“亩均论英雄”政策对制造业企业高质量发展的影响机理
——基于浙江省的分析

王进富1,2,郑小颖1,张颖颖1,2

(1.西安工程大学 管理学院,陕西 西安 710048;2.陕西省科技政策创新与评估软科学研究基地,陕西 西安 710048)

摘 要:党的二十大报告提出,高质量发展是全面建设社会主义现代化国家的首要任务。制造业是现代化产业体系的重要内容,厘清相关产业政策对制造业高质量发展的作用机理,对于把握制造业高质量发展的内在逻辑、探索其可行路径具有重要意义。以2003—2022年浙江省与广东省A股制造业上市公司为样本,以广东省为对照组,运用多时点双重差分模型对浙江省“亩均论英雄”政策效果进行评估。研究发现:①浙江省“亩均论英雄”政策通过提高制造业企业创新质量和资源配置效率、引导制造业企业数字化转型,推动制造业企业高质量发展;②效率变革推动制造业企业实现高质量发展的作用最强,数字化转型次之,创新质量的作用最弱;③异质性分析表明,浙江省“亩均论英雄”政策对国有制造业企业、大规模企业和非技术密集型制造业企业影响效果更强。

关键词:亩均论英雄;制造业企业;高质量发展;双重差分模型

The Impact Mechanism of the Per-Mu Productivity Policy for Assessing Industrial Excellence on the High-Quality Development of Manufacturing Enterprises: An Analysis in Zhejiang Province

Wang Jinfu1,2,Zheng Xiaoying1,Zhang Yingying1,2

(1.School of Management, Xi'an Polytechnic University, Xi'an 710048, China;2.Shaanxi Science and Technology Policy Innovation and Evaluation Soft Science Research Base, Xi'an 710048, China)

AbstractIt has been emphasized in the report to the 20th National Congress of the Communist Party of China to build a modern industrial system by adhering to the principle of focusing economic development on the real economy. As the main sector of the real economy, the high-quality development of manufacturing industry is the core of high-quality economic development. However, China's manufacturing industry faces challenges such as high external dependence of core technologies, rising development costs, government intervention, factor market distortion and legal system. In order to cope with these challenges, provinces represented by Zhejiang have implemented the per-mu productivity policy for assessing industrial excellence to promote the high-quality development of manufacturing enterprises. The policy can not only optimize the market-oriented allocation of resources and factors, improve the total factor productivity of enterprises, but also identify the key to the golden combination of effective government and effective market, thus driving the economy to achieve high-quality development.

As for the effectiveness of China's industrial policies, some scholars believe that policy support helps enterprises to obtain funds and subsidies, improve financing capacity and risk-taking level, and achieve high-quality development. Others point out that uncertainty in policy implementation and incentive and easing effects may affect policy effectiveness. Secondly, many foreign scholars believe that government policies, such as market competition policies, environmental policies and industrial policies, play an important role in affecting the total factor productivity of enterprises. Therefore, it is of certain significance to study whether per-mu productivity policy for assessing industrial excellence in Zhejiang Province affects the high-quality development of manufacturing enterprises. In addition, drawing on the dynamic capability theory, the resource-based theory, and the Industry 4.0 theory, this policy elucidates the mechanisms behind its effectiveness in Zhejiang province through three key aspects: innovation quality, efficiency reform, and digital transformation. Furthermore, recognizing that the impact of industrial policies on enterprises varies depending on their attributes, this article investigates the differential effects of these policies on the survival of manufacturing enterprises with different sizes, property rights, and factor intensities.

This study takes A-share manufacturing listed companies in Zhejiang Province and Guangdong Province from 2003 to 2022 as samples, with Zhejiang province as the experimental group and Guangdong Province as the controlled group, uses the multi-time difference-in-differences model to evaluate the effectiveness of per-mu productivity policy for assessing industrial excellence in Zhejiang Province, and analyzes its influencing mechanism and heterogeneous factors on the high-quality development of manufacturing enterprises in Zhejiang. The results show that the implementation of this policy has a significant positive correlation with the total factor productivity of manufacturing enterprises. This conclusion remains valid with certain robustness through the parallel trend test and the robustness test. By improving the innovation quality of manufacturing enterprises, optimizing the efficiency of resource allocation and guiding the digital transformation of manufacturing enterprises, the policy promotes the high-quality development of manufacturing enterprises. Among them, efficiency transformation has the strongest effect, followed by digital transformation, and innovation quality has the weakest effect. Finally, the effect of the policy is stronger among the manufacturing enterprises in Zhejiang Province, such as Chinese enterprises, large-scale enterprises and non-technology-intensive enterprises. Therefore, If the government wishes to play a positive role in this industrial policy, it can, on the one hand, enhance supportive policies and measures that drive innovation, thereby improving the quality of corporate innovation. It should actively encourage the digital transformation of enterprises to narrow gaps across various aspects. On the other hand, when formulating policies, the government should adhere to the principle of tailoring measures to local conditions and reinforce the top-level design of these policies.

In terms of theoretical significance, this article starts with the theory of pressure effect and the theory of incentive effect to enrich the relevant research on the influence effect of the per-mu productivity policy for assessing industrial excellence. In terms of practical significance, it reveals the influencing mechanism of the policy on the high-quality development of manufacturing enterprises, and analyzes the heterogeneity of the policy effect, which aids the government in identifying policy shortcomings and making targeted improvements, thereby fostering the high-quality development of manufacturing enterprises.

Key WordsPer-mu Productivity Policy for Assessing Industrial Excellence; Manufacturing Enterprises; High-quality Development; Differece-in-differences Model

DOI10.6049/kjjbydc.2024040565

开放科学(资源服务)标识码(OSID):

中图分类号:F262

文献标识码:A

文章编号:1001-7348(2025)16-0112-11

收稿日期:2024-04-15

修回日期:2024-07-17

基金项目:教育部人文社会科学青年项目(23YJC630242);陕西省社会科学基金年度项目(2023R008,2023R049);陕西省教育厅科学研究计划项目(20JZ062);西安市科技计划项目(24RKYJ0016);西安工程大学高教研究项目(23GJ07,23GJ09)

作者简介:王进富(1978—),男,甘肃靖远人,博士,西安工程大学管理学院、陕西省科技政策创新与评估软科学研究基地主任、硕士生导师,研究方向为创新管理与科技政策;郑小颖(2001—),女,山西寿阳人,西安工程大学管理学院硕士研究生,研究方向为产业创新发展;张颖颖(1987—),女,陕西西安人,博士,西安工程大学管理学院、陕西省科技政策创新与评估软科学研究基地副教授、硕士生导师,研究方向为科技创业与孵化。

0 引言

党的二十大报告提出“建设现代化产业体系,坚持把发展经济的着力点放在实体经济上。”制造业作为实体经济的主体部门,发挥着基础性、主导性和引领性作用。中国制造业面临诸多现实挑战,从宏观层面来看,中国制造业核心技术对外依存度较高,且面临“发达国家高端制造业回流与中低收入国家争夺中低端制造转移”双向挤压问题。从微观角度出发,中国制造业发展成本上升,包括土地、劳动力、原材料等要素成本和污染处理等环境成本等[1],以及受政府干预[2]、要素市场扭曲[3]、法律制度等方面的影响,行业间存在资源错配现象,进一步制约制造业发展。以浙江、山东、江苏等为代表的省份提出了“亩均论英雄”产业政策,其中,浙江省作为“亩均论英雄”产业政策的先行与标杆省份,在全国形成示范效应,而且该政策成为实现高质量发展的重要促进手段和制度供给。“亩均论英雄”政策,其核心在于将有限资源更为精准、高效地配置到优势企业,促进产业转型升级。该政策通过政府引导和市场运作,可以深入推进资源要素市场化配置,进一步激发各类市场主体创新活力,提高全要素生产率,进而推动经济高质量发展。因此,“亩均论英雄”产业政策不仅是转变发展方式、优化经济结构、转换增长动力的有力抓手,更是找准有为政府和有效市场黄金结合点的关键所在。

目前,关于产业政策是否有效的文献并没有达成一致结论[4]。一部分学者认为,获得产业政策支持的企业得到更多市场资金与补助[5],有利于解除企业创新投入资金的限制[6],提升其融资能力和风险承担水平[7],从而提高企业全要素生产率,最终实现高质量发展。也有学者认为,产业政策虽然规划了企业发展方向与目标,但在颁布和执行过程中存在的不确定性以及由此产生的不确定预期会对企业行为产生影响(南晓莉等,2019)。此外,产业政策实施过程中可能存在两种相对立的效应,即激励效应与迎合效应,激励效应有助于促进政策目标实现,而迎合效应意味着企业可能仅出于迎合政策要求而采取机会主义行为,从而削弱政策实施效果(杨国超等,2020)。因此,研究浙江省“亩均论英雄”产业政策是否影响制造业企业高质量发展具有理论和实践意义。

“亩均论英雄”政策是中国特有的产业政策,国外并没有相关研究,但是,国外学者广泛关注某种政策是否影响以及怎样影响企业生产率,认为政策与生产率的关系是影响经济增长的重要因素[8]。首先,在激烈的市场竞争环境下,政府采取的政策具有显著引导作用。正如Aghion等[9]指出,政府通过实施促进产品市场竞争的政策,能够逐步淘汰效率较低的企业,同时,激励在位企业降低投资成本,并鼓励更高效和更具创新力的企业进入市场,从而有效提升企业生产率。其次,在当今强调绿色发展的时代,环境政策的重要性愈发凸显。Albrizio等[10]指出,为了改善环境,政府制定了一系列环境政策,影响企业的生产过程、资本投入和创新激励等方面,进而促进企业生产率提升。最后,政府通过实施多种产业政策影响企业生产率。Jongwanich等[11]认为,政府通过实施贸易开放、增加研发投入、推动技能升级的产业政策,以及降低关税保护等政策工具影响企业生产率。然而,政府政策对企业生产率的影响可能具有一定滞后性。Atkeson等[12]研究发现,尽管政府实施了创新政策,为企业创新投资提供了补贴,但从短期来看,在促进总体生产力和产出增长方面,政策效果并不显著。

“亩均论英雄”产业政策起初在浙江省试点,政策的地域性较强,并没有在全国大范围实施,因此,国内对该政策的研究较少,没有形成系统性研究。其中,有学者研究“亩均论英雄”产业政策对资源优化配置的影响。邓慧慧等[13]认为“亩均论英雄”产业政策对资源再配置起积极作用,并通过土地资源的区域间、企业间配置提高土地配置的利用与经济效率;金文[14]肯定了“亩均论英雄”产业政策的先进性,认为浙江省应处理好政府“有形手”与市场“无形手”的关系,不断完善评价体系;王正新等[15]从正向激励与反向倒逼两个方面讨论“亩均论英雄”产业政策对产业升级的理论机制,发现该政策可以有效降低交易成本,并提高产业高级化水平与高效化水平,但是,政策效应在地区间存在影响程度与持续时间异质性;白燕飞等[16]将产业政策与企业高质量发展相联系,探究“亩均论英雄”对企业全要素生产率的影响效应与传导机制。

本文边际贡献有三点:第一,选取浙江省制造业企业为研究对象,实证回答“亩均论英雄”产业政策对制造业企业高质量发展是否具有有效性这一问题。第二,本文从制造业企业创新质量、效率变革和数字化转型角度,揭示浙江省“亩均论英雄”产业政策有效性的背后作用机理。第三,考察对于不同规模、产权性质、要素密集度的制造业企业,浙江省“亩均论英雄”产业政策的差异性影响。

1 理论分析与研究假设

1.1 “亩均论英雄”产业政策与企业高质量发展

从经济学的性质来看,高质量发展是一种经济发展方式、结构和动力状态,它能够更好满足人民不断增长的真实需要(金碚,2018)。从企业层面出发,高质量发展不仅是企业追求的目标或理想状态,也是企业各种发展范式的集成(黄速建等,2018),反映企业可持续发展的能力[17]。从会计角度来看,企业在可控风险下实现资金效率与利益最大化才是高质量发展[18]。综上,本文认为,制造业企业高质量发展是指制造业企业投入与回报相匹配,而且具有高效完备的治理体系、运作体系和健康财务状态。

“亩均论英雄”的核心内容是将亩均单位建设用地上的投入和产出作为衡量标准,按照亩均效益进行评价,并以此形成节约集约用地的高质量发展模式。企业可通过亩均效益综合评价进行资源要素差别化配置,实现效益最大化和效率最优化。对于规模以上工业企业,浙江省将亩均税收、亩均增加值、全员劳动生产率、单位能耗增加值、单位排放增加值、R&D经费支出占主营业务收入之比等6项指标作为评价指数,激励企业实现高质量发展。在此背景下,浙江省“亩均论英雄”产业政策对制造业企业高质量发展存在两种效应,即压力效应和激励效应。

(1)压力效应理论。基于压力效应理论,“亩均论英雄”产业政策将浙江省制造业企业置于实现经济高质量发展的压力中,定时公布评价结果,从而推动企业不断完善自身6项指标。政府制定“亩均论英雄”产业政策,为制造业企业设立相关法规与目标,形成外部约束,促进企业调整内部资源配置、技术创新和生产流程,适应政策引导的发展方向。首先,来自政府的外部压力在一定程度上对企业行为产生激励作用。如,企业为提高R&D经费支出占主营业务收入之比这一指标值,会在科研领域进行更为深入的探索,提升技术创新能力。其次,在外部压力之下,企业会进行内部调整与变革。“亩均论英雄”产业政策实际上构建了一种新的市场准入标准和竞争机制,企业要想在竞争中胜出,就必须对自身管理进行创新与优化,以适应市场环境变化。最后,由于产业政策具有一定连续性,因此企业外部压力具有一定长期性,这意味着企业实现可持续发展需要注重长远规划,制定长期战略,保持动态发展与可持续升级。

(2)激励效应理论。“亩均论英雄”产业政策设定了一系列激励措施,企业按“质”排名次,政府按名次给予奖励。这些具有政策导向性、公开性的激励机制推动企业进行内部调整,争取获得政府奖励。根据信号传递理论,政府奖励企业向市场传递了一种信息,即被奖励的企业在一定程度上具有较好的发展现状与前景,会提高投资者对企业的未来发展预期和投资意愿,并进一步提高企业积极性,实现高质量发展。基于上述分析,本文提出如下假设:

H1:“亩均论英雄”产业政策有助于企业实现高质量发展。

1.2 “亩均论英雄”产业政策对企业高质量发展的影响机理

(1)企业创新质量。R&D经费支出占主营业务收入之比是“亩均论英雄”评价指标之一,这说明提升创新水平是“亩均论英雄”产业政策的重要目标。根据动态能力理论,企业要实现高质量发展,不仅要拥有相应资源,还要能够灵活地调整和利用这些资源以适应环境变化。创新作为企业动态能力之一,是企业适应外部环境、获取竞争优势的重要途径。企业通过不断探索新的技术和方法,提高生产效率、降低生产成本,在市场竞争中占据优势地位。持续性创新使得企业能够提高对市场变化和需求的适应性,从而在不断变化的商业环境中保持竞争优势。

(2)企业效率变革。根据资源基础理论,资源是企业核心竞争力的重要组成部分,包括技术、知识、人力资源等多个方面。如何合理配置和整合这些资源,使其发挥出最大潜力,对于企业高质量发展至关重要。“亩均论英雄”产业政策强调企业应高效利用现有资源,通过差别化配置资源要素,实现效益最大化和效率最优化。因此,企业发展过程中不仅需要关注资源数量,更需要重视资源质量与利用效率。这既是企业高质量发展的必然选择,也是实现可持续发展的关键路径。

(3)企业数字化转型。数字化转型是制造业企业提升竞争力的关键举措,更是实现高质量发展的必由之路[19]。随着数字时代的到来,浙江省“亩均论英雄”产业政策为制造业发展提供了更多途径和可能性。通过数字化转型,企业可以更加精准地掌握市场需求,优化产品结构和生产布局,提高单位面积的土地产出效益,实现更高效、更环保、更可持续的发展。根据“工业4.0”理论,数字化转型是推动制造业向智能化、网络化、服务化方向发展的关键。通过引入物联网、大数据、云计算等先进技术,企业可以实现设备间互联互通,构建智能化生产体系,提升生产效率和灵活性。因此,数字化转型是制造业企业实现高质量发展的重要途径。基于上述分析,本文提出以下假设:

H2a:“亩均论英雄”产业政策通过提高创新质量促进制造业企业实现高质量发展;

H2b:“亩均论英雄”产业政策通过提高企业效率促进制造业企业实现高质量发展;

H2c:“亩均论英雄”产业政策通过数字化转型促进制造业企业实现高质量发展。

1.3 “亩均论英雄”产业政策的异质性影响

企业在不同属性下,产业政策对其产生的作用会有所不同(白恩来等,2018)。即使处于相同生存环境,面对相同产业政策,由于企业行为偏好不同,它们也可能通过选择不同策略响应政策,从而使得产业政策对各种属性的企业产生异质性影响。如果遗漏企业属性,则可能导致研究结果偏误。因此,本文对可能存在的异质性因素即所有权性质、企业规模和要素密集度分别进行分析。

(1)产权性质异质性分析。国有制造业企业和非国有制造业企业在产权性质上的差异,是导致政策实施效果呈现异质性的重要原因。首先,国有企业由于其产权的特殊性,通常与政府有着更为紧密的联系,因此在政策执行和解读上可能拥有更多优势。这种优势使国有企业能够更快速、更准确地响应政策要求,从而更好地利用政策资源,实现自身发展目标。其次,非国有制造业企业在市场机制的运作下具有较大灵活性和创新性,但面对政策调整时,可能因为缺乏与政府直接沟通的渠道而面临更多不确定性。这种不确定性可能影响企业决策效率和资源配置,从而在一定程度上限制非国有企业的政策利用效果。此外,国有企业和非国有企业在资源获取、市场地位以及社会责任等方面也存在差异,这些差异都会影响制造业企业对“亩均论英雄”产业政策的接受程度和实施效果。

(2)企业规模异质性分析。企业规模是影响企业行为的因素之一,关于企业规模对企业创新的影响,学界存在不同观点[20]。规模较小的企业在资金链以及技术资源等方面存在明显劣势,从而影响创新效率,而规模较大的企业在这些方面优于小规模企业。同时,相比于小规模企业,大规模企业在组织调度过程中更加迟缓,部门之间的沟通效率较低。因此,“亩均论英雄”产业政策对不同规模制造业企业的影响可能存在差异。

(3)要素密集度异质性分析。制造业企业按照要素密集度可分为3类,即资本密集型企业、技术密集型企业和劳动密集型企业,反映企业在生产过程中所依赖的主要资源及其密集程度。其中,资本密集型企业实现规模化生产,主要依赖于资本的大量投入,包括高端设备、生产线等;劳动密集型企业则需要大量人力资源进行生产活动,劳动成本较高;技术密集型企业侧重于技术研发和创新,需不断提高技术门槛和加强研发投入。此外,董屹宇等[21]认为不同行业企业对技术创新的需求程度不同,技术进步速度和范围等也存在差别,进而导致企业相关活动产生差异化。因此,本文推测“亩均论英雄”产业政策的实施效果可能因企业要素密集度不同而产生差异,并按要素密集度将全部样本分为技术密集型企业和非技术密集型企业(资本密集型和劳动密集型)。基于上述分析,本文提出以下假设:

H3a:“亩均论英雄”产业政策作用效果因企业产权性质不同而具有异质性;

H3b:“亩均论英雄”产业政策作用效果因企业规模不同而具有异质性;

H3c:“亩均论英雄”产业政策作用效果因企业要素密集度不同而具有异质性。

综上,本文构建理论模型,如图1所示。

图1 理论模型

Fig.1 Theoretical model

2 实证研究

2.1 样本选择与数据来源

本文以2003-2022年浙江和广东A股上市制造业企业为研究样本,首先,浙江作为“亩均论英雄”产业政策的先行省份,不仅具有代表性,而且实施时间较长,成果较为显著。其次,广东省与浙江省经济发展、产业结构较为相似,且人均GDP与浙江省差距较小,在样本期间并未实施该政策,具有一定可比性。本文数据均来自国泰安数据库和国家统计局统计年鉴。借鉴已有研究,对数据进行如下处理:剔除ST和*ST的制造业企业;剔除相关变量数据严重缺失或异常的样本;剔除经营异常、所有者权益小于0的制造企业,最终得到1 049家上市企业数据,7 164个有效观测变量,主要变量描述性统计结果见表1。

表1 主要变量描述性统计结果

Table 1 Descriptive statistics of main variables

变量名称 变量符号平均值标准差最小值最大值全要素生产率TFP6.4750.3535.3208.674时间虚拟变量Time0.3630.4810.0001.000个体虚拟变量Treated0.4630.4990.0001.000资产负债率Lev0.3670.1770.0080.976净资产收益率Roa0.1142.442-27.595204.690净利润增长率Npgr0.87284.065-771.6806 962.260企业年龄Age1.6080.9140.0003.434董事会规模Bosize2.0970.1890.0002.773第一大股东持股比率Spls34.72314.0362.12088.240

2.2 模型设定与变量定义

(1)模型设定。本文参考Habib等[22]的研究,使用面板数据。浙江省“亩均论英雄”产业政策分市、分批次实施,实验组受到政策冲击时间不完全一致,符合多时点双重差分模型。

TFPit=β0+β1didit+β2controlit+γt+μi+εit

(1)

其中,TFP是企业全要素生产率;did是个体虚拟变量treated与时间虚拟变量time的交互项;control为控制变量;i代表个体企业;t代表时间;γ为时间固定效应;μ为个体固定效应;ε为随机误差项。

(2)变量定义。全要素生产率为被解释变量。目前,关于衡量制造业企业高质量发展的指标并没有统一标准。Mei等[23]对经济增长质量进行测度时发现,全要素生产率可以代表经济增长质量;贺晓宇等[24]认为实现经济高质量发展,关键是要提高全要素生产率。此外,也有学者运用多种指标构建制造业高质量发展评价体系。杜金柱[25]构建了经济效益、创新效率和绿色发展3个一级指标与生产总值增加率、主营业务利润率等10个二级指标。支持单一指标法的学者认为单一指标法较为客观且操作性强,而多指标法是基于主观分析的结果,不同理解下测算结果差异较大,所得出的结论稳定性不强。支持多指标法的学者认为多指标法更能充分反映企业高质量发展的内涵与特点,而单一指标法是基于中间变量得出的,仅反映企业为其高质量发展而作出的努力,并不能真正反映企业高质量发展水平。两种测量方法均有其优越性与局限性。本文选择“全要素生产率”这一操作性较强的单一指标,用来衡量制造业企业高质量发展。该指标不仅与“中国制造2025”中提升制造业竞争力、创新力及企业全要素生产与质量优先的发展理念相一致,而且可反映生产投入转化为产出的总体效率[26]

国内外学者计算全要素生产率的方式有所不同,其中,OLS法和FE法并不能很好地解决内生性问题。OP法要求企业真实投资必须大于0,这一限制导致计算过程中损失了很多企业样本。LP法不仅可以解决内生性问题和样本选择问题,而且在OP法的基础上通过替换变量的办法解决了样本损失问题,研究者还可以根据数据特点,灵活选择代理变量(任胜钢等,2019)。因此,本文借鉴王杰等(2014)的相关研究,采用Levinsohn-Petrin(LP)法,通过对数柯布—道格拉斯生产函数估计全要素生产率,具体公式如下:

lnYit=β0+β1lnKit+β2lnLit+β3lnMit+εit

(2)

此外,本文借鉴白燕飞等[16]和朱金梦[27]的计算方法定义各变量。其中,Y为总产出,以营业收入衡量;K为资本投入,以固定资产净额衡量;L为劳动力投入,以员工人数衡量;M为中间投入,以购买商品、接受劳务支付的现金衡量。

did是解释变量,即浙江省“亩均论英雄”产业政策实施的企业个体虚拟变量与浙江省“亩均论英雄”产业政策实施时间的虚拟变量的乘积,记作did。浙江省制造业企业为实验组,记作1,广东省制造业企业为对照组,记作0。

2006年“亩均论英雄”产业政策由浙江省绍兴市柯桥区提出,随后绍兴市作为该政策的第一个试点城市。2013年浙江省将海宁市作为以“亩产效益”为导向的资源要素市场化配置改革试点。2014年浙江省人民政府印发了《关于推广海宁试点经验加快推进资源要素市场化配置改革的指导意见》,选择全省24个县(市、区)进行“亩产论英雄”试点改革,并于2015年将此改革在全省推广。因此,本文将时间节点分为3个部分:第一部分为2003-2012年,城市为绍兴市;第二部分为2013年,城市为海宁市;第三部分为2014-2022年,城市为浙江省其余城市。2015年“亩均论英雄”在全省逐步推广,考虑到2014年浙江省“亩均论英雄”产业政策试点城市增加,可能对其它城市产生导向作用,因此将2014-2022年作为第三批政策冲击的时间。

本文参考李甜甜等[28]的研究,选取以下控制变量:资产负债率(Lev)、净资产收益率(Roa)、净利润增长率(Npgr)、企业年龄(Age)、董事会规模(Bosize)和第一大股东持股比例(Spls)。具体变量定义见表2。

表2 控制变量定义

Table 2 Control variable definitions

变量名称变量符号说明资产负债率Lev总负债/资产总计净资产收益率Roa净利润/资产总计净利润增长率Npgr(本期净利润-上期净利润)/上期净利润企业年龄AgeLn(本年年份-企业成立年份)董事会规模Bosize董事会人数第一大股东持股比率Spls第一大股东持股数/全部股东持股数

3 实证结果分析

3.1 基准回归

“亩均论英雄”产业政策对浙江省制造业企业高质量发展的回归结果如表3所示。其中,列(1)为核心解释变量回归结果,控制个体、时间固定效应后,did回归系数为0.038 4,并且在1%水平上显著,说明“亩均论英雄”产业政策对浙江省制造业企业全要素生产率具有显著促进作用。列(2)为加入控制变量后的回归结果,did与企业全要素生产率在1%水平上显著正相关,回归系数为0.047 8,这进一步说明“亩均论英雄”产业政策显著提升浙江省制造业企业全要素生产率,有利于推动其实现高质量发展。

表3 基准回归结果

Table 3 Benchmark regression results

注:***、**、*分别表示1%、5%和10%的显著性水平,下同

变量 (1)(2)(3)(4)(5)(6)TFPTFP99%95%滞后一期滞后二期L.did0.046 6***[4.02]L2.did0.049 6***[4.12]did0.038 4***0.047 8***0.051 6***0.055 3***[3.40][4.24][5.01][5.63]Lev0.211***0.242***0.252***0.196***0.221***[8.96][11.06][11.66][7.40][7.64]Roa0.002 33**0.919***0.899***0.035 8***0.032 1***[2.54][25.45][23.07][5.15][4.62]Npgr0.000 171-0.002 50*-0.001 450.000 1380.000 189[1.34][-1.72][-0.85][1.10][1.49]Age0.008 140.014 2**0.020 4***0.038 5***0.056 8***[1.21][2.32][3.65][3.47][3.49]Bosize0.054 6**0.055 7***0.048 6**0.046 0*0.052 0*[2.48][2.59][2.34][1.84][1.91]Spls0.000 271-0.000 003 91-0.000 1310.000 491*0.000 523*[1.12][-0.02][-0.58][1.85][1.85]截距项6.462***6.243***6.143***6.142***6.223***6.175***[1 407.82][127.90][129.02][133.85][108.13][92.26]个体效应控制控制控制控制控制控制时间效应控制控制控制控制控制控制N7 0367 0367 0367 0365 5904 749R20.7890.7930.8170.8100.8120.813

综上所述,“亩均论英雄”产业政策的实施与浙江省制造业企业全要素生产率呈显著正相关关系,即“亩均论英雄”产业政策的实施可以促进浙江省制造业企业高质量发展,验证了假设H1

3.2 平行趋势检验

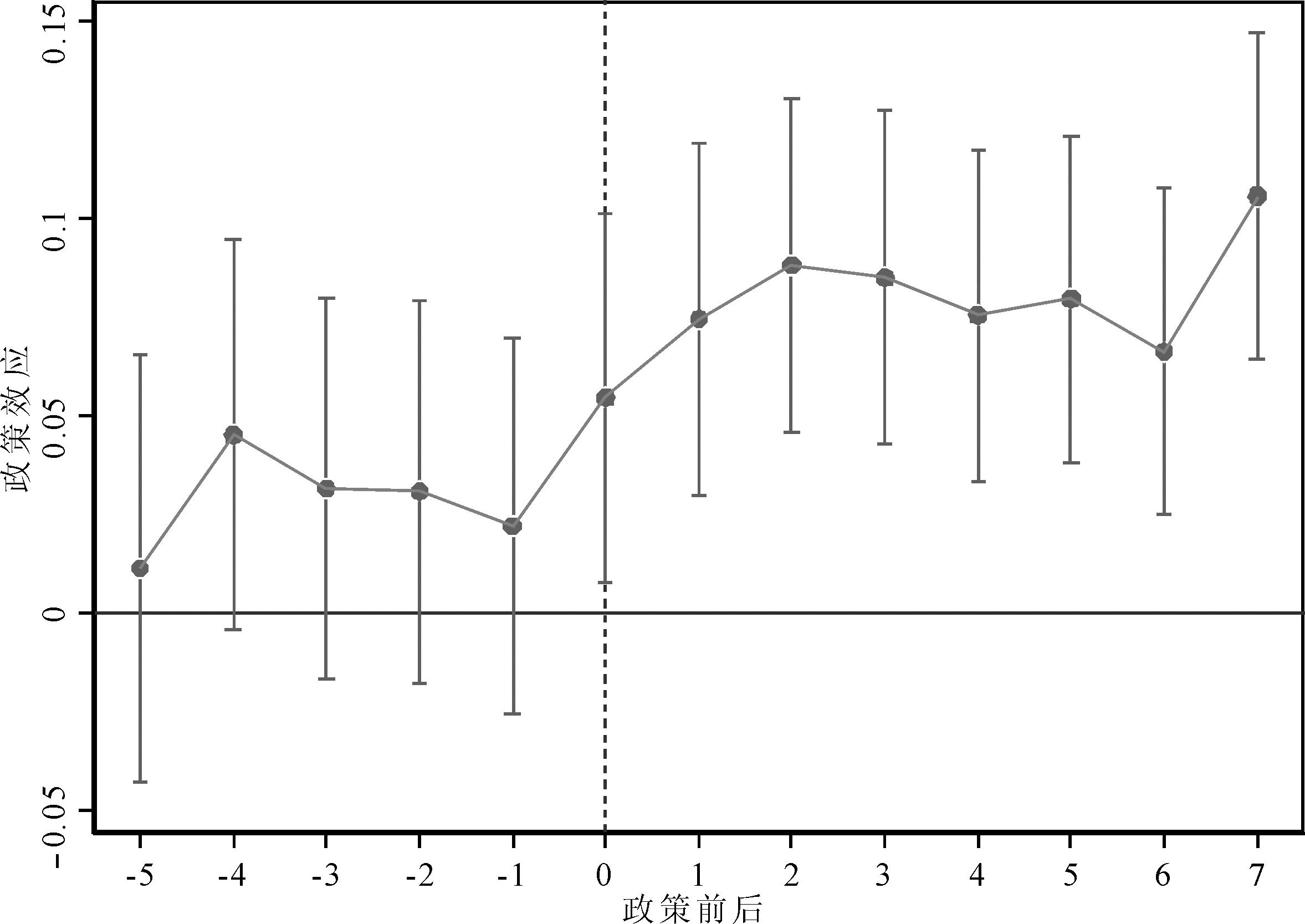
为进一步检验结果的稳健性,本文利用事件研究法对回归结果进行平行趋势检验。由于浙江省“亩均论英雄”产业政策实施前6年和后8年的相关数据较少,因此将政策实施前6年的数据汇总到第-6期,将政策实施后8年的数据汇总到第8期。为避免完全共线性的影响,以第-6期为基期,并对估计设定95%的置信区间,结果如图2所示。政策冲击前和当期系数均不显著,表明浙江省和广东省在浙江省实施“亩均论英雄”产业政策前没有显著差异。从政策后第一年开始,系数为正,并且保持显著,说明研究样本通过了平行趋势检验。

图2 平行趋势检验

Fig.2 Parallel trend test

3.3 稳健性检验

(1)样本数据筛选。极端值可能对基准回归结果产生影响,因此对样本分别进行1%和5%的缩尾后重新进行回归,结果见表3列(3)(4)。剔除极端值后,did系数的估计值分别为0.051 6和0.055 3,并在1%水平上显著,该结果与基准回归结果一致。

(2)使用解释变量的滞后项。政策对企业全要素生产率的影响可能具有一定滞后性,因此本文对解释变量进行一期和二期滞后,并分别进行回归。表3中列(5)(6)为制造业企业全要素生产率与解释变量did滞后项的回归结果。滞后一期的did回归系数为0.046 6,在1%的水平上显著;滞后二期的did回归系数为0.049 6,在1%的水平上显著。结果表明,浙江省“亩均论英雄”产业政策对制造业企业全要素生产率具有促进作用,与基准回归结论一致,说明结果具有稳健性。

(3)安慰剂检验。为进一步验证企业全要素生产率的提高是浙江省“亩均论英雄”产业政策引起的,而不是由其它政策或者偶然因素引起,本文随机从样本中抽取500个个体作为实验组,其余企业作为对照组,使用500次随机试验进行安慰剂检验,以证明结论可靠性。结果如图3所示,估计系数符合正态分布,且分布在0附近,与真实回归系数0.047 8不符,说明结果并没有受到其它因素的干扰,基准回归通过了安慰剂检验。

图3 安慰剂检验结果

Fig.3 Placebo test results

4 进一步分析

4.1 “亩均论英雄”政策对制造业企业高质量发展的影响机理分析

由前文分析可知,浙江省“亩均论英雄”产业政策对于提高制造业全要素生产率、实现高质量发展具有重要作用,但其通过何种机理发挥作用还有待进一步研究。本文参考白燕飞等[16]的研究,将机制代理变量与did的乘积作为解释变量,并对时间和企业个体特征进行控制,构建模型如下:

TFPit=β0+β1didit×M+∑controlsit+γt+μi+εit

(3)

其中,M表示机制变量,包括企业创新质量机制(Did*PC)、企业效率变革机制(Did*TAT)和数字化转型机理(Did*Dig)。β1为交互项的系数,若系数显著,则表明该机理存在。

(1)企业创新质量机制。本文选择企业的专利被引量(PC)作为企业创新质量机制的代理变量。主要考虑两方面原因:一是专利被引量能够较为贴切地反映企业创新水平;二是我国专利申请周期较长,相较于专利申请数量和专利授权数量,采用专利被引量考察企业创新活动更具时效性。回归结果如表4所示,由列(1)可知,交互项(Did*PC)的系数显著为正,表明浙江省“亩均论英雄”政策通过提高专利被引量即创新质量,推动制造业企业实现高质量发展,假设H2a得到验证。专利被引量的提升一方面意味着该政策通过引导企业加大研发投入提升专利质量,另一方面意味着企业技术创新成果得到更广泛的认可和应用。这不仅能增强企业创新动力,还可促进技术成果转化和产业化,进一步提升制造业整体技术水平,从而推动全要素生产率提升。

表4 影响机理检验结果

Table 4 Impact mechanism test results

变量 (1)(2)(3)TFP_InnovationTFP_EfficiencyTFP_DigeitizationDid*PC0.000 056 6***[2.87]Did*TAT0.077 6***[7.54]Did*Dig0.000 357***[3.49]Lev0.200***0.213***0.201***[8.52][9.10][8.56]Roa0.002 40***0.002 33**0.002 40***[2.61][2.54][2.61]Npgr0.000 1730.000 1780.000 177[1.36][1.41][1.39]Age0.009 450.008 780.009 36[1.40][1.31][1.39]Bosize0.050 4**0.056 5**0.051 5**[2.28][2.57][2.34]Spls0.000 2370.000 2670.000 289[0.98][1.10][1.19]截距项6.271***6.236***6.263***[129.20][128.58][129.10]个体效应控制控制控制时间效应控制控制控制N7 0367 0367 036R20.7930.7950.793

(2)企业效率变革机制。企业资源配置效率提高,离不开合理有效的资产配置。总资产配置作为企业内部资产配置的组成部分之一,可以有效衡量企业资产管理质量和配置效率[29]。因此,本文参考刘艳霞[30]的研究,将总资产周转率(TAT)作为效率变革的代理变量。总资产周转率衡量企业利用总资产进行经营活动的效率,是反映企业资源配置效率的关键指标。回归结果如表4所示,列(2)表明交互项(Did*TAT)的系数显著为正,说明提高资源配置效率是促进制造业企业全要素生产率的有效方式之一,假设H2b得到验证。通过增强资产周转率并优化资源配置,企业能够更加高效地利用资源,实现生产和运营优化,进而推动全要素生产率提升,并为企业可持续发展奠定坚实基础。

(3)企业数字化转型机制。本文将企业有关数字化转型的词频(Dig)作为数字化转型机制的代理变量。首先,收集2003—2022年浙江省上市制造业企业年度报告,将其转为文本格式后提取上市公司经营情况分析部分的文本。其次,借助Python中Jieba分词功能,按照赵宸宇[31]的关键词对文本进行处理并统计各分词词频,剔除关键词前存在的“不”“没”“未”“无”等否定词语的表达[32]。最后,对企业词频进行加总,由此构建数字化转型的代理变量。

由列(3)可知,交互项(Did*Dig)的系数显著为正,表明浙江省“亩均论英雄”政策通过推动制造业企业数字化转型,显著提升企业发展质量,假设H2c得到验证。“亩均论英雄”政策鼓励企业运用先进的信息技术如大数据、云计算、物联网等,企业可以实时监控生产进度、设备状态等,并且优化生产流程和管理模式,降低运营成本,提高生产效率。数字化转型还有利于提升企业创新能力,借助数字化平台,企业可以更加便捷地与外部合作伙伴进行协同创新,共同开发新技术、新产品。因此,“亩均论英雄”政策能够通过提升制造业企业数字化转型程度,促使企业实现生产方式升级以及创新能力提升,从而提升企业全要素生产率,实现高质量发展。

4.2 异质性检验

(1)产权性质异质性分析。本文将样本分为国有制造业企业和非国有制造业企业进行分组回归,结果见表5。列(1)(2)显示,“亩均论英雄”产业政策的实施显著促进浙江省国有和非国有制造业企业高质量发展。比较可知,浙江省国有制造业企业did的回归系数较高,表明“亩均论英雄”产业政策对浙江省制造业企业高质量发展的影响中,国有制造业企业的作用效果大于非国有制造业企业,假设H3a得到验证。其原因可能是国有制造业企业作为国家控股或参股的企业,因其产权性质特殊,往往对地方政府的产业政策响应更为积极,更愿意配合政策调整自身发展战略。在浙江省“亩均论英雄”产业政策实施过程中,国有制造业企业可能更能充分利用政策资源,实现高质量发展。此外,国有制造业企业通常拥有更为丰富的资源和更强的实力,这使得它们在应对政策调整时更具优势。相比之下,非国有制造业企业可能由于规模、资源等方面的限制,在响应“亩均论英雄”产业政策时存在一定困难。因此,在政策实施过程中,国有制造业企业的作用效果更为突出。

表5 企业产权、规模、要素密集度异质性分析结果

Table 5 Heterogeneity analysis of firm property rights, scale and factor intensity

变量 (1)(2)(3)(4)(5)(6)国有企业非国有企业小规模企业大规模企业技术密集型企业非技术密集型企业did0.099 7***0.038 3***0.038 7**0.050 8***0.038 8***0.071 8***[3.45][3.08][2.05][3.06][2.58][4.34]Lev0.240***0.201***0.130***0.169***0.265***0.167***[3.94][7.70][3.41][4.95][8.68][4.60]Roa0.431***0.002 38***0.002 04**0.362***0.001 78*0.395***[7.21][2.64][2.39][11.79][1.84][11.51]Npgr-0.000 021 90.000 070 80.000 016 6-0.000 1700.000 473**-0.000 176[-0.08][0.47][0.11][-0.83][2.18][-1.20]Age-0.028 5-0.002 21-0.014 90.014 30.005 660.011 9[-1.26][-0.30][-1.47][1.20][0.66][1.12]Bosize0.065 90.050 9**0.008 310.002 880.086 0***-0.011 6[1.18][2.11][0.27][0.09][3.15][-0.32]Spls-0.000 008 550.000 4340.000 288-0.000 068 10.000 2560.000 387[-0.02][1.56][0.76][-0.22][0.84][1.01]截距项6.310***6.258***6.237***6.488***6.169***6.333***[45.00][117.69][93.12][86.98][101.47][11.58]个体效应控制控制控制控制控制控制时间效应控制控制控制控制控制控制N1 0285 9923 4273 4984 6062 430R20.8060.7990.7730.7900.7940.810

(2)企业规模异质性分析。本文参考胡宇曦[33]的方法,将浙江省制造业企业规模基于企业资产中位数进行划分,大于中位数为大规模制造业企业,反之则为小规模制造业企业。如表5所示,列(3)(4)显示,“亩均论英雄”产业政策的实施显著促进浙江省小规模和大规模制造业企业高质量发展。比较可知,浙江省大规模制造业企业did的回归系数较高,表明“亩均论英雄”产业政策对浙江省制造业企业高质量发展的影响中,大规模制造业企业的作用效果大于小规模制造业企业,假设H3b得到验证。其原因可能是一方面大规模制造业企业综合实力较强,生产经营较为成熟,所承担的社会责任更重,因此,对“亩均论英雄”产业政策的响应更为积极;另一方面,该政策强调资源的有效利用和高产值的实现,与大规模制造业企业的发展目标、战略方向高度契合,它们对政策资源的利用更加充分。相比之下,小规模制造业企业在资源、技术和管理等方面存在一定局限性,限制对产业政策的响应能力和效果。但是,小规模制造业企业也在该政策的推动下,努力提升自身发展质量,为实现产业升级和转型作出积极贡献。

(3)要素密集度异质性分析。由表5可知,“亩均论英雄”产业政策无论是对浙江省技术密集型制造业企业还是非技术密集型制造业企业高质量发展均呈现显著正向作用。在1%显著水平上比较did系数可知,浙江省“亩均论英雄”产业政策对制造业企业高质量发展具有促进作用,并且这种促进效应在非技术密集型企业中更为突出,假设H3c得到验证。其原因可能是对于非技术密集型企业而言,虽然其技术创新投入、技术水平和创新能力相对较低,但它们不需要面临更高的技术壁垒和竞争压力,而更关注生产效率和成本控制。“亩均论英雄”产业政策强调资源利用效率提升,这与非技术密集型企业的实际需求高度契合。因此,非技术密集型企业能够更快地响应政策,通过优化生产流程、提高管理水平等实现高质量发展。

5 结论与对策建议

5.1 研究结论

本文使用2003-2022年国泰安数据库中浙江省与广东省制造业企业的微观面板数据,以制造业上市公司为实证分析对象,从企业全要素生产率的角度对浙江省“亩均论英雄”产业政策效果进行评估,并探究其中的影响机理与异质性影响因素,得出以下结论:

(1)浙江省“亩均论英雄”产业政策通过提高制造业企业创新质量、优化资源配置效率和引导制造业企业数字化转型,推动制造业企业高质量发展。其中,提高创新质量和优化资源配置效率可以从根本上推动全要素生产率提升,增强企业核心竞争力,而数字化转型有助于提升企业生产效率和管理效率。

(2)在创新质量、效率变革、数字化转型3种机制中,效率变革推动制造业企业实现高质量发展的作用最强,数字化转型次之,创新质量的作用最弱。

(3)浙江省制造业企业中,国有企业、大规模企业和非技术密集型企业的“亩均论英雄”产业政策影响效果更强。

5.2 管理启示

(1)完善创新驱动发展配套政策措施,提高制造业企业创新质量。政府实施“亩均论英雄”产业政策,一方面应建立有利于制造业企业技术创新的普惠性财税金融支持机制,如鼓励当地银行设立“亩均论英雄专项贷款”,并针对制造业企业亩均效益评价结果,实施差异化水电气补贴、土地使用税、房产税等奖励机制。另一方面,政府可以设立以亩均效益领跑企业为中心的“亩均论英雄”示范区,增加以园区为单位的“亩均论英雄”评价体系,加强园区内企业创新资源流动与汇聚,促进制造业企业技术壁垒突破与科技成果转化,提高制造业企业整体创新质量。

(2)推进数字化转型,缩小企业间差距。政府应完善数字化基础设施建设,建立数字化企业与传统企业生态共生网络,使得处于不同领域、不同产业链层级的制造业企业能够共享资源、互通有无,实现技术创新和产业升级的协同发展,从而缩小国有与非国有制造业企业、大规模与小规模制造业企业、技术密集型与非技术密集型制造业企业间差距,实现规模经济效益。此外,政府需充分利用互联网与大数据技术,构建完善的市级、省级“亩均论英雄”大数据平台,通过该平台实时、精准地记录企业亩均效益评价结果,为政策制定和资源配置提供有力的数据支撑。

(3)围绕“因企制宜”,加强“亩均论英雄”产业政策顶层设计。首先,政府应明确当地的资源优势、产业基础、市场需求和人才储备等现实情况,广泛收集参评“亩均论英雄”企业的诉求与意见,确保该产业政策真正激发制造业企业高质量发展动力。其次,政府应定期举办“亩均论英雄”产业政策解读会,针对不同所有制、不同规模、不同要素密集度的企业进行“一对一”帮扶,将政策普惠性与个性化有机结合,发挥有为政府的指导作用。最后,政府应加强对“亩均论英雄”产业政策实施情况的监督管理,建立政策效果评估和反馈机制,及时发现问题并进行调整优化,确保产业政策真正落地生效,促进制造业企业高质量发展。

5.3 不足与展望

本文存在如下不足:首先,研究范围仅限于浙江省,没有考虑该政策在其它地区的推广效果。随着该政策的逐步推广和实施,未来可以进一步扩大研究区域,更全面地评估其在全国范围内的效果和影响力,了解其在不同地区、不同行业之间的差异和影响,为政策制定提供更为全面和准确的数据支持。其次,本文选择全要素生产率作为制造业企业高质量发展的衡量指标,是根据我国目前制造业企业高质量发展现状和数据的可获得性而确定的。随着制造业企业高质量发展的深入推进和数据的不断完善,未来可以进一步丰富和完善企业高质量发展指标体系,使其更具有综合性和科学性。

参考文献:

[1] 余东华.制造业高质量发展的内涵、路径与动力机制[J].产业经济评论,2020,8(1):13-32.

[2] 韩剑,郑秋玲.政府干预如何导致地区资源错配——基于行业内和行业间错配的分解[J].中国工业经济,2014,32(11):69-81.

[3] 盖庆恩,朱喜,程名望,等.要素市场扭曲、垄断势力与全要素生产率[J].经济研究,2015,50(5):61-75.

[4] 侯方宇,杨瑞龙.产业政策有效性研究评述[J].经济学动态,2019,60(10):101-116.

[5] 金宇超,施文,唐松,等.产业政策中的资金配置:市场力量与政府扶持[J].财经研究,2018,44(4):4-19.

[6] 钟廷勇,何玲,孙芳城.产业政策对企业全要素生产率的影响研究[J].经济纵横,2019,35(12):86-98.

[7] 张敬文,童锦瑶.数字经济产业政策、市场竞争与企业创新质量[J].北京工业大学学报(社会科学版),2023,23(1):125-136.

[8] LENA D, PASURKA C A, CUCCULELLI M. Environmental regulation and green productivity growth: evidence from Italian manufacturing industries[J]. Technological Forecasting and Social Change, 2022,54(184): 121993.

[9] AGHION P, SCHANKERMAN M. On the welfare effects and political economy of competition-enhancing policies[J]. The Economic Journal, 2004, 114(498): 800-824.

[10] ALBRIZIO S, KOZLUK T, ZIPPERER V. Environmental policies and productivity growth: evidence across industries and firms[J]. Journal of Environmental Economics and Management, 2017,44(81): 209-226.

[11] JONGWANICH J, KOHPAIBOON A. Effectiveness of industrial policy on firm productivity: evidence from Thai manufacturing[J]. Asian-Pacific Economic Literature, 2020, 34(2): 39-63.

[12] ATKESON A, BURSTEIN A. Aggregate implications of innovation policy[J]. Journal of Political Economy, 2019, 127(6): 2625-2683.

[13] 邓慧慧,赵晓坤,李慧榕.土地资源优化配置如何影响经济效率——来自浙江省“亩均论英雄”改革的经验证据[J].中国土地科学,2020,34(7):32-42.

[14] 金文.浙江省“亩均论英雄”改革政策研究[D].武汉:华中师范大学,2019.

[15] 王正新,龚吉明,严祥武.资源要素差别化配置的产业升级效应——基于“亩均论英雄”改革的经验研究[J].浙江社会科学,2022,38(12):26-36,156.

[16] 白燕飞,翟冬雪,吴德林,等.产业政策与企业高质量发展[J].经济经纬,2022,39(5):78-88.

[17] 许志勇,韩炳,彭芸,等.企业金融化、技术创新与企业高质量发展[J].科研管理,2023,44(6):74-84.

[18] 张威,王竹泉.资金管理的财务分析体系研究——助推企业高质量发展[J].财会通讯,2022,43(16):16-21.

[19] 赵宸宇,王文春,李雪松.数字化转型如何影响企业全要素生产率[J].财贸经济,2021,42(7):114-129.

[20] 吴功兴.研发机构规模对创新质量影响效应的统计测度与评价研究[D].杭州:浙江工商大学,2022.

[21] 董屹宇,郭泽光.风险资本与企业技术创新——基于要素密集度行业差异性的研究[J].财贸研究,2021,32(8):99-110.

[22] HABIB M, ABBAS J, NOMAN R. Are human capital, intellectual property rights, and research and development expenditures really important for total factor productivity? an empirical analysis[J]. International Journal of Social Economics,2019,46(6):756-774.

[23] MEI L, CHEN Z. The convergence analysis of regional growth differences in China: the perspective of the quality of economic growth[J]. Journal of Service Science and Management, 2016, 9(6): 453-476.

[24] 贺晓宇,沈坤荣.现代化经济体系、全要素生产率与高质量发展[J].上海经济研究, 2018,37(6):25-34.

[25] 杜金柱,吴战勇,扈文秀,等.数字经济与制造业高质量发展:影响机制与经验证据[J].统计与决策,2023,39(7):5-10.

[26] 韦庄禹,李毅婷,武可栋.数字经济能否促进制造业高质量发展——基于省际面板数据的实证分析[J].武汉金融,2021,41(3):37-45.

[27] 朱金梦.环境规制、技术创新与企业全要素生产率[D].杭州:浙江大学,2018.

[28] 李甜甜,李金甜.绿色治理如何赋能高质量发展:基于ESG履责和全要素生产率关系的解释[J].会计研究,2023,44(6):78-98.

[29] 杨秀云,韩奇.公共数据开放能提升企业全要素生产率吗[J].证券市场导报,2023,33(12):18-30.

[30] 刘艳霞.数字经济赋能企业高质量发展——基于企业全要素生产率的经验证据[J].改革,2022,33(9):35-53.

[31] 赵宸宇.数字化发展与服务化转型——来自制造业上市公司的经验证据[J].南开管理评论,2021,24(2):149-163.

[32] 吴非,胡慧芷,林慧妍,等.企业数字化转型与资本市场表现——来自股票流动性的经验证据[J].管理世界,2021,37(7):130-144,10.

[33] 胡宇曦.“营改增”对制造业企业全要素生产率的影响研究[D].上海:中共上海市委党校,2022.

(责任编辑:万贤贤)