在列(1)的基础上控制年份、企业、行业固定效应的回归结果,可见DID的估计系数为0.025且通过1%的稳健性检验。列(3)为在列(2)的基础上加入控制变量的回归结果,可见DID的估计系数为0.020,且在1%水平上显著为正。由此说明,与未受政策影响的上市公司相比,因受政策冲击而提升数字化注意力水平的上市公司,其ESG表现显著提升。综上,双重差模型回归结果与前文结论一致,进一步说明本文研究结论具有稳健性。
表6 双重差分回归结果
Table 6 DID regression results
变量(1)(2)(3)ESGDID0.282∗∗∗0.025∗∗∗0.020∗∗∗(58.773)(4.952)(4.142)Size0.176∗∗∗(17.962)Age0.063∗∗∗(6.194)Leverage-0.016(-1.164)ROA0.035∗(1.764)Grow0.001∗∗∗(5.845)Dual0.007∗(1.700)Share-0.066∗∗∗(-3.028)常数项0.831∗∗∗0.883∗∗∗-0.832∗∗∗(363.894)(565.105)(-9.123)企业固定效应NOYESYES年份固定效应NOYESYES行业固定效应NOYESYES样本量24 20523 71623 716调整后R20.1270.8020.810
3.3.3 改变被解释变量测量方法
本文采用华政ESG评分衡量企业ESG表现。华政ESG评分基于三级指标评价体系获得,数据来源涵盖上市公司年报、社会责任报告、政府、监管机构官网以及媒体报道等,能够对企业ESG表现进行全面评价。同时,其评价范围覆盖全部A股上市公司,且时效性强、回溯时间长。因此,本文使用华政ESG评分替代被解释变量进行回归,结果如表7列(1)所示。结果显示,数字化注意力对企业ESG表现影响的回归系数显著为正,进一步证明本文结论具有稳健性。
表7 稳健性检验结果
Table 7 Robustness test results
变量(1)(2)(3)(4)(5)(6)替换被解释变量调整解释变量构建权重删除特定行业样本解释变量滞后一期更换样本时间区间混合OLS估计DigAttention0.818∗∗∗0.118∗∗∗0.155∗∗∗0.169∗∗∗0.287∗∗∗(3.531)(15.769)(14.517)(10.329)(3.505)L.DigAttention0.079∗∗∗(7.403)Size3.093∗∗∗0.153∗∗∗0.164∗∗∗0.164∗∗∗0.123∗∗∗2.734∗∗∗(14.545)(15.502)(15.511)(14.188)(7.292)(33.867)Age-3.173∗∗∗0.059∗∗∗0.054∗∗∗0.142∗∗∗0.003-1.776∗∗∗(-13.021)(5.849)(5.024)(7.673)(0.218)(-16.321)Leverage-4.218∗∗∗-0.008-0.012-0.005-0.011-3.007∗∗∗(-12.086)(-0.556)(-0.844)(-0.356)(-0.586)(-13.772)ROA2.672∗∗∗0.033∗0.0290.043∗∗0.02210.718∗∗∗(4.079)(1.664)(1.377)(2.036)(1.084)(20.116)Grow-0.0030.001∗∗∗0.001∗∗∗-0.002∗0.008-0.007(-1.088)(5.832)(6.100)(-1.722)(0.502)(-1.422)Dual-0.1250.007∗0.008∗0.009∗∗0.011∗∗-0.233∗∗∗(-1.286)(1.688)(1.954)(2.115)(1.966)(-3.185)Share1.780∗∗∗-0.074∗∗∗-0.081∗∗∗-0.063∗∗-0.0280.503∗∗(3.716)(-3.440)(-3.592)(-2.490)(-0.707)(2.048)常数项44.845∗∗∗-0.865∗∗∗-1.127∗∗∗-0.993∗∗∗-0.828∗∗∗48.486∗∗∗(22.874)(-9.552)(-11.497)(-9.363)(-5.161)(70.622)企业固定效应YESYESYESYESYESNO年份固定效应YESYESYESYESYESNO行业固定效应YESYESYESYESYESNO样本量23 22723 71621 30919 39014 53523 701调整后R20.6000.8120.8130.8080.4900.092
3.3.4 改变解释变量构建权重
考虑到在企业数字化注意力指标构建时引入企业所在城市数字化注意力因素,并对其赋予相应的权重,而不同权重可能会影响数字化注意力对企业ESG表现影响的回归结果。因此,本文对企业数字化注意力水平和城市数字化注意力水平指数权重重新进行分配。本文对企业数字化注意力水平指数赋予70%权重,对城市数字化注意力水平指数赋予30%的权重,回归结果如表7列(2)所示。结果显示,在重新分配权重后,数字化注意力依然能够显著提升企业ESG表现,证明本文研究结果具有稳健性。
3.3.5 删除特定行业样本
考虑到计算机、通信等行业在数字化注意力、数字化水平以及数字化基础设施等方面明显优于其它行业,可能导致回归结果出现偏差。因此,本文剔除计算机、通信和其它电子设备制造业行业样本数据进行回归分析,结果如表7列(3)所示。结果显示,剔除特定行业样本后,数字化注意力仍能够显著提升企业ESG表现。
3.3.6 变量滞后一期
考虑到数字化注意力对企业ESG表现的影响可能存在时滞性,本文使用核心解释变量滞后一阶(L.DigAttention)进行回归,结果如表7列(4)所示。结果显示,数字化注意力滞后一阶的回归系数仍在1%水平上显著为正,与本文结论一致。
3.3.7 更换时间区间
本文选取2015—2020年作为新样本时间区间进行回归分析,结果如表7列(5)所示。结果显示,在更换样本时间区间后,数字化注意力依然能够显著提升企业ESG表现。
3.3.8 混合OLS模型回归
考虑到采用不同模型进行回归可能对结果产生不同影响,本文进一步选取混合OLS模型对数据进行回归。相比于固定效应模型,混合OLS模型无需过多关注模型假设满足情况,能够有效消除面板数据带来的影响[32],结果如表7列(6)所示。结果显示,在采用混合OLS模型进行回归后,数字化注意力的回归系数方向和显著性均保持不变,验证了本文结果的稳健性。
表8列(1)表明,数字化注意力对信息披露质量影响的回归系数在1%水平上显著为正,说明数字化注意力能够显著提升企业信息披露质量。列(2)表明,数字化注意力与信息披露质量的回归系数均在1%水平上显著为正,且数字化注意力的估计值小于其在基准回归中的估计值。由此说明,信息披露质量在数字化注意力与企业ESG表现之间发挥部分中介效应,即存在“数字化注意力—信息披露质量—企业ESG表现”的正向传导机制,研究假设H2得以验证。列(3)表明,数字化注意力对资源配置效率影响的回归系数在1%水平上显著为正,说明数字化注意力能够显著提升企业资源配置效率。列(4)表明,数字化注意力与资源配置效率的回归系数均在1%水平上显著为正,且数字化注意力的估计值小于其在基准回归中的估计值。由此说明,资源配置效率在数字化注意力与企业ESG表现之间发挥部分中介效应,即存在“数字化注意力—资源配置效率—企业ESG表现”的正向传导机制,研究假设H3得以验证。
表8 中介效应分析结果
Table 8 Results of the mediation effects analysis
变量(1)(2)(3)(4)InforQualityESGResAttentionESGDigAttention0.156∗∗∗0.154∗∗∗0.018∗∗∗0.156∗∗∗(8.066)(14.997)(4.088)(15.223)InforQuality0.019∗∗∗(4.974)ResAttention0.041∗∗∗(3.310)Size0.622∗∗∗0.142∗∗∗-0.0010.154∗∗∗(34.644)(14.170)(-0.257)(15.571)Age-0.073∗∗∗0.061∗∗∗-0.022∗∗0.060∗∗∗(-3.511)(6.016)(-2.289)(5.975)Leverage-0.256∗∗∗-0.003-0.056∗∗∗-0.006(-7.825)(-0.274)(-9.030)(-0.456)ROA0.955∗∗∗0.0140.0030.032∗(13.958)(0.737)(0.451)(1.655)Grow0.001∗∗∗0.001∗∗∗0.000∗0.001∗∗∗(2.959)(5.731)(1.958)(5.829)Dual0.0120.006∗-0.0020.007∗(1.630)(1.648)(-1.292)(1.733)Share0.192∗∗∗-0.077∗∗∗0.010-0.074∗∗∗(4.801)(-3.572)(1.247)(-3.426)常数项-5.770∗∗∗-0.931∗∗∗-0.003-1.040∗∗∗(-34.771)(-10.037)(-0.082)(-11.378)企业固定效应YESYESYESYES年份固定效应YESYESYESYES行业固定效应YESYESYESYES样本量23 71623 71623 71623 716调整后R20.7160.8120.2010.812
综上所述,中介效应检验结果与理论假设分析一致,即数字化注意力能够加快企业数字化进程,加强企业对数字技术的应用,提升企业信息披露质量,缓解信息不对称问题。由此,外部利益相关者能够获取企业在ESG责任履行方面的高质量信息并对企业ESG行为进行有效监督,进而提升企业ESG表现。同时,数字化注意力引致的数字技术应用能够优化企业监督与制衡体系,有助于企业提升管理效率,明确技术革新方向,抑制资源错配,提升资源配置效率,进而提升企业ESG表现。
本文从区域属性、污染属性和科技属性3个方面进行异质性分析。为了确保异质性分析结果的稳健性和合理性,本文采用费舍尔组合检验方法对各分组结果进行组间系数差异化检验。
依据企业所处区域位置,本文将研究样本分为东部企业和中西部企业进行回归分析,结果如表9列(1)(2)所示。结果显示,数字化注意力对东部企业和中西部企业ESG表现均发挥显著促进作用。由组间系数差异化检验结果可知,这一促进作用在东部企业中更加显著。原因在于:我国东部地区在经济实力、人才储备、资源投入、政策和财政支持力度等方面具有显著优势,数字经济发展水平较高,能够为企业数字化转型提供更多保障,进而为企业履行ESG责任营造良好的环境(王金等,2024)。对于中西部地区而言,其资源基础、技术水平相对落后,企业在数字化转型时面临的内外部条件较为严苛,且数字化转型过程具有长期性和风险性,这将影响企业决策者在数字化战略实施过程中的积极性,降低其数字化注意力水平,故不利于提升企业ESG表现。
表9 异质性分析结果
Table 9 Results of heterogeneity analysis
变量(1)(2)(3)(4)(5)(6)东部中西部重污染非重污染高科技非高科技DigAttention0.162∗∗∗0.152∗∗∗0.139∗∗∗0.168∗∗∗0.141∗∗∗0.179∗∗∗(9.163)(6.145)(7.572)(13.582)(7.287)(8.477)Size0.158∗∗∗0.141∗∗∗0.117∗∗∗0.165∗∗∗0.117∗∗∗0.201∗∗∗(7.894)(5.587)(6.239)(14.161)(6.280)(6.914)Age0.071∗∗∗0.044∗0.067∗∗∗0.060∗∗∗0.079∗∗∗0.031(4.308)(1.653)(3.327)(5.114)(4.699)(1.321)Leverage0.011-0.029-0.0100.0010.017-0.029(0.472)(-0.740)(-0.387)(0.047)(0.681)(-0.818)ROA0.095∗∗0.1110.0440.0350.0590.184∗∗∗(2.198)(1.391)(1.050)(1.576)(1.284)(2.755)Grow-0.009∗-0.0020.001∗∗∗-0.002∗∗-0.008-0.006(-1.646)(-0.184)(6.402)(-2.279)(-1.322)(-0.765)Dual0.0040.015-0.0020.010∗∗0.0050.010(0.689)(1.579)(-0.320)(2.082)(0.793)(1.065)Share-0.051-0.137∗∗0.004-0.109∗∗∗-0.055-0.093∗(-1.317)(-2.515)(0.107)(-4.168)(-1.431)(-1.676)常数项-1.338∗∗∗-1.134∗∗∗-0.666∗∗∗-1.180∗∗∗-0.913∗∗∗-1.769∗∗∗(-7.338)(-4.927)(-3.752)(-10.952)(-5.451)(-6.688)企业固定效应YESYESYESYESYESYES年份固定效应YESYESYESYESYESYES行业固定效应YESYESYESYESYESYES样本量17 5016 7046 63517 08115 0819 124调整后R20.6370.6850.8090.8140.6600.638差异化检验P值0.002∗∗∗0.000∗∗∗0.001∗∗∗
注:组间系数差异化检验P值采用费舍尔组合检验(抽样1 000次)计算得到
参照证监会发布的《上市公司行业分类指引》以及生态环境部颁布的《上市公司环保核查行业分类管理名录》,本文将样本分为重污染企业和非重污染企业进行回归分析,结果如表9列(3)(4)所示。结果显示,数字化注意力对重污染和非重污染企业ESG表现均发挥显著促进作用。由组间系数差异化检验结果可知,这一促进作用在非重污染企业中更显著。原因在于,非重污染企业大多属于金融业或服务业,其数字化转型难度较低,执行意愿和动力较强(王海军等,2023),决策者对数字化转型愿意投入更多注意力和资源,进而有利于提升企业ESG表现。相比而言,重污染企业更加注重自身短期经济效益,而数字化转型周期长、投入大,这会影响企业决策者开展数字化转型的积极性,进而降低其数字化注意力水平[27]。同时,ESG责任履行可能影响重污染企业经营收入,导致决策者减少企业在ESG责任履行方面的资源投入。
根据《高新技术企业认定管理办法》,本文将样本企业分为高科技企业和非高科技企业,回归结果如表9列(5)(6)所示。结果显示,数字化注意力对高科技企业和非高科技企业ESG表现均发挥显著促进作用。由组间系数差异化检验结果可知,上述促进作用在非高科技企业中更显著。原因在于,非高科技企业技术水平较低,数字技术与生产经营各环节融合度较低,导致其数字化转型空间较大(胡洁等,2023)。随着企业决策者数字化注意力水平提升,借助数字技术,企业提升生产与管理效率,进而提升企业ESG表现。对于高科技企业而言,其决策者在生产经营过程中更加注重科技创新,对数字化转型必然会投入更多资源和注意力,这会对企业在ESG责任履行方面产生一定程度的挤压(王爱萍等,2024),进而弱化数字化注意力对企业ESG表现的积极作用。
本文以2011—2021年沪深A股上市公司作为研究样本,实证检验数字化注意力对企业ESG表现的影响及作用机制,得出以下主要结论:
(1)数字化注意力能够显著提升企业ESG表现,说明数字化注意力水平提升能够推动企业实施数字化战略,加快数字技术融入生产经营过程,进而对企业ESG表现产生积极作用。
(2)数字化注意力可以通过提升企业信息披露质量和资源配置效率对企业ESG表现产生积极影响,即数字化注意力能够加快企业数字化进程,提升企业信息透明度和真实性,缓解信息不对称问题,抑制企业资源错配,提升企业信息披露质量和资源配置效率,从而提升企业ESG表现。
(3)数字化注意力对不同区域属性、污染属性以及科技属性企业ESG表现均具有显著正向影响,但影响程度存在差异,具体表现为在东部地区企业、非重污染企业以及非高科技企业中,数字化注意力对企业ESG表现的促进作用更显著。
(1)揭示了数字化注意力在提升企业ESG表现方面的作用,为数字化转型与企业可持续、高质量发展研究提供了新视角,对促进数字经济与实体经济深度融合具有重要意义。
(2)在注意力基础观的基础上,引入数字化注意力这一概念,探讨了数字化注意力对企业ESG表现的影响,揭示了企业决策者数字化“注意力—行为”的传导机制。虽然过往研究证实了注意力配置对企业ESG表现的影响(陶云清等,2023;Gu等,2021;伊志宏等,2022),但仅局限于宏观层面。本文以数字化为切入点,结合注意力相关理论,从微观层面探究了数字化注意力与企业ESG表现的关系,丰富了数字化与企业ESG表现关系研究。
(1)ESG责任履行能够为企业带来声誉、经济效益、社会效益和环境效益。本文发现,数字化注意力能够提升企业ESG表现,强化企业可持续发展能力。因此,企业必须重视数字化在自身发展过程中的作用,增加数字化投入,制定数字化发展目标,促进数字技术与生产经营全流程深度融合。同时,企业需要运用区块链、大数据、人工智能等实现组织结构和业务模式变革,通过技术创新改变原有生产方式、外部关系、内部治理,提升自身ESG表现,推动数字化战略与ESG战略融合,实现可持续与高质量发展。
(2)企业应借助数字技术提升信息披露质量和资源配置效率,进而提升自身ESG表现。一方面,企业应提升自身对数字化战略的认知水平,积极探索数字化发展与治理模式,并结合市场需求和自身优势开展数字化转型,借助数字技术强化自身信息处理与分析能力。同时,企业应搭建多元化数字信息共享平台,加强与外部利益相关者信息交互,利用外部监督提升信息披露质量,缓解信息不对称,从而提升企业ESG表现。另一方面,企业应借助数字技术构建公开、公平、公正的内部治理与监督体系,提高外部利益相关者在公司治理方面的参与度,提升自身对数字化战略、ESG责任履行的认知水平与执行力度,提升资源配置效率,从而提升企业ESG表现。
(3)由于区域属性、污染属性、科技属性差异,政府应针对不同类型企业制定差异化政策。对于中西部地区企业,政府应加大政策支持力度,降低区域间技术壁垒,提升企业开展数字化转型的积极性,以及对数字化转型的认知水平与注意力水平,推动企业从传统生产向数字化生产转变,进而提升其ESG表现;对于重污染企业,政府应加大政策支持和资源投入力度,制定相应的优惠政策、补贴政策、融资政策,提升其数字化注意力水平,促进数字化战略与ESG战略协同发展,进而提升其ESG表现;对于高科技企业,政府应增强其ESG责任意识,引导高科技企业借助技术优势提升自身ESG表现。
本文存在以下不足:首先,选取样本全部为上市企业,其在资产规模、市场竞争、内部治理等方面均优于非上市企业,结论普适性有待验证。其次,揭示了数字化注意力影响企业ESG表现的两个作用路径,未探讨其它可能存在的作用机制。最后,采用机器学习方法对企业ESG表现进行度量,但上市企业存在“漂绿”行为,这对企业ESG表现的测量存在一定影响。针对以上问题,未来可扩大样本研究范围,采用精细化指标进一步考察其它可能的影响机制。
[1] RAHMAN H U,ZAHID M,AL-FARYAN M A S. ESG and firm performance:the rarely explored moderation of sustainability strategy and top management commitment[J]. Journal of Cleaner Production,2023,404(6):136859.
[2] MATARAZZO M,PENCO L,PROFUMO G,et al. Digital transformation and customer value creation in made in Italy SMEs:a dynamic capabilities perspective[J]. Journal of Business Research,2021,123(10):642-656.
[3] 张虎,高子桓,韩爱华. 企业数字化转型赋能产业链关联:理论与经验证据[J]. 数量经济技术经济研究,2023,40(5):46-67.
[4] OCASIO W. Towards an attention-based view of the firm[J]. Strategic Management Journal,1997,18(S1):187-206.
[5] LI Q,MAGGITTI P G,SMITH K G,et al. Top management attention to innovation: the role of search selection and inten-sity in new product introductions[J]. Academy of Management Journal,2013,56(3):893-916.
[6] 肖静华,吴小龙,谢康,等. 信息技术驱动中国制造转型升级——美的智能制造跨越式战略变革纵向案例研究[J]. 管理世界,2021,37(3):161-179,225.
[7] 祝合良,王春娟. “双循环”新发展格局战略背景下产业数字化转型:理论与对策[J]. 财贸经济,2021,42(3):14-27.
[8] 徐子尧,张莉沙. 数字化转型与企业费用粘性——基于管理层自利视角的分析[J]. 金融经济学研究,2022,37(4):129-142.
[9] VERHOEF P C,BROEKHUIZEN T,BART Y,et al. Digital transformation: a multidisciplinary reflection and research agenda[J]. Journal of Business Research,2021,122(1):889-901.
[10] 何贤杰,肖土盛,陈信元. 企业社会责任信息披露与公司融资约束[J]. 财经研究,2012,38(8):60-71,83.
[11] 谭劲松,林雨晨. 机构投资者对信息披露的治理效应——基于机构调研行为的证据[J]. 南开管理评论,2016,19(5):115-126,138.
[12] 蔡贵龙,张亚楠. 基金ESG投资承诺效应——来自公募基金签署PRI的准自然实验[J]. 经济研究,2023,58(12):22-40.
[13] 王京滨,刘赵宁,刘新民. 数字化转型与企业全要素生产率——基于资源配置效率的机制检验[J]. 科技进步与对策,2024,41(3):23-33.
[14] 李闻一,刘勤,范文林,等. 智能财务赋能经济高质量发展——第十九届全国会计信息化学术年会主要观点综述[J]. 会计研究,2020,41(11):187-189.
[15] CHEN F,HUANG Z X,WANG F,et al. Can corporate social responsibility disclosure alleviate asset price volatility? evidence from China[J]. Economic Modelling,2022,116(12):105985.
[16] 胡楠,薛付婧,王昊楠. 管理者短视主义影响企业长期投资吗——基于文本分析和机器学习[J]. 管理世界,2021,37(5):139-156.
[17] 唐要家,王钰,唐春晖. 数字经济、市场结构与创新绩效[J]. 中国工业经济,2022,39(10):62-80.
[18] BILOSLAVO R,BAGNOLI C,MASSARO M,et al. Business model transformation toward sustainability: the impact of legitimation[J]. Management Decision,2020,58(8):1643-1662.
[19] GUO X,LI M,WANG Y,et al. Does digital transformation improve the firm's performance? from the perspective of digital-ization paradox and managerial myopia[J]. Journal of Business Research,2023,163(8):113868.
[20] ZHAO C Y,WANG W C,LI X S. How digital transformation impacts total factor productivity in the enterprise[J]. Finance and Trade Economics,2021,42(7):114-129.
[21] 施炳展,金祥义. 注意力配置、互联网搜索与国际贸易[J]. 经济研究,2019,54(11):71-86.
[22] 高明华,苏然,方芳. 中国上市公司董事会治理评价及有效性检验[J]. 经济学动态,2014,55(2):24-35.
[23] 苏建皓. 公司治理的股票二级市场效应研究[D]. 济南:山东大学,2021.
[24] 牛建波,赵静. 信息成本、环境不确定性与独立董事溢价[J]. 南开管理评论,2012,15(2):70-80.
[25] 尹夏楠,明华,耿建芳. 高管薪酬激励对企业资源配置效率的影响研究——基于产权性质和行业异质性视角[J]. 中国软科学,2021,36(S1):260-267.
[26] KONG D,SHU Y,WANG Y. Corruption and corporate social responsibility:evidence from a quasinatural experiment in China[J]. Journal of Asian Economics,2021,75(8):101317.
[27] 高原,张颖,刘长军. 数字化转型能否提升企业环境、社会及治理绩效——高管团队异质性的调节作用[J]. 科技进步与对策,2024,41(11):55-56.
[28] 袁淳,肖土盛,耿春晓,等. 数字化转型与企业分工:专业化还是纵向一体化[J]. 中国工业经济,2021,38(9):137-155.
[29] 张萌,张永珅,宋顺林. 企业数字化转型与税收规避——基于内部控制和信息透明度的视角[J]. 经济经纬,2022,39(6):118-127.
[30] FANG M,NIE H,SHEN X. Can enterprise digitization improve ESG performance[J]. Economic Modelling,2023,118(1):106101.
[31] 胡珺,方祺,龙文滨. 碳排放规制、企业减排激励与全要素生产率——基于中国碳排放权交易机制的自然实验[J]. 经济研究,2023,58(4):77-94.
[32] 许文彬,江秀娟. 董事高管责任保险提高了中国上市公司的企业价值吗——基于2002-2018年A股上市公司非平衡面板数据的实证研究[J]. 数理统计与管理,2023,42(1):158-174.