数字赋能、知识产权治理与产业链韧性

张 杰,魏荟茹,袁岿然

(石河子大学 经济与管理学院,新疆 石河子 832003)

摘 要:新发展格局下产业链韧性提升是构建现代化产业体系和推动高质量发展的重要基础。基于2006-2021年地级市面板数据,以“宽带中国”战略和国家知识产权示范城市政策为准自然实验,采用双重差分法考察“双试点”政策对产业链韧性的影响效应和作用机制。研究发现:“宽带中国”战略和国家知识产权示范城市政策显著提升产业链韧性;从影响机制看,“双试点”政策通过创新驱动效应、政策引领效应以及结构优化效应提升产业链韧性;从异质性分析看,“双试点”政策对市场化程度高、行政等级高以及东部地区城市的产业链韧性提升作用更加显著;从拓展性分析看,“双试点”政策具有协同作用,其对产业链韧性的影响效应显著优于单试点。

关键词:宽带中国;知识产权治理;产业链韧性;创新驱动;产业结构

Digital Empowerment, Intellectual Property Governance and Industrial Chain Resilience

Zhang Jie, Wei Huiru, Yuan Kuiran

(School of Economics and Management, Shihezi University, Shihezi 832003, China)

Abstract:Amid rising trade protectionism and evolving power dynamics, the global industrial chain is undergoing a significant restructuring. The trend of localization, regionalization, and decentralization of the international industrial chain is becoming increasingly evident. Enhancing the resilience of the industrial chain and improving its level are of great significance for maintaining national economic security, building a modern economic system, and constructing a new development pattern. With the rapid development of a new round of technological revolution and industrial transformation, the digital economy is a key avenue for future economic growth, providing new momentum for enhancing the resilience of the industrial chain. Furthermore, a robust, independent innovation system is crucial for withstanding external shocks and easing internal strains, thereby enhancing the industrial chain's robustness.

Given that the rapid development of the digital economy and the optimization of the innovation environment are important measures to enhance the resilience of the industrial chain, this study constructs an analytical framework for enhancing the resilience of the industrial chain through digital economy and intellectual property protection from a theoretical perspective. Taking the "Broadband China" strategy and the national intellectual property demonstration city pilot policy as natural experiments, the study adopts the DID method to evaluate the impact path and mechanism of enhancing the resilience of the industrial chain under the synergistic effect of digital economy and intellectual property protection.The primary marginal contributions are that,firstly, through in-depth analysis of the connotation of industrial chain resilience, an evaluation index system is constructed from three dimensions: resilience, transformation and renewal, and high-end leadership, in order to scientifically measure the resilience level of industrial chains in various regions. The second is to focus on the empowerment effect of the digital economy from the perspective of industrial chain resilience and combine it with the national intellectual property demonstration city policy to explore the transmission mechanism of the "dual pilot" policy to enhance industrial chain resilience from the perspectives of innovation driven effect, policy leading effect, and structural optimization effect. The third is to fully consider the synergistic effect between policies, based on the establishment of the "dual pilot" policy as a relatively exogenous event, and use the difference in differences method to empirically test the net effect of the "dual pilot" policy on improving the resilience of the industrial chain, offering theoretical backing for enhancing industrial chain resilience within the framework of a new development model.

The research finds that the "Broadband China" strategy and the national intellectual property demonstration city policy have significantly improved industrial chain resilience. From the impact mechanism perspective, the "dual pilot" policy enhances resilience through innovation-driven, policy-leading, and structural optimization effects. "The 'dual pilot' policy particularly strengthens resilience in highly marketized cities, those with higher administrative levels, and in the eastern regions. Scalability analysis indicates that the "dual pilot" policy has a synergistic effect, with its impact on resilience significantly outperforming a single pilot in enhancing resilience. Furthermore, the sequential adoption of national intellectual property demonstration city status prior to 'Broadband China' pilot city status achieves more effective policy synergies.

In order to optimize policy design and enhance industrial chain resilience, it is necessary to establish and improve a comprehensive coordination mechanism for pilot policies, fully unleashing the synergistic effects between the "dual pilot" policies. The central government should further expand the scope of pilot projects, prioritizing the development of demonstration cities that have already become national intellectual property pilot projects into "Broadband China" strategic pilot cities to accelerate the enhancement of industrial chain resilience. It is also essential to enhance the innovative driving force, policy guidance, and structural optimization effects of the "dual pilot" policy. Emphasis should be placed on leveraging the core role of technological innovation in enhancing industrial chain resilience, strengthening the layout of cutting-edge technologies to boost resilience, transformation, renewal capabilities, and high-end leadership. Finally, the government should optimize the regional layout of digital economy and intellectual property protection policies, strengthen the construction of the innovation environment and system, and balance government and market roles to leverage pilot policies and market mechanisms to jointly enhance industrial resilience.

Key Words:Broadband China; Intellectual Property Governance; Industrial Chain Resilience; Innovation-driven; Industrial Structure

收稿日期:2024-05-15

修回日期:2024-08-18

基金项目:国家社会科学基金一般项目(20BJL090)

作者简介:张杰(1977-),男,河南濮阳人,博士,石河子大学经济与管理学院教授、博士生导师,研究方向为数字经济与产业发展规划;魏荟茹(1998-),女,河南项城人,石河子大学经济与管理学院博士研究生,研究方向为数字经济、产业经济学;袁岿然(2000-),男,安徽合肥人,石河子大学经济与管理学院博士研究生,研究方向为创新与发展、人力资源管理。通讯作者:魏荟茹。

DOI:10.6049/kjjbydc.2024050317

开放科学(资源服务)标识码(OSID):

中图分类号:F260

文献标识码:A

文章编号:1001-7348(2025)17-0033-11

0 引言

党的二十大报告提出“加快建设现代化经济体系,着力提高全要素生产率,着力提升产业链供应链韧性和安全水平”。增强产业链韧性、提升产业链水平是决定我国现代化产业体系根基稳固和持续壮大的关键,是维护国家经济安全、构建新发展格局的基础。当前,中国产业链发展面临“高端回流”“低端分流”的外部冲击,以及产业链“断点”“堵点”频现的内部压力。我国在芯片、光刻机和高端数控机床等关键技术领域的对外依赖度超过50%,数字化基础设施水平与欧美等发达国家有较大差距,存在产业基础能力滞后于国家战略要求、支撑产业链创新的顶层设计和制度环境尚不完善以及产业链上下游间存在割裂的“信息孤岛”等现实问题[1-2]。随着新一轮科技革命、产业变革快速发展,数字经济已成为未来经济发展的重要赛道,为增强产业链韧性提供了新动能[3]。此外,建立健全科技自立自强的创新体系是确保我国应对外生突发冲击和缓解内生发展压力、提升产业链韧性的有效手段。事实上,“宽带中国”战略与国家知识产权示范城市建设是发展数字经济与完善创新环境的重要举措,“双试点”政策互有侧重、相互协同。其中,“宽带中国”战略促进知识产权大数据中心的智能化建设,极大提高政府知识产权保护水平和能力;国家知识产权示范城市试点政策正逐步开展新领域新业态的知识产权立法工作,有助于保障数字经济的安全发展。那么,“双试点”政策实施是否提升了产业链韧性?如果是,又是通过何种途径影响产业链韧性?这些问题亟待回答,也是本文关注的核心问题。

目前,学术界针对产业链韧性的探讨多集中于理论层面。如高洪玮[4]认为,提升产业链韧性是中国式现代化的重要内容;陈晓东等[5]、李晓华[6]分别从数字经济和产业根植性视角探讨提升我国产业链韧性的路径与支撑基础。在实证研究方面,学者们多借鉴经济韧性研究成果,尝试构建测度我国产业链韧性水平及区域差异的指标体系[7]。本文重点关注“宽带中国”与国家知识产权示范城市试点政策对产业链韧性的影响。既有文献对两种政策的经济效应、创新效应和社会效应已展开大量探讨,充分证明数字技术对经济高质量发展(赵涛等,2020)、城乡地区创新[8]、低碳减排[9]的促进作用以及知识产权保护对区域经济增长[10]、创新质效[11]的提升作用。然而,鲜有文献探讨两种政策对产业链韧性的影响,仅有覃波等[12]、张杰等[8]从产业结构视角分别证明知识产权示范城市和“宽带中国”战略能促进产业结构优化升级,但产业结构升级仅是产业链韧性提升的一方面,并不完全等同于产业链韧性。综上,已有文献虽然取得较丰富的研究成果,但还存在以下局限:一是对产业链韧性的测度多停留在国家和省级层面,对地级市层面产业链韧性的研究尚存在不足;二是有关数字经济与知识产权保护对产业链韧性的影响分析仅停留在理论层面,缺乏实证研究;三是尚无文献关注“宽带中国”与国家知识产权示范城市试点政策的协同作用。

鉴于此,本文从理论层面构建数字经济和知识产权保护提升产业链韧性的分析框架,以“宽带中国”战略与国家知识产权示范城市试点政策为准自然实验,采用双重差分法评估数字经济与知识产权保护协同作用下提升产业链韧性的路径和机制。本文的边际贡献在于:一是通过对产业链韧性内涵的深入剖析,从抵御恢复力、转型更新力、高端引领力3个维度构建评价指标体系,对各地区产业链韧性水平进行科学测度;二是将数字经济的赋能效应聚焦于产业链韧性视角并结合国家知识产权示范城市试点政策,从创新驱动效应、政策引领效应和结构优化效应三方面探究“双试点”政策对产业链韧性提升的传导机制;三是充分考虑政策之间的协同作用,基于“双试点”设立这一相对外生事件,采用双重差分法实证检验“双试点”政策对产业链韧性提升的净效应,为构建新发展格局下提升产业链韧性提供理论支撑。

1 政策背景

2013年,国务院发布《“宽带中国”战略及实施方案》,这是信息化背景下提出的一项重要国家战略,旨在加快网络基础设施建设、推动数字经济创新发展。截至2023年,全国共有117个城市(群)成为“宽带中国”示范城市。建设初期这些示范城市在网络基础设施[13]、区域创新效率[14]及经济高质量发展(赵涛等,2020)方面取得显著成效,为加快数字经济发展带来新机遇。2012年,国家知识产权局评选出23个城市开展“国家知识产权示范城市”建设工作,以期探索知识产权制度建设新思路。截至2022年,共分六批选出77个城市(区)作为国家知识产权示范城市。自试点实施以来,示范城市的知识产权管理体系建设取得显著成效。例如,泉州将加快构建现代化产业体系、强化高水平知识产权保护作为主要任务,2023年每万人发明专利拥有量达到19.6件,居福建省第一梯队。

从本质看,“宽带中国”战略与知识产权示范城市试点政策间紧密关联而又各有侧重,两者皆在促进资源优化配置、降本增效、提升产业链韧性方面发挥重要作用。一方面,以5G、大数据、人工智能为代表的信息网络技术与实体经济的深度融合加速推动产业链数字化转型,大幅降低生产端与消费端连接成本,提高上下游企业连接便捷性。另一方面,科技创新是推动产业链韧性提升的关键驱动力,目前我国基于传统要素的比较优势日渐削弱,面临产业创新能力不强、创新环境不完善、创新资源配置不合理等诸多挑战。“宽带中国”与国家知识产权示范城市试点政策作为发展数字经济与保护知识成果、激励创新的重要战略举措,有助于增强我国产业链供应链自主可控能力,提升产业链韧性、助力现代化产业体系建设,尤其是两者的协同耦合能进一步加速产业链升级,为提升产业链韧性提供新动能,也为本研究奠定了现实基础。

2 理论分析与研究假设

2.1 “双试点”政策提升产业链韧性的基本机制

基于演化经济学和适应性韧性理论,产业链韧性可以理解为产业链面对冲击时,以数字技术提升和知识创新为核心动力以应对外部环境变化并实现自身调整与优化的能力[15]。“宽带中国”战略与国家知识产权示范城市作为政府发展数字经济、完善创新制度的重要手段,为增强产业链韧性提供了有力保障。首先,数字化信息、数据在产业链网络中的传播,有利于突破传统生产要素流动的时空限制,提升信息流通和资源配置效率,不仅能促进数字产业与传统产业深度融合,还可显著降低链上企业交易成本,增强链上企业抗风险和协调发展能力[16]。其次,在演化经济学研究中,制度创新是推动系统演化的核心动力,而完善的知识产权制度有助于产业链韧性系统演化。国家知识产权示范城市通过探索并逐渐完善知识产权制度,在保障发明者利益、提高产权成果转化效率的同时激发企业创新活力,有利于培育一批具有竞争力的新兴企业,从而推动产业链向高端化、智能化发展[11]。最后,对于“宽带中国”试点城市来说,进一步开展知识产权示范工作有助于完善产权制度,激发企业研发动力,从而更快地推动数字经济发展;对于国家知识产权示范城市而言,进一步开展“宽带中国”试点工作,有助于加速推进城市知识产权信息化建设。综上,数字经济发展和创新制度完善对实现价值链攀升与产业链韧性提升具有重要作用(张杰等,2007)。基于此,本文提出以下假设:

H1:“宽带中国”战略与国家知识产权示范城市“双试点”政策能够提升产业链韧性。

2.2 “双试点”政策对产业链韧性提升的传导机制

结合现有文献及“宽带中国”战略和国家知识产权示范城市政策内涵,本文进一步从创新驱动效应、政策引领效应和结构优化效应探索“双试点”政策对产业链韧性提升的传导机制。

2.2.1 创新驱动效应

内生增长理论认为,创新是推动经济长期稳定增长的内生动力[17]。“宽带中国”战略和国家知识产权示范城市“双试点”政策能够通过优化创新要素配置、培育创新人才和营造创新环境,产生增强产业链韧性的创新驱动效应。第一,网络基础设施建设能有效打破传统资源配置中存在的时空约束和信息壁垒限制,进一步促进创新要素流动和整合[8]。其连通性和共享性有助于加速信息技术与传统产业动态融合,赋予劳动、技术、数据等资源要素更多配置途径,有利于提高产业链上下游企业协同效率,进而增强产业链韧性。第二,在内生增长模型中,人力资本是促进创新的核心动力,因此在很大程度上,创新驱动的本质是人才驱动(王康等,2019)。知识产权示范城市通过制度强化知识产权保护、创新成果转化以及对创新人才的尊重,极大激发创新人才创造力[18]。加之数字经济发展衍生出各类平台与新业态,吸引大量高质量人力资本涌入,有助于形成高端人才“公共池”的聚集效应,为产业链发展提供源源不断的智力支持。第三,创新环境是提高创新效率、支撑创新活动以及保障创新持续的基础,创新活动从投入、产出到转化的各个环节都离不开各类制度环境的支持[19]。国家知识产权示范城市试点政策的实施,将有效优化试点城市技术创新的制度环境。此外,“宽带中国”战略的实施减少了企业线下搜寻、交流和运输成本,进一步优化了营商环境[20]。创新环境优化有利于激励创新知识产出,促进创新成果转化与应用,从而提升产业链韧性。

2.2.2 政策引领效应

“宽带中国”战略和国家知识产权示范城市“双试点”政策通过加大政府科技支出、提高政府数字注意力,进而提升产业链韧性。一方面,为了达到示范城市的考核标准,提升城市数字发展水平和优化创新制度环境,主政官员会充分发挥政府在实施试点政策中的引领作用,因势利导地将资金向网络设施建设、智能制造、科技创新以及产权制度完善等领域倾斜,通过科技支出、金融贷款和项目补助方式激励企业进行自主研发[21]。同时,资源配置理论强调优化资源配置以实现产出最大化。“双试点”政策为试点城市带来充足的创新补贴与税收支持,优化了技术、资金和人才配置,尤其促进了各类资源投向长周期基础性创新研发工作。这有利于激发企业创新潜能并加速核心技术突破,拓展产业发展新路径,进而增强产业链竞争力和稳定性。另一方面,由于有限理性和认知不充分性等原因,决策者只能在有限理性约束下对错综繁杂的信息资源进行注意力配置[22]。“宽带中国”战略的实施会在一定程度上强化试点城市主政官员的数字注意力,通过完善数字基础设施建设助力地区数字经济发展以吸引更多资源要素与投资机会。一些智能制造装备如3D打印、工业机器人、高端数控机床等,仅凭单个企业力量难以实现研发和制造,因此需要政府高度重视并充分发挥引导作用,推动整个产业链数智化升级。

2.2.3 结构优化效应

“宽带中国”战略和国家知识产权示范城市“双试点”政策为产业结构转型升级提供了重要的政策支持,促进产业结构逐渐转向合理化和高级化,进而提升产业链韧性。在供给端,网络基础设施建设带动人工智能、物联网、5G和大数据等高端智能产业发展,数字技术对传统制造业进行多角度、全方位、全链条赋能,改变企业固有生产方式和管理模式,极大提升企业资源配置效率和研发制造能力[23]。在需求端,中国庞大的市场体系和多元化的消费需求为移动支付、共享经济、新零售等数字化新兴产业提供发展空间,推动实体经济向数字化、网络化和智能化转型。伴随数字化新兴产业发展,科技创新资源、产业创新人才等各种资源要素聚集于数字平台,打破上下游企业间信息壁垒,推动数据链、创新链、人才链、资金链深度融合,促进产业结构向合理化和高级化发展[3]。产业结构高级化伴随数字技术应用与进步,推动产业链升级与转型;产业结构合理化则有助于优化产业布局并增强产业协同能力。二者的优化升级使得产业链面对外部冲击时能快速调整并恢复,从而提升产业链韧性。此外,国家知识产权示范城市政策通过产权制度完善和创新环境优化,为产学研协同创新提供良好氛围,有助于由企业、高校、科研机构和政府构成的多元创新体系相互协作,集中开展关键核心技术研发,促进科研成果转化与应用。这有助于推动产业结构向知识技术集约型转变,增强产业链整体竞争力和稳定性,进而提升产业链韧性,构筑产业竞争优势[24]

基于上述分析,本文提出以下假设:

H2a:“宽带中国”战略和国家知识产权示范城市“双试点”政策通过创新驱动效应提升产业链韧性;

H2b:“宽带中国”战略和国家知识产权示范城市“双试点”政策通过政策引领效应提升产业链韧性;

H2c:“宽带中国”战略和国家知识产权示范城市“双试点”政策通过结构优化效应提升产业链韧性。

综上所述,本文构建机制分析模型如图1所示。

图1 机制分析
Fig.1 Mechanism analysis

3 研究设计

3.1 模型设定

为探究“宽带中国”战略与国家知识产权示范城市“双试点”政策对产业链韧性的影响,本文构建基于面板固定效应的多期双重差分模型,具体形式如式(1)所示。

ICRit=αo+α1BdIp+φXit+μt+ηi+εit

(1)

其中,下标i代表城市,t代表年份。被解释变量ICR为产业链韧性;X为一系列控制变量;BdIp为“宽带中国”战略与“国家知识产权示范城市”政策虚拟变量;α1为系数值,若其显著为正则说明“双试点”政策有助于提升产业链韧性;μt为年份固定效应;ηi为城市固定效应;εit为随机误差项。

3.2 变量选取

3.2.1 被解释变量

产业链韧性主要是指产业链各环节应对内部发展压力或外部突发冲击时的“稳链”“补链”和“强链”能力。产业链韧性提升策略强调三方面能力建设,包括产业链维持自身系统稳定、防止断裂和调整适应恢复到原有均衡状态的抵御恢复力、加强创新优化内部运行模式以应对市场环境变化和可持续发展的转型更新力、增强自主可控和资源整合能力以提升区域产业网络核心功能的高端引领力,本文从以上3个方面衡量产业链韧性,具体见表1。抵御恢复力从产业多样化指数和知识密集型服务业就业人数两个方面衡量,其中,多样性通过产业集中度(HHI)的倒数度量,数值越大说明该地区产业链多样化程度越高。知识密集型服务业水平提升被诸多学者认为是推动产业结构升级的重要因素,知识密集型服务业水平越高,越有助于适应外部市场环境变化并快速调整产业链环节,鉴于数据可得性,本文参照覃波等[12]的分类方法计算地区知识密集型服务业水平。产业链上知识密集型服务业从业人数越多,意味着产业链在适应和恢复过程中的调整能力越强。转型更新力从发明专利授权数和单位GDP能耗两个方面衡量。其中,发明专利授权数越多,代表新路径发现能力越强,转型潜力越高,产业链发展在应对风险时突破原有“路径锁定”的可能性就越大。单位GDP能耗为负向指标,采用能源消耗总量占地区生产总值比重衡量,该数值越大代表其对能源的依赖程度越高,越不利于产业链转型[25]。高端引领力采用区域人工智能企业数衡量,人工智能企业越多,表明该区域数智化和高端产业发展越具有优势,人工智能企业通过先进技术的创新辐射、产业链上下游间的创新分工、产业集群间的创新协同推动产业链与创新链深度融合,进而提升地区产业链韧性。

在得到以上各项指标后,分别对各指标进行标准化处理以避免量纲影响,然后通过熵值法测算出不同地区产业链韧性。

表1 产业链韧性评价指标体系
Table 1 Resilience evaluation index system for industrial chain

维度具体指标单位指标属性抵御恢复力产业多样化指数-正向知识密集型服务业就业人数万人正向转型更新力发明专利授权数件正向能源消耗总量占地区生产总值比重%负向高端引领力区域人工智能企业数家正向

3.2.2 解释变量

本文的核心解释变量为同时受“宽带中国”与国家知识产权示范城市政策影响的实验组与其时间虚拟变量的交互项(BdIp)。当某城市同时成为“宽带中国”和国家知识产权示范城市的当年及以后年度,BdIp赋值为1,否则赋值为0。在进一步讨论中“单试点”城市变量设置策略与上一致,当某城市仅为“宽带中国”试点城市或仅为国家知识产权示范城市的当年及以后,变量BdIp均赋值为1,否则为0。

3.2.3 控制变量

为了控制其它影响产业链韧性的因素,缓解变量偏误造成的内生性问题,本文参考已有文献[8,12]选取以下控制变量:①经济发展水平(pgdp),采用城市实际人均GDP衡量,经济增长能够带动产业结构优化升级,从而影响产业链韧性;②文化资本( culture) ,采用人均公共图书拥有量衡量,文化资本积累为技术创新提供知识基础,已成为产业全面转型的内在动力;③金融发展水平(fin),采用存贷款余额占地区生产总值比重衡量,已有研究表明,金融可通过优化资金配置、拓宽融资渠道等助力产业链韧性提升;④人口密度(indense),采用每平方公里人口数表示,高人口密度地区往往拥有更活跃的劳动力市场、更大规模的市场需求以及更强的创新活力,进而推动产业链完善[8];⑤政府干预程度(govern),采用政府财政支出占GDP比重衡量。

3.3 样本说明及数据来源

考虑到数据可得性和连续性,本文使用2006-2021年280个地级市作为研究样本,样本范围内“宽带中国”战略试点城市107个,国家知识产权示范城市59个,“双试点”城市42个。数据主要来源于历年《中国城市统计年鉴》《中国统计年鉴》、各省市统计年鉴、EPS数据库以及国家知识产权局。本文专利数据来源于国家知识产权局网站的专利数据库,通过手工收集整理得到并经反复核对,个别缺失数据采用插值法补齐。变量描述性统计结果见表2。

表2 变量描述性统计结果
Table 2 Descriptive statistics of variables

变量符号均值标准差最小值最大值产业链韧性ICR0.014 20.025 60.001 20.663 9“双试点”政策BdIp0.065 00.246 501经济发展水平pgdp4.497 23.167 50.623 916.301 4文化资本culture0.587 60.854 70.012 917.365 4金融发展水平fin2.915 11.597 40.504 117.386 7人口密度indense0.042 50.032 60.000 50.316 0政府干预程度govern0.237 30.150 40.000 01.953 8

4 实证结果分析

4.1 基准回归检验

本文采用双向固定双重差分法评估“双试点”对产业链韧性的政策效应,并通过逐步回归法探究其对产业链韧性的影响,结果见表3。其中,列(1)没有加入控制变量,数据显示,核心解释变量系数在1%水平上显著为正;列(2)~(6)为依次加入控制变量。列(6)结果显示,在加入全部控制变量后,核心解释变量BdIp系数为0.02,依然在1%水平上显著为正。上述结果表明,无论是否加入控制变量,在同时固定时间效应和城市效应后“宽带中国”战略与国家知识产权示范城市试点政策均显著增强城市产业链韧性,“双试点”政策实施使得试点城市产业链韧性相比非试点城市提升2个百分点,进一步说明“双试点”政策对产业链韧性的提升作用,故假设H1成立。

4.2 平行趋势检验

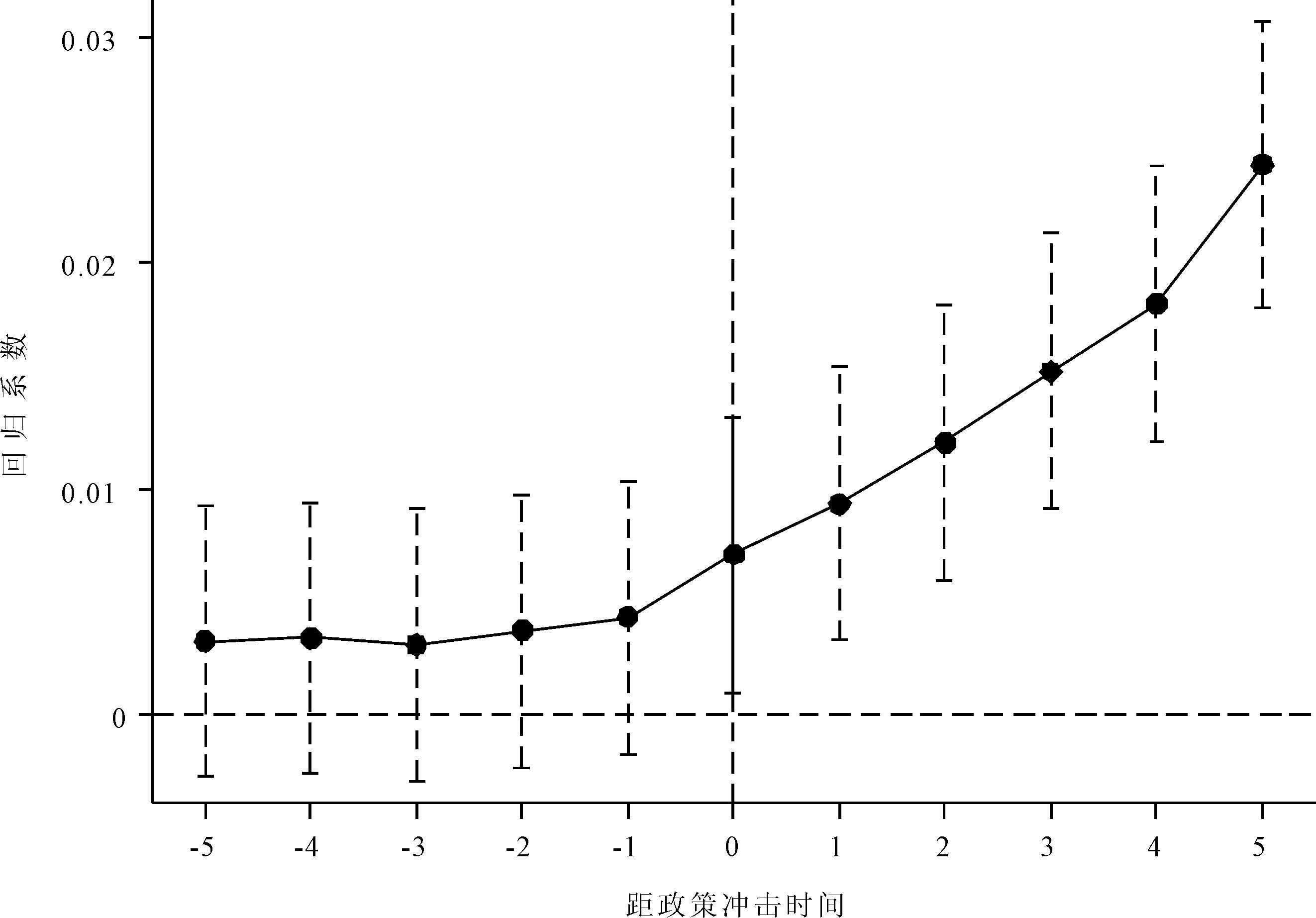
本文采用事件分析法进一步检验试点城市与非试点城市的产业链韧性在政策实施前的变化是否满足平行趋势假设。如图2所示,成为“双试点”城市之前两组城市的产业链韧性变化均未通过显著性检验,说明在此期间实验组与对照组的产业链韧性变化趋势基本一致。在成为“双试点”城市之后实验组与对照组差异显著,表明满足平行趋势假设。此外,随着时间推移,政策的提升效应逐渐增强,表明政策效果呈现出动态可持续性。

表3 基准回归结果
Table 3 Benchmark regression results

变量ICR(1)(2)(3)(4)(5)(6)BdIp0.034∗∗∗0.029∗∗∗0.029∗∗∗0.027∗∗∗0.020∗∗∗0.020∗∗∗(23.47)(19.36)(19.10)(18.69)(15.97)(15.77)pgdp0.003∗∗∗0.002∗∗∗0.002∗∗∗0.002∗∗∗0.002∗∗∗(9.83)(8.94)(7.90)(7.33)(7.03)culture0.004∗∗∗0.004∗∗∗0.002∗∗∗0.002∗∗∗(5.78)(6.19)(4.34)(4.28)fin0.006∗∗∗0.004∗∗∗0.004∗∗∗(13.75)(9.81)(9.95)indense1.717∗∗∗1.716∗∗∗(37.75)(37.72)govern-0.008∗(-1.86)Constant0.009∗∗∗0.004∗∗∗0.003∗∗∗-0.008∗∗∗-0.071∗∗∗-0.071∗∗∗(8.41)(3.47)(2.63)(-5.82)(-34.91)(-33.92)城市固定是是是是是是时间固定是是是是是是N4 4804 4804 4804 4804 4804 480R20.2370.2530.2590.2910.4710.472

注:***、**和*分别表示在1%、5%和10%的水平上显著,下同

4.3 稳健性检验

4.3.1 安慰剂检验

尽管本文在基准回归中控制了影响产业链韧性的一系列城市特征因素,但仍有可能存在某些不可观测因素影响估计结果。参考Li 等[26]的做法,在基准模型基础上,随机产生“宽带中国”战略和国家知识产权示范政策“双试点”城市进行间接检验,并将随机过程重复500次,结果如图3所示。可以发现,基本服从正态分布,说明非观测因素几乎不会对估计结果产生影响,即模型设定中并未遗漏掉足够重要的影响因素,进一步表明回归结果稳健。

4.3.2 PSM-DID方法

双重差分项虽然能够分离出“双试点”政策影响产业链韧性的净效应,但在样本选择过程中误差不可避免。为降低选择性偏差问题对模型估计结果的影响,本文采用PSM-DID方法对样本进行匹配以选择出与实验组最为相近的样本,从而有效解决样本选择偏差和内生性问题,结果如表4第(1)列所示。可以发现,双重差分项系数在进行k近邻卡尺匹配(k=3)后,与基准回归结果相差不大,显著为正,表明匹配后“双试点”政策对产业链韧性的提升作用依旧显著,即本文研究结果稳健。

图2 平行趋势检验结果
Fig.2 Parallel trend test results

图3 安慰剂检验
Fig.3 Placebo test

4.3.3 其它稳健性检验

为进一步验证基准回归结果可靠性,本文还进行以下检验:第一,缩小时间窗口。时间窗口期过短会造成结果有偏,但是窗口期过长也可能导致样本结构变化。本文将时间范围缩短为2009-2019年进行检验,如表4第(2)列所示,结果仍然显著。第二,控制区域与年份的交互项。在基准回归模型基础上加入地区与年份的交互项以控制随地区、时间而变化的区域时变因素影响,结果如表4第(3)列所示。研究发现,双重差分项系数与基准回归结果相差不大,且在1%水平下显著为正,表明本文研究结果稳健。第三,滞后性检验。考虑到“宽带中国”战略和国家知识产权示范城市政策对产业链韧性提升可能存在一定时滞性,本文在基准回归模型基础上分别将被解释变量滞后一期和两期进行检验,结果见表4列(4)~(5)。研究发现,系数显著为正且未产生大幅变化,说明研究结果稳健。第四,排除其它政策干扰。产业链韧性提升不仅受到“宽带中国”战略和国家知识产权示范城市政策的影响,还可能受到其它相关政策的影响,本文在基准模型基础上加入“智慧城市”试点政策的双重差分项(smart)以及“自贸区”试点政策的双重差分项(trade),结果如表4列(6)~(7)所示。可以发现,在控制其它政策干扰项后,“宽带中国”战略和国家知识产权示范城市政策仍然对提升产业链韧性具有显著影响,说明本文研究结果稳健。

表4 稳健性检验结果
Table 4 Robustness test results

变量PSM-DID(1)改变窗口期(2)控制交互项(3)滞后期检验(4)(5)排除其它政策干扰(6)(7)BdIp0.017∗∗∗0.012∗∗∗0.020∗∗∗0.015∗∗∗0.011∗∗∗0.020∗∗∗0.016∗∗∗(19.10)(18.43)(14.93)(14.79)(19.13)(15.74)(3.47)smart0.002∗∗(2.08)trade0.024∗∗∗(16.87)Controls是是是是是是是Constant-0.045∗∗∗-0.049-0.071-0.053-0.039-0.071∗∗∗-0.064∗∗∗(-19.11)(-33.61)(-30.73)(-29.97)(-38.32)(-33.82)(-31.11)城市固定是是是是是是是时间固定是是是是是是是N4 2223 0804 4804 2003 9204 4804 480R20.4460.5680.5130.4350.5830.4720.502

5 机制分析

根据前文理论分析,“宽带中国”战略和国家知识产权示范城市政策通过创新驱动效应、政策引领效应和结构优化效应对产业链韧性产生影响。本文选择与以上3种效应直接相关的变量作为中介变量,并参考江艇[27]的研究,重点识别“双试点”政策对中介变量的因果效应,构建模型如式(2)所示。

Mediumit=α0+α1BdIp+φXit+μt+ηi+εit

(2)

其中,Medium为中介变量,具体包括衡量创新驱动效应的创新要素配置水平(Rd)、人力资本水平(hr)和城市创新指数(innov);衡量政策引领机制的政府科技支出(tec)和政府数字注意力(atten);衡量结构优化效应的产业结构高级化指数(ais)和产业结构合理化指数(theil)。其余变量与前文基准模型一致,回归结果如表5所示。

为检验创新驱动效应的作用机制,本文从配置创新要素、培育创新人才和优化创新环境三方面出发。首先,采用科技与信息产业从业人员数占城镇单位从业人员数比重衡量城市创新要素配置水平。其次,以城市大学生数刻画城市创新人才培育水平。最后,借鉴复旦大学产业发展研究中心发布的《中国城市和产业创新力报告》[28]中的测算方法,以国家知识产权局的专利数据为基础,通过专利更新模型估计不同年龄专利的平均价值,并加总到城市层面得到创新指数,以此衡量城市创新环境优化水平,回归结果如表5中列(1)~(3)所示。可以发现,“宽带中国”战略和国家知识产权示范城市“双试点”政策在1%水平下显著促进城市创新水平提升,且对创新环境优化的作用显著。由理论分析可知,城市创新水平提高对产业链韧性有明显促进作用,故本文认为“双试点”政策能通过配置创新要素、培育创新人才和优化创新环境进而提升产业链韧性,即研究假设H2a成立。

表5 影响机制分析结果
Table 5 Analysis of impact mechanisms

变量创新驱动效应(1)(2)(3)政策引领效应(4)(5)结构升级效应(6)(7)Policy0.010∗∗∗0.191∗∗∗0.510∗∗∗0.005∗∗∗0.016∗0.050∗∗∗0.017∗(12.63)(4.18)(25.48)(7.00)(1.75)(5.12)(1.88)Constant0.012∗∗∗1.237∗∗∗-1.634∗∗∗-0.010∗∗∗-0.0220.811∗∗∗0.327∗∗∗(9.21)(16.68)(-50.21)(-8.37)(-1.46)(50.68)(22.04)Controls是是是是是是是城市固定是是是是是是是时间固定是是是是是是是N4 4804 4804 4804 4804 4804 4804 480R20.1700.3050.6230.2880.5460.4570.056

为检验政策引领效应的作用机制,本文从政府科技支出和数字注意力配置两方面展开分析。财政科技支出是政府发挥政策引领作用的基本手段,反映政府对创新发展的重视程度,本文采用科学技术支出占地方财政支出比重衡量政府科技支出水平。政府对数字发展的重视程度有助于推动产业链数智化升级,故采用文本挖掘工具并通过高频词提取、共线矩阵、聚类等一系列方法对地方政府工作报告、部门文件进行批量信息提取分析,从而得到地方政府数字注意力指数,回归结果如表5中列(4)(5)所示。可以发现,“宽带中国”战略和国家知识产权示范城市“双试点”政策在1%水平下显著增加政府科技支出,在10%水平下显著提高试点城市政府数字注意力。这说明由于“双试点”政策的实施,试点城市的科技支出和政府数字注意力均得到提高,进而增强产业链竞争力和稳定性,提高产业链韧性,故研究假设H2b成立。

为检验结构升级效应的作用机制,本文构建产业结构高级化和合理化指数,其中,产业结构高级化指标重点考虑产业结构比例关系变化和劳动生产率两大特征,采用三大产业占比与各产业劳动生产率乘积的加权值衡量。产业结构合理化使用泰尔指数测度,以反映不同产业产值与就业结构偏差以及产业协调能力。回归结果如表5中列(6)~(7)所示,可以发现,“宽带中国”战略和国家知识产权示范城市政策显著优化试点地区产业结构,证明“双试点”政策实施带来网络基础设施水平提高、创新制度与环境优化,有利于推动数据链、创新链、人才链、资金链深度融合,加快产业技术进步与结构升级,进而提升产业链韧性,即研究假设H2c成立。

6 进一步讨论

6.1 异质性分析

虽然前文已经论证“宽带中国”战略和国家知识产权示范城市试点政策对产业链韧性的提升作用及传导机制,但考虑到试点城市在区位分布、城市等级及市场化发展程度等方面存在差异,故本文进一步探讨不同特征城市对政策冲击响应的差异性,以揭示“双试点”政策驱动产业链韧性提升的边界条件。

6.1.1 城市区位异质性

东部地区一直是改革开放的前沿阵地,凭借优越的地理位置和发达的交通率先发展,在经济发展程度、基础设施建设、科技创新能力以及人力资源水平等方面明显优于中西部地区。要素资源分布的不均衡可能导致“宽带中国”战略和国家知识产权示范城市试点政策对产业链韧性的提升作用在不同地区之间存在差异。本文构建区位特征虚拟变量(area),按照国家统计局划分标准,将全样本分为东部和中西部两类,其中,东部城市赋值为1,中西部城市赋值为0,并将该变量与BdIp相乘代入模型,回归结果见表6列(1)。可以看出,交互项BdIp×area的回归系数在1%水平上显著为正,表明“双试点”政策对东部地区产业链韧性的提升作用最强。这可能是因为东部地区的数字经济发展较成熟,创新制度环境更完善,各类产业链相对完备,故而“双试点”政策在提升城市产业链韧性过程中更多体现为“锦上添花”。而中西部地区经济发展水平较低,生产技术落后,尽管“宽带中国”战略和国家知识产权示范城市政策能在一定程度上加速数字经济发展与创新制度环境改善,但囿于地理区位、资源禀赋以及创新要素约束,提升产业链韧性的内生动力不足,导致“双试点”政策实施效果受到一定程度影响。

6.1.2 城市行政等级异质性

中国城市可分为直辖市、副省级、省会和地级市。一般而言,财政资金、要素资源以及各类优惠政策倾斜力度会按城市行政等级由上至下依次减弱,一些城市可以凭借行政等级优势优先获得经济发展资源,这可能导致“宽带中国”战略和国家知识产权示范城市试点政策效果存在城市等级差异。基于此,本文构建城市等级虚拟变量(general),将副省级城市和省会城市赋值为1,普通地级市赋值为0,并将该变量与核心解释变量BdIp相乘代入模型,回归结果见表6列(2)。可以看出,交互项BdIp×general的回归系数在1%水平上显著为正,表明“双试点”政策对高行政等级城市产业链韧性提升作用更显著。原因可能在于:高行政等级城市在经济政策、地方立法等方面拥有更大决策自主权,已经形成较大的要素集聚优势和有利于企业创新的生态环境,“双试点”政策实施会吸引更多新兴企业、高端人才及风投资金涌入,有利于增强产业链竞争力和稳定性,从而提升产业链韧性。

6.1.3 市场化程度异质性

市场经济的自组织与灵活性是提升产业链韧性的动力源泉,在市场化程度较高的城市,政府对要素资源配置的直接干预较少,市场主体经济活动的自主性较高,为企业创新提供了良好的外部保障并能更大程度地激发企业转型升级动力,故市场化程度不同可能导致政策影响具有差异性。本文借鉴樊纲等[29]的做法,构建市场化指数(market),并将该变量与核心解释变量BdIp相乘代入模型,回归结果见表6列(3)。可以看出,交互项BdIp×general的回归系数在1%水平上显著为正,表明“双试点”政策对高市场化程度城市产业链韧性的提升作用更显著。这可能是因为在市场化程度较高的城市,企业竞争更加激烈,“双试点”政策实施带来数字经济快速发展和创新环境改善,借助原有竞争机制更能激发市场活力,促使企业在产业链竞争中不断创新与优化,从而提升产业链韧性。对于市场化程度较低的城市,各类要素资源的市场化配置水平较低,难以充分发挥“政策引领—创新驱动—结构优化”的优势,导致“双试点”政策对产业链韧性的提升作用较弱。

表6 异质性分析结果
Table 6 Heterogeneity analysis results

变量城市区位分布城市行政等级市场化程度(1)(2)(3)BdIp×area0.025∗∗∗(14.92)BdIp×general0.041∗∗∗(22.08)BdIp×mark0.008∗∗∗(17.26)Constant-0.070∗∗∗-0.064∗∗∗-0.070∗∗∗(-33.23)(-30.71)(-33.81)控制变量是是是城市固定是是是时间固定是是是N4 4804 4804 480R20.4680.4990.478

6.2 拓展性分析

为了进一步探究“宽带中国”战略和国家知识产权示范城市政策的协同效应,即“宽带中国”战略和国家知识产权示范城市“双试点”政策是否比单个试点更有效,本文进行如下拓展性分析。

(1)分别检验“宽带中国”战略和国家知识产权示范城市单试点对产业链韧性的影响。剔除国家知识产权示范城市样本,保留“宽带中国”单试点城市样本以及既不是国家知识产权示范城市也不是“宽带中国”试点城市样本,此时解释变量系数反映“宽带中国”试点对产业链韧性影响的净效应。同理,剔除“宽带中国”试点城市样本,解释变量系数反映国家知识产权示范城市试点政策对产业链韧性影响的净效应。回归结果见表7,列(1)(3)显示“宽带中国”战略与国家知识产权示范城市均对产业链韧性有显著促进作用,但“单试点”政策的回归系数均小于上文基准回归结果的系数值,表明“宽带中国”战略和国家知识产权示范城市存在政策叠加效应;列(2)(4)分别展示将被解释变量滞后一期的回归结果,数据显示,均在1%水平下显著为正,进一步证明政策有效。

(2)进一步探究“双试点”政策效应是否优于单试点政策效应。剔除既不是“宽带中国”试点也不是国家知识产权示范城市试点样本,保留是“宽带中国”试点或者是国家知识产权示范城市试点样本,此时核心解释变量BdIp的系数反映从成为“宽带中国”试点城市到同时成为国家知识产权示范城市试点或者从成为国家知识产权示范城市到同时成为“宽带中国”试点样本,即单一试点城市成为“双试点”城市之后对产业链韧性影响的净效应。回归结果如表7列(5)所示,可以发现,BdIp的系数为0.017,高于单一试点对产业链韧性影响的净效应且在1%水平下显著;第(6)列显示将被解释变量滞后一期的回归结果,结果依旧显著为正。上述结果说明“双试点”政策效应强于单试点政策效应。

表7 “双试点”政策协同效应检验
Table 7 Synergy effect test of the “dual pilot” policy

变量不滞后滞后一期不滞后滞后一期不滞后滞后一期(1)(2)(3)(4)(5)(6)宽带中国0.006∗∗∗0.005∗∗∗(6.76)(6.85)知识产权0.016∗∗∗0.012∗∗∗(18.57)(19.76)BdIp0.017∗∗∗0.013∗∗∗(8.17)(7.76)控制变量是是是是是是Constant-0.058∗∗∗-0.038∗∗∗-0.023∗∗∗-0.014∗∗∗-0.111∗∗∗-0.083∗∗∗(-14.93)(-8.95)(-10.94)(-9.66)(-13.05)(-10.94)城市固定是是是是是是时间固定是是是是是是N3 5363 3152 8162 6401 9361 815R20.2380.2190.4300.4590.5270.484

(3)进一步验证成为“宽带中国”战略试点和国家知识产权示范城市试点的时间先后顺序对产业链韧性的影响。在检验“双试点”比单试点更有效的基础上保留已经成为“宽带中国”战略试点但尚未成为国家知识产权示范城市的样本(剔除先成为知识产权城市的样本以及同时成为“宽带中国”战略与知识产权示范城市的样本),此时核心解释变量BdIp的系数反映先成为“宽带中国”试点再成为“双试点”城市对产业链韧性的影响。同理,保留已经成为国家知识产权示范城市试点但尚未成为“宽带中国”战略试点的样本,此时核心解释变量BdIp的系数反映先成为国家知识产权示范城市试点再成为“双试点”城市对产业链韧性的影响。回归结果如表8所示,可以看出,无论是先成为“宽带中国”战略试点还是先成为国家知识产权示范城市试点,当进一步成为“双试点”城市之后均显著提升产业链韧性,且先成为国家知识产权示范城市试点对产业链韧性的提升作用要明显优于先成为“宽带中国”战略试点城市。这可能是因为城市创新环境改善与制度优化对产业链韧性提升的作用更重要,而“宽带中国”战略实施所带来的网络基础设施建设和数字经济发展虽然在一定程度上能提升产业链韧性,但是如果缺乏相应知识产权保护制度的支持,这种提升作用可能会受到一定约束。换而言之,只有促进创新制度环境得到改善,数字经济对产业链的提升作用才会显著。基于上述分析,政府需充分发挥“宽带中国”战略和国家知识产权示范城市政策的协同效应,合力促进产业链韧性提升。

表8 基于试点实施顺序的比较分析
Table 8 Comparative analysis of pilot implementation sequence

变量先“宽带中国”战略后知识产权示范城市试点先知识产权示范城市后“宽带中国”战略试点(1)(2)BdIp0.004∗∗0.022∗∗∗(2.27)(8.79)Controls是是Constant-0.059∗∗∗-0.094∗∗∗(-15.60)(-21.89)城市固定是是时间固定是是N1 4241 728R20.4870.539

7 结论与建议

7.1 研究结论

本文以“宽带中国”战略和国家知识产权示范城市政策为准自然实验,采用双重差分法考察“双试点”政策实施对产业链韧性的影响效应和作用机制,主要研究结论如下:①“宽带中国”战略和国家知识产权示范城市政策显著提升产业链韧性,且经过平行趋势检验和一系列稳健性检验后该结论仍显著成立;②从影响机制来看,“宽带中国”战略和国家知识产权示范城市试点政策通过创新驱动效应、政策引领效应以及结构优化效应提升产业链韧性;③从异质性分析来看,“双试点”政策对东部地区城市、行政等级高的副省级城市和省会城市产业链韧性的提升作用更明显,对高市场化水平城市产业链韧性的提升作用更显著;④从进一步拓展性分析来看,“双试点”政策效应强于单试点政策效应,且先成为国家知识产权示范城市试点城市对产业链韧性的提升作用明显优于先成为“宽带中国”试点城市。

7.2 政策建议

(1)建立健全试点政策统筹协调机制,充分释放“双试点”政策协同效应。应进一步扩大“宽带中国”战略和国家知识产权示范城市政策实施范围,优先选择将已经成为国家知识产权试点的示范城市进一步发展为“宽带中国”战略试点城市,更快促进产业链韧性提升。地区政府要找准不同政策契合点,形成政策调控合力,充分发挥“双试点”政策的叠加效应,加快网络基础设施建设和创新制度环境优化,为产业链韧性提升培育内生动力。

(2)着力提升“双试点”政策的创新驱动、政策引领与结构优化效应。建立以创新要素配置、创新人才培育和创新环境优化为根本特征的创新驱动路径;以提高政府科技支出和数字注意力为主要方向的政策引领路径;以优化产业结构转型升级为核心目标的结构优化路径。重点发挥科技创新在提升产业链韧性中的核心作用,加强前沿技术布局,构建一批结构合理、自主可控、优势互补的跨领域创新型产业集群,增强产业链抵御恢复力、转型更新力以及高端引领力。

(3)优化数字经济与知识产权保护政策的区域布局,加大创新环境与创新制度建设力度。在优先发展东部地区、副省级城市和省会城市的前提下,引导并加强其与中西部地区合作,保障资金、技术及人才等创新要素自由流动,形成先发带动后发的“雁形”发展态势。坚持政府作用与市场力量相结合,充分发挥“政府引领—市场驱动—政策导向”发展模式优势,形成以试点政策为纽带、市场机制为保障,政府与市场协同发力的多元化创新机制,为产业链韧性提升提供支持与保障。

参考文献:

[1] 汤铎铎,刘学良,倪红福,等.全球经济大变局、中国潜在增长率与后疫情时期高质量发展[J].经济研究,2020,55(8):4-23.

[2] 中国社会科学院工业经济研究所课题组,张其仔.提升产业链供应链现代化水平路径研究[J].中国工业经济,2021,38(2):80-97.

[3] KUSIAK A. Smart manufacturing[J]. International Journal of Production Research, 2018, 56(1-2): 508-517.

[4] 高洪玮.中国式现代化与产业链韧性:历史逻辑、理论基础与对策建议[J].当代经济管理,2023,45(4):11-19.

[5] 陈晓东,刘洋,周柯.数字经济提升我国产业链韧性的路径研究[J].经济体制改革,2022,40(1):95-102.

[6] 李晓华.产业链韧性的支撑基础:基于产业根植性的视角[J].甘肃社会科学,2022,44(6):180-189.

[7] 张虎,张毅,韩爱华.我国产业链现代化的测度研究[J].统计研究,2022,39(11):3-18.

[8] 张杰,付奎.信息网络基础设施建设能驱动城市创新水平提升吗——基于“宽带中国”战略试点的准自然试验[J].产业经济研究,2021,20(5):1-14,127.

[9] WANG J, DONG K, DONG X, et al. Assessing the digital economy and its carbon-mitigation effects: the case of China[J]. Energy Economics, 2022, 113: 106198.

[10] 吕鲲,潘均柏,李北伟.知识产权保护、政府生态文明建设注意力与区域创新流——来自30个省域的证据[J].科技进步与对策,2023,40(19):44-54.

[11] 纪祥裕,顾乃华.知识产权示范城市的设立会影响创新质量吗[J].财经研究,2021,47(5):49-63.

[12] 覃波,高安刚.知识产权示范城市建设对产业结构优化升级的影响——基于双重差分法的经验证据[J].产业经济研究,2020,19(5):45-57.

[13] 谢文栋.“新基建”与城市创新——基于“宽带中国”战略的准自然实验[J].经济评论,2022,43(5):18-34.

[14] 韩先锋,宋文飞,李勃昕.互联网能成为中国区域创新效率提升的新动能吗[J].中国工业经济,2019,40(7):119-136.

[15] 李兰冰,刘瑞.生产性服务业集聚与城市制造业韧性[J].财经科学,2021,65(11):64-79.

[16] VERHOEF P C,T BROEKHUIZEN Y BART,A BHATTACHARYA,et al. Digital transformation:a multidisciplinary reflection and research agenda[J]. Journal of Business Research,2021,122:889-901.

[17] ROMER P. Endogenous technological change[J].Journal of Political Economy,1990,98 (5):71-102.

[18] 董涛.知识产权数据治理研究[J].管理世界,2022,38(4):109-125.

[19] FURMAN J L,PORTER M E,STERN S.The determinants of national innovative capacity [J].Research Policy,2002,31(6):899-933.

[20] ELLISON G,ELLISON S F.Lesson about markets from the Internet[J].Journal of Economic Perspectives,2005,19(2):139-158.

[21] HALL B H, HARHOF D. Recent research on the economics of patents[J]. Annual Review of Economics, 2012, 4:541-565.

[22] OCASIO W. Towards an attention-based view of the firm[J].Strategic Management Journal,1997,18(S1):187-206.

[23] 马青山,何凌云,袁恩宇.新兴基础设施建设与城市产业结构升级——基于“宽带中国”试点的准自然实验[J].财经科学,2021,65(4):76-90.

[24] 肖兴志,李少林.大变局下的产业链韧性:生成逻辑、实践关切与政策取向[J].改革,2022,39(11):1-14.

[25] 史丹,李少林.排污权交易制度与能源利用效率——对地级及以上城市的测度与实证[J].中国工业经济,2020,37(9):5-23.

[26] LI P,LU Y,WANG J.Does flattening government improve economic performance?evidence from China[J].Journal of Development Economics,2016,123:18-37.

[27] 江艇.因果推断经验研究中的中介效应与调节效应[J].中国工业经济,2022,39(5):100-120.

[28] 寇宗来,刘学悦.中国城市和产业创新力报告2017[R].上海:复旦大学产业发展研究中心,2017.

[29] 樊纲,王小鲁,马光荣.中国市场化进程对经济增长的贡献[J].经济研究,2011,46(9):4-16.

(责任编辑:胡俊健)