AI背景下技术冲击意识对制造工人工匠精神的影响机制研究

朱永跃1,孙佳怡2,曾梦妮1

(1.江苏大学 管理学院,江苏 镇江 212013;2.上海大学 管理学院,上海 200444)

摘 要:人工智能技术深度融入背景下,技术变革对传统工匠精神的传承与创新带来深刻影响。基于调节焦点理论,构建一个有调节的中介模型,探讨技术冲击意识对制造工人工匠精神的影响机制,分析促进型、防御型调节焦点的机制作用以及数字领导力的调节效应。通过对474份有效问卷数据的实证分析,研究发现:①技术冲击意识显著正向促进工匠精神;②促进型调节焦点在技术冲击意识与工匠精神之间起部分中介作用;③防御型调节焦点与技术冲击意识呈U型曲线关系;④数字领导力强化了技术冲击意识对工匠精神的积极影响,正向调节技术冲击意识与防御型调节焦点的关系。研究结论为企业在数字化转型中通过技术认知引导和领导力培育工匠精神提供了理论依据与管理启示。

关键词:工匠精神;技术冲击意识;促进型调节焦点;防御型调节焦点;数字领导力

The Influence Mechanism of Technological Disruption Awareness on the Craftsmanship of Manufacturing Workers against the Background of AI

Zhu Yongyue1,Sun Jiayi2,Zeng Mengni1

(1.School of Management,Jiangsu University,Zhenjiang 212013,China; 2.School of Management,Shanghai University,Shanghai 200444,China)

AbstractWith the vigorous rise of artificial intelligence and other emerging technologies,the role of digital-intelligence transformation in promoting the new industrialization process is becoming more and more significant.With its high precision,high efficiency and relatively low cost,artificial intelligence technology has brought unprecedented improvement to production efficiency and product quality of enterprises.While the technological revolution has brought numerous benefits,it has also quietly transformed the labor market,particularly impacting traditional manufacturing jobs.In the manufacturing sector,workers have long relied on mechanized operations,with their tasks often centered on repetitive production processes.These roles typically require minimal application of intuition and innovation.This nature of the job makes manufacturing workers especially vulnerable to the impact of AI technology.As automation and intelligent equipment become more widespread,many production processes that once required manual labor are gradually being replaced by machines.This shift not only threatens the job security of manufacturing workers but also poses severe challenges to their career development paths.

More profoundly,the popularization of artificial intelligence technology may also have a negative impact on the psychology of manufacturing workers.In the face of the impact of technology,many workers may feel at a loss,which leads to negative emotions such as occupational anxiety and decreased self-efficacy,and adversely affects their work performance.However,it is worth noting that manufacturing workers possess a unique quality that AI cannot replace:craftsmanship.The spirit of craftsmanship is a professional attitude of pursuing excellence,which is the core element of quality improvement and innovation in the manufacturing industry.In the era of artificial intelligence,how to cultivate and stimulate the craftsmanship has become an important topic for manufacturing enterprises to achieve high-quality development.While existing research has largely concentrated on the impact of leadership styles and individual employee factors on craftsmanship,it has largely overlooked the role of technological disruption awareness.As a measure of employees' perception and response to technological change,technological disruption awareness significantly influences their work attitudes and behaviors.Although technological disruption awareness is often regarded as a negative factor in many studies—potentially leading to career anxiety and turnover intentions—some studies suggest that it may also have a positive impact on stimulating employees to improve their skills and work performance.Therefore,this study introduces promotion-prevention focus as the mediating variable to explore the dual influence paths of technological disruption awareness on the craftsmanship.

The study employs an online questionnaire(N=474 manufacturing workers)with subsequent data analysis and hypothesis testing conducted via SPSS,STATA,and Amos.The results show that the technological disruption awareness has a significant effect on the craftsmanship of manufacturing workers; the promotion focus plays a partial mediating role in the positive relationship between technological disruption awareness and craftsmanship.There is a U-shaped relationship between the prevention focus and the technological disruption awareness.Digital leadership plays a positive moderating role in the relationship between technological disruption awareness,prevention focus and manufacturing workers' craftsmanship.

The findings of this study enrich and deepen the research in related fields,and have certain theoretical innovation and practical significance.First of all,this paper discusses the positive impact of technological disruption awareness on craftsmanship,which makes up for the lack of previous studies focusing on the negative impact of technological disruption awareness and provides a new perspective for manufacturing enterprises to effectively cultivate craftsmanship in the process of digital transformation.Secondly,drawing on the theory of regulatory focus,this paper explores the dual action pathways of promotion focus and prevention focus.It particularly proposes a U-shaped relationship between prevention focus and craftsmanship,thereby broadening the research perspective on prevention focus.Finally,this paper discusses the moderating role of digital leadership,which provides a theoretical reference for manufacturing enterprises to play the role of leadership and stimulate the spirit of craftsmanship in the process of digital transformation.

Key WordsCraftsmanship; Technological Disruption Awareness; Promotion Focus;Prevention Focus; Digital Leadership

DOI:10.6049/kjjbydc.D202410031W

开放科学(资源服务)标识码(OSID):

中图分类号:F272.92

文献标识码:A

文章编号:1001-7348(2025)18-0010-10

收稿日期:2024-10-07

修回日期:2025-02-10

基金项目:国家社会科学基金重点项目(23AGL025)

作者简介:朱永跃(1981-),男,江苏宿迁人,博士,江苏大学管理学院教授,研究方向为组织行为与人力资源管理;孙佳怡(2002-),女,江苏镇江人,上海大学管理学院硕士研究生,研究方向为组织行为与人力资源管理;曾梦妮(2001-),女,四川绵阳人,江苏大学管理学院硕士研究生,研究方向为组织行为与人力资源管理。

0 引言

随着人工智能(Artificial Intelligence,AI)等新兴技术发展,以数智化推进新型工业化已成为大势所趋。在人工智能时代,打造与制造业转型升级相适应的具有工匠精神的工人队伍、培养与时俱进的“现代工匠”,具有重要的战略意义。人工智能具有精密性、高效性、安全性、低成本性等优势,有助于实现高效生产与质量目标。有学者指出,人工智能技术发展与应用将导致很多工种被其取代,这些工种的员工将面临失业风险[1]。尤其是在制造业领域,制造工人因工作任务具有高机械化、低直觉化等特点而更易被替代。2022年国务院发展研究中心发布的《我国人工智能应用的职业替代风险及政策建议》显示,炼铁、纸制品、纺纱等职业的制造工人面临较高的替代风险[2]。在此背景下,制造工人需要承受人工智能技术冲击带来的压力,其工匠精神培育与发展也会受到一定影响。因此,从理论层面探讨人工智能等新兴技术对制造工人工匠精神的影响及作用机制具有重要意义。

目前,有关工匠精神的前因变量研究主要围绕领导和员工个体层面展开。领导方面,研究表明授权型领导[3]、情感型领导[4]、变革型领导[5]等对员工工匠精神塑造与培养有积极作用;员工个体方面,工牌责任感[6]、职业污名[7]、员工个人价值观[8]等对工匠精神具有影响。然而,鲜有研究探究技术冲击意识对工匠精神培育的影响。以往研究中,技术冲击意识往往被视为一种消极因素,会引发员工的职业焦虑、自我贬低乃至离职意愿等。如徐广路等[9]认为,人工智能冲击意识会使员工认为自己的工作情境充满威胁,削弱其职业满意度;Li等[10]认为,人工智能冲击意识会让员工感受到自己能力被低估,产生离职意向。然而,值得注意的是,技术冲击意识作为一种焦虑意识,不一定都是负面影响,也有相关研究指出技术冲击意识具有积极效应。例如,Cheng &Mccarthy[11]认为,焦虑意识能够促使员工积极改进技能,提升工作表现;张恒等[12]认为,人工智能技术应用带来冲击的同时,也为员工提供所需信息资源,协助员工更高效地完成工作。因此,技术冲击意识究竟对工匠精神产生何种影响亟需探讨。

调节焦点理论认为,当个体在一定情景下实现目标时会产生两种自我调节倾向——促进型焦点与防御型焦点。其中,促进型调节焦点强调个体更关注积极结果,对待潜在风险的态度更为正面,倾向于采取主动、积极策略;防御型调节焦点强调个体面对风险时往往采取更为稳妥、保守的措施,尽可能规避风险[13]。人工智能技术的引入,既能够提高制造工人生产效率,为制造工人带来机会,也会使其面临被取代的威胁。因此,当制造工人受到技术冲击意识影响时往往会产生促进型调节焦点或防御型调节焦点。本研究引入促进型调节焦点与防御型调节焦点作为中介变量,探究技术冲击意识对制造工人工匠精神的影响以及两种调节焦点在其中的中介作用。此外,调节焦点也会受到情境引导,如领导者行为[14]。在数字领导力影响下,面对技术冲击的制造工人状态与倾向会受到一定程度激发或抑制,进而强化或削弱对工匠精神的影响。因此,本研究将数字领导力作为调节变量纳入研究框架。

基于上述分析,为厘清技术冲击意识对制造工人工匠精神的具体影响路径和边界条件,本研究以制造工人为研究对象,从员工个体感知出发,探讨技术冲击意识对制造工人工匠精神的影响机制。主要解决以下问题:检验技术冲击意识对制造工人工匠精神产生何种影响,这种影响是否以促进型调节焦点或防御型调节焦点为传导机制,数字领导力如何在技术冲击意识、促进型调节焦点/防御型调节焦点与制造工人工匠精神关系间发挥调节作用?通过对上述问题的分析,解析技术冲击意识对制造工人工匠精神的影响机理,为制造企业人力资源管理实践提供参考。

1 理论基础与研究假设

1.1 技术冲击意识与工匠精神

近年来,制造业对人工智能的应用规模急剧扩张,大量人工智能、机器人、自动化技术投入生产制造环节。人工智能等技术应用能够为制造工人提供便利,承担部分工作任务,提高生产效率。但是,不可否认的是,人工智能技术也给制造工人带来挑战,从事繁复劳动的制造工人将面临较高的替代风险。麦肯锡在《失业与就业:自动化时代的劳动力转型》报告中指出,到2030年全球将有多达8亿人的工作岗位可能被机器人取代[15]。有学者认为,人工智能技术会使制造工人面临失去工作的压力,增加员工负面情绪,如工作不安全感[16]、职场焦虑[17]等。因此,人工智能技术既能够产生积极影响,也会对员工产生消极影响。人工智能等新兴技术作为一种工作资源,能够更为高效地帮助员工完成某些任务,使员工专注于高技能要求任务,从而高质量、高效率地完成工作目标[12]。唐永和李想[18]提出,人工智能对制造业存在双重效应——创造效应与破坏效应。一方面,人工智能作为一种高新技术,能够大幅提升制造企业劳动生产率,促进制造业资本积累增长;另一方面,人工智能发展促使更多具有自主性的机器人投入生产运营,通过替代人力,影响人力劳动者工作机会的获取。

根据情感事件理论,员工对工作事件的评价分为初评与次评,情感反应往往出现在次评阶段[19]。当人工智能等先进技术被引入工作场景时,制造工人在初评过程中往往会产生敌意,认为人工智能等技术对自身存在替代风险。而在次评过程中,制造工人通过深入了解人工智能技术,发现其存在不成熟方面,从而明晰自身个体优势,为更有效地规避替代风险,选择进一步增强自身工匠精神。因此,技术冲击意识对制造工人工匠精神具有积极影响。由此,本文提出以下研究假设:

H1:技术冲击意识正向影响员工工匠精神。

1.2 防御型调节焦点与促进型调节焦点的中介作用

根据调节焦点理论,调节焦点对个体信息感知能力具有重要影响,导致个体对相同情境或事件有着不同认知和采取不同行为。其中,存在两种不同调节焦点,即促进型调节焦点与防御型调节焦点。具有促进型调节焦点的个体,对积极信息更为敏感,倾向于采用主动、积极的态度与行为[20]。面对新兴技术大范围应用时,制造工人会展现不同认知与行为。具有促进型调节焦点的制造工人更易于认同人工智能技术的积极效应,他们更倾向于以主动、积极的态度面对挑战与威胁,将技术冲击视为自我提升和创新契机。在人工智能技术大规模引入的同时,他们化压力为动力,主动钻研生产技术,积极创新,通过掌握更多技能和资源,凸显自身无法被人工智能取代的个体价值[21]。由此,本文提出以下研究假设:

H2a:促进型调节焦点在技术冲击意识与工匠精神之间发挥中介作用。

相比之下,具有防御型调节焦点的个体更易于感知到外部环境中的消极因素,因而更重视对潜在威胁与风险的规避[20]。本研究认为,防御型调节焦点与制造工人之间并非简单的线性关系。

一方面,由于个体存在认知、技术、知识等方面的局限,他们往往无法对系统内部结构和运行机制拥有全面认知,只能从输入与输出特点了解该系统[22]。对于制造工人而言,人工智能等技术因其机理复杂、训练过程不可预测等,常常引发他们的质疑与不安。认知理论指出,对“有意义”的追求是人类本能。随着制造业大规模引入人工智能,制造工人的防御型调节焦点表现更显著。随着防御型调节焦点倾向加剧,制造工人本能地对未知的人工智能产生恐惧心理。为了保护现有资源、避免受到人工智能等新兴技术的威胁,以及维护在工作中获得的安全感与舒适感,他们往往会减少资源投入,从而导致工匠精神降低[23]。由此可见,在一定范围内,随着制造工人防御型调节焦点行为增强,其工匠精神会随之减弱。

另一方面,当防御型调节焦点倾向超过一定程度、处于较高水平时,员工会认识到人工智能技术的局限性,并发现尽管这些技术在多个领域存在优势,但在涉及复杂工艺、情感投入与创造力方面仍然难以达到自然人的工匠水平。因此,制造工人为规避被替代风险,最佳策略就是聚焦自我技能提升,提高工匠精神,达到人工智能等技术无法企及的技能水平,以确保自己在职场中的独特价值与竞争优势。相较于促进型调节焦点的个体,具有防御型调节焦点的个体往往更谨慎,而保守、安全、稳定的策略就是提高工匠精神。该策略虽然在一定程度上会放缓创新步伐,但也使得他们在技能提升上更扎实,工匠精神培养更深入。此外,根据心理学中提出的“暴露疗法”,即通过逐步接触和应对恐惧源,能够有效减少个体焦虑与痛苦[24]。防御型调节焦点表现显著的制造工人会通过一系列方法来规避潜在威胁。面对企业引入人工智能技术这一无法逆转的现实,最有效的风险规避策略便是直面人工智能技术挑战,努力提高工艺技术、增强工匠精神。基于此,本文认为防御型调节焦点对工匠精神可能存在U型关系,即随着防御型调节焦点增强,制造工人的工匠精神会呈现先下降后上升的趋势。由此,本文提出如下研究假设:

H2b:防御型调节焦点对工匠精神具有U型影响。

根据调节焦点理论,本文认为技术冲击意识会影响制造工人对现有环境信息的筛选、加工偏好和方式,引导和激发员工的防御型调节焦点倾向[25],进而影响其工匠精神。具体而言,当制造工人感受到技术冲击意识威胁时,会对人工智能等尖端技术进行评估,从而选择合适方式进行风险规避,最终影响工匠精神。初始阶段,来自技术冲击的强烈威胁感往往促使制造工人迅速采取防御型调节焦点作为应对策略。这种心理反应导致工人倾向于保守行事,专注于维护现有技能与工作流程稳定性,以抵御新技术可能带来的不确定性风险[26]。在这一阶段,尽管工匠精神中的精益求精、追求卓越等核心价值受到制造工人的坚决拥护,但过度保守的倾向可能限制他们在技术创新与工艺改进方面的探索,从而在短期内制约工匠精神培育。随着时间推移和经验积累,制造工人开始逐渐适应并学会与新技术和谐共存。这一转变过程不仅涉及技术层面的掌握与应用,而且深刻地体现于心理与认知层面的调整及重构。制造工人开始意识到,新技术并非全然是威胁,而是提升生产效率、拓宽职业发展空间的重要机遇。因此,他们的调节焦点逐渐从纯粹的防御转向更为积极的探索与创造。综上所述,技术冲击意识可能通过防御型调节焦点对制造工人工匠精神产生U型关系。因此,本文提出如下研究假设:

H2c:防御型调节焦点在技术冲击意识与工匠精神之间发挥中介作用。

1.3 数字领导力的调节作用

数字领导力是数字时代诞生的新概念。目前数字领导力并未形成统一定义。Van Wart 等[27]认为,数字领导力是指领导者利用数字化劳动资料的能力;Gilli等[28]认为数字领导力是指领导者运用技术、设备等数字资源推动组织实现目标的技能。本研究主要借鉴张志鑫和郑晓明[29]对数字领导力的定义,即领导者具有站在员工角度解读数字情境,并以同情、同理和同感方式实现与员工情感互动的能力。

领导行为特征能够有效激发员工的促进型调节焦点与防御型调节焦点[30]。领导拥有的数字领导力越强,越有助于员工在技术冲击意识下调整自我心态,激发其自主性和参与性,从而更加积极地获取和整合各种资源、知识,实现自我发展。具体而言,拥有卓越数字领导力的领导者能够敏锐洞察技术发展趋势,并将其转化为推动组织变革与员工成长的力量源泉[29]。在这样的领导风格下,员工面对技术冲击时更易于调整心态,从最初的抗拒或不安中解脱出来,转而以积极主动的态度拥抱和学习新技术。领导者的数字领导力越强,越能为员工提供清晰的学习路径和资源支持,促进员工从被动应对转向主动探索,形成良性循环[28]。此外,具备数字领导力的企业领导者在管理中更注重激发员工自主性和参与性,鼓励他们主动获取和整合各种技术、知识与资源,以实现自我价值最大化。这种管理方式不仅能够提升员工满意度和忠诚度,而且还能增强团队整体凝聚力和创新力,促使员工更加专注于强化自身工匠精神,而不是在焦虑、担忧中浪费更多资源与精力。总之,拥有较强数字领导力的领导者能够在员工面临技术冲击意识时,更好地激发员工促进型调节焦点或防御型调节焦点,从而增强员工工匠精神。由此,本文提出如下研究假设:

H3a:数字领导力正向调节技术冲击意识与员工工匠精神的关系;

H3b:数字领导力正向调节技术冲击意识与员工防御型调节焦点的关系;

H3c:数字领导力正向调节技术冲击意识与员工促进型调节焦点的关系。

综上,本文构建理论模型如图1所示。

图1 理论模型

Fig.1 Theoretical model

2 研究设计

2.1 研究样本

本研究采用调查问卷方式收集数据,选取制造工人为调研对象。通过问卷星和见数两个线上调查平台,面向进行数字化转型的企业发放问卷,并设置了两个筛选题项:①您所在企业是否在数字化转型方面做出过努力和尝试?若是则取值为1,否则取值为0;②您所在的企业是否采用大数据、人工智能、区块链和数据分析等技术,推动企业运营、业务模型、流程等进行数字化变革?是则取值为1,否则取值为0。

2024年1-4月,共发放样本632份,得到有效问卷474份,有效回收率为 75%。样本特征如下:性别方面,男性316人,占66.7%,符合制造业实际情况;年龄方面,35岁及以下共计393人,占82.9%,年轻化程度较高;学历方面,以大专及以下学历为主,共计383人,占80.8%;工作年限方面,人均工作年限为2.81年;技能水平方面,初级工人与中级工人数量最多,共计250人,占52.7%;企业性质方面,民营企业最多,占39.5%。

2.2 工具测量

(1)技术冲击意识。采用Li等[10]使用的量表,共有4个题项,包含“我认为我的工作可能会被人工智能取代”等题项。

(2)促进型-防御型调节焦点。采用Neubert等[31]开发的情境性调节焦点量表。该量表共计18个条目,其中,促进型调节焦点和防御型调节焦点各9个题项,量表题项包括“在工作中,我会抓住一切机会来提高我的成长目标”、“我专注于正确地完成工作任务来增加工作安全感”等。

(3)数字领导力。采用张志鑫与郑晓明[29]开发的数字领导力量表,共18个题项,包括数字思维变革能力、数字资源建设能力、数字伦理共情能力、数字认知践行能力4个维度。量表题项包含“我的领导具有数字化转型意识或变革意识”、“我们领导具有很强的共情能力,能够考虑我们的处境并帮助我们理解数字化转型”等。

(4)工匠精神。采用朱永跃等[32]开发的工匠精神量表,共22个题项,包括精益求精、爱岗敬业、持续专注、勇于创新和团队协作5个维度。量表题项包含“我能接受比别人更高的工作标准”、“工作的时候,我感觉时间过得很快”等。

3 研究结果

3.1 共同方法偏差检验

考虑到研究问卷均由被调查者通过自我报告方式进行填写,因此,首先通过 Harman 单因子检验方法进行共同方法偏差分析。结果表明,特征值大于1的公因子有9个,且第一个因子解释的变异量为40.591%,低于 50% 的判定标准,初步表明本研究不存在严重的共同方法偏差问题。其次,通过Amos 验证性因子分析发现,单因子模型的拟合度较差(χ2=4 432.009,df=430,χ2/df=10.307,IFI=0.605,CFI=0.604,TLI=0.572,RMSEA=0.140)。

进一步采用潜在误差变量控制法,使用Amos24.0在原模型基础上加入共同方法因子,结果见表1。将原模型拟合指标与含有共同方法因子的模型拟合指标进行对比发现,ΔRMSEA =-0.002<0.05,ΔSRMR =-0.007 9 <0.05,ΔCFI = 0.003 <0.1,ΔTLI = 0.005< 0.1,表明模型在加入共同方法因子后没有得到明显改善。因此,本研究不存在严重的共同方法偏差问题,可进行后续的数据分析。

表1 共同方法偏差检验结果

Table 1 Results of common method bias test

模型RMSEASRMRTLICFI原模型0.0390.04790.9660.972加入共同方法因子0.0370.04000.9710.975变化量-0.002-0.00790.0050.003

3.2 验证性因子分析

运用 Amos22.0进行验证性因子分析,结果如表2所示。数据显示,所有模型中五因子模型数据拟合效果最好,说明技术冲击意识、促进型调节焦点、防御型调节焦点、工匠精神与数字领导力之间区分效度较高。

表2 验证性因素分析结果

Table 2 Results of confirmatory factor analysis

模型χ2Dfχ2/dfIFITLICFIRMSEA五因子模型(AI,PRF,DRF,CS,DL)680.2163931.7310.9720.9660.9720.039四因子模型(DRF+CS,AI,PRF,DL)1392.2814063.4290.9030.8880.9020.072三因子模型(DRF+PRF+DL,AI,CS)2354.5094235.5660.8100.7900.8090.098两因子模型(AI+DL,DRF+PRF+CS)3099.0434277.2580.7360.7120.7350.115单因子模型(AI+PRF+DRF+CS+DL)4432.00943010.3070.6050.5720.6040.140

注:AI表示技术冲击意识,PRF表示促进型调节焦点,DRF表示防御型调节焦点,CS表示工匠精神,DL表示数字领导力,下同

3.3 信效度检验

3.3.1 信度检验

本研究利用量表Cronbach's α系数和组合信度检验量表内部一致性。从表3可见,各量表的Cronbach's α系数依次为0.890、0.847、0.919、0.974和0.967,说明量表整体信度较高;组合信度检验结果显示,各量表组合信度均高于标准0.7,说明观测变量与潜变量的内部一致性较高,即量表具有良好信度。

表3 各变量信度与聚合效度检验结果

Table 3 Results of reliability and convergent validity of each variable

构念因子载荷CRAVECronbach'sα技术冲击意识0.803~0.8660.90680.70880.890促进型调节焦点0.534~0.7860.87660.50620.847防御型调节焦点0.680~0.8250.92170.56770.919数字领导力0.771~0.8490.88990.66930.974工匠精神0.736~0.8330.88490.60630.967

3.3.2 效度检验

本研究通过计算平均方差萃取值(average variance extracted,AVE),检验量表聚合效度。表3结果显示,各量表的AVE值在0.506 2~0.708 8之间,均超过0.5的推荐标准,表明量表效度较高。

3.4 描述性统计分析

描述性统计与相关性分析结果如表4所示。技术冲击意识与工匠精神显著正相关(β=0.254,p<0.01),技术冲击意识与促进型调节焦点显著正相关(β=0.281,p<0.01),技术冲击意识与防御型调节焦点显著正相关(β=0.235,p<0.01),促进型调节焦点与工匠精神显著正相关(β=0.499,p<0.01),防御型调节焦点与工匠精神显著正相关(β=0.439,p<0.01),数字领导力分别与防御型调节焦点(β=0.415,p<0.01)、工匠精神(β=0.757,p<0.01)显著正相关,初步验证研究假设,为后续检验提供了支持。

表4 描述性统计与相关系数(N=474)

Table 4 Descriptive statistics and correlation coefficients(N=474)

变量1234567891011121.性别12.年龄0.08913.学历-0.139**-0.07714.企业性质0.077-0.144**-0.274**15.所属行业-0.107*-0.201**-0.277**0.264**16.工作年限-0.0280.523**0.301**-0.409**-0.386**17.技能水平-0.0210.325**0.317**-0.229**-0.289**0.532**18.技术冲击意识0.025-0.019-0.105*0.122**0.087-0.048-0.08719.促进型调节焦点-0.132**0.0060.200**-0.103*-0.0560.129**0.0580.281**110.防御型调节焦点-0.0220.073-0.0840.0350.077-0.017-0.0410.235**0.403**111.数字领导力-0.0450.023-0.0480.0700.105*-0.074-0.126**0.298**0.420**0.415**112.工匠精神-0.0400.127**-0.0480.0510.069-0.012-0.0400.254**0.499**0.439**0.757**1均值1.3302.7002.4302.36021.3002.8102.8303.6604.3704.9404.8604.600标准差0.4701.3401.0500.9308.7501.7001.5601.2500.8600.8400.9500.980

注:*、**、***分别表示p<0.05、p<0.01、p<0.001,下同

3.5 假设检验

3.5.1 主效应检验

使用软件SPSS28.0,采用逐步回归分析方法进行假设检验,结果见表5。模型(2)表明,技术冲击意识显著正向影响制造工人的促进型调节焦点(β=0.331,p<0.001);模型(4)表明,技术冲击意识显著正向影响防御型调节焦点(β=0.236,p<0.001);模型(6)表明,技术冲击意识显著正向影响制造工人工匠精神(β=0.261,p<0.001);模型(7)表明,促进型调节焦点显著促进工匠精神(β=0.501,p<0.001);模型(8)表明,防御型调节焦点显著促进工匠精神(β=0.377,p<0.001)。因此,研究假设H1得到验证。

表5 主效应检验结果

Table 5 Main effect test results

变量促进型调节焦点模型(1)模型(2)防御型调节焦点模型(3)模型(4)工匠精神模型(5)模型(6)模型(7)模型(8)自变量技术冲击意识0.331***0.236***0.261***0.095*0.172***中介变量促进型调节焦点0.501***防御型调节焦点0.377***控制变量性别-0.093*-0.101*-0.028-0.034-0.045-0.052-0.001-0.039年龄-0.031-0.0200.0940.1010.199***0.208***0.218***0.170***学历0.173***0.199***-0.036-0.0170.0190.040-0.0600.046企业性质-0.018-0.0530.011-0.0140.0520.0250.0510.030所在行业0.009-0.0040.0620.0530.0520.0430.0440.023工作年限0.0950.067-0.014-0.034-0.058-0.080-0.114*-0.067技能水平-0.031-0.015-0.028-0.016-0.051-0.038-0.030-0.032R20.0590.1660.0150.0690.0350.1010.3110.234ΔR20.0590.1070.0150.0540.0350.0660.2100.132F4.151***11.529***1.022*4.336***2.421*6.556***23.269***15.709***

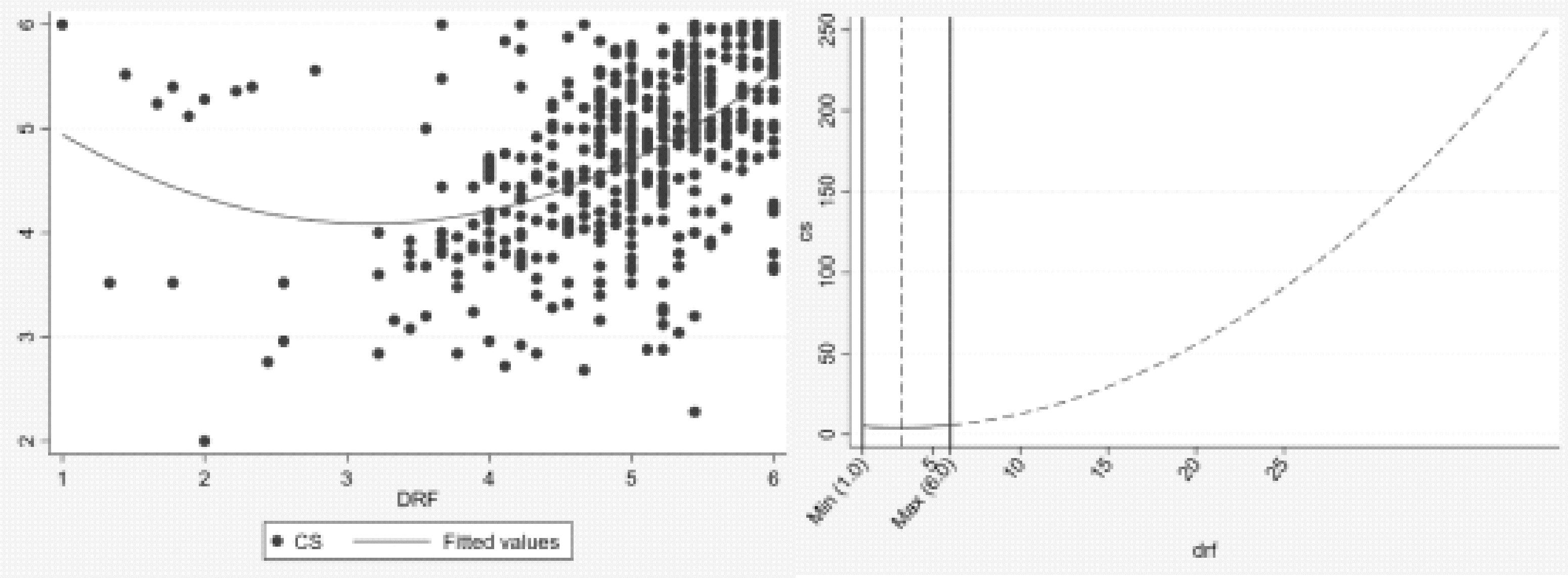
为进一步探究防御型调节焦点与工匠精神关系,采用Stata软件深入分析防御型调节焦点与工匠精神之间的非线性关系,结果见表6。数据显示,防御型调节焦点的一次项、二次项系数均显著,且防御型调节焦点的二次项系数大于0。为检验U型关系,本研究进行了Utest检验,计算出的极值点为3.172 662,取值范围为[1,6],极值点在数据范围内,并在5%的统计水平上拒绝原假设。同时,结果中的slope在区间内为负号,由此表明防御型调节焦点与工匠精神间存在U型关系,验证研究假设H2b成立。

表6 防御型调节焦点与工匠精神关系的回归结果

Table 6 Regression results of prevention focus and craftsmanship

变量工匠精神Coefft防御型调节焦点-0.418***-4.186防御型调节焦点20.857***8.576性别-0.019-0.471年龄0.1623.398学历0.0360.801企业性质0.0491.122所在行业0.0250.568工作年限-0.044***-0.799职级-0.037-0.802R20.272ΔR20.257FF(9464)=19.221,p=0.000

为了更直观地展示防御型调节焦点对工匠精神的U型作用,本研究绘制非线性拟合图与转折点图,具体见图2。其中,左图为防御型调节焦点对工匠精神具有U型作用的非线性拟合结果,从中可以看出防御型调节焦点与工匠精神之间存在U型作用关系;右图为U型关系的右半支,垂直虚线与U型曲线相交点即为转折点。

图2 非线性拟合图与转折点

Fig.2 Nonlinear fitting plots and turning points

3.5.2 中介效应检验

遵循Boostrapping中介效应检验方法和程序,在样本量为5 000的情况下,使用Model4展开运算,结果如表7所示。技术冲击意识通过促进型调节焦点影响工匠精神的间接效应值是0.067 3,95%的置信区间CI为[0.039 0,0.098 0],不包括0,表明促进型调节焦点在技术冲击意识正向影响工匠精神的过程中发挥中介作用,即研究假设H2a得到验证;技术冲击意识通过防御型调节焦点影响工匠精神的间接效应值是0.040 0,95%的置信区间CI为[0.020 4,0.065 0],不包括0,表明防御型调节焦点在技术冲击意识影响工匠精神的过程中也发挥中介作用,即研究假设H2c得到验证。此外,技术冲击意识影响工匠精神的直接效应值为0.167 7,95%的置信区间CI为[0.112 1,0.223 3],不包括0。基于上述分析,促进型调节焦点、防御型调节焦点均在技术冲击意识影响工匠精神的路径中发挥部分中介作用。

表7 中介效应Boostrapping检验结果

Table 7 Bootstrapping test results of mediating effects

影响效应效应大小Boot标准误BootCI下限BootCI上限直接效应0.16770.02830.11210.2233总间接效应0.10730.02090.06830.1498促进型调节焦点0.06730.01500.03900.0980防御型调节焦点0.04000.01140.02040.0650

由于在技术冲击意识-防御型调节焦点-工匠精神路径中防御型调节焦点与工匠精神是U型关系,为进一步检验防御型调节焦点的中介效应,使用 SPSS 26.0 软件和 Medcurve宏程序,将样本数量设置为5 000,置信区间设置为 95%,检验结果见表8。可以发现,95%置信区间均不包括0,表明技术冲击意识增强会通过促进防御型调节焦点而形成更高水平的工匠精神。

表8 非线性中介效应检验结果

Table 8 Results of nonlinear mediating effect test

中介变量技术冲击意识95%置信区间上限下限瞬时中介效应值防御型调节焦点2.41160.11900.05210.08483.66300.14150.05490.09634.91440.16720.05860.1079

3.5.3 调节效应检验

采用SPSS回归分析法检验数字领导力的调节效应,结果如表9所示。数字领导力在技术冲击意识与工匠精神、技术冲击意识与防御型调节焦点之间均发挥显著的调节作用,即研究假设H3a、H3b得到支持。模型(2)显示,数字领导力在技术冲击意识与促进型调节焦点间的调节作用不显著,故研究假设H3c未得到支持。

表9 调节效应检验结果

Table 9 Moderating effect test results

类型变量防御型调节焦点促进型调节焦点工匠精神模型(1)模型(2)模型(3)自变量技术冲击意识-0.249**0.117-0.282***调节变量数字领导力0.138*0.310***0.540***交互项技术冲击意识×数字领导力0.496***0.1310.426***控制变量YESYESYESR20.1940.2850.579ΔR20.1760.2700.570F11.111***18.499***63.634***

为了更清晰地揭示数字领导力在技术冲击意识与防御型调节焦点、工匠精神之间的调节效应,本研究还进行简单坡度分析,根据低于均值一个标准差和高于均值一个标准差的标准,将样本分为低数字领导力组和高数字领导力组,绘制相应调节效应图。如图3所示,在高数字领导力下技术冲击意识与防御型调节焦点的回归直线更陡峭,表明在高数字领导力下技术冲击意识对防御性调节焦点的正向影响更显著。此外,本文还进行了调节效应分析,具体结果如表10所示,可以发现,数字领导力正向调节技术冲击意识与防御型调节焦点之间的关系,故研究假设H3b再次得到验证。如图4所示,在高数字领导力下技术冲击意识与工匠精神的回归直线更陡峭,表明在高数字领导力下技术冲击意识对工匠精神的正向影响更显著。此外,由表11可见,数字领导力正向调节技术冲击意识与工匠精神关系,故研究假设H3a再次得到验证。

表10 数字领导力在技术冲击意识与防御性调节焦点间的调节效应回归分析结果

Table 10 Moderating effect of digital leadership on technological disruption awareness and defensive focus:regression analysis results

调节变量水平回归系数标准误p95%CI高水平(+1SD)0.1560.0360.0000.0860.226低水平(-1SD)0.1430.0440.0010.0560.229

表11 数字领导力在技术冲击意识与工匠精神间的调节效应回归分析结果

Table 11 Moderating effect of digital leadership on technological disruption awareness and craftsmanship:regression analysis results

调节变量水平回归系数标准误tp95%CI高水平(+1SD)0.0860.0253.3860.0010.0360.135低水平(-1SD)-0.0690.031-2.2290.026-0.130-0.008

图3 数字领导力对技术冲击意识与防御型调节焦点关系的调节作用

Fig.3 Moderating effect of digital leadership on the relationship between technological disruption awareness and prevention focus

图4 数字领导力对技术冲击意识与工匠精神关系的调节作用

Fig.4 Moderating effects of digital leadership on the relationship between technological disruption awareness and craftsmanship

4 结论与讨论

4.1 研究结论

本研究分析了技术冲击意识对制造工人工匠精神的影响机制,检验了防御型调节焦点与促进型调节焦点的中介作用以及数字领导力的调节作用,得到如下主要结论:

(1)技术冲击意识对制造工人工匠精神具有显著正向影响。首先,与部分研究提出技术冲击意识对员工工作态度与行为产生消极影响的结论不同[33-34],本研究发现,当制造工人感受到技术冲击时会为了规避工作替代风险,积极提升自我工作技能,以彰显自身的无法替代性。这种“危机即转机”的心态通过激发制造工人不断学习、勇于创新的内生动力,进一步强化其工匠精神的核心——追求卓越与精益求精。此外,人工智能技术作为一种资源,赋能制造工人从重复性、低附加值劳动中解放出来,在其辅助下有更多精力投入钻研与创新,从而增强自身工匠精神。其次,当领导者能够以前瞻性视野和科学策略,引导制造工人与人工智能等新兴技术协同时,制造工人能够更熟练地利用相关技术提升自身技能,因而其工匠精神也会随之提升。同时,这种良好的协作氛围能够促进团队内部知识共享与经验交流,为工匠精神的传承与发展奠定坚实基础。

(2)技术冲击意识能够激发制造工人的两种调节焦点,其中,促进型调节焦点对工匠精神提升有显著正向影响,而防御型调节焦点对工匠精神存在U型作用。面对人工智能等先进技术引入,制造工人会产生两种倾向,即促进型调节焦点与防御型调节焦点。具有促进型调节焦点的个体,往往更易于认同技术冲击意识的积极影响[20],将人工智能技术引入视为个人成长与职业晋升的契机,认为企业引入的人工智能技术能够将自身从繁琐任务中解放出来,有更多时间钻研业务、提升技能。这种正向的认知框架,不仅促进他们对工匠精神的追求,而且激发他们精进技艺、追求卓越的热情,从而在快速变化的工作环境中保持竞争力与创造力。相比之下,具有防御型调节焦点的员工面对技术冲击,会表现出更谨慎与保守的态度,更倾向于规避风险,对技术冲击意识的消极性更为敏感[35]。技术冲击意识作为一种焦虑情绪,会占用员工认知与情绪资源[19],从而导致员工在工作过程中减少投入。随着员工防御型调节焦点的增强,他们逐渐意识到减少工作投入的消极行为并不能有效规避工作替代威胁,会通过提升自我专注度、避免工作失误等凸显自己的不可替代性,降低被人工智能取代的风险。这一过程不仅有利于缓解技术冲击带来的不安情绪,而且有助于深化工匠精神,即他们开始意识到唯有不断提升自我价值,才能在数字化时代站稳脚跟。

(3)数字领导力能够调节防御型调节焦点、技术冲击意识与制造工人工匠精神之间的关系,即较高的数字领导力更有利于制造工人面对技术冲击时提升工匠精神。需要说明的是,数字领导力对技术冲击意识与促进型调节焦点关系的调节作用不显著。其原因可能是,虽然个体的自我倾向信念会影响其对技术冲击的解读,但两种因素的影响可能并不一致。在数字领导力的影响下,制造工人更易于接受技术冲击带来的压力,认为人工智能等新兴技术是可控的,但这并不意味着制造工人会主动接受。换而言之,在数字领导力的影响下,制造工人虽然可以承受技术冲击带来的压力,但是并不会将技术冲击作为自己理想的工作状态,因此无法形成促进型调节焦点。这与陈云等(2024)的研究结论相似。

4.2 理论意义

(1)丰富了工匠精神的前因变量研究,探讨了技术冲击意识对制造工人工匠精神的正向影响机制。现有的工匠精神研究大多探讨领导风格[4,36]、师徒关系[37]对工匠精神培养的影响,忽视了技术革新、数字化转型下技术冲击意识作为重要因素,对制造工人工匠精神产生的深远影响。此外,本研究还探讨了技术冲击意识的“光明面”,弥补了以往研究大多探析技术冲击意识的消极影响,对其积极影响缺少关注的不足,丰富了工匠精神影响因素的理论体系,也为制造企业在数字化转型过程中培育工匠精神提供了新视角与理论依据。

(2)揭示了技术冲击意识影响制造工人工匠精神的内在作用机制。本研究基于调节焦点理论,从促进型调节焦点与防御型调节焦点两个方面探究技术冲击意识对制造工人工匠精神的影响路径,并提出促进型调节焦点正向影响工匠精神,而防御型调节焦点并不是线性影响工匠精神。以往研究中防御型调节焦点往往被作为消极因素(陈云等,2024),本研究提出防御型调节焦点与工匠精神间存在U型关系,即随着防御型调节焦点增强,制造工人的工匠精神会先减弱后增强,从而拓展了防御型调节焦点研究视角。

(3)验证了数字领导力在技术冲击意识影响制造工人工匠精神过程中的调节作用。目前探究数字领导力调节效应的研究较少,主要围绕数字领导力内涵[38-39]、数字领导力的结果分析[40-41]。本研究引入数字领导力作为调节变量,拓展了技术冲击意识作用于制造工人工匠精神的边界条件,丰富了相关领域研究成果,为制造企业在数字化转型过程中如何有效发挥领导力作用、激发工匠精神提供参考。

4.3 实践启示

(1)强化对制造工人技术冲击意识的正向引导。技术冲击意识并非全然是消极的,它实际上蕴含提高工人工匠精神和工作质量改进的作用。因此,企业不应简单地压制这种意识,而应采取积极主动的态度,进行正向引导。如企业可以为制造工人提供人工智能技术培训、帮助制造工人提升对人工智能等新兴技术的全面认知等,以避免制造工人过度焦虑与抵触,促使其能够理性看待技术冲击,进而激发技术冲击意识的积极效应,从而更好地应对技术变革带来的机遇与挑战。

(2)企业在提升制造工人工匠精神时,应秉持“因材施教”的原则,针对员工的不同调节焦点采取个性化策略。企业需灵活调整培训与心理疏导方法,这不是单纯地倡导积极心态以应对技术冲击,而是深入了解员工的调节焦点,因人施教。一方面,具有防御型调节焦点的个体能在特定情境下增强工匠精神;另一方面,调节焦点与个体长期形成的特质有关,具有相对稳定性。因而,企业在尝试改变制造工人调节焦点时,需有充分的认识和准备,以确保策略的有效性和长期效果。

(3)在管理实践中积极提升管理人员的数字领导力。随着人工智能等先进技术的蓬勃发展,数字化转型已成为企业迈向未来的必由之路。管理人员需通过有效的沟通和技能辅导,消除工人偏见,激发他们的工匠精神,进而推动工作绩效稳步提升。

4.4 不足与展望

本研究不足之处主要体现在两个方面:第一,调查问卷数据皆为横截面数据,虽能反映现状,但难以揭示变量间的动态变化。未来可考虑采用多时点观察,通过追踪变量在不同时间点的变化,厘清它们之间的关系,从而拓展研究深度、提升结果的可靠性。第二,本研究除构建的工匠精神量表与数字领导力量表外,其他量表均为国外学者开发的量表,虽然都是权威量表,但是将国外量表应用于中国情景存在一定的局限性,未来研究可以考虑开发中国情境下的量表。

参考文献:

[1] BROUGHAM D,HARR J,et al.Smart technology,artificial intelligence,robotics,and algorithms (STARA):employees' perceptions of our future workplace[J].Journal of Management &Organization,2018,24(2):239-257.

[2] 孙鲁晋,周洪.我国人工智能产业蓬勃发展 职业替代风险如何规避[EB/OL].(2022-07-18)[2024-10-07].https://content-static.cctvnews.cctv.com/snow-book/index.html?item_id=18148978652800045741&toc_style_id=feeds_default&share_to=wechat_timeline&track_id=80591b0a-6145-480f-9588-a2abb10b9b12.

[3] 李玉珠,林原.授权型领导对员工工匠精神的影响——心理资本与主动型人格的作用[J].中国流通经济,2023,37(12):90-99.

[4] 石冠峰,刘澳龙,王锦慧,等.情感型领导对员工工匠精神的跨层影响——基本心理需求满足和未来工作自我清晰度的作用[J].技术经济,2023,42(12):173-184.

[5] 高中华.工匠精神对员工主动性行为的影响机制研究[J].管理学报,2022,19(6):851-860.

[6] 吴婧瑶,刘懿养,吴晓莉.工牌相关责任感知对工作投入及工匠精神的影响:职业认同及职业污名感知的作用[J].中国人事科学,2023,36(2):53-61.

[7] 朱永跃,王世贤,欧阳晨慧.职业污名对工匠精神的抑制效应:来自制造业产业工人的实证研究[J].江苏大学学报(社会科学版),2023,25(1):86-100.

[8] 贺正楚,彭花.新生代技术工人工匠精神现状及影响因素[J].湖南社会科学,2018,31(2):85-92.

[9] 徐广路,王皓天.人工智能冲击意识对员工职业满意度的影响:工作压力和目标导向的作用[J].中国人力资源开发,2023,40(7):15-33.

[10] LI J,BONN M A,YE B H.Hotel employee's artificial intelligence and robotics awareness and its impact on turnover intention:the moderating roles of perceived organizational support and competitive psychological climate[J].Tourism Management,2019,73:172-181.

[11] CHENG B H,MCCARTHY J M.Understanding the dark and bright sides of anxiety:a theory of workplace anxiety[J].Journal of Applied Psychology,2018,103(5):537-560.

[12] 张恒,高中华,李慧玲.增益还是损耗:人工智能技术应用对员工创新行为的“双刃剑”效应[J].科技进步与对策,2023,40(18):1-11.

[13] CROWE E,HIGGINS E T.Regulatory focus and strategic inclinations:promotion and prevention in decision-making[J].Organizational Behavior and Human Decision Processes,1997,69 (2) :117-132.

[14] 熊立,柳波,年鹏翔.领导促进聚焦行为能诱发下属即兴创新吗——考虑替代因素干预的视角[J].管理评论,2023,35(12):203-216.

[15] JAMES M,MICHAEL C,MEHDI M,et al.人机共存的新纪元:自动化、就业和生产力[EB/OL].(2022-07-18)[2024-10-07].https://www.mckinsey.com.cn.

[16] 郭东杰,吴明烨.数字技术应用如何影响工作不安全感[J].社会科学战线,2024,47(9):106-118.

[17] 文革,黄聪.数字化时代技术冲击意识对职场焦虑影响研究:悖论思维的调节作用[J].中国人力资源开发,2024,41(8):38-52.

[18] 唐永,李想.人工智能发展对制造业就业的影响——基于马克思社会再生产模型的中国经验分析[J].当代经济研究,2024,31(6):36-50.

[19] WEISS H M,CROPANZANO R.Affective events theory:a theoretical discussion of the structure,cause and consequences of affective experiences at work[J].Research in Organizational Behavior,1996,18 (3):1-74.

[20] LANAJ K,CHANG C H,JOHNSON R E.Regulatory focus and work-related outcomes:a review and meta-analysis[J].Psychological Bulletin,2012,138(5):998-1034.

[21] 邹勇,周艳榕,黄启新.人工智能技术冲击下的员工主动学习行为[J].科技管理研究,2023,43 (17):180-187.

[22] 黄锫.生成式AI对个人信息保护的挑战与风险规制[J].现代法学,2024,46(4):101-115.

[23] 孟祥婧,徐鹏.人工智能警觉对员工工作倦怠的影响研究——基于科技公司的调查数据[J].经济与管理研究,2024,45(10):99-110.

[24] 惠慧,洪昂,王振.虚拟现实暴露疗法在焦虑相关障碍治疗中的新进展[J].中国临床心理学杂志,2022,30(5):1218-1223.

[25] HIGGINS E T.Beyond pleasure and pain[J].American Psychologist,1997,52(12):1280-1300.

[26] FORSTER J,HIGGINS E T,BIANCO A T.Speed/accuracy decisions in task performance:built-in trade-off or separate strategic concerns[J].Organizational Behavior and Human Decision Processes,2003,90(1):148-164.

[27] VAN WART M,ROMAN A,WANG X H,et al.Operationalizing the definition of E-Leadership:identifying the elements of E-Leadership[J].International Review of Administrative Sciences,2019,85 (1):80-97.

[28] GILLI K,NIPPA M,KNAPPSTEIN M.Leadership competencies for digital transformation:an exploratory content analysis of job advertisements[J].German Journal of Human Resource Management,2023,37 (1) :50-75.

[29] 张志鑫,郑晓明.数字领导力:结构维度和量表开发[J].经济管理,2023,45(11):152-168.

[30] 李磊,尚玉钒,席酉民.基于调节焦点理论的领导对下属影响机制研究[J].外国经济与管理,2010,32(7):49-56.

[31] NEUBERT M J,KACMAR K M,CARLSON D S,et al.Regulatory focus as a mediator of the influence of initiating structure and servant leadership on employee behavior[J].Journal of Applied Psychology,2008,93(6):1220-1233.

[32] 朱永跃,过旻钰,陈雯.传统与现代交融视角下制造业员工工匠精神量表开发及应用[J].科技进步与对策,2021,38(9):124-133.

[33] 陈文晶,康彩璐,杨玥,等.人工智能潜在替代风险与员工职业能力发展:基于员工不安全感视角[J].中国人力资源开发,2022,39(1):84-97.

[34] SUSENO Y,CHANG C,HUDIK M,et al.Beliefs,anxiety and change readiness for artificial intelligence adoption among human resource managers:the moderating role of high-performance work systems[J].The International Journal of Human Resource Management,2021,33(6):1209-1236.

[35] HAMSTRA M R W,VAN YPEREN N W,WISSE B,et al.Like or dislike:intrapersonal regulatory fit affects the intensity of interpersonal evaluation[J].Journal of Experimental Social Psychology,2013,49(4):726-731.

[36] 李群,闫梦含,蔡芙蓉.工匠精神与制造业高质量发展水平耦合测度:以长三角地区为例[J].统计与决策,2022,38(11):65-69.

[37] 叶龙,刘园园,郭名.传承的意义:企业师徒关系对徒弟工匠精神的影响研究[J].外国经济与管理,2020,42(7):95-107.

[38] 郭淑娟,周燕华.中小学校长数字领导力:概念辨析、模型建构与要素阐释[J].中国教育学刊,2024,45(4):51-57.

[39] 徐明霞,胡祚教.数字领导力模型构建与应用场景研究[J].领导科学,2024,40(2):81-87.

[40] 田红娜,孙美玲,王莉静.数字化领导力如何促进企业绿色创新——SEM与fsQCA方法[J].科技进步与对策,2023,40(8):54-65.

[41] 谢鹏,马璐,韦依依,等.数字化领导力与组织创新:数字平台能力和环境竞争性的作用[J].经济与管理研究,2023,44(1):129-144.

(责任编辑:胡俊健)