Green technology innovation, as an important force and key means to promote economic green transformation and realize sustainable development, can not only improve resource utilization efficiency and reduce pollutant emissions through R&D and application of environmental protection technologies to achieve sustainable economic growth, but also drive employment and economic growth and form new economic growth points, thus helping to achieve synergistic effects of pollution reduction and carbon reduction. However, at present, China's green technology innovation is confronted with many obstacles, such as insufficient investment in technology research and development, limited policy support, imperfect market mechanisms, and difficulty in technology transformation, and thus it can not effectively play its key role in economic transformation and upgrading and ecological environmental protection. In this context, this study aims to deeply explore the influence mechanism of the synergistic efficiency of green technology innovation and pollution reduction and carbon reduction, identify the key influencing factors, assess the effectiveness of policy measures, and provide theoretical support and practical guidance for the realization of green development. Through systematic analysis and empirical research, it reveals the path and effect of green technology innovation in environmental protection and carbon reduction, and provides a basis for the government to formulate scientific and reasonable policy measures.
This study selects panel data from 282 Chinese cities from 2006 to 2022. Using the EBM model and the coupling synergy model, it measures the synergistic effects of pollution and carbon emission reduction in cities. Following innovation economics theory and externality theory, the study elucidates the mechanisms by which green technology innovation affects the synergistic of pollution and carbon reduction through the technology-driven effect and dual externality effect, and proposes research hypotheses. Furthermore, an econometric model is constructed to empirically test these hypotheses and explore spatial correlations. The main empirical findings are as follows: (1) benchmark regression and heterogeneity analysis results indicate that green technology innovation significantly enhances the synergistic effects of pollution and carbon reduction, with more pronounced effects in the western regions, low-carbon pilot cities, and non-resource-based cities;(2) the mediation mechanism test results show that green technology innovation improves the synergistic effects of pollution and carbon reduction through pathways such as optimizing the energy consumption structure, promoting industrial upgrading, and increasing foreign direct investment; (3) spatial heterogeneity analysis reveals significant spatial distribution differences in the effects of green technology innovation on the synergistic effects of pollution and carbon reduction. It positively impacts most cities, with more significant effects in some cities in North China and Central-South China.
Theoretical analysis and empirical test results effectively demonstrate the significant role of green technology innovation in enhancing the synergistic effects of pollution reduction and carbon emission reduction. Given the current status and goals of urban development in China, this paper proposes some strategic recommendations. Governments at all levels should establish reward and penalty systems to incentivize enterprises to engage in green technology innovation. Utilizing market mechanisms to promote resource and information sharing will enhance the efficiency of green technology commercialization. Additionally, adjusting energy structures and promoting industrial upgrading are crucial. Furthermore, efforts should be made to promote the use of clean energy and facilitate the transformation and upgrading of energy-intensive enterprises to foster green and low-carbon industrial development. Attracting foreign direct investment can help alleviate corporate financing issues, and it is necessary to improve the compensation mechanism for green technology innovation.
当前,全球环境问题日益严峻,节能降碳成为世界性热点议题。2020年9月,习近平主席在第75届联合国大会提出我国在2030年前碳达峰、2060年前碳中和目标,彰显了大国责任和担当[1]。《中共中央 国务院关于深入打好污染防治攻坚战的意见》提出“构建新发展格局,以实现减污降碳协同增效为总抓手”“深入打好污染防治攻坚战”;2022年生态环境部等部门联合印发《减污降碳协同增效实施方案》,再次对推动减污降碳协同增效进行系统谋划,明确目标任务和实施机制;同年,党的二十大报告提出“协同推进降碳、减污、扩绿、增长,推进生态优先、节约集约、绿色低碳发展”。绿色技术创新是绿色低碳发展的重要动力,如何依托绿色技术创新促进城市绿色低碳发展,进而实现减污降碳协同增效成为当前工作重点。本文试图科学评估各区域减污降碳协同效应,并从理论和实证角度探究绿色技术创新对减污降碳协同效应的影响机理,对于中国实现高质量发展和“双碳”目标具有重要指导意义,可为各城市相关政策制定和实践操作提供科学依据及决策支持。
目前,学术界对减污降碳协同效应内涵和绿色技术创新影响效应进行了积极研究。协同效应最早由德国物理学家Haken[2]提出,他认为协同效应是指相互作用或配合的整体产生的效果大于各自作用的总和。当协同效应应用于减污降碳相关研究时,不同组织机构基于不同视角对其赋予不同含义。政府间气候变化专门委员会(IPCC)指出协同效应是因减缓温室气体排放政策而产生的非气候效益[3];美国环境保护局(U.S.EPA)提出协同效应是实施气候变化减缓政策后所带来的有效效益[4];生态环境部环境与经济政策研究中心(PRCEE)认为协同效应包括两个方面:一是在减少温室气体排放的同时减少其它污染物排放;二是在控制局域污染物排放过程中有效控制CO2及其它温室气体排放[5]。关于减污降碳协同效应测度,目前多数学者使用碳排放效率或污染物排放效率等单一指标进行衡量。如Wu等[6]将废水排放、废气排放和固体废物排放视为非期望产出,并使用SBM模型测度2001—2018年196个地级市节能减排效率;Liu等[7]使用SBM-ML模型测度长江三角洲区域碳排放效率发现,碳排放效率呈现空间集聚效应。也有部分学者综合采用减污效率和降碳效率衡量减污降碳协同效应。如刘茂辉等[8]、Gao等[9]、俞珊等[10]基于CO2和大气污染物减排率构建交叉弹性指数,并结合协同控制坐标系法进行比较分析;唐湘博等[11]、Nie等[12]利用耦合协调度模型评价碳减排系统和大气污染控制系统之间的协同发展情况,探析系统整体功效以及不同地区减污降碳协调度差异;狄乾斌等[13]、Yi 等[14]通过构建减污降碳协同治理评价指标体系,在计算各城市子治理系统有序度的基础上,运用复合系统协同度模型测算减污降碳整体协同度;张瑜等[15]采用中国省级面板数据,通过构建面板回归模型研究减污降碳协同效应,用估计系数反映减污降碳政策带来的减污效应。
关于绿色技术创新与减污降碳协同效应,大多数学者围绕绿色技术创新对污染物排放或碳排放的影响进行积极探索。其中,许多学者认为绿色技术创新能提升减污和降碳绩效。如Apergis等[16]认为技术变革是影响碳减排的重要因素;董直庆等[17]基于内生增长理论建模发现,清洁技术创新有利于提升环境质量;Lee等[18]认为绿色技术能有效减少日本制造业碳排放量;李文超等[19]认为绿色技术创新通过影响能效和能耗减少碳排放量。还有部分学者根据环境库兹涅茨曲线,认为绿色技术创新与减污降碳之间存在非线性关系。如马海韵等[20]认为,低碳技术应用受特定社会和经济环境的约束;Du等[21]认为绿色技术创新对碳排放量具有显著正向影响,且存在收入水平的单一阈值;Schleich等[22]研究发现,只有当经济发展水平较高时,绿色技术创新才能对减碳降排发挥积极影响作用。
综上所述,现有文献主要探讨减污降碳协同效应测度及绿色技术创新对碳排放或污染物排放的影响,鲜有研究探讨绿色技术创新与减污降碳协同效应。基于此,本文边际贡献在于:①在测度方法上,使用EBM模型中的数据包络分析法测度中国内地282个城市减污效率和降碳效率,并使用耦合协调度模型测算城市减污降碳协同效应,有助于丰富现有研究成果;②在研究内容上,聚焦绿色技术创新驱动效应和双重外部性效应,从理论和实证角度探究绿色技术创新对减污降碳协同效应的影响,并进一步探究能源消费结构、产业结构和外商直接投资的中介作用,有助于拓展研究深度;③在研究方法上,基于莫兰指数探究两者之间的空间关联性,并构建多尺度地理加权回归模型探讨作用效果的空间异质性,有助于丰富研究视角。
绿色技术创新是指在遵循生态原理和可持续发展经济规律下,以降低污染、改善环境为目的开展的一系列创新活动[23]。绿色技术创新除具有创造性、革新性等一般创新活动所具有的特征外,其还具有独特的双重外部性特征(技术溢出效应和污染物排放效应)[24]。基于创新经济学理论和外部性理论,本文认为绿色技术创新通过技术驱动效应和双重外部性效应提升减污降碳协同效应。
一方面,创新经济学理论认为技术创新是推动经济增长和产业转型的重要动力[25],绿色技术创新作为特殊的创新种类同样具有创新驱动效应。在减污降碳领域,绿色技术创新作用于生产端,通过降低资源消耗量和减污成本实现清洁生产,从而减少生产过程中的污染物排放。同时,绿色技术创新还能提高产品生产效率,降低绿色产品价格,缩小绿色产品与传统产品的价格差异,从而提高绿色产品公众认可度,助力公众进行绿色消费,进而实现碳减排效应。
另一方面,外部性理论认为社会上某些个体行为可能会对其他个体产生正向或负向影响,绿色技术创新作为一种特殊的公共物品,具有技术溢出效应和污染物外部效应双重外部性特征。其中,技术溢出效应是影响创新活动地理集聚的重要因素[26]。根据技术外溢来源和市场类型不同,将技术溢出效应划分为MAR外部性和Jacobs外部性两种类型。从MAR外部性看,绿色技术创新作用于产业链供应链,通过集聚专业化产业加强产业链企业间合作,实现生产要素自由流通,促进整个产业链供应链体系碳排放持续下降,进而推动绿色生产。从Jacobs外部性看,绿色技术创新在不同产业链存在不同溢出效应,有助于生产要素、基础设施和绿色技术在企业间共享,并在研发固碳、节能技术等方面形成互补,最终促进产业链绿色转型升级。同时,绿色技术创新通过污染排放效应产生环境效益。绿色技术创新通过改进产品、服务或生产方式等途径推动资源节约利用、减少污染物排放、提高环境绩效,缓解因环境污染带来的人体健康、能源安全等社会风险,最终实现减少污染物和碳排放、增进效益的目标。据此,本文提出如下假设:
H1:绿色技术创新对减污降碳协同效应具有积极影响。
根据上述分析,本文构建绿色技术创新对减污降碳协同效应的影响模型,如图1所示。
图1 绿色技术创新对减污降碳协同效应的直接影响
Fig.1 Direct impact of green technology innovation on the synergistic effect of pollution reduction and carbon reduction
2.2.1 绿色技术创新、能源消费结构与减污降碳协同效应
绿色技术创新可推动能源消费结构优化升级从而增强减污降碳协同效应。一方面,绿色技术创新通过发挥技术推动效应和溢出效应,促使能源消费结构优化升级;通过开发和应用环境友好型技术,促进能源供给侧结构性改革,在可再生能源技术的引领下减少对煤炭消费的依赖,推动能源消费结构向节能降耗模式发展。同时,绿色技术创新溢出效应还能带动新兴能源产业发展[27],形成低碳产业链供应链,增加能源消费结构中的清洁能源占比,从而改变能源消费结构。另一方面,根据能源替代理论,微观个体生产活动中各种能源之间存在明显替代效应[28],不断优化能源消费结构可加大清洁能源消费,从而替代传统不可再生煤炭等自然资源,发挥节能降耗效应,提高资源利用效率,从而减少CO2和总悬浮颗粒物等大气污染物排放量,进而提升减污降碳协同效应。综上所述,绿色技术创新通过优化能源消费结构促进减污降碳协同效应提升,进而实现经济可持续发展。据此,本文提出如下假设:
H2:绿色技术创新通过推动能源消费结构升级提升减污降碳协同效应。
2.2.2 绿色技术创新、产业结构升级与减污降碳协同效应
绿色技术创新通过促进产业结构升级增强减污降碳协同效应。一方面,绿色技术创新通过技术推动效应优化生产流程、打破传统高耗能生产模式,促使企业向高技术、高附加值模式转型(徐盈之等,2021);同时,通过知识溢出效应带动相关产业链向低碳方向转型,形成全新的产业生态系统,进而促进产业结构升级。另一方面,产业结构升级带来的规模经济效应可提高资源利用效率[29],减少单位产品所产生的各类污染物。同时,随着产业结构朝着技术密集型和知识密集型方向演变,高耗能、高污染产业逐渐被淘汰,CO2及大气污染物排放量大幅降低,减污降碳协同增效作用得到有效改善。据此,本文提出如下假设:
H3:绿色技术创新通过产业结构升级提升减污降碳协同效应。
2.2.3 绿色技术创新、外商直接投资(FDI)与减污降碳协同效应
绿色技术创新可增加外商直接投资额,从而增强减污降碳协同效应。一方面,绿色技术创新通过改变传统产业生产方式和经营模式,充分发挥创新驱动效应,提高产品竞争力和附加值,增大全球资本吸引力,从而获取更多外商直接投资。并且,绿色技术创新以提供低碳技术、研发绿色设备为途径,使产业建立自身技术优势,从而增强对高质量外资的吸引力[30]。另一方面,基于污染光环假说,FDI流入能带来丰富的资金以及先进的环境友好型设备,有助于东道国企业加大环境投入力度、提高环境治理水平,进而减少大气污染物排放和碳排放[31]。同时,FDI带来的先进管理经验能提高环境管理水平,有利于企业制定相应环境管理标准,加强CO2和污染物排放管理,实现减污降碳协同增效。据此,本文提出如下假设:
H4:绿色技术创新通过提高外商直接投资提升减污降碳协同效应。
根据上述分析,本文构建绿色技术创新对减污降碳协同效应的影响机制模型,如图2所示。
图2 绿色技术创新对减污降碳协同效应的影响机制
Fig.2 Mechanism of green technology innovation on the synergistic effect of pollution reduction and carbon reduction
3.1.1 测度方法
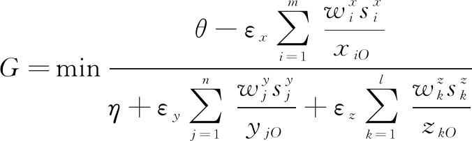
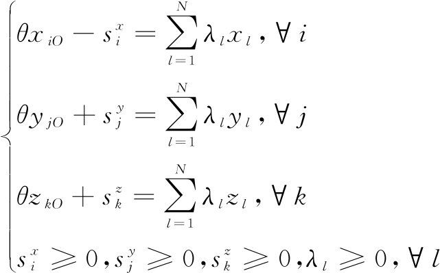
(1)减污降碳效率测算方法。EBM模型基于非参数数据包络分析方法,相对于参数方法具有消除噪声数据和异常值的优点,并且采用径向和非径向混合距离模型,相对于其它非参数模型而言测度结果更加准确。因此,本文构建EBM模型,分别测度减污效率(Eco2)和降碳效率(Eso2)。

(1)

(2)
其中,m、n、l分别代表投入变量、期望产出变量和非期望产出变量的个数,εx、εy、εz分别代表第x个投入变量、第y个期望产出变量以及第z个非期望产出变量的权重,
分别代表投入变量、期望产出变量和非期望产出变量的松弛变量。
(2)协同效应测算方法。耦合协调度模型可反映不同子系统的协同发展情况,本文参考Nie &Lee[32]的做法,使用耦合协调度模型探究减污效率和降碳效率的协同效应,模型构建如下:
![]()
(3)
Ui,t=αEco2+βEso2
(4)
![]()
(5)
其中,Ci,t代表第i个城市第t年减污效率和降碳效率之间的相互作用;Ui,t代表第i个城市第t年减污效率和降碳效率两个系统的综合协调度指数;α、β分别代表减污效率和降碳效率两个子系统的重要程度,本文认为两者减污降碳协同效应重要程度相同,即α=β=0.5;Di,t代表第i个城市第t年减污效率和降碳效率协同度,即减污降碳协同效应。
3.1.2 测度指标
CO2和污染物排放会对环境及社会造成不利影响,但这些影响未在市场交易中充分体现。因此,本文参考周五七等[33]的做法,将CO2和SO2排放量作为非期望产出,分别测算中国城市减污效率和降碳效率。除此之外,投入变量还包括资本投入、劳动力投入和能源投入,分别用固定资本存量、年末单位从业人员数和工业增加值能源消费衡量。产出变量包括期望产出和非期望产出,用实际地区生产总值衡量。
3.2.1 被解释变量
本文参考PRCEE对协同效应的论述,将减污降碳协同效应定义为同时减少CO2和SO2等大气污染物排放,进而实现双重环境效益的协同作用。本文采用减污效率、降碳效率分别衡量控制污染物和碳排放绩效,进一步采用两者耦合协调度衡量减污降碳协同效应。指数得分越高,说明减污降碳协同效应越好。
3.2.2 解释变量
绿色技术创新是指以减少环境污染、保护生态环境为目的,对现有技术、产品等进行技术创新和管理创新。参考宋德勇等[34]的做法,绿色专利申请量代表绿色技术创新产出,因此采用万人专利申请数作为解释变量,得分越高说明该地区绿色技术创新水平越高。
3.2.3 中介变量
在理论分析的基础上,本文选取能源消费结构、产业结构和外商直接投资作为中介变量。其中,能源结构采用煤炭消费占能源消费的比重(%)取对数衡量;地级市煤炭消费量参考吴健生等[35]的做法,基于省级夜间灯光数据和能源统计数据之间的定量关联折算地市级数据;地级市能源消费量参考蔺鹏等[36]的做法,按照工业总产值占比折算地市级数据,对省级能源消耗数据取倒数并作正向化处理;产业结构升级参考付凌晖[37]的做法,运用夹角余弦法计算产业结构高级化指数衡量;外商直接投资采用实际使用外商投资额衡量。
3.2.4 控制变量
为避免遗漏重要变量对回归结果造成的不良影响,本文选取以下5个控制变量:①金融发展水平:发达的金融市场能提供更多金融支持和创新工具,更有利于绿色技术创新和减污降碳协同效应提升,参考周立等[38]的做法,用金融机构人民币贷款余额与GDP比值衡量;②政府干预程度:政府在低碳发展中起重要作用,通过投资和税收优惠政策促进低碳项目发展,从而提升减污降碳效率,参考林伯强等[39]的做法,用政府财政支出占GDP的比值衡量;③基础设施建设:基础设施尤其是交通基础设施完善能有效减少道路拥堵和尾气排放,从而降低空气污染和碳排放,参考程中海等[40]的做法,用年末实有城市道路面积的对数衡量;④互联网发展水平:互联网发展能提高工作效率、资源利用效率和能源利用效率,从而对碳排放和环境污染产生积极影响,参考汪东芳等(2019)的做法,采用互联网宽带接入用户数对数衡量;⑤职工平均工资:平均工资水平高会使人们更倾向于消费高能耗、高排放产品和服务,从而不利于减污降碳效率提升。
3.3.1 基准回归模型
为探究绿色技术创新与减污降碳效率的作用效果,本文使用双固定效应计量模型进行实证检验,模型构建如下:
Dit=α0+α1Ingraveit+βControlit+μi+νt+εit
(6)
其中,Dit为被解释变量,表示第i个城市第t年的减污降碳协同效应;Ingraveit为核心解释变量,表示第i个城市第t年的绿色技术创新水平,其系数表示绿色技术创新对减污降碳效应的影响效应;Contralit为控制变量,μi、vt分别代表个体固定效应和时间固定效应,εit为随机扰动项。
3.3.2 中介效应检验模型
为进一步探究能源消费结构、产业结构升级和外商直接投资对绿色技术创新与减污降碳协同效应是否存在显著中介效应,本文参考温忠麟等[41]的做法,使用三步法检验中介效应显著性,模型构建如下:
Zit=γ0+γ1Ingraveit+βControlit+μi+νt+εit
(7)
Dit=γ0+γ1Ingraveit+γ2Zit+βControlit+μi+νt+εit
(8)
其中,Zit为中介变量,表示第i个城市第t年的能源结构、产业结构和外商直接投资;γ1表示绿色技术创新对中介变量的作用效果,若γ1显著说明该中介变量发挥显著中介效应。
本文使用2006—2022年中国内地282个地级市作为研究对象,数据来源于《中国城市统计年鉴》《中国能源统计年鉴》、城市统计公报和中国研究数据平台(CNRDS)等。为保证实证结果可信度,对缺失值较多地级市予以剔除,对有少量缺失值的地级市采用线性插补方式补齐,变量描述性统计结果如表1所示。
表1 变量描述性统计结果
Table 1 Descriptive statistics of variables
变量名称 变量符号 N平均值方差最小值最大值减污降碳协同效应D4 7940.6090.0950.3581.516绿色技术创新Ingrave4 7940.0090.0160.0000.179能源结构ES4 7940.0140.047-1.6932.303产业结构升级ins4 7943.0190.6391.3664.973外商直接投资fdi4 7430.0010.0020.0000.031金融发展水平fin4 7940.9650.6030.0759.622政府干预程度gov4 7940.0740.0510.0011.266基础设施建设road4 7944.5384.0701.21359.180互联网发展水平internet4 7946.2871.0364.7879.715平均工资wage4 79410.720.5617.32513.940
构建双重固定效应模型探究绿色技术创新对减污降碳协同效应的影响,结果如表2所示。由表2列(1)可知,绿色技术创新回归系数为0.956且通过显著性水平检验,说明绿色技术创新能显著提升减污降碳协同效应。同时,表2列(2)~(6)结果显示,在逐步增加控制变量后,绿色技术创新回归系数下降但仍显著为正,进一步说明绿色技术创新具有稳定的促进作用,假设H1得到验证。
表2 基准回归结果
Table 2 Benchmark regression results
注:括号内为标准差;*、**和***分别表示在10%、5%和1%水平上显著,下同
变量 (1)(2)(3)(4)(5)(6)Ingrave0.956***0.940***0.942***0.864***0.826***0.823***(0.074)(0.074)(0.074)(0.074)(0.074)(0.074)fin0.011***0.011***0.011***0.009***0.009***(0.002)(0.002)(0.002)(0.002)(0.002)gov0.058***0.058***0.037*0.037*(0.022)(0.022)(0.022)(0.022)road0.002***0.002***0.002***(0.000)(0.000)(0.000)internet-0.024***-0.024***(0.002)(0.002)wage-0.003(0.005)cons0.588***0.580***0.578***0.571***0.700***0.728***(0.003)(0.003)(0.003)(0.003)(0.012)(0.052)N4 7944 7944 7944 7944 7944 794R20.1900.1940.1960.2030.2240.224F62.02860.28257.54857.03661.62758.832p0.0000.0000.0000.0000.0000.000
(1)更换解释变量。目前,较多学者认为绿色专利包括绿色发明专利、绿色实用创新型专利等,其中绿色发明专利可衡量绿色技术创新水平。因此,本文使用绿色发明专利申请量(inn)衡量绿色技术创新水平,回归结果如表3列(1)所示。从回归结果看,绿色技术创新回归系数依然显著为正,结果通过稳健性检验。
表3 稳健性检验结果
Table 3 Robustness test regression results
变量 (1)(2)(3)(4)(5)(6)更换解释变量更换被解释变量更换估计方法缩尾处理改变样本量内生性检验Ingrave2.080***0.663***1.008***0.740***1.557***(0.752)(0.047)(0.082)(0.077)(0.108)inn1.150***(0.125)fin0.010***0.075***0.007***0.009***0.010***-0.030***(0.002)(0.024)(0.001)(0.002)(0.002)(0.003)gov0.040*0.0730.030*0.035*0.039*0.126***(0.022)(0.238)(0.016)(0.020)(0.022)(0.027)road0.002***-0.0010.002***0.002***0.002***0.002***(0.000)(0.004)(0.000)(0.000)(0.000)(0.000)internet-0.023***0.051**-0.018***-0.023***-0.023***0.032***(0.002)(0.022)(0.001)(0.002)(0.002)(0.002)wage-0.0040.036-0.007**-0.003-0.0040.002(0.005)(0.032)(0.004)(0.005)(0.005)(0.007)cons0.734***-0.703***0.865***0.725***0.727***0.412***(0.051)(0.233)(0.042)(0.047)(0.051)(0.066)N4 7304 7944 7944 7944 7264 512R20.2210.029-0.2380.2150.238F56.98022.748-63.81255.18566.867p0.0000.000-0.0000.000-
(2)更换被解释变量。为避免测度方法不同有可能导致实证结果偏误,本文参考Gao等[9]的做法,通过测算CO2和SO2减排率衡量减污降碳协同效应。其中,若两者减排率均为正则赋值为1,若存在一个为负则赋值为0,若两者均为负则赋值为-1,结果如表3列(2)所示。从回归结果可知,绿色技术创新回归系数依然显著且为正,结果通过稳健性检验。
(3)更换估计方法。为避免异方差对回归结果造成不良影响,本文使用广义最小二乘法进行估计,结果如表3列(3)所示。从回归结果看,更换估计方法后回归系数变动较大但依然显著为正,结果通过稳健性检验。
(4)缩尾处理。为避免异常值对回归结果造成不良影响,本文对数据进行1%缩尾处理,回归结果如表3列(4)所示。从回归结果可知,剔除异常值后绿色技术创新回归系数依然显著为正,结果通过稳健性检验。
(5)改变样本量。直辖市作为中国行政区划的最高级别,是中央政府直接管辖的城市,在城市管辖范围、人口规模和经济发展水平上与其它地级市具有较大差距,因此本文剔除直辖市样本数据进行稳健性检验,回归结果如表3列(5)所示。从回归结果可知,绿色技术创新系数依然显著为正,结果通过稳健性检验。
(6)内生性检验。为避免反向因果导致的内生性问题,本文将绿色技术创新滞后一期作为工具变量以缓解内生性问题,结果如表3列(6)所示。从中可见,引入滞后项后绿色技术创新回归系数依然显著为正,结果通过稳健性检验。
(1)地理位置异质性。作为典型的二元经济国家,我国不同区域在发展水平、要素禀赋和环境保护等方面存在较大差异,可能会导致绿色技术创新在不同区域的作用效果存在差异。因此,本文根据城市所处地理位置将282个城市划分为东中西地区,并进行分样本回归,结果如表4列(1)~(3)所示。从中可见,绿色技术创新回归系数显著为正,但系数大小不同,呈现东中西梯级分布态势。从中可见,绿色技术创新能显著促进各地区减污降碳协同效应提升。其中,东部地区由于具有丰富的自然资源和优越的地理环境,大部分城市已经进入产业结构绿色转型后期,大量高污染低耗能企业已经完成转型或迁移,使得绿色技术创新的促进作用较小;中部地区处于产业绿色转型调整期,绿色技术创新能加速转型进程,进而促进减污降碳协同效应提升;西部地区处于产业转型初期,绿色技术创新的边际促进效应较为明显,从而使得回归系数最大。总之,加强绿色技术创新有利于减少地区差异,缓解区域发展不平衡。
表4 异质性检验结果(一)
Table 4 Heterogeneity test results (I)
变量地理位置东部地区中部地区西部地区低碳试点城市是否Ingrave0.691***0.515***1.869***0.787***0.544***(0.090)(0.168)(0.319)(0.081)(0.130)fin0.010**0.006*0.0050.021***0.002(0.004)(0.003)(0.004)(0.003)(0.002)gov-0.117*0.049**0.0600.064*0.033(0.061)(0.025)(0.046)(0.037)(0.023)road0.001-0.0000.003***0.002***0.003***(0.001)(0.001)(0.001)(0.000)(0.001)internet-0.027***-0.029***-0.014***-0.027***-0.019***(0.005)(0.003)(0.004)(0.003)(0.002)wage-0.027*-0.046***0.016**-0.028***0.005(0.016)(0.010)(0.007)(0.009)(0.006)cons1.029***1.180***0.445***0.994***0.617***(0.151)(0.099)(0.071)(0.093)(0.054)N1 7001 6831 4112 0902 704R20.3260.2220.2000.2710.165F34.69420.23814.87231.71922.080p0.0000.0000.0000.0000.000
(2)是否为低碳试点城市。低碳试点城市是指在获批城市中开展低碳生产和消费,从而建设资源节约型城市。相较于其它城市而言,获批低碳试点城市拥有更多政府干预、更严格的碳排放制度以及更多绿色技术创新激励措施,这些会影响绿色技术创新与减污降碳协同效应。基于此,本文按照2010年、2012年和2017年国家发展和改革委员会所公布的低碳试点城市名单,将282个城市划分为低碳试点城市和非低碳试点城市两类,分样本回归结果如表4列(4)~(5)所示。从中可见,绿色技术创新回归系数显著为正,且对低碳试点城市减污降碳协同效应的作用更大。这说明,低碳试点城市通过多重环保政策福利、重视环境保护和绿色技术等途径增强绿色技术创新促进效应。
(3)是否为资源型城市。资源型城市是指以矿产、森林等自然资源开采和加工为主导产业的城市,城市发展往往伴随着环境污染、资源开采过度等问题,可能会影响绿色技术创新对减污降碳协同效应的作用效果。基于此,本文根据2013年国务院印发的《全国资源型城市可持续发展规划(2013-2020)》中的资源型城市名单,将282个城市划分为资源型城市和非资源型城市两种样本进行回归分析,结果如表5列(1)~(2)所示。其中,绿色技术创新对非资源型城市减污降碳效率具有显著促进作用,而对资源型城市无明显作用,说明资源型城市发展离不开传统自然资源利用,产业仍以高耗能、高污染制造业为主。此时,绿色技术创新难以发挥污染物外部效应,使得减污降碳协同效应无明显提升。为进一步探究不同时期资源型城市绿色技术创新的作用效果,本文按照资源型城市“建设—繁荣—衰退—消亡”的发展规律,将资源型城市划分为成长型城市、成熟型城市、衰退型城市和再生型城市进行分样本回归,结果如表5列(3)~(6)所示。从中可见,绿色技术创新对成熟型城市具有显著促进作用,通过推动产业结构转型、减少对煤炭资源的依赖减少污染物排放,最终促进减污降碳协同效应提升。
表5 异质性检验结果(二)
Table 5 Heterogeneity test results(II)
变量非资源型城市资源型城市总数成长型城市成熟型城市衰退型城市再生型城市Ingrave0.931***0.378*-0.7060.876***-0.114-0.528(0.075)(0.220)(1.715)(0.265)(0.564)(0.396)fin0.012***0.010***-0.0020.0050.066***0.053***(0.003)(0.003)(0.005)(0.003)(0.009)(0.013)gov0.0080.090***0.0740.129***0.068-0.192(0.025)(0.031)(0.138)(0.042)(0.047)(0.118)road0.0000.004***-0.0010.004***0.003***0.004*(0.000)(0.001)(0.003)(0.001)(0.001)(0.002)internet-0.024***-0.020***0.023*-0.020***-0.019***-0.034***(0.003)(0.003)(0.012)(0.004)(0.004)(0.009)wage-0.0010.000-0.089**-0.018**-0.048***0.022(0.007)(0.006)(0.038)(0.009)(0.017)(0.024)cons0.734***0.649***1.284***0.837***1.058***0.519**(0.067)(0.061)(0.363)(0.087)(0.169)(0.235)N2 8721 9222381 037392255R20.2210.2160.2290.2700.4410.374F33.65521.4392.68115.15111.5985.808p0.0000.0000.0000.0000.0000.000
为进一步探究能源消费结构、外商直接投资和产业结构在绿色技术创新对减污降碳效率作用路径中是否存在显著中介效应,本文构建中介效应检验模型,回归结果如表6所示。
表6 中介效应检验结果
Table 6 Regression results of the mediated effect test
变量 (1)(2)(3)(4)(5)(6)esDfdiDinsDinn0.060***0.816***4.148***0.520***1.542***0.768***(0.007)(0.073)(1.238)(0.073)(0.310)(0.073)fin-0.002***0.005**-0.092**0.008***0.0060.009***(0.000)(0.002)(0.037)(0.002)(0.009)(0.002)gov-0.009***0.021-0.2270.0340.0780.035(0.002)(0.021)(0.364)(0.021)(0.091)(0.021)road-0.000***0.002***-0.011*0.002***0.007***0.002***(0.000)(0.000)(0.006)(0.000)(0.002)(0.000)internet0.000*-0.023***0.468***-0.019***-0.129***-0.019***(0.000)(0.002)(0.036)(0.002)(0.009)(0.002)wage0.003***0.0020.433***0.002-0.250***0.006(0.001)(0.005)(0.088)(0.005)(0.022)(0.005)es0.109***(0.011)fdi0.073***(0.010)ins0.035***(0.004)cons-0.013***0.705***-6.665***0.660***6.419***0.501***(0.005)(0.051)(0.870)(0.052)(0.216)(0.056)N4 7944 7944 7434 7434 7944 794R20.0930.2470.1770.2430.4850.241F20.91764.13243.54161.950192.02661.963p0.0000.0000.0000.0000.0000.000
由表6列(1)(2)可知,绿色技术创新对能源消费结构的回归系数为0.060且通过1%显著性水平检验,同时引入绿色技术创新和能源消费结构后两者回归系数依然为正,说明绿色技术创新通过推动能源结构升级促进减污降碳效应提升,假设H2得到验证。由表6列(3)(4)可知,绿色技术创新对外商直接投资的回归系数为4.148且通过1%显著性水平检验,同时引入绿色技术创新和能源消费结构后两者回归系数依然为正,说明绿色技术创新通过外商直接投资促进减污降碳效率提升,假设H3得到验证。由表6列(5)(6)可知,绿色技术创新对产业结构升级的回归系数为1.542且通过1%显著性水平检验,同时引入绿色技术创新和产业结构升级后两者回归系数依然为正,说明绿色技术创新通过促进外商直接投资促进减污降碳效率提升,假设H4得到验证。
绿色技术创新不仅能够减轻区域雾霾污染,还能通过知识溢出效应间接促使相邻省份雾霾污染下降[42]。因此,本文构建多尺度地理加权回归模型(MGWR),进一步探究绿色技术创新的空间异质性和空间相关性,并通过对OLS、GWR和MGWR模型进行对比,进一步分析2006—2014年和2015—2022年两个时间段绿色技术创新对减污降碳协同效应影响的空间异质程度。MGWR模型计算公式如下:
![]()
(9)
其中,yi为i城市的减污降碳协同效应值,xik为i城市的解释变量值,(ui,vi)表示i城市地理坐标,β0(ui,vi)为常数项,βbwj(ui,vi)为使用特定带宽后i城市j解释变量的回归系数,εi为随机误差。
本文采用全局Moran's I指数分别测算样本期间减污降碳协同效应、绿色技术创新空间自相关程度,结果如表7所示。从中可见,2006—2022年减污降碳协同效应和绿色技术创新的全局Moran′s I指数介于0.1~0.5之间,且通过1%显著性水平检验,表明减污降碳协同效应和绿色技术创新存在空间正相关关系,即空间正向聚集关系。据此,本文进一步引入GWR、MGWR模型探究空间数据变量间的关系。
表7 全局Moran′s I指数
Table 7 Global Moran's I
年份DMoran's IZ得分IngraveMoran's IZ得分20060.353***17.1660.177***8.99820070.358***17.3990.212***10.71820080.367***17.8630.262***13.21120090.419***20.3670.304***15.18920100.420***20.4270.349***17.33420110.430***20.9300.375***18.52920120.435***21.1630.431***21.22720130.409***19.9050.315***16.47420140.417***20.2820.414***20.48420150.428***20.8460.462***22.71820160.420***20.4190.450***22.06620170.413***20.1250.474***23.23120180.381***18.5360.483***23.77420190.337***16.4490.395***19.54720200.311***15.1780.451***22.17820210.220***10.7360.350***17.36120220.121***6.0340.282***14.078
为探究绿色技术创新对减污降碳协同效应的时空异质性,本文将样本期划分为2006—2014年(模型1)和2015—2022年(模型2)两个时期,在计算各自时期变量均值后,将减污降碳协同效应作为因变量,分别对两个时期变量建立全局回归OLS、GWR和MGWR模型。模型拟合参数结果如表8所示,可以看到MGWR模型(1)2006—2014年决定系数(R2)为0.620,较OLS、GWR分别提高了0.319、0.106,且赤池信息准则(AIC)值、修正赤池信息量准则(AICc)值均低于其它模型;MGWR模型(2)2015—2022年R2为0.595,较OLS、GWR模型分别提高了0.283、0.069,且该模型的AIC、AICc值也较低。综上所述,相较于其它两个模型而言,MGWR模型拟合效果更好、准确度更高,更适用于研究绿色技术创新对减污降碳协同效应的影响。
表8 模型拟合参数比较
Table 8 Comparison of model fitting parameters
变量 OLS(1)(2)GWR(1)(2)MGWR(1)(2)R20.3010.3120.5140.5260.6200.595Adj.R20.2860.2970.4660.4710.5680.54Residual sum of squares197.123193.973137.135133.716107.280114.166Effective number of parameters25.04529.24233.81033.857Sigma0.7310.7270.6570.678AIC713.302708.761649.066650.341597.359614.996AICc715.830711.288654.592657.877607.486625.151Bandwidth190.000166.000
MGWR模型变量回归结果如表9所示,为分析绿色技术创新对减污降碳协同效应的影响,本文对结果中通过1%显著性水平检验的回归系数进行可视化处理,空间分布特征如图3所示。由图3a可知,2006—2014年多数城市绿色技术创新对减污降碳协同效应产生正向影响,绿色技术创新回归系数区间为[0.220,0.242],均值为0.239。这说明,虽然城市之间存在绿色技术创新与减污降碳协同效应的空间关联性,但这种联系在不同城市之间表现出明显差异,且绿色技术创新的促进作用自南向北逐渐减弱。究其原因,南方经济发展条件较好,有利于聚集高层次人才和吸引外商直接投资,在绿色技术研发、创新应用等方面投入更多资源和精力,有利于减少CO2和污染物排放。同时,基于城市虹吸效应和溢出效应,这些城市还能影响周边城市绿色技术创新发展及减污降碳协同效应。由图3a可知,2006—2014年仍有部分城市绿色技术创新与减污降碳协同效应回归系数不显著,可能受经济发展水平、产业结构、政策环境、能源消费结构等因素影响,制约绿色技术创新在减污降碳方面的作用发挥。
表9 MGWR模型变量回归系数结果
Table 9 Results of regression coefficients of MGWR model variables
模型变量 MeanSTDMinMedianMaxBandwidth模型(1)Intercept-0.0870.429-0.738-0.0941.02043Ingrave0.2380.0050.2200.2390.242281internet0.3360.1160.1750.2870.569169wage-0.0130.011-0.051-0.0110.014277gov-0.0210.006-0.026-0.023-0.001281fin-0.3230.083-0.519-0.314-0.184137road-0.0500.091-0.268-0.0330.115160模型(2)Intercept-0.1300.336-0.731-0.2360.78343Ingrave0.3770.0030.3700.3770.393281internet0.2440.117-0.0480.2570.419134wage0.0730.110-0.1000.0300.308116gov0.0610.0140.0310.0630.078281fin-0.1740.013-0.193-0.178-0.149281road-0.0360.128-0.214-0.0300.172223
图3 绿色技术创新回归系数空间分布
Fig.3 Spatial distribution of regression coefficients of green technology innovation
注:该图基于自然资源部标准地图服务网站审图号为GS(2019)1822号的标准地图制作,底图边界无修改
由图3b可知,2015—2022年我国城市减污降碳协同效应对绿色技术创新具有显著正向促进作用,且呈现自南向北逐渐减弱趋势;核心解释变量绿色技术创新回归系数区间为[0.370,0.393],表明绿色技术创新对减污降碳协同效应的促进作用得到增强。2015—2022年,我国遵循“绿色”发展理念,2015年在巴黎协定中承诺到2030年单位国内生产总值二氧化碳排放比2005年下降60%~65%;2017年,习近平总书记在中共十九大报告中明确提出“构建市场导向的绿色技术创新体系”;2018年,国务院发布《打赢蓝天保卫战三年行动计划》,要求三年间大幅减少主要大气污染物排放总量,协同减少温室气体排放,进一步明显降低细颗粒物浓度。综上所述,2015—2022年我国对绿色技术创新和减污降碳的政策支持作用持续加强,使得大多数城市积极投入绿色技术创新,在环境污染治理、绿色能源技术方面不断取得进步,从而进一步增强减污降碳协同效应。
为明晰绿色技术创新对减污降碳协同效应的作用效果及影响机制,本文使用2006—2022年中国内地282个城市面板数据,在创新经济学理论和外部性理论框架下构建绿色技术创新与减污降碳协同效应逻辑框架,通过构建双固定面板计量模型、中介效应检验模型和多尺度地理加权回归模型,进一步探究两者之间的影响关系及作用路径,得出如下研究结论:第一,基准回归结果表明,绿色技术创新能显著提升减污降碳协同效应。第二,从异质性分析结果可知,西部地区、低碳试点城市和非资源型城市绿色技术创新促进效果更明显。第三,机制检验模型结果表明,能源消费结构、产业结构和外商直接投资存在部分中介效应。绿色技术创新通过优化能源消费结构、促进产业结构升级和吸引外商直接投资等途径提升减污降碳协同效应。第四,地理空间加权回归模型表明,绿色技术创新对减污降碳协同效应具有明显的空间异质性,其对多数城市减污降碳协同效应具有正向影响,且对华北、南方地区部分城市促进作用更显著。
为更快更好地实现绿色发展,高效完成碳达峰、碳中和的“双碳”目标,立足于中国发展现状,结合上述实证结果,本文提出如下对策建议:
(1)重视绿色技术创新对减污降碳协同效应的推动作用,各级各地区应建立完备的奖惩制度,促使企业积极开展绿色技术创新活动,引入绿色技术。一方面,政府应主动参与环境治理,不断强化顶层设计,通过财政补贴、税收减免政策引导和帮助企业开展绿色技术创新活动。另一方面,应充分发挥市场对创新资源配置的决定性作用,加快构建市场导向型绿色技术创新体系,实现资源、信息及其它要素共享,促进绿色技术创新成果转化。
(2)积极调整能源结构,促进产业结构升级,加大吸引外商直接投资力度。首先,各级政府应立足于“碳达峰、碳中和”目标,根据自身要素禀赋条件,合理实施绿色低碳发展行动,持续调整能源发展政策,加大推动绿色清洁能源使用。其次,产业结构升级作为推动减污降碳协同增效的主要途径,各级政府应立足于发展现状,采取比较优势发展战略,推动高耗能、高污染企业转型升级,促进区域产业绿色低碳转型发展。最后,积极引入外商直接投资,缓解企业绿色技术开发面临的融资约束,完善企业绿色技术创新补偿机制。
(3)基于各地区发展现状、所处地理位置,采取合适的创新政策,推动区域协同创新。首先,各级政府应充分考虑各地区地理、经济和文化特点,充分挖掘和利用本地区资源优势,培育相关产业和创新项目。其次,加强产学研合作,建立产业技术创新联盟,促进企业、高校和科研院所之间合作与交流。最后,鼓励资金、人才等创新资源在区域间流动,加强跨地区绿色技术创新项目合作与交流。
本文从理论和实证角度探究绿色技术创新对减污降碳协同效应的影响效果及内在机理,一定程度上丰富了现有研究,且进一步讨论绿色技术创新的空间异质性和空间相关性,为后续研究提供了新视角,但存在如下不足:一方面,本文仅选取能源消费结构、产业结构和外商直接投资等中介变量进行机制层面的实证研究,但绿色技术创新与减污降碳协同效应之间的作用路径较为复杂,未来还应找寻更多具有理论价值的其它路径进行分析;另一方面,不同地理区域政策、经济结构和社会文化背景会显著影响绿色技术创新作用效果,未来还应对不同地理区域的绿色技术创新实施情况进行多维度比较分析,深入探究不同地理区域制度安排和政策措施对绿色技术创新作用效果的影响。
[1] 习近平在第七十五届联合国大会一般性辩论上的讲话[N]. 人民日报, 2020-09-23(003).
[2] HAKEN H. Synergetics: an introduction, nonequilibrium phase transitions and self-organization in physics, chemistry and biology[M]. Berlin: Springer-Verlag, 1977.
[3] IPCC. Climate change 2014: mitigation of climate change[M]. Cambridge:Cambridge University Press, 2015.
[4] U.S.EPA. Integrated environmental strategies handbook[EB/OL].[2004-07-05].https://nepis.epa.gov/Exe/ZyPURL.cgi?Dockey=P10033EF.txt.
[5] 胡涛, 田春秀, 李丽平. 协同效应对中国气候变化的政策影响[J]. 环境保护, 2004,32(9): 56-58.
[6] WU H, XUE Y, HAO Y, et al. How does internet development affect energy-saving and emission reduction? evidence from China[J]. Energy Economics, 2021, 103: 105577.
[7] LIU C, SUN W, LI P, et al.Differential characteristics of carbon emission efficiency and coordinated emission reduction pathways under different stages of economic development: evidence from the Yangtze River Delta,China[J].Journal of Environmental Management,2023,330:117018.
[8] 刘茂辉, 刘胜楠, 李婧,等. 天津市减污降碳协同效应评估与预测[J]. 中国环境科学, 2022, 42 (8): 3940-3949.
[9] GAO X, LIU N, HUA Y. Environmental Protection Tax Law on the synergy of pollution reduction and carbon reduction in China: evidence from a panel data of 107 cities[J]. Sustainable Production and Consumption, 2022, 33: 425-437.
[10] 俞珊, 张双, 张增杰,等. 北京市减污降碳协同控制情景模拟和效应评估[J]. 环境科学, 2023, 44 (4): 1998-2008.
[11] 唐湘博, 张野, 曹利珍,等. 中国减污降碳协同效应的时空特征及其影响机制分析[J]. 环境科学研究, 2022, 35(10): 2252-2263.
[12] NIE C, LEE C. Synergy of pollution control and carbon reduction in China: spatial-temporal characteristics, regional differences, and convergence[J]. Environmental Impact Assessment Review, 2023, 101: 107110.
[13] 狄乾斌, 陈小龙, 侯智文. “双碳”目标下中国三大城市群减污降碳协同治理区域差异及关键路径识别[J]. 资源科学, 2022, 44(6): 1155-1167.
[14] YI M, GUAN Y, WU T, et al. Assessing China's synergistic governance of emission reduction between pollutants and CO2[J]. Environmental Impact Assessment Review, 2023, 102: 107196.
[15] 张瑜, 孙倩, 薛进军,等. 减污降碳的协同效应分析及其路径探究[J]. 中国人口·资源与环境, 2022, 32(5): 1-13.
[16] APERGIS N, ELEFTHERIOU S, PAYNE J E. The relationship between international financial reporting standards, carbon emissions, and R&D expenditures: evidence from European manufacturing firms[J]. Ecological Economics, 2013, 88: 57-66.
[17] 董直庆, 蔡啸, 王林辉. 技术进步方向、城市用地规模和环境质量[J]. 经济研究, 2014, 49(10): 111-124.
[18] LEE K H, MIN B. Green R&D for eco-innovation and its impact on carbon emissions and firm performance[J]. Journal of Cleaner Production, 2015, 108: 534-542.
[19] 李文超, 许灵宇, 毕梦洁,等. 能效与能耗的中介差异对绿色技术创新减排的影响研究[J]. 中国科技论坛, 2022,38(11): 93-103.
[20] 马海韵, 张彤. 率先碳达峰国家低碳技术创新采纳应用规律对中国的启示——基于“技术—组织—环境”框架的分析[J]. 现代经济探讨, 2023, 42(7): 15-22.
[21] DU K, LI P, YAN Z. Do green technology innovations contribute to carbon dioxide emission reduction? empirical evidence from patent data[J]. Technological Forecasting and Social Change, 2019, 146: 297-303.
[22] SCHLEICH J, MILLS B, DVTSCHKE E. A brighter future? quantifying the rebound effect in energy efficient lighting[J]. Energy Policy, 2014, 72: 35-42.
[23] 陈雯, 吴頔. 以科技帮扶推动绿色低碳高质量发展[J]. 群言, 2023,39(3): 40-42.
[24] RENNINGS K. Redefining innovation-eco-innovation research and the contribution from ecological economics[J]. Ecological Economics, 2000, 32(2): 319-332.
[25] LIN B, MA R. Green technology innovations, urban innovation environment and CO2 emission reduction in China: fresh evidence from a partially linear functional-coefficient panel model[J]. Technological Forecasting and Social Change, 2022, 176: 121434.
[26] 沈世铭, 许睿, 陈非儿. 环境治理压力、绿色技术创新与碳中和绩效[J]. 技术经济与管理研究, 2023,44(7): 27-32.
[27] SUZUKI M. Identifying roles of international institutions in clean energy technology innovation and diffusion in the developing countries: matching barriers with roles of the institutions[J]. Journal of Cleaner Production, 2015,98: 229-240.
[28] 李涛. 资源约束下中国碳减排与经济增长的双赢绩效研究——基于非径向DEA方法RAM模型的测度[J]. 经济学(季刊), 2013,12(2): 667-692.
[29] 邹璇, 王盼. 产业结构调整与能源消费结构优化[J]. 软科学, 2019,33(5): 11-16.
[30] GAO P, WANG Y, ZOU Y, et al. Green technology innovation and carbon emissions nexus in China: does industrial structure upgrading matter[J]. Frontiers in Psychology, 2022, 13: 951172.
[31] 俞珊, 韩玉花, 牟洁,等. 北京市制造业减污降碳协同效应分析和驱动因素[J]. 环境科学,2024,45(4):1917-1925.
[32] NIE C, LEE C C. Synergy of pollution control and carbon reduction in China: spatial-temporal characteristics, regional differences, and convergence[J]. Environmental Impact Assessment Review, 2023, 101: 107110.
[33] 周五七, 聂鸣. 中国工业碳排放效率的区域差异研究——基于非参数前沿的实证分析[J]. 数量经济技术经济研究, 2012,29(9): 58-70,161.
[34] 宋德勇, 李超, 李项佑. 新型基础设施建设是否促进了绿色技术创新的“量质齐升”——来自国家智慧城市试点的证据[J]. 中国人口·资源与环境, 2021,31(11): 155-164.
[35] 吴健生, 牛妍, 彭建,等. 基于DMSP/OLS夜间灯光数据的1995-2009年中国地级市能源消费动态[J].地理研究, 2014,33(4): 625-634.
[36] 蔺鹏, 孟娜娜. 环境约束下京津冀区域经济发展质量测度与动力解构——基于绿色全要素生产率视角[J]. 经济地理, 2020,40(9): 36-45.
[37] 付凌晖. 我国产业结构高级化与经济增长关系的实证研究[J]. 统计研究, 2010,27(8): 79-81.
[38] 周立, 王子明. 中国各地区金融发展与经济增长实证分析:1978-2000[J]. 金融研究, 2002,45(10): 1-13.
[39] 林伯强, 谭睿鹏. 中国经济集聚与绿色经济效率[J]. 经济研究, 2019,54(2): 119-132.
[40] 程中海, 柴永乐. 交通基础设施、对外贸易与全要素生产率[J]. 华东经济管理, 2021,35(5): 91-99.
[41] 温忠麟,张雷, 侯杰泰,等. 中介效应检验程序及其应用[J]. 心理学报, 2004,49(5): 614-620.
[42] 邵帅, 范美婷, 杨莉莉. 经济结构调整、绿色技术进步与中国低碳转型发展——基于总体技术前沿和空间溢出效应视角的经验考察[J]. 管理世界, 2022,38(2): 46-69,4-10.