On the basis of SMEs' three-chain composite system within the single chain elements nonlinearly influencing each other, this study identifies the characteristics of the coordination effect between the system elements, puts forward a new coupling coordination evaluation model—hesitant fuzzy polygon coupling coordination degree model, trying to go deep into the coordination between internal elements of a single system, in order to obtain more accurate results. Specifically, the gray correlation degree, which reflects the correlation degree of the two sets of data, and contains the non-linear characteristics, is constructed by the CIDI empowerment method that comprehensively considers the correlation between the two elements and the difference between the evaluation objects and can use more heterogeneous indicators. On this basis, the full arrangement surface thinking breaks through the existing coordination evaluation method that fails to reflect the limitation of nonlinear effect between elements, and to a certain extent, it can reflect the system multiplier effect, and present the idea of the system structure of the overall function with full arrangement calculation area , calculating the development level of single chain polygon area, single chain elements coordination between the perimeter and eccentricity. Because the three are irreplaceable, the idea of MPI is employed in an integrated coordinated development index. Finally, the single-chain coordinated development index is used to calculate the three-chain coupling coordination degree of SMEs.
The improved model is applied to the evaluation of three-chain coupling coordination degree in 6 SMEs in Yunnan Province, and the non-linear CIDI-polygon CCD model is compared with the CCD model and the polygon CCD model. The results show that the overall development trend of 6 SMEs is good, and the coupling coordination of high-tech enterprises is better than that of other enterprises, but the highest is 0.54 in the barely coordination stage; the improved model has the highest degree of discrimination, outperforming the other two models.
This paper proposes the hesitant fuzzy polygon model to address the nonlinear relationship between elements within a single chain, which causes the problem of system coordination, and fills the gap in the current coupling coordination evaluation because of the internal coordination effect of subsystems. Then, the three-chain coordination and coupling degrees are calculated based on the single-chain coordination development index, which makes up for the deficiencies of the CCD model in measuring the coordination degree of three-chain coordination. Compared with the existing research on three-chain coupling coordination , the proposed model considers the single chain coordination development, the method and SMEs' three-chain characteristics more consistently with good operability and practical value, and it can accurately calculate the three-chain coupling coordination. In addition, the use of HFS theory effectively solves the problem of three-chain data for SMEs, and also provides theoretical basis and practical guidance for the formulation and adjustment of development strategies of SMEs in other industries.
中小制造企业是国民经济增长的主力军,也是国家创新发展的活力源。中小制造企业创新水平不仅决定自身发展,而且关乎中国能否从“制造大国”转变为“制造强国”。然而,低技术水平和外延扩张的发展模式,导致中小制造企业核心技术缺失、创新能力不足[1-2]。在国家政策引导下,中小制造企业开始实施创新驱动发展战略,但成效并不显著,仍存在核心技术受制于人的问题。究其原因是创新过程中创新链、产业链和资金链资源错配、结构失衡,导致创新与产业发展契合度低、科技成果转化率低、创新研发投入不足[3]。中小制造企业亟需促进“三链”(创新链、产业链和资金链)协调匹配和深度融合,使各类资源按需匹配,形成良好的协调发展状态。耦合协调度是对“三链”相互联系、协调状况的量化判别与检验,能够直观呈现“三链”耦合协调发展情况以及企业间发展差异。因此,准确测度“三链”耦合协调度是中小制造企业诊断发展短板并调整下一阶段资源配置和发展战略的重要依据。
中小制造企业“三链”是一个复杂系统,在测度“三链”耦合协调度时,重要环节包括指标体系构建、数据处理及方法选择等。其中,方法选择是形成最终评价结论的重要环节,其合理性决定评价结果的准确性,进而影响决策者战略调整。特别指出,单链内要素间的非线性耦合关系能够促使系统形成新的稳定状态,具有显著自组织特征[4-5]。因此,在测度“三链”耦合协调度时,中小制造企业需要注意如下内容:第一,确定评价要素权重时,应考虑要素间非线性关系;第二,测度“三链”系统协调度时,应考虑单链系统协调度,以推进较差单链系统发展。同时,由于评价指标体系中的产业链韧性、资金来源等难以精确度量,通常由专家组根据经验知识和相关要素数据分析得到。面对专家组意见分歧,信息完整性会影响“三链”耦合协调度评价结果的准确性。目前,学者采用的耦合协调度评价方法尚未考量上述问题。
当前,“三链”耦合协调度评价方法有复合系统协同度模型[6-7]和耦合协调度模型(梁树广等,2022),前者虽通过分析单链间的耦合作用发现“三链”存在协调效应,但耦合作用强度会影响“三链”整体协调性,因而该模型不能测度“三链”耦合强弱。耦合协调度模型用于评价多个系统的相互依存关系及强度,可以反映子系统间的一致性和相互作用[8]。该模型主要包括耦合度、协调发展度和耦合协调度。其中,作为耦合现象度量指标,耦合度能够反映子系统间的相互影响、依赖和制约程度。子系统耦合度越高,随着时间推移,子系统越能够有序进化。由于耦合度只能表示子系统间的耦合关系,而不能反映耦合程度[9],故采用耦合协调度衡量互利双向耦合程度,以表征子系统间的有序协调状态。近年来,耦合协调度在社会、经济、能源、环境等领域得到广泛应用,能够定量描述中小制造企业“三链”耦合协调水平。
针对上述问题,本文以耦合协调度模型为基本框架,为确保信息的完整性和真实性,采用犹豫模糊集(Hesitant Fuzzy Set, HFS)[10]作为评价载体,构建中小制造企业“三链”犹豫模糊非线性CIDI—多边形耦合协调度模型。其中,以CIDI赋权法[11]为基础,将既反映两组数据关联程度又具有非线性特征的灰关联度[12]融入其中,构建非线性CIDI赋权法。在此基础上,参考王念胜等[13]利用雷达图面积考虑系统效能的做法,借鉴全排列面式思维一定程度上能够反映系统倍增效应和要素间非线性关系,以及全排列计算面积能够反映系统结构影响整体功能的思想[13-14],本文构建全排列单链协调发展指数,具体分为以下步骤:第一,借鉴Li等[15]的研究成果,利用组合数思想计算表征单链发展水平的多边形面积以及表征单链内要素协调情况的周长和偏心率。第二,借鉴MPI整合非补偿性指标的思想[16],将三者“合成”为一个协调发展指数。最后,利用单链协调发展指数计算中小制造企业“三链”耦合协调度,能够有效解决王鑫等(2016)提出的采用耦合协调度模型计算协调度导致系统协调性不足的问题。
综上,本文将犹豫模糊非线性CIDI—多边形耦合协调度模型用于云南省6家中小制造企业“三链”耦合协调度评价,并将非线性CIDI—多边形CCD模型与CCD模型、多边形CCD模型进行对比分析,实例表明,本文构建的中小制造企业“三链”耦合协调度模型具有较高区分度。
(1)产业链。现有研究对产业链定义如下:一是“过程论”,认为产业链是产品从原材料供应到顾客手上的完整过程;二是“组织论”,认为产业链是包括供应商到制造商再到分销商和零售商所有节点企业的产业组织形态;三是“价值论”,认为产业链是价值创造和转移过程[17]。王玲俊等[4]针对产业链内部要素间的非线性关系,采用复合系统协同度模型测度产业链要素协同水平。
(2)创新链。从职能角度对创新链过程进行划分,Visvanathan[18]将创新链分为研究、开发和产品化三阶段;Timmers[19]将创新链划分为基础研究、技术开发、现实应用及产业化四阶段;Rothwell[20]将创新链看作是观点产生、开发、原型产品、制造化以及市场化销售过程集合成的链式结构;王进富等[5]从知识创新、研发创新和产品创新3个维度构建指标体系,利用耦合协调度模型测度创新链各要素间的相互影响程度。
(3)资金链。从技术研发角度看,资金链是在研发到产业化过程中不同资金支持方式所形成的资金链条[21]。从经营角度看,资金链是企业维持生产经营所需的基本资金循环链[22]。从流通形式看,资金链是融资到投资使用再到销售还款所形成的现金—资产—现金(增值)循环过程。
上述研究根据产业化过程、创新活动、资金循环过程中各环节彼此关联且存在先后顺序的特点,基于链路视角对三链进行定义。因此,依据中小制造企业创新初衷,三链定义如下:产业链是由原材料供应到产品销售的整个过程;创新链是由创新意识到成果产业化等一系列连续性流程组成的链条;资金链是由自身营收、企业基金、风险投资等不同资金形式支撑企业创新活动,并通过创新成果转化实现现金—资产—现金(增值)的循环过程。
学者们主要关注链条间耦合机理和供需匹配,围绕耦合机理进行耦合协调度分析。产业链创新链耦合是发挥产业链“拉动”作用和创新链“推动”作用,依托产业链将创新成果转化为产品并实现产业化、规模化,进而构建供需匹配与平衡的链式组织体系[23],其实质是链中各环节彼此运作、耦合共振,实现价值增值的过程。李雪松等[24]、梁树广等[25]分别运用复合系统协同度模型和耦合协调度模型测算双链耦合协调度。从创新链和资金链供需匹配看,资金链供给时间、规模与创新链需求相匹配,两者协调运转能够推动创新绩效提升[26]。创新链与资金链协调度决定产业创新水平和质量,王玉冬等[27]基于创新链与资金链的有序度变化,采用复合系统协同度模型分析复合系统协同状态。
“三链”耦合是指构建资金支持科技创新、加快科技创新成果转化并促进产业技术开发和应用,不断完善产业链,从而实现产业高端化目标的互动机制[21]。梁树广等[25]指出,“三链”耦合协调发展是三链相互作用、相互影响的过程。现有研究主要采用复合系统协同度模型和耦合协调度(Coupling Coordination Degree,CCD)模型对“三链”耦合协调度进行评价。孙琴[7]、Cheng[8]采用复合系统协同度模型测算2009—2020年集成电路产业“三链”协同度;梁树广等[25]探讨“三链”间耦合作用机制,利用耦合协调度模型分析制造业“三链”耦合协调情况。
现有相关研究大多为基于某一区域视角的耦合机理分析,尚未关注中小制造企业,但所用方法可为本文提供参考。在现有研究方法中,耦合协调度模型能够揭示系统间耦合作用和协调发展情况,应用较为广泛。
中小制造企业是中国制造业的主力军,但其产业链上存在创新动力不足、核心技术匮乏等问题。为突破短板,中小制造企业亟需实施创新驱动发展战略,加强关键核心技术攻关,加速实现科技成果产业化。“围绕产业链部署创新链,围绕创新链完善资金链”是中小制造企业落实创新驱动发展战略的关键途径。“耦合”最初是一个物理概念,是指两个或两个以上系统通过相互作用联合起来的现象[9]。随后,管理学领域学者将其用于阐释不同链条间相互依赖、相互作用、相互影响、相互适应,最终趋于协调统一的现象或过程[6-7]。
从供需匹配角度,为满足产业链需求,中小制造企业寻找创新爆发点,由此衍生出创新点。从创新点到创新成果产业化涉及一系列串联环节,各环节相互关联形成创新链。创新链有助于高水平科技成果持续、稳定产出;产业链贯穿于科技成果产出到销售全过程,可为创新链提供实践基础和应用平台。反之,将技术、产品融入产业链各环节有助于产业链改造,能够促进科技创新与产业发展深度融合,加快中小制造企业产业链升级。同时,创新活动具有高投入、长周期、不确定性等特征,因而创新链和产业链各环节需要合理的资金投入,满足各链条不同环节的资金需求是实现现金—资产—现金(增值)良性循环的基础。一方面,中小制造企业创新链、产业链各环节资金配置既相互联系又相互制约,任何一个环节资金供给不足或冗余都可能引发资金链断裂,进而影响创新绩效和产业发展。因此,资金链与创新链、产业链需要实现供需匹配。另一方面,通过创新链可以激活资金链,实现资金增值和良性循环。可见,中小制造企业创新链、产业链和资金链之间存在相互引导、驱动和支撑的耦合关系。
整体来看,中小制造企业“三链”系统内部的单链系统具有自身演化规律和制约因素,可以通过物质、能量以及信息交换发挥非线性耦合作用,产生协调效应,即3个单链各环节相互嵌入、相互促进,最终产生“1+1+1>3”的协调效应。中小制造企业“三链”耦合协调具体表现如下:充分发挥三链间耦合作用,将创新要素、生产要素与资金要素合理有序地配置于各环节,通过提升三链要素整合能力促使“三链”系统实现按需匹配,最大程度地发挥各要素作用,通过内外互利自组织过程实现创新成果开发和应用,提高效率,减少损失,最终实现产业高端化、技术进步及技术产业化。反之,如果“三链”耦合协调度较低,创新产出减少,资金收益随之减少,投资难度加大,由此形成恶性循环,导致“三链”系统陷入瘫痪状态,最终阻碍中小制造企业发展。综上,资金链上不同类型资金分散到中小制造企业研发、关键原料、产品测试各环节。资金供给结构、规模根据创新链、产业链各环节需求实现均衡布局,创新链与产业链深度融合,从而实现“三链”良性耦合、协调发展。因此,本文构建“三链”耦合协调度度测度模型对“三链”耦合协调发展状态进行检测,以期为中小制造企业发展提供决策依据。
中小制造企业“三链”耦合协调度评价由多位专家协同参与,因个体差异性,专家们评价意见难以达成一致。Torra&Narukawa[10,28]提出的HFS是一组无需构建隶属度函数且由无序、离散的若干可能值汇集而成的集合,不仅可以全面表征复杂的评价意见,而且能够避免构造隶属度函数,节省成本与时间,由此降低了评价难度。HFS的定义以及基本运算法则如下:
定义1[10,28]:设X是一个给定的集合,论域X上犹豫模糊集是一个函数,其定义如式(1)所示。
HE={〈x,hE(x)〉|x∈X}
(1)
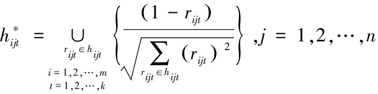
式中,E={u1,u2,…,un}为给定集合的N个隶属函数,hE(x)=∪u∈E{u(x)}是[0,1]中一些值的集合,表示元素x∈X属于集合HE的若干个可能隶属值;h=hE(x)={r|r∈hE(x)}是一个犹豫模糊元(Hesitant Fuzzy Element, HFE)。
定义2[29]:设h、h1和h2是给定的3个HFE,其基本运算法则如下:
hc=∪r∈h{1-r}
(2)
λh=∪r∈h{1-(1-r)λ}
(3)
h1⊗h2=∪r1∈h1,r2∈h2{r1r2}
(4)
耦合协调度模型虽然在解决该评价问题过程中具有独特优势,但结合中小制造企业“三链”特点,尚存在待完善之处:第一,以耦合协调度模型中的加权平均方式计算“三链”协调发展度,仅能体现“三链”发展程度。第二,单链内要素间存在非线性影响,往往存在“1+1>2”的协调效应,因而有必要考虑单链协调性。第三,要素赋权是评价的基础,需要考虑非线性影响,以确保评价结果的准确性。
针对上述情况,基于中小制造企业单链系统效应及单链内要素间非线性效应优化耦合协调度模型,使其更契合中小制造企业“三链”特征,具体步骤如下:
(1)计算要素权重。本文采用CIDI赋权法,基于I—距离值与要素值间的相关系数,以及要素值与I-距离值的相关系数之和的比率对要素进行赋权。为满足中小制造企业“三链”内要素间非线性耦合作用要求,计算要素间非线性相关系数,并剔除所有指标按重要性优先排序的使用条件,以改进后的赋权法进行赋权,以期得到更客观、准确的结果,具体赋权步骤如下:
Step1:构建评价矩阵。其中,部分主观要素由专家为不同中小制造企业打分,以犹豫模糊元表征专家组所有评价信息。设m个中小制造企业Ei={E1,E2,…,Em},依据n个评估要素Yj={Y1,Y2,…,Yn},对k年中小制造企业“三链”耦合协调度进行评价,
表示专家组对中小制造企业Ei在t年要素Yj发展程度的评价值,初始评价矩阵如下:

(5)
其中,Hp为p链发展程度评价矩阵。
Step2:对要素进行标准化处理。在评价体系中,效益型要素和成本型要素具有不同的最优状态。为了对评价对象进行准确评估,需要对要素进行标准化处理。
对效益型要素处理如下:

(6)
对于成本型要素处理如下:

(7)
其中,
表示中小制造企业Ei在t年要素Yj发展程度的标准化评价值。
标准化矩阵如下:

(8)
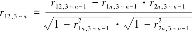
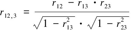
Step3:计算两要素间非线性偏相关系数。
首先,采用灰关联系数计算方法求解两要素间的相关系数。设Xij、Xik是评价系统Ei由犹豫模糊集表征的j、k要素,hijt、hikt分别为j、k要素的评价HFE,两要素间非线性相关系数如下:

(9)
其中,0<ρ≤1,ρ为分辨系数,该系数既能弱化最大差距对方案排序的影响,也可强化关联系数间差异的显著性,一般取值为0.5。γij、γik分别为评价系统Ei要素j与要素k的评价值,以此为基础计算的偏相关系数能够体现要素间的非线性相关关系。
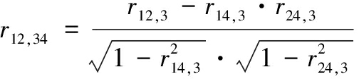
其次,根据两要素间相关系数计算偏相关系数。设随机变量X=[X1,X2,…,Xn],非线性偏相关系数计算公式如下:
![]()
(10)
![]()
(11)
![]()
(12)
其中,rpq为变量Xp与变量Xq的非线性相关系数,采用灰关联系数计算。r12,3是消除变量X3影响后,变量X1和变量X2的非线性相关系数。一般地,r12,3~n为消除变量(X3,…,Xn)影响后,X1与X2之间的非线性相关系数。
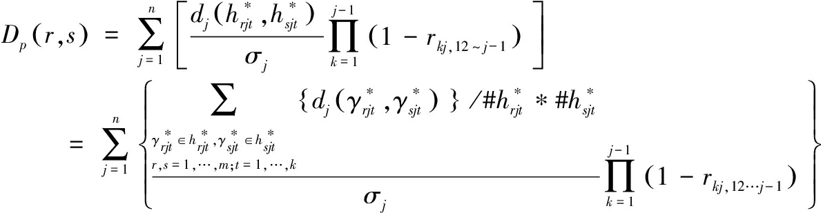
Step4:基于两评价对象间距离计算I—距离,能够将多要素合并成一个值且无需明确分配权重,如式(13)所示。

(13)
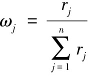
Step5:要素Yj与I—距离相关性越强,对整个单链系统的贡献越大,据此计算要素权重如式(14)所示。

(14)
其中,rj为要素Yj与Dp(r,s)间的相关系数,ωj介于0~1之间。
该赋权法能够使用更多异质性指标且对数据数量无太高要求,既考虑到要素间非线性耦合关系,又体现出中小制造企业间的差异,从而有效满足中小制造企业在要素赋权时的非线性需求。
(2)计算单链协调发展指数。为了有效解决耦合协调度模型未考虑单链协调发展情况的问题,基于“面思维”对要素数据实现可视化表达,将高维隐形空间中的信息转换为直观平面信息[10],以二维图形方式清晰展示各要素间的协调情况,并通过封闭图形的特征值量化单链协调发展程度。由此,本文提出单链协调发展指数计算方法。
因协调发展具有动态特征,故本文以指标当年与前一年相比的发展程度为基础绘制单链子系统多边形,并采用组合数思想计算犹豫模糊环境下的周长与偏心率。为体现指标的重要性并减少后续计算量,直接对指标值赋权,单链协调发展指数具体计算步骤如下:
Step1:赋权评价矩阵如下:

(15)
Step2:以原点为中心,根据要素数量将坐标系划分为n份,确定每份角度为2π/n,将数值按逆时针标定在数轴上并连接形成多边形,计算单链评价多边形面积、周长和偏心率。
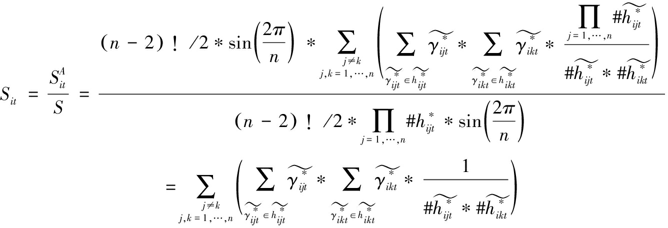
首先,计算单链评价多边形面积,以此反映单链发展程度。原点与n个要素间的直线形成多边形,多边形面积为相邻要素构成三角形的面积之和。由于要素评价HFE中可能包含多个隶属值,形成
个雷达图,两相邻要素
形成
种三角形,需要考虑每个三角形出现次数以清除该影响。因此,一种要素排列顺序的多边形面积计算如式(16)所示。

(16)
其中,
为考虑隶属值影响的一种多边形面积;
表示相邻要素形成的三角形在
个多边形中出现次数。
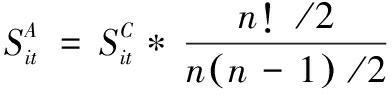
由于多边形具有闭环对称可旋转性,n个要素形成(n-1)!/2种多边形,(n-1)!/2种多边形可形成n*(n-1)!/2=n!/2个三角形,原点与n个要素之间的直线形成n(n-1)/2种三角形,每种三角形出现0.5n!/0.5n*(n-1)次,故(n-1)!/2种要素排列顺序的多边形面积之和如下:

(17)
其中,
表示单链实际发展程度,该值越大,单链发展越好。由此可知,n个要素和原点所有可能三角形面积之和与每种三角形出现次数的乘积即为考虑要素位置影响的多边形面积。
当所有要素达到最优值1时,加权值为1,采用上述思想计算最优多边形面积如式(18)所示。
![]()
(18)
其中,S表示单链最优发展程度。
单链评价多边形面积如式(19)所示。

(19)
其中,Sit为多边形实际面积与理想面积的比值,取值范围为[0,1],可以体现单链发展状态且具有可比性。Sit越大,表明单链系统发展情况越好,反之则发展越差。
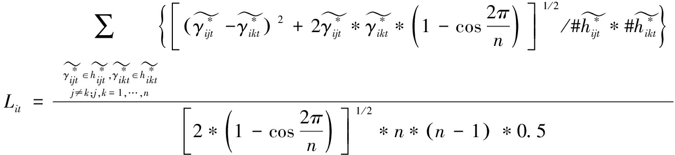
其次,计算单链评价多边形周长,以此反映单链内要素协调发展情况。考虑到要素位置影响,现有研究大多采用全排列方式计算多边形周长,n个指标形成(n-1)!/2种多边形,(n-1)!/2种多边形形成n*(n-1)!/2=n!/2个三角形。受隶属值数量影响,每种三角形包括
个三角形,因而需要计算
次三角形边长。当n较大时计算量庞大。因此,本文采用组合数计算多边形周长,通过计算得到单链评价多边形周长如式(20)所示。

(20)
其中,Lit为多边形实际周长与理想周长的比值,同等面积的多边形,周长越小,要素间发展越协调。
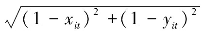
再次,计算单链评价多边形偏心率,以此反映单链内要素协调发展情况。偏心率能够对要素的异常值进行识别,根据各要素坐标计算多边形重心,需要单独计算每种排列方式的重心。当要素数量过多时,工作量巨大。偏心率本质上是测量要素间差异情况,本文基于组合数思想,计算要素间差异程度。
单链评价多边形重心坐标如下:

(21)
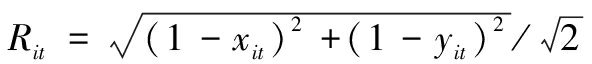
单链评价多边形偏心率计算如式(22)所示。
![]()
(22)
其中,Rit为标准化后的各链多边形偏心率,能够体现单链内要素协调程度;
为重心(xit,yit)与原点的距离,距离越近,偏心率越小,要素间协调程度越高;
为最大偏心率。
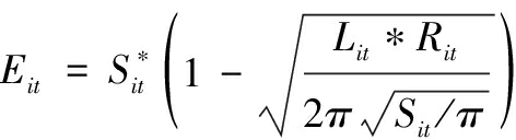
Step3:构建单链协调发展指数。实现单链高效发展,既要关注单链子系统总体发展情况,又要掌握内部要素协调程度。由文献[15]可知,同等面积多边形,周长越小,要素发展协调程度越高。现有研究大多采用
评估单链协调程度,但其不能识别指标异常值。为此,本文引入能够识别指标异常值的多边形偏心率,并将二者相结合用以评估单链协调程度。单链会出现发展速度相同,但协调程度不同的情况。受MPI启发,集结单链多边形面积、周长和偏心率,本文引入惩罚系数,构建单链协调发展指数如式(23)所示。
![]()
(23)
其中,Eit为单链协调发展指数,该值越大,说明该链协调发展状态越好;
代表单链发展情况,该值越大,说明单链发展越快;
为惩罚系数,该值越小,说明惩罚度越低,单链发展越协调。此外,该指数包含绝对发展程度和相对发展距离两个方面,能够有效评价单链协调发展情况。相较于以往研究采用加权平均法计算子系统协调发展程度,本文采用全排列多边形协调发展指数可以确保信息完整性,并体现要素间的非线性效应和系统效应。
(3)计算“三链”系统耦合度。不同单链组合系统间的影响存在差异,故需要计算两个单链子系统到所有单链子系统组合平均耦合强度。
综上,耦合度计算如式(24)所示。

(24)
其中,Ct为t年“三链”系统良性耦合程度,Ct越接近1,单链子系统间耦合作用越显著,单链子系统协调指数越均衡,即“三链”系统越协调。
(4)计算“三链”协调度。本文以单链协调发展指数为基础计算的耦合度一定程度上可以反映“三链”系统协调情况,在此只需要计算“三链”发展程度,如式(25)所示。
![]()
(25)
其中,“三链”各子系统同等重要,ωi取1/3。
(5)计算“三链”耦合协调度,如式(26)所示。
![]()
(26)
其中,Dt表示“三链”系统耦合协调度,取值范围为[0,1]。Dt越大,说明“三链”系统耦合协调发展情况越好。以单链协调发展指数计算的耦合协调度能够有效反映“三链”协调度。在现有研究的基础上,为准确反映三链间耦合协调发展水平,本文采用均匀分布函数法将中小制造企业“三链”耦合协调状况按等级划分为4个阶段(见表1)。
表1 “三链”系统耦合协调发展阶段划分
Table 1 Stage division of "three-chain" system coupling coordination development
水平分类耦合协调等级耦合协调度特征失调衰退阶段极度失调0≤Dt<0.1严重失调0.1≤Dt<0.2“三链”间无法相互促进,出现相互制约的情况,中小制造企业“三链”处于失调状态中度失调0.2≤Dt<0.3轻度失调0.3≤Dt<0.4起步阶段濒临失调0.4≤Dt<0.5中小制造企业“三链”逐渐走向兼顾各单链综合发展的道路,三者存在相互促进的趋势勉强协调0.5≤Dt<0.6稳定阶段初级协调0.6≤Dt<0.7中小制造企业单链间存在明显的协调状态,三者相互促进,薄弱处逐渐补齐,发展成效开始凸显,单链间进入磨合阶段中级协调0.7≤Dt<0.8成熟阶段良好协调0.8≤Dt<0.9中线制造企业单链间存在良好的协调发展状况,三者相辅相成,“三链”系统进入高度协调阶段,迈向高质量发展优质协调0.9≤Dt≤1
本文构建的犹豫模糊非线性CIDI —多边形CCD模型能够直观展现三链间及单链内要素间耦合协调状态。若产业链、创新链和资金链三链配合得当、相互促进,各单链发展处于逐年上升状态且发展程度一致,则为良性耦合,反之为恶性耦合。
云南省制造业主体中小制造企业正处在转型升级的阵痛期,受到产业链结构失衡、创新链“卡脖子”技术问题、资金链周转资金匮乏、融资困难等束缚。产业链、创新链和资金链耦合协调有助于云南省中小制造企业摆脱上述束缚,实现转型升级。因此,云南省中小制造企业提升“三链”质量,实现“三链”耦合协调发展迫在眉睫。
课题组邀请云南省工业和信息化厅领导、从事企业管理、“三链”发展等方面的教授以及熟知部门生产流程的代表组成8人决策专家组,遵循Eisenhardt多案例研究方法的理论抽样原则,基于复制法则将典型案例数量控制在4~10个。经专家组讨论,实例选取标准如下:第一,中国国民经济行业分类与代码(GB/T4754-2017)中的中小制造业企业。第二,被认证为科技型中小企业或高新技术企业。第三,信息披露详细的企业。
依照上述3条标准,课题组选取A1、A2、A3、A4、A5、A6等6家中小制造企业进行2020—2022年“三链”耦合协调度评价。其中,A1为云南沪滇应急装备制造有限公司,A2为云南信翔科技有限公司,A3为昆明品世食品有限公司,A4为楚雄大江家具制造有限公司,A5为云南文冶有色金属有限公司,A6为东风云南汽车有限公司。
选择上述6家中小制造企业的原因如下:第一,6家实例企业均是在转型升级过程中创新特征显著的企业,但受科技成果转化收益不高的困扰,普遍面临“三链”耦合协调状况较差的现实问题。第二,6家实例企业具有明显特色和显著差异。具体而言,6家实例企业公司分属于装备、电子、食品、家具、金属及汽车等不同制造行业,能够满足多案例研究要求。第三,6家实例企业数据具有可得性。具体而言,案例企业数据来源多样,包括各部门年度报告、企业年报、环境信息披露报告等,完备的原始数据能够确保研究工作顺利完成。
4.2.1 指标体系设计
现有相关研究对如何构建“三链”耦合协调度评价指标体系进行了深入探讨。例如,王玉冬等[27]基于资金来源、资金周转和资金收益构建资金链指标体系;梁树广等[25]基于创新投入、创新产出和创新环境构建创新链指标体系,基于融资、周转和增值能力角度构建资金链指标体系。上述研究为本文指标构建提供了参考,但尚未基于企业视角构建指标体系。《中华人民共和国国民经济和社会发展第十四个五年规划和2035年远景目标纲要》指出,“改造提升传统产业,推动石化、钢铁、有色、建材等原材料产业布局优化和结构调整,扩大轻工、纺织等优质产品供给,加快化工、造纸等重点行业企业改造升级,完善绿色制造体系”。因此,根据绿色发展要求,遵循科学性、全面性与客观性原则,在现有研究的基础上,本文剖析产业链、创新链与资金链内涵,从中小制造企业“三链”发展现状出发,采用实地调研、专家咨询等方法构建指标体系,具体构建思路如图1所示。
图1 中小制造企业“三链”指标体系构建思路
Fig.1 "Three-chain" index system construction ideas for small and medium-sized manufacturing enterprises
产业链能力、创新链绩效与资金链效率是决定中小制造企业“三链”复合系统持续创新发展的关键参量。本文从数字化能力、绿色能力、韧性和安全4个方面构建产业链指标体系,以此衡量中小制造企业产品生产与销售能力。研发成果能否转化为现实生产力是决定中小制造企业创新链优劣的关键因素,中小制造企业创新链研发与成果转化效率对企业创新绩效的影响差异较大。因此,借鉴梁树广等[25]、王玉冬等[27]、Chen等[30]的研究成果,本文从研发投入、创新环境和成果转化3个方面构建创新链指标体系,以此衡量中小制造企业创新链绩效。资金链是产业链和创新链稳定运行的支撑,本文根据资金链的资金来源以及资金流动过程,基于创新资金来源、资金周转和资金增值维度设置指标,以此反映资金链的财务风险控制能力、资金周转能力以及资金收益能力。
4.2.2 评价指标选择
在梁树广等[25]、王玉冬等[27]、Chen等[30]三链评价指标体系的基础上,本文筛选中小制造企业“三链”耦合协调评价指标,并结合政策要求、文献分析及实地调研等补充重要指标,具体如下:第一,产业链绿色水平是中小制造企业响应国家制造业绿色化要求以确保自身生存的能力,产业链韧性决定企业在遭受外部不利冲击时能否维持产业链稳定并进一步发展演化,产业链安全决定中小制造企业在外商撤资、能源短缺等情况下能否正常生产。鉴于此,本文增加产业链绿色水平、韧性和安全3个一级指标。其中,借鉴张峰等[31]、吴卫红等[32]、解学梅等[33]的研究成果,采用单位工业增加值二氧化硫排放量、工业一般固体废弃物综合利用率和工业污染治理项目本年完成投资占工业增加值的比重3个二级指标衡量产业链绿色水平;借鉴张伟等[34]、陆岷峰[35]、张虎等[36]的研究成果,基于数据可得性并采用专家打分法,以产权比率、权益乘数、造血量和高等教育员工占比4个指标衡量产业链韧性;借鉴仲伟俊等[37]的研究成果,选定投入品自给率、外商投资意愿、产业外资依存度和产业能源消耗结构4个指标衡量产业链安全。第二,增加和替换部分二级指标。例如,研发投入维度剔除成果转化资金投入,资金来源维度增加省级政府专项资金支持占地方财政支出的比值。由此,中小制造企业“三链”指标体系如表2所示。
表2 中小制造企业“三链”指标体系
Table 2 "Three-chain" index system of small and medium-sized manufacturing enterprises
目标层一级指标二级指标产业链数字化能力C1每百人使用计算机数、企业拥有网站数、智能装备使用率 绿色水平C2单位工业增加值二氧化硫排放量[36-38]、工业一般固体废弃物综合利用率[31-33]、工业污染治理项目本年完成投资占工业增加值的比重 韧性C3产权比率[40]、权益乘数[40]、造血量[41]、高等教育员工占比[39] 安全C4投入品自给率、外商投资意愿、产业的外资依存度、产业能源消耗结构[37]创新链研发投入C5R&D研发人员占比、R&D经费占比 成果转化C6发明专利申请授权量、技术转让收入、新产品销售收入 创新环境C7高校参与度、政府支持度资金链资金来源C8资金负债率、总资产增长率、省政府专项资金支持占地方财政支出的比值 资金周转C9流动资金周转率、总资产周转率 资金增值C10销售净利率、成本费用利润率
步骤1:构造HF评价矩阵。为确保数据的准确性和有效性,研发投入、资金增值等定量数值来自企业统计数据,其余为主观指标。在专家组调查6家企业相关资料并核查现场后,基于二级指标对一级指标进行评价。为避免过多赘述,本文仅展示2020年“三链”复合系统协调性求解过程,标准化后的决策矩阵如下:
步骤2:利用式(9)~(14)求出“三链”权重,具体如表3所示。
表3 中小制造企业“三链”指标权重
Table 3 "Three-chain" index weights of small and medium-sized manufacturing enterprises'
产业链C1C2C3C4创新链C5C6C7资金链C8C9C100.2570.2490.2440.2500.3530.3280.3180.3480.3320.321
步骤3:对评价指标值进行赋权得到HF评价矩阵,由式(15)~(21)计算产业链、创新链和资金链协调发展指数。此处给出产业链详细计算过程,其余直接给出计算结果。
(1)赋权后的HF评价矩阵如下:
(2)由式(17)~(21)计算产业链多边形面积、周长、偏心率,基于上述3项计算产业链协调发展指数,结果如表4所示。面积代表发展速度,计算结果显示,发展状况较好的企业,其协调发展指数较高。由此说明,产业链内要素间协调性能够影响产业链整体发展速度。
(3)由式(22)~(24)计算产业链子系统耦合协调度,AD1=0.146,AD2=0.49,AD3=0.13,AD4=0.239,AD5=0.15,AD6=0.406。由此可见,中小制造企业“三链”耦合协调发展程度普遍不高。同时,采用相同步骤得到2020—2022年6个中小制造企业“三链”耦合协调度及排名,如图2所示。
表4 产业链发展面积、协调周长、偏心率及协调指数
Table 4 Industrial chain development areas, coordination perimeters, eccentricities and coordination indexes
企业面积周长偏心率协调发展指数A10.7470.2680.9690.529A20.7500.3170.9470.516A30.6340.3120.9900.424A40.5980.3280.9780.393A50.6660.3230.9920.445A60.9810.3590.9280.679
图2 “三链”耦合协调度变化趋势
Fig.2 Variation trends of "three-chain" coupling coordination degrees
4.4.1 “三链”整体分析
分析评价结果、指标数据可知,云南省6家中小制造企业“三链”耦合协调度持续提升且差异显著,装备、电子设备这类以技术、创新为支撑的高新技术企业耦合协调发展状况较好,而食品加工这种简单生产企业耦合协调情况较差。各企业耦合协调度逐渐提升,但仍处于失调衰退阶段或起步阶段。企业A1、A3和A5耦合协调度与实际差距较大,原因如下:以前评价不考虑子系统协调发展程度,且耦合协调度模型不能有效测度单链间协调度。企业A2作为中小制造企业代表,其耦合协调度虽在2021年有所下降,但2022年上升至0.54,处于勉强协调状态,原因如下:企业A2在数字化能力C1、研发投入C5、成果转化等方面具有显著优势,能够依靠独特创新优势加快成果转化C6以实现资金增值。相比而言,企业A6涨幅不大,除研发投入C5、成果转化C6和资金来源C8突出外,其余指标增长速度差异不大。企业A1、企业A3和企业A5耦合协调发展迅速,究其原因,得益于《“十四五”智能制造发展规划》以及减税降费等政策扶持,企业A1、企业A5在资金来源C8、资金增值C10等维度表现突出。2020—2022年企业A4“三链”耦合协调性介于0.3~0.4之间且接近0.4,呈逐年上升趋势。由此表明,企业A4“三链”耦合协调性虽处于濒临失调阶段但发展前景良好。
4.4.2 单链协调发展分析
为进一步探索2020—2022年6家中小制造企业“三链”耦合协调度,本文对“三链”进行分解分析,如图3所示。产业链协调发展指数大多处于失调状态,整体呈下降趋势,即便2022年企业A2和企业A5有所提高也远不如2020年。由此表明,影响产业链协调的根源性问题尚未妥善解决。企业愈加重视创新,创新链发展态势良好但仍处于协调发展初始阶段,整体协调发展指数较低,企业A1、A3、A4创新链协调发展指数在2020年、2021年暴跌后上升,其它企业始终保持逐年增长态势。其中,门槛低、竞争激烈的中小食品加工企业创新动力不足,迫于市场竞争压力,逐渐加大创新投入。资金链是中小制造企业存活的基础,各企业资金链协调发展指数差异较小且协调发展状况不稳定。除企业A4协调性增强外,其余企业均出现协调发展指数暴跌的现象。由此表明,资金约束对中小企业影响巨大,一旦某项资金出现问题会导致整条资金链失衡。
同属于中小制造企业,企业A2创新链和资金链协调发展情况均优于其它企业的原因在于:企业A2具有一定数量科技人员从事科学技术研发,在创新链及资金链协调发展指数评估中居首位。紧随其后的A1、A6在创新链、资金链表现稍逊。由此可见,忽视任何一个子系统都会影响“三链”协调度提升。总体而言,中小制造企业“三链”协调需要产业链—创新链—资金链形成整体循环,单链内部要素构成整体循环,任意一个要素滞后都会影响单链内部乃至整个“三链”系统协调性。因此,在制定针对性协调发展策略时,企业应重视短板,在良性循环中促进“三链”协调度持续提升。
图3 产业链、创新链及资金链协调发展指数变化趋势
Fig.3 Coordinated development index trends of industrial chain, innovation chain and capital chain
4.4.3 对比分析
表5显示,当采用CCD模型[16]计算云南省6个中小制造企业耦合协调度D时,2020—2022年6个企业D值取值范围为[0.346,0.463],绝大多数位于[0.4,0.463];当采用不改变赋权法的多边形CCD模型计算云南省6个中小制造企业耦合协调度D时,2020—2022年6个企业D值取值范围为[0.169,0.0.516]。相较之下,后者区分度更显著。使用本文所提方法计算6个中小制造企业耦合协调度,D取值范围由[0.169,0.516]变为[0.13,0.54],区分度更高。因此,模型检验结果证明,本文构建的多边形耦合协调度模型在区分度与效度上优于其它两个模型。
表5 CCD模型、多边形CCD模型与新模型计算6家中小制造企业D值
Table 5 D values of 6 small and medium-sized manufacturing enterprises calculated by CCD model, polygonal CCD model and the new model
年份模型A1A2A3A4A5A62020CCD0.4310.4560.3460.4060.3880.422多边形CCD0.2120.4570.1830.1730.1690.452新0.1460.4900.130.2390.1500.4062021CCD0.4470.4470.4000.4150.4180.443多边形CCD0.3150.4630.2250.2850.3780.44新0.3150.4630.2000.3240.3980.4502022CCD0.4390.4720.4270.4390.4470.448多边形CCD0.3790.5160.3820.3830.4750.486新0.3750.5400.3860.3940.4760.495
依据“三链”系统多主体协同评价、要素间非线性耦合作用及系统均衡协调等特点,考虑到单链要素协调,本文基于耦合协调度模型,提出了犹豫模糊非线性CIDI—多边形耦合协调度评价法。一方面,采用HFE全面表征评价信息能够有效解决中小制造企业“三链”定性要素数据难以获取的问题,丰富了HFS理论应用情境。另一方面,针对单链内要素间非线性关系引发的系统协调性问题,构建单链协调发展指数,并以该指数为基础计算“三链”协调度和耦合度,弥补了CCD模型在测度“三链”协调度方面的不足,为解决现有耦合协调度评价模型无法体现子系统协调效应的问题提供参考。同时,穷尽子系统所有可能组合测算耦合度,能够有效解决三链耦合效应未考虑两链间的影响差异问题。此外,用之求解6家中小制造企业“三链”耦合协调度,探析“三链”耦合协调发展程度及制约要素,通过比较分析耦合协调度模型、多边形耦合协调度模型,客观证明了该模型的可靠性与实用性。该模型逻辑清晰、操作规范,可为中小制造企业发展策略制定与调整提供理论依据。
(1)企业应推动产业链、创新链和资金链深度耦合,重视弥补发展短板。产业链、创新链和资金链耦合协调是中小制造企业创新发展的关键。三链相互依存、彼此促进,若某一链有所偏废,即便其它两链发展卓越,企业仍可能面临衰退甚至死亡风险。因此,中小制造企业需要以产业创新需求为导向,以提高资金使用效率为目标,依托链条关键节点,投入大量资金支持高端产品研发生产。同时,当企业“三链”耦合协调发展止步不前时,需及时开展针对性诊治,以破解“三链”耦合协调度过低的问题。
(2)针对中小制造企业类型,整合多样化资源,实施差异化耦合协调发展策略。对于产业链竞争力较弱的中小制造企业,需要加强关键基础材料、核心基础零部件和机器设备等产业链薄弱环节的创新发展;对于创新链动力不足的中小制造企业,需要加强内部各环节创新,加大研发力度,实现关键核心技术和基础薄弱环节技术攻关;对于资金链不完善的中小制造企业,应加大R&D经费投入,积极争取政府专项资金,进而提高创新成果转化率。
本文存在以下不足:第一,虽然选取的静态评价要素能够有效反映中小制造企业“三链”水平,但中小企业特点不突出,未来可以挖掘独属于中小制造企业“三链”的要素。第二,中小制造企业“三链”耦合协调是动态变化的,动态信息难以得到充分利用。未来可以基于“奖优罚劣”思想探讨企业“三链”耦合协调发展趋势,从而推动中小制造企业健康发展。
[1] 孟庆春,张夏然,郭影.“供应链+多元主体”视角下中小制造企业污染共治路径与机制研究[J].中国软科学, 2020, 35(9): 100-110.
[2] 周文辉,王昶,周依芳. 瓶颈突破、行动学习与转型能力——基于三家内向型中小制造企业的转型案例研究[J].南开管理评论, 2015, 18(2): 73-82.
[3] 田震,陈寒松. 制造企业关键核心技术创新机制研究——基于资源编排理论[J].科研管理, 2024, 45(1): 31-41.
[4] 王玲俊,王英. 光伏产业链系统协同演化动力机制研究[J].华东经济管理, 2017, 31(12): 170-177.
[5] 王进富,邱婧,张颖颖. 多要素驱动区域创新链耦合协调度提升的路径研究——TOE框架下的fsQCA分析[J].科技进步与对策, 2023, 40(4): 34-44.
[6] 孙琴,刘戒骄. 集成电路产业“三链”融合协同发展——机理分析与实证研究[J].中国科技论坛, 2023, 39(7): 63-73.
[7] 孙琴,刘戒骄,徐铮. 中国集成电路产业“三链”融合:理论逻辑、现状与思路[J].经济与管理研究, 2022, 43(12): 35-49.
[8] CHENG X, LONG R, CHEN H, et al.Coupling coordination degree and spatial dynamic evolution of a regional green competitiveness system——a case study from China[J].Ecological Indicators, 2019,104: 489-500.
[9] HOU R, LI S, CHEN H, et al. Coupling mechanism and development prospect of innovative ecosystem of clean energy in smart agriculture based on blockchain[J].Journal of Cleaner Production,2021, 319:128466-128474.
[10] TORRA V. Hesitant fuzzy sets[J].International Journal of Intelligent Systems, 2010, 25(6): 529-539.
[11] VZR,SLAVISA K,NEMANJA B. I distance application in the ranking of Group 8 and European Union countries by level of development[J].Croatian Review of Economic, Business and Social Statistics, 2022, 8(2): 43-52.
[12] 吴飞美,李美娟,徐林明,等. 基于理想解和灰关联度的动态评价方法及其应用研究[J].中国管理科学, 2019, 27(12): 136-142.
[13] 王念胜,杜碧辉,彭维仕,等. 基于改进雷达图法的侦察装备效能评估[J].空军工程大学学报(自然科学版), 2021, 22(6):103-109.
[14] 程诚,任佳. 一种基于雷达图表示的数值型数据的CNN分类方法[J].信息与控制, 2019, 48(4): 429-436.
[15] LI F, LIU X, HU D, et al. Measurement indicators and an evaluation approach for assessing urban sustainable development: a case study for China's Jining city[J].Landscape and Urban Planning, 2008, 90(3): 134-142.
[16] MAZZIOTTA M, PARETO A. On a generalized non-compensatory composite index for measuring socio-economic phenomena[J].Social Indicators Research, 2016, 127(15): 983-1003.
[17] 郁义鸿. 产业链类型与产业链效率基准[J].中国工业经济, 2005,22(11): 35-42.
[18] VISVANATHAN S. From laboratory to industry: a case study of the transfer of technology[J].Contributions to Indian sociology, 1977, 11(1): 117-136.
[19] TIMMERS P. Building effective public R&D programmes[C].New York:Portland International Conference,1999.
[20] ROTHWELL R. Successful industrial innovation: critical factors for the 1990s[J].R&D Management, 1992, 22(3): 221-240.
[21] 袁继新,王小勇,林志坚,等. 产业链、创新链、资金链“三链融合”的实证研究——以浙江智慧健康产业为例[J].科技管理研究,2016,36(14):31-36,44.
[22] 宋煊懿. 中小企业在创新链中的主体作用研究[J].经济纵横, 2016, 32(5): 50-56.
[23] 张晓兰,黄伟熔. 我国产业链创新链融合发展的趋势特征、经验借鉴与战略要点[J].经济纵横, 2023, 44(1): 93-101.
[24] 李雪松,龚晓倩. 地区产业链、创新链的协同发展与全要素生产率[J].经济问题探索, 2021, 42(11):30-44.
[25] 梁树广,张芃芃,臧文嘉. 中国制造业产业链与创新链耦合协调及其影响因素研究[J].地域研究与开发, 2023, 42(3):1-6,26.
[26] FU S, WANG Y. Research on the fusion mechanism of innovation chain and fund chain in strategic emerging industries[C].Florence:E3S Web of Conferences, 2021.
[27] 王玉冬,张博,武川,等. 高新技术产业创新链与资金链协同度测度研究——基于复合系统协同度模型[J].科技进步与对策, 2019, 36(23): 63-68.
[28] TORRA V,NARUKAWA Y. On hesitant fuzzy sets and decision[C].Jeju Island:Proceedings of the 18th IEEE International Conference on Fuzzy Systems, 2009.
[29] XIA M,XU Z. Hesitant fuzzy information aggregation in decision making[J].International Journal of Approximate Reasoning,2010,52(3): 395-407.
[30] CHEN Q, WANG T. Government support, talent, coupling of innovation chain and capital chain: empirical analysis in integrated circuit enterprises[J]. Chinese Management Studies,2023, 17(4):883-905.
[31] 张峰,陈嘉伟. 中国制造业绿色竞争力区域差距、动态演进与趋势预测[J].科技进步与对策,2025,42(4):42-54.
[32] 吴卫红,杨帆,张爱美,等. 数字化技术转型、数字化治理能力与制造业企业绿色转型升级——基于数字化赋能理论的作用机制研究[J].科技进步与对策, 2023, 40(12): 32-41.
[33] 解学梅,韩宇航. 本土制造业企业如何在绿色创新中实现“华丽转型”——基于注意力基础观的多案例研究[J].管理世界, 2022, 38(3): 76-106.
[34] 张伟,李航宇,张婷. 中国制造业产业链韧性测度及其时空分异特征[J].经济地理, 2023, 43(4): 134-143.
[35] 陆岷峰. 关于我国中小微企业健康生态培育与数字化应用研究[J].兰州学刊, 2022, 43(3): 52-61.
[36] 张虎,张毅,韩爱华. 我国产业链现代化的测度研究[J].统计研究, 2022, 39(11): 3-18.
[37] 仲伟俊,梅姝娥,浦正宁. 关键核心技术及其攻关策略研究——基于产业链供应链安全稳定视角[J].系统管理学报, 2022, 31(6): 1162-1168.